Transport- og Bygningsudvalget 2015-16
TRU Alm.del Bilag 323
Offentligt
1651532_0001.png
Afrapportering
Aftale om trafik for 2007
TRU, Alm.del - 2015-16 - Bilag 323: Orientering om status for igangværende anlægs- og byggeprojekter under Transport- og Bygningsministeriet pr. første halvår 2016, fra transport- og bygningsministeren
1651532_0002.png
Aftale om trafik for 2007
Version
Banedanmark
Amerika Plads 15
2100 København Ø
Telefon
8234 0000
[email protected]
banedanmark.dk
TRU, Alm.del - 2015-16 - Bilag 323: Orientering om status for igangværende anlægs- og byggeprojekter under Transport- og Bygningsministeriet pr. første halvår 2016, fra transport- og bygningsministeren
1651532_0003.png
Aftale om trafik for 2007
Indhold
Side
1
2
2.1
2.2
2.3
2.4
3
3.1.1
3.2
3.2.1
3.2.2
3.2.3
3.3
3.4
3.5
3.5.1
3.5.2
3.6
3.6.1
3.7
3.7.1
3.7.2
4
4.1
5
Indledning og sammenfatning
Regularitet
Kanalregularitet på fjernbanen
Kanalregularitet på S-banen
Strækningsvis kanalregularitet
Irregularitetens fordeling i 2014
Afvikling af efterslæb
Aktiviteter i 2014
Spor
Sidespor
Sporstoppere
Spordele i overkørsler
Broer
Kørestrøm
Tele, IT & transmission
Telefoni og radio
Transmission
Trafikinformation
Tilpassede perronafsnit
Øvrige fag
Stærkstrøm
Forst (inkl. Vej & Plads)
Banens vedligeholdelsestilstand
Indikatorer for jernbanens ydevne – KPI
Effektivisering
4
5
5
6
7
9
11
11
12
14
14
15
15
16
17
17
18
18
19
19
19
20
22
22
25
TRU, Alm.del - 2015-16 - Bilag 323: Orientering om status for igangværende anlægs- og byggeprojekter under Transport- og Bygningsministeriet pr. første halvår 2016, fra transport- og bygningsministeren
1
Indledning og sammenfatning
Aftale om trafik for 2007
forudsatte en afvikling af efterslæbet på Banedanmarks
jernbanenet i perioden 2007-2014 (eksklusiv signaler) og en markant forbedring af
regulariteten. Endvidere blev det forudsat, at Banedanmarks organisation skulle
optimeres, og at der skulle opnås en årlig effektivisering på 2 pct.
Aftale om trafik for 2007
blev indgået den 26. oktober 2006 af den daværende
regering (Venstre og Det Konservative Folkeparti), Dansk Folkeparti og Det Radikale
Venstre.
Denne afrapportering er en opgørelse af resultatet for 2014 i henhold til kravene i
aftalen, og der er tale om den sidste afrapportering på
Aftale om trafik for 2007.
Regularitet
I 2014 leverede Banedanmark en kanalregularitet på fjernbanen og S-banen, der var
højere end målene for året. Årsresultatet på fjernbanen blev således på 97,1 pct.,
hvilket er 0,2 procentpoint over årskravet. På S-banen blev årsresultatet på 97,7 pct.,
hvilket tillige er 0,2 procentpoint over årskravet.
Efterslæbsafvikling
Hovedkonklusionen på denne afrapportering er, at Banedanmark har afviklet det
forudsatte efterslæb inden udgangen af 2014. Afviklingen er forløbet som forudsat
med de ændringer, som er identificeret i løbet af aftaleperioden, og som der er
redegjort for i de tidligere afrapporteringer.
Banedanmark havde ved udgangen af 2014 indhentet 98 pct. af de forudsatte km
sporfornyelse. At Banedanmark gennemfører marginalt færre kilometer sporfornyelse
end forudsat, skyldes primært, at den eksisterende infrastruktur i videst mulig omfang
fornyes i tilknytning til de besluttede og planlagte anlægsprojekter. Fornyelsen af
enkelte strækninger gennemføres derfor først i perioden 2015-2020 i stedet for inden
udgangen af 2014, som oprindelig forventet i forbindelse med
Aftale om trafik for
2007.
Effektivisering
I 2014 har Banedanmark opnået en effektivisering på fornyelse, vedligehold og anlæg
på 2,9 pct. Den positive effektivisering er primært opnået i de landsdækkende
vedligeholdelsesaktiviteter, på brofornyelse og på sporfornyelsesprojekter på de røde
strækninger.
På baggrund af årsresultatet for 2014 er den gennemsnitlige, akkumulerede
effektivisering på 2,2 pct. for perioden 2007-2014. Det vil sige, at Banedanmark har
leveret den forudsatte effektivisering i aftaleperioden.
Aftale om trafik for 2007
Afrapportering
4/27
TRU, Alm.del - 2015-16 - Bilag 323: Orientering om status for igangværende anlægs- og byggeprojekter under Transport- og Bygningsministeriet pr. første halvår 2016, fra transport- og bygningsministeren
1651532_0005.png
2 Regularitet
I 2014 opfyldte Banedanmark årskravet både på fjernbanen og på S-banen
vedrørende kanalregularitet.
På fjernbanen var der i 2014 forudsat en kanalregularitet på 96,9 pct. og på S-banen
var der forudsat en kanalregularitet på 97,5 pct. Den realiserede kanalregularitet for
passagertog på fjernbanen og S-banen i 2014 fremgår af Tabel 1.
Der er for både fjern- og S-banen sket et markant løft i kanalregulariteten over
perioden 2007-2014.
Tabel 1: Realiseret kanalregularitet i 2014
Resultat 2014
Fjernbanen
S-banen
97,1 %
97,7 %
Mål 2014
96,9 %
97,5 %
Fra 2013 har Banedanmark implementeret en ensartet metode til opgørelse af
kanalregularitet på tværs af alle jernbanevirksomhederne på Banedanmarks net,
hvilket er med til at give et mere ensartet billede af kanalregularitet. Den anvendte
metode
indebærer,
at
trafikmængden
defineres
ens
for
alle
passagertog
fjernbanen.
Metoden
sikrer
i
øvrigt
overensstemmelse
mellem
Præstationsordningen
1
og
Banedanmarks mål- og resultatplan. Kravet til kanalregularitet i Præstationsordningen
bliver således fastsat ud fra antallet af påvirkede tog i
Aftale om trafik for 2007.
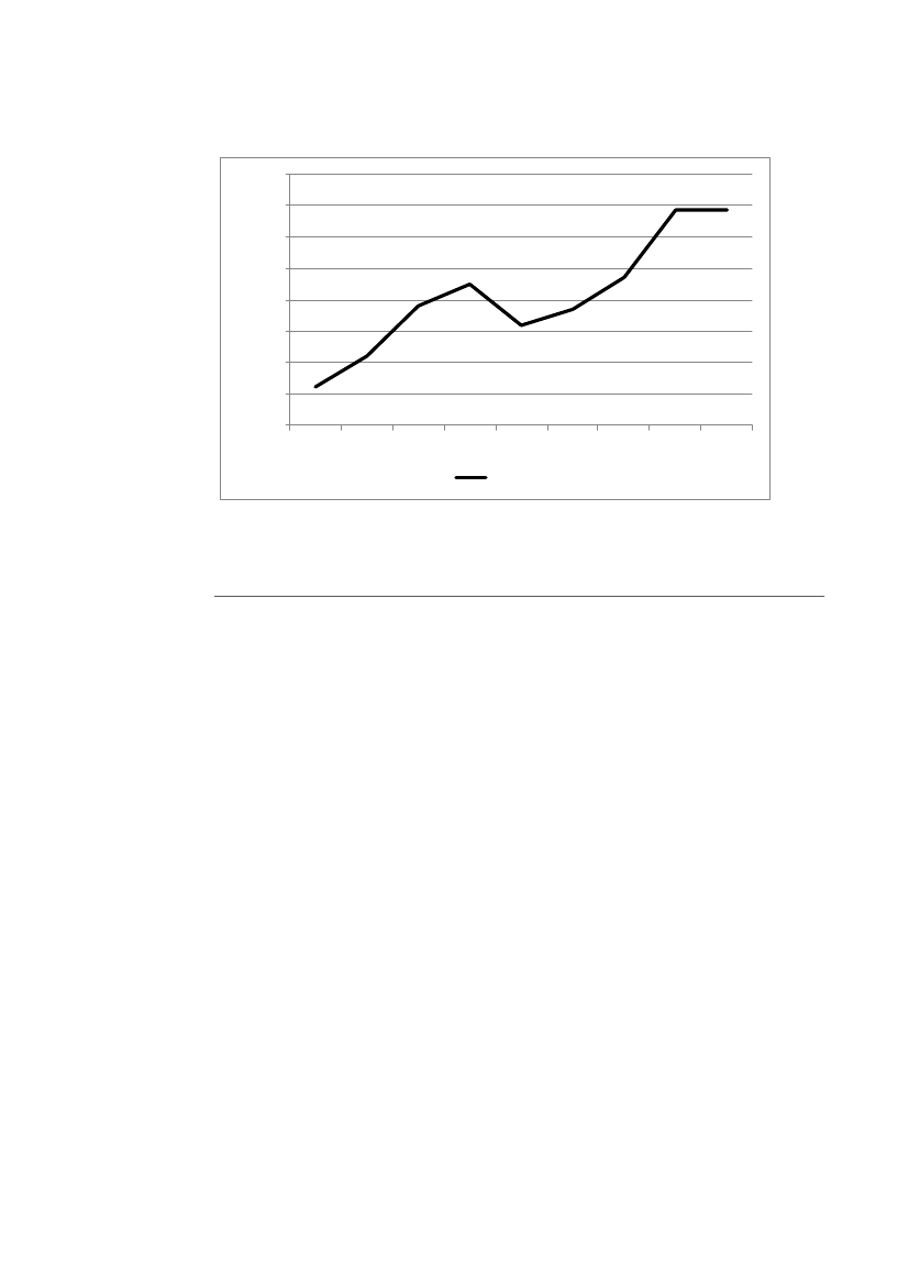
2.1 Kanalregularitet på fjernbanen
På fjernbanen lå resultatet 0,2 pct. point over målet for 2014, og Banedanmark har
dermed leveret en høj kanalregularitet til gavn for operatørerne og dermed
passagererne.
I juni, juli, oktober og november leverede Banedanmark en kanalregularitet under
kravet
til
passagertog
fjernbanen.
Den
manglende
målopfyldelse
skyldtes
påvirkninger fra fejl i fjernstyringsanlægget, transmissionsfejl, påvirkninger fra diverse
sporarbejder samt hastighedsnedsættelser en række steder i landet. Sporområdet inkl.
projekter har således påvirket flere tog end forudsat i 2014.
1
Der skal tilskynde infrastrukturforvalter og jernbanebanevirksomheder til at forbedre
jernbanenettets ydeevne, jf. EU-direktivet 2012/34/EF.
Aftale om trafik for 2007
Afrapportering
5/27
TRU, Alm.del - 2015-16 - Bilag 323: Orientering om status for igangværende anlægs- og byggeprojekter under Transport- og Bygningsministeriet pr. første halvår 2016, fra transport- og bygningsministeren
1651532_0006.png
Figur 1: Kanalregularitetsudviklingen på fjernbanen i 2014 samt mål (sammenlignet
med perioden 2006-2012, omregnet efter ny definition af trafikmængde)
1
100,0%
98,0%
96,0%
94,0%
92,0%
90,0%
2006
2007
2008
2009
2010
2011
2012
2013
2014
Fjernbanen
1) Et tog på fjernbanen regnes for rettidigt, hvis forsinkelsen er mindre end fem minutter.
Forsinkelseskriteriet på 4:59 er benyttet til omregning af kanalregulariteten for 2006, 2007 og
2008.
2.2 Kanalregularitet på S-banen
På S-banen lå resultatet på 97,7 pct., hvilket er 0,2 pct. point over målet for 2014.
Banedanmark har dermed leveret en høj kanalregularitet på S-banen.
Ligesom på fjernbanen har sporområdet inkl. gennemførelsen af projekter i sporet
påvirket flere tog på S-banen end forudsat. I tre måneder lå kanalregulariteten under
målsætningen,
hvilket
fortrinsvis
skyldtes
fejl
i
fjernstyringsanlægget
og
sporrelaterede forhold. I årets øvrige måneder leverede Banedanmark til gengæld en
kanalregularitet, der i gennemsnit lå 0,8 procentpoint over årskravet.
Aftale om trafik for 2007
Afrapportering
6/27
TRU, Alm.del - 2015-16 - Bilag 323: Orientering om status for igangværende anlægs- og byggeprojekter under Transport- og Bygningsministeriet pr. første halvår 2016, fra transport- og bygningsministeren
1651532_0007.png
Figur 2: Kanalregularitetsudviklingen på S-banen i 2014 samt mål (sammenlignet med
perioden 2006-2012, omregnet efter ny definition af trafikmængde)
1
100,0%
98,0%
96,0%
94,0%
92,0%
90,0%
88,0%
86,0%
84,0%
2006
2007
2008
2009
2010
S-banen
1) Et tog på S-banen regnes for rettidigt, hvis forsinkelsen er mindre end 2�½ min.
2011
2012
2013
2014
2.3 Strækningsvis kanalregularitet
Figuren nedenfor viser den strækningsvise kanalregularitet for 2014 på henholdsvis
fjernbanen
løbende
og
S-banen.
op
Trafikaftalen
den
indeholdt
krav
til
den
gennemsnitlige
fjernbanens
kanalregularitet på hhv. fjernbanen og S-banen, men Banedanmark har i tillæg hertil
fulgt
strækningsvise
kanalregularitet.
For
vedkommende er strækningerne fordelt på røde, grønne og blå strækninger.
Aftale om trafik for 2007
Afrapportering
7/27
TRU, Alm.del - 2015-16 - Bilag 323: Orientering om status for igangværende anlægs- og byggeprojekter under Transport- og Bygningsministeriet pr. første halvår 2016, fra transport- og bygningsministeren
1651532_0008.png
Figur 3: Strækningsvis kanalregularitet 2014
Trods det overordnede, gode årsresultat har den strækningsvise kanalregularitet på
nogle strækninger været under det forventede. Det drejer sig om følgende strækninger
på fjernbanen:
1.
På strækningen Aarhus–Aalborg har trafikken været påvirket af letbaneprojektet
ved Aarhus samt en række hastighedsnedsættelser, hvor der er blevet udskiftet
duobloksveller.
2.
På strækningen fra Fredericia til Padborg har kanalregulariteten været påvirket
hele året, hvilket primært skyldes diverse hastighedsnedsættelser og anlæg af
dobbeltspor mellem Vamdrup og Vojens. Arbejdet med anlæg af dobbeltspor
fortsætter i 2015.
Aftale om trafik for 2007
Afrapportering
8/27
TRU, Alm.del - 2015-16 - Bilag 323: Orientering om status for igangværende anlægs- og byggeprojekter under Transport- og Bygningsministeriet pr. første halvår 2016, fra transport- og bygningsministeren
1651532_0009.png
3.
Henover Fyn (Fredericia–Odense–Nyborg) har trafikken været påvirket af et
sporrelateret forhold ved Middelfart, hvor hastigheden var sat ned til 40 km/t i
spor 4. Forholdet betød, at Banedanmark skulle spændingsudligne og justere
maskinelt. Forholdet var udbedret i uge 42. Derudover har strækningen
Fredericia–Padborg haft en afsmittende effekt på trafikken henover Fyn, hvilket
har udgjort ca. 10 pct. point af irregulariteten.
4.
Strækningen Roskilde–Ringsted har primært været påvirket af hastigheds-
nedsættelser som følge af vedligeholdelsesarbejde. Vedligeholdelsesarbejderne er
nu afsluttet.
5.
6.
Strækningen fra Roskilde til Kalundborg (Nordvestbanen) blev primært påvirket af
sporombygningen mellem Holbæk og Tølløse (etablering af dobbeltspor).
På Øresundsbanen (København–Kastrup) har trafikken været påvirket af en
række større fejl hen over sommeren. Specielt medførte en sporskiftefejl ved
Kalvebod store trafikale påvirkninger i juni, juli og august.
7.
Kystbanen (København–Helsingør) har været påvirket af en række fejl inden for
sporområdet. Især sporskiftefejlen ved Kalvebod på Øresundsbanen har haft en
afsmittende effekt på trafikken på Kystbanen.
Den samlede kanalregularitet på strækningen København–Aarhus lå på 96,5 pct.
Årsagen til den lavere kanalregularitet på strækningen har primært været påvirkninger
fra sporområdet inkl. gennemførelsen af projekter i sporet samt enkeltstående større
hændelser, jf. beskrivelsen af hastighedsnedsættelserne beskrevet ovenfor.
Der har også på S-banen været udfordringer med kanalregulariteten, men kun på
Køge Bugt-banen, hvor der primært var tale om diverse påvirkninger fra sporområdet.
Derudover blev hele S-togsnettet i marts ramt af en fejl i fjernstyringsanlægget, som
samlet betød en irregularitet på 1,5 pct. point. Denne fejl alene betød en irregularitet
på 3,2 pct. point på Køge Bugt-banen i marts 2014.
2.4 Irregularitetens fordeling i 2014
De følgende tre tabeller viser fordelingen af årsager til irregulariteten i 2014.
Tabellerne
er
baseret
den
opgørelsesmetode
for
kanalregularitet,
som
Banedanmark har anvendt siden 2013, jf. ovenfor. Dette har dog ikke betydning for
målet om, at antallet af fejl fra signalområdet ikke må overstige niveauet fra 1. halvår
2006.
Tabel 2: Irregularitet, fjernbanen 2014
Fjernbane
Irregularitetsprocent spor
Irregularitetsprocent signalområdet
Irregularitetsprocent øvrige områder
1
I alt
Irregularitetsprocent
1,2 %
1,1 %
0,6 %
2,9 %
1) Irregularitet som følge af kørestrømsfejl, gensidige operatørpåvirkninger, disponeringsfejl mv.
Irregularitetsprocenten som følge af gensidige operatørpåvirkninger udgør 0,3 pct.
Aftale om trafik for 2007
Afrapportering
9/27
TRU, Alm.del - 2015-16 - Bilag 323: Orientering om status for igangværende anlægs- og byggeprojekter under Transport- og Bygningsministeriet pr. første halvår 2016, fra transport- og bygningsministeren
1651532_0010.png
Tabel 3: Irregularitet, S-banen 2014
S-bane
Irregularitetsprocent spor
Irregularitetsprocent signalområdet
Irregularitetsprocent øvrige områder
I alt
Irregularitetsprocent
0,2 %
1,8 %
0,3 %
2,3 %
Tabel 4: Irregularitet fjern- og S-banen fra signalområdet 2014
Niveau for
første halvår
2006 -
grundlaget for
Aftale om trafik
for 2007
1
1,7 %
Realiseret i
2013
Realiseret
i 2014
Irregularitetsprocent signalområdet for
fjernbanen
Irregularitetsprocent signalområdet
for S-banen
1,3 %
1,1 %
1,6 %
1,8 %
1,8 %
1) Målet i
Aftale om trafik for 2007
er et samlet mål for både S- og Fjernbane.
Som det fremgår af ovenstående, har irregulariteten fra signalområdet på fjernbanen i
2014 ligget på et lavere niveau end i 2013. På S-banen har irregulariteten været
højere i 2014, men holder sig fortsat på niveauet fra første halvår 2006. Den høje
irregularitet på S-banen kan tilskrives en større fejl på selve fjernstyringsanlægget i
første del af året, som blev udbedret.
Trods stigningen på S-banen i 2014 og den høje gennemsnitsalder af Banedanmarks
signalanlæg forventes det stadig, at niveauet fra 2006 kan fastholdes frem til
udrulningen af de nye signaler på begge baner.
Aftale om trafik for 2007
Afrapportering
10/27
TRU, Alm.del - 2015-16 - Bilag 323: Orientering om status for igangværende anlægs- og byggeprojekter under Transport- og Bygningsministeriet pr. første halvår 2016, fra transport- og bygningsministeren
1651532_0011.png
3 Afvikling af efterslæb
I dette afsnit redegøres for afviklingen af efterslæbet fordelt på fagområder. Den
overordnede konklusion er, at efterslæbet er afviklet som forudsat med de ændringer,
som er identificeret i løbet af aftaleperioden.
I
Tabel 5
nedenfor ses en oversigt over det forudsatte forbrug på fornyelse og
vedligeholdelse i aftaleperioden, og dette sammenholdes med det realiserede forbrug i
perioden 2007-2014. Det forudsatte forbrug svarer til bevillingen, som ved aftalens
indgåelse blev beregnet som aktivitetsbudgettet reguleret for en effektivisering på 2
pct. årligt.
Samlet for perioden 2007-2014 har Banedanmark haft et mindreforbrug på 494 mio.
kr. inden for fornyelse og vedligehold. Disse midler vil medgå til finansiering af
aktiviteter i perioden 2015-2020. Mindreforbruget på 494 mio. kr. skyldes således
primært, at sporfornyelsen af enkelte strækninger er udskudt fra perioden 2007-2014
til perioden 2015-2020. Det sker med henblik på, at sporfornyelsen kan gennemføres
samtidig med nyanlægsprojekter på de pågældende strækninger. Der er redegjort
herfor i de tidligere afrapporteringer.
Som det fremgår nedenfor, er det således lykkedes at gennemføre den forudsatte
aktivitet med den effektiviserede bevilling og dermed leve op til kravet.
Tabel 5: Forudsat og forbrug 2007-2014
1
(Fornyelse og Vedligehold) [Mio. kr.]
Mio. kr.
Forudsat i
Aftale
om trafik for
2007
2
Realiseret
Merforbrug
2007
2008
2009
2010
2011
2012
2013
2014
I alt
2.213
2.816
2.954
2.746
2.763
3.037
2.442
2.332
21.303
2.281
68
2.894
78
2.925
-29
2.789
43
2.379
-384
2.958
-79
2.480
39
2.103
-230
20.809
-494
1) Tabellen inkluderer realiseret forbrug 2007-2014 (løbende priser) samt det forudsatte i
Aftale
om trafik for 2007
inklusiv årlig justering af Finansloven, herunder tillægsbevillinger for §
28.63.05 til fornyelse og vedligeholdelse af jernbanenettet.
2) Rækken indeholder den oprindelige
Aftale om trafik for 2007
samt efterfølgende
tillægsbevillinger. For 2014 er normmæssigt vedligehold på § 28.63.04 inkluderet.
3.1.1
Aktiviteter i 2014
I 2013 fremlagde Banedanmark et oplæg til en økonomisk ramme for fornyelse og
vedligehold i perioden 2015-2020. Til grund for dette oplæg lå en række omfattende
analyser af behovet i de kommende år, herunder en ændret tidsmæssig placering af
en række sporfornyelsesprojekter med henblik på koordinering med
anlægsprojekterne, jf. ovenfor.
Analyserne omfattede hele perioden fra 2014 til 2020, og dermed blev analyserne og
behovsopgørelserne fra Aftale om trafik for 2007 erstattet af nye analyser. Som følge
heraf blev Banedanmarks fagopdelte opsparinger nulstillet ved udgangen af 2013.
Aftale om trafik for 2007
Afrapportering
11/27
TRU, Alm.del - 2015-16 - Bilag 323: Orientering om status for igangværende anlægs- og byggeprojekter under Transport- og Bygningsministeriet pr. første halvår 2016, fra transport- og bygningsministeren
1651532_0012.png
Samlet set betyder det, at perioden 2007-2013 skal anskues som
et
forløb, mens 2014
skal betragtes som et overgangsår mellem den nye og den gamle aftaleperiode. I
afrapporteringen fra foråret 2014 blev der således rapporteret på perioden 2007-2013,
mens der i de følgende afsnit fokuseres på Banedanmarks aktiviteter indenfor de
enkelte fagområder i 2014.
Afrapporteringen fra foråret 2014 indeholdt en fagfordelt prognose for Banedanmarks
aktiviteter i 2014. Prognosen er et udtryk for en operationalisering af bevillingen i form
af Banedanmarks fornyelsesplan, og derfor afviger den samlede prognose fra
bevillingen i Tabel 5 ovenfor. Prognosen og det realiserede forbrug fremgår tillige af
Tabel 6 nedenfor.
Tabel 6: Forudsat/realiseret fornyelse (fagfordelt) 2014 [Mio. kr.]
IT, Tele
og
Trans-
mission
Mio. kr.
[PL14]
Prognose
2014
Realiseret
Merforbrug
Spor
Broer
Køre-
strøm
Stærks
trøm
Forst
Sikring
Vedli-
gehold
I alt
376
376
0
201
302
101
82
29
-53
90
44
-46
84
46
-38
36
23
-14
100
67
-33
1305
1.294
-12
2.274
2.181
-93
I forhold til prognosen var der i 2014 et samlet mindreforbrug på 93 mio. kr.
Mindreforbruget vedrører især strømfagene samt IT, Tele og Transmission. Der er tale
om forsinkelser i udførelsen af konkrete fornyelsesaktiviteter. På broområdet har der
været et merforbrug i forhold til prognosen fra foråret 2014. Det skyldes primært
aktiviteter på Lillebæltsbroen. I de følgende afsnit vil mer- eller mindreforbruget inden
for de enkelte fag blive forklaret.
3.2
Spor
I det følgende redegøres for Banedanmarks opfyldelse af kravene vedrørende
sporområdet i
Aftale om trafik for 2007.
Ved udgangen af 2014 har Banedanmark stort
set afviklet det forudsatte efterslæb på sporområdet. På grund af ny viden i løbet af
aftaleperioden
er
dette
med
dog
det
ikke
sket
i
i
fuld
Aftale
geografisk
om
trafik
og
metodemæssig
jf.
tidligere
overensstemmelse
afrapporteringer.
I
Aftale om trafik for 2007
var det forudsat, at Banedanmark inden udgangen af 2014
skulle gennemføre 1500 vægtede kilometer sporombygning. De vægtede kilometre
opgøres på baggrund af den mængde skinner, sveller og ballast, som Banedanmark
har fornyet. Der er således også fornyelsesaktiviteter, der indgår i de store
sporprojekters økonomi, men som ikke indgår i opgørelsen af de vægtede kilometer,
eksempelvis fornyelse af sporskifter, dræn og underbund.
forudsatte
2007,
Aftale om trafik for 2007
Afrapportering
12/27
TRU, Alm.del - 2015-16 - Bilag 323: Orientering om status for igangværende anlægs- og byggeprojekter under Transport- og Bygningsministeriet pr. første halvår 2016, fra transport- og bygningsministeren
1651532_0013.png
Tabel 7: Fordeling af sporarbejder - vægtet metode
Pct.
Forudsat
Realiseret
Meraktivitet
2007
8%
14 %
6%
2008
13 %
19 %
6%
2009
14 %
10 %
-4 %
2010
10 %
14 %
4%
2011
13 %
10 %
-3 %
2012
15 %
22 %
7%
2013
14 %
6%
-8 %
2014
12 %
2%
-10 %
I alt
100 %
98 %
-2 %
Banedanmark har ved udgangen af 2014 fornyet 98 pct. af de forudsatte vægtede
kilometer, jf. Tabel 7 ovenfor. Heraf fremgår det også, at Banedanmark i 2014 har
afviklet 2 pct. efterslæb, hvilket afspejler et lavt aktivitetsomfang i 2014 sammenholdt
med de foregående år. Der forventes et øget aktivitetsniveau fra 2015 og frem.
Sporfornyelsen af enkelte strækninger er udskudt fra perioden 2007-2014 til perioden
2015-2020. Dette er sket med henblik på, at sporfornyelsen kan gennemføres
samtidig
med
nyanlægsprojekter på de
pågældende
strækninger, jf. tidligere
afrapporteringer. Det drejer sig primært om følgende strækninger, hvor fornyelsen er
udskudt med henblik på samtidig udførelse med nyanlægsprojekter:
Langå-Aalborg (knyttet til Timemodel mellem Aarhus og Aalborg)
Aarhus-Langå (til udførelse efter 2020 og knyttet til Timemodel mellem
Aarhus og Aalborg)
Nyborg-Odense (knyttet til Timemodel mellem København og Odense)
Nykøbing F-Rødby Færge (knyttet til Femern Bælt jernbanelandanlæg)
Udskydelsen af strækningerne er hovedårsagen til, at Banedanmark i aftaleperioden
har gennemført marginalt færre kilometer sporfornyelse end forudsat.
Af afrapporteringen fra foråret 2014 fremgik det, at Banedanmark havde et
merforbrug på sporfornyelse på 468 mio. kr. for perioden 2007-2013. Baggrunden er
bl.a., at det har været nødvendigt at forny flere mængder end forudsat på de
strækninger, hvor Banedanmark har gennemført sporfornyelse i perioden. Dette har
beroet på en konkret vurdering af tilstanden på de pågældende strækninger, og der er
redegjort herfor i tidligere afrapporteringer.
I 2014 var aktivitetsniveauet på sporområdet markant lavere end i de foregående år. I
2014 var de primære aktiviteter fornyelse af strækningen Taulov–Padborg samt
mindre fornyelsesaktiviteter på bl.a. Frederikshavn Station i forbindelse med indføring
af Skagensbanen. Som det fremgår af
Tabel 8
nedenfor, var der i 2014 et
mindreforbrug på 64 mio. kr. i forhold til det forudsatte i Aftale om trafik for 2007,
inkl. tidligere justeringer, hvilket kan henføres til mindre projekter som er udskudt i
forhold til det forudsatte i fornyelsesplanen.
Tabel 6
ovenfor viser det realiserede
overfor Banedanmarks prognose fra foråret 2014, og her svarede forbruget på
sporfornyelse til prognosen.
Aftale om trafik for 2007
Afrapportering
13/27
TRU, Alm.del - 2015-16 - Bilag 323: Orientering om status for igangværende anlægs- og byggeprojekter under Transport- og Bygningsministeriet pr. første halvår 2016, fra transport- og bygningsministeren
1651532_0014.png
Tabel 8: Forudsat/realiseret (Fornyelse), Spor [Mio. kr.]
2014
Forudsat*
Realiseret
Merforbrug
440
376
-64
* Rækken ”Forudsat” inkluderer eventuelle tidligere justeringer af fagfordelingen, som er afrapporteret
tidligere. Eventuelle relevante tillægsbevillinger for § 28.63.05 er ligeledes inkluderet.
Fra 2015 og frem forventes aktivitetsniveauet på sporområdet igen at stige, idet
Banedanmark i de kommende år skal gennemføre fornyelse af en lang række centrale
strækninger.
3.2.1
Sidespor
Banedanmark gennemgik i 2009 i samarbejde med Trafikstyrelsen behovet for åbne
sidespor frem mod 2014. Det var i 2009 vurderingen, at der samlet set forventes at
være ca. 274 km åbne sidespor i 2014. En opgørelse fra marts 2015 viser, at der er
ca. 275 km sidespor, som er farbare og trafikalt efterspurgte, og som Banedanmark
derfor forventer at holde åbne.
Banedanmark følger løbende op på mængden af åbne sidespor, og hvis et sidespor
ikke har været efterspurgt i to år kan dette nedlægges. Processen med at reducere
mængden af åbne sidespor forsætter. Denne proces involverer Trafikstyrelsen, der
skal godkende, når sidespor lukkes endeligt.
3.2.2
Sporstoppere
Banedanmark skal i henhold til
Aftale om trafik for 2007
sørge for, at alle sporstoppere
inden for fem år opgraderes til normen for sporstoppere BN1-95-2.
Banenormen er gældende fra den 1. juni 2012, og fra det tidspunkt er der i henhold til
normen en femårig overgangsperiode. Det betyder, at Banedanmark senest 1. juni
2017 skal have opgraderet alle sporstoppere til den gældende norm.
En mindre del af Banedanmarks sporstoppere vil blive opgraderet i forbindelse med
sporfornyelsesprojekter,
mens
et
særskilt
projekt
til
opgradering
af
øvrige
sporstoppere er i gang. I forbindelse med godkendelsen af banenormen estimerede
Banedanmark på baggrund af en screening, at 189 sporstoppere skulle opgraderes i
det særskilte opgraderingsprojekt. I 2013 og 2014 opgraderede projektet 175
sporstoppere. I 2015 forventes de resterende 14 sporstoppere i det særskilte projekt
at blive opgraderet.
En yderligere granskning af infrastrukturen har dog vist, at der er flere sporstoppere
end de oprindeligt estimerede 189 sporstoppere, som skal opgraderes, ligesom en del
sporstoppere er mere komplicerede at opgradere end forventet, hvilket vil påvirke
udførelsen. Det drejer sig om 80 sporstoppere, som forventes udført i 2015 og 2016,
udover de 14 sporstoppere som er nævnt i afsnittet ovenfor. Efter udskiftningen af de
94 sporstoppere vil Banedanmark have opgraderet alle sporstoppere til gældende
norm inden fristens udløb 1. juni 2017.
Aftale om trafik for 2007
Afrapportering
14/27
TRU, Alm.del - 2015-16 - Bilag 323: Orientering om status for igangværende anlægs- og byggeprojekter under Transport- og Bygningsministeriet pr. første halvår 2016, fra transport- og bygningsministeren
1651532_0015.png
3.2.3
Spordele i overkørsler
Det er forudsat i
Aftale om trafik for 2007,
at der i perioden 2007-2014 fornyes ca.
235 spordele i overkørsler.
Banedanmark fornyer primært spordele i overkørsler i forbindelse med de store
sporombygningsprojekter, idet man herved opnår de laveste priser. Samtidig
reducerer denne tilgang de trafikale gener. Herudover har Banedanmark igangsat
fornyelse af overkørsler på de strækninger, hvor sporenes generelle tilstand ikke
fordrer en sporombygning, men hvor tilstanden i de enkelte overkørsler kræver
fornyelse.
I perioden 2007-2013 fornyede Banedanmark 229 spordele i overkørsler. I 2014 har
Banedanmark fornyet en overkørsel. I alt har Banedanmark således afviklet efterslæb
på 230 spordele i overkørsler ved udgangen af 2014 og dermed stort set indhentet
efterslæbet.
3.3
Broer
Banedanmark havde ved udgangen af 2012 indhentet efterslæbet med hensyn til antal
fornyede og vedligeholdte broer, som blev opgjort i forbindelse med
Aftale om trafik
for 2007,
jf. afrapporteringen fra foråret 2013.
Af afrapporteringen fra foråret 2014 fremgik det, at Banedanmark havde et
mindreforbrug på broområdet på 81 mio. kr. i perioden 2007-2013. Det skyldes bl.a.,
at det har været billigere end oprindelig forudsat at afvikle efterslæbet på broer.
Selvom efterslæbet er indhentet, har Banedanmark fornyet og vedligeholdt broer
siden. Dette er for at undgå, at der opbygges et nyt efterslæb og for at opnå
økonomiske og planlægningsmæssige fordele ved, at brofornyelse udføres sammen
med sporfornyelse. Således er der udført brofornyelse på strækninger, hvor der har
været sporfornyelse, for at undgå at skulle tilbage på strækningerne i nærmeste
fremtid med deraf følgende trafikale konsekvenser.
Banedanmark har i 2014 brugt 376 mio. kr. til fornyelse og vedligeholdelse inden for
broområdet jf.
Tabel 9
nedenfor. Midlerne har bl.a. været anvendt til følgende store
projekter:
Ny Nørreport station
Lillebæltsbroen – forstærkning af fundering
Borgergade-broen i Esbjerg
Broer på strækningen Padborg–Lunderskov
Broer på strækningen Vejle–Aarhus H
Aftale om trafik for 2007
Afrapportering
15/27
TRU, Alm.del - 2015-16 - Bilag 323: Orientering om status for igangværende anlægs- og byggeprojekter under Transport- og Bygningsministeriet pr. første halvår 2016, fra transport- og bygningsministeren
1651532_0016.png
Tabel 9: Forudsat/realiseret (Fornyelse og Vedligehold), Broer [Mio. kr.]
2014
Forudsat
Realiseret
Merforbrug
364
376
12
* Rækken ”Forudsat” inkluderer eventuelle tidligere justeringer af fagfordelingen, som er afrapporteret
tidligere. Eventuelle relevante tillægsbevillinger for § 28.63.05 er ligeledes inkluderet.
I 2014 har broområdet haft et merforbrug på 12 mio. kr. Det skyldes, at der er
gennemført en større mængde arbejder end forventet inden for både fornyelse og
vedligehold, dog inden for de forventede enhedspriser.
baggrund
af
data
fra
2014
er
den
gennemsnitlige
tilstandskarakter
for
Banedanmarks mindre broer opgjort til 1,32. Tilstandskarakteren opgøres på en skala
fra 0 til 5. En tilstandskarakter på nul er bedst og svarer til en nybygget bro, mens en
tilstandskarakter fem betyder, at broen skal udskiftes. Udgangspunktet fra
Aftale om
trafik for 2007
var en gennemsnitlig tilstandskarakter på 1,58. Bromassens tilstand er
således forbedret i perioden 2007-2014 på grund af den omfattende aktivitet på
området.
3.4
Kørestrøm
På kørestrøm har Banedanmark i perioden 2007-2014 gennemført de aktiviteter, som
har været nødvendige i forhold til kanalregulariteten.
Af afrapporteringen fra foråret 2014 fremgik det, at der i perioden 2007-2013 var et
mindreforbrug på kørestrøm på 19 mio. kr. Fornyelse af køreledningsanlægget mellem
Albertslund
og
Høje
Taastrup
var
oprindelig
forudsat
gennemført
i
løbet
af
aftaleperioden, men dette arbejde gennemføres i 2015-2016. Forsinkelsen af dette
fornyelsesprojekt har dog ikke betydning for kanalregulariteten.
I 2014 har Banedanmark haft et forbrug på kørestrøm på 29 mio. kr., jf. Tabel 10
nedenfor. Det medfører et mindreforbrug på 21 mio. kr. i forhold til det forudsatte,
som primært skyldes, at Holte omformerstation fornyes i 2015 i stedet for i 2014.
Fornyelsen er forsinket, idet der er et ønske om, at udbuddet af omformerstationen
sker som udbud efter forhandling, hvilket tager længere tid, men også forventes at
give den mest fordelagtige pris. At fornyelsen rykkes et år har ikke trafikal betydning.
Tabel 10: Forudsat/realiseret (Fornyelse), Kørestrøm [Mio. kr.]
2014
Forudsat*
Realiseret
Merforbrug
50
29
-21
* Rækken ”Forudsat” inkluderer eventuelle tidligere justeringer af fagfordelingen, som er afrapporteret
tidligere. Eventuelle relevante tillægsbevillinger for § 28.63.05 er ligeledes inkluderet.
Aftale om trafik for 2007
Afrapportering
16/27
TRU, Alm.del - 2015-16 - Bilag 323: Orientering om status for igangværende anlægs- og byggeprojekter under Transport- og Bygningsministeriet pr. første halvår 2016, fra transport- og bygningsministeren
1651532_0017.png
I 2014 har Banedanmark inden for kørestrøm blandt andet haft fokus på at færdiggøre
fornyelsen af køreledningsanlægget mellem Valby og Langgade, samt pilotprojekter
vedrørende potentialudligning (jording) af stationer og broer.
Derudover har Banedanmark i 2014 haft fokus på forberedelse af fornyelsesprojekt
vedrørende køreledningsfornyelse på S-banen mellem Albertslund og Høje Tåstrup.
Arbejdet vil blive udført fra sommeren 2015. Derudover har Banedanmark arbejdet på
projektet vedrørende fornyelse af omformerstation i Holte.
Projekterne vedrørende fornyelse af køretråd/køreledning er afsluttet med udgangen
af 2014.
slidt
og
Fornyelsen har primært omfattet de steder, hvor tråden har været meget
derfor
ikke
har
kunnet
vente
den
omfattende
fornyelse
af
køreledningsanlægget, som planlægges i perioden 2015-2020.
Togenes
strømaftagere
hedder
pantografer.
Ved
opsætning
af
såkaldte
pantografscannere kan fejl i togenes strømaftagere opdages tidligere. Dermed kan
strømaftagerne udskiftes, før det resulterer i køreledningsnedbrud. Desuden vil det
betyde længere levetid for køreledningerne, da de ikke i samme omfang bliver slidt af
defekte strømaftagere. Som nævnt i tidligere afrapporteringer har Banedanmark i
2013 opsat pantografscannere på Ringbanen, og dette arbejde blev endelig afsluttet i
2014.
Fra 2015 og frem vil det især være de store køreledningsfornyelser, der kommer til at
fylde inden for kørestrømsområdet.
3.5
Tele, IT & transmission
I perioden 2007-2013 har der på Tele, IT og transmission været et mindreforbrug på
24 mio. kr. i forhold til det forudsatte. De primære årsager hertil er, dels at det har
været billigere end oprindelig forudsat at forny trafikinformationsudstyr, dels at en
mindre del af forventede aktiviteter ikke har kunnet gennemføres som forudsat. Her
har manglende ressourcer med de rette kompetencer internt, hos rådgivere og
leverandører spillet en rolle. En del af opgaverne inden for dette område gennemføres
med brug af nogle af de samme ressourcer, som anvendes i forbindelse med
udrulningen af det nye signalsystem.
I de følgende afsnit gennemgås status for telefoni og radio, transmission samt
trafikinformation i 2014, herunder forbruget i forhold til det forudsatte på de
pågældende områder.
3.5.1
Telefoni og radio
Togradiosystemet GSM-R er integreret i Signalprogrammet. Der afrapporteres derfor
herpå i forbindelse med de løbende afrapporteringer på Signalprogrammet, f.eks. i den
halvårlige Anlægsstatus og Banedanmarks årsrapport.
Aftale om trafik for 2007
Afrapportering
17/27
TRU, Alm.del - 2015-16 - Bilag 323: Orientering om status for igangværende anlægs- og byggeprojekter under Transport- og Bygningsministeriet pr. første halvår 2016, fra transport- og bygningsministeren
1651532_0018.png
3.5.2
Transmission
I perioden 2007-2014 har Banedanmark gennemført de nødvendige aktiviteter inden
for transmission.
I perioden 2007-2013 har der været et merforbrug på 22 mio. kr., jf. afrapporteringen
fra foråret 2014. Merforbruget skyldes primært, at det har været dyrere end oprindelig
forudsat at forny Banedanmarks IP- og MPLS-netværk. Det har været vanskeligt at
prissætte disse anlægselementer tilbage i 2006 i lyset af den fremtidige, teknologiske
udvikling.
Der er i 2014 gennemført fornyelsesaktiviteter for 28 mio. kr. Midlerne har bl.a. været
anvendt til landsdækkende udbygning af MPLS-netværksinfrastruktur, som skal være
med til at dække behovet for IP-datakommunikation. Derudover har Banedanmark
inden for transmission brugt fornyelsesmidler på IP-understøttelse af trafikinformation
i forbindelse med etablering af nye trafikinformationskomponenter bl.a. skærme og
højtalere.
Tabel 11: Forudsat/realiseret (Fornyelse), Transmission [Mio. kr.]
2014
Forudsat
Realiseret
Merforbrug
17
28
11
* Rækken ”Forudsat” inkluderer eventuelle tidligere justeringer af fagfordelingen, som er afrapporteret
tidligere. Eventuelle relevante tillægsbevillinger for § 28.63.05 er ligeledes inkluderet.
3.6
Trafikinformation
Efterslæbet på trafikinformation på alle baner blev endelig indhentet ved udgangen af
2011, jf. afrapporteringen fra foråret 2012. I perioden 2007-2013 har der været et
mindreforbrug på 36 mio. kr. i forhold til det forudsatte, jf. afrapporteringen fra foråret
2013. Det skyldes primært, at det har været billigere end oprindelig forudsat at forny
trafikinformationsudstyret.
Udover afvikling af efterslæb omfattede
Aftale om trafik for 2007
også visse
moderniseringer inden for trafikinformation. Det drejer sig bl.a. om opgradering af
højttalerbetjeningssystemet
ca.
200
stationer,
altså
en
opgradering
af
højttalerbetjeningssystemet på alle strækninger. Systemet er færdigudviklet og taget i
brug over størstedelen af landet.
Derudover har Banedanmark i 2014 inden for trafikinformation brugt midler til
fornyelse af trafikinformationsskærme, bl.a. på stationer langs hovedstrækningen
København–Aarhus, hvor der har været gennemført flere udskiftninger en forudsat ved
fastlæggelse af budgettet.
Aftale om trafik for 2007
Afrapportering
18/27
TRU, Alm.del - 2015-16 - Bilag 323: Orientering om status for igangværende anlægs- og byggeprojekter under Transport- og Bygningsministeriet pr. første halvår 2016, fra transport- og bygningsministeren
1651532_0019.png
Tabel 12: Forudsat/realiseret (Fornyelse), Trafikinformation [Mio. kr.]
2014
Forudsat
Realiseret
Merforbrug
5
18
8
* Rækken ”Forudsat” inkluderer eventuelle tidligere justeringer af fagfordelingen, som er afrapporteret
tidligere. Eventuelle relevante tillægsbevillinger for § 28.63.05 er ligeledes inkluderet.
3.6.1
Tilpassede perronafsnit
IC4-tog er længere end IC3-togene, hvilket stiller nye krav til trafikinformation for at
sikre, at passagererne placerer sig rigtigt på perronerne. På den baggrund blev der
med
Aftale om trafik for 2007
afsat 10 mio. kr. til at udvikle en anden løsning end det
faste skiltesystem med perronafsnit A-E.
Projektet er fortsat i bero, idet projektet pt. afventer afklaring vedrørende indsættelse
af IC4-tog. Banedanmark og DSB er i løbende dialog herom.
3.7
Øvrige fag
I det følgende gennemgås afviklingen af efterslæb inden for de øvrige fagområder
Stærkstrøm samt Forst (inkl. Vej & Plads).
3.7.1
Stærkstrøm
På stærkstrøm er der i perioden 2007-2014 gennemført de projekter, som var
nødvendige i forhold til kanalregulariteten. Herudover er der anvendt lidt færre midler
end oprindelig forudsat. Af afrapporteringen fra foråret 2014 fremgår det således, at
der i perioden 2007-2013 var et mindreforbrug over perioden på 14 mio. kr.
Mindreforbruget skyldes primært en ændret tidsplan for fornyelsen af perronbelysning.
Banedanmark har således gennemført et pilotprojekt på perronbelysning med henblik
på at afdække, hvorvidt den fremtidige belysning skal være LED. Igangsætningen af
projekterne på perronbelysning har derfor afventet resultaterne af pilotprojektet.
Tabel 13 nedenfor viser forbruget på stærkstrøm i 2014 sammenholdt med det
forudsatte. Mindreforbruget på 7 mio. kr. i 2014 skyldes primært udskydelse af
perronbelysningsprojekter samt fornyelse af sporskiftevarme på enkelte stationer.
Udskydelsen har fundet sted for, at de pågældende arbejder kan koordineres med
andre projekter på de pågældende strækninger, såsom store sporombygninger og
arbejderne på strækningen Ringsted–Femern.
Aftale om trafik for 2007
Afrapportering
19/27
TRU, Alm.del - 2015-16 - Bilag 323: Orientering om status for igangværende anlægs- og byggeprojekter under Transport- og Bygningsministeriet pr. første halvår 2016, fra transport- og bygningsministeren
1651532_0020.png
Tabel 13: Forudsat/realiseret (Fornyelse), Stærkstrøm [Mio. kr.]
2014
Forudsat
Realiseret
Merforbrug
51
44
-7
* Rækken ”Forudsat” inkluderer eventuelle tidligere justeringer af fagfordelingen, som er afrapporteret
tidligere. Eventuelle relevante tillægsbevillinger for § 28.63.05 er ligeledes inkluderet.
Banedanmark har inden for stærkstrømsområdet
fokus på projekter med en
energibesparende effekt, herunder opgradering af sporskiftevarmeanlæggene og
perronbelysning. Denne indsats betyder omfattende energibesparelser, reduktion i
vedligeholdelsesudgifterne samt en reduktion af de fejl og trafikale gener, som de
ældre anlæg giver. Dette har bidraget til, at Banedanmark har kunnet leve op til de
forudsatte mål for energibesparelser.
Arbejdet med udskiftning af LED pladsbelysning blev afsluttet ved udgangen af 2014;
her er omkring 4700 anlæg udskiftet til LED, og energiforbruget på pladsbelysning er
derfor reduceret. Fremadrettet vil Banedanmark også forny alt perronbelysning til LED
Udover sporskiftevarme og perronbelysning har Banedanmark fornyet elevatorer i
2014.
3.7.2
Forst (inkl. Vej & Plads)
I perioden 2007-2014 har Banedanmark inden for Forst (inkl. vej & plads) gennemført
de aktiviteter, som har været nødvendige i forhold til kanalregulariteten.
Fra 2014 og frem er fagområderne Forst samt Vej & Plads slået sammen, og
fagområdet hedder nu Forst. Dette er også er afspejlet på Banedanmarks bevilling til
fornyelse og vedligehold på Finansloven (konto 28.63.05).
Af afrapporteringen fra foråret 2013 fremgår det, at Forst (inkl. vej & plads) samlet set
har haft et mindreforbrug i perioden 2007-2013 på 95 mio. kr. Det er bl.a. et udtryk
for en ændret strategi inden for henholdsvis stationsafvanding og grøfteoprensning i
løbet af aftaleperioden. Herudover har der været gennemført en analyse af
Banedanmarks dæmninger og behovet for yderligere stabilisering af disse. Der er
redegjort herfor i de tidligere afrapporteringer. Inden for forstområdet er de forudsatte
aktiviteter gennemført i 2014, men enkelte projekter færdiggøres i løbet af 2015.
Merforbruget inden på 12 mio. kr. for i 2014 skyldes, at Banedanmark har fornyet flere
stenkister end oprindelig forudsat, jf. Tabel 14 nedenfor. Der er således fornyet 155
stenkister mod de tidligere forudsat 122 stk.
Aftale om trafik for 2007
Afrapportering
20/27
TRU, Alm.del - 2015-16 - Bilag 323: Orientering om status for igangværende anlægs- og byggeprojekter under Transport- og Bygningsministeriet pr. første halvår 2016, fra transport- og bygningsministeren
1651532_0021.png
Tabel 14: Forudsat/realiseret (Fornyelse), Forst [Mio. kr.]
2014
Forudsat
Realiseret
Merforbrug
11
23
12
* Rækken ”Forudsat” inkluderer eventuelle tidligere justeringer af fagfordelingen, som er afrapporteret
tidligere. Eventuelle relevante tillægsbevillinger for § 28.63.05 er ligeledes inkluderet.
I forbindelse med kraftigt regnvejr i Vendsyssel i oktober 2014 blev der registreret
overfladebrud på tre dæmninger vest for Sindal. Skaderne er blevet midlertidigt
udbedret, og der vil i den kommende periode blive gennemført en udbedring af
dæmningerne til en mere tidssvarende anlægstilstand.
Banedanmark
har
ikke
nuværende
tidspunkt
kendskab
til
yderligere
problemdæmninger med deraf følgende behov for stabiliseringsarbejder. Vejret har
imidlertid stor betydning for tilstanden af dæmninger. Banedanmark følger derfor
dæmningerne nøje, da flere af dem er anlagt i en tid, hvor kravene til anlæggenes
robusthed ikke var så strenge som i dag.
I 2014 har Banedanmark gennemført oprydningsaktiviteter for mere end 5 mio. kr. på
bl.a. stationsnære områder og langs banen. Efterslæbet på oprydning, som blev
opgjort i forbindelse med
Aftale om trafik for 2007,
er derfor indhentet.
Fornyelse af stationsafvanding gennemføres primært i forbindelse med de store
sporprojekter. I 2014 har Banedanmark derfor ikke udført andre selvstændige
stationsafvandingsprojekter end på strækningen Roskilde–Næstved.
Aftale om trafik for 2007
Afrapportering
21/27
TRU, Alm.del - 2015-16 - Bilag 323: Orientering om status for igangværende anlægs- og byggeprojekter under Transport- og Bygningsministeriet pr. første halvår 2016, fra transport- og bygningsministeren
1651532_0022.png
4
Banens vedligeholdelsestilstand
Banens vedligeholdelsestilstand er afgørende for den overordnede ydeevne og
performance.
For kontinuerligt at styrke vedligeholdelsesindsatsen analyserer Banedanmark løbende
tekniske fejl og hændelser samt igangsætter tiltag, som kan medvirke til at nedbringe
antallet af påvirkede tog. Der bliver månedligt udarbejdet detaljerede opgørelser af fejl
for de tekniske fagområder. Disse opgørelser anvendes i hændelsesanalyser og
bidrager til den fremadrettede optimering af vedligeholdelsesindsatsen.
Det skal dog bemærkes, at påvirkningerne fra de tekniske fag blot udgør en
delmængde af det samlede antal tog, som Banedanmark påvirker, og som indgår i
opgørelsen af kanalregularitet, jf. afsnit 2 ovenfor.
4.1
Indikatorer for jernbanens ydevne
KPI
For at kunne følge op på anlæggenes performance arbejder Banedanmark med KPI’er
(Key Performance Indicators), som gør det muligt at måle på og overvåge, om
anlægget lever op til det ønskede ydelses- og tilstandsniveau. Sammen med
opgørelsen af antal påvirkede tog giver KPI’erne et mere dækkende billede af banens
vedligeholdelsestilstand. KPI’erne er udviklet efter vedtagelse af
Aftale om trafik for
2007,
som et redskab til opfølgning på tilstanden.
Figur 4 nedenfor viser udviklingen i udvalgte KPI’ere for banens tilstand. De udvalgte
KPI’er er en delmængde af et større antal KPI’er for de tekniske fag. KPI’en
Sikringsfejl
er en indikator for, hvordan sikringsanlæggene har performet i den pågældende
måned, mens
Driftsforstyrrende fejl i kørelednings- og højspændingsanlæg
indikerer
mængden af tekniske fejl og dermed den vedligeholdelsesmæssige tilstand for
kørestrømsanlæg.
Aftale om trafik for 2007
Afrapportering
22/27
TRU, Alm.del - 2015-16 - Bilag 323: Orientering om status for igangværende anlægs- og byggeprojekter under Transport- og Bygningsministeriet pr. første halvår 2016, fra transport- og bygningsministeren
1651532_0023.png
Figur 4: Udvalgte indikatorer (KPI) for banens tilstand
Der skelnes i figuren mellem røde, grønne og blå baner, jf. prioriteringen i
Aftale om
trafik for 2007.
I praksis er der tale om, at fornyelse og vedligehold på de vigtigere og
mest trafikerede røde strækninger prioriteres før de mindre trafikerede grønne og blå
strækninger. Der er ligeledes strammere mål for de røde baner, idet der forudsættes
et højere vedligeholdelsesniveau.
For hver indikator er der fastsat mål, der angiver den største acceptable mængde fejl,
f.eks. hvor mange fejl der maksimalt må være i et sikringsanlæg på en rød bane. Hvis
antallet af fejl overskrider målet, bliver månedens resultat rødt, da det indikerer en
udfordring i forhold til jernbanens ydeevne. Omvendt bliver månedens resultat grønt,
hvis jernbanens ydeevne i den pågældende måned overholder målet.
Tredje indikator i figuren omhandler sikringsfejl, hvor der er tale om en tilfredsstillende
nedgang i antallet af fejl i forhold til tidligere år. Det skyldes en målrettet indsats for at
stabilisere det gamle sikringsanlæg gennem præventivt vedligehold og levetids-
forlængelse af ældre komponenter, indtil de nye signalsystemer på fjern- og S-banen
er fuldt udrullet.
Fjerde indikator omhandler fjernstyringsfejl, hvor der på S-banen var problemer med
fjernstyringsfejl i første halvår af 2014, hvilket medførte en del forsinkelser. Fejlen
blev lokaliseret til en defekt server. Siden har Banedanmark indført en række tiltag,
der skal sikre, at et lignende nedbrud fremadrettet ikke vil få samme indflydelse på
trafikafviklingen.
Aftale om trafik for 2007
Afrapportering
23/27
TRU, Alm.del - 2015-16 - Bilag 323: Orientering om status for igangværende anlægs- og byggeprojekter under Transport- og Bygningsministeriet pr. første halvår 2016, fra transport- og bygningsministeren
Generelt viser måltallene for 2014 en tilfredsstillende målopfyldelse på næsten alle
parametre. Det er udtryk for, at jernbanens tilstand er den bedste i mange år, og at
det tekniske anlæg præsterer stabilt.
Aftale om trafik for 2007
Afrapportering
24/27
TRU, Alm.del - 2015-16 - Bilag 323: Orientering om status for igangværende anlægs- og byggeprojekter under Transport- og Bygningsministeriet pr. første halvår 2016, fra transport- og bygningsministeren
1651532_0025.png
5
Effektivisering
I 2014 er Banedanmarks effektivisering på fornyelse, vedligeholdelse og anlæg
(28.63.02 og 28.63.05) opgjort til 2,9 pct., mens effektivisering på driften (28.63.01)
er opgjort til 14,8 pct.
I forbindelse med afrapporteringen i foråret 2011 blev det besluttet ikke længere at
foretage en samlet opgørelse af effektiviseringen på tværs af de tre hovedkonti
28.63.01, 28.63.02 og 28.63.05. Det var for at sikre, at de relativt store udsving på
effektivisering på driftskontoen ikke påvirker billedet af den opnåede effektivisering på
de øvrige områder. Effektiviseringen på driften (28.63.01) fremgår af Tabel 15 (og
endvidere af Banedanmarks årsrapport).
Tabel 16
nedenfor viser effektiviseringen på puljer samt fornyelse og vedligeholdelse
(28.63.02 og 28.63.05).
Tabel 15: Effektivisering i 2011-2014
konto 28.63.01 i henhold til årsrapport
Effektivisering [Mio. kr.
årets priser]
28.63.01
Effektivisering i procent
28.63.01
2011
57,4
2011
14,0
2012
-10,9
2012
-4,0
2013
15,8
2013
6,4
2014
32,1
2014
14,8
Den positive effektivisering på konto 28.63.05 er i 2014 primært opnået på de
landsdækkende sporvedligeholdelsesaktiviteter, på brofornyelse og på sporfornyelses-
projekterne på røde prioritetsstrækninger.
Banedanmark har for første gang i aftaleperioden kunnet opgøre effektivisering på
brofornyelse, hvilket er gjort muligt, fordi der nu foreligger et tilpas stort antal
afsluttede broprojekter med efterkalkulerede enhedspriser baseret på principperne i Ny
Anlægsbudgettering. Opgørelsen af effektivisering for 2014 indeholder således en
aggregeret effektivisering for de fornyelsesarbejder på broer, som Banedanmark har
gennemført
i
perioden
2012-2014.
Disse
projekter
bidrager
positivt
til
effektiviseringen.
Aftale om trafik for 2007
Afrapportering
25/27
TRU, Alm.del - 2015-16 - Bilag 323: Orientering om status for igangværende anlægs- og byggeprojekter under Transport- og Bygningsministeriet pr. første halvår 2016, fra transport- og bygningsministeren
1651532_0026.png
Tabel 16: Effektivisering i 2011-2014 - konto 28.63.02 og 28.63.05
Effektivisering [Mio. kr.
årets priser]
28.63.02
28.63.05
Total
Effektivisering i procent
28.63.02
28.63.05
Total
2011
0,0
13,1
13,1
2011
0,0
0,6
0,5
2012
0,0
70,5
70,5
2012
0,0
2,4
2,4
2013
0,0
58,2
58,2
2013
0,0
2,4
2,3
2014
0,0
82,7
82,7
2014
0,0
3,0
2,9
baggrund
af
årsresultatet
for
2014
er
den
gennemsnitlige
akkumulerede
effektivisering for perioden 2007-2014 2,2 pct. pr. år. Således har Banedanmark levet
op til den forudsatte gennemsnitlige akkumulerede effektivisering på 2 pct. pr. år for
perioden 2007-2014.
Effektiviseringen for perioden 2007-2010, som blev opgjort på tværs af de tre konti
28.63.01, 28.63.02 og 28.63.05, fremgår af
Tabel 17
nedenfor.
Tabel 17: Effektivisering 2007-2010
Effektivisering [Mio. kr.
årets priser]
28.63.01
28.63.02
28.63.05
Total
Effektivisering i procent
28.63.01
28.63.02
28.63.05
2007
17,1
0,0
69,4
86,5
2007
3,5
0,0
3,0
2008
37,9
0,0
37,5
75,4
2008
7,6
0,0
1,3
2009
-85,4
0,0
42,6
-42,8
2009
-18,1
0,0
1,5
2010
91,8
0,0
55,3
147,1
2010
19,7
0,0
2,0
266,2
Akk.
Akk.
Aftale om trafik for 2007
Afrapportering
26/27
TRU, Alm.del - 2015-16 - Bilag 323: Orientering om status for igangværende anlægs- og byggeprojekter under Transport- og Bygningsministeriet pr. første halvår 2016, fra transport- og bygningsministeren
1651532_0027.png
Total
3,1
2,2
-1,2
4,4
2,1
Aftale om trafik for 2007
Afrapportering
27/27