Sundheds- og Ældreudvalget 2015-16
SUU Alm.del Bilag 467
Offentligt
1610597_0001.png
RAPPORT
24. AUG. 2011 – 31. DEC. 2015
Sundhedsklinik for
udokumenterede
migranter
Klinikken drives af Røde Kors i
samarbejde med Lægeforeningen og
Dansk Flygtningehjælp
rødekors.dk
SUU, Alm.del - 2015-16 - Bilag 467: Henvendelse af 14/3-16 fra Røde Kors vedr. årsrapport 2015 for Sundhedsklinik for udokumenteret migranter
Forord
Der er nu gået 4�½ år, siden Røde Kors i samarbejde med Lægeforeningen og Dansk Flygtningehjælp
for første gang i august 2011 slog døren op til sundhedsklinikken i København og mere end 2 år, si-
den vi slog døren op til sundhedsklinikken i Aarhus i december 2013. Rigtig meget er sket siden da,
men ét står fast – behovet for sundhedsklinikken er stort og intet tyder på, at de udokumenterede
migranter i nærmeste fremtid vil få fuld adgang til det offentlige sundhedsvæsen.
Siden vi åbnede og frem til 1. januar 2016, har klinikken i København og Aarhus tilsammen behandlet
mere end 3200 patienter, som har besøgt klinikken mere end 9800 gange. Tallene taler for sig selv –
rigtig mange syge mennesker og gravide kvinder har haft stor glæde af vores tilbud om sundheds-
hjælp.
Sundhedsklinikken tager afsæt i kernen af Røde Kors´ vision om at forhindre og afhjælpe menneske-
lig nød, lidelse og diskrimination. Den bygger på Røde Kors´ principper om medmenneskelighed,
upartiskhed, uafhængighed og ikke mindst frivillighed. Sundhedsklinikken er på alle måder en hjerte-
sag for Røde Kors.
Det er vigtigt at huske - og kan ikke siges for ofte - at klinikken kun kan fungere, fordi henved 300
frivillige stiller deres tid og faglighed til rådighed i København og Aarhus. Læger, sygeplejersker,
tandbehandlere, jordemødre, fysioterapeuter, bioanalytikere, psykologer, tolke og andre hjælpere bi-
drager hver især med deres viden og frivillige arbejdskraft, så alle patienter får den bedste professio-
nelle sundhedsbehandling. Uden den store frivillige indsats ville klinikken ikke eksistere, og vi ville ik-
ke kunne behandle de mennesker, som ikke har andre sundhedstilbud.
Klinikken er kun mulig ved finansiering af private fonde og donationer. Især OAK Foundation Dan-
mark har støttet klinikken med mange penge, været en uvurderlig støtte og bakket op, således at kli-
nikken har kunnet fortsætte arbejdet og udvide med en afdeling i Aarhus. I 2015 har henved 50 loka-
le Røde Kors-afdelinger tilsammen doneret ca. 1,8 mio. kr. Nogle afdelinger støttede også i 2014, nye
er kommet til i 2015. Alt i alt har 78 forskellige lokalafdelinger bidraget til klinikkens drift. En fanta-
stisk opbakning, der gør, at klinikken trygt kan fortsætte arbejdet. Det er af meget stor betydning, at
så mange lokalafdelinger støtter klinikken og på den måde viser, at Røde Kors står sammen.
Sundhedsklinikken har ved udgivelser af årsrapporter om klinikkens arbejde gennem 4�½ år synlig-
gjort et udækket behov for sundhedshjælp til en sårbar gruppe mennesker. Røde Kors kan derved
dokumentere og sikre nødvendig sundhedshjælp til de mennesker, som opholder sig i Danmark, men
som ikke har fuld adgang til sundhedshjælp. Lidelserne er mange og forskellige, men alle patienter
bliver modtaget og behandlet af frivillige. Det understreger, at en frivillig indsats kan gøre en kæmpe
forskel.
Anders Ladekarl, Generalsekretær i Røde Kors
2
SUU, Alm.del - 2015-16 - Bilag 467: Henvendelse af 14/3-16 fra Røde Kors vedr. årsrapport 2015 for Sundhedsklinik for udokumenteret migranter
1610597_0003.png
INDHOLD
1
2
3
4
Den frivillige indsats ................................................................ 4
Målgruppen .............................................................................. 5
Ydelser i klinikken ................................................................... 7
Statistik modtagelsen .............................................................. 8
4.1 Antallet af patienthenvendelser i København ............................ 8
4.2 Antallet af patienthenvendelser i Aarhus ................................ 10
4.3 Hvor kommer patienterne fra i København ............................. 12
4.4 Hvor kommer patienterne fra i Aarhus................................... 13
4.5 Alders- og kønsfordeling i København ................................... 14
4.6 Alders- og kønsfordeling i Aarhus ......................................... 15
4.7 Sundhedsydelser – hvad spørges der efter i København .......... 17
4.8 Sundhedsydelser – hvad spørges der efter i Aarhus ................ 18
4.9 Den akutte tandbehandling i København ................................ 18
4.10
Fysioterapi i København ................................................. 19
5
Statistik lægejournaler .......................................................... 21
5.1 Nationalitet i København...................................................... 21
5.2 Nationalitet i Aarhus ........................................................... 22
5.3 Alders- og Kønsfordeling i København ................................... 23
5.4 Alders- og Kønsfordeling i Aarhus ......................................... 25
5.5 Diagnoser .......................................................................... 26
5.6 De gravide kvinder og de nyfødte børn i København ............... 28
5.7 Sundhedsplejerske i København ........................................... 29
5.8 De gravide kvinder i Aarhus ................................................. 29
5.9 Laboratorieprøver i København ............................................. 30
5.10
Laboratorieprøver i Aarhus ............................................. 31
6
7
Patienterne ............................................................................ 33
Afsluttende kommentarer ...................................................... 34
3
SUU, Alm.del - 2015-16 - Bilag 467: Henvendelse af 14/3-16 fra Røde Kors vedr. årsrapport 2015 for Sundhedsklinik for udokumenteret migranter
1
DEN FRIVILLIGE INDSATS
Sundhedsklinikken er i høj grad afhængig af og baseret på frivillig, men professionel arbejdskraft. Kli-
nikken har i alt 295 frivillige. Klinikken kan kun fungere, fordi alle disse engagerede frivillige har stil-
let deres tid og kompetencer til rådighed.
Det er kun den daglige leder samt en deltidsmedarbejder i København og en deltidsmedarbejder i
Aarhus, som er ansat af Røde Kors til at lede, drive og koordinere indsatsen i klinikken.
Alle frivillige sundhedsbehandlere har autorisation og mindst 5 års erfaring. Interessen for at være
frivillig i klinikken har været og er fortsat meget stor. De fleste henvender sig af sig selv, og når der
er behov for udvidelse, bliver de, der er på ventelisten kontaktet.
Efter mere end tre år består den aktive frivillige stab af:
30 læger i København og 15 læger i Aarhus, som på skift har vagt i klinikken, et par af disse
fungerer som vikarer. To læger fungerer som virksomhedsansvarlige læger – en i København
og en i Aarhus.
35 speciallæger i København, herunder også andre private klinikker som røntgenklinik, øjen-
læge mv., samt psykiatere og psykologer, som kan kontaktes efter behov. Ikke alle har været
brugt endnu. 18 speciallæger i Aarhus.
41 sygeplejersker i København og 17 i Aarhus, som på skift har vagt i klinikken enten i mod-
tagelsen eller ved at bistå lægen i konsultationen. Af disse personer er de fleste sygeplejer-
sker, men der et par stykker med anden sundhedsuddannelse, som hjælper i modtagelsen.
8 jordemødre i København og 7 i Aarhus, som på skift har vagter i klinikken. Der er fem akti-
ve ad gangen. Nogle kan træde til som vikarer eller med særlige kompetencer.
15 bioanalytikere i København og 12 i Aarhus som på skift har vagter i klinikken, eller som er
vikarer.
6 fysioterapeuter i København, hvoraf de tre har vagter i klinikken, to er stand by og en kan
bruges til børnefysioterapi. 2 fysioterapeuter i Aarhus, som der laves ad-hoc aftaler med.
18 tandbehandlere (tandlæger og klinikassistenter) i København, hvoraf et par stykker er
stand by ved sygdom eller som afløser.
40 tolke, som kan tolke på telefonen til både København og Aarhus.
16 ekstra frivillige i København og 10 i Aarhus, som på skift går til hånde i klinikken, åbner
for patienterne og hjælper med at hente medicin på apoteket.
En farmaceut i København og en i Aarhus, som holder orden på indkøbt medicin.
En sundhedsplejerske i København og en sundhedsplejerske i Aarhus, som tager sig af råd-
givning til familier med små børn.
4
SUU, Alm.del - 2015-16 - Bilag 467: Henvendelse af 14/3-16 fra Røde Kors vedr. årsrapport 2015 for Sundhedsklinik for udokumenteret migranter
2
MÅLGRUPPEN
Sundhedsklinikkens patientgrundlag er udokumenterede migranter i Danmark. Det er menne-
sker, som ikke har lovligt ophold i Danmark og derfor kun har adgang til akutte sundhedsydelser
i det offentlige sundhedsvæsen. Det kan være udenlandske kvinder og mænd, som søger arbej-
de eller er handlet til prostitution eller i tvangsarbejde, afviste asylansøgere og deres familier,
slægtninge til herboende, som ikke kan få bevilget familiesammenføring, herunder kvinder, der
bliver gift med en herboende mand. Det kan være mennesker, som søger familiesammenføring,
og som er kommet til landet, inden tilladelsen foreligger. Det kan være tidligere studerende fra
Europa, USA eller tredjeverdens lande og au pair-kvinder, der ikke rejser hjem, når deres kon-
traktforhold udløber.
Fælles for målgruppen er, at den omfatter personer, som ikke har det gule sundhedskort eller private
sygeforsikringer og heller ikke dansk cpr.nr. De kan dermed kun i begrænset omfang modtage gratis
lægehjælp i det offentlige sundhedsvæsen.
Patienterne kommer fra hele verden, men i klinikken i København kommer der flest fra Afrika, Asien
og Østeuropa. I klinikken i Aarhus kommer der flest fra Mellemøsten, Afrika og Østeuropa. Flere afri-
kanere har midlertidig opholdstilladelse i Italien eller Spanien.
I december 2014 udkom Rockwool Fondens Forskningsenhed med en rapport om den illegale indvan-
dring i Europa
1
. Den beskriver bl.a., hvor migranterne kommer fra, migranternes motiver for at mi-
grere, deres alder og fordeling af mænd og kvinder. Klinikkens patienter er på mange måder repræ-
sentative for rapportens konklusioner – at de fleste migranter kommer fra Afrika, Mellemøsten, Asien
og Østeuropa, at de migrerer for at finde arbejde og kunne opretholde en eksistens pga. fattigdom og
social ulighed i eget land, at de typisk er mellem 20-40 år, og at der i gennemsnit er flere mænd end
kvinder. Og intet tyder på, at migrationen er blevet eller vil blive mindre i fremtiden. Rapporten an-
slår, at der med stor sandsynlighed er omkring 32.000 migranter i Danmark.
Som det er nu, giver sundhedsloven mulighed for akut behandling af alle mennesker, men der er stor
usikkerhed om, hvordan akut skal defineres. Og mange mennesker fx med kroniske lidelser (diabe-
tes, for højt blodtryk, astma m.v.) eller graviditeter falder uden for akutlovgivningen. I sundhedsmi-
nisteriets seneste redegørelse udgivet efteråret 2014, konkluderer sundhedsministeriet, at Danmark
opfylder sine forpligtelser med gældende lovgivning, og at akutte tilfælde i sidste ende beror på et
lægefagligt skøn.
2
Akutlovgivningen og usikkerheden om definition af, hvad der er akut, var netop baggrunden for op-
rettelsen af sundhedsklinikken. De tre organisationer bag klinikken er uenige i, at udokumenterede
migranter kun tilbydes akut behandling og ønsker derfor lige adgang til sundhed for alle. Dette er fle-
re gange kommenteret overfor sundhedsministeriet. Lige så har de tre organisationer i et brev til
sundhedsministeren påpeget et behov for at gravide kvinder og børn får lige adgang til forebyggende
jordemoderundersøgelser og
Der er fortsat usikkerhed om, hvordan man i det offentlige sundhedsvæsen kan behandle og registre-
re mennesker uden cpr.nr. Samtidig er der stor usikkerhed hos målgruppen: hvad er deres rettighe-
der, tør de bruge et offentligt system uden at blive anmeldt, skal man betale etc.?
1
"Den illegale indvandring til Europa og til Danmark. Årsager, omfang og betydning" af Torben Tranæs og Bent
Jensen. Rockwool fondens forskningsenhed, Gyldendal
2
"Sundhedsydelser til uregistrerede migranter"
Sundheds- og Forebyggelsesudvalget, Udvalget for Udlændinge- og Integrationspolitik 2013-14 SUU Alm.del Bilag
630, UUI Alm.del Bilag 148 Offentligt. Ministeriet for sundhed og forebyggelse
5
SUU, Alm.del - 2015-16 - Bilag 467: Henvendelse af 14/3-16 fra Røde Kors vedr. årsrapport 2015 for Sundhedsklinik for udokumenteret migranter
De tidligere rapporter om sundhedsklinikken blev publiceret i april 2012, oktober 2012, april 2013,
april 2014 og april 2015. Alle rapporter er sendt til sundhedsministeren og folketingets sundhedsud-
valg til orientering og med det formål at tilvejebringe dokumentation om målgruppens behov samt
skabe politisk forståelse for problemstillingen. Sundhedsministeriet har da også brugt data fra sund-
hedsklinikken i redegørelsen: "Sundhedsydelser til uregistrerede migranter."
6
SUU, Alm.del - 2015-16 - Bilag 467: Henvendelse af 14/3-16 fra Røde Kors vedr. årsrapport 2015 for Sundhedsklinik for udokumenteret migranter
3
YDELSER I KLINIKKEN
Sundhedsklinikken tilbyder den nødvendige sundhedshjælp, som målgruppen ikke kan få i det offent-
lige sundhedsvæsen. Med udgangspunkt i lægeløftet og medmenneskelighed behandler de frivillige i
klinikken patienternes sygdomme, så de ikke udvikler sig til akutte og livstruende situationer. Klinik-
ken har også en vigtig funktion med at behandle smitsomme sygdomme både af hensyn til patienten,
men også for at begrænse smitterisikoen i forhold til det øvrige samfund. Ligeledes er det en vigtig
opgave at tilse og rådgive de gravide kvinder, som ikke har adgang til almindelig jordemoderkontrol.
Klinikken i København har åben tre gange om ugen fra kl. 17 – 20 med:
-
To læger og tre sygeplejersker om mandagen,
-
Jordemoder, læge og to sygeplejersker om onsdagen,
-
Læge, to sygeplejersker og skiftevis tandbehandlere og fysioterapeuter om torsdagen.
-
Hver aften er der bioanalytikere til at forestå blodprøver og en hjælper i modtagelsen til at gå
til hånde.
-
To gange om måneden er der sundhedsplejerske – fredag formiddag kl. 10 – 12
Behovet for akut tandbehandling har vist sig så stort, at det ikke kan klares med tre timer hver anden
uge. I de fleste mellemliggende uger tilbydes akut tandbehandling uden for normal åbningstid.
Hvis patienterne har brug for en speciallæge, kan de henvises til en bred vifte af frivillige speciallæ-
ger, som tilbyder deres hjælp enten i egen klinik, eller via individuelle aftaler uden for åbningstiden i
klinikken. Det betyder, at klinikken i gennemsnit har patienter i mere end 15 timer om ugen - almin-
delig åbningstid samt individuelle aftaler.
Klinikken i Aarhus har åbent to gange om ugen fra kl. 17 – 20 med:
-
En læge og to sygeplejersker mandag
-
En læge, to sygeplejersker og en jordemoder torsdag
-
Bioanalytiker og hjælper i modtagelsen begge aftener
Behovet for akut tandbehandling viser sig ligeledes i Aarhus. Pt. har vi kun mulighed for at henvise
patienterne til kommunens akutberedskab for udsatte borgere. Dette tilbud har hidtil været baseret
på egenbetaling, men i den seneste bevilling fra OAK Foundation er der afsat midler til etablering af
et tandtilbud i klinikken. Indtil videre bruges en lille del af pengene til at betale for behandling i kom-
munens akutberedskab, mens en afklaring på eget tandbehandlingstilbud i klinikken afventes.
Beredskabet af speciallæger bygges op efter behov og fungerer på samme måde som i København,
nemlig at der laves ad-hoc aftaler.
Der er desuden tilknyttet en del frivillige tolke, som yder telefontolkning for både klinikken i Køben-
havn og Aarhus. Det foregår dels ved vores egne frivillige tolke, dels ved professionel tolkebistand fra
Translation Team, hvor deres tolke yder frivillig tolkebistand.
Patienterne har ofte et familiemedlem eller en ven med, som kan bistå med oversættelse, men udfor-
dringen er at sikre en korrekt oversættelse. En del af oversættelsen kan gå tabt ved ikke at bruge vo-
res egne tolke. Patienten kan også tilbageholde vigtige oplysninger pga. familiens eller vennens til-
stedeværelse.
7
SUU, Alm.del - 2015-16 - Bilag 467: Henvendelse af 14/3-16 fra Røde Kors vedr. årsrapport 2015 for Sundhedsklinik for udokumenteret migranter
1610597_0008.png
4
STATISTIK MODTAGELSEN
De følgende grafer angiver data fra modtagelsen registreret i København og Aarhus. Data fra modta-
gelsen indeholder oplysninger på samtlige patienthenvendelser i klinikken – også alle gengangerne.
Data fra modtagelsen er gjort op for perioden 2015. Data opgøres for hver af de to afdelinger af kli-
nikken i København og Aarhus.
For begge klinikker gælder, at alle patienter bliver modtaget af en sygeplejerske, som foretager en
visitation ved at spørge til årsag for henvendelsen, om patienten tidligere har modtaget sundheds-
hjælp i Danmark, om han/hun har været i klinikken før og om deres juridiske opholdsstatus. Der ud
over beder vi om personlige data som navn, fødselsdato, nationalitet, telefonnummer og spørger om,
hvor de har hørt om klinikken.
4.1
Antallet af patienthenvendelser i København
Behovet for sundhedsklinikken i København er fortsat stort. Klinikken modtager hele tiden nye patien-
ter, selv om der også er mange gengangere:
Efter det første halve år havde klinikken haft 504 henvendelser og opført 222 journaler.
Efter et år havde klinikken haft 1343 henvendelser og opført 597 journaler.
Efter 1�½ år har klinikken haft 2441 henvendelser og opført 993 journaler.
Efter mere end to år har klinikken haft 4537 henvendelser og opført 1630 journaler.
Efter mere end tre år har klinikken haft 6939 henvendelser og opført 2354 journaler.
Efter mere end 4�½ år har klinikken haft 9403 henvendelser og opført 3087 journaler.
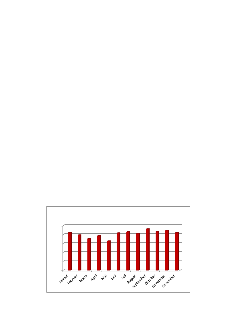
Antallet af patienthenvendelser er 2461 mod 2401 i 2014. Antallet af patienthenvendelser pr. måned i
2015 ligger i gennemsnit på ca. 200. De tidligere år har der været markant færre patienter i august
og december. I 2015 er dette mønster ikke så tydeligt, idet marts og maj har været de måneder, der
har været færrest henvendelser. Klinikkens åbningstilbud matcher behovet indtil videre: der er ikke
grundlag for at udvide åbningstiden endnu.
Antal patienter pr. måned Kbh.
250
200
150
100
50
0
212
198
178
194
164
209 216 207
232
218 224 212
Figuren angiver, hvor mange patienter, der er kommet til klinikken i København hver måned i 2015 (inklusiv gen-
gangere).
8
SUU, Alm.del - 2015-16 - Bilag 467: Henvendelse af 14/3-16 fra Røde Kors vedr. årsrapport 2015 for Sundhedsklinik for udokumenteret migranter
1610597_0009.png
Antallet af patienthenvendelser i gennemsnit pr. åbningsaften er opgjort måned for måned. Tallene
indeholder også de patienter, som er blevet tilset af en speciallæge inden almindelig åbningstid. Det
er typisk mellem 2-10 patienter om ugen afhængig af, om der også har været ekstra tandbehandling.
Gennemsnittet for hele året ligger på 16,6 patienthenvendelser pr. åbningsaften. Og igen med lidt
færre i marts mens maj har gennemsnitlig antal henvendelser, hvilket kan skyldes et par helligdage.
Patientgennemsnittet i juli er også lavere, da der var forholdsvis flere åbnedage i juli måned og knap
så mange ekstra konsultationer. Mønsteret følger stort set det samlede antal henvendelser pr. må-
ned.
Antal patienter i gennemsnit pr. aften i Kbh.
20
18
16
14
12
10
8
6
4
2
0
17,7
16,5
13,7
16,2
16,4
17,8
16
15,5
16
19,3
16,8
17,2
Figuren angiver, hvor mange patienter, der kommer i gennemsnit for hver åbningsaften i København opgjort pr.
måned i 2015.
I modtagelsen bliver patienterne noteret for, om det er deres første besøg i klinikken, eller om de har
været her før. Figuren om førstegangs-henvendelser og gengangere giver et billede af, at klinikken
hele tiden modtager nye patienter, men at der også er mange gengangere. Budskabet om klinikkens
tilbud er nået vidt ud blandt andre sociale aktører i København og omegn. Flere hospitaler henviser
patienter til klinikken for opfølgende behandling, og rigtig mange tidligere patienter fortæller om kli-
nikken til andre migranter.
Klinikken ser mange patienter mere end en gang. Det kan være patienter, som er i længerevarende
behandling, gravide som kommer flere gange til jordemoder eller patienter, som kommer igen, fordi
de får nye sygdomme. For en del patienter fungerer klinikken som deres praktiserende læge. Antallet
af gengangere er ca. dobbelt så stort som antallet af nye patienter.
9
SUU, Alm.del - 2015-16 - Bilag 467: Henvendelse af 14/3-16 fra Røde Kors vedr. årsrapport 2015 for Sundhedsklinik for udokumenteret migranter
1610597_0010.png
1. gangs besøg og gengangere i Kbh.
180
160
140
120
100
80
60
40
20
0
59
61
65
55
66
60
65
73
69
75
62
117
153
156
146
129
109
143
142
159
149
137
162
52
Figuren angiver hvor mange nye patienter og gengangere, der er kommet måned for måned i København i 2015
(rød = førstegangs besøgende, grøn = gengangere).
4.2
Antallet af patienthenvendelser i Aarhus
I december 2013 åbnede en ny afdeling af klinikken i Aarhus. Antallet af patienthenvendelser pr. må-
ned er stadig noget mindre end i klinikken i København. Den store udfordring har været at få formid-
let budskabet om klinikken til målgruppen. I modsætning til København er der ikke et etableret net-
værk af de sociale tilbud i Aarhus. I København blev klinikken meget hurtig kendt af målgruppen, for-
di de andre sociale organisationer straks formidlede budskabet og sendte patienter til klinikken. I
Aarhus går budskabet for det meste fra patient til patient, og det tager tid på den måde.
Noget tyder dog på, at viden om klinikken stille og roligt breder sig. Alle organisationer i Aarhus be-
kræfter, at der er mange migranter i Aarhus og omegn, og at der er behov for klinikken.
Fra 5. december 2013 til og med 31. december 2014 har klinikken haft 260 henvendelser svarende til
87 patienter.
Fra 5. december 2013 til og med 31. december 2015 har klinikken i alt haft 495 henvendelser sva-
rende til 173 patienter.
Maj og juni måned har været måneder med færrest patienter. I 2014 var det december, marts og
maj. Der synes ikke at være et mønster i antallet af henvendelser pr. måned. Der er i gennemsnit 2,4
patienter hver åbningsaften.
10
SUU, Alm.del - 2015-16 - Bilag 467: Henvendelse af 14/3-16 fra Røde Kors vedr. årsrapport 2015 for Sundhedsklinik for udokumenteret migranter
1610597_0011.png
Antal patienter pr. måned i 2015 i Aarhus
30
25
20
15
10
5
0
16
16
13
13
29
24
19
15
23
25
21
21
Figuren angiver antallet af patienthenvendelser pr. måned i Aarhus i 2015.
Antallet af patienthenvendelser pr. måned matcher antallet af patienter i gennemsnit pr. åbningsaf-
ten. Indtil videre kan vi klare det med de to åbningsaftener og den tilhørende besætning af behandle-
re.
Sammenlignet med København hører den pointe, at der er langt flere tilbud uden for normal åbnings-
tid i København. Tilbud som er kommet til ad åre. Stille og roligt bygges netværket af speciallæger og
andre sundhedstilbud op i Aarhus, hvilket i fremtiden vil betyde flere patienter i gennemsnit.
Antal patienter i gennemsnit pr. aften i Aarhus
3,5
3
2,5
2
1,5
1
0,5
0
2
2
2,7
2,7
2,2
1,4
2,6
3,2
2,8
2,3
1,9
3
Figuren angiver antallet af patienthenvendelser i gennemsnit pr. åbningsaften i Aarhus i 2015.
I modsætning til antal gengangere i København, er der flere måneder med flere nye patienter end
gengangere i Aarhus. En positiv udvikling, der fortæller, at der hele tiden kommer nye patienter til
Aarhus. Enkelte måneder er antallet af gengangere større end nye patienter. Men også i Aarhus tyder
noget på, at klinikken bruges som egen praktiserende læge.
11
SUU, Alm.del - 2015-16 - Bilag 467: Henvendelse af 14/3-16 fra Røde Kors vedr. årsrapport 2015 for Sundhedsklinik for udokumenteret migranter
1610597_0012.png
1. gangs besøg og gengangere i Aarhus
20
20
18
16
14
12
10
8
6
4
2
0
7
4
9
12
10
7
5
3
8
14
12
10
13
10
8
8
7
11
10
9
17
13
8
Figuren angiver hvor mange nye patienter og gengangere, der har besøgt klinikken i Aarhus hver måned i 2015
(lilla = nye patienter, gul = gengangere).
4.3
Hvor kommer patienterne fra i København
Patienterne kommer fra hele verden og fra flere og flere forskellige lande.
Fordelingen af patienter på nationalitet er for nemheds skyld opgjort i verdensdele, da patienterne
kommer fra 119 forskellige lande. I rapporten fra 2014 kom patienterne fra 115 forskellige lande – en
lille stigning i spredning af nationaliteter.
Patienter fra Asien fylder mest, hvis man alene ser på besøgstallet i 2015. De dækker mere end 13
forskellige lande. De fleste kommer fra Filippinerne, Bangladesh, Afghanistan, Thailand, Pakistan og
Indien.
Fra Afrika kommer der stadig mange patienter. De kommer fra 30 forskellige lande, primært fra Nige-
ria, Ghana, Zimbabwe, Sierra Leone, Marokko, Algeriet, Tunesien, Egypten og Elfenbenskysten.
Patienter fra Østeuropa dækker mere end 22 forskellige lande. De fleste kommer fra Rumænien, Po-
len, Rusland, Estland, Letland, Litauen, Serbien, Slovakiet, Tyrkiet og Bulgarien.
Patienter fra Mellemøsten dækker mere end 10 forskellige lande. De fleste kommer fra Iran, Irak, Pa-
læstina, Syrien og Libanon.
Patienter fra Vesteuropa dækker mere end 14 forskellige lande. De fleste kommer fra Spanien, Itali-
en, Portugal, England og Frankrig. Flere af patienterne fra Spanien og Italien er formodentlig afrika-
nere, som har opgivet det land, de har opholdstilladelse i. Resten dækker over vesteuropæere, som
har opholdt sig i Danmark i mere end tre måneder, og som ikke er registrerede. Det samme gælder
enkelte danskere, der ikke mere er registreret i folkeregistret og derfor ikke har gyldigt cpr.nr.
12
SUU, Alm.del - 2015-16 - Bilag 467: Henvendelse af 14/3-16 fra Røde Kors vedr. årsrapport 2015 for Sundhedsklinik for udokumenteret migranter
1610597_0013.png
Patienter fra Mellem- og Sydamerika dækker lande som Mexico, Peru, Brasilien, Venezuela, Uruguay,
Paraguay, Chile, Argentina, Dominikanske Republik, Jamaica, Guatemala, Colombia, Ecuador, Nicara-
gua og Cuba. Mexico og Brasilien tæller flest.
Australien og New Zealand giver sig selv. USA er ikke nærmere specificeret i stater, men grafen dæk-
ker også et par patienter fra Canada.
Det er værd at bemærke, at klinikken igen i løbet af 2015 har set et stigende antal patienter fra Asi-
en. I 2015 er der igen kommet flere patienter fra Asien end fra Afrika og Østeuropa. Stigningen skyl-
des især flere mænd fra Indien, Pakistan og Bangladesh, men i gruppen af asiater er der også en stor
andel af kvinder, som tidligere har været au pairs.
Fordeling på nationalitet i Kbh.
791
800
700
600
500
400
300
200
100
0
720
686
123
80
36
27
6
Figuren viser antallet af patienter fra de verdensdele, de oprindeligt kommer fra opgjort for de patienter, der har
besøgt klinikken i København i 2015.
4.4
Hvor kommer patienterne fra i Aarhus
I klinikken i Aarhus kommer patienterne fra 46 forskellige lande. I 2014 var 29 lande repræsenteret,
hvilket betyder en pæn fremgang i forskellige nationaliteter. Fordelingen er opgjort i verdensdele. De
fleste patienter kommer fra Asien, Afrika, Mellemøsten og Østeuropa. I 2014 var andelen af afrikane-
re meget lavere, de lå på en fjerde plads i forhold til 2015, hvor de ligger på andenpladsen. Noget ty-
der på, at patienterne i Aarhus indtil videre kommer fra boligområderne i udkanten af byen, og at de
fleste bor hos familie. Der kommer også hjemløse migranter primært fra Østeuropa.
Fra
Fra
Fra
Fra
Fra
Asien kommer de fleste fra Afghanistan, Filippinerne, Bangladesh og Vietnam.
Afrika kommer de fleste patienter fra Marokko, Nigeria, Algeriet, Egypten, Zambia og Somalia.
Østeuropa kommer de fleste fra Rumænien, Ukraine og Polen.
Mellemøsten kommer patienterne primært fra Irak, Iran, Libanon, Syrien og Palæstina.
Sydamerika kommer de fleste patienter fra Brasilien.
13
SUU, Alm.del - 2015-16 - Bilag 467: Henvendelse af 14/3-16 fra Røde Kors vedr. årsrapport 2015 for Sundhedsklinik for udokumenteret migranter
1610597_0014.png
Ligesom patienterne i København bliver patienter fra USA ikke gjort op i delstater, men alene som
værende fra USA.
Patienterne fra Vesteuropa kommer fra Grækenland og Italien, en enkelt fra Danmark.
Fordeling på nationalitet i Aarhus
80
70
60
50
40
30
20
10
0
76
55
51
24
18
8
2
Figuren viser antallet af patienter fra de verdensdele, de oprindeligt kommer fra opgjort for de patienter, der har
besøgt klinikken i Aarhus i 2015.
4.5
Alders- og kønsfordeling i København
Det er fortsat aldersgruppen fra 19–40 år, som fylder mest, men der kommer efterhånden også flere
mellem 41–50 år. Der er dog en forskel i fordelingen på aldersgrupper sammenlignet med 2014. I
2014 var det i aldersgruppen 19-30 år, hvor der var flest henvendelser. I 2015 er det aldersgruppen
31-40 år. Børn fra 0–18 år er faldet en smule fra 2014, og det er især nyfødte og mindre børn, der
kommer flere af. Alle gravide kvinder, som bruger klinikken, får besked på at komme igen efter føds-
len og medbringe deres barn, så vi kan være sikre på, at alle nyfødte kommer i gang med børnevac-
cinationsprogrammet. Flere kvinder fortæller dog, at de enten har fået opholdstilladelse, eller at
mandens læge tager sig af børnene. Vi ser også, at de mindre børn benytter sig af klinikkens tilbud
om almindelig lægehjælp.
At langt de fleste patienter befinder sig i alderen 19 – 40 år kan hænge sammen med, at mange af de
udokumenterede migranter, som henvender sig i klinikken, er kommet til Danmark for at søge arbej-
de, søge opholdstilladelse eller blive familiesammenført.
Gruppen af patienter tæller stadig flest mænd. Fordelingen på køn er næsten den samme, som vi he-
le tiden har set i København, dog er antallet af kvinder steget med 2 %.
14
SUU, Alm.del - 2015-16 - Bilag 467: Henvendelse af 14/3-16 fra Røde Kors vedr. årsrapport 2015 for Sundhedsklinik for udokumenteret migranter
1610597_0015.png
Aldersfordeling København
900
800
700
600
500
400
300
200
100
0
818
881
512
145
60
42
6
0-18 år 19-30 år 31-40 år 41-50 år 51-60 år 61-70 år 70 - år
Antallet af besøgende i København i 2015 fordelt på de enkelte aldersgrupper.
Kønsfordeling København
Piger; 29; 1%
Kvinder; 1149;
47%
Mænd; 1261;
51%
Drenge; 25; 1%
Fordelingen af antallet af besøgende i København i 2015 fordelt på køn.
4.6
Alders- og kønsfordeling i Aarhus
Lig København er de fleste patienter i Aarhus mellem 19–40 år. Der er dog en markant større gruppe
fra 19-30 år. Procentvis tæller børnene også mere end i København. I 2014 var der 18 henvendelser
med børn, i 2015 er det steget til 27. I gruppen af patienter i Aarhus er der typisk mange flere, som
er relateret til herboende familier, og at de selv udgør en del af en familie med deres børn, dog uden
at være registrerede.
15
SUU, Alm.del - 2015-16 - Bilag 467: Henvendelse af 14/3-16 fra Røde Kors vedr. årsrapport 2015 for Sundhedsklinik for udokumenteret migranter
1610597_0016.png
Aldersfordeling Aarhus
140
120
100
80
60
40
20
0
0-18
19-30
31-40
41-50
51-60
61-70
71-
27
41
28
11
0
2
124
Antallet af besøgende i Aarhus i 2015 fordelt på aldersgrupper.
Der er en markant forskel på kønsfordelingen mellem patienter i København og i Aarhus. I Aarhus
tæller kvinderne flest, og der er som skrevet før forholdsmæssigt flere børn. Det passer fint med bil-
ledet, at vi ser mange gravide kvinder, der bor hos deres ægtefælle, og at de har børn i forvejen,
som heller ikke har dansk opholdsgrundlag. Der er en markant stigning i antallet af kvinder fra 55 % i
2014 til 68 % i 2015. Ligeså er antallet af børn steget: pigerne med 3 % i 2014 til 7 % i 2015, dren-
gene er til gengæld faldet med én procent fra 5 % til 4 %.
Kønsfordeling Aarhus
Piger; 16; 7%
Mænd; 49;
21%
Drenge; 10; 4%
Kvinder; 160;
68%
Fordelingen af antallet af besøgende i Aarhus i 2015 fordelt på køn.
16
SUU, Alm.del - 2015-16 - Bilag 467: Henvendelse af 14/3-16 fra Røde Kors vedr. årsrapport 2015 for Sundhedsklinik for udokumenteret migranter
1610597_0017.png
4.7
Sundhedsydelser – hvad spørges der efter i København
Ydelserne i klinikken er primært lægeydelser. Men en del kommer også for at besøge jordemoderen.
Nogle gravide kommer én gang, de fleste flere gange, inden de føder. Antallet af henvisninger til spe-
ciallæger dækker såvel de konsultationer, som foregår hos speciallægen selv som de, der foregår i
klinikken uden for åbningstid. Der er især henvist en del patienter til hudlæge, øre-, næse-, halslæge,
gynækolog, øjenlæge, reumatolog, røntgen, ultralyd, neurolog, psykiater samt diabetes teamet.
Vi har gennem de sidste par år set et stigende antal patienter med diabetes - både type 1 og type 2.
Flere af dem er ikke særlig godt reguleret i medicinen og kunne i det hele taget have et bedre liv,
hvis de også fik anvisninger på kost og bevægelse. Alle diabetes patienter får mulighed for at blive
tilset og reguleret af en læge og sygeplejerske med speciale i diabetes, hvis der er behov for dette.
Der er en fodterapeut til rådighed, som tilser eventuelle sår på fødderne.
Fysioterapi har knap så mange patienter, men er dog blevet et etableret tilbud, som flere og flere pa-
tienter efterspørger. Der tilbydes kun fysioterapi hver anden torsdag og vi kan kun nå ca. 4 patienter
på en aften. Der er dog stadig langt flere patienter, der kunne have glæde af denne behandling, da
mange qua deres livssituation har lidelser i bevægeapparatet og muskelspændinger.
Den akutte tandbehandling er meget efterspurgt. Der er i gennemsnit næsten tandbehandling hver
uge – hver anden torsdag aften som det faste tilbud og ind imellem mandag formiddag eller torsdag
eftermiddag. Antallet af henvendelser om akut tandbehandling svarer ikke 100 % til det antal, som
også bliver behandlet. Nogle opgiver og forlader klinikken igen, da der ofte er lang ventetid. Men de
er blevet visiteret og noteret som en henvendelse og tæller derfor med i opgørelsen af henvendelser.
Antallet af indlæggelser og henvisninger til skadestue og abort viser et minimumstal. Der kan godt
gemme sig et par henvisninger mere, som kun figurerer i journalteksten. Indlæggelserne har især
handlet om diabetes, blodpropper, blindtarmsbetændelse, TB, spontane aborter, uregelmæssigheder
med graviditet, for højt blodtryk og hjerteproblemer.
Ydelser i København.
1780
1800
1600
1400
1200
1000
800
600
400
200
0
215
212
185
55
36
43
39
34
18
Opgørelse over de sundhedsydelser der efterspørges i København i 2015 ved henvendelsen i modtagelsen og som
opfølgende behandling.
17
SUU, Alm.del - 2015-16 - Bilag 467: Henvendelse af 14/3-16 fra Røde Kors vedr. årsrapport 2015 for Sundhedsklinik for udokumenteret migranter
1610597_0018.png
4.8
Sundhedsydelser – hvad spørges der efter i Aarhus
I Aarhus handler de fleste henvendelser ligeledes om at blive tilset af lægen. Der kommer også man-
ge kvinder, der gerne vil til jordemoder, hvilket afspejles i kønsfordelingen. Modsat København har
der fra starten været flere patienter, som selv har efterspurgt psykologsamtaler.
Der er ikke noget fast tilbud om fysioterapi, men klinikken råder over en frivillig fysioterapeut, som
kommer efter aftale og behov.
Henvisninger til tandlæge dækker over henvisninger til kommunens socialmedicinske klinik, som har
et akut tandbehandlingstilbud til udsatte borgere. Der er brugerbetaling for alle, derfor kan de udo-
kumenterede migranter benytte dette tilbud, hvis de har penge til det. Antallet af henvisninger til det-
te tandbehandlingstilbud er kun en lille del af de patienter, som kommer med tandproblemer. Derfor
skal der i 2016 arbejdes på et mere permanent akut tandbehandlingstilbud til patienterne i Aarhus.
Ydelser Aarhus
160
140
120
100
80
60
40
20
0
154
38
19
14
13
9
4
3
3
3
1
Opgørelse over de sundhedsydelser der efterspørges i Aarhus i 2015 ved henvendelsen i modtagelsen og som op-
følgning på behandling.
4.9
Den akutte tandbehandling i København
I slutningen af april 2012 fik klinikken indrettet egen tandlægeklinik. De mange henvendelser vidner
om et stort behov for akut tandbehandling. Mange af klinikkens patienter har i kraft af deres sociale
omstændigheder store tandproblemer, da de ikke i deres barndom har modtaget forebyggende tand-
behandling. Ikke alle problemer kan løses i klinikken, men alle bliver behandlet for akutte smerter og
infektioner. Enkelte, mindre rodbehandlinger kan forekomme, men det er en behandling, der kræver
megen tid og flere gentagne behandlinger. Den akutte tandbehandling handler for en stor del om
smertedækning og penicillinbehandling af infektioner i tænder, tandudtrækning og midlertidige fyld-
ninger af store huller.
De fleste henvendelser kan klares med en behandling, men nogle patienter kommer igen for opfølg-
ning eller for nye problemer. I tallene gemmer sig også de henvendelser, hvor patienten er gået for-
gæves og har måttet komme igen næste gang, fordi tandlægen ikke har kunnet nå flere patienter den
18
SUU, Alm.del - 2015-16 - Bilag 467: Henvendelse af 14/3-16 fra Røde Kors vedr. årsrapport 2015 for Sundhedsklinik for udokumenteret migranter
1610597_0019.png
aften. Til gengæld er der ikke talt de patienter, som allerede i døren bliver afvist, fordi vi ikke kan nå
flere tandbehandlinger den pågældende aften. Disse patienter når ikke at blive visiteret og dermed
heller ikke at blive registreret.
I 2014 var der i alt 71 henvendelser angående behov for akut tandbehandling. I 2015 er antallet af
henvendelser steget til 215. En markant stigning, der vidner om det store behov for akut tandbe-
handling.
Akut tandbehandling København
30
25
20
15
10
5
0
22
19
20
18
15
12
12
13
17
20
26
21
Figuren angiver antallet af henvendelser til akut tandbehandling i 2015.
4.10 Fysioterapi i København
Gruppen af patienter med lidelser i bevægeapparatet er stor, og mange af disse kunne have stor
gavn af fysioterapi og anvisning af øvelser og arbejdsstillinger. Det er dog stadig en udfordring at få
formidlet fysioterapi som behandlingsform på lige fod med anden sundhedsbehandling. Mange patien-
ter med smerter i muskler og led har en forventning om medicinsk kur. De har ikke kendskab til fy-
sioterapi som egentlig behandling. Men for de patienter, der har taget imod tilbuddet, er der stor til-
fredshed. De kan mærke en forskel og bedring af deres tilstand.
Vi ser dog flere patienter, som tager imod dette tilbud. Og flere læger opfordrer patienten til at kom-
me igen til fysioterapi.
Fysioterapi er en behandlingsform, der tager længere tid end en lægekonsultation. Det er derfor be-
grænset hvor mange patienter, der kan komme i behandling hver 14. dag. Enkelte måneder har der
kun været fysioterapi én gang pga. helligdage og sygdom hos behandleren. Sammenlignet med antal
henvendelser til fysioterapi i 2014 og 2015, er tallet næsten ens. 55 henvendelser i 2015 mod 56 i
2014.
19
SUU, Alm.del - 2015-16 - Bilag 467: Henvendelse af 14/3-16 fra Røde Kors vedr. årsrapport 2015 for Sundhedsklinik for udokumenteret migranter
1610597_0020.png
Fysioterapi København
9
9
8
7
6
5
4
3
2
1
0
6
6
5
4
3
3
3
4
3
5
4
Figuren angiver antallet af henvendelser til fysioterapi i København i 2015.
20
SUU, Alm.del - 2015-16 - Bilag 467: Henvendelse af 14/3-16 fra Røde Kors vedr. årsrapport 2015 for Sundhedsklinik for udokumenteret migranter
5
STATISTIK LÆGEJOURNALER
I det forrige afsnit – Statistik fra modtagelsen – er der alene brugt data baseret på samtlige henven-
delser i klinikken i 2015. Det betyder, at data indeholder alle besøg inklusiv gengangere.
I dette afsnit om data fra lægejournalerne bruges alene data hentet fra lægejournalerne. Det betyder,
at disse data tæller enkeltpersoner – hver patient har kun én journal. Til gengæld indeholder data fra
journalerne en sammentælling for hele perioden, klinikken har eksisteret, da det ikke er muligt i sta-
tistikprogrammet at isolere 2015.
Til journalerne er knyttet et statistikprogram, hvorfra der kan udtrækkes statistiske oplysninger om
det samlede antal journaler, fordelingen på alder, køn og nationalitet samt de forskellige diagnoser,
der er stillet.
I tidligere rapporter har vi trukket oplysninger om den medicin, der er ordineret på recepter til den
enkelte patient. Men disse tal er ikke dækkende for det egentlige medicinforbrug, da mange patienter
også modtager fx penicillin og smertestillende fra medicinskabet. Derfor vil der i denne rapport ikke
være statistik på medicinudlevering.
Data er alene den samlede opgørelse for hele den periode, hvor de to afdelinger af klinikken har haft
åben, svarende til i alt 3087 journaler.
Efter
Efter
Efter
Efter
Efter
Efter
det første halve år havde klinikken i København oprettet 222 journaler.
et år havde klinikken i København oprettet 597 journaler.
1�½ år havde klinikken i København oprettet 993 journaler.
to år og fire mdr. havde klinikken i København oprettet 1630 journaler.
tre år og fire måneder havde klinikken i København og Aarhus oprettet 2441 journaler.
fire år og fire måneder har klinikken i København og Aarhus oprettet 3260 journaler.
Antallet af journaler viser, at der hele tiden kommer nye patienter, som har brug for sundhedshjælp,
men at antallet af gengangere fortsat er stort, da der for hele perioden har været i alt 9898 henven-
delser.
Hver patient har kun én journal. Dvs. at både læger, jordemødre, fysioterapeuter, tandlæger og spe-
ciallæger skriver i samme journal. Det giver den enkelte behandler et godt samlet overblik over, hvad
der i øvrigt er foretaget for patienten. Patienterne bliver orienteret om dette forhold og har godkendt
det.
Det er desværre ikke muligt at trække oplysninger ud af selve journalteksten om fx henvisninger til
speciallæger eller om andre oplysninger.
De efterfølgende figurer er data hentet fra lægejournalerne og dækkende for hele perioden, siden de
to afdelinger af klinikken åbnede.
5.1
Nationalitet i København
Fordelingen af patienter på nationaliteter er opgjort i verdensdele og matcher næsten billedet af det
samlede antal patienthenvendelser for hele perioden – se figuren s. 13.
I rapporten fra 2013 og fra 2015 kan vi ved kun at se på henvendelserne for de enkelte år påvise, at
antallet af patienter fra Asien er steget. Denne tendens ses stadig i 2015, men i den samlede opgø-
21
SUU, Alm.del - 2015-16 - Bilag 467: Henvendelse af 14/3-16 fra Røde Kors vedr. årsrapport 2015 for Sundhedsklinik for udokumenteret migranter
1610597_0022.png
relse af enkeltpatienter fra klinikkens første åbningsdag i 2011, tæller patienter fra Afrika og Østeu-
ropa stadig flest. Det kan skyldes, at der fra starten af åbningen var så mange flere fra Afrika og Øst-
europa. Der er også i 2015 lidt flere mænd end kvinder fra Asien, end hvad vi så i begyndelsen, hvil-
ket underbygger, at vi i stigende grad ser mænd fra Indien, Bangladesh, Afghanistan og Pakistan.
Gengangerne fordeler sig forholdsmæssigt på nationalitet.
700
600
500
400
300
200
100
0
628
572
Nationalitet København
408
390
349
317
99
77
93
38
2835
1710
48
21
Figuren angiver fordelingen af kvinder og mænd på nationalitet i København (rød = kvinder, grøn = mænd).
5.2
Nationalitet i Aarhus
I Aarhus kommer de fleste patienter fra Mellemøsten, når man alene ser på oprettede journaler og
her er der flest kvinder. Dette kan hænge sammen med, at disse kvinder bor hos eller er gift med en
herboende mand, og at de fleste opsøger klinikken pga. graviditet. Det er kun for så vidt angår pati-
enter fra Østeuropa, at mændene er i flertal. I 2014 var der samlet set flere patienter fra Østeuropa
end Afrika. I 2015 er der samlet set flere patienter fra Afrika end Østeuropa.
Hvis man sammenligner antallet af henvendelser og nationalitet i Aarhus med antallet af journaler og
nationalitet, ses en klar forskel i, at langt flere patienter fra Asien og Afrika har besøgt klinikken ad-
skillige gange. Men reelt er der tale om flest enkeltpersoner fra Mellemøsten. Det kan også skyldes,
at der forholdsmæssigt er kommet flere nye patienter fra Asien og Afrika.
Ellers stemmer det samlede billede fint overens med billedet af henvendelser – se figuren s. 14. Gen-
gangerne fordeler sig forholdsmæssigt på de forskellige nationaliteter.
22
SUU, Alm.del - 2015-16 - Bilag 467: Henvendelse af 14/3-16 fra Røde Kors vedr. årsrapport 2015 for Sundhedsklinik for udokumenteret migranter
1610597_0023.png
35
30
25
20
15
10
5
0
30
31
28
18
13
8
10
9
2
10
33
22
2
Fordeling af patienter på mænd og kvinder i forhold til nationalitet i Aarhus (gul = kvinder, lilla = mænd).
5.3
Alders- og Kønsfordeling i København
Aldersfordelingen på journalerne giver et mere nøjagtigt billede af patienternes alder end opgørelsen
over antallet af henvendelser i 2015 – se figuren s. 15. Men fordelingen matcher fuldstændig alders-
fordelingen for antallet af henvendelser i 2015. Det betyder, at gengangerne fordeler sig jævnt på al-
le aldersgrupper. Langt de fleste patienter er mellem 19 og 40 år.
Aldersfordelingen på kvinderne angiver, at langt de fleste kvinder er mellem 19 og 30 år. Dette kan
hænge sammen med de mange kvinder, der kommer pga. graviditet.
Aldersfordelingen på mændene er centreret på aldersgruppen 19–40 år, med flest mellem 31–40 år
men også en stor gruppe i alderen 41 – 50 år, nøjagtig samme billede som sidste års rapport.
Igen i år er der lidt flere piger end drenge i alderen 0–18 år. Det er et spørgsmål om tilfældigheder,
hvilket køn de gravide føder og hvilke af disse børn, der kommer til sundhedsplejerske.
23
SUU, Alm.del - 2015-16 - Bilag 467: Henvendelse af 14/3-16 fra Røde Kors vedr. årsrapport 2015 for Sundhedsklinik for udokumenteret migranter
1610597_0024.png
Aldersfordeling København
693
700
600
487488
500
400
300
200
100
0
0-18 år
19-30 år
31-40 år
41-50 år
51-60 år
61-70 år
71- år
54 62
139
61
139
39 44
19 11
468
385
Figuren angiver aldersfordelingen af mænd og kvinder i København (rød = kvinder, grøn = mænd).
Kønsfordelingen på journalerne matcher næsten kønsfordelingen på antallet af henvendelser i klinik-
ken for 2015. Gengangerne synes at fordele sig jævnt på både køn og alder, men med en overvægt
af gengangere hos kvinderne. Kvinderne tæller 47 % inklusiv gengangere og mændene 51 % inklusiv
gengangere. Dette kan hænge sammen med, at der er større sandsynlighed for, at fx gravide kvinder
typisk kommer mere end én gang.
Kønsfordeling København
Piger
2%
Kvinder
39%
Mænd
57%
Drenge
2%
Figuren angiver fordelingen af patienter i København på 2 % piger, 2 % drenge, 39 % kvinder og 57 % mænd.
24
SUU, Alm.del - 2015-16 - Bilag 467: Henvendelse af 14/3-16 fra Røde Kors vedr. årsrapport 2015 for Sundhedsklinik for udokumenteret migranter
1610597_0025.png
5.4
Alders- og Kønsfordeling i Aarhus
Aldersfordelingen i Aarhus matcher fint billedet af aldersfordelingen for det samlede antal henvendel-
ser. Der er klart flest mellem 19-30 år, og kvinder dominerer de fleste aldersgrupper, hvilket passer
med, at der er flest kvindelige patienter i Aarhus.
Aldersfordeling Aarhus
60
50
40
30
20
9 9
10
0
0-18 år
19-30 år 31-40 år 41-50 år 51-60 år 61-70 år 71-80 år
25
19
10 11
2 3
0 1
1 2
28
53
Figuren angiver aldersfordelingen af mænd og kvinder i Aarhus (gul = kvinder, lilla = mænd).
Kønsfordelingen på patienterne i Aarhus matcher fuldstændig kønsfordelingen af det samlede antal
henvendelser. Gengangerne fordeler sig ligeligt på piger, kvinder, drenge og mænd.
Kønsfordeling Aarhus
Piger; 8; 5%
Mænd; 57; 33%
Kvinder; 99;
57%
Drenge; 9; 5%
Figuren angiver kønsfordelingen af patienter i Aarhus på 5 % piger, 5 % drenge, 57 % kvinder og 33 % mænd.
25
SUU, Alm.del - 2015-16 - Bilag 467: Henvendelse af 14/3-16 fra Røde Kors vedr. årsrapport 2015 for Sundhedsklinik for udokumenteret migranter
5.5
Diagnoser
Hver patienthenvendelse bliver skrevet i journalen og påført en diagnose. Hvis patienten kommer
igen med den samme diagnose, påføres diagnosen ikke igen. Billedet af diagnoser fortæller derfor,
hvor mange forskellige patienter, der er kommet med de respektive diagnoser. En patient kan godt
have flere forskellige diagnoser.
Antallet af diagnoser er retningsgivende for, hvad vi ser af sygdomme og symptomer i klinikken.
Klassifikationen i opgørelsen af diagnoser er med få undtagelser foretaget i overensstemmelse med
ICPC2. Undtagelserne er de aktiviteter, som ikke er diagnostiske, men som fx omhandler problemer
af social art hos patienten.
Her angives eksempler på de forskellige diagnose-kategorier:
Alment og uspecificerede sygdomme og helbredstilstande er almene smerter, feber, svimmelhed og
træthed.
Blod- og immunsystemet er blodmangel, leukæmi og forstørret lymfeknude.
Fordøjelsessystemet er mavesmerter, forstoppelse, halsbrand, maveinfektion og mavesår.
Øjensygdomme er synsbesvær, øjenbetændelse, og bygkorn.
Hjerte- og kredsløbssygdomme er hjertebanken, væskeophobning, hæmorider og venetrombose.
Øresygdomme er ørepine, mellemørebetændelse, voksprop og svimmelhed.
Bevægeapparatet er nakkesmerte, ryg- og lændesmerte, knæsmerte, muskelsmerte og skulder-
smerte.
Neurologiske sygdomme er migræne, svimmelhed, krampeanfald, nervebetændelse og cerebral pa-
rese.
Psykiatriske sygdomme er angst, søvnløshed, depression, stress og ADHD.
Respiratoriske sygdomme er åndenød, hoste, luftvejsinfektioner, halsbetændelse, lungebetændelse,
forkølelse, influenza, bronkitis og astma.
Hudsygdomme er udslæt, bylder, insektbid, psoriasis, eksem, fnat, akne og svamp.
Endokrine system er abnormt vægttab, hormonsygdomme og forhøjet kolesterol.
Urinvejssygdomme er vandladningssmerter, chlamydia, nyresten og blærebetændelse.
Graviditet, fødsel og barsel er ubeskyttet samleje, graviditet, spontan abort og graviditetskvalme.
Kvindelige kønsorganer er chlamydia, svamp og uregelmæssig menstruation.
Mandlige kønsorganer er udflåd, chlamydia, gonorre, rejsningsproblemer og penissmerte.
Sociale problemer er seksuelt overgreb, mishandling og problemer med social velfærd.
Diagnoser i København
I København ses alle tilfælde af diagnoser. Men der er klart lidelser, der optræder markant flere gan-
ge. Tænder og mundhule topper igen. Denne kategori er ikke det samme som antal forskellige men-
nesker med tandproblemer. Flere patienter kommer igen med nye tandproblemer og vil derfor have
diagnosen flere gange i modsætning til fx en gravid kvinde, som kun får diagnosen én gang.
Der er mange med tandproblemer, som også er kulturelt og socialt betinget.
På lignende vis taler de mange patienter med problemer med bevægeapparatet, respirationssyg-
domme og fordøjelsessystemet sit eget sprog. Mange patienter lever et hårdt liv enten som hjemløs
eller under stærkt pres, og det giver ondt i kroppen, spændinger, problemer med maven og vejr-
trækningen.
Hudsygdomme er også et stort problem. Patienter fra især Afrika og Asien har problemer med akne,
eksem og mærkelige udslæt og hudproblemer. Måske pga. klimaforskelle fra eget land og Danmark,
måske pga. vitaminmangel, måske er det kulturelt betinget. Det har vi ikke noget endegyldigt svar
på.
26
SUU, Alm.del - 2015-16 - Bilag 467: Henvendelse af 14/3-16 fra Røde Kors vedr. årsrapport 2015 for Sundhedsklinik for udokumenteret migranter
1610597_0027.png
Tallet 103 for aborter tæller kun de provokerede aborter, de fleste er foretaget medicinsk inden for de
første 8 uger. Derudover er der henved 10 registrerede spontane aborter. Samlet set er antallet af
provokerede aborter steget markant i 2015. I årsrapporten fra 2014 var der registreret 60 provoke-
rede aborter. Alle provokerede aborter foretages af en gynækolog.
Diagnoser Kbh.
900
800
700
600
500
400
300
200
100
0
Tænder og mundhule
Bevægeapparatet
Hud
Respiration
Graviditet, fødsel, barsel
Fordøjelsessystemet
Generelt og uspecificeret
Kvindelige kønsorganer
Urinveje
Øjne
Psykiatri
Kredsløb
Mandlige kønsorganer
Forhøjet blodtryk
Øre
Provokeret abort
Svangerskabsforebyggelse
Sukkersyge
Endokrine system
Neurologi
Allergi
Hovedpine
Vaccination
HIV screening
Blod og immunsystemet
Børneundersøgelse
Smitsom leverbetændelse
Rusmiddelproblem
Sociale problemer
Figuren angiver antallet af stillede diagnoser i København for hele perioden.
Diagnoser i Aarhus
I modsætning til årsrapport 2014 er næsten alle diagnoser blevet brugt i Aarhus. Der er dog ikke re-
gistreret fx HIV screening, måske fordi dette ikke er påført som diagnose. Men der bliver foretaget
enkelte HIV screeninger. Alle gravide kvinder får foretaget screening for både HIV, syfilis og hepatitis
B, men det bliver ikke diagnosticeret som specifik screening for dette. Diagnosen fremtræder kun,
hvis en patient specifikt efterspørger en screening uden at være gravid.
Enkelte patienter er kommet pga. misbrugsproblemer, men det er generelt meget svært at behandle
udokumenterede migranter for misbrug, idet det kræver en særlig ekspertise og ofte et cpr.nr..
Ellers er der mange fællestræk med diagnoserne i København. Mange gravide, mange med tandpro-
blemer, problemer med respiration og bevægeapparatet.
Til gengæld er der forholdsmæssigt mange flere i Aarhus, der efterspørger en psykolog eller psykia-
ter. Hvorfor denne forskel findes, vides ikke. Måske er det sværere at klare sig som udokumenteret
27
814
710705
617
548
466
323
269
225
137137131122119
110103 98
85 84 74 73 72
56 45 44 43
30 27 14
SUU, Alm.del - 2015-16 - Bilag 467: Henvendelse af 14/3-16 fra Røde Kors vedr. årsrapport 2015 for Sundhedsklinik for udokumenteret migranter
1610597_0028.png
migrant i en mindre by, som ikke har samme præg af globaliseringens mangfoldighed som hovedsta-
den.
Diagnoser Aarhus
60
50
40
30
20
10
0
Provokeret abort
Hud
Vaccination
Forhøjet blodtryk
Fordøjelsessystemet
Endokrine system
Kvindelige kønsorganer
Tænder og mundhule
23 22
21 20
19 19 18
13 12
11 10
9
8
7
7
6
5
5
53
4
3
Neurologi
3
Rusmiddelproblem
1
Sukkersyge
1
Blod og immunsystemet
28
Øjne
Psykiatri
Respiration
Svangerskabsforebyggelse
Graviditet, fødsel, barsel
Bevægeapparatet
Hovedpine
Kredsløb
Urinveje
Figuren angiver antallet af stillede diagnoser i Aarhus for hele perioden.
5.6
De gravide kvinder og de nyfødte børn i København
De gravide kvinder i København fylder meget som enkeltstående årsag til at henvende sig i klinikken.
Hver måned udarbejdes en optegnelse over nye henvendelser vedrørende graviditet. I denne gruppe
gemmer sig også de kvinder, som får en spontan eller provokeret abort. I alt har 405 kvinder hen-
vendt sig, fordi de var eller fik konstateret, at de var gravide. Nogle kvinder har vi kun set én gang,
de fleste er dog kommet flere gange til jordemoder.
Vi spørger ikke til patienternes adresse, men kan med stor sandsynlighed sige, at de gravide kvinder
har et sted at bo. Mange har en mand med opholdstilladelse. Skulle der komme en gravid kvinde,
som er hjemløs, vil vi naturligvis indgå et tæt samarbejde med de sociale myndigheder for bedst mu-
ligt at hjælpe mor og barn.
103 af de i alt 405 gravide kvinder har fået en spontan eller provokeret abort. Alene i 2015 har 37
kvinder fået en spontan eller provokeret abort. Det er ofte kvinder, som er alene, der foretrækker en
abort fremfor at stå alene med et barn og med en illegal opholdsstatus.
Det er en udfordring at følge kvinderne og deres børn efter fødslen. Nogle har født på hospital, men vi
ved ikke med sikkerhed, hvor kvinderne føder. Vi henviser ikke til fødsel, men kan kun rådgive om
muligheder og rettigheder, hvorefter kvinderne selv må træffe beslutning om, hvor de vil føde.
Generelt og uspecificeret
Mandlige kønsorganer
Øre
SUU, Alm.del - 2015-16 - Bilag 467: Henvendelse af 14/3-16 fra Røde Kors vedr. årsrapport 2015 for Sundhedsklinik for udokumenteret migranter
1610597_0029.png
Antal nye gravide pr. måned Kbh.
15
10
5
0
August ´11
4
9
6
45353
December
Februar
7
566
12
11
11
10 9
9 10
9
8
87 8 8
7 7
5 466
3
2
August
April
Juni
December
December
Oktober
Februar
Februar
12
7
54
14
11 11
10 10
12
88
6
6
12
10
10
899
August
August
August
April
April
April
Oktober
Juni
Juni
Juni
Figuren angiver antallet af nye gravide kvinder i København opgjort pr. måned.
5.7
Sundhedsplejerske i København
Fra september 2013 har det været muligt at møde en sundhedsplejerske i klinikken. Det er vigtigt for
de børn, som ikke får tilbud om kommunal sundhedsplejerske, at de kan blive tilset af både læge og
sundhedsplejerske, og at mødrene kan få råd og vejledning om amning og barnets trivsel.
Derfor er der både en sundhedsplejerske og en børnelæge til stede hver anden fredag formiddag. Til-
bud om sundhedsplejerske gælder ikke kun de nyfødte børn, det gælder også større babyer og børn.
Vi forsøger hele tiden at gøre de gravide kvinder opmærksomme på vores tilbud om sundhedsplejer-
ske og børnevaccinationer. Vi anbefaler de gravide kvinder, at de skal komme igen efter fødslen og
medbringe deres barn. Det synes at virke. Det er meget vigtigt, at den nybagte mor kommer med sin
baby, så kan vi både tjekke mor og barn og få en god drøftelse af børnevaccinationsprogrammet,
sundhedsplejerske mv. Det er en positiv udvikling, da et af sundhedsklinikkens formål er at sikre
børns sundhed. Nogle nyfødte bliver via hospitalet tilknyttet det offentlige sundhedstilbud med børne-
undersøgelser og sundhedsplejerske, men det gælder ikke alle nyfødte og slet ikke for den kvinde el-
ler det ægtepar, som ingen opholdstilladelse har. Klinikken vil derfor fortsat have særligt fokus på ny-
fødte og større børn.
5.8
De gravide kvinder i Aarhus
Der kommer forholdsvis mange nye gravide kvinder til klinikken i Aarhus. Alene i 2015 har vi set 26
nye gravide kvinder mod 20 fra december 2013 til 31. december 2014. Flere af kvinderne er langt
henne i graviditeten ved deres første besøg. Det betyder, at færre gravide kvinder når at komme me-
re end én gang til jordemoder. At de gravide kvinder frem for syge mænd, så hurtigt har fundet kli-
nikken, kan hænge sammen med, at kvinderne bor hos dansktalende mænd, som har hørt og læst
om klinikken i medierne eller har kunnet orientere sig på nettet.
Siden september 2015 har klinikken rådet over en sundhedsplejerske. Hun kommer den sidste man-
dag i måneden og kan tage sig af de nyfødte børn og større børn. Lægen, som har almindelig vagt,
tager sig af selve vaccinationen. Det er vigtigt, at kvinderne har mulighed for at få gode råd om am-
ning og børnenes trivsel, også selv om flere af kvinderne bor hos mænd med opholdstilladelse. Fælles
for de fleste migrantkvinder er, at de ikke har deres oprindelige netværk af kvinder at tale med om
fødsler og spædbørnspleje.
December
29
December
Oktober
Oktober
Oktober
Februar
SUU, Alm.del - 2015-16 - Bilag 467: Henvendelse af 14/3-16 fra Røde Kors vedr. årsrapport 2015 for Sundhedsklinik for udokumenteret migranter
1610597_0030.png
Nye gravide pr. måned Aarhus
4
4
3,5
3
2,5
2
1,5
1
0,5
0
April
April
Juli
Juni
December ´13
Januar
0
August
Maj
Marts
Februar
0
0
November
Oktober
0
Juni
Juli
August
September
November
Maj
Oktober
Marts
December
Januar ´15
December
30
4
3
4
3
2
1
1
1
1
1
2
4
3
2
1
2
2
1
2
2
September
Figuren angiver antallet af nye gravide kvinder i Aarhus opgjort pr. måned.
5.9
Laboratorieprøver i København
Siden december 2011 har frivillige bioanalytikere stået for alle blod- og urinprøver i klinikken i Kø-
benhavn. Fra 1. januar 2012 er der blevet ført nøje statistik hver aften, over hvor mange af de for-
skellige prøver, der er blevet taget. Alle prøver undtagen prøver til forsendelse bliver analyseret med
det samme i klinikken.
Det har været en stor hjælp for udredningen af patienterne, at det er muligt med det samme at kort-
lægge en del af de mest almindelige urin- og blodprøver. Det gør det muligt ret hurtigt at sætte ind
med behandling, hvis det er nødvendigt.
Alle gravide bliver screenet for HIV og syfilis samt hepatitis B, hæmoglobin og blodsukker, og ved
hver efterfølgende konsultation hos jordemoder bliver der taget en urinprøve, hvilket forklarer de
mange urinstix.
Også andre patienter spørger efter HIV og syfilis test, da de er nervøse for, om de kunne være blevet
smittet fx i forbindelse med ubeskyttet sex.
Det samlede billede af de mange test, der bliver foretaget i laboratoriet fortæller, at bioanalytikerne
ofte har travlt på vagten.
Lidt om de forskellige prøver, vi selv tager:
Urinstix er en markør for betændelse, proteinstoffer, blod, sukker og ketonstoffer i urinen
Hgb undersøger, om der er blodmangel
CRP kan måle infektioner via blodet
HIV og syfilis kan angive, om der er tale om en af disse kønssygdomme
Strep A undersøger halsinfektion med streptokokker – denne test foretages af lægen selv
HbA1c angiver det gennemsnitlige blodsukker over de sidste måneder
Glukose måler blodsukker og kan dermed være en markør i forhold til diabetes
Februar
SUU, Alm.del - 2015-16 - Bilag 467: Henvendelse af 14/3-16 fra Røde Kors vedr. årsrapport 2015 for Sundhedsklinik for udokumenteret migranter
1610597_0031.png
Differentialtælling viser den procentvise fordeling af hvide blodlegemer og kan indikere infektioner,
immundefekter og leukemi
Lidt om de prøver, vi typisk sender:
TSH er en stofskifteprøve
ALAT, ASAT er leverfunktionsprøver
Kreatin er en nyrefunktionsprøve
Kalium og Natrium fortæller om væskebalancen er i orden
Gonorre og chlamydia er test for kønssygdomme
Urindyrkning kan angive, om der er tale om urinvejsinfektioner
Laboratorieprøver Kbh
1800
1600
1400
1200
1000
800
600
400
200
0
1649
1355
817
763
446
452
394
413
335
288
125
Figuren angiver hvor mange af de forskellige prøver, der er taget i laboratoriet i København siden januar 2012.
5.10 Laboratorieprøver i Aarhus
I Aarhus er det også bioanalytikere, der ved hver åbningsaften forestår alle blodprøver. Procedurer er
de samme som i København, og det er de samme test, vi tilbyder. Apparater til analyse af test i kli-
nikken er ligeledes de samme.
Lidt om de forskellige prøver, vi selv tager:
Urinstix er en markør for betændelse, proteinstoffer, blod, sukker og ketonstoffer i urinen
Hgb undersøger om der er blodmangel
CRP kan måle infektioner via blodet
HIV og syfilis kan angive, om der er tale om en af disse kønssygdomme
Strep A undersøger halsinfektion med streptokokker – denne test foretages af lægen selv
HbA1c angiver det gennemsnitlige blodsukker over de sidste måneder
Glukose måler blodsukker og kan dermed være en markør i forhold til diabetes
Differentialtælling viser den procentvise fordeling af hvide blodlegemer og kan indikere infektioner,
immundefekter og leukemi
31
SUU, Alm.del - 2015-16 - Bilag 467: Henvendelse af 14/3-16 fra Røde Kors vedr. årsrapport 2015 for Sundhedsklinik for udokumenteret migranter
1610597_0032.png
De prøver, vi typisk sender til analyse, er urin til dyrkning og resistens samt GBS, som er gruppe B
streptokokker, som forekommer hos 10-30 % af alle gravide i livmoderhalsen eller blæren. Det er
især vigtigt at være opmærksom på GBS, da barnet under fødslen kan blive smittet.
Alle gravide får ved første besøg foretaget test for HIV, syfilis, hepatitis B, hæmoglobin og glukose.
Der er generelt sket en fordobling i antallet af de enkelte prøver fra sidste årsrapport, i flere tilfælde
mere end en fordobling. Dette er med til at understrege, at der kommer flere patienter i klinikken i
Aarhus, og at der er behov for et sundhedstilbud i Jylland.
Laboratorieprøver Aarhus
160
140
120
100
80
60
40
20
0
66
52
49
49
44
41
29
27
24
154
21
Figuren angiver, hvor mange af de forskellige prøver, der er taget i laboratoriet i Aarhus siden december 2013.
32
SUU, Alm.del - 2015-16 - Bilag 467: Henvendelse af 14/3-16 fra Røde Kors vedr. årsrapport 2015 for Sundhedsklinik for udokumenteret migranter
6
PATIENTERNE
Denne rapport er baseret på anonyme data og statistik. Det kan være vanskeligt at danne sig et bil-
lede af de mennesker, der gemmer sig bag statistikken. Derfor præsenteres her et par eksempler på
patienthistorier omformet til cases.
Afghansk kvinde med diabetes
En kvinde fra Afghanistan kom første gang i klinikken, da hun var gravid og skulle tilses af en jorde-
moder. Efterfølgende fandt vi ud af, at kvinden også havde diabetes.
Kvinden blev bedt om at komme til konsultation hos vores diabetes team. Hun blev fulgt af sin mand,
som kan tale dansk. Det første, kvinden blev præsenteret for, var en lille film om diabetes på hendes
eget sprog dari. Både kvinden og manden mente ellers, at de godt vidste, hvad diabetes var. Men ef-
ter filmen måtte de indrømme, at de havde fået nye væsentlige oplysninger. Der var skabt en god
kontakt med sygeplejersken, som først og fremmest forsøgte at lave en aftale med kvinden om at
bevæge sig mere og tænke over den mad, familien spiste.
Næste gang, de kom, var manden pave stolt. Hans kone havde fulgt de gode råd og havde tabt sig.
Denne gang fik de også en samtale med diabeteslægen, som taler mange asiatiske sprog bl.a. dari.
Lægen havde mere fokus på selve sygdommen og behandlingen af denne samt risici ved diabetes.
Midt i samtalen spurgte manden ind til symptomer ved diabetes og fandt ud af, at også han havde
begyndende diabetes, som han ville gå til egen læge med.
Pludselig havde ægteparret et fælles projekt i at omlægge deres livsstilsvaner. Det blev meget lettere
for dem begge at tænke på, hvad de købte ind af mad, og at de skulle huske at gå lange ture mv.
Kvinden kommer stadig til kontrol, bliver fulgt af diabetes teamet og har det generelt meget bedre.
Rumænsk mand med cancer i mundhulen
En aften kom en rumænsk mand humpende ind i klinikken. Han har kun et ben og var hoppet op ad
alle trapperne til anden sal. Men han kom ikke pga. det manglende ben, men fordi han på hospitalet
har fået konstateret cancer i mundhulen, og det var han meget bange for. Han havde brug for at tale
med en psykolog. Manden fik en tid hos psykolog.
Næste gang, han kom, var hans kørestol gået i stykker. Det var ikke så godt, men det værste var, at
han stadig afventede svar fra Rumænien, om de rumænske myndigheder ville kautionere for den vi-
dere nødvendige behandling i Danmark af hans livstruende cancer. Derfor var samtalen med psykolo-
gen endnu mere presserende. Han havde en dansk kvindelig ven, som forsøgte at hjælpe ham, men
hun havde ikke adgang til de rumænske myndigheder. Vi forsøgte at hjælpe på to fronter ud over
psykologen.
Der blev sendt en mail rundt til alle frivillige i klinikken, om nogle kendte nogle, som havde en køre-
stol, der ikke blev brugt mere. Og der blev sendt en mail til kontakter i rumænsk Røde Kors, med
henblik på om de kunne rykke de rumænske myndigheder for svar på anmodning om kaution.
Der gik to dage, så var der en ny brugt kørestol til manden, som han kunne afhente i klinikken. Og
efter en uge, var kautionen på plads, så manden kunne fortsætte de livsnødvendige behandlinger på
hospitalet i Aarhus.
Glæden kendte ingen grænser. Mandens danske veninde sendte efterfølgende et billede af den lykke-
lige mand i sin nye kørestol, som han hurtigt døbte til den nye Ferrari.
33
SUU, Alm.del - 2015-16 - Bilag 467: Henvendelse af 14/3-16 fra Røde Kors vedr. årsrapport 2015 for Sundhedsklinik for udokumenteret migranter
1610597_0034.png
7
AFSLUTTENDE KOMMENTARER
Sundhedsklinikken har sin berettigelse, rapportens data taler sit eget sprog. Der er et stort behov for
sundhedshjælp til den gruppe af mennesker, som ikke har cpr.nr eller det gule sundhedskort og der-
med kun i begrænset omfang har adgang til det almindelige offentlige sundhedsvæsen.
Behovet er tydeligst i København og omegn. Men der kommer med tiden klart flere patienter i klinik-
ken i Aarhus. Forskellige organisationer i Aarhus fortæller, at der findes mange udokumenterede mi-
granter i Midtjylland. Spredningen af budskabet om sundhedstilbud i Aarhus går blot meget lang-
sommere. Ofte foregår det via mund til mund metoden – at en patient fortæller til en ven eller be-
kendt. Denne metode er ganske langsommelig. I Aarhus kan vi ikke på samme måde som i Køben-
havn læne os op ad et etableret netværk af organisationer, der hjælper migranter.
I 2016 skal der især arbejdes på at få etableret et permanent akut tandbehandlingstilbud i eller til
klinikken i Aarhus. Økonomien er på plads takket være endnu en flot donation fra OAK Foundation. Vi
mangler blot at beslutte på hvilken måde, tandbehandlingen skal foregå.
For begge afdelinger af klinikken gælder, at tilbud om behandling hele tiden udvikles i takt med pati-
enternes behov. Dette udviklingsarbejde stopper formodentlig aldrig, i og med der hele tiden kommer
nye frivillige læger og øvrige behandlere.
Yderligere information om klinikken kan fås ved henvendelse til klinikkens leder Vibeke Lenskjold,
tlf. 3171 6164, mail
[email protected]
Se også sundhedsklinikkens hjemmeside:
www.rodekors.dk/sundhedsklinik
Rapporten er forfattet af:
Vibeke Lenskjold, projektleder og leder af sundhedsklinikken i København og Aarhus
Marts 2016.
34