Social- og Indenrigsudvalget 2015-16
SOU Alm.del Bilag 90
Offentligt
1574837_0001.png
Erfaringsopsamling
af børnehusene
Socialstyrelsen
September 2015
SOU, Alm.del - 2015-16 - Bilag 90: Orientering om evalueringen af Overgrebspakken, fra social- og indenrigsministeren
Indholdsfortegnelse
Ledelsesresume
1.
1.1.
1.2.
1.3.
2.
2.1.
2.2.
2.3.
2.4.
2.5.
3.
3.1.
3.2.
3.3.
4.
4.1.
4.2.
4.3.
4.4.
5.
5.1.
5.2.
5.3.
5.4.
5.5.
6.
6.1.
6.2.
6.3.
7.
7.1.
Indledning
Formål med erfaringsopsamlingen
Datagrundlag
Læsevejledning
Aktiviteten i børnehusene
Sager i børnehusene
Sagernes karakteristika
Karakteristika for de konsultative henvendelser
Indsatser i børnehusene
Konklusion – Aktiviteten i børnehusene
Anvendelsen af børnehusene
Udbredelse af børnehussamarbejdet
Den samlede oplevelse af børnehussamarbejdet
Konklusion – Anvendelse af børnehusene
Kompetencer og ressourcer
Børnehusenes faste medarbejdere
De fysiske rammer i børnehusene
Kapacitet i børnehusene
Konklusion – Kompetencer og ressourcer
Sagsforløbet i børnehusene
Henvisning af sager til børnehuset
Børnehusenes sagshåndteringstid
Overlevering og myndighedsansvar
Tilkøbsydelser
Konklusion – Sagsforløbet i børnehusene
Det tværsektorielle samarbejde
Sagssamråd
Øvrige tværsektorielle aktiviteter
Konklusion – Det tværsektorielle samarbejde
Organisatorisk forankring
Kommunernes varetagelse af driftsansvar
4
10
11
12
18
19
19
23
32
35
37
39
39
47
53
54
54
62
69
69
71
72
78
83
84
85
86
87
95
98
99
101
SOU, Alm.del - 2015-16 - Bilag 90: Orientering om evalueringen af Overgrebspakken, fra social- og indenrigsministeren
7.2.
7.3.
7.4.
8.
8.1.
8.2.
8.3.
9.
9.1.
9.2.
9.3.
10.
Børnehusenes geografiske placering
Den tværgående forankring af børnehusene
Delkonklusion – Organisatorisk forankring
Samarbejdet med Socialstyrelsen
Socialstyrelsens konsulentbistand
Børnehus IT
Konklusion – Samarbejdet med Socialstyrelsen
Konklusion
Én indsats på ét sted
Et smidigt tværsektorielt samarbejde
En ensartet indsats
Bilag
103
106
108
109
109
112
114
115
117
117
118
119
119
122
129
135
141
145
147
154
Bilag A: Metode til udvælgelse af kommuner
Bilag B: Spørgeskema til børnehuse
Bilag C: Spørgeskema til driftskommuner
Bilag D: Spørgeskema til udvalgte kommuner
Bilag E: Spørgeskema til politikredse
Bilag F: Besvarelser af spørgeskemaundersøgelser
Bilag G: Figurer og tabeller
Bilag H: Operationalisering
SOU, Alm.del - 2015-16 - Bilag 90: Orientering om evalueringen af Overgrebspakken, fra social- og indenrigsministeren
1574837_0004.png
Ledelsesresume
Som en del af overgrebspakken blev der i 2013 oprettet fem
børnehuse, ét i hver region. Børnehusene skal samle og ko-
ordinere den tværsektorielle indsats mellem kommuner, po-
liti og sundhedsvæsen i sager om overgreb mod børn og
unge. Særligt skal de bidrage med en faglig udredning til
brug for kommunerne i deres § 50-undersøgelse. I denne
rapport opsamles de erfaringer, som aktørerne i børnehus-
samarbejdet har gjort sig i løbet af det første år.
Erfaringsopsamlingen viser overordnet set, at de involverede aktører har en
positiv oplevelse af børnehusene og det tværsektorielle samarbejde. Den
etablerede samarbejdsmodel opleves generelt som hensigtsmæssig i forhold
til at sikre en højt kvalificeret indsats i sager om overgreb mod børn og unge.
Børnehusene har siden oprettelsen i 2013 opnået en god udbredelse. Der
behandles et stort antal sager i børnehusene og de relevante myndigheder
og fagpersoner indgår i samarbejdet. Medarbejderne i børnehusene opleves
som fagligt kompetente, og husene opleves som trygge rammer for børnene
og de unge. Endvidere giver de involverede aktører udtryk for, at det tvær-
sektorielle samarbejde i børnehusene er velfungerende og værdiskabende.
Erfaringsopsamlingen har identificeret tre fokuspunkter for den fremadrettede
udvikling af børnehussamarbejdet:
Øget realisering af målsætningen om, at børnehusene skal kunne levere én
koordineret indsats på ét sted i alle sager om overgreb mod børn og unge.
Dette er endnu ikke fuldt ud tilfældet, blandt andet fordi der er indikationer på,
at ikke alle sager i målgruppen bliver til børnehussager, fordi der kan obser-
veres forskelle i tilrettelæggelsen af den faglige indsats mellem børnehusene,
og fordi der kan observeres et potentiale ved at inddrage sundhedsvæsenet
yderligere i børnehussamarbejdet.
Udvikling af et endnu mere smidigt tværsektorielt samarbejde. Selvom sam-
arbejdet opleves som velfungerende, viser erfaringsopsamlingen også, at der
fortsat findes udfordringer for samarbejdet, herunder varigheden af sagsforlø-
bene samt uklarhed om ansvarsfordelingen mellem børnehuse og kommu-
ner.
Sikring af en ensartet indsats på tværs af børnehusene. Erfaringsopsamlin-
gen indikerer, at der er flere faktorer, som medfører en risiko for forskelle i
indsatsen mellem børnehusene, herunder forskelle i de rammevilkår som
fastlægges af driftskommunerne samt en begrænset tværgående styring.
4
Erfaringsopsamling af børnehusene
Socialstyrelsen
SOU, Alm.del - 2015-16 - Bilag 90: Orientering om evalueringen af Overgrebspakken, fra social- og indenrigsministeren
1574837_0005.png
Om erfaringsopsamlingen
Børnehusene har eksisteret i lidt over et år, og Ministeriet for Børn, Ligestil-
ling, Integration og Sociale Forhold har derfor igangsat en erfaringsopsam-
ling. Deloitte har gennemført erfaringsopsamlingen i samarbejde med Social-
styrelsen i perioden januar til marts 2014.
Det overordnede analysespørgsmål for erfaringsopsamlingen er:
Hvilke erfaringer har de forskellige interessenter i og omkring børnehusene
gjort sig i forhold til den tværsektorielle samarbejdsmodel?
For at besvare dette spørgsmål analyseres i erfaringsopsamlingen en føl-
gende syv temaer:
Aktiviteten i børnehusene:
Hvilke aktiviteter gennemføres i børnehu-
sene?
Anvendelsen af børnehusene:
Hvad er omfanget af kommunernes, poli-
tiets og sundhedsvæsnets anvendelse af børnehusene, og hvordan ople-
ves anvendelsen af børnehusene generelt?
Kompetencer og ressourcer:
Besidder børnehusenes medarbejdere de
rette kompetencer til at varetage den stillede opgave, og er børnehusene
indrettet, så de understøtter det overordnede formål?
Sagsforløbet i børnehusene:
Hvordan opleves den indsats, der leveres i
børnehusene, og hvordan opleves afgræsningen af målgruppen og snitfla-
derne mellem børnehusene og de involverede myndigheder?
Det tværsektorielle samarbejde:
Hvordan opleves det tværsektorielle
samarbejde i børnehusene?
Organisatorisk forankring:
Hvordan opleves den organisatoriske foran-
kring af børnehusene i fem driftskommuner?
Samarbejdet med Socialstyrelsen:
Hvordan fungerer samarbejdet mel-
lem børnehusene og Socialstyrelsen, herunder den faglige understøttelse
og varetagelsen af Børnehus IT.
Grundlaget for erfaringsopsamlingen er en kvalitativ og kvantitativ indsamling
af erfaringer blandt de aktører, som er involveret i børnehussamarbejdet:
Børnehusene, kommunerne, politiet, sundhedsvæsenet (børnelæger og rets-
medicinere) samt Socialstyrelsen. Herudover er suppleret med data om sa-
gerne fra børnehusenes it-system (Børnehus IT).
I det følgende gives et kort resumé af erfaringsopsamlingens vigtigste analy-
ser og konklusioner for hvert af de syv analysetemaer.
Aktiviteten i børnehusene
Børnehusene har allerede fra starten af 2014 haft et højt aktivitetsniveau.
Børnehusene har modtaget over 1.000 konsultative henvendelser og over
1.000 børnehussager i løbet af 2014.
De fem børnehuse har således i gennemsnit givet konsultativ bistand til kom-
munerne næsten 90 gange, modtaget 90 nye børnehussager og afsluttet 70
5
Erfaringsopsamling af børnehusene
Socialstyrelsen
SOU, Alm.del - 2015-16 - Bilag 90: Orientering om evalueringen af Overgrebspakken, fra social- og indenrigsministeren
1574837_0006.png
børnehussager om måneden. Dette overordnede aktivitetsniveau dækker
over, at der er betydelige udsving i aktiviteten hen over året. Hvilket kan være
en særlig udfordring i forhold til at tilpasse kapaciteten i børnehusene.
Børnehussagerne omhandler både voldelige og seksuelle overgreb, der er
dog betydelig flere sager om voldelige overgreb. Sagerne om seksuelle over-
greb omhandler i høj grad piger, særligt i alderen 12 til 17 år. Mens sagerne
om voldelige overgreb omhandler både drenge og piger særligt i alderen fem
til 11 år. Hovedparten af de formodede krænkere i børnehussagerne er
mænd, og langt størstedelen er mellem 30 og 50 år gamle.
Der er tydelige forskelle mellem børnehusene med hensyn til både, hvor
mange og hvilke indsatser, der gennemføres i forbindelse med børnehussa-
gerne. Dette kan blandt andet skyldes forskelle i børnehusenes registrerings-
praksis i Børnehus IT, forskelle i ressourcetildelingen som følge af, at budget-
tet for hvert børnehus varetages af husets driftskommune eller en forskellig
tilrettelæggelse af det faglige arbejde mellem børnehusene.
Anvendelsen af børnehusene
Børnehusene har opnået en god udbredelse blandt de relevante myndighe-
der og fagpersoner.
En meget stor del af de relevante medarbejdere i kommunerne har været i
kontakt med børnehusene, primært i forbindelse med konsultative henven-
delser og børnehussager.
Politikredsene har ligeledes et veludbygget samarbejde med børnehusene,
og medarbejderne har primært været i kontakt med børnehusene som sags-
behandler og/eller (video)afhører af børnene/de unge. Den enkelte medarbej-
der hos politiet har generelt haft kontakt til børnehusene i flere sager, end
medarbejderne i kommunerne.
Endelig har samtlige børnehuse etableret kontakt til både børnelæger og
retsmedicinere i deres respektive regioner. Der er dog betydelig forskel på
formen og omfanget af inddragelsen af de lægefaglige kompetencer. I nogle
børnehuse har børnelægeren således en fast mødedag, mens de i andre
børnehuse inddrages ad hoc.
Erfaringerne fra disse aktørers kontakt til børnehusene i løbet af det første år
er overordnet meget positive. De adspurgte medarbejdere i både kommuner,
politi og sundhedsvæsen oplever overvejende, at børnehusene er med til at
forbedre indsatsen i sager om overgreb mod børn og unge.
Kompetencer og ressourcer
De foreløbige erfaringer med børnehusene tegner et overordnet positivt bil-
lede af børnehusenes grundlag for at varetage de opgaver, de er blevet stil-
let. Dette gælder både de faglige kompetencer, der er til stede i børnehu-
sene, samt de fysiske rammer, som børnehusene råder over.
6
Erfaringsopsamling af børnehusene
Socialstyrelsen
SOU, Alm.del - 2015-16 - Bilag 90: Orientering om evalueringen af Overgrebspakken, fra social- og indenrigsministeren
1574837_0007.png
Erfaringsopsamlingen viser overordnet, at børnehusene råder over relevante
og tilstrækkelige faglige kompetencer. For det første har alle børnehusene
samtlige relevante faggrupper ansat, for det andet har medarbejderne i bør-
nehusene generelt lang erfaring på området for udsatte børn og unge, og en-
delig vurderes de af både kommuner, politi og sundhedsvæsen overvejende
som kvalificerede til at varetage opgaverne i børnehuset.
De fysiske rammer i børnehusene opleves også overvejende som hensigts-
mæssige. Husene udgør generelt trygge rammer for børnene/de unge og un-
derstøtter de aktiviteter, som gennemføres i børnehussagerne.
Erfaringsopsamlingen peger dog på nogle begrænsninger i forhold til gen-
nemførslen af lægelige og retsmedicinske undersøgelser i børnehusene,
samtidig med at der er indikationer på, at børnehusene begynder at opleve
kapacitetsbegrænsninger.
Sagsforløbet i børnehusene
Samlet set tegner de indsamlede erfaringer et billede af, at langt de fleste in-
volverede aktører oplever børnehusforløbene som velfungerende, og at bør-
nehusene varetager deres opgaver i forbindelse med sager om overgreb
mod børn og unge på en hensigtsmæssig måde.
Medarbejderne i kommunerne oplever generelt, at der er klare kriterier for,
hvornår en sag skal i børnehuset. Eventuelle tvivlsspørgsmål afklares via en
konsultative henvendelse til børnehusene.
Erfaringsopsamlingen indikerer dog samtidig, at der er gråzoner og praksis-
forskelle mellem kommunerne, som kan betyde, at der er nogle sager inden
for målgruppen, som ikke bliver henvist til børnehusene.
Kommunernes erfaringer indikerer, at sagsforløbet i børnehuset til tider træk-
ker ud. Dette kan være problematisk for kommunerne, eftersom de har fire
måneder til at gennemføre deres § 50-undersøgelse.
Endelig opleves det, at der i nogle tilfælde har været uklarhed om, hvor langt
børnehusene skal gå i deres endelige vurdering af sagen i forhold til at fore-
slå konkrete indsatser, som myndigheden i kommunen skal træffe afgørelse
om.
Det tværsektorielle samarbejde
Erfaringsopsamlingen viser, at de involverede aktører oplever det tværsekto-
rielle samarbejde som velfungerende og værdiskabende. Det tværsektorielle
samarbejde skaber værdi igennem tre mekanismer.
For det første opnås en øget personlig kontakt mellem de relevante fagper-
soner, idet de mødes i forbindelse med sagssamrådene. Den personlige kon-
takt letter behandlingen af sagerne og gør det nemmere at løse mindre pro-
blemer hurtigt.
7
Erfaringsopsamling af børnehusene
Socialstyrelsen
SOU, Alm.del - 2015-16 - Bilag 90: Orientering om evalueringen af Overgrebspakken, fra social- og indenrigsministeren
1574837_0008.png
For det andet etableres et fælles videngrundlag i de konkrete børnehussager,
idet der på sagssamrådene udveksles relevante oplysninger, som ellers ikke
ville have været tilgængelige for alle sektorer.
Endelig opnår den enkelte medarbejder i kommunerne, politiet og sundheds-
væsenet et bedre tværsektorielt kendskab til de metoder, problemstillinger og
perspektiver, der anvendes og gør sig gældende i de øvrige sektorer.
Den generelle oplevelse er, at disse tre mekanismer er med til at sikre, at der
ydes en bedre indsats, der også er mere skånsom overfor barnet/den unge i
børnehussagerne.
Nogle aktører oplever dog også, at der kan forekomme udfordringer i det
tværsektorielle samarbejde. Nogle børnelæger oplever, at den sundhedsfag-
lige ekspertise med fordel kunne knyttes tættere til børnehussamarbejdet, og
anvendes i flere sager, og enkelte medarbejdere i kommunerne oplever, at
børnehusene i begrænset omfang medfører en indsats, der ikke tidligere var
mulig.
Organisatorisk forankring
Erfaringsopsamlingen viser, at børnehusenes organisatoriske forankring i
fem driftskommuner generelt opleves som hensigtsmæssig. Børnehusenes
ledere og medarbejdere oplever overvejende, at kommunernes varetagelse
af driftsansvaret giver tilfredsstillende rammer for arbejdet, både med hensyn
til ansvarsfordeling, finansiering og bemanding.
Den geografiske placering af børnehusene i de fem regioner opleves ligele-
des overvejende som hensigtsmæssig i forhold til at sikre tilgængeligheden
af børnehusene.
Geografien opleves dog som en barriere af nogle af de medarbejdere i kom-
muner og politikredse, som har en længere afsted til børnehusene, blandt an-
det fordi en lang transporttid opleves som mindre skånsom overfor bar-
net/den unge. Afstanden synes dog ikke at have indflydelse på omfanget af
kommunernes anvendelse af børnehusene.
Selvom den organisatoriske forankring således generelt opleves som hen-
sigtsmæssig af de involverede aktører, angiver børnehusene, at forankringen
i fem forskellige driftskommuner medfører, at der til tider savnes en tværgå-
ende forankring og styring, som kan bidrage til at sikre en ensartet finansie-
ring, praksis og udvikling på tværs af børnehuse.
Samarbejdet med Socialstyrelsen
Samarbejdet mellem Socialstyrelsen og Børnehusene opleves generelt som
værdiskabende for børnehusene. Lederne af børnehusene oplever eksem-
pelvis at have glæde af de kvartalsvise børnehusledermøder som et forum
8
Erfaringsopsamling af børnehusene
Socialstyrelsen
SOU, Alm.del - 2015-16 - Bilag 90: Orientering om evalueringen af Overgrebspakken, fra social- og indenrigsministeren
1574837_0009.png
for videndeling og erfaringsudveksling på tværs af børnehusene. Børnehus-
medarbejderne er ligeledes særdeles positive overfor Socialstyrelsens fag-
lige konsulentbistand.
Samtidig udtrykkes der dog fra børnehusenes side en vis uklarhed angående
Socialstyrelsens rolle i forhold til udviklingen af børnehusene samt afklaring
af tværgående spørgsmål. Socialstyrelsen pointerer, at styrelsens rolle pri-
mært er at stille viden og kompetencer til rådighed for børnehusene, samt at
understøtte, at det fælles it-system for børnehusene.
Børnehusene er generelt positivt indstillet over for anvendelsen af dokumen-
tationssystemet Børnehus IT, men der påpeges samtidig en række udvik-
lingsmuligheder med hensyn til tilgængeligheden og anvendelsen af data.
9
Erfaringsopsamling af børnehusene
Socialstyrelsen
SOU, Alm.del - 2015-16 - Bilag 90: Orientering om evalueringen af Overgrebspakken, fra social- og indenrigsministeren
1574837_0010.png
1. Indledning
Børnehusene har eksisteret siden oktober 2013 og har til
formål at samle de relevante myndigheder i sager om over-
greb mod børn og unge, så der kan ydes en højt kvalifice-
ret, tværsektorielt koordineret og skånsom indsats. I denne
rapport præsenteres en erfaringsopsamling fra børnehuse-
nes første år.
Børnehusene blev i oktober 2013 oprettet som led i overgrebspakken
1
. Der
blev etableret fem børnehuse placeret i henholdsvis København, Aarhus,
Aalborg, Odense og Næstved. Derudover er der oprettet tre såkaldte afdelin-
ger i Hillerød, Herning og Esbjerg.
Af bekendtgørelsen om børnehusene fremgår det, at børnehusene
”skal bi-
drage til den børnefaglige undersøgelse efter servicelovens § 50 i sager,
hvor der er mistanke eller viden om, at et barn eller en ung under 18 år har
været udsat for overgreb, og hvor det er relevant for kommunen at inddrage
sygehusvæsenet eller politiet.”
2
Børnehusene skal således samle de relevante myndigheder, varetage koor-
dineringen mellem disse og bidrage til den børnefaglige undersøgelse (§50-
undersøgese
3
) i sager om overgreb mod børn og unge. Børnehusene skal
inddrages i sager, hvor følgende tre kriterier alle er opfyldt:
1) Der er viden eller mistanke om, at et barn eller en ung har været udsat for
overgreb.
2) Der gennemføres en børnefaglig undersøgelse efter servicelovens § 50.
3) Der indgår mere end én myndighed (kommune, politi og/eller sygehusvæ-
sen).
Formålet med børnehusene er at sikre en højt kvalificeret og skånsom ind-
sats overfor det enkelte barn eller den enkelte unge. Børnehusene er derfor
1
Overgrebspakken, der trådte i kraft den 1. oktober 2013, består af en række lovændringer, der
har til formål at beskytte børn mod overgreb. Pakken dækker overordnet over følgende fire temaer:
1. Børn skal altid høres og beskyttes, når der er mistanke om overgreb, 2. Underretninger skal
vurderes inden for 24 timer, og opfølgningen på underretninger skal styrkes, 3. Mistrivsel og over-
greb skal opdages og håndteres tidligt og 4. Der skal sættes fokus på den forebyggende og tvær-
faglige indsats. Kilde: http://www.socialstyrelsen.dk/
2
Bekendtgørelse om børnehuse § 1 stk. 1. Kilde:
https://www.retsinforma-
tion.dk/Forms/R0710.aspx?id=158447
3
Lov om social service § 50c. Kilde: https://www.retsinforma-
tion.dk/FORMS/R0710.ASPX?id=164215
10
Erfaringsopsamling af børnehusene
Socialstyrelsen
SOU, Alm.del - 2015-16 - Bilag 90: Orientering om evalueringen af Overgrebspakken, fra social- og indenrigsministeren
1574837_0011.png
indrettet med fokus på, at de fysiske rammer skal være så børnevenlige som
muligt.
Der indgår en række aktører i børnehussamarbejdet. De fem børnehuse
samarbejder samlet set med 98 kommuner, 12 politikredse, fem børneafde-
linger på hospitaler med højt specialiserede funktioner i sager om overgreb
og endelig med tre retsmedicinske institutter.
Som koordinerende instans sikrer børnehuset, at de relevante ekspertiser i
forbindelse med overgreb samles om den enkelte sag, blandt andet gennem
afholdelse af sagssamråd. I denne sammenhæng kan aktørerne udveksle
oplysninger om barnet/den unge og familien, hvis det er nødvendigt at af-
dække sagens karakter og omfang samt for at understøtte for barnets/den
unges sundhed eller udvikling.
4
Børnehuset koordinerer de undersøgelsesaktiviteter, der gennemføres af de
parter, der indgår i børnehussamarbejdet, og sikrer videndeling mellem aktø-
rerne. Der kan blandt andet være tale om politiets afhøringer af børnene/de
unge, retsmedicinernes undersøgelser og sporsikring, børnelægernes udred-
ninger af børnenes/de unges skader og udvikling samt kommunernes gen-
nemførelse af børnesamtaler. Herudover gennemfører børnehusene selv kri-
sesamtaler med barnet/den unge og dets/dens omsorgspersoner.
På baggrund af de informationer, som de involverede aktører og børnehuset
selv har tilvejebragt i sagen, udarbejder børnehusene derfor en sammenfat-
ning og vurdering af overgrebsproblematikken, der kan indgå i kommunens
samlede § 50-undersøgelse og afgørelse i sagen.
1.1.
Formål med erfaringsopsamlingen
Børnehusene har på nuværende tidspunkt eksisteret i lidt over et år, og Mini-
steriet for Børn, Ligestilling, Integration og Sociale Forhold har derfor igang-
sat en erfaringsopsamling. Gennemførelsen af erfaringsopsamlingen har væ-
ret varetaget af Deloitte og er pågået i perioden januar til marts 2015.
Formålet med erfaringsopsamlingen er at afdække de foreløbige erfaringer
med børnehusenes virke fra det første år i drift. Erfaringsopsamlingen belyser
således de forskellige myndigheders erfaringer i forhold til den indsats, der
ydes af børnehusene, det tværsektorielle samarbejde i børnehusene samt
børnehusenes samarbejdsrelation til Socialstyrelsen. Følgende aktører ind-
drages i erfaringsopsamlingen:
Børnehusansatte (ledere og personale)
Ledere og myndighedsrådgivere i driftskommunerne
4
Lov om social service § 50c. Kilde: https://www.retsinforma-
tion.dk/FORMS/R0710.ASPX?id=164215
11
Erfaringsopsamling af børnehusene
Socialstyrelsen
SOU, Alm.del - 2015-16 - Bilag 90: Orientering om evalueringen af Overgrebspakken, fra social- og indenrigsministeren
1574837_0012.png
Ledere og myndighedsrådgivere i øvrige kommuner
Politiets afhørere og sagsbehandlere/rådgivere
Børnelæger og retsmedicinere
Medarbejdere i Socialstyrelsen.
Analysespørgsmål og temaer
Det overordnede analysespørgsmål for erfaringsopsamlingen er:
Hvilke erfaringer har de forskellige interessenter i og omkring børnehusene
gjort sig i forhold til den tværsektorielle samarbejdsmodel?
For at belyse dette spørgsmål analyserer erfaringsopsamlingen en række te-
maer, der tilsammen besvarer det overordnede spørgsmål
5
:
Aktiviteten i børnehusene:
Hvilke aktiviteter gennemføres i børnehu-
sene?
Anvendelsen af børnehusene:
Hvad er omfanget af kommunernes, poli-
tiets og sundhedsvæsnets anvendelse af børnehusene, og hvordan ople-
ves anvendelsen af børnehusene generelt?
Kompetencer og ressourcer:
Besidder børnehusenes medarbejdere de
rette kompetencer til at varetage den stillede opgave, og er børnehusene
indrettet, så de understøtter det overordnede formål?
Sagsforløbet i børnehusene:
Hvordan opleves den indsats, der leveres i
børnehusene, og hvordan opleves afgræsningen af målgruppen og snitfla-
derne mellem børnehusene og de involverede myndigheder?
Det tværsektorielle samarbejde:
Hvordan opleves det tværsektorielle
samarbejde i børnehusene?
Organisatorisk forankring:
Hvordan opleves den organisatoriske foran-
kring af børnehusene i fem driftskommuner?
Samarbejdet med Socialstyrelsen:
Hvordan fungerer samarbejdet mel-
lem børnehusene og Socialstyrelsen, herunder den faglige understøttelse
og Børnehus IT.
1.2.
Datagrundlag
Datagrundlaget for erfaringsopsamlingen består af:
Spørgeskemaundersøgelser blandt ledere og medarbejdere i børnehuse,
kommuner og politikredse.
5
Operationaliseringen af det overordnede analysespørgsmål er beskrevet yderligere i bilag H.
12
Erfaringsopsamling af børnehusene
Socialstyrelsen
SOU, Alm.del - 2015-16 - Bilag 90: Orientering om evalueringen af Overgrebspakken, fra social- og indenrigsministeren
1574837_0013.png
Telefoninterview med ledere og medarbejdere i kommuner, i driftskommu-
ner, i politiet samt børnelæger og retsmedicinere.
Fokusgruppeinterview med børnehusledere og medarbejdere i Socialsty-
relsen.
Data fra Børnehus IT.
I det følgende beskrives disse fire datakilder nærmere.
Spørgeskemaundersøgelser
Den kvantitative dataindsamling består af fire spørgeskemaundersøgelser,
der omhandler erfaringerne med børnehusene. Målgrupperne for de fire
spørgeskemaundersøgelser er som følger:
1. Spørgeskemaet blandt ledere og medarbejdere i kommunerne er sendt til
30 kommuner, der er udvalgt, så de er repræsentative for alle landets
kommuner. Metoden for udvælgelsen af de 30 kommuner er beskrevet
nærmere i bilag A.
2. Spørgeskemaet blandt ledere og medarbejdere i driftskommunerne er
sendt til samtlige fem driftskommuner, se bilag B.
3. Spørgeskemaet blandt ledere og medarbejdere i politiet er sendt til samt-
lige 12 politikredse, se bilag C.
4. Spørgeskemaet til børnehusenes personale er sendt til samtlige fem bør-
nehuse, se bilag D.
I kommunerne er spørgeskemaundersøgelserne sendt til team- eller afde-
lingsledere på området for udsatte børn og unge samt sagsbehandlere/rådgi-
vere, der varetager behandlingen af sager om overgreb mod børn og unge.
Spørgeskemaundersøgelsen blandt medarbejderne i politiet er sendt til med-
arbejdere, der har deltaget som afhører eller sagsbehandler for politiet i sa-
ger om overgreb mod børn og unge.
Alle spørgeskemaerne er bygget op omkring samme temaer. Nogle temaer
er dog ikke relevante i forhold til alle fire målgrupper, og der er samtidig en-
kelte variationer i formuleringen spørgsmålene på tværs af de fire målgrup-
per.
Der er ikke gennemført en spørgeskemaundersøgelse blandt retsmedicinere
og børnelæger, da de udgør så lille en gruppe, at deres erfaringer bedre ind-
drages gennem den kvalitative del af dataindsamlingen.
Der er indsamlet i alt 229 besvarelser på de fire spørgeskemaer. Nedenstå-
ende tabel viser en oversigt over besvarelserne modtaget fra hver af de fire
spørgeskemaundersøgelser. I bilag F er endvidere vedlagt tabeller over de
modtagne besvarelser for hver spørgeskemaundersøgelse.
13
Erfaringsopsamling af børnehusene
Socialstyrelsen
SOU, Alm.del - 2015-16 - Bilag 90: Orientering om evalueringen af Overgrebspakken, fra social- og indenrigsministeren
1574837_0014.png
Tabel 1. Oversigt over modtagne besvarelser
Ledere
Børnehuse
Driftskommuner
Udvalgte kommuner
Politikredse
Total
9
17
0
32
Medarbejdere
23
37
69
68
197
Total
29
46
86
68
229
Kilde:
Spørgeskemaundersøgelser blandt børnehusenes medarbejdere, driftskommuner, ud-
valgte kommuner og politikredse.
Note:
Ledere hos politiet har i meget begrænset omfang
kontakt med børnehusene og har derfor ikke indgået i erfaringsopsamlingen.
¹
Der er modtaget
én besvarelse fra hver leder i de fem børnehuse, inklusiv en besvarelse fra barselsvikaren for
lederen i Børnehus Hovedstaden.
Som det fremgår af tabellen, er der modtaget besvarelser fra 29 medarbej-
dere i børnehusene ud af i alt 30 medarbejdere på udsendelsestidspunktet.
Dette svarer til en svarprocent på 97. Der er således opnået en særdeles til-
fredsstillende dækning af medarbejderne i børnehusene.
Der er modtaget 46 besvarelser fra driftskommunerne. Der er modtaget be-
svarelser fra både medarbejdere og ledere i samtlige driftskommuner med
undtagelse af Næstved Kommune, hvor der kun er modtaget besvarelse fra
en leder.
På baggrund af både de modtagne besvarelser og de gennemførte interview
kan det konkluderes, at der ikke er forskelle, hvordan medarbejderne i drifts-
kommunerne samarbejder med børnehusene sammenlignet med øvrige
kommuner. Den efterfølgende analyse af besvarelserne vil derfor blive gen-
nemført samlet for medarbejderne i alle kommunerne. I nogle sammen-
hænge vil lederne i driftskommunerne dog fortsat blive behandlet selvstæn-
digt, da disse har besvaret særlige spørgsmål i spørgeskemaundersøgelsen
angående kommunernes varetagelse af driftsansvaret.
Der er modtaget 86 besvarelser fra 26 ud af de 30 udvalgte kommuner. I Re-
gion Hovedstaden har fire kommuner svaret, i Region Syddanmark og Re-
gion Nordjylland har fem kommuner svaret i hver region og i Region Sjælland
og Region Midtjylland har seks kommuner svaret i hver region.
I forhold til de opstillede kriterier for udvælgelsen af kommunerne er der op-
nået en tilfredsstillende spredning. Kriterierne for udvælgelse af kommunerne
er beskrevet i bilag A. Der er således ingen af de kombinationer af kriterier,
der ikke er tilfredsstillende repræsenteret i de indsamlede besvarelser.
Da spørgeskemaerne er videreformidlet til relevante medarbejdere via de
kommunale ledere på området, er det ikke muligt at beregne en svarprocent
for kommunernes deltagelse i spørgeskemaundersøgelsen. Derfor foreligger
der ikke information om det samlede antal relevante medarbejdere på områ-
det i de 30 kommuner.
Der er modtaget i alt 68 besvarelser fra politikredsene. Samtlige 12 politi-
kredse har deltaget i undersøgelsen, og der er opnået en god spredning af
14
Erfaringsopsamling af børnehusene
Socialstyrelsen
SOU, Alm.del - 2015-16 - Bilag 90: Orientering om evalueringen af Overgrebspakken, fra social- og indenrigsministeren
1574837_0015.png
besvarelserne mellem de 12 kredse, jf. tabel 12 i bilag F). Dette giver således
et udmærket grundlag for opgørelsen af politiets erfaringer med børnehu-
sene. Spørgeskemaet til medarbejdere og ledere i politiet er formidlet via en
kontaktperson i hver af de 12 politikredse. Det er derfor heller ikke muligt at
beregne en samlet svarprocent for politikredsene.
På tværs af de fire spørgeskemaer er der således opnået en særdeles til-
fredsstillende dækning af hver målgruppe og en passende spredning inden-
for hver målgruppe. Det er Deloittes vurdering, at dette udgør et tilstrækkeligt
grundlag for erfaringsopsamlingen.
Variation i antallet af besvarelser
For spørgeskemaundersøgelserne blandt kommuner, driftskommuner og po-
liti gælder det, at nogle af de medarbejdere og ledere, der har besvaret
spørgsmålene, slet ikke har haft kontakt til børnehuset, mens andre har del-
taget i mødeaktivitet i børnehuset (eksempelvis temadage og arrangementer
i forbindelse med oprettelsen af børnehusene), men ikke har haft børnehus-
sager.
Det betyder, at forskellige analyser i rapporten bygger på et forskelligt antal
besvarelser fra ledere og medarbejdere, da ikke alle har forudsætninger for
at besvare de enkelte spørgsmål. Antallet af besvarelser (n) varierer således
igennem analysen af spørgeskemaundersøgelserne blandt kommuner, drifts-
kommuner og politi. Dette er for at sikre, at analysen af aktørernes oplevelse
af børnehussamarbejdet alene forholder sig til besvarelserne fra de ledere og
medarbejdere, der har grundlag for at vurdere de enkelte elementer.
Besvarelserne fra både kommuner, driftskommuner og politi sammenlignes
på tværs af børnehuse, når der er interessante forskelle at belyse. Sydøstjyl-
lands politikreds har dog samarbejdet i nogenlunde lige stort omfang med to
børnehuse (Børnehus Midt og Børnehus Syd), og det er således ikke muligt
at afgøre, hvilket børnehus en given besvarelse fra denne politikreds om-
handler. Derfor indgår Sydøstjyllands politikreds ikke i de analyser, hvor poli-
tiets besvarelser vises fordelt på børnehuse.
Generelt nedbrydes data ikke til et niveau, hvor der er meget få besvarelser i
(under fem) dels fordi det er meget usikkert at drage konklusioner ud fra få
besvarelser, dels for at sikre anonymiteten i undersøgelsen. Det betyder
blandt andet, at besvarelserne fra børnehusenes medarbejdere og ledere
ikke vises fordelt for det enkelte børnehus.
I de figurer, hvor der indgår procentfordelinger, kan det forekomme, at pro-
centerne på grund af afrunding ikke summer til 100.
Telefoninterview
I tillæg til spørgeskemaerne er der i erfaringsopsamlingen gennemført en
række telefoninterview med aktørerne i børnehussamarbejdet. Disse inter-
15
Erfaringsopsamling af børnehusene
Socialstyrelsen
SOU, Alm.del - 2015-16 - Bilag 90: Orientering om evalueringen af Overgrebspakken, fra social- og indenrigsministeren
1574837_0016.png
view er gennemført for at nuancere den viden, der er opnået gennem besva-
relserne af spørgeskemaerne, og fokusere erfaringsopsamlingen på de punk-
ter af samarbejdet, som aktørerne har særligt fokus på.
Nedenstående tabel viser en oversigt over de gennemførte kvalitative tele-
foninterview.
Tabel 2. Oversigt over gennemførte interview
Gennemførte interview
Ledere i kommunerne
Medarbejdere i kommunerne
Medarbejdere i politiet
Børnelæger
Retsmedicinere
Total
18
22
14
5
3
61
Der er gennemført interview med kontaktpersoner for børnehusene på alle
fem børneafdelinger på hospitalerne, der varetager højt specialiserede funkti-
oner i forhold til overgrebssager. Der er ligeledes gennemført interview med
kontaktpersoner for børnehussamarbejdet på alle landets tre retsmedicinske
institutter. Børnelægers og retsmedicineres oplevelse af børnehussamarbej-
det beskrives i analysen i udgangspunktet adskilt, men disse personalegrup-
per benævnes til tider med samlebetegnelsen sundhedsvæsenet. Der er i de
gennemførte interview opnået en god spredning på tværs af kommunerne og
politikredsene i forhold til både størrelse, geografisk placering og tilknytning
til børnehusene.
Fokusgrupper
Som del af den kvalitative erfaringsopsamling er der gennemført to fokus-
grupper henholdsvis med lederne for de fem børnehuse og med de medar-
bejdere i Socialstyrelsen, der understøtter etableringen af børnehusene og
børnehusenes faglige kompetencer.
Fokusgrupperne er gennemført med udgangspunkt i den indsamlede viden
fra spørgeskemaer og interview og har således haft til formål at uddybe de
aspekter af børnehussamarbejdet, som dataindsamlingen har vist udgør sær-
lige fokusområder for aktørerne. Fokusgrupperne er gennemført som semi-
strukturerede fokusgruppeinterview med udgangspunkt i en række temaer,
der er identificeret i den forudgående dataindsamling. Indenfor den overord-
nede spørgeramme har deltagernes oplevelse af, hvilke elementer af samar-
bejdet der er mest relevante, i vidt omfang styret drøftelsernes fokus.
16
Erfaringsopsamling af børnehusene
Socialstyrelsen
SOU, Alm.del - 2015-16 - Bilag 90: Orientering om evalueringen af Overgrebspakken, fra social- og indenrigsministeren
1574837_0017.png
Børnehus IT
”Børnehusene skal
registrere centrale
oplysninger om de
børn og unge, der
gennemgår forløb hos
dem, og indberette
disse oplysninger til
Socialstyrelsen til
statistisk brug […]”
Bekendtgørelsen om
børnehusene §9
Den sidste del af datagrundlaget for erfaringsopsamlingen er data fra børne-
husenes nationale dokumentationssystem (Børnehus IT)
6
. Der foretages i
børnehusene en registrering af en række karakteristika vedrørende de kon-
sultative henvendelser og børnehussagerne.
Registreringen i Børnehus IT indeholder en del, som er obligatorisk at ud-
fylde, og del, som er frivillig at udfylde. Den obligatoriske del indeholder føl-
gende oplysninger:
Barnets CPR-nummer
I hvilken sektor sagen startede
Overgrebets type og karakter
Tidspunkt og periode for overgreb
Formodede krænkers relation til barnet
Indsatser som er ydet i børnehuset under forløbet
Den frivillige del omhandler en række oplysninger om barnet og dets familie,
om overgrebet og om den formodede krænker.
En børnehussag registreret i Børnehus IT knytter sig til det enkelte børnehus-
forløb. Ét barn kan altså have flere sager i børnehuset, hvis der efter afslut-
ningen af det første forløb modtages en ny henvendelse om overgreb mod
det samme barn.
Registreringerne i Børnehus IT foretages af de medarbejdere i børnehusene,
som håndterer sagerne. Oplysningerne reflekterer således den forhånden-
værende viden om sagerne. Ydermere er der typisk ikke faldet dom i sa-
gerne, når de registreres i Børnehus IT. Der er således tale om registreringer
af formodede overgreb og formodede krænkere.
Som datagrundlag for erfaringsopsamlingen indgår et udtræk af disse oplys-
ninger gældende for kalenderåret 2014. Disse data anvendes blandt andet til
at skabe overblik over, hvilke aktiviteter der finder sted i børnehusene, og til
at belyse sagernes karakteristika.
Den gennemførte analyse af data fra Børnehus IT indikerer, at der er for-
skelle i registreringspraksis på tværs af husene. Socialstyrelsen oplyser, at
der i dialog med børnehusene pågår et arbejde med at ensrette brugen af
Børnehus IT.
6
Bekendtgørelsen om børnehusene §9 Kilde:
https://www.retsinforma-
tion.dk/Forms/R0710.aspx?id=158447
17
Erfaringsopsamling af børnehusene
Socialstyrelsen
SOU, Alm.del - 2015-16 - Bilag 90: Orientering om evalueringen af Overgrebspakken, fra social- og indenrigsministeren
1574837_0018.png
1.3.
Læsevejledning
Afrapporteringen af erfaringsopsamlingen er struktureret efter de syv analy-
setemaer, der tilsammen belyser aktørernes erfaringer med den tværsektori-
elle samarbejdsmodel i børnehusene. Hvert kapitel efter denne indledning
belyser således et af de syv temaer.
I
kapitel 2
gives et overblik over
aktiviteten i børnehuset.
I dette kapitel
analyseres omfanget og indholdet af de aktiviteter, der gennemføres i børne-
husene, og der gives en karakteristik af de sager, som børnehusene inddra-
ges i.
I
kapitel 3
analyseres samarbejdspartnernes
anvendelse af børnehusene.
Kapitlet afdækker således børnehusenes udbredelse og forankring i kommu-
nerne, politiet og sundhedsvæsenet samt disse aktørers overordnede ople-
velse af at anvende børnehusene.
I
kapitel 4
afdækkes, hvilke
kompetencer og ressourcer
der er til stede i
børnehusene til at sikre varetagelsen af opgaverne i forbindelse med sager
om overgreb mod børn og unge. Kapitlet analyserer de faste medarbejderes
sammensætning og kompetencer samt oplevelsen af de fysiske rammer i
børnehusene.
I
kapitel 5
afdækkes de involverede parters oplevelse af centrale elementer i
sagsforløbet i børnehusene.
Kapitlet analyserer kommunernes henvisning
af sager til børnehusene under anvendelse af målgruppekriterierne, sags-
håndteringstiden i børnehusene, den endelige overlevering til kommunen
samt kommunernes efterfølgende anvendelse af tilkøbsydelser.
I
kapitel 6
analyseres det
tværsektorielle samarbejde
i børnehusene. Ka-
pitlet afdækker, i hvilket omfang børnehusene blandt andet gennem sags-
samråd og børnehussamråd bidrager til øget videndeling, kontakt og kend-
skab mellem de involverede sektorer og til en mere skånsom indsats overfor
børnene/de unge.
I
kapitel 7
analyseres den
organisatoriske forankring
af børnehusene i fem
driftskommuner (én i hver region). Kapitlet analyserer varetagelsen af drifts-
ansvaret for børnehusene samt konsekvenserne af denne organisering med
hensyn til geografisk tilgængelighed og tværgående forankring.
I
kapitel 8
afdækkes oplevelsen af børnehusenes
samarbejde med Social-
styrelsen
med hensyn til både den faglige understøttelse af børnehusenes
arbejde og det nationale dokumentationssystem.
Kapitel 9
indeholder den samlede
konklusion
på erfaringsopsamlingen på
basis af de beskrevne tematiske delanalyser.
18
Erfaringsopsamling af børnehusene
Socialstyrelsen
SOU, Alm.del - 2015-16 - Bilag 90: Orientering om evalueringen af Overgrebspakken, fra social- og indenrigsministeren
1574837_0019.png
2. Aktiviteten i
børnehusene
I dette kapitel belyses den aktivitet, der har været i børnehu-
sene i 2014. Der fokuseres på omfanget af sager og konsul-
tative henvendelser, der bliver modtaget og afsluttet i bør-
nehusene, en nærmere beskrivelse af, hvilke typer sager
der behandles i børnehusene, samt omfanget af de indsat-
ser, der leveres i forbindelse med sagerne.
Erfaringsopsamlingen af børnehusene indledes i dette kapitel med en de-
skriptiv analyse af børnehussager samt konsultative henvendelser i børnehu-
sene. Som det fremgår af udbudsmaterialet for erfaringsopsamlingen, er for-
målet med den deskriptive analyse at afdække aktiviteten i børnehusene, be-
lyse karakteristika ved børnehussagerne og de konsultative henvendelser
samt identificere eventuelle opmærksomhedspunkter.
I det omfang det er muligt på det foreliggende datagrundlag, vil de observati-
oner, der gøres, blive analyseret med henblik på mulige forklaringer. En mere
gennemgående analyse af årsagerne til og variationen indenfor overgreb
mod børn og unge ligger udenfor rammerne af erfaringsopsamlingen og mu-
lighederne med det tilgængelige datamateriale.
Aktiviteten i børnehusene opgøres på baggrund af data fra Børnehus IT.
Data er afgrænset til perioden 1. januar 2014 til 31. december 2014.
Det er således muligt at opgøre omfanget af sager, som børnehusene har
modtaget i 2014 (på baggrund af den registrerede startdato), og omfanget af
afsluttede sager i samme periode (på baggrund af slutdatoen).
2.1.
Sager i børnehusene
Hovedparten af aktiviteten i børnehusene består af konsultative henvendel-
ser fra kommunerne og behandling af børnehussager.
Den konsultative bistand består i at rådgive kommunale myndighedsrådgi-
vere, som henvender sig til børnehuset med spørgsmål angående sager,
hvor der er viden eller mistanke om overgreb på et barn eller en ung, eksem-
pelvis for at afklare, om sagen er inden for børnehusenes målgruppe.
19
Erfaringsopsamling af børnehusene
Socialstyrelsen
SOU, Alm.del - 2015-16 - Bilag 90: Orientering om evalueringen af Overgrebspakken, fra social- og indenrigsministeren
1574837_0020.png
En børnehussag er en sag, hvor der er viden eller mistanke om overgreb
mod et barn eller en ung, og hvor en kommune benytter børnehuset til at bi-
drage til den børnefaglige undersøgelse.
Et vigtigt element i børnehussagerne er afholdelsen af sagssamråd. Sags-
samråd er møder, hvor de relevante medarbejdere på tværs af sektorer mø-
des for at drøfte sagen.
I dette afsnit analyseres omfanget af henholdsvis børnehussager og konsul-
tative henvendelser i børnehusene, mens deres karakteristika afdækkes i de
efterfølgende afsnit. Sagssamrådene vil blive belyst i et senere kapitel.
Nedenstående tabel viser en samlet oversigt over aktiviteten i børnehusene i
2014.
Tabel 3. Antal børnehussager og konsultative henvendelser fordelt på børne-
huse, 2014
Børnehus
Hovedstaden
Modtagne
børnehussager
Afsluttede
børnehussager
Konsultative
henvendelser
262
222
456
Børnehus
Sjælland
149
102
93
Børnehus
Syd
349
279
314
Børnehus
Midt
191
119
102
Børnehus
Nord
129
113
81
Total
1.080
835
1.046
Kilde:
Børnehusenes dokumentationssystem.
Note:
Modtagne børnehussager og konsultative
henvendelser er opgjort på startdato, mens afsluttede børnehussager er opgjort på slutdato. En
afsluttet børnehussag betyder, at Børnehuset har afsluttet registreringen i Børnehus IT.
I perioden 1. januar 2014 til 31. december 2014 har børnehusene modtaget i
alt 1.080 sager om overgreb mod børn og unge og leveret 1.046 konsultative
henvendelser til kommunerne. I samme periode har børnehusene afsluttet
835 sager. Der er således blevet modtaget flere sager, end der er afsluttet.
Når børnehusene således ikke kan afslutte det samme antal sager, som de
modtager i 2014, betyder det, at antallet af verserende sager er større ved
slutningen af året end ved starten af året.
Der er et mindre antal sager, der er blevet afsluttet, som følge af at de er ble-
vet afbrudt (eksempelvis fordi en eventuel sigtelse er frafaldet). Dette kan
dog ikke forklare forskellen mellem de modtagne og afsluttede sager.
Hvert barn kan indgå i mere end én børnehussag, hvis der efter en afsluttet
børnehussag opdages nye overgreb. Der har dog kun været fem børn, som
har haft mere end én sag i børnehusene i 2014. Alle disse fem børn har haft
to sager. Samlet set dækker de 835 afsluttede børnehussager således over
830 børn.
Ud af det samlede antal modtagne børnehussager tegner Børnehus Syd sig
for næsten en tredjedel (32 procent), Børnehus Hovedstaden udgør cirka 24
procent, og de resterende tre børnehuse udgør hver mellem 12 og 18 pro-
cent af det samlede antal modtagne sager, jf. ovenstående tabel.
I forhold til fordelingen af konsultative henvendelser er der betydelig større
variation mellem børnehusene. Børnehus Hovedstaden har således haft 456
20
Erfaringsopsamling af børnehusene
Socialstyrelsen
SOU, Alm.del - 2015-16 - Bilag 90: Orientering om evalueringen af Overgrebspakken, fra social- og indenrigsministeren
1574837_0021.png
konsultative henvendelser fra kommunerne i 2014 – svarende til 44 procent
af det samlede antal. Børnehus Syd har haft 314 henvendelser – svarende til
30 procent, mens de øvrige børnehuse hver udgør under 10 procent af det
samlede antal konsultative henvendelser.
Tabel 3 viser også, at Børnehus Hovedstaden har haft næsten dobbelt så
mange konsultative henvendelser som modtagne børnehussager, mens de
øvrige børnehuse alle har haft færre konsultative henvendelser end mod-
tagne børnehussager.
Udover at der naturligvis er forskel på kommunerne i hver af de fem regioner,
må ovenstående forskelle i antallet af konsultative henvendelser også skyl-
des en forskel i registreringspraksis mellem børnehusene.
Der kan endvidere være forskel på kommunernes retningslinjer for anven-
delse af børnehusenes konsultative bistand. Eksempelvis har nogle af de
kommunale medarbejdere i de gennemførte interview givet udtryk for, at de i
første omgang henvender sig til politiet for at få afklaret, om der er belæg for
at rejse sigtelse i en given sag, og derefter eventuelt henvender sig til børne-
husene. Mens andre først henvender sig til børnehusene for at få afklaret,
om en given sag ligger inden for børnehusenes målgruppe.
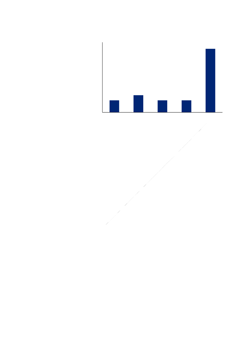
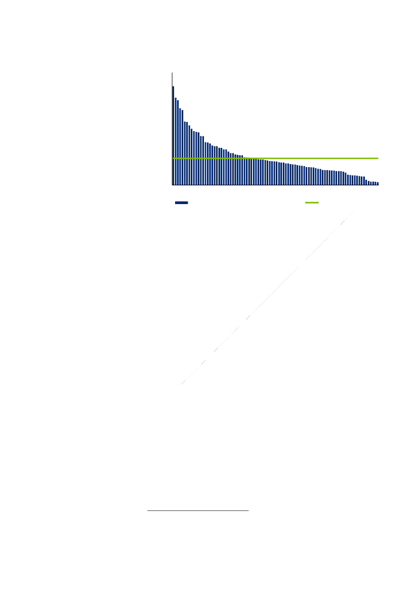
Nedenstående figur viser, hvordan aktiviteten i børnehusene varierer over tid
i 2014.
Figur 1. Antal afsluttede og modtagne børnehussager og konsultative henvendel-
ser, 2014
180
160
140
120
Antal sager
100
80
60
40
20
0
Jan
Feb
Mar
Apr
Maj
Jun
Jul
Aug
Sep
Okt
Nov
Dec
Modtagne sager
Afsluttede sager
Konsultative henvendelser
Kilde:
Børnehus IT.
Note:
Modtagne børnehussager og konsultative henvendelser er opgjort på
startdato, mens afsluttede børnehussager er opgjort på slutdato.
Børnehusene har i gennemsnit modtaget 90 sager om overgreb mod børn og
unge om måneden i 2014. Dette dækker dog over betydelige udsving hen
over året.
Børnehusene har således modtaget flere sager i årets første måneder efter-
fulgt af et dyk i antallet af sager i april og igen hen over sommeren. Endelig
21
Erfaringsopsamling af børnehusene
Socialstyrelsen
SOU, Alm.del - 2015-16 - Bilag 90: Orientering om evalueringen af Overgrebspakken, fra social- og indenrigsministeren
1574837_0022.png
er året afsluttet med en stigning i antallet af modtagne sager i september, ok-
tober og november.
I forbindelse med den afholdte fokusgruppe bemærkede børnehuslederne, at
børnehusene har meget begrænset mulighed for at påvirke tilstrømningen af
sager, og at dette er en udfordring i forhold til at styre kapaciteten i børnehu-
sene.
Figur 1 viser ydermere, at antallet af konsultative henvendelser nogenlunde
følger antallet af modtagne sager i forhold til både antallet af henvendelser
og udviklingen over tid.
Antallet af afsluttede sager følger nogenlunde udviklingen i modtagne sager.
Generelt gælder dog, at børnehusene har afsluttet lidt færre sager hver må-
ned, end de har modtaget. Dette gør sig dog ikke gældende i juni måned,
hvor der sker en betydelig stigning i antallet af afsluttede sager. Denne stig-
ning i antallet af afsluttede sager på en enkelt måned kunne tyde på, at bør-
nehusene i nogle tilfælde registrerer sagerne som afsluttede i Børnehus IT
forsinket i forhold til, hvornår sagerne i praksis er afsluttet.
I gennemsnit har børnehusene afsluttet 70 sager om måneden i 2014.
I bilag G er vedlagt oversigter over antallet af modtagne og afsluttede sager
fordelt på børnehusene (jf. figur 62 og figur 63). Heraf fremgår det, at der er
betydelige forskelle i udviklingen i både modtagne og afsluttede sager mel-
lem børnehusene.
De fem børnehuse dækker over et forskelligt antal kommuner med et varie-
rende antal indbyggere under 18 år. Befolkningsgrundlaget for børnehusene
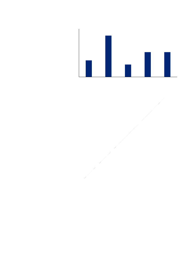
er således ikke ens. Figur 2 viser derfor antallet af afsluttede sager per
10.000 indbyggere under 18 år for hvert børnehus.
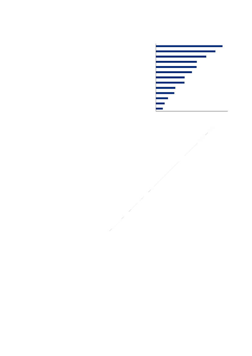
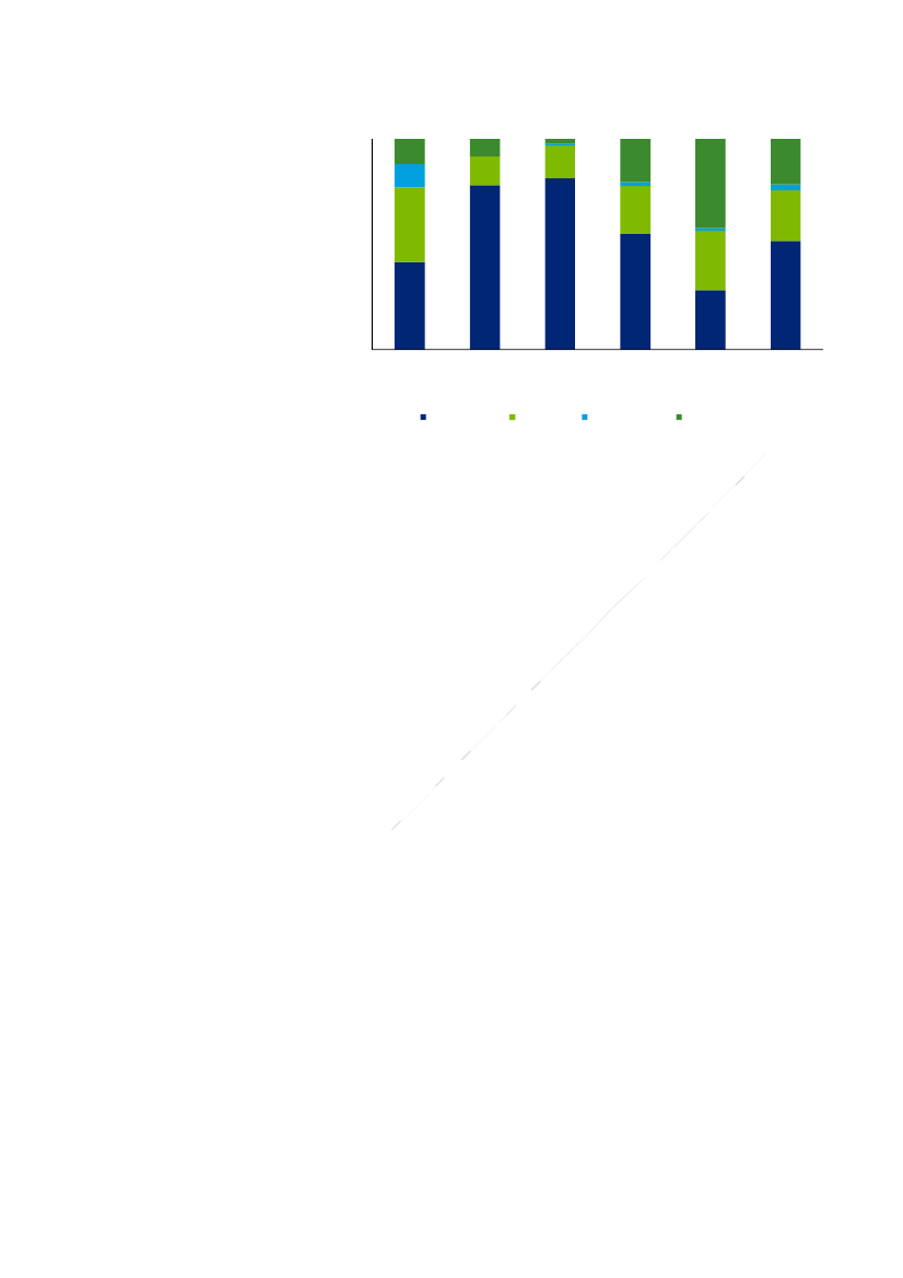
Figur 2. Antal afsluttede børnehussager per 10.000 indbyggere under 18 år
fordelt på børnehuse, 2014
12
9,7
11,1
Antal sager per 10.000 indbyggere
10
8
6,0
6
4,3
4
6,2
2
0
Børnehus
Midt
(n: 119)
Børnehus
Sjælland
(n: 102)
Børnehus
Hovedstaden
(n: 222)
Børnehus
Nord
(n: 113)
Børnehus
Syd
(n: 279)
22
Erfaringsopsamling af børnehusene
Socialstyrelsen
SOU, Alm.del - 2015-16 - Bilag 90: Orientering om evalueringen af Overgrebspakken, fra social- og indenrigsministeren
1574837_0023.png
Kilde:
Børnehus IT.
Note:
Afsluttede børnehussager er opgjort på slutdato. Den grønne linje vi-
ser det vægtede gennemsnit på tværs af alle børnehusene. Samme observationer i forhold til
sammenligningen på tværs af børnehusene gør sig gældende, hvis der anvendes modtagne i
stedet for afsluttede børnehussager.
Som figuren viser, har der i 2014 i hele landet været syv sager om overgreb
mod børn og unge per 10.000 indbyggere under 18 år.
Antallet af sager per indbygger er lavest i Børnehus Hovedstaden, Børnehus
Midt og Børnehus Sjælland (henholdsvis 6,2, 4,3 og 6,0 sager per 10.000
indbyggere under 18 år) og højest i Børnehus Nord og Børnehus Syd (9,7 og
11,1 sag per 10.000 indbyggere under 18 år).
2.2.
Sagernes karakteristika
I det efterfølgende afsnit beskrives de sager, som børnehusene har afsluttet i
2014. Første belyses sagernes type (omhandler de seksuelle eller voldelige
overgreb), og herefter analyseres de involverede børns/unges og krænker-
nes karakteristika.
Sagstype
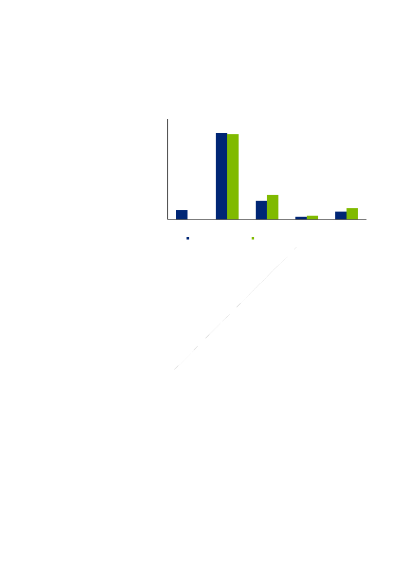
Sagerne i børnehusene kan opdeles i to overordnede typer: sager, der om-
handler seksuelle overgreb, og sager, der omhandler voldelige overgreb.
Nedenstående figur viser sammensætningen af de afsluttede sager ved bør-
nehusene i 2014 fordelt på sagstyper.
Figur 3. Antal afsluttede børnehussager fordelt på sagstyper og børnehuse,
2014
100%
6%
8%
3%
34%
54%
5%
2%
3%
80%
53%
64%
59%
Procent
60%
71%
40%
55%
20%
22%
0%
Børnehus
Hovedstaden
(n: 222)
Seksuelt overgreb
Børnehus
Midt
(n: 119)
Børnehus
Nord
(n: 113)
Børnehus
Sjælland
(n: 102)
Børnehus
Syd
(n: 279)
Total
(n: 835)
Ved ikke
40%
47%
33%
36%
Voldeligt overgreb
Seksuelt og voldeligt overgreb
Kilde:
Børnehus IT.
Note:
Afsluttede børnehussager er opgjort på slutdato.
Som figuren viser, omhandler cirka en tredjedel af sagerne (300 sager) i bør-
nehusene seksuelle overgreb, 59 procent (491 sager) omhandler voldelige
overgreb, mens en mindre andel omhandler både seksuelle og voldelige
overgreb.
23
Erfaringsopsamling af børnehusene
Socialstyrelsen
SOU, Alm.del - 2015-16 - Bilag 90: Orientering om evalueringen af Overgrebspakken, fra social- og indenrigsministeren
1574837_0024.png
Der er nogen forskel på sagssammensætningen på tværs af de fem børne-
huse. I Børnehus Hovedstaden udgør de seksuelle overgreb således den
mindste andel på 22 procent, mens de i Børnehus Midt udgør den største an-
del på 55 procent. I de fleste børnehuse gælder dog, at de voldelige overgreb
udgør den største andel.
Hver sagstype kan brydes yderligere ned i en række forskellige typer over-
greb. Nedenstående figur viser således de afsluttede sager om seksuelle
overgreb ved børnehusene fordelt på typer af overgreb.
Figur 4. Antal afsluttede børnehussager om seksuelle overgreb fordelt på ty-
per af overgreb, 2014
Blufærdighedskrænkelse
64%
Anden kønslig omgang
37%
Samleje
21%
Foto
10%
It-krænkelse
5%
Andet
0%
7%
10%
20%
30%
40%
50%
60%
70%
Procent
Kilde:
Børnehus IT.
N:
238. For nogle børnehussager er der ikke angivet en type af overgreb,
hvorfor de ikke er med i denne opgørelse. Samme børnehussag kan omhandle flere forskellige
typer overgreb, hvorfor procenterne summer til mere end 100.
Note:
Afsluttede børnehussager
er opgjort på slutdato.
Blandt de 238 sager om seksuelt overgreb, hvor typen af overgreb er angi-
vet, omhandler 64 procent blufærdighedskrænkelse, 37 procent omhandler
anden kønslig omgang, 21 procent omhandler samleje, 10 procent omhand-
ler fotografering af barnet/den unge, mens fem procent omhandler it-kræn-
kelse.
I bilag G er vedlagt en tabel over fordelingen af sager om seksuelle overgreb
fordelt på typer af overgreb for hvert børnehus, jf. tabel 13. Heraf fremgår det,
at selvom der er mindre, lokale forskelle, går ovenstående fordeling igen på
tværs af de fem børnehuse.
Figur 5 viser sager om voldelige overgreb fordelt på typer af overgreb.
24
Erfaringsopsamling af børnehusene
Socialstyrelsen
SOU, Alm.del - 2015-16 - Bilag 90: Orientering om evalueringen af Overgrebspakken, fra social- og indenrigsministeren
1574837_0025.png
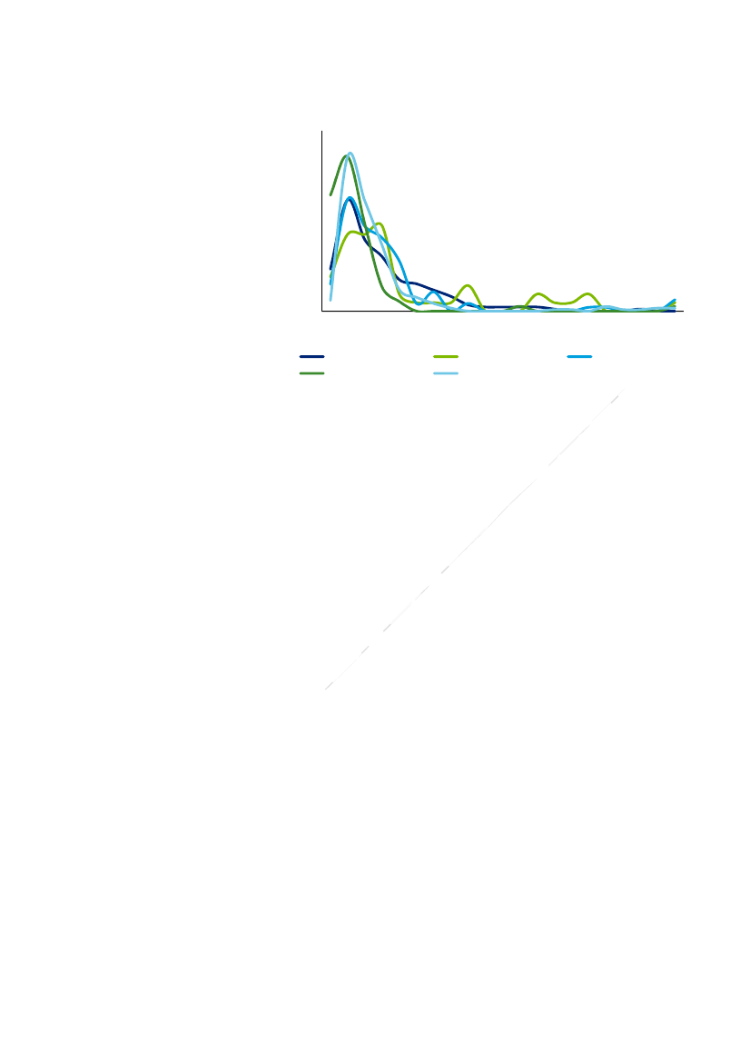
Figur 5. Antal afsluttede børnehussager om voldeligt overgreb fordelt på ty-
per af overgreb, 2014
Slag/spark
Lussinger
Slag med genstand
Trusler om vold
Vidne til vold
Rusk
Kvælertag
Truet med våben
Brændemærket
Andet
0%
15%
11%
9%
7%
5%
2%
1%
9%
20%
40%
Procent
60%
80%
51%
67%
Kilde:
Børnehus IT.
N:
438. For nogle børnehussager er der ikke angivet en type af overgreb,
hvorfor de ikke er med i denne opgørelse. Samme børnehussag kan omhandle flere forskellige
typer overgreb, hvorfor procenterne summer til mere end 100.
Note:
Afsluttede børnehussager er
opgjort på slutdato.
Som det fremgår af ovenstående figur, omhandler sagerne om voldelige
overgreb i børnehusene hovedsagelig slag/spark og lussinger og i mindre
grad øvrige former for voldelige overgreb. Der vil naturligvis være et overlap
mellem de forskellige former for overgreb, idet det samme barn kan blive
oversat for mere end én type af voldeligt overgreb i den samme børnehus-
sag.
I bilag G er vedlagt en oversigt over de voldelige sager fordelt på typer af
overgreb for hvert børnehus, jf. tabel 14. Der er nogle tydelige forskelle mel-
lem børnehusene. For eksempel er børn/unge i Børnehus Midt oftere vidne til
vold sammenlignet med børn/unge i de øvrige børnehuse. Overordnet set er
mønstret i typen af overgreb dog ens på tværs af børnehusene.
I Børnehus IT registreres også, i hvilken sektor (kommune, politi eller syge-
hus) sagen er startet. Nedenstående figur viser fordelingen på startsektor for
hvert børnehus af afsluttede sager i 2014.
25
Erfaringsopsamling af børnehusene
Socialstyrelsen
SOU, Alm.del - 2015-16 - Bilag 90: Orientering om evalueringen af Overgrebspakken, fra social- og indenrigsministeren
1574837_0026.png
Figur 6. Antal afsluttede børnehussager fordelt på startsektorer og børne-
huse, 2014
100%
4%
5%
9%
6%
6%
12%
5%
8%
11%
6%
5%
7%
6%
5%
9%
5%
5%
9%
80%
Procent
60%
40%
82%
76%
76%
82%
81%
80%
20%
0%
Børnehus
Hovedstaden
(n: 222)
Børnehus
Midt
(n: 119)
Kommune
Børnehus
Nord
(n: 113)
Politi
Børnehus
Sjælland
(n: 102)
Børnehus
Syd
(n: 279)
Total
(n: 835)
Sygehus
Ved ikke/ukendt
Kilde:
Børnehus IT.
Note:
Afsluttede børnehussager er opgjort på slutdato.
Langt hovedparten (80 procent) af de afsluttede sager i 2014 er startet i kom-
munen, jf. figuren ovenfor. Ni procent er startet i politiet, og en mindre andel
(5 procent) er startet på sygehusene.
Karakteristik af børn og unge i børnehussager
I forbindelse med oprettelsen af sagerne i børnehusene registreres en række
oplysninger om det barn/den unge, som sagerne omhandler. I det efterføl-
gende afsnit analyseres karakteristika for disse børn og unge. Figur 7 viser
således fordelingen på barnets/den unges køn og alder af afsluttede sager i
2014.
Figur 7. Antal afsluttede børnehussager fordelt på barnets/den unges køn og al-
der, 2014
50
45
40
35
Antal sager
30
25
20
15
10
5
0
0
1
2
3
4
5
6
7
8
9
10
11
12
13
14
15
16
17
Alder
Dreng (n: 317)
Pige (n: 473)
Kilde:
Børnehus IT.
Note:
Afsluttede børnehussager er opgjort på slutdato. Barnets/den unges
alder er opgjort på tidspunktet for opstarten af børnehussagen. Der er 45 børnehussager, hvor
enten barnets/den unges køn eller alder er ukendt.
26
Erfaringsopsamling af børnehusene
Socialstyrelsen
SOU, Alm.del - 2015-16 - Bilag 90: Orientering om evalueringen af Overgrebspakken, fra social- og indenrigsministeren
1574837_0027.png
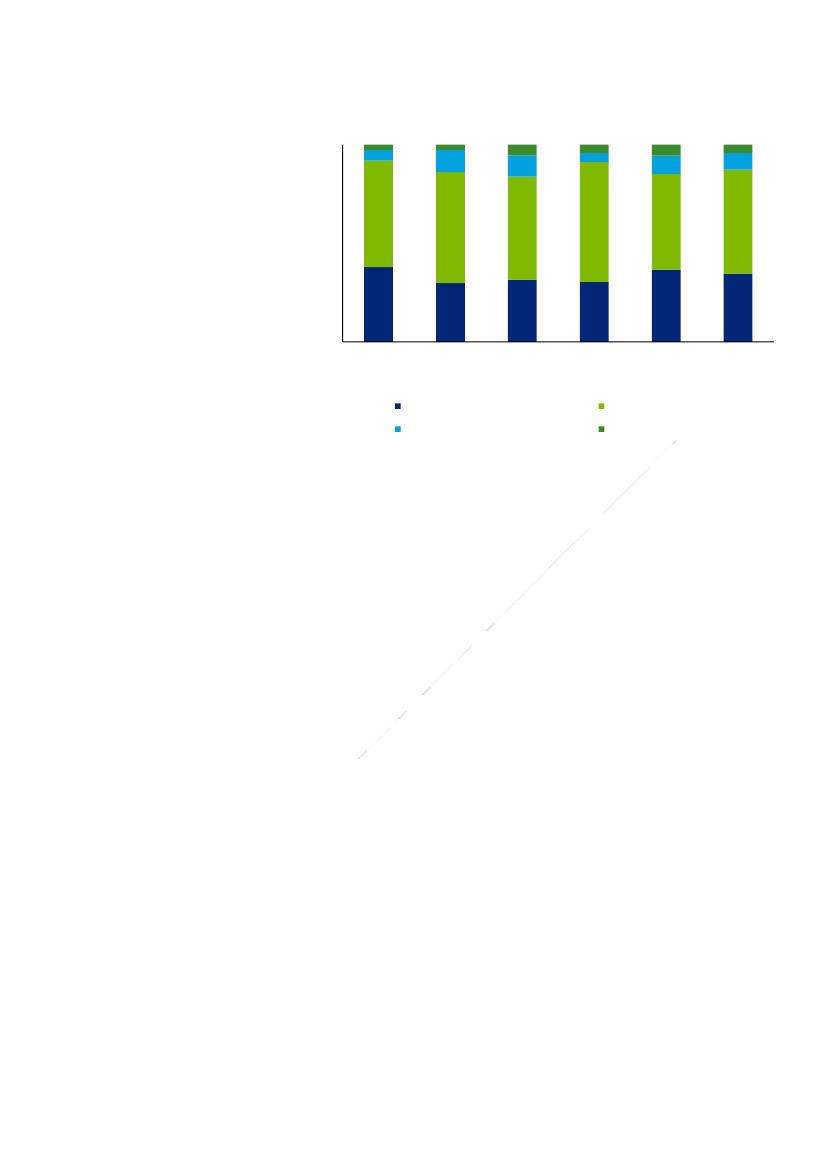
Fordelingen viser, at cirka 40 procent af de afsluttede sager omhandler
drenge, og 60 procent omhandler piger. 22 procent af børnene er fem år eller
derunder, 36 procent er mellem seks og ti år, mens de resterende 42 procent
er ti år eller derover.
Som figur 7 viser, er der dog betydelige forskelle i aldersfordelingen mellem
de to køn. Der er således ikke den store forskel på antallet af henholdsvis
drenge og piger under 11 år, der indgår i sager om overgreb. Men for
børn/unge over 11 år er der en tydelig forskel mellem kønnene. Antallet af
drenge, der er over 11 år, og som udsættes for overgreb falder således,
mens antallet af piger i samme aldersgruppe stiger meget.
Disse forskelle forstærkes yderligere, hvis man opdeler sagerne i sager om
henholdsvis seksuelle og voldelige overgreb som vist i nedenstående figurer.
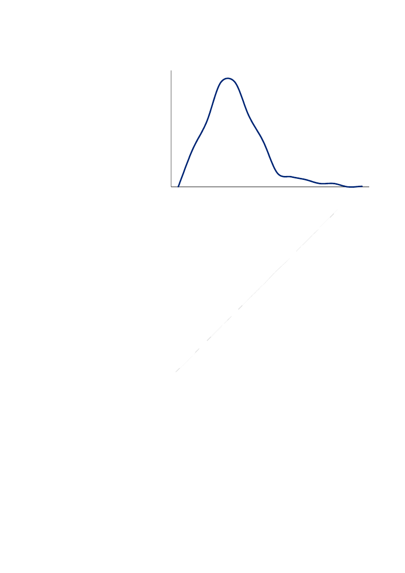
Figur 8. Antal afsluttede børnehussager fordelt på barnets/den unges køn og alder og typer af overgreb, 2014
Voldelige overgreb
Seksuelle overgreb
35
30
25
30
25
Antal sager
20
15
10
5
0
0
1
2
3
4
5
8 9 10 11 12 13 14 15 16 17
Alder
Dreng (n: 253)
Pige (n: 211)
6
7
Antal sager
20
15
10
5
0
0
1
2
3
4
5
8 9 10 11 12 13 14 15 16 17
Alder
Dreng (n: 56)
Pige (n: 230)
6
7
Kilde:
Børnehus IT.
Note:
Afsluttede børnehussager er opgjort på slutdato. Barnets/den unges alder er opgjort på tidspunktet for opstarten af bør-
nehussagen. Der er 85 børnehussager, hvor enten barnets/den unges køn, alder eller sagstypen er ukendt.
Af ovenstående fremgår det, at det særligt er børn i alderen 4-10 år, der ind-
går i børnehussager om voldelige overgreb. Der er en svag tendens til, at
flere drenge end piger udsættes for voldelige overgreb særligt blandt små
børn, men fordelingen mellem kønnene er relativt ligelig.
Når det kommer til seksuelle overgreb, er der derimod betydelig forskel på
kønnene. Mens der er næsten lige mange børnehussager om voldelige over-
greb mod piger og drenge, er der et større antal børnehussager om seksuelle
overgreb mod piger end mod drenge.
For begge køn gælder, at der er en del børnehussager om seksuelle over-
greb mod børn mellem fire og fem år, og at der er et lavere antal sager om
seksuelle overgreb mod børn mellem seks og 11 år. Det – relativt – lave antal
børnehussager om seksuelle overgreb mod drenge gør sig ligeledes gæl-
dende for drenge over 11 år, mens der for piger over 11 år ses et væsentligt
større antal sager om seksuelle overgreb.
27
Erfaringsopsamling af børnehusene
Socialstyrelsen
SOU, Alm.del - 2015-16 - Bilag 90: Orientering om evalueringen af Overgrebspakken, fra social- og indenrigsministeren
1574837_0028.png
Analysen viser således, at der er tydelige forskelle på de børn, der indgår i
børnehussagerne. Både i forhold til hvilken alder børnene typisk har, når de
udsættes for henholdsvis seksuelle og voldelige overgreb, samt hvilke typer
af overgreb henholdsvis drenge og piger typisk udsættes for.
Figur 9 viser fordelingen af antal overgreb per sag for hvert børnehus.
Figur 9. Antal afsluttede børnehussager fordelt på antal formodede overgreb
og børnehuse, 2014
100%
80%
64%
35%
49%
41%
60%
52%
Procent
60%
13%
18%
16%
11%
12%
52%
35%
25%
41%
29%
35%
13%
40%
20%
0%
Børnehus
Hovedstaden
(n: 36)
Børnehus
Midt
(n: 48)
Ét overgreb
Børnehus
Nord
(n: 51)
Børnehus
Sjælland
(n: 44)
Børnehus
Syd
(n: 126)
Total
(n: 305)
2-4 overgreb
5 eller derover
Kilde:
Børnehus IT.
Note:
Afsluttede børnehussager er opgjort på slutdato. For nogle børnehus-
sager er der ikke angivet antal overgreb, hvorfor de ikke er med i denne opgørelse.
I lidt over en tredjedel af de afsluttede sager i 2014 har det pågældende
barn/den unge kun været udsat for ét (formodet) overgreb, i 13 procent af sa-
gerne har barnet/den unge været udsat for 2-4 overgreb. I lidt over halvdelen
af sagerne har barnet/den unge været udsat for fem eller flere overgreb.
Som figuren viser, er der begrænset variation i antallet af overgreb i sagerne
på tværs af de fem børnehuse. Det fremgår dog også af figuren, at der er for-
skel på, hvorvidt antallet af overgreb registreres i Børnehus IT på tværs af
børnehusene. I Børnehus Syd sker dette i 80 procent af sager, mens det sker
i under halvdelen af sagerne i Børnehus Hovedstaden.
Nedenstående figur viser de afsluttede sager i 2014 fordelt på tidspunktet for
det formodede overgreb for hvert børnehus.
28
Erfaringsopsamling af børnehusene
Socialstyrelsen
SOU, Alm.del - 2015-16 - Bilag 90: Orientering om evalueringen af Overgrebspakken, fra social- og indenrigsministeren
1574837_0029.png
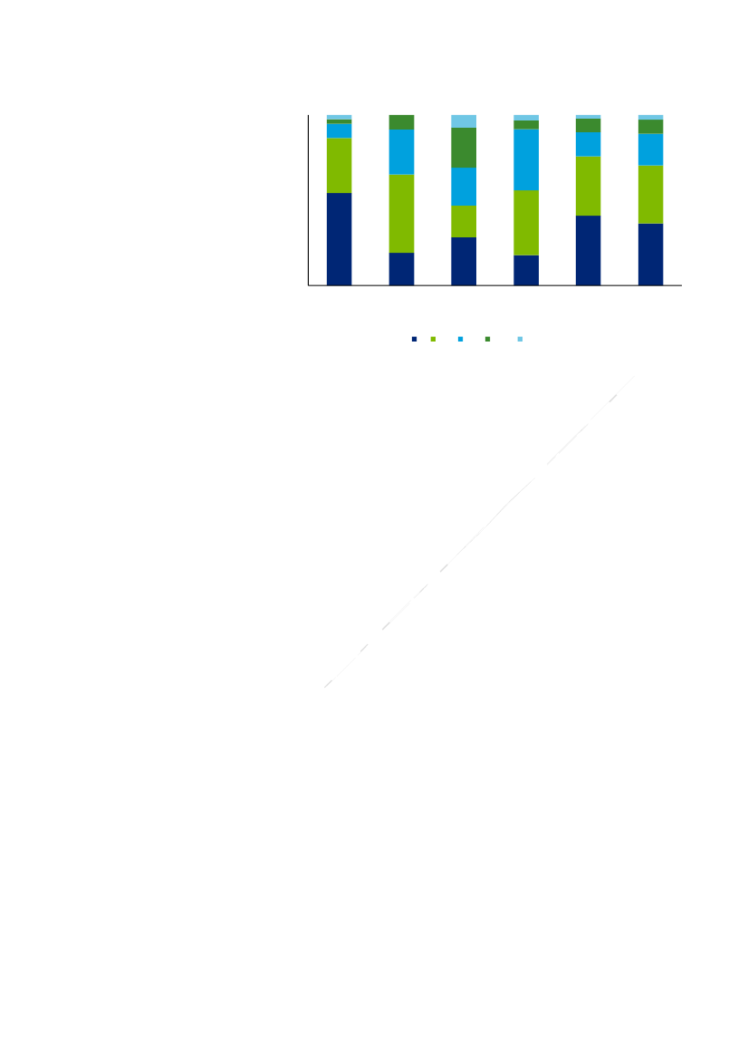
Figur 10. Antal afsluttede børnehussager fordelt på tidspunktet for det formo-
dede overgreb og børnehuse, 2014
100%
9%
24%
80%
19%
29%
38%
25%
9%
5%
22%
30%
14%
12%
Procent
60%
36%
33%
65%
28%
32%
40%
47%
26%
20%
28%
14%
0%
Børnehus
Hovedstaden
(n: 118)
Børnehus
Midt
(n: 66)
Børnehus
Nord
(n: 75)
Seneste måend
8%
Børnehus
Sjælland
(n: 63)
Seneste år
20%
Børnehus
Syd
(n: 192)
25%
Total
(n: 514)
Seneste uge
Mere end et år siden
Kilde:
Børnehus IT.
Note:
Afsluttede børnehussager er opgjort på slutdato. For nogle børnehus-
sager er der ikke angivet tidspunkt for overgrebet, hvorfor de ikke er med i denne opgørelse.
På tværs af hele landet er sagerne i børnehusene fordelt nogenlunde ligeligt i
forhold til tidspunktet for overgrebet. I 25 procent af sagerne har overgrebet
således fundet stedet indenfor den seneste uge, i 32 procent af sagerne har
overgrebet fundet sted indenfor den seneste måned, i 30 procent af sagerne
har overgrebet fundet sted indenfor det seneste år, og i 12 procent af sa-
gerne har overgrebet fundet sted for mere end et år siden.
Der er en vis variation mellem de fem børnehuse i forhold til tidspunktet for
det formodede overgreb. I Børnehus Hovedstaden har overgrebet fundet
sted indenfor den seneste uge i næsten halvdelen af sagerne, mens samme
andel udgør otte procent i Børnehus Sjælland.
Figur 11 viser fordelingen af, hvor de pågældende børn/unge boede på tids-
punktet for oprettelsen af sagen i børnehuset.
29
Erfaringsopsamling af børnehusene
Socialstyrelsen
SOU, Alm.del - 2015-16 - Bilag 90: Orientering om evalueringen af Overgrebspakken, fra social- og indenrigsministeren
1574837_0030.png
Figur 11. Antal afsluttede børnehussager fordelt på boforhold og børnehuse,
2014
100%
3%
5%
3%
11%
5%
11%
4%
4%
5%
10%
4%
8%
80%
54%
56%
52%
Procent
60%
61%
48%
53%
40%
20%
38%
30%
32%
30%
37%
35%
0%
Børnehus
Hovedstaden
(n: 187)
Børnehus
Midt
(n: 114)
Børnehus
Nord
(n: 111)
Børnehus
Sjælland
(n: 69)
Børnehus
Syd
(n: 273)
Total
(n: 754)
Sammen med begge forældre
Anbringelse udenfor hjemmet¹
Sammen med én forælder
Andet²
Kilde:
Børnehus IT.
Note:
Afsluttede børnehussager er opgjort på slutdato. For nogle sager er
der ikke angivet et boforhold, hvorfor de ikke er med i denne opgørelse.
1
Plejefamilie, døgninsti-
tution og opholdssted.
2
Efterskole, anden familie mv.
I lidt over halvdelen af de afsluttede sager i børnehusene bor barnet/den
unge sammen én forælder på tidspunktet for sagens opstart. I lidt over en
tredjedel af sagerne bor barnet/den unge hos begge forældre, og i otte pro-
cent af sagerne er barnet/den unge anbragt udenfor hjemmet, for eksempel i
en plejefamilie eller på et opholdssted.
Der er meget begrænset variation i de pågældende børns/unges boforhold
på tværs af børnehusene.
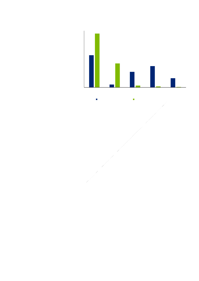
Karakteristik af de formodede krænkere i
børnehussager
I Børnehus IT registreres også en række oplysninger om den formodede
krænker/de formodede krænkere. Der er i alt registreret 857 formodede
krænkere i sager om overgreb mod børn og unge afsluttet i 2014. I dette af-
snit analyseres de formodede krænkeres karakteristika.
Nedenstående figur viser fordelingen på køn og alder af formodede krænkere
i de afsluttede sager i børnehusene i 2014.
30
Erfaringsopsamling af børnehusene
Socialstyrelsen
SOU, Alm.del - 2015-16 - Bilag 90: Orientering om evalueringen af Overgrebspakken, fra social- og indenrigsministeren
1574837_0031.png
Figur 12. Krænkere fordelt på køn og alder, 2014
100%
87%
80%
75%
Procent
60%
40%
20%
5%
0%
Under 18 år
18-23 år
Mand (n: 528)
4%
6%
2%
11%
10%
1%
24-30 år
31-50 år
Over 50 år
Kvinde (n: 140)
Kilde:
Børnehus IT.
Note:
Afsluttede børnehussager er opgjort på slutdato. For nogle børnehus-
sager er der ikke angivet køn og/eller alder for krænker, hvorfor de ikke er med i denne opgø-
relse.
Næsten 80 procent (528) af de formodede krænkere er mænd, og omkring
20 procent (140) er kvinder. Langt hovedparten af de formodede krænkere –
både blandt kvinder og mænd – er mellem 31 og 50 år. Blandt kvindelige
krænkere er næsten samtlige (98 procent) mellem 24 og 50 år. Blandt de
mandelige krænkere er samme andel 81 procent, mens fem procent af mæn-
dene er under 18 år, fire procent er mellem 18 og 23 år, og 10 procent er
over 50 år.
I bilag G er vedlagt figurer, der viser fordelingen på henholdsvis køn og alder
for hvert af de fem børnehuse af formodede krænkere i de afsluttede sager i
børnehusene, jf. figur 64 og figur 65. Heraf fremgår det, at der er relativt be-
grænsede forskelle på krænkernes køn og alder på tværs af børnehusene.
Figur 13 viser en oversigt over de formodede krænkeres relation til de pågæl-
dende børn/unge for sager om henholdsvis seksuelle og voldelige overgreb.
31
Erfaringsopsamling af børnehusene
Socialstyrelsen
SOU, Alm.del - 2015-16 - Bilag 90: Orientering om evalueringen af Overgrebspakken, fra social- og indenrigsministeren
1574837_0032.png
Figur 13. Krænkere fordelt på relationer og sagstyper, 2014
70%
60%
50%
40%
67%
Procent
40%
30%
30%
20%
10%
0%
Far/stedfar
Anden person i Anden person i
familien¹
barnets/den
unges netværk²
Seksuelt overgreb (n: 229)
Voldeligt overgreb (n: 415)
Mor/stedmor
Øvrige³
19%
11%
3%
2%
1%
0%
26%
Kilde:
Børnehus IT.
Note:
Afsluttede børnehussager er opgjort på slutdato. For nogle børnehus-
sager er der ikke angivet relation og/eller sagstype, hvorfor de ikke er med i denne opgørelse.
1
Bedsteforældre, søskende mv.
2
Kammerat, kammerats forældre mv.
3
Medarbejder i ofrets insti-
tution, internetbekendtskab mv.
Som figuren viser, er de formodede krænkere i sager om voldelige overgreb
hovedsagelig far/stedfar (67 procent) eller mor/stedmor (30 procent).
I sager om seksuelle overgreb har de formodede krænkere forskellige relatio-
ner til de pågældende børn/unge. 40 procent af krænkerne er således
far/stedfar, tre procent er mod/stedmor, 19 procent er en anden person i fa-
milien, mens 26 procent er en anden person i barnets/den unges netværk.
Der er således en tendens til, at voldelige overgreb i højere grad begås af
barnets/den unges forældrene, mens seksuelle overgreb både begås af for-
ældrene (primært far) og andre personer i og omkring barnets/den unges net-
værk.
2.3.
Karakteristika for de konsultative
henvendelser
I forbindelse med konsultative henvendelser fra kommunerne registreres,
hvilke problemstillinger henvendelsen omhandler i Børnehus IT. Nedenstå-
ende figur viser en karakteristik af de problemstillinger henvendelserne hand-
ler om.
32
Erfaringsopsamling af børnehusene
Socialstyrelsen
SOU, Alm.del - 2015-16 - Bilag 90: Orientering om evalueringen af Overgrebspakken, fra social- og indenrigsministeren
1574837_0033.png
Figur 14. Konsultative henvendelser fordelt på problemstillingen som henven-
delsen omhandler, 2014
Politianmeldelse
Tvivl om barnet er del af målgruppen
Håndtering af vag mistanke om overgreb
Samtale med barn
Sikkerhedsvurdering
Tolkning af bekymrende tegn fra barnet
Samarbejdet med forældre
Procedure/beredskab i kommunen
Håndtering af meget kompleks sag
Lægelig undersøgelse
Samværsproblemstilling
Tværfagligt samarbejde
Andet¹
0%
4%
10%
20%
Procent
30%
40%
7%
5%
11%
10%
16%
16%
23%
23%
20%
28%
33%
37%
Kilde:
Børnehus IT.
N:
1.046.
Note:
Det konsultative henvendelser er opgjort på startdato. Hver
konsultativ henvendelse kan omhandle mere end én problemstilling, hvorfor de angivne procen-
ter summer til mere end 100. ¹Eksempelvis henvendelser hvor børnehuset selv kontakter kom-
munen, drøftelse af en børnehussag o. lign.
Som figuren viser, omhandler de konsultative henvendelser fra kommunerne
en lang række forskellige problemstillinger. 37 procent af henvendelserne
omhandler således politianmeldelser af sager om overgreb mod børn og
unge, 33 procent omhandler tvivl om, hvorvidt barnet er en del af målgruppen
for børnehusene, mens 28 procent omhandler håndtering af vag mistanke
om overgreb.
Tabel 4 viser fordelingen af de konsultative henvendelser på de(n) relevante
problemstilling(er) for hvert børnehus.
33
Erfaringsopsamling af børnehusene
Socialstyrelsen
SOU, Alm.del - 2015-16 - Bilag 90: Orientering om evalueringen af Overgrebspakken, fra social- og indenrigsministeren
1574837_0034.png
Tabel 4: Konsultative henvendelser fordelt på problemstillingen som henven-
delsen omhandler og børnehuse, 2014
Børnehus Børnehus Børnehus Børnehus Børnehus
Hovedstaden
Midt
Nord Sjælland
Syd
(n: 456)
(n: 102)
(n: 81)
(n: 93)
(n: 314)
Politianmeldelse
Tvivl om barnet er del af
målgruppen
Håndtering af vag
mistanke om overgreb
Samtale med barn
Sikkerhedsvurdering
Tolkning af bekymrende
tegn fra barnet
Samarbejdet med
forældre
Procedure/beredskab i
kommunen
Håndtering af meget
kompleks sag
Lægelig
undersøgelse
Samværsproblemstilling
Tværfagligt samarbejde
Andet¹
40%
18%
25%
25%
27%
24%
17%
13%
8%
18%
8%
4%
2%
17%
43%
21%
10%
11%
10%
14%
12%
21%
2%
7%
11%
19%
14%
40%
22%
22%
10%
10%
21%
16%
16%
4%
2%
2%
2%
38%
47%
40%
14%
27%
17%
12%
13%
3%
5%
8%
3%
0%
46%
46%
32%
27%
22%
22%
16%
22%
12%
5%
6%
6%
3%
Kilde:
Børnehus IT.
N:
1.046.
Note:
Det konsultative henvendelser er opgjort på startdato. Hver
konsultativ henvendelse kan omhandle mere end én problemstilling, hvorfor de angivne procenter
summer til mere end 100. ¹Eksempelvis henvendelser hvor børnehuset selv kontakter kommunen,
drøftelse af en børnehussag o. lign.
Som det fremgår af tabellen, er der forskelle på tværs af børnehusene. Ek-
sempelvis omhandler over en tredjedel af de konsultative henvendelser i Bør-
nehus Hovedstaden, Børnehus Sjælland og Børnehus Syd politianmeldelser
af sager om overgreb mod børn og unge, mens dette gælder for henholdsvis
17 og 14 procent af henvendelserne i Børnehus Midt og Børnehus Nord.
Omvendt omhandler en mindre andel af henvendelserne til Børnehus Hoved-
staden (18 procent) tvivl om, hvorvidt barnet er en del af målgruppen for bør-
nehuset, mens samme andel udgør over 40 procent i hvert af de andre bør-
nehuse.
Disse forskelle kan skyldes variationer i registreringspraksis mellem børnehu-
sene, men de kan også skyldes, at der er forskelle på de problemstillinger,
som kommunerne finder vanskelige.
34
Erfaringsopsamling af børnehusene
Socialstyrelsen
SOU, Alm.del - 2015-16 - Bilag 90: Orientering om evalueringen af Overgrebspakken, fra social- og indenrigsministeren
1574837_0035.png
2.4.
Indsatser i børnehusene
I børnehusene gennemføres en række forskellige aktiviteter i forbindelse med
behandlingen af sager om overgreb mod børn og unge, der involverer de for-
skellige relevante aktører (kommuner, politi og sygehuse).
I dette afsnit analyseres, hvilke indsatser, der har fundet sted i børnehusene i
forbindelse med de sager, der er blevet afsluttet i 2014.
Der har samlet set gennemført 2.296 indsatser i børnehusene i forbindelse
med sager om overgreb mod børn og unge afsluttet i 2014. Nedenstående fi-
gur viser en oversigt over indsatserne fordelt på type.
Figur 15. Indsatser fordelt på type, 2014
Krisesamtale m. pårørende
Krisesamtale med barnet/den unge
Videoafhøring
Krisesamtale m. barnet/den unge og
pårørende
Psykologisk vurdering
(screening eller test)
Børnesamtale (§ 50)
Afhøring (ikke video)
Netværksmøde m. barn/den unge
og/eller pårørende
Lægelig undersøgelse
Retsmedicinsk undersøgelse
0%
2%
1%
5%
10%
15%
20%
25%
3%
6%
7%
12%
11%
20%
19%
18%
Procent
Kilde:
Børnehus IT.
N:
2.296.
Børnehusene har leveret i alt 470 krisesamtaler med pårørende (20 procent),
431 krisesamtaler med barnet/den unge (19 procent) og 420 videoafhøringer
(18 procent).
Det faktiske omfang af lægelige og retsmedicinske undersøgelser i børnehu-
sene udgør en begrænset andel af de indsatser, der gennemføres i forbin-
delse med børnehussager (henholdsvis to og en procent). Inddragelsen af
medarbejderne fra sundhedsvæsenet vil blive belyst yderligere i kapitel 4 og
6. Analysen i disse kapitler indikerer dog ikke, at det begrænsede omfang af
lægelige og retsmedicinske undersøgelser i børnehussagerne skyldes udfor-
dringer i det tværsektorielle samarbejde
Figur 16 viser de leverede indsatser fordelt på grupperinger af typen samt
børnehuse.
35
Erfaringsopsamling af børnehusene
Socialstyrelsen
SOU, Alm.del - 2015-16 - Bilag 90: Orientering om evalueringen af Overgrebspakken, fra social- og indenrigsministeren
1574837_0036.png
Figur 16. Indsatser fordelt på typer og børnehuse, 2014
100%
12%
80%
11%
8%
14%
2%
16%
20%
2%
23%
Procent
60%
35%
81%
55%
20%
42%
28%
0%
Børnehus
Hovedstaden
(n: 370)
Børnehus
Midt
(n: 306)
Børnehus
Nord
(n: 423)
Afhøringer²
Børnehus
Sjælland
(n: 412)
Undersøgelser³
Børnehus
Syd
(n: 785)
Total
(n: 2.296)
28%
52%
42%
22%
3%
24%
40%
78%
Krisesamtaler¹
Øvrige ydelser⁴
Kilde:
Børnehus IT.
N:
2.296.
1
Med barnet/den unge, pårørende eller begge.
2
Videoafhøringer
og øvrige afhøringer.
3
Lægelige og retsmedicinske undersøgelser.
4
Psykologiske vurderinger,
netværksmøder mv.
Der er betydelig forskel på, hvilke indsatser der leveres af de forskellige bør-
nehuse, jf. figuren ovenfor. I Børnehus Midt og Børnehus Nord er størstede-
len af de leverede indsatser således krisesamtaler (henholdsvis 78 og 81
procent), mens disse indsatser udgør henholdsvis 42, 55 og 28 procent i Bør-
nehus Hovedstaden, Børnehus Sjælland og Børnehus Syd.
Børnehus Hovedstaden skiller sig ydermere ud ved at have den klart største
andel undersøgelser. Dette hænger formentlig sammen med, at dette børne-
hus har en aftale med Det Retsmedicinske Institut på Københavns Universi-
tet om, at retsmedicineren kan udføre undersøgelser i børnehuset.
I Børnehus Syd er der registreret næsten dobbelt så mange indsatser (785),
sammenlignet med hvert at de andre børnehuse (mellem 306 og 370). Dette
kan både skyldes, at der er forskel på, hvor mange indsatser hvert børnehus
leverer. Det kan dog også skyldes, at der er forskel på registreringspraksis på
tværs af husene.
Figur 17 viser antallet af afsluttede sager fordelt på antal indsatser per sag
for hvert børnehus.
36
Erfaringsopsamling af børnehusene
Socialstyrelsen
SOU, Alm.del - 2015-16 - Bilag 90: Orientering om evalueringen af Overgrebspakken, fra social- og indenrigsministeren
1574837_0037.png
Figur 17. Børnehussager fordelt på antal indsatser og børnehuse, 2014
100%
3%
8%
8%
27%
32%
7%
23%
36%
22%
46%
54%
20%
19%
0%
Børnehus
Hovedstaden
(n: 155)
Børnehus
Midt
(n: 83)
1
Børnehus
Nord
(n: 81)
2-4
5-7
Børnehus
Sjælland
(n: 95)
8-10
11+
Børnehus
Syd
(n: 239)
Total
(n: 653)
28%
18%
41%
36%
35%
3%
5%
2%
8%
14%
3%
8%
19%
80%
Procent
60%
34%
40%
19%
38%
Kilde:
Børnehus IT.
N:
653.
Som figuren viser, er der betydelig forskel på antallet af indsatser leveret i
forbindelse med en sag på tværs af børnehusene. I Børnehus Hovedstaden
og Børnehus Syd leveres én indsats per sag i henholdsvis 54 og 41 procent
af sagerne, mens samme andel er henholdsvis 19, 28 og 18 procent i Børne-
hus Midt, Børnehus Nord og Børnehus Sjælland.
I Børnehus Nord gennemføres otte eller flere indsatser i 30 procent af sa-
gerne, mens samme andel er mellem seks og 11 procent i de øvrige børne-
huse.
De observerede forskelle i antallet af indsatser kan skyldes flere forskellige
forhold. For det første kan det skyldes forskelle i registreringspraksis på
tværs af børnehusene. For det andet kan de observerede forskelle også skyl-
des forskellig praksis i forhold til tilrettelæggelsen af det faglige arbejde.
Sidstnævnte forhold har det dog ikke været muligt at undersøge nærmere i
erfaringsopsamlingen.
Det skal ydermere bemærkes, at den gennemførte analyse har vist, at der er
begrænset forskel på de sager, der behandles på tværs af børnehusene.
Forskellene i antallet af indsatser per sag kan således umiddelbart ikke for-
klares ved forskelle i sagssammensætningen mellem husene.
2.5.
Konklusion – Aktiviteten i
børnehusene
I kapitlet er der, jf. projektets opdrag, foretaget en deskriptiv analyse af aktivi-
teten i børnehusene og karakteristika ved børnehussagerne og de konsulta-
tive henvendelser,
Analysen har vist, at børnehusene har modtaget flere sager, end de afslut-
tede i kalenderåret 2014, hvorfor antallet af verserende sager er vokset. Der-
udover viser analysen, at der er betydelige udsving både i antallet af sager,
37
Erfaringsopsamling af børnehusene
Socialstyrelsen
SOU, Alm.del - 2015-16 - Bilag 90: Orientering om evalueringen af Overgrebspakken, fra social- og indenrigsministeren
1574837_0038.png
der modtages og afsluttes i børnehusene over tid, og i antallet af sager per
10.000 indbyggere under 18 år på tværs af børnehusene.
De afsluttede sager ved børnehusene i 2014 omhandler både seksuelle og
voldelige overgreb mod børn og unge. Sagerne om seksuelle overgreb om-
handler i høj grad piger, særligt i alderen 11-17 år, mens sagerne om volde-
lige overgreb omhandler både drenge og piger særligt i alderen 5-11 år.
De formodede krænkere i de afsluttede børnehussager er i overvejende grad
mænd, og der er en tendens til, at den formodede krænker i sager om volde-
lige overgreb generelt findes blandt barnets/den unges forældre, mens den
formodede krænker i sager om seksuelle overgreb enten kan være en foræl-
der eller andre personer i og omkring barnets/den unges netværk.
Analysen har vist, at der generelt er relativt begrænset forskel på sammen-
sætningen af sagerne på tværs af børnehusene i forhold til sagstypen (sek-
suelle og voldelige overgreb) samt barnets/den unges og krænkers karakteri-
stika. De fem børnehuse behandler således overordnet set de samme typer
sager.
I forhold til hvilke indsatser, der leveres i forbindelse med en sag i børnehu-
sene, og antallet af indsatser per sag kan der derimod konstateres betydelige
variationer mellem de fem børnehuse. Der kan således observeres en vis for-
skel på, hvilke og hvor mange indsatser det enkelte barn/den enkelte unge
modtager, og der kan dermed konstateres nogen forskel på indsatsen på
tværs af de fem børnehuse. Disse forskelle kan umiddelbart ikke forklares
ved forskelle i sammensætningen af de sager, der behandles i børnehusene.
Analysen af aktiviteterne i børnehusene peger på to særlige opmærksom-
hedspunkter. For det første ses en stor variation i modtagne sager over tid,
som kan gøre det vanskeligt at tilpasse kapaciteten til børnehusene til aktivi-
tetsniveauet.
Endvidere kan der i nogle af de gennemførte analyser konstateres betydelige
forskelle på tværs af børnehuse. Nogle af disse variationer kan skyldes de-
mografiske eller socioøkonomiske forskelle mellem de fem regioner. Dette
kan der dog ikke korrigeres for på det foreliggende datagrundlag.
Der kan også være andre forhold, som kan være med til at forklare variatio-
nerne mellem børnehusene, blandt andet varierende registreringspraksis,
forskelle i børnehusenes ressourcer, samt forskelle i kommunernes anven-
delse af børnehusene.
38
Erfaringsopsamling af børnehusene
Socialstyrelsen
SOU, Alm.del - 2015-16 - Bilag 90: Orientering om evalueringen af Overgrebspakken, fra social- og indenrigsministeren
1574837_0039.png
3. Anvendelsen af
børnehusene
I dette kapitel belyses omfanget af udbredelsen og anven-
delsen af børnehusene blandt de relevante myndigheder og
fagpersoner. Det analyseres således, om børnehusene har
opnået en passende udbredelse i kommunerne, politiet og
sundhedsvæsenet, og om børnehusene overordnet set op-
leves som anvendelige i sager om overgreb mod børn og
unge.
Som grundlag for erfaringsopsamlingens formål om at undersøge samarbej-
det mellem de aktører, der er involveret i børnehussamarbejdet, jf. projektets
opdrag, belyses i dette kapitel aktørernes anvendelse af børnehusene. Hvor
meget anvender de forskellige aktører børnehusene, hvilke myndighedsper-
soner er primært i kontakt med børnehusene, og hvordan oplever disse umid-
delbart udbyttet af kontakten med børnehusene?
Anvendelsen af børnehusene vil primært blive belyst ud fra besvarelserne af
spørgeskemaundersøgelserne. Men i forhold til oplevelsen af udbyttet af kon-
takten med børnehusene vil de kvalitative interview også blive inddraget.
Først følger derfor en redegørelse for udbredelsen af børnehusene, og heref-
ter følger en analyse af den overordnede tilfredshed med anvendelsen af
børnehusene.
3.1.
Udbredelse af
børnehussamarbejdet
Som tidligere beskrevet er der indsamlet besvarelser fra i alt 229 personer på
tværs af spørgeskemaundersøgelserne blandt børnehuse, kommuner og po-
litikredse. Heraf er der modtaget 132 besvarelser fra kommunerne og 68 be-
svarelser fra politikredsene.
De adspurgte medarbejdere fra henholdsvis kommunerne, politiet og sund-
hedsvæsenet har forskellige kontaktflader til børnehusene. Kommunerne ind-
går således både som aftagere af ydelser fra børnehusene og som en sam-
arbejdspartner i det tværsektorielle samarbejde. Medarbejderne fra politiet og
sundhedsvæsenet indgår i forbindelse med afgrænsede indsatser, som de
39
Erfaringsopsamling af børnehusene
Socialstyrelsen
SOU, Alm.del - 2015-16 - Bilag 90: Orientering om evalueringen af Overgrebspakken, fra social- og indenrigsministeren
1574837_0040.png
leverer i forbindelse med en børnehussag (henholdsvis afhøringer og sund-
hedsfaglige udredninger), og som følge heraf indgår de i det tværsektorielle
samarbejde i forbindelse med eksempelvis sagssamrådene.
I de efterfølgende afsnit analyseres den kontakt, som hver af de tre aktører
(kommune, politi og sundhedssektor) har haft med børnehusene, derfor ad-
skilt.
Kommunernes kontakt med børnehusene
Nedenstående figur viser, hvilken type kontakt medarbejderne i kommunerne
har haft med børnehusene i løbet af det første år.
Figur 18. Kommunernes kontakt med børnehusene
Konsultative
henvendelser
Børnehussag
Temadage afholdt af
børnehusene
Anden mødeaktivitet¹
Andet²
Har ikke haft kontakt
0%
6%
9%
20%
40%
Procent
60%
80%
20%
23%
50%
71%
Kilde:
Spørgeskemaundersøgelse blandt driftskommuner og udvalgte kommuner.
N:
132. Hver
medarbejder kan have haft kontakt med børnehusene i forbindelse med mere end én type aktivi-
tet, hvorfor procenterne summer til mere end 100. ¹ Eksempelvis åbningsarrangementer, faglige
seminarer o. lign. ² Eksempelvis i forbindelse med afhøringer af børn og unge, kontaktmøder
med børnehuslederne o. lign.
Som det fremgår af figuren, har langt hovedparten af medarbejderne i kom-
munerne være i kontakt med børnehusene i forbindelse med konsultative
henvendelser og/eller børnehussager. Ud af de 132 medarbejdere har 71
procent (svarende til 94 medarbejdere) således været i kontakt med børne-
husene i forbindelse med børnehussager, og 50 procent (svarende til 66
medarbejdere) har haft kontakt via konsultative henvendelser.
De adspurgte medarbejdere i kommunerne kan naturligvis have været i kon-
takt med børnehusene i forbindelse med mere end én af de nævnte aktivite-
ter. For eksempel vil mange børnehussager starte med en konsultativ hen-
vendelse fra kommunen for at afklare, om de pågældende sager ligger inden-
for målgruppen. Ud af de 66 medarbejdere fra kommunerne, der har hen-
vendt sig til børnehusene angående konsultativ bistand, har 80 procent (sva-
rende til 53 medarbejdere) således også haft en børnehussag.
40
Erfaringsopsamling af børnehusene
Socialstyrelsen
SOU, Alm.del - 2015-16 - Bilag 90: Orientering om evalueringen af Overgrebspakken, fra social- og indenrigsministeren
1574837_0041.png
Der er i forbindelse med erfaringsopsamlingen gennemført interview med
medarbejdere og ledere i kommunerne, der har været i kontakt med børne-
husene. På baggrund af disse interview kan det konstateres, at kontakten til
børnehuset for de enkelte medarbejdere blandt andet afhænger af kommu-
nens organisering på børneområdet. I nogle kommuner har den samme
sagsbehandler ansvar for sagen fra start til slut, mens andre kommuner er or-
ganiseret med eksempelvis et modtageteam og et undersøgelsesteam. Kon-
takten med børnehuset vil i det sidste tilfælde ofte blive varetaget af forskel-
lige sagsbehandlere på forskellige tidspunkter i forløbet.
20 og 23 procent af de adspurgte kommunale medarbejdere har været i kon-
takt med børnehusene i forbindelse med henholdsvis temadage og anden
mødeaktivitet afholdt af børnehusene, og ni procent har slet ikke været i kon-
takt med børnehusene, jf. figur 18.
De medarbejdere, der har angivet i spørgeskemaundersøgelsen, at de ikke
selv har været i kontakt med børnehusene, har alle angivet, at dette skyldes,
at de ikke har haft sager, der har været relevante for børnehusene.
Kommuner, der anvender børnehusene i mindre grad
Som en del af erfaringsopsamlingen er der også gennemført interview med
medarbejdere i nogle af de kommuner, der i mindre grad har gjort brug af
børnehusene. Det skal dog bemærkes, at disse kommuner alle har anvendt
børnehusene, men omfanget af deres anvendelse er mindre end de øvrige
kommuners.
Disse kommuner har ikke indgået i spørgeskemaundersøgelsen, men ud-
valgte medarbejdere er i stedet inddraget i erfaringsopsamlingen igennem te-
lefoninterview, som har afdækket årsagerne til, at kommunerne har haft be-
grænset kontakt med børnehusene.
Af disse interview fremgår det, at disse kommuner er godt bekendt med bør-
nehusene, den indsats, der foregår i børnehusene, og afgrænsningen af mål-
gruppen for børnehusene.
De interviewede medarbejdere peger på, at årsagen til, at kommunerne i
mindre omfang har anvendt børnehusene, er, at kommunerne har haft få sa-
ger, der falder ind under målgruppen for børnehusene. Nogle peger dog også
på den geografiske afstand til børnehusene som en barriere, eller at det kan
have store konsekvenser for et barn/en ung eller en familie at oprette en bør-
nehussag, hvis der er tale om mistanke om mindre overgreb, hvilket kan
være medvirkende årsager til, at nogle kommuner er mere tilbageholdende
med at anvende børnehusene.
41
Erfaringsopsamling af børnehusene
Socialstyrelsen
SOU, Alm.del - 2015-16 - Bilag 90: Orientering om evalueringen af Overgrebspakken, fra social- og indenrigsministeren
1574837_0042.png
De interviewede medarbejdere angiver endvidere, at de anvender SISO
7
eller
den lokale politikreds, hvis de har spørgsmål angående sager om overgreb
mod børn og unge.
Kommunernes anvendelse af de enkelte børnehuse
Efterfølgende undersøges det, om der er forskelle på kommunernes kontakt
på tværs af børnehusene. Tabel 5 viser således kommunernes kontakt med
børnehusene fordelt på de enkelte børnehuse.
Tabel 5. Kommunernes kontakt med børnehusene fordelt på børnehuse
Børnehus
Hovedstaden
Konsultative
henvendelser
Børnehussag
Temadage
Anden mødeaktivitet
Andet
Har ikke haft kontakt
18 (67 %)
17 (63 %)
5 (19 %)
7 (26 %)
2 (7 %)
0 (0 %)
Børnehus
Sjælland
6 (38 %)
13 (81 %)
5 (31 %)
2 (13 %)
1 (6 %)
0 (0 %)
Børnehus
Syd
20 (40 %)
32 (64 %)
8 (16 %)
8 (16 %)
3 (6 %)
11 (22 %)
Børnehus
Midt
8 (44 %)
14 (78 %)
5 (28 %)
7 (39 %)
1 (6 %)
1 (6 %)
Børnehus
Nord
14 (67 %)
18 (86 %)
4 (19 %)
6 (29 %)
1 (5 %)
0 (0 %)
Kilde:
Spørgeskemaundersøgelse blandt driftskommuner og udvalgte kommuner.
Note:
Efter-
som den samme respondent kan have haft kontakt med børnehusene på mere end én måde,
summer procentangivelserne til mere end 100 procent.
N:
132.
Som tabellen viser, er der kun mindre variationer i kontakten på tværs af bør-
nehusene. For alle fem børnehuse gælder, at langt hovedparten af de kom-
munale medarbejdere har været i kontakt med børnehusene i forbindelse
med konsultativ bistand og/eller børnehussager.
For eksempel har 67 procent af de adspurgte kommunale medarbejdere fra
Region Hovedstaden haft kontakt med Børnehus Hovedstaden i forbindelse
med konsultativ bistand, 63 procent har haft kontakt i forbindelse med en
børnehussag, 19 procent har deltaget i en temadag, og 26 procent har delta-
get i anden mødeaktivitet.
En nævneværdig forskel er, at børnehusene i Region Hovedstaden og Re-
gion Nordjylland i højere grad anvendes til konsultativ bistand sammenlignet
med de øvrige børnehuse.
Herudover kan det bemærkes, at næsten samtlige medarbejdere, der har an-
givet, at de ikke har haft kontakt med børnehusene, kommer fra Region Syd-
danmark.
7
Det nationale videncenter for sociale indsatser ved seksuelle overgreb og fysisk/psykisk vold
mod børn
42
Erfaringsopsamling af børnehusene
Socialstyrelsen
SOU, Alm.del - 2015-16 - Bilag 90: Orientering om evalueringen af Overgrebspakken, fra social- og indenrigsministeren
1574837_0043.png
Omfanget af kommunernes kontakt med børnehusene
Nedenstående figur viser omfanget af den kontakt, som de kommunale med-
arbejdere, der har været i kontakt med børnehusene i forbindelse med bør-
nehussager og/eller konsultativ bistand, har haft.
Figur 19. Medarbejdere i kommunernes fordelt på antal børnehussager og
konsultative henvendelser, som den enkelte medarbejder har haft
80%
70%
60%
50%
Procent
40%
69%
68%
30%
20%
10%
7%
0%
0
1-3
Børnehussager (n: 94)
4-6
7-9
10+
15%
20%
2% 3%
6%
9%
Konsultative henvendelser (n: 66)
Kilde:
Spørgeskemaundersøgelse blandt driftskommuner og udvalgte kommuner.
Som det fremgår af figuren, har langt hovedparten (omkring 70 procent) af
medarbejderne været i kontakt med børnehusene mellem én og tre gange i
forhold til både børnehussager og konsultative henvendelser. Omkring en
femtedel har været i kontakt med børnehusene mellem fire og ni gange i for-
bindelse med enten børnehussager eller konsultative henvendelser, og et
mindre antal har haft kontakt mere end ti gange.
Et mindre antal medarbejdere (7 procent) angiver, at de ikke selv har haft en
børnehussag, selvom de tidligere har angivet, at de har været i kontakt med
børnehusene i forbindelse med en børnehussag (jf. figur 18). Det må formo-
des, at dette skyldes, at de pågældende medarbejdere har været i kontakt
med børnehusene i relation til en børnehussag, men at de ikke selv har haft
ansvaret for den pågældende sag. Dette kan hænge sammen med den lo-
kale organisering i kommunerne som tidligere beskrevet. En medarbejder i
modtagelsen kan for eksempel have været i kontakt med børnehuset for at
afklare, om en given sag er en børnehussag, for derefter at videregive den til
en kollega i et andet team. Alternativt kan det skyldes, at en medarbejder har
fulgt med i en sag, der har været varetaget af en anden kollega i kommunen.
I forbindelse med det gennemførte fokusgruppeinterview med lederne for de
fem børnehuse blev der lagt særlig vægt på børnehusenes egen aktive ind-
sats for at sikre anvendelsen af børnehusene i kommunerne. Børnehusle-
derne oplever, at der er behov for at støtte kommunerne i at implementere og
forankre bekendtgørelsen for børnehusenes bestemmelser i deres daglige
praksis. Dette skyldes blandt andet, at hver kommune og hver medarbejder
43
Erfaringsopsamling af børnehusene
Socialstyrelsen
SOU, Alm.del - 2015-16 - Bilag 90: Orientering om evalueringen af Overgrebspakken, fra social- og indenrigsministeren
1574837_0044.png
har relativt få sager indenfor målgruppen, hvorfor det tager lang tid at op-
bygge en rutine i forhold til disse sager.
For at øge kommunernes anvendelse af børnehusene har nogle af lederne i
de fem børnehuse gennemført eller er i gang med at gennemføre kommune-
besøg i de kommuner, der ligger i deres region. På kommunebesøgene mø-
des børnehuslederne typisk med lederen for børneområdet i kommunen for
at etablere en personlig kontakt og afstemme forventninger til samarbejdet.
Derudover fortæller børnehuslederne de relevante medarbejdere om børne-
husenes formål, målgruppe og indsatser og afklarer spørgsmål om sags-
gange og samarbejde.
Oplevelsen blandt børnehuslederne er, at dette er en kontinuerlig opgave,
blandt andet fordi der løbende opstår uklarheder, og fordi ledere og medar-
bejdere til tider bliver udskiftet. For at sikre større kontinuitet i samarbejdet
har nogle børnehusledere endvidere søgt at få udnævnt en fast kontaktper-
son, der varetager kontakten med børnehusene i hver kommune.
Samlet set kan det konkluderes, at børnehusene har opnået en betydelig
kontakt med medarbejderne i kommunerne gennem deres kerneaktiviteter –
den konsultative bistand og varetagelsen af børnesagerne. Medarbejderne i
kommunerne har haft en mindre grad af berøring med børnehusene i forbin-
delse med børnehusenes øvrige aktiviteter, om end der stadig er et betyde-
ligt antal medarbejdere, der har deltaget i disse.
Det kan også konkluderes, at kommunernes kontakt med børnehusene i
overvejende grad er præget af, at medarbejderne hver især kun har få kon-
takter med børnehusene, hvilket stemmer overens med børnehusledernes
oplevelse af, at det er nødvendigt løbende at understøtte forankringen af bør-
nehussamarbejdet i kommunerne.
Politiets kontakt med børnehusene
I dette afsnit belyses den kontakt, som medarbejderne i politiet har haft med
børnehusene. Politiet indgår hovedsagelig i aktiviteterne i børnehusene i re-
lation til afhøring af børnene/de unge og som følge heraf i det tværsektorielle
samarbejde i sagssamrådene.
Figur 20 viser, hvordan de 68 respondenter fra de 12 politikredse, der har
deltaget i spørgeskemaundersøgelsen, har haft kontakt med børnehusene.
44
Erfaringsopsamling af børnehusene
Socialstyrelsen
SOU, Alm.del - 2015-16 - Bilag 90: Orientering om evalueringen af Overgrebspakken, fra social- og indenrigsministeren
1574837_0045.png
Figur 20. Politiets kontakt med børnehusene
Som videoafhører af børn og unge på
12 år eller derunder
Som afhører af børn og unge i alderen
13-17 år
Som sagsbehandler med ansvar for
sagsforløbet ved politiet
Andet¹
19%
18%
47%
78%
Har ikke haft kontakt
0%
0%
20%
40%
60%
Procent
80%
100%
Kilde:
Spørgeskemaundersøgelse blandt politikredse.
N:
68. ¹ Eksempelvis møder i forbindelse
med oprettelsen af børnehusene, børnehusnetværksmøder, deltagelse på sagssamråd i anden
funktion end som sagsbehandler o. lign.
Næsten halvdelen af de adspurgte medarbejdere i politiet har haft kontakt
med børnehusene som videoafhører af børn og unge på 12 år eller derunder,
og 18 procent har været i kontakt med børnehusene som videoafhører af
børn og unge i alderen 13-17 år. Ud af disse 18 procent har otte medarbej-
dere (svarende til 12 procent) også deltaget i videoafhøringer af børn og
unge på under 12 år.
87 procent (svarende til 53 ud af de 68 adspurgte medarbejdere) har haft
kontakt med børnehusene som sagsbehandler med ansvar for sagsforløbet i
politiet.
Nedenstående figur viser omfanget af den kontakt, som de adspurgte medar-
bejdere i politiet har haft med børnehusene.
45
Erfaringsopsamling af børnehusene
Socialstyrelsen
SOU, Alm.del - 2015-16 - Bilag 90: Orientering om evalueringen af Overgrebspakken, fra social- og indenrigsministeren
1574837_0046.png
Figur 21. Medarbejdere hos politiet fordelt på antal børnehussager, som den
enkelte medarbejder har haft
60%
50%
40%
Procent
30%
54%
20%
10%
10%
0%
0
1-3
4-6
7-9
10+
15%
10%
10%
Kilde:
Spørgeskemaundersøgelse blandt politikredse.
N:
68.
Cirka 10 procent af de adspurgte medarbejdere i politiet har ikke deltaget i
børnehussager, 35 procent har deltaget i mellem én og ni sager, og lidt over
halvdelen har deltaget i 10 eller flere sager.
I de gennemførte interview med medarbejdere i politiet udtrykkes der gene-
relt stor tilfredshed med børnehusene, men der bemærkes enkelte barrierer
for politiets kontakt med børnehusene. Disse barrierer har primært at gøre
med børnehusenes indretning og geografi. Oplevelsen af indretningen af bør-
nehusene og betydningen af den geografiske afstand er beskrevet yderligere
i kapitel 4 og kapitel 5.
Det ovenstående viser, at politiets kontakt med børnehusene adskiller sig no-
get fra kommunernes kontakt. Hvor medarbejderne i kommunerne i overve-
jende grad havde kontakt med børnehusene et mindre antal gange, har fler-
tallet af medarbejderne i politiet haft kontakt med børnehusene flere gange.
Dette hænger naturligt sammen med den relation, som de to sektorer gene-
relt har til børnehusene. Medarbejderne i kommunerne indgår således i sam-
arbejdet med børnehusene om de konkrete sager, som den enkelte medar-
bejder har ansvaret for, mens medarbejderne i politiet kan varetage afhørin-
ger i et langt højere antal sager om overgreb mod børn og unge.
Sundhedsvæsenets kontakt med børnehusene
Sundhedsvæsenet bidrager til udredningen af behovet for en sundhedsfaglig
indsats samt generel faglig sparring i forbindelse med sagssamrådene. Her-
under også barnets behov for en eventuel sundhedsfaglig viderevisitation
samt udførelse af konkrete lægelige og retsmedicinske undersøgelser.
Som beskrevet tidligere er der i erfaringsopsamlingen indgået otte repræsen-
tanter fra sundhedsvæsenet – fem børnelæger (én fra hver region) og tre
46
Erfaringsopsamling af børnehusene
Socialstyrelsen
SOU, Alm.del - 2015-16 - Bilag 90: Orientering om evalueringen af Overgrebspakken, fra social- og indenrigsministeren
1574837_0047.png
retsmedicinere (én fra hvert retsmedicinsk institut). Analysen af sundhedsvæ-
senets kontakt med børnehusene er således baseret på interview med disse
otte personer, og der vil naturligvis være flere personer fra sektoren, der har
været i kontakt med børnehusene.
Samtlige interviewede børnelæger og retsmedicinere har deltaget i sagssam-
råd i børnehusene og derudover bidraget med mere uformel sparring i forbin-
delse med sager om overgreb mod børn og unge. Der er dog betydelig for-
skel på omfanget og hyppigheden af kontakten.
Nogle børnelæger og retsmedicinere har således indgået faste aftaler med
børnehusene om, at de er til stede i børnehusene på bestemte dage. I disse
tilfælde tilrettelægger børnehusene i videst muligt omfang sagssamrådene og
de øvrige aktiviteter efter, at børnelægen/retsmedicineren er til rådighed på
disse tidspunkter. De børnelæger/retsmedicinere, der har sådanne ordninger,
udtrykker selv, at de overordnet set er velfungerende, og at det giver mulig-
hed for større grad af planlægning i deres hverdag.
I andre børnehuse inddrages sundhedsvæsenet efter behov i sagssamråd og
i forbindelse med faglig sparring og øvrige mødeaktiviteter. De børnelæger
og retsmedicinere, der har sådanne ordninger med børnehusene, oplever
også generelt samarbejdet som velfungerende.
Der forekommer at være betydelig forskel på omfanget af inddragelsen af
sundhedsvæsenet. De børnelæger, der har været inddraget mindst, har såle-
des været involveret i omkring 5-6 sagssamråd, mens andre har været invol-
veret i op mod 40 sagssamråd. For retsmedicinerne svinger inddragelsen
også, her mellem én enkelt sag og mere end 10 sager. Der kan observeres,
at de børnelæger og retsmedicinere, der har aftaler med børnehusene om fa-
ste mødedage, også har deltaget på et større antal sagssamråd.
Dette kan skyldes, at der er forskel på behovet for sundhedsfaglige udrednin-
ger i de sager, der behandles i hvert børnehus, men også at der er forskel
på, hvor meget sundhedsvæsenet generelt bliver inddraget på tværs af bør-
nehusene.
Det kan således konstateres, at samtlige børnehuse har formået at få etable-
ret kontakt til både børnelæger og retsmedicinere. Der kan dog også konsta-
teres en vis variation i det omfang og den måde, som sundhedsvæsenet ind-
drages i børnehusenes arbejde.
3.2.
Den samlede oplevelse af
børnehussamarbejdet
I dette afsnit analyseres, om de adspurgte medarbejdere i kommunerne, poli-
tiet og sundhedsvæsnet oplever, at børnehusene samlet set medvirker til at
forbedre indsatsen i sager om overgreb mod børn og unge.
47
Erfaringsopsamling af børnehusene
Socialstyrelsen
SOU, Alm.del - 2015-16 - Bilag 90: Orientering om evalueringen af Overgrebspakken, fra social- og indenrigsministeren
1574837_0048.png
Figur 22 viser således vurderingen blandt medarbejderne i kommunerne og
politiet af, om børnehusene samlet set bidrager til at forbedre indsatsen i sa-
ger om overgreb mod børn og unge.
Figur 22. Vurdering af, om børnehuset bidrager til at forbedre indsatsen i
sager om overgreb mod børn og unge
”Huset er et rart sted
at komme, personalet
er søde og
omsorgsfulde, og
fagligt er de rigtig
skarpe. Jeg har kun
ros tilovers for
børnehuset.”
Medarbejder i en kommune
Kommuner (n: 120)
42%
42%
6%
8%
Politi (n: 68)
62%
29%
4% 3%
0%
20%
40%
Procent
60%
80%
100%
I høj grad
I nogen grad
Hverken eller
I mindre grad
Slet ikke
Ved ikke
Kilde:
Spørgeskemaundersøgelse blandt kommuner og politikredse.
”Oprettelsen af
børnehusene med
dermed følgende
samråd mv. er det
bedste i mange år, der
er sket for børn og
unge i Danmark.”
Medarbejder i politiet
På tværs af alle adspurgte medarbejdere fra kommunerne og politikredsene
vurderes børnehusene generelt positivt i forhold til at bidrage til at forbedre
indsatsen i sager om overgreb om børn og unge.
Blandt nogle medarbejdere opleves børnehusene som et væsentligt løft i
kvaliteten af den samlede indsats i sager om overgreb mod børn og unge, jf.
citaterne til venstre.
Mellem 42 og 62 procent af medarbejderne indenfor hver målgruppe angiver
således, at børnehusene i høj grad bidrager til at forbedre indsatsen, og mel-
lem 29 og 42 procent angiver, at børnehusene i nogen grad bidrager til at for-
bedre indsatsen.
Der er henholdsvis fire og seks procent af medarbejderne indenfor hver mål-
gruppe, der besvarer spørgsmålet med hverken eller, og kun ganske få angi-
ver, at børnehusene i mindre grad eller slet ikke bidrager til at forbedre ind-
satsen.
Den samlede vurdering af børnehusene er umiddelbart en smule mindre po-
sitiv blandt respondenterne fra kommunerne sammenlignet med responden-
terne fra politiet.
Nedenstående vises den samlede vurdering af børnehusene for aktører fra
henholdsvis kommuner og politi for hvert enkelt børnehus.
48
Erfaringsopsamling af børnehusene
Socialstyrelsen
SOU, Alm.del - 2015-16 - Bilag 90: Orientering om evalueringen af Overgrebspakken, fra social- og indenrigsministeren
1574837_0049.png
Figur 23. Vurdering af, om børnehuset bidrager til at forbedre indsatsen i sager om overgreb mod børn og unge
fordelt på børnehuse
Kommuner
Børnehus Hovedstaden
(n: 27)
Børnehus Sjælland
(n: 16)
Børnehus Syd
(n: 39)
Børnehus Midt
(n: 17)
Børnehus Nord
(n: 21)
0%
19%
38%
51%
41%
57%
20%
40%
60%
Procent
52%
56%
28%
47%
38%
80%
7%
15%
6%
10% 8%
12%
5%
100%
Politi¹
Børnehus Hovedstaden
(n: 18)
Børnehus Sjælland
(n: 7)
Børnehus Syd
(n: 12)
Børnehus Midt
(n: 5)
Børnehus Nord
(n: 11)
0%
20%
50%
60%
64%
40%
60%
Procent
67%
100%
25%
17% 8%
40%
36%
80%
100%
22%
6%
6%
Kilde:
Spørgeskemaundersøgelse blandt kommuner og politikredse.
1
Medarbejderne i Sydøstjyllands Politikreds anvender både Børne-
hus Syd og Børnehus Midt afhængigt af det pågældende barns bopælskommune. De 15 besvarelser fra denne politikreds er derfor ikke
medtaget i denne figur, da de ikke entydigt kan henføres til ét bestemt børnehus.
Som ovenstående viser, er kommunernes og politiets vurdering af de enkelte
børnehuse forskellig. Andelen af kommunale medarbejdere, der vurderer, at
børnehusene i høj grad bidrager til at forbedre indsatsen er lidt mindre for
Børnehus Hovedstaden (19 procent) sammenlignet med de øvrige børne-
huse.
”Det har virkelig gjort
en forskel for
ensartetheden i
behandlingen af
sagerne. Jeg er meget
opløftet over at være
med i den proces.”
Børnelæge
Blandt medarbejderne i sundhedsvæsenet er der også en generel opfattelse
af, at etableringen af børnehusene har været positiv for behandlingen af sa-
ger om overgreb mod børn og unge. Flere af børnelægerne er endvidere ind-
gået aktivt i arbejdet med at afsøge mulighederne for at etablere en børne-
husmodel i Danmark. En interviewperson udtrykker således, at det er impo-
nerende, at der på så kort tid er blevet dannet et så godt fagligt sparringmiljø
i børnehusene.
Det fremhæves dog også udfordringer i samarbejdet med børnehusene som
for eksempel den geografiske afstand, manglende ressourcer og manglende
viden om sagernes videre forløb. Dette vil blive behandlet senere i rapporten.
I nedenstående figur undersøges det, om vurderingen af, om børnehuset bi-
drager til at forbedre indsatsen i sager om overgreb mod børn og unge, har
sammenhæng med den kontakt, som medarbejderne har haft med børnehu-
sene.
49
Erfaringsopsamling af børnehusene
Socialstyrelsen
SOU, Alm.del - 2015-16 - Bilag 90: Orientering om evalueringen af Overgrebspakken, fra social- og indenrigsministeren
1574837_0050.png
Figur 24. Vurdering af, om børnehuset bidrager til at forbedre indsatsen i sa-
ger om overgreb mod børn og unge fordelt på kontakt med børnehusene
Har deltaget i mindst
én børnehussag (n: 94)
Kommune
44%
41%
7%
4%
Har ikke deltaget
i en børnehussag (n: 26)
35%
42%
23%
Har deltaget som
afhører¹ (n: 36)
75%
22%
3%
Politi
Har ikke deltaget
som afhører (n: 32)
0%
I høj grad
I nogen grad
47%
38%
6%
6%
20%
Hverken eller
40%
Procent
I mindre grad
60%
Slet ikke
80%
100%
Ved ikke
Kilde:
Spørgeskemaundersøgelse blandt kommuner og politikredse.
1
Kan være både i forbin-
delse med videoafhøring af børn på 12 år eller derunder og i forbindelse med afhøring af børn og
unge i alderen 13-17 år.
Figuren viser en tendens til, at de adspurgte medarbejdere i kommunerne,
der har været i kontakt med børnehusene i relation til konkrete sager om
overgreb mod børn og unge, har en lidt mere positiv overordnet vurdering af
børnehusene sammenlignet med kommunale medarbejdere, der udeluk-
kende har haft anden kontakt med børnehusene, for eksempel i forbindelse
med temadage og/eller anden mødeaktivitet.
Blandt de medarbejdere i politiet, der har deltaget som afhører i børnehu-
sene, vurderer tre fjerdedele således, at børnehusene bidrager til at forbedre
indsatsen, mens samme andel er lidt under halvdelen for de medarbejdere,
der ikke har haft kontakt med børnehusene som afhører. Blandt sidstnævnte
gruppe er der også en mindre andel (6 procent), der har svaret ved ikke på
spørgsmålet. Blandt de medarbejdere, der har deltaget som afhører, har alle
været i stand til at besvare spørgsmålet.
Samme billede gør sig gældende for medarbejderne fra kommunerne fordelt
alt efter, om de har deltaget i mindst én børnehussag, eller om de udeluk-
kende har haft anden kontakt med børnehusene.
I figur 25 undersøges, om der er sammenhæng mellem omfanget af den kon-
takt, som medarbejderne har haft med børnehuset, og vurderingen af, om
børnehusene bidrager til at forbedre indsatsen.
50
Erfaringsopsamling af børnehusene
Socialstyrelsen
SOU, Alm.del - 2015-16 - Bilag 90: Orientering om evalueringen af Overgrebspakken, fra social- og indenrigsministeren
1574837_0051.png
Figur 25. Vurdering af, om børnehuset bidrager til at forbedre indsatsen i
sager om overgreb mod børn og unge fordelt på antal børnehussager
Tre eller færre
børnehussager (n: 72)
Kommune
43%
39%
8%
6%
Fire eller flere
børnehussager (n: 22)
45%
50%
5%
Tre eller færre
børnehussager (n: 17)
Politi
47%
41%
12%
Fire eller flere
børnehussager (n: 51)
0%
I høj grad
I nogen grad
20%
Hverken eller
67%
25%
6%
40%
Procent
I mindre grad
60%
Slet ikke
80%
100%
Ved ikke
Kilde:
Spørgeskemaundersøgelse blandt kommuner og politikredse.
Det ser umiddelbart ud til, at medarbejdere, der har været i kontakt med bør-
nehusene i forbindelse med flere sager, også er mere positivt stemt overfor
børnehusene sammenlignet med medarbejdere, der har haft en mere spar-
som kontakt.
Blandt kommunerne vurderer næsten samtlige medarbejdere (95 procent),
der har haft fire eller flere sager i børnehuset, at børnehusene i høj eller i no-
gen grad bidrager til at forbedre indsatsen, mens samme andel er 82 procent
blandt de medarbejdere, der har haft tre eller færre børnehussager. Der er
også en mindre andel (6 procent) af de kommunale medarbejdere, der har
haft tre eller færre sager, der ikke har kunnet vurdere børnehusene.
Samme billede gør sig gældende, hvis man betragter besvarelserne fra poli-
tiet. De adspurgte medarbejdere i politiet, der har deltaget i fire eller flere sa-
ger i børnehusene, har således også en lidt mere positiv oplevelse af, om
børnehusene bidrager til at forbedre indsatsen i sager om overgreb mod børn
og unge.
I figur 26 undersøges, sammenhængen mellem de adspurgte medarbejderes
anciennitet og deres vurdering af, om børnehusene bidrager til at forbedre
indsatsen.
51
Erfaringsopsamling af børnehusene
Socialstyrelsen
SOU, Alm.del - 2015-16 - Bilag 90: Orientering om evalueringen af Overgrebspakken, fra social- og indenrigsministeren
1574837_0052.png
Figur 26. Medarbejdernes vurdering af, om børnehuset bidrager til at for-
bedre indsatsen i sager om overgreb mod børn og unge fordelt på antal års
erfaring indenfor området for udsatte børn og unge
Under 5 år (n: 49)
39%
55%
32%
38%
44%
62%
35%
8%
42%
14%
3%
Kommune
5-9 år (n: 33)
10-19 år (n: 25)
20+ år (n: 13)
Under 5 år (n: 0)
12% 4% 8%
Politi
5-9 år (n: 8)
10-19 år (n: 25)
20+ år (n: 35)
0%
I høj grad
I nogen grad
20%
63%
56%
66%
40%
Procent
Hverken eller
I mindre grad
60%
28%
38%
4%4% 8%
29%
80%
Slet ikke
6%
100%
Ved ikke
Kilde:
Spørgeskemaundersøgelse blandt kommuner og politikredse.
Ovenstående figur viser, at der ikke umiddelbart ser ud til at være en sam-
menhæng mellem, hvor længe den enkelte medarbejder har arbejdet på om-
rådet for udsatte børn og unge, og deres oplevelse af, hvorvidt børnehusene
bidrager til at forbedre indsatsen i sager om overgreb mod børn og unge.
Dette gælder både for de kommunale medarbejdere og medarbejderne hos
politiet.
Nedenstående figur viser oplevelsen af den konsultative bistand blandt de
adspurgte medarbejdere i kommunerne.
Figur 27. Vurdering af den konsultative bistand, som kommunerne har mod-
taget i børnehusene
Børnehuset har givet
tilfredsstillende
konsultativ bistand
Den konsultative
henvendelse har
medvirket til at
afklare, hvorvidt der
skal påbegyndes en
børnehussag
0%
20%
62%
27%
3% 3%
3%
55%
30%
6%3% 5%
40%
Procent
60%
80%
100%
I høj grad
I nogen grad
Hverken eller
I mindre grad
Slet ikke
Ved ikke
Kilde:
Spørgeskemaundersøgelse blandt kommuner.
N:
66. I denne opgørelse indgår udeluk-
kende besvarelser fra kommunale medarbejdere, der har angivet, at de har haft en konsultativ
henvendelse til børnehusene.
52
Erfaringsopsamling af børnehusene
Socialstyrelsen
SOU, Alm.del - 2015-16 - Bilag 90: Orientering om evalueringen af Overgrebspakken, fra social- og indenrigsministeren
1574837_0053.png
Som figuren viser, er de adspurgte medarbejdere i kommunerne generelt
godt tilfredse med den konsultative bistand, som de modtager fra børnehu-
sene.
Næsten to tredjedele angiver således, at de i høj grad har fundet bistanden
tilfredsstillende og 27 procent angiver, at dette i nogen grad er tilfældet.
Der er ligeledes en udbredt oplevelse af, at den konsultative bistand medvir-
ker til at afklare, hvorvidt der skal påbegyndes en børnehussag. Over halvde-
len af de adspurgte medarbejdere angiver, at dette i høj grad er tilfældet, og
30 procent angiver, at det i nogen grad er tilfældet.
3.3.
Konklusion – Anvendelse af
børnehusene
Samlet set viser erfaringsopsamlingen, at børnehusene har opnået god ud-
bredelse blandt de relevante myndigheder og fagpersoner i løbet af det før-
ste år. Analysen af anvendelsen af børnehusene skal skabe grundlag for den
efterfølgende undersøgelse af samarbejdet mellem aktørerne i børnehus-
samarbejdet, jf. projektets opdrag, og sætter oplevelsen af samarbejdet i per-
spektiv.
I både kommuner, politi og sundhedsvæsenet anvendes børnehusene – især
i forbindelse med børnehusenes kerneopgaver: behandlingen af sager om
overgreb mod børn og unge og konsultativ bistand.
Der kan dog også observeres nogle forskelle i kontakten med børnehusene
på tværs af de forskellige myndigheder og mellem personer fra den samme
sektor. Medarbejderne fra kommunerne har således en mere sporadisk kon-
takt med børnehusene sammenlignet med medarbejderne i politiet. Denne
forskel kan forventelig tilskrives forskelle i den interne organisering i hen-
holdsvis kommunerne og politiet. Der kan også konstateres betydelige for-
skelle i omfanget af kontakten med børnehusene hos de forskellige børnelæ-
ger og retsmedicinere, der har deltaget i erfaringsopsamlingen.
Der er generelt en oplevelse af, at børnehusene bidrager til at forbedre ind-
satsen i sager om overgreb mod børn og unge blandt de relevante myndig-
heder. Ydermere ser det ud til, at medarbejdere, der anvender børnehusene
meget, generelt er mere tilfredse sammenlignet med medarbejdere, der an-
vender børnehusene mindre.
53
Erfaringsopsamling af børnehusene
Socialstyrelsen
SOU, Alm.del - 2015-16 - Bilag 90: Orientering om evalueringen af Overgrebspakken, fra social- og indenrigsministeren
1574837_0054.png
4. Kompetencer og
ressourcer
I dette kapitel afdækkes oplevelsen af børnehusenes kom-
petencer og ressourcer. Det undersøges således, om bør-
nehusene har den rette medarbejdersammensætning, om
medarbejderne opleves som kompetente, og om børnehu-
senes indretning og kapacitet understøtter formålet med
børnehusene.
Børnehusene er oprettet for at kunne varetage en række konkrete opgaver i
forbindelse med sager om overgreb mod børn og unge. Erfaringsopsamlin-
gen har blandt andet til hensigt, at belyse aktørernes erfaringer med ramme-
betingelserne for det tværsektorielle samarbejde i børnehusene, jf. opdraget.
I dette kapitel afdækkes derfor, om de involverede aktører oplever, at de rele-
vante kompetencer og ressourcer er til stede i børnehusene til at understøtte
varetagelsen af disse opgaver.
Aktørernes oplevelser afdækkes gennem en kombination af besvarelserne af
spørgeskemaundersøgelserne, de kvalitative interview og fokusgrupperne.
Der indgår eksplicitte spørgsmål om børnehusenes kompetencer og ressour-
cer i spørgeskemaundersøgelserne, og i de kvalitative interview er der blevet
spurgt yderligere ind til den konkrete oplevelse af kompetencer og ressourcer
i børnehusene.
Kapitlet indledes med en gennemgang af børnehusenes faste medarbejdere
og en analyse af aktørernes vurdering af deres kompetencer. Herefter følger
en analyse af aktørernes erfaringer med børnehusenes fysiske indretning og
kapaciteten i børnehusene.
4.1.
Børnehusenes faste medarbejdere
Bekendtgørelsen om børnehuse angiver, at børnehusene skal have et fast
personale, der er kvalificeret til at varetage sager om overgreb mod børn og
54
Erfaringsopsamling af børnehusene
Socialstyrelsen
SOU, Alm.del - 2015-16 - Bilag 90: Orientering om evalueringen af Overgrebspakken, fra social- og indenrigsministeren
1574837_0055.png
”Børnehusene skal
have et fast personale,
der er kvalificeret til
at varetage sager om
overgreb mod børn og
unge. Herudover kan
børnehusene, efter
behov i konkrete
sager, inddrage og
samarbejde med
relevante
myndigheder og
fagfolk […]”
Bekendtgørelse om
børnehuse
§ 1, stk. 2
unge
8
. Kvalitetsstandarderne angiver herudover, at børnehusenes faste per-
sonale bør dække funktioner som ledelse, socialrådgiverbistand, psykologbi-
stand og sekretærbistand
9
.
Dette afsnit analyserer, i hvor høj grad børnehusenes medarbejdere er kvali-
ficeret til at varetage disse opgaver.
Medarbejdersammensætning
Tabel 6 nedenfor giver et overblik over børnehusenes medarbejdere fordelt
på faggrupper.
Tabel 6. Børnehusenes medarbejdersammensætning
Børnehus
Hovedstaden
Leder
Administrativt
personale
Familie- og
psykoterapeut
Psykolog
Socialrådgiver
Total
1
0
4
4
11
Børnehus
Midt
1
0
1
2
3
7
Børnehus
Nord
1
1
0
1
2
5
Børnehus
Sjælland
1
1
0
2
2
6
Børnehus
Syd
1
0
0
4
4
9
Kilde:
Børnehusenes hjemmesider. ¹ Børnehus Hovedstaden har en konstitueret leder samt en
fast leder, der er midlertidigt fraværende grundet barsel.
Tabellen viser, at børnehusene har faste medarbejdere, der kan dække de
fire funktioner, der beskrives i kvalitetsstandarderne. Alle børnehusene har
således mindst én leder, psykolog og socialrådgiver. Tre børnehuse har valgt
at forankre sekretærfunktionen hos en fast administrativ medarbejder, mens
de resterende børnehuses faglige medarbejdere og ledelse selv varetager
denne funktion.
De ansatte i børnehusene har endvidere generelt relativt høj anciennitet på
området for udsatte børn og unge, som det ses i figur 28.
8
Bekendtgørelse om børnehuse § 1 stk. 2. Kilde: https://www.retsinforma-
tion.dk/Forms/R0710.aspx?id=158447
9
Socialstyrelsen: Kvalitetsstandarder for børnehusene i Danmark, september 2013.
55
Erfaringsopsamling af børnehusene
Socialstyrelsen
SOU, Alm.del - 2015-16 - Bilag 90: Orientering om evalueringen af Overgrebspakken, fra social- og indenrigsministeren
1574837_0056.png
Figur 28. Hvor længe har du arbejdet på området for udsatte børn og unge?
40%
35%
30%
25%
20%
34%
15%
10%
14%
5%
0%
Under 5 år
5-9 år
10-14 år
15-19 år
20+ år
10%
21%
21%
Kilde:
Spørgeskemaundersøgelse blandt børnehusenes medarbejdere og ledere.
N:
29.
Figuren viser, at mere end halvdelen af de ansatte har mindst ti års erfaring
på området, og kun 14 procent (svarende til fire af de 29 ansatte) har be-
skæftiget sig med udsatte børn og unge i mindre end fem år.
Bemandingen af børnehusene synes således overordnet set at understøtte
bekendtgørelsens krav om, at personalet skal være kvalificeret til at varetage
sager om overgreb mod børn og unge. I de følgende afsnit analyseres ople-
velsen af medarbejdernes faglige kompetencer for at afdække, om medarbej-
derne også i praksis opleves som tilstrækkeligt kompetente til at varetage
børnehusets opgaver.
Børnehuspersonalets faglige kompetencer
Børnehusmedarbejdernes kvalifikationer er blevet vurderet af de adspurgte
medarbejdere i kommunerne, medarbejdere i politiet, børnelæger, retsmedi-
cinere og af børnehusene selv. De forskellige myndigheder og fagpersoner
har hver især vurderet børnehusmedarbejdernes kompetencer i relation til de
dele af sagsforløbet, der primært vedrører dem.
De adspurgte medarbejdere i politiet har således forholdt sig til børnehusper-
sonalets faglige kompetencer i forbindelse med videoafhøring af børn og
unge, mens medarbejderne i kommunerne har forholdt sig til de faglige kom-
petencer i børnehusene i relation til de ydelser, som kommunerne modtager
fra børnehusene, og medarbejderne i sundhedsvæsenet er blevet bedt om at
forholde sig til børnehusenes kompetencer set fra et sundhedsfagligt per-
spektiv.
56
Erfaringsopsamling af børnehusene
Socialstyrelsen
SOU, Alm.del - 2015-16 - Bilag 90: Orientering om evalueringen af Overgrebspakken, fra social- og indenrigsministeren
1574837_0057.png
”Børnehus […] har
virkelig leveret varen.
De har nogle knald-
hamrende dygtige
socialrådgivere og
psykologer.”
Leder i en kommune
Det overordnede billede er, at alle involverede parter vurderer, at børnehuse-
nes faste medarbejdere i vid udstrækning er kvalificeret til at varetage de op-
gaver, der indgår i børnehusets arbejde. Den gennemgående tilbagemelding
fra de medarbejdere i kommunerne, politiet og sundhedsvæsenet, der er ble-
vet interviewet i forbindelse med erfaringsopsamlingen, er ligeledes, at bør-
nehusmedarbejderne er meget kompetente, jf. citatet til venstre.
Der synes således generelt at være stor tillid til børnehusmedarbejdernes
faglighed blandt deres samarbejdspartnere. I det følgende afdækkes oplevel-
sen af børnehusmedarbejdernes faglige kompetencer i de tre sektorer (kom-
munerne, politiet og sundhedsvæsenet) yderligere.
Kommunerne
Børnehusmedarbejdernes kompetencer i forhold til de dele af børnehusets
arbejde, der retter sig mod kommunernes behandling af sager om overgreb
mod børn og unge, er blevet vurderet både af børnehusmedarbejderne selv
og af de medarbejdere i kommunerne, der har haft kontakt til børnehuset i
forbindelse med en børnehussag.
I de gennemførte spørgeskemaundersøgelser er der således blevet spurgt
om oplevelsen af børnehusenes kompetencer i forhold til følgende konkrete
indsatser:
Bistand til undersøgelsen
Bistand ved børnesamtalen
Krisesamtaler med børn, unge og pårørende
Psykologiske vurderinger.
Både børnehusmedarbejderne selv og kommunernes medarbejdere har ge-
nerelt en positiv oplevelse af kompetencerne i forhold til alle fire indsatser.
Børnehusmedarbejderne har dog en lidt mere positiv oplevelse af deres egne
kvalifikationer end kommunernes medarbejdere.
Som det ses i figur 29, mener størstedelen af medarbejderne fra både børne-
huse og kommuner, at børnehusmedarbejderne i høj grad er kvalificeret til at
bidrage til undersøgelsen i sager om overgreb mod børn og unge.
57
Erfaringsopsamling af børnehusene
Socialstyrelsen
SOU, Alm.del - 2015-16 - Bilag 90: Orientering om evalueringen af Overgrebspakken, fra social- og indenrigsministeren
1574837_0058.png
Figur 29. Børnehusets faste medarbejdere er kvalificeret til at bidrage til un-
dersøgelsen i sager om overgreb mod børn og unge
Medarbejdere i børnehuse
(n: 29)
79%
21%
Medarbejdere i kommuner
(n: 94)
59%
24%
4% 11%
0%
10% 20% 30% 40% 50% 60% 70% 80% 90% 100%
Procent
I høj grad
I nogen grad
Hverken eller
I mindre grad
Slet ikke
Ved ikke
Kilde:
Spørgeskemaundersøgelse blandt børnehusenes medarbejdere og ledere og spørge-
skema blandt ledere og medarbejdere i driftskommuner og udvalgte kommuner.
Kun fire medarbejdere – alle fra kommuner – angiver, at børnehusenes med-
arbejdere i mindre grad er kvalificeret til at bidrage til undersøgelsen, og in-
gen angiver, at medarbejderne slet ikke er kompetente. Dette reflekteres i de
gennemførte telefoninterview med medarbejdere i kommunerne, der generelt
angiver, at det materiale, de modtager fra børnehusene på basis af den gen-
nemførte undersøgelse, er af høj kvalitet.
Figuren viser ligeledes, at børnehusenes medarbejdere vurderer deres egne
kompetencer mere positivt end de kommunale medarbejdere.
Kommunernes vurdering af børnehusmedarbejdernes kompetencer med
hensyn til at bidrage til undersøgelsen i sagerne varierer på tværs af børne-
husene, som det ses i figur 30.
58
Erfaringsopsamling af børnehusene
Socialstyrelsen
SOU, Alm.del - 2015-16 - Bilag 90: Orientering om evalueringen af Overgrebspakken, fra social- og indenrigsministeren
1574837_0059.png
Figur 30. Kommunernes vurdering af børnehusmedarbejdernes kvalifikatio-
ner med hensyn til bidrag til undersøgelsen
Børnehus Hovedstaden
(n: 17)
Børnehus Midt
(n: 14)
Børnehus Nord
(n: 18)
Børnehus Sjælland
(n: 13)
Børnehus Syd
(n: 32)
0%
I høj grad
10%
20%
47%
18%
6%
24%
6%
50%
29%
21%
56%
39%
6%
85%
15%
59%
30%
40%
50%
60%
22%
70%
3%
80%
16%
90% 100%
Ved ikke
I nogen grad
Hverken eller
I mindre grad
Slet ikke
Kilde:
Spørgeskemaundersøgelse blandt ledere og medarbejdere i driftskommuner og udvalgte
kommuner.
Figuren viser, at der for alle børnehuses vedkommende er en stor andel, der
angiver, at medarbejderne i høj grad er kvalificerede. Der ses dog en vis vari-
ation, idet 85 procent vurderer, at medarbejderne i Børnehus Sjælland i høj
grad er kvalificerede, mens den tilsvarende andel for Børnehus Hovedstaden
er 47 procent.
Ydermere er det bemærkelsesværdigt, at 24 procent af de adspurgte kom-
munale medarbejdere, der har anvendt Børnehus Hovedstaden, vurderer at
børnehusmedarbejderne i mindre grad er kvalificeret til at bidrage til undersø-
gelsen.
Figur 31 viser, at der også er en overvejende positiv oplevelse af børnehus-
medarbejdernes kvalifikationer med hensyn til at bistå ved børnesamtaler.
59
Erfaringsopsamling af børnehusene
Socialstyrelsen
SOU, Alm.del - 2015-16 - Bilag 90: Orientering om evalueringen af Overgrebspakken, fra social- og indenrigsministeren
1574837_0060.png
Figur 31. Børnehusets faste medarbejdere er kvalificeret til at bistå ved
børnesamtaler i sager om overgreb mod børn og unge
Medarbejdere i børnehuse
(n: 29)
69%
24%
7%
Medarbejdere i kommuner
(n: 94)
46%
16%
35%
0%
10% 20% 30% 40% 50% 60% 70% 80% 90% 100%
Procent
I høj grad
I nogen grad
Hverken eller
I mindre grad
Slet ikke
Ved ikke
Kilde:
Spørgeskemaundersøgelse blandt børnehusenes medarbejdere og ledere og spørge-
skema blandt ledere og medarbejdere i driftskommuner og udvalgte kommuner.
Også her vurderer børnehusenes medarbejdere deres kvalifikationer lidt
mere positivt end kommunernes medarbejdere.
De kommunale medarbejderes vurdering skal dog ses i lyset af, at mere end
en tredjedel angiver, at de ikke kan svare på spørgsmålet. Disse medarbej-
dere har dog alle angivet, at de har deltaget i mindst én børnehussag.
Ser man isoleret på de medarbejdere, der har svaret på spørgsmålet, vurde-
rer kommunernes medarbejdere kvalifikationerne i forhold til børnesamtaler
lige så positivt, som medarbejderne i børnehusene selv gør.
Det billede, der ses i figur 31, går igen i oplevelsen af børnehusmedarbejder-
nes kvalifikationer med hensyn til krisesamtaler og psykologiske vurderinger.
Også her er vurderingen overvejende positiv. Dette ses i figur 66 og figur 67 i
bilag G.
Der kan være en række forklaringer på de relativt store andele, der besvarer
disse tre spørgsmål med ”Ved ikke”. De kvalitative interview med kommuner-
nes medarbejdere indikerer, at børnehuset i nogle sager ikke indgår i børne-
samtalen med barnet, hvilket kan være forklaringen på, at 36 procent af de
kommunale medarbejdere, der har haft en børnehussag, ikke kender til bør-
nehusmedarbejdernes kvalifikationer med hensyn til børnesamtalen. En an-
den mulig forklaring kunne være, at de adspurgte medarbejdere ikke føler sig
kompetente til at vurdere børnehusmedarbejdernes kompetencer.
Med hensyn til krisesamtaler og psykologiske vurderinger kan forklaringen
på, at mange kommunale medarbejdere, der har haft sager i børnehusene,
alligevel svarer ”Ved ikke”, blandt andet være, at der ikke har været gennem-
ført krisesamtaler eller psykologiske vurderinger i disse medarbejderes bør-
nehussager. Derudover kan det skyldes, at medarbejderne ikke selv har del-
60
Erfaringsopsamling af børnehusene
Socialstyrelsen
SOU, Alm.del - 2015-16 - Bilag 90: Orientering om evalueringen af Overgrebspakken, fra social- og indenrigsministeren
1574837_0061.png
taget i disse aktiviteter, eller at medarbejderne i kommunerne ikke selv ople-
ver at have de rette faglige kompetencer til at vurdere børnehusmedarbejder-
nes kompetencer indenfor krisesamtaler og psykologiske vurderinger.
Samlet ses det således, at både børnehusmedarbejdere og kommunale
medarbejdere i meget høj grad oplever, at børnehusenes medarbejdere be-
sidder tilstrækkelige faglige kvalifikationer til at varetage de opgaver, der
blandt andet retter sig mod at indsamle viden til kommunernes sagsbehand-
ling.
Politiet
De medarbejdere i politiet, der har været i kontakt med børnehuset, har lige-
ledes vurderet børnehusmedarbejdernes kvalifikationer. Det drejer sig om vi-
deoafhøring af børn på op til 13 år og vejledning og formidling til myndighe-
derne i kommunerne angående politiets arbejde.
Figur 32 viser besvarelserne af de to spørgsmål fra medarbejderne i politiet.
Figur 32. Politiets vurdering af børnehusmedarbejdernes kompetencer
Børnehusets faste medarbejdere medvirker
til, at videoafhøringerne foregår skånsomt
46%
26%
12%
11%
Børnehusets faste medarbejdere er
kvalificerede til at give myndighedsrådgiver
vejledning/information om politiets arbejde
54%
26%
5% 15%
0%
I høj grad
I nogen grad
Hverken eller
20%
40%
60%
Slet ikke
80%
100%
I mindre grad
Ved ikke
Kilde:
Spørgeskemaundersøgelse blandt politikredse.
N:
65. I opgørelsen indgår kun medarbej-
dere, der har angivet, at de har deltaget i mindst én afhøring i børnehusene.
Figuren viser, at medarbejderne i politiet generelt vurderer børnehusmedar-
bejdernes kompetencer positivt. 46 procent oplever, at børnehusmedarbej-
derne i høj grad bidrager til, at der kan gennemføres en skånsom indsats
overfor børnene/de unge i forbindelse med videoafhøring, og yderligere 26
procent oplever, at dette i nogen grad er tilfældet.
Vurderingen er lidt mere positiv vedrørende børnehusmedarbejdernes kom-
petencer i forhold til at vejlede og informere myndighedsrådgiver. Her oplever
54 procent, at dette i høj grad er tilfældet. For begge spørgsmål gælder, at
kun få har angivet, at børnehusmedarbejderne i mindre grad eller slet ikke er
kvalificerede.
61
Erfaringsopsamling af børnehusene
Socialstyrelsen
SOU, Alm.del - 2015-16 - Bilag 90: Orientering om evalueringen af Overgrebspakken, fra social- og indenrigsministeren
1574837_0062.png
I bilag G er vedlagt besvarelserne af de to spørgsmål for de enkelte børnehu-
sene, jf. figur 68 og figur 69.
Af interviewene med medarbejderne i politiet fremgår det, at børnehusets
medarbejdere nogle gange ikke er med til videoafhøringerne, og at de der-
med ikke har stor indflydelse på tilrettelæggelsen. Andre oplever, at det er vi-
deoafhøreren selv, der har det primære ansvar for at sikre skånsomhed i af-
høringen, mens børnehusets medarbejdere primært deltager som bisiddere.
Endelig beskriver nogle medarbejdere i politiet, at der er et stort fagligt ud-
bytte ved at have børnehusmedarbejderen med ved børnesamtalen, jf. citatet
til venstre.
Samlet set vurderer samarbejdspartnerne fra politiet børnehusmedarbejder-
nes kvalifikationer overvejende positivt i forhold til de elementer af sagsbe-
handlingen, der vedrører politiets arbejde i sagerne.
”Det er en stor styrke
at have medarbejdere
fra børnehuset med til
videoafhøring, idet
deres faglighed øger
kvaliteten af det
efterfølgende arbejde
med sagen.”
Medarbejder i politiet
Sundhedsvæsenet
I de gennemførte interview med børnelæger og retsmedicinere er oplevelsen
af kvalifikationerne blandt børnehusets medarbejdere ligeledes afsøgt. Fler-
tallet af interviewpersonerne svarer dog, at de ikke har grundlag for at vur-
dere børnehusmedarbejdernes kvalifikationer, da børnelægers og retsmedici-
neres aktiviteter i sagerne typisk ikke involverer børnehusmedarbejderne i
samme omfang som medarbejderne fra kommunerne og politiet.
Ud fra det mere overordnede kendskab til børnehusets medarbejdere fra
sags- og børnehussamråd vurderer både børnelæger og retsmedicinere imid-
lertid medarbejdernes kvalifikationer positivt.
Samlet set viser erfaringsopsamlingen således, at der blandt børnehusets
samarbejdspartnere er en meget positiv oplevelse af børnehusmedarbejder-
nes kompetencer i forhold til at varetage de opgaver, der indgår i børnehu-
sets arbejde.
” Stk. 1: Børnehusene,
herunder eventuelle
satellitter, skal være
indrettet, således at de kan
anvendes til de oplistede
opgaver i §1-2, herunder
så det er muligt at foretage
videoafhøringen […]
Stk. 2: Børnehusene,
herunder eventuelle
satellitter, skal være
børnevenligt indrettede,
således at barnet eller den
unge oplever omgivelserne
som så trygge som muligt”
Bekendtgørelse om
børnehuse §4
4.2.
De fysiske rammer i børnehusene
Børnehusene er etableret som fysiske lokaliteter for at sikre en skånsom ind-
sats for børnene/de unge. Børnehusenes indretning understøtter dette på to
måder:
For det første skal børnehusene sikre en skånsom indsats overfor bør-
nene/de unge ved at være indrettet således, at børnene/de unge oplever
omgivelserne som så trygge som muligt.
For det andet skal børnehusene muliggøre, at de aktiviteter, der finder
sted i forhold til børnene/de unge i et børnehusforløb gennemføres på
samme sted, nemlig i børnehuset.
I dette afsnit vurderes det, om børnehusene er indrettet, så de understøtter
disse to formål.
62
Erfaringsopsamling af børnehusene
Socialstyrelsen
SOU, Alm.del - 2015-16 - Bilag 90: Orientering om evalueringen af Overgrebspakken, fra social- og indenrigsministeren
1574837_0063.png
Børnevenlig indretning
De aktører, der er involveret i børnehussamarbejdet, oplever generelt, at bør-
nehusene tilbyder trygge og børnevenlige rammer.
Ikke overraskende vurderer især børnehusenes egne medarbejdere, at bør-
nehusene er børnevenligt indrettet, som det ses i figur 70 i bilag G. 97 pro-
cent af børnehusmedarbejderne oplever i høj grad, at deres børnehus er bør-
nevenligt indrettet, og de resterende syv procent (svarende til to medarbej-
dere) angiver, at børnehuset i nogen grad er børnevenligt indrettet.
Kommunerne
Figur 33 viser vurderingen af, om børnehusene er børnevenligt indrettet,
blandt de adspurgte medarbejdere og ledere i kommunerne, der har været i
kontakt med børnehusene.
Figur 33. Kommunernes vurdering af, om børnehusene er børnevenligt ind-
rettet
Børnehus Hovedstaden
(n: 27)
Børnehus Midt
(n: 17)
Børnehus Nord
(n: 21)
Børnehus Sjælland
(n: 16)
Børnehus Syd
(n: 39)
Alle børnehuse
(n: 120)
0%
I høj grad
I nogen grad
46%
50%
20%
40%
44%
41%
57%
69%
28%
24%
60%
26%
24%
4% 4%
6%
29%
6% 6%
3%3%
3%3%
80%
Slet ikke
22%
29%
5% 10%
19%
21%
20%
100%
Ved ikke
Hverken eller
I mindre grad
Kilde:
Spørgeskemaundersøgelse blandt kommuner og driftskommuner.
Figuren viser, at halvdelen af de adspurgte medarbejdere i kommunerne
samlet set oplever, at børnehuset i høj grad er børnevenligt indrettet, mens
yderligere 24 procent mener, at børnehusene i nogen grad er børnevenligt
indrettet. Meget få angiver, at de i mindre grad eller slet ikke oplever børne-
huset som børnevenligt indrettet.
De medarbejdere, som ikke har været i børnehuset, har i spørgeskemaun-
dersøgelsen haft mulighed for at svare ”Ved ikke” på ovenstående spørgs-
mål. At 20 procent svarer ”Ved ikke” indikerer således, at en del af de kom-
munale myndighedsrådgivere, der har børnehussager, ikke som del af forlø-
bet har besøgt børnehuset.
Ydermere viser figuren, at andelen af de adspurgte medarbejdere, der ople-
ver, at børnehusene er børnevenligt indrettet, er større for Børnehus Sjæl-
land end for de øvrige børnehuse. De kommunale medarbejdere i Region
63
Erfaringsopsamling af børnehusene
Socialstyrelsen
SOU, Alm.del - 2015-16 - Bilag 90: Orientering om evalueringen af Overgrebspakken, fra social- og indenrigsministeren
1574837_0064.png
Sjælland vurderer således indretningen af Børnehus Sjælland mere positivt,
end de resterende kommuners medarbejdere vurderer indretningen af deres
lokale børnehus. 69 procent af besvarelserne fra kommunerne angiver, at
indretningen af Børnehus Sjælland i høj grad er børnevenlig. Imellem de re-
sterende fire børnehuse er der ikke betydelige forskelle i vurderingen, særligt
hvis der tages højde for andelen, der svarer ”Ved ikke”.
”Især de lidt ældre
børn/de unge kan
opleve huset som
næsten for pænt, og
der er ikke noget, de
rigtig kan underholde
sig med.”
Medarbejder i en kommune
Enkelte af de interviewede medarbejdere i kommunerne oplever, at der er en
tendens til, at indretningen er målrettet de mindre børn og dermed ikke i lige
så høj grad understøtter, at de unge føler sig komfortable i børnehusene, jf.
citatet til venstre.
Politiet
Figur 34 giver et tilsvarende overblik over politiets vurdering af, om børnehu-
set understøtter, at børnene føler sig trygge.
Figur 34. Politiets vurdering af, om børnehusets indretning understøtter, at
børnene/de unge oplever omgivelserne som trygge
Børnehus Hovedstaden
(n: 18)
Børnehus Midt
(n: 5)
Børnehus Nord
(n: 11)
Børnehus Sjælland
(n: 7)
Børnehus Syd
(n: 11)
Alle børnehuse
(n: 52)
0%
I høj grad
I nogen grad
20%
77%
40%
60%
20%
64%
100%
91%
15%
80%
Slet ikke
9%
8%
100%
Ved ikke
83%
80%
27%
9%
6% 11%
Hverken eller
I mindre grad
Kilde:
Spørgeskemaundersøgelse blandt politikredse.
Note:
Medarbejderne i Sydøstjyllands Po-
litikreds anvender både Børnehus Syd og Børnehus Midt afhængigt af det pågældende barns
bopælskommune. De 15 besvarelser fra denne politikreds er derfor ikke medtaget i denne figur,
da de ikke entydigt kan henføres til ét bestemt børnehus.
De adspurgte medarbejdere i politiet er i endnu højere grad af den opfattelse,
at børnehusene understøtter, at børnene føler sig trygge. Alle de medarbej-
dere i politiet, der har besvaret spørgeskemaet, oplever enten i høj eller i no-
gen grad, at børnehusets indretning bidrager til børnenes/de unges tryghed.
Selvom alle børnehuses indretning altså vurderes meget positivt, er det også
her Børnehus Sjælland, der i højest grad opleves som børnevenligt indrettet.
I Børnehus Midt er andelen, der har svaret i høj grad, betydelig lavere end i
de øvrige børnehuse. Det skal dog bemærkes, at dette resultat er baseret på
ganske få observationer.
64
Erfaringsopsamling af børnehusene
Socialstyrelsen
SOU, Alm.del - 2015-16 - Bilag 90: Orientering om evalueringen af Overgrebspakken, fra social- og indenrigsministeren
1574837_0065.png
De adspurgte medarbejdere i kommunerne og politiet oplever altså generelt
børnehusene som meget børnevenligt indrettet. I det følgende afdækkes op-
levelsen af børnehusenes fysiske rammer i forhold til gennemførelse af kon-
krete aktiviteter.
Gennemførelse af afhøringer
Ifølge bekendtgørelsen skal børnehusene være indrettet, så der kan gen-
nemføres videoafhøringer af børn til og med 12 år.
10
Figur 35 viser vurderin-
gen blandt børnehusene selv, kommunerne og politiet af, om børnehusene er
hensigtsmæssigt indrettet med henblik på at gennemføre videoafhøringer.
Blandt kommunale medarbejdere og medarbejdere i politiet er kun medtaget
personer, der har haft kontakt med børnehusene i forbindelse med en børne-
hussag.
Figur 35. Aktørers vurdering af børnehusets indretning med hensyn til video-
afhøring
Børnehuse
(n: 29)
83%
17%
Kommuner
(n: 94)
56%
16%
23%
”I skal få en virkelig
historie fra 2015. [Jeg
har] afholdt
hjemmebesøg hos en
dreng på 11 år. Han
fik forevist et foto af
video-rummet,
hvorefter han lettet
udtalte: Det ser godt
ud. Jeg troede,
at det [afhøringen]
skulle ske i et mørkt
rum.”
Medarbejder i politiet
Politi
(n: 68)
71%
19%
9%
0%
I høj grad
20%
I nogen grad
40%
Hverken eller
60%
I mindre grad
80%
Slet ikke
Ved ikke
100%
Kilde:
Spørgeskemaundersøgelse blandt børnehuse, kommuner, driftskommuner og politi-
kredse.
Figuren viser, at der generelt er stor tilfredshed med dette aspekt af børnehu-
senes indretning. Flertallet af medarbejderne fra både børnehuse, kommuner
og politi oplever, at indretningen i høj grad understøtter gennemførelse af vi-
deoafhøringer, hvilket også er kommet til udtryk i den kvalitative del af erfa-
ringsopsamlingen.
23 procent af de adspurgte medarbejdere i kommunerne har dog angivet, at
de ikke kan vurdere børnehusenes indretning med hensyn til videoafhøring.
De medarbejdere, som ikke har været i børnehuset, har haft mulighed for at
svare ”Ved ikke” i spørgeskemaundersøgelserne. Ovenstående kan derfor
skyldes, at de kommunale medarbejdere ikke har været i selve videoafhø-
ringslokalet, men kun har set lokalet fra en skærm i monitorrummet, hvorfor
10
Bekendtgørelsen om børnehuse § 4, stk. 1. Kilde: https://www.retsinforma-
tion.dk/Forms/R0710.aspx?id=158447
65
Erfaringsopsamling af børnehusene
Socialstyrelsen
SOU, Alm.del - 2015-16 - Bilag 90: Orientering om evalueringen af Overgrebspakken, fra social- og indenrigsministeren
1574837_0066.png
disse medarbejdere vil have en mindre grad af personlig erfaring med indret-
ningen af børnehusene på dette punkt.
De adspurgte medarbejdere i politiet giver dog også udtryk for en række kon-
krete udfordringer i den kvalitative del af erfaringsopsamlingen. Noget af det,
der lægges vægt på fra politiets side, er, at det er vigtigt at sikre, at der er
ventefaciliteter, hvor man forud for afhøringen kan tale uforstyrret med bar-
net/den unge, at afhøringslokalet er placeret, så barnet/den unge og
dets/dens omsorgspersoner ikke møder de myndighedspersoner, der skal ind
i monitorrummet, og at der er ro omkring afhøringslokalet. Nogle medarbej-
dere i politiet oplever, at dette ikke altid er tilfældet.
Enkelte medarbejdere hos politiet peger endvidere på konkrete udfordringer
med blandt andet med det tekniske lyd- og billedudstyr. For eksempel næv-
nes problemer angående placeringen og funktionaliteten af de kameraer, der
anvendes til videoafhøringen, jf. citatet til venstre. Politiet foretager typisk af-
høringer af de 13-17-årige børn/unge på politistationen, og der er i bekendt-
gørelsen heller ikke krav om, at disse afhøringer skal foregå i børnehuset.
Næsten halvdelen af de adspurgte medarbejdere i politiet angiver dog, at
børnehusets indretning i høj grad giver mulighed for at disse afhøringer også
kan foregå i børnehuset, som det ses i figur 71 i bilag G.
Dog angiver flere medarbejdere fra politiet i de kvalitative interview, at gen-
nemførelse af disse afhøringer i børnehuset kræver, for det første at der er
mulighed for at tilgå politiets journalsystem på stedet, og for det andet at der
stilles et kontorlokale til rådighed, der kan anvendes til afhøringen.
”De valgte kameraer
og placeringen af dem
er ikke
hensigtsmæssig […].
Det er meget synligt,
når kameraerne flyttes
under afhøringen,
ligesom det tydeligt
kan høres, når der
zoomes under
afhøringen […]”
Medarbejder i politiet
Gennemførelse af krisesamtaler
Nedenfor fremgår vurderingen af børnehusenes indretning i forhold til krise-
samtaler. Politiets medarbejdere er ikke blevet spurgt om dette, da de ikke
deltager i forløbet omkring gennemførelse af krisesamtaler. Der er udeluk-
kende medtaget kommunale medarbejdere, der har haft kontakt med børne-
husene i forbindelse med en børnehussag.
Figur 36. Børnehusets indretning understøtter krisesamtale i sager om
overgreb mod børn og unge
Børnehuse
(n: 29)
93%
7%
Kommuner
(n: 94)
40%
18%
7%
33%
0%
I høj grad
20%
I nogen grad
40%
Hverken eller
60%
I mindre grad
80%
Slet ikke
100%
Ved ikke
Kilde:
Spørgeskemaundersøgelse blandt børnehuse, kommuner og driftskommuner.
66
Erfaringsopsamling af børnehusene
Socialstyrelsen
SOU, Alm.del - 2015-16 - Bilag 90: Orientering om evalueringen af Overgrebspakken, fra social- og indenrigsministeren
1574837_0067.png
I forhold til gennemførelse af krisesamtaler oplever børnehusenes medarbej-
dere selv, at børnehusene i meget høj grad er hensigtsmæssigt indrettet
– 93 procent angiver, at indretningen i høj grad understøtter denne aktivitet.
Kommunernes medarbejdere vurderer også indretningen positivt i forhold til
afholdelse af krisesamtaler, men 33 procent angiver, at de ikke kan svare på
spørgsmålet. Dette skyldes formentlig, at en del af disse medarbejdere ikke
har været involveret i krisesamtaler, selvom de har haft en sag i børnehu-
sene, eftersom de medarbejdere, som ikke har været i børnehuset, er blevet
opfordret til at svare ”Ved ikke” i spørgeskemaundersøgelsen.
Ser man isoleret på de medarbejdere, der har svaret, mener to tredjedele i
høj grad, at børnehusets indretning understøtter gennemførelse af krisesam-
taler.
Gennemførelse af lægelige undersøgelser
Bekendtgørelsen om børnehusene stiller ikke krav om, at de lægelige under-
søgelser i forbindelse med en børnehussag skal gennemføres i selve børne-
huset.
11
På baggrund af de gennemførte interview kan det også konstateres,
at de lægelige undersøgelser altid foregår på hospitalernes børneafdelinger.
De interviewede børnelæger fremhæver, at børnehusene ikke udgør veleg-
nede rammer for en række af de konkrete lægelige undersøgelser. Undersø-
gelser af akut karakter vil ikke på hensigtsmæssig vis kunne henlægges til
børnehusene.
Nogle undersøgelser kan endvidere føre til yderligere behandlings- eller un-
dersøgelsesbehov, der kun kan varetages på hospitalet. For eksempel kan
der være behov for at tage blodprøver og røntgenbilleder, eller der kan være
behov for særlige sygeplejefaglige kompetencer. Det betyder, at børnelæ-
gerne også vurderer det hensigtsmæssigt at fastholde de konkrete undersø-
gelser på børneafdelingerne i situationer, hvor der kan være en vis usikker-
hed om skaderne.
Der er dog også typer af sundhedsfaglige undersøgelser og indsatser, der
ikke foregår i dag, men som muligvis vil kunne gennemføres i børnehusene.
Det drejer sig især om almindelige, planlagte sundhedsundersøgelser, der for
eksempel skal afdække, om barnet har en normal udviklingskurve og identifi-
cere andre indikationer på somatiske problemer.
I forbindelse med det afholdte fokusgruppeinterview har børnehusenes le-
dere givet udtryk for, at de oplever det som relevant at gennemføre denne
type undersøgelser i børnehuset, både fordi børn i målgruppen ofte har so-
matiske problemer som følge af eksempelvis omsorgssvigt, og fordi man
11
Bekendtgørelse om børnehuse. Kilde:
https://www.retsinforma-
tion.dk/Forms/R0710.aspx?id=158447
67
Erfaringsopsamling af børnehusene
Socialstyrelsen
SOU, Alm.del - 2015-16 - Bilag 90: Orientering om evalueringen af Overgrebspakken, fra social- og indenrigsministeren
1574837_0068.png
herigennem kan sikre øget inddragelse af det sundhedsfaglige perspektiv i
sagerne.
Ressourcerne til børnehusarbejdet i sundhedsvæsenet kan dog udgøre en
begrænsning for muligheden for at gennemføre sundhedsundersøgelser i
børnehusene, idet børnelægerne fremfører, at de vil have vanskeligt ved at
være fraværende fra deres afdeling, hvis der ikke følger ekstra ressourcer
med.
Gennemførelse af retsmedicinske undersøgelser
Der er i bekendtgørelsen heller ikke krav om, at de retsmedicinske undersø-
gelser i børnehussagerne skal gennemføres i børnehuset.
12
Erfaringsopsam-
lingen viser også, at de retsmedicinske undersøgelser typisk ikke foretages i
børnehusene.
Som det eneste børnehus har Børnehus Hovedstaden indrettet et sundheds-
rum, så der kan gennemføres retsmedicinske undersøgelser i børnehuset.
Retsmedicineren fra København Universitet foretager planlagte undersøgel-
ser af voldelige overgreb i børnehuset. Erfaringen herfra viser, at praktiske
problemstillinger i forhold til gennemførelse af retsmedicinske undersøgelser i
børnehuset kan håndteres (for eksempel rengøring og vedligehold af udstyr),
og retsmedicineren oplever det ikke som en væsentlig udfordring at gennem-
føre undersøgelserne i børnehuset, så længe der er tale om planlagte under-
søgelser, og det relevante udstyr er til rådighed.
Samtidig er der sager, hvor det ikke kan lade sig gøre at anvende børnehu-
set til undersøgelserne. Det drejer sig især om sager, hvor der er behov for at
foretage akut sporsikring, og sager, hvor der kan være behov for behandling
eller andre børnelægefaglige kompetencer.
Erfaringen fra Børnehus Hovedstaden viser altså på nuværende tidspunkt, at
det er muligt at etablere faciliteter til at gennemføre en del af de retsmedicin-
ske undersøgelser i børnehuset. For nuværende afventer de øvrige børne-
huse erfaringerne fra Børnehus Hovedstaden. En beslutning om at udbrede
modellen til de resterende børnehuse kan blandt andet bero på, om investe-
ringen står mål med udbyttet, idet den foreløbige oplevelse i Børnehus Ho-
vedstaden er, at det fortsat finder relativt få retsmedicinske undersøgelser
sted i børnehuset.
Samlet set peger erfaringsopsamlingen på, at de fysiske rammer i børnehu-
sene på nuværende tidspunkt understøtter børnesamtaler, krisesamtaler og
videoafhøringer, og at der er potentiale for øget inddragelse af lægelige og
retsmedicinske undersøgelser.
12
Bekendtgørelse om børnehuse. Kilde:
https://www.retsinforma-
tion.dk/Forms/R0710.aspx?id=158447
68
Erfaringsopsamling af børnehusene
Socialstyrelsen
SOU, Alm.del - 2015-16 - Bilag 90: Orientering om evalueringen af Overgrebspakken, fra social- og indenrigsministeren
1574837_0069.png
4.3.
Kapacitet i børnehusene
På den gennemførte fokusgruppe giver børnehuslederne udtryk for, at det
flere steder mærkes, at de fysiske rammer er blevet snævrere igennem det
første år i drift. De fremhæver, at det er vigtigt, at børnehusene ikke virker
trange eller kaotiske, og dette er med tiden blevet vanskeligere. Nogle steder
opstår der for eksempel allerede nu kø til videoafhøringslokalet, som følge af
et stigende behov for at benytte lokalet.
Hvis der vedtages en lov om, at unge mellem 13 og 15 år også skal videoaf-
høres, kan det afstedkomme et yderligere pres på børnehusenes kapacitet.
Nogle medarbejdere i politiet oplever ligeledes, at de fysiske rammer er ved
at blive for trange, idet det kan være vanskeligt at skabe ro omkring afhørin-
gerne.
Både medarbejdere fra politiet og børnelæger beskriver, at det ville være en
fordel for det tværfaglige samarbejde, hvis de andre sektorer kunne have
kontorfaciliteter til rådighed i børnehusene og dermed være fysisk til stede i
børnehuset i afgrænsede tidsrum udenfor samrådene til at svare på spørgs-
mål og styrke tværfagligheden. Dette er der imidlertid kun plads til få steder.
Børnehuslederne peger også på mulige fremtidige kapacitetsbegrænsninger i
forhold til den grad af specialisering, som børnehusene kan opnå. Det frem-
hæves, at hvis børnehusene skal kunne varetage en højt specialiseret rolle
som faglig rådgiver og ekspertkompetence, er de afhængige af, at medarbej-
dernormeringen understøtter, at der er tid til faglig udvikling. Efterhånden
som samarbejdet i børnehusene bliver bedre forankret blandt de deltagende
aktører, stiger sagsmængden, hvilket kan lægge pres på muligheden for ud-
vikling af øget specialisering.
Erfaringsopsamlingen indikerer således, at flere af børnehusene på nuvæ-
rende tidspunkt er ved at have nået en kapacitetsgrænse med hensyn til
både medarbejderressourcer og børnehusenes fysiske rammer.
4.4.
Konklusion – Kompetencer og
ressourcer
I dette kapitel belyses aktørernes oplevelser af rammebetingelserne for det
tværsektorielle samarbejde i børnehusene, jf. projektets opdrag. Det er un-
dersøgt, hvorvidt aktørerne oplever, at de relevante kompetencer og ressour-
cer er til stede i børnehusene til at understøtte varetagelsen af kerneopga-
verne.
Analysen tegner et overordnet positivt billede af børnehusenes grundlag for
at varetage de opgaver, der beskrives i bekendtgørelsen. Børnehusenes be-
manding dækker de relevante fagområder, og medarbejdernes kvalifikationer
vurderes både af børnehusene selv og af samarbejdspartnerne som tilstræk-
kelige til at varetage sagerne.
69
Erfaringsopsamling af børnehusene
Socialstyrelsen
SOU, Alm.del - 2015-16 - Bilag 90: Orientering om evalueringen af Overgrebspakken, fra social- og indenrigsministeren
1574837_0070.png
Også i forhold til varetagelsen af de konkrete aktiviteter i børnehusene (krise-
samtaler, videoafhøringer mv.) er oplevelsen blandt både de kommunale
medarbejdere, medarbejderne i politiet og børnehusmedarbejderne selv, at
børnehusmedarbejderne generelt er kompetente.
Endvidere er der en oplevelse af, at de fysiske rammer i børnehusene i vidt
omfang understøtter de aktiviteter, der skal gennemføres i børnehussagerne.
Samtidig ses begrænsninger i forhold til gennemførelse af lægelige og rets-
medicinske undersøgelser, og der er indikationer på, at børnehusene begyn-
der at opleve kapacitetsbegrænsninger.
70
Erfaringsopsamling af børnehusene
Socialstyrelsen
SOU, Alm.del - 2015-16 - Bilag 90: Orientering om evalueringen af Overgrebspakken, fra social- og indenrigsministeren
1574837_0071.png
5. Sagsforløbet i
børnehusene
I dette kapitel afdækkes oplevelsen af sagsforløbet i børne-
hussagerne. Det analyseres blandt andet, hvordan kommu-
nerne oplever processen omkring henvisning af sager til
børnehusene, varigheden af sagsforløbet i børnehusene
samt overleveringen af børnehusenes undersøgelser.
Som en del af formålet med erfaringsopsamlingen undersøges kommunernes
oplevelse af samarbejdet med børnehusene som led i § 50-undersøgelsen,
jf. projektets opdrag. I dette kapitel afdækkes derfor kommunernes oplevelse
af børnehusenes bistand i sager om overgreb mod børn og unge.
Børnehusenes bistand til kommunerne foregår gennem en mere eller mindre
fast proces. Sagerne henvises til børnehuset fra kommunerne, når de identifi-
cerer en sag om overgreb, der matcher børnehusets målgruppe. Kommu-
nerne retter eventuelt en konsultativ henvendelse til børnehuset først for at få
afklaret, hvorvidt sagen er indenfor målgruppen.
Herefter koordinerer børnehuset en proces, hvor en række undersøgelsesak-
tiviteter i forhold til barnet/den unge gennemføres af en eller flere af de invol-
verede aktører. Hensigten er at understøtte den børnefaglige undersøgelse,
der gennemføres af kommunerne.
Dette munder ud i, at børnehuset overleverer deres viden om sagen til kom-
munerne mundtligt og/eller skriftligt. På basis af denne viden og myndighe-
dens egen helhedsorienterede undersøgelse af barnets/den unges og famili-
ens forhold udarbejder kommunerne en samlet § 50-undersøgelse, der dan-
ner grundlag for en eventuel tildeling af støtteindsatser til barnet/den unge og
familien.
Faserne i sagsforløbet i børnehusene er illustreret i nedenstående figur.
Figur 37: Faserne i sagsforløbet i børnehusene
(
71
Konsultativ
bistand
)
Opstarts- og
forberedelsesfase
Udrednings- og
undersøgelses-
fase
Opfølgningsfase
Kilde:
Kvalitetsstandarder for børnehusene.
Erfaringsopsamling af børnehusene
Socialstyrelsen
SOU, Alm.del - 2015-16 - Bilag 90: Orientering om evalueringen af Overgrebspakken, fra social- og indenrigsministeren
1574837_0072.png
Konkret analyseres i de efterfølgende afsnit kommunernes henvisning af sa-
ger i målgruppen til børnehusene, de indsatser, der leveres i børnehusene,
sagshåndteringstiden i børnehuset, overleveringen af viden fra børnehus til
myndighed samt udbud og efterspørgsel af yderligere indsatser fra børnehu-
sene.
Sagsforløbet i børnehusene analyseres på baggrund af de kvantitative og
kvalitative data indsamlet i erfaringsopsamlingen samt data fra Børnehus IT.
Eksempelvis belyses kommunernes oplevelse af børnehusenes konsultative
bistand gennem en kombination af de kvalitative interview og udvalgte
spørgsmål fra spørgeskemaundersøgelsen blandt kommunerne. Mens analy-
sen af sagshåndteringstiden i børnehusene tager udgangspunkt i udsagn
indsamlet fra de kvalitative interview, som belyses yderligere ved hjælp af
data fra Børnehus IT.
5.1.
Henvisning af sager til
børnehuset
Målgruppen for børnehusene er afgrænset ved tre kriterier i bekendtgørelsen
og kvalitetsstandarderne
13
:
Der skal være mistanke eller viden om, at et barn/en ung har været udsat
for overgreb.
Der skal være tale om en sag, hvor der gennemføres en børnefaglig un-
dersøgelse efter servicelovens § 50.
Sagen skal være tværsektoriel. Det vil sige, at det skal være relevant for
kommunen at inddrage sygehusvæsen eller politi i sagen.
Kommunerne har myndighedsansvaret i sagerne. Det betyder blandt andet,
at kommunernes ansvar er at vurdere, om en given sag opfylder kriterierne
for en børnehussag, og eventuelt henvise sagen til børnehuset.
Kommunerne kan dog gøre brug af børnehusene i afklaringen af, om en sag
opfylder kriterierne gennem en konsultativ henvendelse.
Det er således afgørende for børnehusenes varetagelse af opgaverne i for-
bindelse med sager om overgreb mod børn og unge, at der i kommunerne er
klarhed om kriterierne for, hvornår er sag skal henvises til børnehusene, samt
at kommunerne anvender muligheden for at rette en konsultativ henvendelse
til børnehusene. Ydermere er det vigtigt, at der er en vis ensartethed i kom-
munernes henvisningspraksis.
13
Socialstyrelsen: Kvalitetsstandarder for børnehusene i Danmark, september 2013 og Bekendt-
gørelsen om børnehuse § 1, stk. 1. Kilder:
http://www.socialstyrelsen.dk/born-og-unge/over-
greb/boernehuse/kvalitetsstandarder
og https://www.retsinforma-
tion.dk/Forms/R0710.aspx?id=158447
72
Erfaringsopsamling af børnehusene
Socialstyrelsen
SOU, Alm.del - 2015-16 - Bilag 90: Orientering om evalueringen af Overgrebspakken, fra social- og indenrigsministeren
1574837_0073.png
Børnehusenes konsultative bistand til kommunerne
Et væsentligt formål med den konsultative bistand, som børnehusene yder til
kommunerne, er at hjælpe kommunerne med at afklare, om en sag er inden-
for børnehusenes målgruppe.
Figur 38 viser kommunernes vurdering af, om den konsultative bistand med-
virker til at sikre denne afklaring.
Figur 38. Vurdering af, i hvilken grad den konsultative bistand medvirker til at
afklare, om der skal påbegyndes et børnehusforløb
Kommuner
(n: 66)
55%
30%
6% 3% 5%
0%
I høj grad
20%
I nogen grad
40%
Hverken eller
60%
I mindre grad
80%
Slet ikke
100%
Ved ikke
Kilde:
Spørgeskemaundersøgelse blandt kommuner og driftskommuner.
Note:
I opgørelsen ind-
går udelukkende medarbejdere, der har angivet, at de har modtaget konsultativ bistand fra bør-
nehusene.
Figuren viser, at over halvdelen af de adspurgte medarbejdere og ledere i
kommunerne oplever, at den konsultative bistand i høj grad har medvirket til
at afklare, om den konkrete sag var en børnehussag. Yderligere 30 procent
oplever, at dette i nogen grad er tilfældet. Kun tre medarbejdere angiver, at
den konsultative bistand i mindre grad eller slet ikke har medvirket til afklarin-
gen af målgruppen.
I de kvalitative interview med ledere og medarbejdere i kommunerne er der
generelt en oplevelse af, at den konsultative bistand er vigtig i forhold til af-
klaringen af, om en sag skal i børnehuset. Som det vises nedenfor, betyder
dette også, at de usikkerheder, som kommunerne kan have med hensyn til
målgruppens afgrænsning, ikke opleves som særlig problematiske.
Kommunernes henvisningspraksis
Erfaringsopsamlingen indeholder en række indikationer på, om målgruppekri-
terierne bliver anvendt i kommunerne på en måde, der sikrer, at alle sager in-
denfor målgruppen bliver til børnehussager.
Figur 39 viser variationen i, hvor mange børnehussager de enkelte kommu-
ner har i forhold til antallet af børn i kommunen.
73
Erfaringsopsamling af børnehusene
Socialstyrelsen
SOU, Alm.del - 2015-16 - Bilag 90: Orientering om evalueringen af Overgrebspakken, fra social- og indenrigsministeren
1574837_0074.png
Figur 39. Antal afsluttede børnehussager per 10.000 indbyggere under 18 år
fordelt på kommuner, 2014
30
Antal sager per 10.0000 indbyggere
25
20
15
10
5
0
1 4 7 10 13 16 19 22 25 28 31 34 37 40 43 46 49 52 55 58 61 64 67 70 73 76 79 82 85 88
Kommuner
Antal børnehussager per 10.000 0-17-årige
Landsgennemsnit
Kilder:
Børnehus IT og Danmarks Statistik.
Note:
Afsluttede sager er opgjort på slutdato.
Figuren viser, at der er relativt store forskelle mellem antallet af børnehussa-
ger på tværs af kommunerne, også når der tages højde for, hvor store kom-
munerne er. Antallet af sager varierer mellem en og 26 børnehussager per
10.000 indbyggere under 18 år
14
, mens gennemsnittet på landsplan er syv
børnehussager per 10.000 børn og unge under 18 år.
Der er naturligvis en række faktorer, der kan have betydning for, hvor mange
sager den enkelte kommune henviser til børnehuset. Det kan for eksempel
tænkes, at demografiske eller socioøkonomiske forhold vil påvirke antallet af
overgreb, der begås mod børn og unge. Det ligger dog udover erfaringsop-
samlingen at belyse disse forhold nærmere.
Den relativt store variation, der ses i figur 39, indikerer dog helt overordnet, at
der kan være forskel på kommunernes henvisningspraksis til børnehusene.
Figur 40 viser børnehusmedarbejdernes oplevelse af, i hvilken grad kriteri-
erne anvendes i praksis i kommunerne, så de sager, der er indenfor målgrup-
pen, også ender i børnehusene.
14
Der er syv kommuner, der ikke har haft sager i børnehusene.
74
Erfaringsopsamling af børnehusene
Socialstyrelsen
SOU, Alm.del - 2015-16 - Bilag 90: Orientering om evalueringen af Overgrebspakken, fra social- og indenrigsministeren
1574837_0075.png
Figur 40. Vurdering af, om kommunerne anvender børnehuset i alle sager,
hvor der er mistanke om overgreb mod børn og unge, og hvor flere sektorer
er involveret
Børnehuse
(n: 29)
10%
62%
3% 10%
14%
0%
I høj grad
20%
I nogen grad
40%
Hverken eller
60%
I mindre grad
80%
Slet ikke
100%
Ved ikke
Kilde:
Spørgeskemaundersøgelse blandt børnehuse.
Figuren viser, at 62 procent af de adspurgte medarbejderne i børnehusene i
nogen grad oplever, at kommunerne anvender børnehusene i tværsektorielle
sager om overgreb mod børn og unge, og at 10 procent mener, at dette i høj
grad er tilfældet. Selvom flertallet af børnehusmedarbejderne altså forholder
sig overvejende positivt til kommunernes anvendelse af kriterierne, er der en
relativt lille andel, der i høj grad oplever, at kriterierne er fuldt forankret i kom-
munernes praksis.
10 procent angiver samtidig, at kommunerne kun i mindre grad anvender
børnehuset i alle relevante sager. Ved det gennemførte fokusgruppeinterview
beskriver børnehuslederne, at de blandt andet oplever, at børnehusene får
relativt få sager om overgreb mod unge over 12 år.
Flere af de interviewede børnelæger beskriver, at de har oplevet, at sager om
overgreb mod børn og unge, hvor de mener, der er behov for støtte, ikke se-
nere bliver til børnehussager. De beskriver således, at de har haft kontakt
med børnene/de unge i forbindelse med en lægelig undersøgelse og selv
vurderer, at der er belæg for at gennemføre en sag i børnehusene, men at
kommunerne ikke efterfølgende har henvist sagen til børnehusene.
Erfaringsopsamlingen tegner således er helt overordnet billede af, at kommu-
nerne opleves som gode til at anvende målgruppekriterierne i praksis, men
også at der er variationer, der kan medføre, at ikke alle relevante sager kom-
mer i børnehusene.
Oplevelsen blandt de fleste af de interviewede medarbejdere og ledere i
kommunerne er, at målgruppens afgrænsning er klar. Flere interviewperso-
ner nævner, at børnehuslederne på deres kommunerunder har informeret
dem om, hvilke sager der kan være børnehussager. De opstillede kriterier
udelukker dog ikke gråzoner. I de fleste tilfælde opleves dette ikke som et
problem, idet tvivl, om en sag er indenfor målgruppen, typisk afklares gen-
nem den konsultative bistand. Kommunerne oplever generelt, at de typisk
har let ved at blive enige med børnehusene, om en sag er en børnehussag.
75
Erfaringsopsamling af børnehusene
Socialstyrelsen
SOU, Alm.del - 2015-16 - Bilag 90: Orientering om evalueringen af Overgrebspakken, fra social- og indenrigsministeren
1574837_0076.png
Selvom målgruppeafgrænsningen således som regel ikke opleves som van-
skelig, beskriver nogle medarbejdere og ledere i kommunerne i de gennem-
førte interview alligevel en række konkrete udfordringer ved at anvende de
opstillede målgruppekriterier i praksis, der blandt andet kan føre til forskelle i
praksis på tværs af kommuner. Nedenfor behandles de tre kriterier derfor en-
keltvis.
Kriteriet om mistanke eller viden om overgreb mod
et barn eller en ung
Dette kriterie opleves generelt som meget klart blandt kommunernes ledere
og medarbejdere. I praksis er der i sagerne meget stor forskel på, hvor velun-
derbygget en mistanke om overgreb er, og det er typisk i sager, hvor der kun
foreligger meget diffuse indikationer om overgreb mod et barn/en unge, at
kommunerne oplever at komme i tvivl om anvendelsen af dette kriterie.
Som oftest afklares dette i dialog med børnehusene eller ved at kontakte po-
litiet direkte for at afklare, om der er tale om en sag, hvor der er grundlag for
en anmeldelse. Dette kriterie opleves således som relativt uproblematisk.
Flere kommunale medarbejdere giver imidlertid udtryk for, at der er sager,
der i dag ikke ligger indenfor børnehusenes målgruppe, men som med fordel
kunne inkluderes. Det drejer sig især om sager, hvor overgrebene har karak-
ter af psykisk vold.
Børnehusenes ledere beskriver samtidig, at de oplever, at kommunerne til ti-
der er i tvivl, når det gælder sager, hvor der er mistanke eller viden om over-
greb, men hvor både den krænkede og krænkeren er børn.
Kriteriet om § 50-undersøgelse
Flertallet af de interviewede medarbejdere og ledere i kommunerne oplever
ikke, at der er nogen uklarhed angående § 50-kriteriet, idet sager, hvor der
foretages en politianmeldelse, under alle omstændigheder er alvorlige nok, til
at der skal gennemføres en § 50-undersøgelse.
I nogle tilfælde tager det dog lidt tid at etablere et grundlag for at træffe afgø-
relse om igangsættelse af en § 50-undersøgelse i kommunen, og enkelte
medarbejdere er i tvivl om, hvornår i denne proces børnehuset skal inddra-
ges.
Blandt enkelte af de interviewede børnelæger opleves det, at kommunerne
nogle gange vælger at træffe afgørelse om ikke at igangsætte en § 50-under-
søgelse i sager, som børnelægerne selv vurderer som alvorlige.
Endvidere oplever børnehuslederne til tider, at kommunerne tøver med at ud-
arbejde en opdateret § 50-undersøgelse i sager, hvor undersøgelsen alle-
rede har mundet ud i, at der er iværksat en foranstaltning, men hvor barnet i
den nye situation er tryg ved at fortælle om overgreb, der tidligere har fundet
sted, og der derfor muligvis er nye oplysninger at tilføje til undersøgelsen.
76
Erfaringsopsamling af børnehusene
Socialstyrelsen
SOU, Alm.del - 2015-16 - Bilag 90: Orientering om evalueringen af Overgrebspakken, fra social- og indenrigsministeren
1574837_0077.png
Kriteriet om, at sagen skal være tværsektoriel
For at en sag kan startes i børnehusene, skal det være relevant for kommu-
nen at inddrage sygehusvæsen og/eller politi i sagen. Der skal være behov
for et tværsektorielt samarbejde. I dette afsnit analyseres kommunernes ople-
velsen af dette kriterie.
De gennemførte interview med kommunernes medarbejdere og ledere indi-
kerer, at der forskel på kommunernes praksis i forhold til politianmeldelser i
sager med mistanke om overgreb mod et barn/en ung og derfor forskel på,
hvor mange sager der opleves som tværsektorielle.
Medarbejdere i nogle kommuner angiver, at der i deres kommune arbejdes
med en nultolerancetilgang til politianmeldelser i sager, hvor der er mistanke
om overgreb mod børn og unge. Medarbejdere fra andre kommuner beskri-
ver, at der i deres kommune skal en mere konkret mistanke til, før politiet ind-
drages. Dette kan betyde, at der på tværs af kommuner er forskel på, hvor
mange sager der lever op til kriteriet om at være tværsektorielle.
I en del af de sager, hvor politiet inddrages til at gennemføre en videoafhø-
ring, munder politiets arbejde ud i, at der ikke er grundlag for en sigtelse. I
denne type sager kan der i kommunerne være tvivl, om sagen er en børne-
hussag, idet der gennemføres en videoafhøring, selvom sagen efterfølgende
bliver ensektoriel igen, fordi der ikke er et retligt efterspil.
Lederne af børnehusene oplever, at det langt fra er alle videoafhøringer, der
gennemføres i børnehusene, hvilket yderligere understøtter, at der kan være
uklarhed om kriteriet, om disse sager er tværsektorielle.
Nogle børnelæger nævner ligeledes, at de oplever, at ikke alle relevante sa-
ger bliver til børnehussager. Har kommunens sagsbehandler for eksempel ta-
get et barn med på børneafdelingen til en indledende undersøgelse, er ople-
velsen blandt flere af de interviewede børnelæger, at disse sager ikke altid
opleves som tværsektorielle i kommunen og ikke altid bliver henvist til børne-
huset. De gennemførte interview med kommunerne indikerer ligeledes, at der
i disse sager er større fokus på snitfladen til politiet end til sundhedsvæsenet.
Kommunerne oplever altså generelt selv, at de har god forståelse af afgræs-
ningen af målgruppen ud fra de tre kriterier, men samtidig ses indikationer af
praksisforskelle mellem kommunerne. Selvom der kan opstå uklarheder, op-
lever få af de kommunale medarbejdere målgruppeafgrænsningen som pro-
blematisk, idet afgræsningen i den enkelte sag typisk afklares i dialog med
børnehuset og/eller politiet.
Endvidere oplever nogle, at børnehusenes særlige kompetencer og faglighed
i forhold til overgreb mod et barn/en ung kan være relevante i sager, der ikke
er tværsektorielle. Konkret drejer det sig ofte om sager, hvor både krænker
og den krænkede er børn, og politiet derfor ikke inddrages. I disse sager har
nogle kommuner et ønske om sparring i forhold til både det krænkede barns
og det krænkende barns støttebehov.
77
Erfaringsopsamling af børnehusene
Socialstyrelsen
SOU, Alm.del - 2015-16 - Bilag 90: Orientering om evalueringen af Overgrebspakken, fra social- og indenrigsministeren
1574837_0078.png
Børnehuslederne har ligeledes i forbindelse med den gennemførte fokus-
gruppe givet udtryk for, at der er sager udenfor målgruppen, som de ville
kunne bidrage fagligt til. Generelt oplever kommunerne dog villighed blandt
børnehuspersonalet til at yde konsultativ sparring også i sager, der ligger på
grænsen til målgruppen.
5.2.
”Vi har erfaret, at
forløbene godt kan
trække lidt ud og
medføre, at § 50 ikke
afsluttes rettidigt.”
Medarbejder i en kommune
Børnehusenes
sagshåndteringstid
Et gennemsnitligt forløb i børnehusene tager lidt over hundrede dage. Dette
dækker dog over, at nogle sager bliver afsluttet efter ganske kort tid, mens
andre sager varer betydelig længere.
På tværs af spørgeskemaundersøgelserne og de gennemførte interview er
der flere medarbejdere i kommunerne, der har bemærket, at de oplever pro-
blemer med sagshåndteringstiden i børnehusene.
Problemstillingen knytter sig især til to dele af processen i sagsforløbet i bør-
nehusene. For det første bemærkes det fra nogle kommunale medarbejdere,
at det kan opleves, at der går lang tid inden en sag opstartes i børnehusene,
altså fra en sag er blevet oprettet i børnehuset, til det første sagssamråd af-
holdes. For det andet fremhæves det, at hele forløbet i børnehuset til tider
kan tage lang tid og i nogle tilfælde vanskeliggøre, at kommunerne selv kan
overholde fristen for deres § 50-undersøgelse.
På baggrund af data fra Børnehus IT er det muligt at opgøre den tid, der går,
fra oprettelsen af et sag i børnehusene til det første sagssamråd, og til sagen
er endeligt afsluttet.
I de efterfølgende afsnit analyseres derfor den tid, der går, fra oprettelse af
en sag og til første sagssamråd samt den samlede varighed af forløbene i
børnehusene.
Opstart af sager i børnehusene
På baggrund af data fra Børnehus IT viser nedenstående figur antallet af bør-
nehussager fordelt på antallet af uger, der går, fra oprettelsen af sagen, til
det første sagssamråd er afholdt.
78
Erfaringsopsamling af børnehusene
Socialstyrelsen
SOU, Alm.del - 2015-16 - Bilag 90: Orientering om evalueringen af Overgrebspakken, fra social- og indenrigsministeren
1574837_0079.png
Figur 41. Antal børnehussager fordelt på varighed af opstarten (procent), 2014
35%
30%
25%
Procent
20%
15%
10%
5%
0%
0
1
2
3
4
5
6
7
8
9 10 11 12 13 14 15 16 17 18 19 20+
Antal uger
Kilde:
Børnehus IT.
N:
687. Et mindre antal sager har en dato for første sagssamråd, der ligger
før oprettelsesdatoen, hvorfor disse ikke er medtaget i denne opgørelse. I denne opgørelse er
medtaget både afsluttede og aktive sager, hvor der er registreret mindst ét sagssamråd.
Note:
Nul uger angiver, at det første sagssamråd afholdes på samme dag, som sagen er oprettet.
Som det fremgår af figuren, afholdes første sagssamråd i de fleste sager (64
procent) indenfor to uger fra sagens oprettelse. I 25 procent af sagerne fore-
går opstarten indenfor fem uger, og kun i 11 procent af sagerne tager opstar-
ten således seks uger eller længere tid.
På tværs af alle sagerne er den gennemsnitlige opstartstid 17 dage.
I bilag G er vedlagt en oversigt over varigheden af opstarten for henholdsvis
sager om seksuelle og voldelige overgreb, jf. figur 72. Heraf fremgår det, at
typen af overgreb ikke ser ud til at påvirke varigheden af opstarten nævne-
værdigt.
Det kan således konstateres, at de første samråd i langt hovedparten af sa-
gerne finder sted rimelig kort tid efter oprettelsen af sagen. Det ses dog også,
at der er sager, hvor opstarten trækker betydelig længere ud.
Figur 42 er en oversigt over opstarten af sagerne fordelt på de enkelte børne-
huse.
79
Erfaringsopsamling af børnehusene
Socialstyrelsen
SOU, Alm.del - 2015-16 - Bilag 90: Orientering om evalueringen af Overgrebspakken, fra social- og indenrigsministeren
1574837_0080.png
Figur 42. Antal børnehussager fordelt på varighed af opstarten og børnehuse
(procent), 2014
45%
40%
35%
30%
25%
Procent
20%
15%
10%
5%
0%
0
1
2
3
4
5
6
7
8
9 10 11 12 13 14 15 16 17 18 19 20+
Antal uger
Børnehus Hovedstaden
Børnehus Syd
Børenhus Sjælland
Børnehus Nord
Børnehus Midt
Kilde:
Børnehus IT.
N:
687. Et mindre antal sager har en dato for første sagssamråd, der ligger
før oprettelsesdatoen, hvorfor disse ikke er medtaget i denne opgørelse. I denne opgørelse er
medtaget både afsluttede og aktive sager, hvor der er registreret mindst ét sagssamråd.
Note:
Nul uger angiver, at det første sagssamråd afholdes på samme dag, som sagen er oprettet.
Det fremgår af figuren, at Børnehus Syd adskiller sig betydeligt fra de øvrige
børnehuse. I Børnehus Syd afholdes første sagssamråd i en tredjedel af sa-
gerne på samme dag, som sagen er oprettet. Mens dette kun finder sted i
ganske få sager i de øvrige børnehuse. Det virker usandsynligt, at det i så
mange tilfælde skulle kunne være muligt at samle samtlige relevante myndig-
heder til sagssamråd samme dag, som sagen blev oprettet, hvorfor forskellen
mellem Børnehus Syd og de øvrige børnehuse kunne tænkes at skyldes en
forskel i registreringspraksis i dokumentationssystemet.
Der er også en vis indbyrdes forskel i opstarten af sagerne mellem de øvrige
børnehuse. I Børnehus Nord er 40 procent af sagerne således opstartet in-
denfor en uge, mens samme andel er 29 procent i Børnehus Sjælland.
For alle børnehusene gælder dog, at mindst 65 procent af sagerne er opstar-
tet indenfor tre uger efter oprettelsen.
Varighed af sagsforløbet
Nedenstående figur viser den registrerede varighed af sagsforløbet ved bør-
nehusene opgjort på baggrund af data fra Børnehus IT.
80
Erfaringsopsamling af børnehusene
Socialstyrelsen
SOU, Alm.del - 2015-16 - Bilag 90: Orientering om evalueringen af Overgrebspakken, fra social- og indenrigsministeren
1574837_0081.png
Figur 43. Antal børnehussager fordelt på registreret varighed af sagsforløbet (pro-
cent), 2014
25%
20%
Procent
15%
10%
5%
0%
0
1
2
3
4
5
6
7
8
9
10
11
12
13
Antal måneder
Kilde:
Børnehus IT.
N:
835. I denne opgørelse er udelukkende medtaget afsluttede sager.
Note:
En måned er opgjort til 30 dage.
Den gennemsnitlige varighed af sagerne ved børnehusene er 104 dage (sva-
rende til 3,5 måneder), hvis det antages, at en måned varer 30 dage.
Som ovenstående figur viser, dækker dette dog over en betydelig variation
mellem de enkelte sager. 22 procent af sagerne i børnehusene afsluttes så-
ledes indenfor to måneder, 45 procent varer 3-4 måneder, 25 procent varer
5-6 måneder, og otte procent varer mere end seks måneder.
Der kan naturligvis være mange forklaringer på den observerede variation i
varigheden af sager. Komplekse sager må alt andet lige forventes at tage
længere tid at behandle end lettere sager, og det kan også tænkes, at en sag
kan trække ud, fordi børnehusene afventer aktiviteter eller resultater udført af
andre myndigheder. Ydermere kan børnehusene have udfærdiget deres ud-
redning og overleveret denne til kommunen, inden sagen registreres som af-
sluttet i Børnehus IT.
Det skal dog bemærkes, at enkelte kommunale medarbejdere har udtrykt i de
gennemførte interview, at de har oplevet, at nogle børnehussager trækker
ud, i forhold til at overholde fristen for færdiggørelsen af § 50-undersøgelsen.
I bilag G er vedlagt en oversigt over varigheden af børnehussagerne for hen-
holdsvis sager om seksuelle og voldelige overgreb mod børn og unge, jf. fi-
gur 73. Heraf fremgår det, at der ikke umiddelbart er forskel på varigheden af
de to typer af sager figur 44 viser forskellen i varigheden af sagerne mellem
de fem børnehuse.
81
Erfaringsopsamling af børnehusene
Socialstyrelsen
SOU, Alm.del - 2015-16 - Bilag 90: Orientering om evalueringen af Overgrebspakken, fra social- og indenrigsministeren
1574837_0082.png
Figur 44. Antal børnehussager fordelt på registreret varighed af sagsforløbet
og børnehuse (procent), 2014
35%
30%
25%
20%
Procent
15%
10%
5%
0%
0
1
2
3
4
5
6
7
8
9
10
11
12
13
Antal måneder
Børnehus Hovedstaden
Børnehus Syd
Børenhus Sjælland
Børnehus Nord
Børnehus Midt
Kilde:
Børnehus IT.
N:
835. I denne opgørelse er udelukkende medtaget afsluttede sager.
Note:
En måned er opgjort til 30 dage.
Som figuren viser, er der en del forskelle på den registrerede varighed af sa-
gerne mellem de fem børnehuse.
I Børnehus Hovedstaden og Børnehus Sjælland registreres henholdsvis 10
og 15 procent af sagerne som afsluttet indenfor en måned, mens samme an-
del udgør omkring fem procent i de øvrige børnehuse.
I Børnehus Sjælland registreres 82 procent af sagerne som afsluttet indenfor
fire måneder, mens det samme gælder for 56-68 procent af sagerne i de øv-
rige børnehuse.
Igen skal det bemærkes, at der kan være mange mulige forklaringer på for-
skellene i varigheden af sagerne i de fem børnehuse. Det kan tænkes, at de
observerede forskelle skyldes forskelle i sammensætningen af sager mellem
børnehusene. Nogle børnehuse har muligvis flere mere komplekse sager
end andre. Ydermere kan de observerede forskelle også skyldes forskelle i
registreringspraksis på tværs af børnehusene.
I bilag G er vedlagt en figur, der viser sammenhængen mellem antallet af ind-
satser per sag og varigheden af sagsforløbet, jf. figur 74. Heraf fremgår det,
at der kan ses en vis tendens til, at varigheden af sagsforløbet stiger i takt
med, at antallet af indsatser per sag stiger. Det skal dog bemærkes, at antal-
let af sager, hvor der er blevet leveret mange indsatser er ganske lavt, hvor-
for ovenstående observation skal betragtes med en vis forsigtighed.
82
Erfaringsopsamling af børnehusene
Socialstyrelsen
SOU, Alm.del - 2015-16 - Bilag 90: Orientering om evalueringen af Overgrebspakken, fra social- og indenrigsministeren
1574837_0083.png
5.3.
Overlevering og myndighedsansvar
Ansvarsfordelingen mellem kommuner og børnehuse er fastlagt i bekendtgø-
relsen for børnehusene, der angiver, at børnehusene skal
”bidrage til den
børnefaglige undersøgelse”
i sager indenfor målgruppen
15
.
Når børnehusene har koordineret og bidraget til undersøgelsen i en sag, skal
resultaterne således overleveres til kommunen som bidrag til myndighedens
børnefaglige undersøgelse. Dette sker typisk gennem en kombination af et
afsluttende sagssamråd, hvor børnehusenes samlede vurdering fremlægges
og drøftes, og en skriftlig afrapportering af resultaterne af undersøgelsesfor-
løbet.
Samtidig fremgår det af bekendtgørelsen, at det er
”barnets eller den unges
handlekommune, der har myndighedsansvaret under hele forløbet.”
16
Både
kommuner og børnehuse oplever generelt denne ansvarsfordeling som rela-
tivt klar, og de fleste ledere og medarbejdere i kommunerne oplever, at bør-
nehusene er bevidste om skillelinjen mellem børnehusenes undersøgelses-
ansvar og kommunernes myndighedsansvar, og det er ligeledes oplevelsen,
at børnehusene i vidt omfang lever op til deres ansvar for at bidrage til kom-
munernes børnefaglige undersøgelse med den viden, de selv får gennem det
undersøgelsesforløb, der finder sted i børnehusene.
Netop i forbindelse med afrundingen af børnehusforløbet og den overlevering
af viden, der finder sted i denne del af processen, kan der dog i nogle tilfælde
opstå udfordringer.
Både i spørgeskemabesvarelserne fra kommunerne og i de opfølgende kvali-
tative interview har enkelte medarbejdere fra kommunerne peget på, at de til
tider oplever, at børnehusene træder ind på myndighedens område ved at
pege på konkrete indsatser eller foranstaltninger, som de mener bør igang-
sættes for børnene/de unge. Kommunerne oplever det især som et problem,
hvis børnehusene deler disse anbefalinger med barnet/den unge og familien,
der i så fald kan få stillet noget i udsigt, som kommunen ikke nødvendigvis
kan bevilge.
”Jeg kunne ønske, at
man [børnehuset] ikke
tilbød børn ting, som
vi ikke nødvendigvis
kan bevilge.”
Medarbejder i en kommune
Den kvalitative erfaringsopsamling indikerer samtidig, at der er meget stor
forskel på kommunernes såvel som de individuelle medarbejderes holdning
til afgræsningen af børnehusenes ansvar i forhold til myndigheden.
Nogle foretrækker, at børnehusene alene afdækker og beskriver barnets/den
unges udækkede behov og dermed overlader det til myndighedssagsbe-
handleren, der har kendskab til familiens samlede situation og kommunens
tilbudsvifte, at anbefale indsatser.
15
Bekendtgørelse om børnehuse § 1, stk. 1. Kilde: https://www.retsinforma-
tion.dk/Forms/R0710.aspx?id=158447
16
Bekendtgørelse om børnehuse § 1, stk. 1. Kilde: https://www.retsinforma-
tion.dk/Forms/R0710.aspx?id=158447
83
Erfaringsopsamling af børnehusene
Socialstyrelsen
SOU, Alm.del - 2015-16 - Bilag 90: Orientering om evalueringen af Overgrebspakken, fra social- og indenrigsministeren
1574837_0084.png
”Det er rart, at
børnehuset kommer
med anbefalinger til
indsatser. Nogle
gange kender de
familien bedst, hvis
det er en helt ny sag.
Det er jo
myndigheden, der
bestemmer i sidste
ende.”
Medarbejder i en kommune
Andre ønsker, at børnehusene går væsentlig længere ved at anbefale kon-
krete indsatstyper eller i nogle tilfælde specifikke tilbud. Disse medarbejdere
anfører typisk, at børnehusets rapport kun udgør et af flere input til den sam-
lede undersøgelse, og at myndighedsrådgiveren ud fra sin helhedsoriente-
rede viden om familien godt kan anbefale tildeling af andre indsatser end
børnehuset. Flere af disse medarbejdere oplever dog, at de typisk er helt
enige i børnehusets anbefalinger, der i et vist omfang baserer sig på den for-
udgående dialog på samrådene, hvilket kan være en medvirkende årsag til,
at de ikke oplever børnehusets konkrete anbefalinger som problematiske.
Erfaringsopsamlingen indikerer derfor også, at det vigtigste for mange kom-
muner er, at der foretages en forventningsafstemning med børnehusene om,
hvad der bør være indeholdt i deres endelige afrapportering på forløbet, hvil-
ket de fleste steder også har fundet sted.
Flere steder har man valgt en løsning, hvor børnehusenes medarbejdere i
den mundtlige dialog med myndighedsrådgiveren kan give anbefalinger til re-
levante indsatstyper, mens selve den skriftlige vurdering alene beskriver bar-
nets/den unges situation og behov i forhold til overgrebsproblematikken.
5.4.
”Finansieringen af
eventuelle køb af
relaterede ydelser sker
ved særskilt afregning
mellem
driftskommunen og
køber. Køber skal
betale de faktiske
omkostninger
forbundet med
ydelserne.”
Bekendtgørelse om
børnehuse § 5, stk. 6
Tilkøbsydelser
Bekendtgørelsen for børnehusene og kvalitetstandarderne giver mulighed
for, at driftskommunerne i regi af børnehusene kan udbyde tilkøbsydelser,
der ligger udover den indsats, der ydes i forbindelse med børnehussager
17
.
Disse ydelser kan bestå af både yderligere undersøgelsesaktiviteter som for
eksempel forældreressourceundersøgelser, der omfatter psykologiske under-
søgelser, og længerevarende egentlige behandlingsforløb for børn/unge og
forældre.
Driftskommunerne gør i begrænset omfang brug af muligheden for at tilbyde
tilkøbsydelser i forbindelse med børnehusforløb. I flere af børnehusene for-
ventes det, at der igangsættes undersøgelser af mulighederne for at udbyde
udvalgte tilkøbsydelser, når arbejdet med udviklingen af børnehusets kerne-
ydelser er endeligt på plads, og kommunernes efterspørgsel efter denne type
ydelser er afsøgt nærmere.
Det begrænsede udbud af tilkøbsydelser afspejles i interviewene med ledere
og medarbejdere i kommunerne. Kommunerne er generelt ikke bevidste om
muligheden for at tilkøbe ydelser i børnehuset og efterspørger typisk heller
ikke aktivt disse ydelser. I en del interview anføres det samtidig, at det kunne
være hensigtsmæssigt, om børnehuset kunne varetage samtaleforløb udover
de 6-8 samtaler, der normalt indgår i krisestøtteforløbene. På denne måde
17
Socialstyrelsen: Kvalitetsstandarder for børnehusene i Danmark, september 2013 og Be-
kendtgørelsen om børnehuse § 5, stk. 6. Kilder:
http://www.socialstyrelsen.dk/born-og-
unge/overgreb/boernehuse/kvalitetsstandarder
og https://www.retsinforma-
tion.dk/Forms/R0710.aspx?id=158447
84
Erfaringsopsamling af børnehusene
Socialstyrelsen
SOU, Alm.del - 2015-16 - Bilag 90: Orientering om evalueringen af Overgrebspakken, fra social- og indenrigsministeren
1574837_0085.png
kunne det undgås, at børn eller unge, der har behov for et længere forløb,
skal skifte behandler, når børnehussagen afsluttes.
En stor del af de interviewede medarbejdere vurderer dog, at der skal være
tale om ganske særlige forhold i sagen, for at kommunen vil anvende børne-
huset som leverandør af disse ydelser, idet mange kommuner arbejder efter
et princip om, at de psykologer, der er tilknyttet kommunen, i udgangspunktet
skal anvendes til denne type behandlingsforløb.
Der fremhæves to årsager til, at kommunerne i enkelte tilfælde kunne have
behov for at bruge børnehuset fremfor deres egen leverandør. For det første
kunne det være tilfældet, hvis der var behov for en hurtig igangsættelse af
behandlingen, og den kommunale leverandør ikke kunne imødekomme
dette. For det andet kunne der være tale om en sag, hvor der var behov for
nogle helt særlige kompetencer. Generelt er oplevelsen i kommunerne dog,
at deres egne psykologer er kvalificeret til at tage sig af sagerne.
Børnehusenes ledere forholder sig generelt positivt til muligheden for at
driftskommunerne tilbyder tilkøbsydelser i børnehusene. Én børnehusleder
anfører, at det måske vil kunne bidrage til medarbejderfastholdelsen, hvis
psykologerne i børnehusene får mulighed for også at gennemføre egentlige
behandlingsforløb.
5.5.
Konklusion – Sagsforløbet i
børnehusene
Kapitlet afdækker kommunernes oplevelser af samarbejdet med børnehu-
sene som led i §50-undersøgelsen, jf. opdraget. Faserne i sagsforløbet er
beskrevet i kvalitetsstandarderne for børnehusene, og den gennemførte ana-
lyse er struktureret i forhold til disse.
Samlet set tegner der sig et billede af, at langt de fleste involverede aktører
oplever børnehusforløbene som velfungerende, og at børnehusene varetager
deres opgaver i forbindelse med sager om overgreb mod børn og unge på en
hensigtsmæssig måde. Erfaringsopsamlingen identificerer samtidig en række
udfordringer i processen, der har betydning for samarbejdet og håndteringen
af sager om overgreb mod børn og unge.
For det første opleves det blandt nogle medarbejdere i børnehusene og i
sundhedsvæsenet, at ikke alle sager i målgruppen rent faktisk ender i et bør-
nehusforløb, og nogle medarbejdere i kommunerne oplever ligeledes, at mål-
gruppekriterierne giver plads til gråzoner, når de skal anvendes i praksis.
For det andet opleves der til tiden en lang sagshåndteringstid enkelte steder i
processen, der kan vanskeliggøre blandt andet overholdelsen af tidsfrister.
For det tredje er der i nogle tilfælde uklarhed om, hvor langt børnehusene
skal gå i deres vurdering af sagerne i forbindelse med deres afrunding af sa-
gen med kommuner og familier.
85
Erfaringsopsamling af børnehusene
Socialstyrelsen
SOU, Alm.del - 2015-16 - Bilag 90: Orientering om evalueringen af Overgrebspakken, fra social- og indenrigsministeren
1574837_0086.png
6. Det tværsektorielle
samarbejde
Det tværsektorielle samarbejde udgør en væsentlig del af
formålet med etableringen af børnehusene. I dette kapital
analyseres derfor oplevelsen af det tværsektorielle samar-
bejde i børnehusene blandt de involverede aktører.
En vigtig del af formålet med oprettelsen af børnehusene er at inddrage de
relevante myndigheder og fagpersoner i sager om overgreb mod børn og
unge, så der kan udveksles oplysninger mellem myndighederne. Hensigten
er blandt andet at sikre, at der skabes et fælles videngrundlag i sagerne og
dermed kan ydes en koordineret indsats, der sikrer et skånsomt forløb for
barnet/den unge.
Det fremgår eksplicit af opdraget for erfaringsopsamlingen, at der skal sættes
særligt fokus på at belyse aktørernes erfaringer med det tværsektorielle sam-
arbejde i børnehusene.
I dette kapitel analyseres derfor erfaringerne med samarbejdet mellem kom-
mune, politi og sundhedsvæsenet i børnehusene. Kapitlet er baseret på en
kombination af data fra de kvalitative interview, spørgeskemaundersøgel-
serne, fokusgrupperne samt Børnehus IT.
Det tværsektorielle samarbejde mellem kommune, politi og sundhedsvæse-
net er hovedsagelig centreret omkring sagssamrådene, hvor konkrete sager
om overgreb mod børn og unge behandles. Derudover foregår samarbejdet
mellem de forskellige sektorer i og omkring børnehusene i forbindelse med
børnehussamråd, temadage og øvrige mødeaktiviteter afholdt af børnehu-
sene samt gennem uformel sparring og dialog.
Børnehussamrådene samler lige som sagssamrådene de relevante fagper-
soner, som er involveret i børnehussamarbejdet. På børnehussamrådene
drøftes opmærksomhedspunkter i det løbende tværsektorielle samarbejde i
børnehusene. På børnehusenes temadage deltager kontaktpersonerne fra
kommunernes myndigheder, og temadagene skal således sikre videns- og
erfaringsudveksling mellem kommunerne og børnehuset.
Det er generelt oplevelsen blandt de adspurgte myndigheder og fagpersoner,
der deltager i det tværsektorielle samarbejde, at samarbejdet er velfunge-
rende, og at det skaber stor værdi for både de involverede myndigheder og
de implicerede børn.
86
Erfaringsopsamling af børnehusene
Socialstyrelsen
SOU, Alm.del - 2015-16 - Bilag 90: Orientering om evalueringen af Overgrebspakken, fra social- og indenrigsministeren
1574837_0087.png
På baggrund af erfaringerne fra de gennemførte interview og fokusgrupper
kan der tegnes følgende værdikæde for det tværsektorielle samarbejde i bør-
nehusene.
Figur 45. Værdikæde for det tværsektorielle samarbejde
Fælles
videngrundlag
1
2
Det
tværsektorielle
samarbejde
1
Personlig
kontakt
2
Det
tværsektorielle
samarbejde
1
2
Kendskab til
metoder
Det tværsektorielle samarbejde i børnehusene skaber således værdi i to trin.
Som konsekvens af at samtlige relevante myndigheder og fagpersoner mø-
des og udveksler oplysninger i forbindelse med sager om overgreb mod børn
og unge, skabes der potentielt tre gevinster hos de involverede myndigheder:
For det første opbygges der et fælles videngrundlag mellem myndigheder
i den konkrete sag.
For det andet opnår de involverede parter en personlig kontakt, der styr-
ker og letter samarbejdet.
For det tredje opnår de medarbejdere, der deltager i det tværsektorielle
samarbejde, øget kendskab til de metoder og problemstillinger, der er væ-
sentlige for de øvrige sektorer.
Disse tre potentielle gevinster for de involverede myndigheder fører tilsam-
men til, at det enkelte barn/den enkelte unge oplever en mere skånsom ind-
sats i den konkrete sag.
Det skal bemærkes, at ovenstående er en beskrivelse af,
hvordan
de perso-
ner, der har deltaget i erfaringsopsamlingen, beskriver værdiskabelsen ved
det tværsektorielle samarbejde, og er ikke nødvendigvis et udtryk for, at dette
finder sted i
samtlige
sager i børnehusene.
I den efterfølgende analyse af det tværsektorielle samarbejde fokuseres først
på de involverede myndigheders og fagpersoners oplevelse af sagssamrå-
dene. Herefter analyseres de involverede personers oplevelse af de øvrige
aktiviteter, der foregår i og omkring børnehusene.
6.1.
Sagssamråd
Sagssamrådene er centrale for, at børnehusene kan varetage den koordine-
rende indsats mellem de forskellige relevante aktører i sager om overgreb
87
Erfaringsopsamling af børnehusene
Socialstyrelsen
SOU, Alm.del - 2015-16 - Bilag 90: Orientering om evalueringen af Overgrebspakken, fra social- og indenrigsministeren
1574837_0088.png
mod børn og unge. I sagssamrådene skal de involverede myndigheder og
fagpersoner således bringes sammen, og relevante oplysninger skal udveks-
les mellem myndighederne. Formålet er, at der kan ydes en koordineret og
skånsom indsats, der belaster barnet/den unge mindst muligt.
I det efterfølgende afsnit analyseres derfor, om sagssamrådene medvirker til
at skabe øget personlig kontakt mellem de involverede myndigheder og fag-
personer.
Herefter analyseres, om sagssamrådene bevirker, at der opbygges et større
fælles videngrundlag i de enkelte sager gennem en større grad af udveksling
af oplysninger på tværs af de involverede myndigheder.
Dernæst analyseres aktørernes oplevelse af, om sagssamrådene giver dem
et større tværsektorielt kendskab, og til sidst beskrives, om sagssamrådene
samlet set bidrager til en bedre og mere skånsom indsats overfor det enkelte
barn/den enkelte unge.
Øget personlig kontakt
Der er gennemført næsten 1.100 sagssamråd i børnehusene i kalenderåret
2014. På baggrund af Børnehus IT er det muligt at opgøre den konkrete ind-
dragelse af medarbejdere fra henholdsvis kommuner, politi og sundhedsvæ-
senet i de afholdte sagssamråd.
Figur 46 viser således antallet af sagssamråd med deltagelse af repræsen-
tanter fra henholdsvis kommuner, politi og sundhedssektor.
Figur 46. Antal sagssamråd fordelt på deltagende myndigheder, 2014
Kommune
37%
Kommune og politi
39%
Kommune og børnelæge
1%
Kommune, politi og børnelæge
15%
Andre deltagere og/eller
andre kombinationer
7%
Kilde:
Børnehus IT.
N:
1.096.
Note:
Andre deltagere kan for eksempel være barnet/den unge,
pårørende og personale fra bo- eller opholdssteder. Grundet afrundinger af decimalerne summer
de angivne procenter ikke til 100.
Som det fremgår af figuren, bliver 39 procent af sagssamrådene afholdt med
deltagelse af repræsentanter fra kommune og politi. Et mindre antal (1 pro-
cent) afholdes mellem kommune og børnelæge, og børnehusene har samlet
88
Erfaringsopsamling af børnehusene
Socialstyrelsen
SOU, Alm.del - 2015-16 - Bilag 90: Orientering om evalueringen af Overgrebspakken, fra social- og indenrigsministeren
1574837_0089.png
set afholdt 235 sagssamråd (svarende til 15 procent), hvor alle tre myndighe-
der har været repræsenteret.
Som nedenstående figur viser, dækker dette dog over ganske tydelige for-
skelle i sammensætningen af sagssamrådene på tværs af børnehusene.
Figur 47. Antal sagssamråd fordelt på deltagende myndigheder og børne-
huse, 2014
Børnehus Hovedstaden
(n: 338)
Børnehus Midt
(n: 110)
Børnehus Nord
(n: 150)
Børnehus Sjælland
(n: 143)
Børnehus Syd
(n: 355)
0%
Kommune
Kommune, politi og
børnelæge
10%
3%
18%
20%
40%
Procent
Kommune og politi
Andre deltagere og/eller
andre kombinationer
Kommune og
børnelæge
25%
41%
83%
70%
60%
80%
71%
36%
6%
43%
20%
20%
4%4%
13%
5% 10%
3%
2% 9%
100%
Kilde:
Børnehus IT.
Note:
Andre deltagere kan for eksempel være barnet/den unge, pårørende
og personale fra bo- eller opholdssteder.
Der forekommer umiddelbart ikke at være noget gennemgående mønster i,
hvilke aktører der deltager i sagssamrådene på tværs af børnehusene.
I Børnehus Hovedstaden deltager i overvejende grad (71 procent) alene
medarbejdere fra kommunerne i sagssamrådene. I Børnehus Midt og Børne-
hus Nord er der en relativt ligelig fordeling af sagssamråd afholdt med medar-
bejdere fra kommunerne alene og sagssamråd afholdt med medarbejdere fra
kommuner og politi. På 83 procent af sagssamrådene i Børnehus Sjælland
deltager både kommune, politi og børnelæge, og også i Børnehus Syd delta-
ger kommune og politi i hovedparten af sagerne (70 procent).
De observerede forskelle kan enten skyldes forskelle i registreringspraksis
mellem børnehusene, eller de kan afspejle, at børnehusene i stærkt varie-
rende grad inddrager de forskellige aktører i det tværsektorielle samarbejde.
I det efterfølgende undersøges oplevelsen blandt de deltagende personer af,
om de relevante myndigheder deltager i sagssamrådene.
Nedenstående figur viser således de adspurgte medarbejderes vurdering af,
om børnehusene sikrer, at samtlige relevante myndigheder og fagpersoner
deltager i sagssamrådene. Der er udelukkende medtaget besvarelser fra
medarbejdere, der har angivet, at de har deltaget i mindst ét sagssamråd.
89
Erfaringsopsamling af børnehusene
Socialstyrelsen
SOU, Alm.del - 2015-16 - Bilag 90: Orientering om evalueringen af Overgrebspakken, fra social- og indenrigsministeren
1574837_0090.png
Figur 48. Deltager samtlige relevante myndigheder i sagssamrådene?
Kommuner
(n: 74)
65%
22%
8%
4%
Politi
(n: 56)
80%
20%
0%
Børnehuse
(n: 29)
66%
34%
0%
I høj grad
20%
I nogen grad
40%
60%
80%
Slet ikke
100%
Ved ikke
Procent
Hverken eller
I mindre grad
Kilde:
Spørgeskemaundersøgelse blandt kommuner, politikredse og børnehuse.
Note:
I opgø-
relsen indgår udelukkende personer, der har angivet, at de har deltaget i et eller flere sagssam-
råd i børnehusene.
Både blandt kommunerne, politiet og børnehusene selv er der en klar ople-
velse af, at relevante myndigheder og fagpersoner deltager i sagssamrå-
dene. Således angiver mellem 65 og 80 procent af de deltagende personer,
at dette i høj grad er tilfældet, og ingen angiver, at dette slet ikke et tilfældet.
På baggrund af de gennemførte interview og fokusgrupper med disse aktører
er det ligeledes konklusionen, at børnehusene formår at samle de relevante
myndigheder omkring det tværsektorielle samarbejde.
Også blandt medarbejderne i sundhedsvæsenet er oplevelsen, at samrådene
generelt samler de relevante myndigheder.
Der er dog flere børnelæger, der fremhæver, at de godt kunne tænke sig, at
børnelægerne og i et vist omfang også retsmedicinerne i højere grad blev
inddraget i flere sager og også gerne i sager, hvor der ikke er blevet foretaget
en lægelig undersøgelse af barnet/den unge. Det pointeres, at det sundheds-
faglige personale vil kunne bidrage med generelle perspektiver på sundhed
og trivsel, der kan være relevante i udredningen af sager om overgreb mod
børn og unge.
Der fremhæves dog også en række barrierer for øget inddragelse af sund-
hedsvæsenet i børnehusene. Blandt retsmedicinerne nævnes det som en
barriere for øget inddragelse, at de udelukkende kan blive rekvireret af poli-
tiet og ikke direkte af kommunen, og blandt børnelægerne opleves det som
en udfordring, at de ikke selv kan henvise sager til børnehusene, men i ste-
det skal afvente, at kommunen starter en sag.
Fælles for både børnelæger og retsmedicinere er, at transporttiden og plan-
lægningen af samarbejdet med børnehusene opleves som en udfordring. Det
90
Erfaringsopsamling af børnehusene
Socialstyrelsen
SOU, Alm.del - 2015-16 - Bilag 90: Orientering om evalueringen af Overgrebspakken, fra social- og indenrigsministeren
1574837_0091.png
opleves således som vanskeligt at afsætte yderligere tid til samarbejdet. Her-
udover oplever de, at regionerne ikke har fået tilstrækkelige ressourcer til at
prioritere samarbejdet i børnehusene.
Som tidligere nævnt er der enkelte steder blevet etableret faste mødedage
for medarbejderne i sundhedsvæsenet i børnehusene. Dette opleves gene-
relt som en god løsning på praktikken omkring inddragelsen.
”Det er nyttigt, når
man har haft
øjenkontakt. Det giver
en bedre forståelse.”
Børnelæge
Blandt alle tre sektorer, der indgår i det tværsektorielle samarbejde i børne-
husene, går det igen, at den personlige kontakt og relation, der skabes mel-
lem repræsentanterne fra de forskellige myndigheder i det tværsektorielle
samarbejde, opleves som særdeles positiv og givende.
En retsmediciner fremhæver for eksempel, at det tværsektorielle samarbejde
forkorter kommunikationsvejene til de andre sektorer, i kraft af at der bliver
etableret personlige kontakter mellem myndighederne, og at den personlige
kontakt bevirker, at småproblemer kan ryddes af vejen med det samme.
Erfaringsopsamlingen viser således, at der er en oplevelse blandt aktørerne
af, at de relevante myndigheder og fagpersoner generelt deltager i sagssam-
rådene, og at dette medfører en øget personlig kontakt mellem aktørerne, der
opleves som særdeles værdifuld. Sundhedsvæsenet inddrages mindst i det
tværsektorielle samarbejde og vurderer selv, at der er et potentiale ved en
større inddragelse. Det er dog også identificeret en række barrierer for yderli-
gere inddragelse af sundhedsvæsenet i børnehusene.
Større fælles videngrundlag
Som beskrevet i kvalitetsstandarderne for børnehusene er en væsentlig del
af formålet med det tværsektorielle samarbejde i børnehusene, at der kan fo-
regå en udveksling af oplysninger på tværs af de involverede myndigheder,
der ikke tidligere har været muligt, og at der dermed kan skabes et større fæl-
les videngrundlag i de konkrete sager.
Det er en udbredt oplevelse blandt de adspurgte medarbejdere i både kom-
muner, politi og børnehuse, der har deltaget i mindst ét sagssamråd, at der
91
Erfaringsopsamling af børnehusene
Socialstyrelsen
SOU, Alm.del - 2015-16 - Bilag 90: Orientering om evalueringen af Overgrebspakken, fra social- og indenrigsministeren
1574837_0092.png
udveksles relevante oplysninger mellem myndighederne i sagssamrådene, jf.
nedenstående figur.
Figur 49. Udveksles der relevante oplysninger i sagssamrådene?
Kommuner (n: 74)
69%
23%
5%
Politi
(n: 56)
80%
16%
2%
Børnehuse (n: 29)
90%
10%
0%
I høj grad
10%
20%
30%
40%
50%
Procent
60%
70%
80%
90%
100%
I nogen grad
Hverken eller
I mindre grad
Slet ikke
Ved ikke
Kilde:
Spørgeskemaundersøgelse blandt kommuner, politikredse og børnehuse.
Note:
I opgø-
relsen indgår udelukkende personer, der har angivet, at de har deltaget i et eller flere sagssam-
råd i børnehusene.
Mellem 69 og 90 procent af medarbejderne fra henholdsvis kommuner, politi
og børnehuse angiver således, at der i høj grad udveksles oplysninger om
den pågældende sag mellem myndigheder og fagpersoner i sagssamrådene.
På baggrund af de gennemførte interview og fokusgrupper kan det ligeledes
konstateres, at det generelt er opfattelsen blandt de involverede myndighe-
der og fagpersoner, at sagssamrådene bidrager til en udveksling af oplysnin-
ger, der ikke tidligere har været mulig.
I denne forbindelse har børnehusene også en vigtig koordinerende rolle i for-
hold til at indkalde til møder, udarbejde dagsordner, agere mødeleder osv.,
så den fælles viden, der opbygges i sagssamrådene, også bliver dokumente-
ret og videreformidlet, så den kan anvendes i den videre behandling af den
pågældende sag.
Børnehuslederne påpeger selv, at de oplever, at det tværsektorielle samar-
bejde i børnehusene bidrager til, at der bliver tilvejebragt konkret viden i sa-
gerne, som de enkelte myndigheder og fagpersoner ellers ikke ville have fået
adgang til.
Samtidig kan børnehusene fungere, som en oversætter af de budskaber og
den viden, der bliver genereret hos de forskellige myndigheder.
”Børnehusene kan
sikre, at der sker en
oversættelse af, hvad
der bliver sagt fra de
forskellige involverede
[myndigheder], og de
forstår, hvad det
betyder for det
fremadrettede
arbejde.”
Børnehusleder
92
Erfaringsopsamling af børnehusene
Socialstyrelsen
SOU, Alm.del - 2015-16 - Bilag 90: Orientering om evalueringen af Overgrebspakken, fra social- og indenrigsministeren
1574837_0093.png
”Nogle kommunale
sagsbehandlere ved
ikke, at vi må
udveksle oplysninger.
[…] Det skyldes
måske, at de fleste
kommuner ikke har
faste sagsbehandlere
af disse sager.”
Medarbejder i politiet
Endelig fremhæves det, at der tidligere kunne gå information tabt mellem
sektorerne i sager om overgreb mod børn og unge, men at børnehusene er
med til at sikre, at dette ikke længere sker.
Der er dog enkelte medarbejdere i politiet, der angiver, at ikke alle medarbej-
dere i kommunerne er bekendt med mulighederne for at udveksle oplysnin-
ger i sager om overgreb om børn og unge, jf. citatet til venstre.
Bedre tværsektorielt kendskab
Især blandt medarbejderne i sundhedsvæsenet er det blevet fremhævet, at
det tværsektorielle samarbejde er med til at give den enkelte deltager et nyt-
tigt kendskab til de metoder, problemstillinger og perspektiver, der anvendes
og gør sig gældende i de øvrige sektorer.
Det påpeges for eksempel, at kendskabet til, hvordan politiet planlægger og
gennemfører efterforskningen, og hvilke informationer der i den forbindelse
er vigtige for dem, er nyttig viden for en børnelæge, når vedkommende skal
videreformidle resultaterne af en gennemført sundhedsfaglig udredning.
Det øgede kendskab til de øvrige sektorer muliggør således et øget fokus på
de aspekter, der er vigtige for de øvrige sektorer, og som letter formidlingen
på tværs af sektorer.
Under drøftelsen af det tværsektorielle samarbejde i de kvalitative interview
har medarbejderne fra politiet og kommunerne ikke i samme grad fremhævet
denne gevinst ved det tværsektorielle samarbejde. Det skyldes dog forment-
lig, at disse medarbejdere ikke har været opmærksomme på denne gevinst,
der forventelig vil være til stede for alle aktører.
En bedre og mere skånsom indsats
Nedenstående figur viser således aktørernes vurdering af, om sagssamrå-
dene er koordineret, så der ydes en skånsom indsats overfor barnet/den
unge. Der er udelukkende medtaget besvarelser fra medarbejdere, der har
angivet, at de har deltaget i mindst ét sagssamråd.
93
Erfaringsopsamling af børnehusene
Socialstyrelsen
SOU, Alm.del - 2015-16 - Bilag 90: Orientering om evalueringen af Overgrebspakken, fra social- og indenrigsministeren
1574837_0094.png
Figur 50. Koordineres forløbet i sagssamrådene, så der ydes en skånsom
indsats?
Kommuner
(n: 74)
54%
22%
15%
7% 3%
Politi
(n: 56)
63%
21%
4%
13%
Børnehuse
(n: 29)
52%
45%
3%
0%
I høj grad
10%
20%
30%
40%
50%
Procent
60%
70%
80%
90%
100%
I nogen grad
Hverken eller
I mindre grad
Slet ikke
Ved ikke
Kilde:
Spørgeskemaundersøgelse blandt kommuner, politikredse og børnehuse.
Note:
I opgø-
relsen indgår udelukkende personer, der har angivet, at de har deltaget i et eller flere sagssam-
råd i børnehusene.
Som det fremgår af figuren, er det den generelle oplevelse blandt de ad-
spurgte medarbejdere i både kommunerne, politiet og børnehusene, at sags-
samrådene medfører, at der ydes en skånsom indsats. Lidt over halvdelen af
respondenterne indenfor hver målgruppe angiver således, at dette i høj grad
er tilfældet.
Der er dog også nogle medarbejdere – særligt fra kommunerne – der udtryk-
ker en større grad af skepsis. 15 procent af medarbejderne fra kommunerne
besvarer således spørgsmålet med hverken eller, og syv procent svarer i
mindre grad.
Denne observation underbygges af de gennemførte interview, hvor enkelte
medarbejdere i kommunerne angiver, at oprettelsen af børnehusene ikke
som ønsket har medført, at børnene kun skal fortælle deres historie én gang,
og at sagssamrådene dermed ikke har medvirket til en mere skånsom ind-
sats.
Det skal dog bemærkes, at ovenstående er udtryk for vurderingen blandt et
mindre antal medarbejdere, og at sagssamrådene i overvejende grad ople-
ves som skånsomme for barnet/den unge.
”Ét barn = én sag
fremfor fire sager.”
Børnehusleder
Centralt for oplevelsen af værdien af det tværsektorielle samarbejde for bar-
net/den unge er, at vedkommende skal opleve et samlet forløb forankret i
børnehuset, hvor de forskellige myndigheder møder barnet/den unge i de
samme omgivelser, fremfor flere forskellige forløb hos forskellige myndighe-
der.
Særligt børnehuslederne fremhæver, at det er deres oplevelse, at den fælles
tilgang til barnet/den unge leder til mindre frustration hos børnene/de unge.
Ydermere påpeges det, at børnene/de unge bliver mere rolige og trygge af at
94
Erfaringsopsamling af børnehusene
Socialstyrelsen
SOU, Alm.del - 2015-16 - Bilag 90: Orientering om evalueringen af Overgrebspakken, fra social- og indenrigsministeren
1574837_0095.png
opleve, at de voksne, der indgår i forløbet omkring sagen, kender hinanden
og arbejder sammen. Den koordinerende indsats i børnehusene kan også
være med til at forkorte det samlede sagsforløb for det enkelte barn/den en-
kelte unge, så barnet/den unge for eksempel ikke skal vente på at blive af-
hørt eller modtage en krisesamtale.
”Børnehusets
involvering virker i
overvejende grad
overflødigt, da den
koordinerende
sagsbehandler
allerede er vant til at
samle trådene og
involvere alle
relevante parter i
sager om overgreb.”
Medarbejder i en kommune
Der er dog også enkelte medarbejdere fra kommunerne, der nævner nega-
tive oplevelser omkring det tværsektorielle samarbejde, for eksempel at bør-
nehusenes medarbejdere ikke har afklaret dagsordenen indbyrdes inden et
sagssamråd, eller at børnehusenes medarbejdere ikke opleves at have ud-
vist tilstrækkelig interesse for at få frembragt samtlige relevante oplysninger i
en given sag.
Samlet set kan det dog konstateres, at det tværsektorielle samarbejde gene-
relt opleves som velfungerende. Og kun ganske få af de interviewede medar-
bejdere giver udtryk for, at børnehusene ikke samlet set leverer værdi for
børn/unge eller myndigheder.
6.2.
Øvrige tværsektorielle aktiviteter
Der foregår også en række andre aktiviteter i børnehusene med henblik på at
styrke og understøtte det tværsektorielle samarbejde: hovedsagelig børne-
hussamrådene og de temadage, der afholdes af børnehusene.
Børnehussamråd
Børnehusene afholder faste børnehussamråd med de involverede fagperso-
ner. Det er hensigten med disse møder at udvikle og fastholde den tværsek-
torielle ekspertise i sager om overgreb mod børn og unge. I børnehussamrå-
dene deltager repræsentanter fra politiet og sundhedsvæsenet (børnelæger
og retsmedicinere). Formålet med møderne er at dele erfaringer og opmærk-
somhedspunkter i forhold til både verserende sager og afsluttede sager. Til
forskel fra sagssamrådene er fokus således ikke på én konkret sag i børne-
huset.
18
Figur 51 viser vurderingen af udbyttet af børnehussamrådene blandt de ad-
spurgte medarbejdere i politiet, der har deltaget i mindst ét børnehussamråd.
18
Socialstyrelsen: Kvalitetsstandarder for børnehusene i Danmark, september 2013.
95
Erfaringsopsamling af børnehusene
Socialstyrelsen
SOU, Alm.del - 2015-16 - Bilag 90: Orientering om evalueringen af Overgrebspakken, fra social- og indenrigsministeren
1574837_0096.png
Figur 51. Medvirker børnehussamrådene til at:
Styrke din viden ift. sager om
overgreb om børn
33%
33%
10%
14% 5%
5%
Forbedre samarbejdet
mellem de relevante myndigheder
52%
43%
5%
0%
20%
40%
60%
80%
100%
Procent
I høj grad
I nogen grad
Hverken eller
I mindre grad
Slet ikke
Ved ikke
Kilde:
Spørgeskemaundersøgelse blandt politikredse.
N:
21.
De adspurgte medarbejdere i politiet, der har deltaget i børnehussamråd,
vurderer generelt disse som udbytterige. En tredjedel af medarbejderne me-
ner således, at børnehussamrådene i høj grad styrker deres viden i forhold til
sager om overgreb mod børn og unge, mens en tredjedel mener, at børne-
hussamrådene i nogen grad styrker deres viden.
Over halvdelen af de adspurgte medarbejdere i politiet angiver, at børnehus-
samrådene i høj grad forbedrer samarbejdet mellem myndighederne og 43
procent mener, at dette i nogen grad er tilfældet.
Der er i de gennemførte interview med børnelæger og retsmedicinere ikke
peget på konkrete udviklingspunkter til børnehussamrådene.
Temadage afholdt af børnehusene
Af kvalitetsstandarderne for børnehusene fremgår det, at børnehusene skal
afholde to temadage om året med deltagelse af kontaktpersoner fra de kom-
muner, der benytter børnehusene. Formålet med temadagene er at sikre vi-
den- og erfaringsudveksling om arbejdet med sager om overgreb mod børn
og unge generelt.
19
Nedenstående figur viser vurderingen af udbyttet af temadagene blandt de
27 adspurgte kommunale medarbejdere, der har deltaget i børnehusenes te-
madage.
19
Socialstyrelsen: Kvalitetsstandarder for børnehusene i Danmark, september 2013.
96
Erfaringsopsamling af børnehusene
Socialstyrelsen
SOU, Alm.del - 2015-16 - Bilag 90: Orientering om evalueringen af Overgrebspakken, fra social- og indenrigsministeren
1574837_0097.png
Figur 52. Medvirker de temadage, som børnehusene har afholdt, til at:
Styrker viden ift. sager om
overgreb mod børn og unge
19%
56%
11% 4% 11%
Forbedre samarbejdet
mellem myndigheder
22%
26%
30%
11% 4% 7%
0%
I høj grad
I nogen grad
20%
Hverken eller
40%
Procent
60%
80%
Slet ikke
100%
Ved ikke
I mindre grad
Kilde:
Spørgeskemaundersøgelse blandt kommuner.
N:
27.
Som det fremgår, er medarbejderne i kommunerne generelt positive i forhold
til vurderingen af udbyttet af temdagene. 19 procent (svarende til fire medar-
bejdere) mener således, at temadagene i høj grad har styrket deres viden i
forhold til sager om overgreb mod børn og unge, og 56 procent (Svarende til
ni medarbejdere) mener, at deres viden i nogen grad er blevet styrket. Der er
dog også en mindre andel (4 procent), der har angivet, at temadagene i min-
dre grad har styrket deres viden i forhold til sager om overgreb mod børn og
unge.
De kommunale medarbejdere er ligeledes generelt positive i forhold til vurde-
ringen, om temadagene har medvirket til at forbedre samarbejdet mellem
myndighederne, omend der her er lidt flere (15 procent), der angiver, at te-
madagene i mindre grad eller slet ikke medvirker til at forbedre samarbejdet.
I de kvalitative interview har flere medarbejdere fra kommunerne eksplicit ef-
terspurgt flere tværkommunale arrangementer med fokus på videndeling om
arbejdet med sager om overgreb mod børn og unge. Dette kunne tyde på, at
der er potentiale for en udvidelse af børnehusenes temadage eller behov for
synliggørelse af de nuværende aktiviteter overfor medarbejderne i kommu-
nerne.
Samlet set oplever de involverede myndigheder de øvrige tværsektorielle ak-
tiviteter i børnehusene som udbytterige i forhold til at styrke viden og forbedre
samarbejdet mellem myndighederne.
Der er en tendens til, at børnehussamrådene i højere grad medvirker til at
forbedre samarbejdet mellem myndighederne, mens temadagene i højere
grad medvirker til at styrke de kommunale medarbejderes viden i forhold til
sager om overgreb mod børn og unge.
97
Erfaringsopsamling af børnehusene
Socialstyrelsen
SOU, Alm.del - 2015-16 - Bilag 90: Orientering om evalueringen af Overgrebspakken, fra social- og indenrigsministeren
1574837_0098.png
6.3.
Konklusion – Det tværsektorielle
samarbejde
Aktørernes erfaringer med det tværsektorielle samarbejde i børnehusene ind-
går som en væsentlig del af opdraget for erfaringsopsamlingen. Samarbejdet
mellem kommune, politi og sundhedsvæsenet i børnehusene er derfor blevet
belyst i dette kapitel ud fra de involverede aktørers erfaringer.
Samlet set viser erfaringsopsamlingen, at det tværsektorielle samarbejde i
børnehusene generelt er velfungerende, og det opleves, at der skabes værdi
for både myndigheder og barnet/den unge.
Analysen af sagssamrådene har vist, at disse i vid udstrækning opleves at in-
volvere samtlige relevante myndigheder, at der foregår en høj grad af ud-
veksling af oplysninger i sagssamrådene, og at sagssamrådene generelt
medvirker til, at der ydes en skånsom indsats overfor barnet/den unge.
Analysen har dog også vist, at der er betydelige forskelle på, i hvilket omfang
børnehusene inddrager de forskellige myndigheder i sagssamrådene. Yder-
mere peger analysen på et potentiale ved en øget inddragelse af børnelæger
og retsmedicinere i børnehussamarbejdet.
De øvrige tværsektorielle aktiviteter i børnehusene opleves også generelt
som udbytterige i forhold til at styrke viden og forbedre samarbejdet mellem
myndighederne. Særligt oplever de adspurgte medarbejdere hos politiet, at
børnehussamrådene bidrager til at forbedre samarbejdet mellem de involve-
rede myndigheder.
På baggrund af de indsamlede oplysninger i forbindelse med erfaringsop-
samlingen kan det beskrives, hvordan det tværsektorielle samarbejde skaber
værdi gennem to trin. I første omgang kan samarbejdet medvirke til at skabe
værdi for de involverede myndigheder ved at skabe et fælles videngrundlag i
de konkrete sager, danne grundlag for øget personlig kontakt mellem myn-
dighederne og give de deltagende medarbejdere større kendskab til de øv-
rige sektorers metoder og problemstillinger. Herefter omsættes værdien for
de involverede myndigheder til værdi for det implicerede barn/den implice-
rede unge ved at medvirke til, at disse oplever sagen som ét samlet og koor-
dineret forløb.
De involverede aktørers erfaringer indikerer samlet set, at det tværsektorielle
samarbejde i børnehusene opleves som velfungerende.
98
Erfaringsopsamling af børnehusene
Socialstyrelsen
SOU, Alm.del - 2015-16 - Bilag 90: Orientering om evalueringen af Overgrebspakken, fra social- og indenrigsministeren
1574837_0099.png
7. Organisatorisk
forankring
Kapitlet beskriver organiseringen af børnehusene i fem
driftskommuner og afdækker oplevelser og konsekvenser
af denne organisering med hensyn til driftsansvar, geogra-
fisk tilgængelighed og tværgående forankring.
Aktørernes erfaringer med den organisatoriske forankring af børnehusene
indgår som et væsentligt fokus for erfaringsopsamlingen, jf. projektets op-
drag.
Den organisatoriske forankring af børnehusene knytter sig overordnet til kom-
munernes varetagelse af driftsansvaret, børnehusenes geografiske placering
og den tværgående forankring af børnehusene.
Analysen af kommunernes varetagelse af driftsansvaret og den geografiske
placering af børnehusene tager udgangspunkt i udvalgte spørgsmål fra spør-
geskemaundersøgelserne, der nuanceres og uddybes med svar fra de kvali-
tative interview. Den tværgående forankring af børnehusene analyseres ho-
vedsageligt ud fra data fra fokusgrupperne med henholdsvis børnehusle-
derne og Socialstyrelsen, suppleret med svar fra de kvalitative interview.
For at sikre børnehusenes fysiske tilgængelighed for alle kommuner i landet
er der oprettet fem børnehuse (ét i hver region). Tre børnehuse har herud-
over etableret afdelinger i andre kommuner i regionen:
Hillerød (Børnehus Hovedstaden)
Esbjerg (Børnehus Syd)
Herning (Børnehus Midt).
Børnehusenes placering er vist på kortet nedenfor.
99
Erfaringsopsamling af børnehusene
Socialstyrelsen
SOU, Alm.del - 2015-16 - Bilag 90: Orientering om evalueringen af Overgrebspakken, fra social- og indenrigsministeren
1574837_0100.png
Figur 53. Børnehusenes geografiske placering
Aalborg
Herning
Aarhus
Hillerød
Esbjerg
Odense
Næstved
København
Ansvaret for børnehusenes drift varetages af de fem kommuner, børnehu-
sene ligger i. Driftskommunerne er Aalborg, Aarhus, Odense, Næstved og
København. Driftskommunerne står for børnehusenes etablering, fastlæg-
gelse af driftsbudgetter og finansiering.
I dette kapitel undersøges den organisatoriske forankring af børnehusene.
Konkret beskrives oplevelsen af samarbejdet og ansvarsfordelingen mellem
børnehuse og driftskommuner, betydningen af børnehusenes geografiske
placering for de aktører, der er involveret i samarbejdet, og den tværgående
fælles forankring af de fem børnehuse.
100
Erfaringsopsamling af børnehusene
Socialstyrelsen
SOU, Alm.del - 2015-16 - Bilag 90: Orientering om evalueringen af Overgrebspakken, fra social- og indenrigsministeren
1574837_0101.png
7.1.
”Stk. 1: Driftskommunen
for hvert børnehus
fastsætter det samlede
driftsbudget herfor.
Stk. 2. Kommunerne i
hver region betaler for
driften af regionens
børnehus samt eventuelt
tilhørende satellit.
Betalingen sker både via
objektiv finansiering, jf.
stk. 3, og via et fast beløb
for hvert barn eller hver
ung fra kommunen, som
gennemgår et forløb i
børnehuset, jf. stk. 4.”
Bekendtgørelse om
børnehuse § 5
Børnehuse
(n: 29)
Kommunernes varetagelse af
driftsansvar
Driftskommunerne er som beskrevet ansvarlige for at fastlægge børnehuse-
nes driftsbudget. Børnehusene finansieres af kommunerne i regionen gen-
nem en blanding af et fast tilskud og betaling per børnehusforløb. Driftskom-
munerne fastlægger således de overordnede budget- og styringsmæssige
rammer for arbejdet i de enkelte børnehuse.
Ansvarsfordeling
I børnehusene oplever mere end halvdelen af de adspurgte ledere og medar-
bejdere, at der i høj grad er en klar arbejdsfordeling mellem børnehuset og
driftskommunen, jf. figur 54 nedenfor.
Figur 54. Vurdering af, om ansvarsfordelingen mellem driftskommuner og
børnehuse er klar
55%
17%
7% 3%
17%
0%
I høj grad
20%
I nogen grad
40%
Hverken eller
60%
I mindre grad
80%
Slet ikke
100%
Ved ikke
Kilde:
Spørgeskemaundersøgelse blandt børnehuse.
Ni ledere fra driftskommunerne har også vurderet klarheden af ansvarsforde-
lingen. En tredjedel af disse angiver, at de ikke kan svare på spørgsmålet,
hvilket formodentlig skyldes, at disse ledere ikke selv indgår direkte i driften
af børnehusene. Halvdelen af de resterende seks angiver, at de i høj grad
oplever, at ansvarsfordelingen mellem børnehuse og driftskommuner er klar.
Finansiering
I børnehusene er der måske ikke overraskende i lidt mindre grad en ople-
velse af, at de budgetter, driftskommunerne har fastlagt for børnehusene, i
høj grad er store nok til at sikre et højt fagligt niveau. Børnehusenes vurde-
ring af finansieringen ses i figur 55.
101
Erfaringsopsamling af børnehusene
Socialstyrelsen
SOU, Alm.del - 2015-16 - Bilag 90: Orientering om evalueringen af Overgrebspakken, fra social- og indenrigsministeren
1574837_0102.png
Figur 55. Vurdering af, om finansieringen af børnehuset er tilstrækkelig til at
sikre et højt fagligt niveau
Børnehuse
(n: 29)
10%
62%
3% 7%
17%
0%
I høj grad
20%
I nogen grad
40%
Hverken eller
60%
I mindre grad
80%
Slet ikke
100%
Ved ikke
Kilde:
Spørgeskemaundersøgelse blandt børnehuse.
62 procent af de adspurgte ledere og medarbejdere i børnehusene oplever
dog i nogen grad, at finansieringen er tiltrækkelig til at sikre et højt fagligt ni-
veau, mens syv procent i mindre grad oplever, at dette er tilfældet.
Af medarbejdernes kommentarer i spørgeskemaet fremgår det blandt andet,
at nogle oplever, at der mangler ressourcer til at tilbyde mere opfølgning på
sagerne i kommunerne. Blandt lederne anføres det, at det kan være vanske-
ligt at få den nuværende finansiering til at rumme udviklings- og opkvalifice-
ringsaktiviteter.
Lederne i driftskommunerne er i begrænset omfang i stand til at vurdere bør-
nehusenes finansiering. Seks ud af ni besvarer således spørgsmålet med
”Ved ikke”. De resterende tre fordeler sig over både den positive og den ne-
gative del af skalaen. At lederne i driftskommunerne ikke selv føler sig i stand
til at vurdere, om finansieringen af børnehusene er tilstrækkelig, kan skyldes,
at de pågældende ledere ikke selv har deltaget i budgetlægningen for børne-
husene.
Bemanding
Medarbejdere og ledere i børnehusene er endvidere blevet spurgt om deres
vurdering af, om børnehusenes bemanding er tilstrækkelig, jf. figur 56.
Figur 56. Vurdering af, om børnehusene er bemandet med tilstrækkeligt fast
personale til at varetage opgaverne på en tilfredsstillende måde
Børnehuse
(n: 29)
24%
62%
14%
0%
I høj grad
20%
I nogen grad
40%
Hverken eller
60%
I mindre grad
80%
Slet ikke
100%
Ved ikke
Kilde:
Spørgeskemaundersøgelse blandt børnehuse.
102
Erfaringsopsamling af børnehusene
Socialstyrelsen
SOU, Alm.del - 2015-16 - Bilag 90: Orientering om evalueringen af Overgrebspakken, fra social- og indenrigsministeren
1574837_0103.png
Figuren viser, at næsten en fjerdedel af de adspurgte medarbejdere oplever,
at børnehusenes bemanding er tilstrækkelig til at sikre en tilfredsstillende va-
retagelse af opgaverne i forbindelse med sager om overgreb mod børn og
unge. Derudover svarer 62 procent, at bemandingen i nogen grad er tilstræk-
kelig. Der er dog samtidig 14 procent, der kun i mindre grad oplever beman-
dingen som tilstrækkelig.
Analysen viser, at børnehusene generelt er rimelig tilfredse med de rammer,
som driftskommunerne udstikker for deres arbejde. Ansvarsfordelingen ople-
ves overvejende som klar, og selvom vurderingen er lidt mere tilbagehol-
dende med hensyn til finansiering og bemanding, er børnehusenes medar-
bejdere og ledere også her overvejende positive.
7.2.
Børnehusenes geografiske
placering
Organiseringen af børnehusene i fem driftskommuner (én i hver region) bety-
der, at børnehusene fordeler sig over det meste af landet. Samlingen af kom-
petencer på relativt få enheder medfører dog samtidig, at der for nogle aktø-
rer fortsat er relativt store afstande til det nærmeste børnehus eller den nær-
meste afdeling.
I dette afsnit analyseres det, hvilke konsekvenser den geografiske organise-
ring har for samarbejdet, og hvordan den geografisk organisering opleves
hos de aktører, der indgår i børnehussamarbejdet.
Figur 57 viser oplevelsen i kommuner og børnehuse af, om den geografiske
placering af børnehusene sikrer tilstrækkelig tilgængelighed. For de kommu-
nale medarbejdere er der udelukkende medtaget besvarelser fra personer,
der har angivet, at de har haft kontakt med børnehusene i forbindelse med
en børnehussag.
Figur 57. Vurdering af, om placeringen af børnehusene sikrer tilstrækkelig
geografisk tilgængelighed
Børnehuse
(n: 29)
21%
55%
10%
7%
7%
Kommuner
(n: 94)
40%
21%
6% 2%
30%
0%
20%
40%
Procent
60%
80%
100%
I høj grad
I nogen grad
Hverken eller
I mindre grad
Slet ikke
Ved ikke
Kilde:
Spørgeskemaundersøgelse blandt børnehuse.
103
Erfaringsopsamling af børnehusene
Socialstyrelsen
SOU, Alm.del - 2015-16 - Bilag 90: Orientering om evalueringen af Overgrebspakken, fra social- og indenrigsministeren
1574837_0104.png
Figuren viser, at mens 21 procent af lederne og medarbejderne i børnehu-
sene i høj gad oplever, at der sikres tilstrækkelig tilgængelighed ved den
geografiske placering af børnehusene, så er dette tilfældet for hele 40 pro-
cent af lederne og medarbejderne i kommunerne.
Samtidig mener 55 procent af børnehusmedarbejderne og 21 procent af
medarbejderne i kommunerne, at placeringen i nogen grad sikrer tilstrækkelig
tilgængelighed. Der er altså overordnet set relativt stor tilfredshed med den
geografiske placering af børnehusene, selvom henholdsvis syv og to procent
oplever, at tilgængeligheden i mindre grad sikres af børnehusenes placering.
Det skal dog bemærkes, at 30 procent af de adspurgte medarbejdere i kom-
munerne har angivet, at de ikke er stand til at vurdere den geografiske place-
ring af børnehusene.
Ikke desto mindre er geografien et af de temaer, der går igen flere steder i
den kvalitative del af erfaringsopsamlingen blandt de involverede aktører.
Dette er især tilfældet blandt medarbejdere i kommuner og politikredse, der
ligger længere væk fra børnehusene. En del af børnehusmedarbejderne be-
skriver også, at de jævnligt hører fra både familierne, politiet og kommu-
nerne, at afstanden er en udfordring.
I politiet opfattes den geografiske afstand også af nogle som en udfordring. I
forbindelse med videoafhøringer skal en del forskellige mennesker være til
stede, hvilket kan medføre logistiske vanskeligheder, og det er ligeledes tids-
krævende for politiets medarbejdere selv. Nogle medarbejdere i politiet ople-
ver, at den primære udfordring ikke er afstanden, men at der ikke altid er biler
til rådighed.
En del medarbejdere og ledere i kommunerne angiver ligeledes geografien
som en udfordring i samarbejdet med børnehuset. Der er flere forskellige år-
sager til dette. Primært nævnes det, at det er mindre skånsomt for børnene/
de unge, der skal rejse langt, hver gang de skal i børnehuset.
Derudover angives det, at det kan være vanskeligt, omkostningsfuldt og tids-
krævende for barnets/den unges omsorgspersoner. Endelig kan det i de sa-
ger, hvor det er kommunens rådgiver, der følger med barnet/den unge, være
omkostningsfuldt for kommunerne selv med hensyn til medarbejdernes både
tidsforbrug og befordringsudgifter.
Vurderingen af konsekvenserne af den geografiske afstand varierer ganske
meget. Nogle oplever, at afstanden ingen forskel gør for anvendelsen af bør-
nehusene, mens andre oplever, at afstanden kan gøre kommunerne mindre
tilbøjelige til at anvende børnehusene. Betydningen af den geografiske af-
stand til børnehusene undersøges nærmere nedenfor.
Én børnehusmedarbejder anfører herudover, at forskellene i afstand i praksis
kan betyde, at kommuner og politikredse modtager forskellige ydelser fra
børnehuset, fordi børnehusene i nogle tilfælde mødes oftere med de kommu-
ner og politikredse, der ligger tæt på.
”Det er vanskeligt for
kriseramte familier at
skulle transporteres
langt. Det er min
vurdering, at det ville
være langt mere
borgervenligt, såfremt
børnehusets personale
kunne komme til
familien.”
Medarbejder i en kommune
”Det er en stor
politikreds, hvilket
giver lang transporttid
for børn og pårørende.
Derfor ville det være
en stor fordel for
vores brugere, at der
kom en satellit mere.”
Medarbejder i politiet
104
Erfaringsopsamling af børnehusene
Socialstyrelsen
SOU, Alm.del - 2015-16 - Bilag 90: Orientering om evalueringen af Overgrebspakken, fra social- og indenrigsministeren
1574837_0105.png
I figur 58 undersøges det, om omfanget af kommunernes brug af børnehu-
sene hænger sammen med den geografiske afstand.
Figur 58. Antal børnehussager per 10.000 indbyggere under 18 år i
kommunerne
Antal børnehussager per 10.000
indbyggere under 18 år
Børnehus
Afdeling
Kilde:
Børnehusenes nationale dokumentationssystem.
Note:
Angivelsen af børnehusene og
afdelinger er foretaget på baggrund af midtpunktet af driftskommunen og ikke den faktiske place-
ring af de fysiske lokaliteter.
Kortet indikerer ikke, at der skulle være tendens til, at kommuner, der ligger
tæt på et børnehus eller en afdeling, har flere børnehussager end kommuner,
der ligger længere væk.
Mens kommunerne omkring Esbjerg, Aalborg og Odense har mange børne-
hussager, er dette i mindre grad tilfældet for kommunerne i nærheden af Aar-
hus, Herning og København.
Samlet set indikerer erfaringsopsamlingen altså ikke, at den geografiske or-
ganisering af børnehusene er en betydelig barriere for anvendelsen af eller
samarbejdet med børnehusene. Flertallet af de adspurgte medarbejdere
både i kommuner og i børnehusene selv oplever, at placeringen i høj eller
105
Erfaringsopsamling af børnehusene
Socialstyrelsen
SOU, Alm.del - 2015-16 - Bilag 90: Orientering om evalueringen af Overgrebspakken, fra social- og indenrigsministeren
1574837_0106.png
nogen grad bidrager til en tilfredsstillende tilgængelighed, og der er ikke tegn
på, at længere afstande mindsker antallet af børnehussager.
Der er dog samtidig medarbejdere i både kommuner, politi og børnehuse, der
opfatter afstanden som en udfordring. Blandt kommuner og politi efterspør-
ges blandt andet flere afdelinger og muligheden for i nogle tilfælde at afholde
sagssamråd via videokonference fremfor ved fysisk fremmøde. Afholdelse af
sagssamråd via videokonference kunne muligvis også afhjælpe den ople-
vede pladsmangel i børnehusene, som beskrevet i kapitel 4.
Der er herudover en række medarbejdere i kommunerne, der ønsker, at bør-
nehusene i højere grad kan komme til børnene/de unge og gennemføre sam-
taler med dem i deres daglige miljø.
7.3.
Den tværgående forankring af
børnehusene
Organiseringen af børnehusene med individuel forankring i fem driftskommu-
ner medfører, at beslutningskompetencen med hensyn til driften af børnehu-
sene ligger hos de ansvarlige ledere i de enkelte driftskommuner.
Socialstyrelsen har forestået arbejdet med at udvikle den danske børnehus-
model og understøtter børnehusenes etablering gennem det nationale børne-
husnetværk og specialiseret faglig støtte. Socialstyrelsens involvering i bør-
nehusenes etablering og udvikling er dog tidsbegrænset, idet denne involve-
ring i hovedsagen er baseret på projektmidler.
Afsnit 7.1 viste, at der overordnet er tilfredshed med driftskommunernes vare-
tagelse af deres ansvar overfor børnehusene. Børnehuslederne oplever dog
til tider at savne en fælles organisatorisk forankring på tværs af børnehuse.
Dette kommer særligt til udtryk i forhold til tre punkter: finansieringen af bør-
nehusene, ensartetheden af børnehusene og den fremadrettede udvikling af
børnehusene.
Ensartethed på tværs af børnehusene
I forlængelse af ovenstående er der også en oplevelse – blandt både ledere
og medarbejdere i børnehusene – af, at den nuværende organisatoriske for-
ankring af børnehusene fører til, at der allerede i løbet af det første år i drift er
opstået en række forskelle mellem børnehusene.
”Det er min erfaring,
at børnehusene
primært præges af de
regionale forskellige,
og at vi hver for sig
opfinder mange dybe
tallerkener.”
Børnehusmedarbejder
Det går igen blandt de adspurgte ledere og medarbejdere i børnehusene, at
det er vigtigt, at der er plads til regional forskellighed mellem børnehusene,
så man for eksempel kan tilrettelægge det tværsektorielle samarbejde, så det
passer bedst muligt til de forskellige lokale samarbejdspartnere.
Men på en række punkter efterspørges også større ensartethed på tværs af
børnehusene. Det kunne for eksempel være udarbejdelse af fælles skabelo-
ner eller struktur for børnehusenes afsluttede vurderinger eller vejledninger til
106
Erfaringsopsamling af børnehusene
Socialstyrelsen
SOU, Alm.del - 2015-16 - Bilag 90: Orientering om evalueringen af Overgrebspakken, fra social- og indenrigsministeren
1574837_0107.png
videoafhøringer eller helt konkrete praktiske tiltag som fælles brevpapir, pje-
cer eller hjemmesider.
I relation til sidstnævnte har Socialstyrelsen bemærket, at der på nuværende
tidspunkt allerede pågår et arbejde med udvikling af fælles pjecer for børne-
husene og en løbende udvikling af hjemmesiderne.
Enkelte medarbejdere i børnehusene efterspørger specifikt, at Socialstyrel-
sen tager en mere aktiv og koordinerende rolle i forhold til at sikre passende
ensartethed mellem børnehusene.
Socialstyrelsens medarbejdere har i forbindelse med det gennemførte fokus-
gruppeinterview ligeledes givet udtryk for, at der kan være en risiko for, at
børnehusene udvikler sig forskelligt over tid. Idet opstartsfasen er ved at
være slut, vil der derfor fremover være behov for mere kommunikation og for-
midling, som kan bidrage til at sikre en tilfredsstillende grad af ensartethed på
tværs, dog fortsat med plads til regionale forskelle.
Det blev dog samtidig fremhævet, at det ikke vil være formålstjenstligt, at So-
cialstyrelsen påtager sig for aktiv en rolle i den lokale organisering og plan-
lægning af arbejdet.
Finansieringen af børnehusene
”Det er vel væsentligt,
at børn og unge
modtager nogenlunde
samme ydelse, hvad
enten de udsættes for
vold eller overgreb i
Frederikshavn,
Tønder, Kolding,
Næstved eller
Hillerød.”
Børnehusmedarbejder
Under den gennemførte fokusgruppe med børnehuslederne blev det frem-
hævet, at der er betydelig forskel på prisen på et forløb i børnehuset på tværs
af de fem børnehuse. Dette skyldes, at det er driftskommunerne, der har an-
svaret for at fastlægge budgettet for børnehusene individuelt.
Blandt børnehuslederne fremføres den varierende pris som en bekymring, da
det dels kan medvirke til, at der vil opstå geografiske forskelle i kommuner-
nes tilbøjelighed til at anvende børnehusene, dels kan føre til, at der ikke til-
bydes et ensartet forløb til børn/unge og pårørende, alt efter hvor de bor i
landet.
I denne forbindelse efterspørger nogle børnehusledere eksplicit mere samlet
styring af de økonomiske rammer på tværs af de fem børnehuse.
107
Erfaringsopsamling af børnehusene
Socialstyrelsen
SOU, Alm.del - 2015-16 - Bilag 90: Orientering om evalueringen af Overgrebspakken, fra social- og indenrigsministeren
1574837_0108.png
Udvikling af børnehusene
Under fokusgruppen med børnehuslederne blev det påpeget, at det med den
nuværende organisatoriske forankring var vanskeligt for børnehusene at se,
hvordan de skulle udvikle sig fremadrettet, og hvem der skulle sikre en fælles
og fokuseret udvikling af dem, for eksempel i forbindelse med en eventuel
udvikling af målgruppen for børnehusene eller udarbejdelse af nye indsatser.
”Jeg mener, at
Socialstyrelsen skal
være med omkring
børnehusene i en lang
periode for at sikre, at
børnehusene kan
arbejde ensartet og
understøtte
udviklingen […]”
Børnehusmedarbejder
Det var generelt oplevelsen, at denne opgave ikke blev løftet af driftskommu-
nerne, og der blev heller ikke efterspurgt en større involvering af disse. Der
var nogen uenighed – blandt børnehuslederne – om børnehusene selv kunne
løfte opgaven med den fremadrettede udvikling af børnehusene, og hvor stor
en rolle det ønskes, at Socialstyrelsen indtager.
Ydermere blev det fremhævet, at der på nuværende tidspunkt ikke er udviklet
en egentlig vision for børnehusene, og at det var uklart for børnehuslederne,
om der skulle udarbejdes en sådan, og i så fald hvem der skulle igangsætte
og varetage arbejdet med visionen.
Medarbejderne i Socialstyrelsen, som deltog i det afholdte fokusgruppeinter-
view, oplever ligeledes, at det er uklart, hvem der har mandat til at udvikle en
samlet vision for børnehusene. Det foreslås, at der eksempelvis kan arbejdes
på at udvikle en vision på et tværministerielt plan – med involvering af de res-
sortministerier, som har indgået i arbejdet med at udvikle børnehusmodellen.
7.4.
Delkonklusion – Organisatorisk
forankring
I dette kapitel er aktørernes erfaringer med den organisatoriske forankring af
børnehusene blevet afdækket, jf. projektets opdrag. Analysen har særligt om-
handlet kommunernes varetagelse af driftsansvaret, børnehusenes geografi-
ske placering og den tværgående forankring af børnehusene.
Erfaringsopsamlingen viser samlet set, at den organisatoriske forankring af
børnehusene i fem driftskommuner med tre tilhørende afdelinger opleves
som hensigtsmæssig i forhold til opfyldelsen af formålet med børnehusene.
Kommunernes varetagelse af driftsansvaret opleves generelt som positivt, og
selvom der blandt de adspurgte medarbejdere fremhæves udfordringer i for-
bindelse med den geografiske placering af børnehusene, kan der ikke findes
belæg for, at den geografiske afstand skulle udgøre en egentlig barriere for
kommunernes anvendelse af børnehusene.
Erfaringsopsamlingen har dog peget på en række opmærksomhedspunkter i
relation til en tværgående forankring af børnehusene. Særligt fra børnehuse-
nes side peges der på, at der mangler en samlet organisatorisk styring i den
nuværende organisatoriske forankring, særligt i forhold til at sikre en pas-
sende ensartethed af børnehusene og varetage den fremadrettede udvikling
af børnehusene.
108
Erfaringsopsamling af børnehusene
Socialstyrelsen
SOU, Alm.del - 2015-16 - Bilag 90: Orientering om evalueringen af Overgrebspakken, fra social- og indenrigsministeren
1574837_0109.png
8. Samarbejdet med
Socialstyrelsen
Samarbejdet mellem børnehusene og Socialstyrelsen er
centreret om den faglige understøttelse af børnehusene,
der varetages af Socialstyrelsen, og driften af Børnehus IT.
Dette kapitel afdækker, hvordan samarbejdet mellem børne-
husene og Socialstyrelsen fungerer.
Med satspuljeforhandlingerne i 2013 fik Socialstyrelsen til opgave at under-
støtte de fem driftskommuners udvikling og drift af børnehusene med henblik
på at sikre en ensartet indsats i de fem børnehuse.
20
Socialstyrelsens opgave består i at yde konsulentbistand til børnehusene og
varetage Børnehus IT. Konsulentstøtten løber i perioden 2013-2016 og har
en samlet økonomisk ramme på 12 mio. kr.
21
og yderligere 1 mio. kr. om året
i varige midler til varetagelse af dokumentationssystemet. Konsulentstøtten
er sat til at ophøre i 2017.
Af erfaringsopsamlingens opdrag fremgår det, at der skal sættes fokus på
børnehusenes erfaringer med samarbejdsrelationen til Socialstyrelsen, samt
på Socialstyrelsens erfaringer med samarbejdet med børnehusene.
I det efterfølgende afsnit analyseres derfor oplevelsen af samarbejdet mellem
børnehusene og Socialstyrelsen. Først analyseres oplevelsen af Socialstyrel-
sens konsulentbistand til børnehusene, og herefter analyseres oplevelsen af
Børnehus IT.
Analysen er hovedsageligt baseret på informationer indsamlet på fokusgrup-
perne med børnehuslederne og Socialstyrelsen, suppleret med udvalgte
spørgsmål fra spørgeskemaundersøgelsen blandt børnehusene samt de kva-
litative interview.
8.1.
Socialstyrelsens konsulentbistand
Formålet med Socialstyrelsens konsulentbistand er at understøtte etablerin-
gen, udviklingen og driften af børnehusene og sikre, at der bliver udviklet en
20
21
Notat om udmøntningsplan for satspuljeaftalen for 2013 – social- og integrationsområdet.
En mio. kr. i 2013, fire mio. kr. i 2014, fem mio. kr. i 2015 og en mio. kr. i 2016.
109
Erfaringsopsamling af børnehusene
Socialstyrelsen
SOU, Alm.del - 2015-16 - Bilag 90: Orientering om evalueringen af Overgrebspakken, fra social- og indenrigsministeren
1574837_0110.png
ensartet håndtering af sager om overgreb mod børn og unge på tværs af bør-
nehusene. Konsulentbistanden består konkret af følgende elementer:
Rådgivning og vejledning:
Vedrørende faglige spørgsmål i relation til
sager om overgreb mod børn og unge, det tværsektorielle samarbejde,
administrative spørgsmål i relation til puljemidler, finansiering og projekt-
ansvar samt bistå til afklaring af juridiske spørgsmål.
Processtøtte:
I form af børnehusnetværket og en række arbejdsgrupper,
som Socialstyrelsen har nedsat, herunder børnehusledermøderne.
Implementeringsstøtte:
Socialstyrelsen yder implementeringsstøtte til
børnehusene.
Børnehusledermøderne
Socialstyrelsen afholder faste kvartalsvise møder med børnehuslederne. For-
målet med disse møder er at styrke videndeling og erfaringsudveksling mel-
lem børnehusene.
I den gennemførte spørgeskemaundersøgelse blandt børnehusenes ledere
og medarbejdere er lederne blevet bedt om at vurdere udbyttet af børnehus-
ledermøderne.
De seks børnehusledere
22
er i langt overvejende grad tilfredse med børne-
husledermøderne. Fire ud af de seks ledere angiver således, at møderne i
høj grad understøtter børnehusenes arbejde, og de resterende to angiver, at
møderne i nogen grad understøtter arbejdet.
Under den afholdte fokusgruppe med børnehuslederne blev møderne ligele-
des fremhævet som givtige. Der blev således flere gange henvist til emner,
der er blevet eller forventes at blive diskuteret og afklaret på børnehusleder-
møderne. Dette underbygger, at møderne medvirker til at styrke videndeling
og erfaringsudveksling mellem børnehusene.
Børnehusnetværksmøder
Børnehusnetværksmøderne er halvårlige møder for medarbejdere i børnehu-
sene, medarbejdere i politiet, retsmedicinere, børnelæger, repræsentanter fra
KL samt repræsentanter fra departementet afholdt af Socialstyrelsen. Formå-
let med møderne er at udvikle det tværsektorielle samarbejde mellem fagper-
sonerne omkring børnehusene.
Stort set alle de adspurgte medarbejdere i børnehusene (26 ud af 29) har
deltaget i et eller flere børnehusnetværksmøder. Nedenstående figur viser
disse medarbejderes oplevelse af værdien af møderne.
22
Én leder fra hvert børnehus, inklusive en barselsvikar i Børnehus Hovedstaden.
110
Erfaringsopsamling af børnehusene
Socialstyrelsen
SOU, Alm.del - 2015-16 - Bilag 90: Orientering om evalueringen af Overgrebspakken, fra social- og indenrigsministeren
1574837_0111.png
Figur 59. Børnehusnetværksmøderne understøtter børnehusets arbejde
Børnehuse
23%
58%
15%
4%
0%
10%
20%
30%
40%
50%
Procent
60%
70%
80%
90%
100%
I høj grad
I nogen grad
Hverken eller
I mindre grad
Slet ikke
Ved ikke
Kilde:
Spørgeskemaundersøgelse blandt børnehuse.
N:
26.
Som det fremgår af figuren, angiver børnehusmedarbejderne, at børnehus-
netværksmøderne generelt understøtter børnehusenes arbejde. Knap en fjer-
dedel svarer i høj grad, mens over halvdelen angiver, at møderne i nogen
grad understøtter børnehusenes arbejde.
I forbindelse med drøftelserne om det tværsektorielle samarbejde og samar-
bejdet med socialstyrelsen har de interviewede personer dog ikke eksplicit
fremhævet børnehusnetværket.
Rådgivning og vejledning
Børnehusene har mulighed for at henvende sig til Socialstyrelsen med hen-
blik på at få vejledning og faglig sparring, for eksempel om faglige spørgsmål
i forbindelse med sager om overgreb mod børn og unge, spørgsmål vedrø-
rende det tværsektorielle samarbejde, spørgsmål om finansieringen af børne-
husene og juridiske spørgsmål.
Alle medarbejderne i børnehusene har i udgangspunktet mulighed for at be-
nytte sig af Socialstyrelsens konsulentbistand. I spørgeskemaundersøgelsen
har 10 ud af de 29 adspurgte medarbejdere i børnehusene angivet, at de har
gjort brug af dette tilbud.
Figur 60 viser deres oplevelse af udbyttet af denne ydelse.
Figur 60. Socialstyrelsens konsulentbistand understøtter børnehusets arbejde
Børnehuse
50%
40%
10%
0%
10%
20%
30%
40%
50%
Procent
60%
70%
80%
90%
100%
I høj grad
I nogen grad
Hverken eller
I mindre grad
Slet ikke
Ved ikke
Kilde:
Spørgeskemaundersøgelse blandt børnehuse.
N:
10.
111
Erfaringsopsamling af børnehusene
Socialstyrelsen
SOU, Alm.del - 2015-16 - Bilag 90: Orientering om evalueringen af Overgrebspakken, fra social- og indenrigsministeren
1574837_0112.png
Børnehusmedarbejderne er særdeles positive overfor værdien af Socialsty-
relsens konsulentbistand. Som figuren viser, angiver halvdelen af de ad-
spurgte medarbejdere, at den modtagne vejledning i høj grad understøtter
børnehusenes arbejde, og 40 procent angiver, at dette i nogen grad er tilfæl-
det.
”Jeg kunne godt
tænke mig, at
Socialstyrelsen
hjælper børnehusene
med at håndtere de
sager, hvor
kommunerne ikke
ønsker at samarbejde
med børnehuset, og
hvor børnehusene er
bekymret for, om
børnenes behov er
håndteret
tilstrækkeligt.”
Børnehusmedarbejder
I de gennemførte interview og under fokusgruppen med børnehuslederne bli-
ver der udtrykt en vis uklarhed om Socialstyrelsens rolle i samarbejdet med
børnehusene. For eksempel fremhæves det, at det er uklart, om Socialstyrel-
sen har beføjelser til at træffe beslutninger om børnehusenes arbejde, eller
om styrelsen udelukkende har en rådgivende funktion.
I forbindelse med fokusgruppen med Socialstyrelsen bliver der peget på, at
Socialstyrelsens rolle i forhold til børnehusene er afgrænset. Medarbejderne
fra Socialstyrelsen påpeger, at deres rolle primært er at stille viden og kom-
petencer til rådighed for børnehusene, samt at understøtte, at det fælles it-
system er værdiskabende for børnehusene.
Fra Socialstyrelsens side er der således fokus på at understøtte børnehu-
sene gennem udviklingen af den faglige opgaveløsning, samt varetage en
koordinerende rolle, eksempelvis i forbindelse med børnehusnetværket.
Det bemærkes endvidere, at der på møderne mellem børnehusene og Soci-
alstyrelsen er blevet diskuteret en række forhold, der kræver afklaring, men
at børnehusene ikke altid modtager den forventede afklaring fra styrelsen.
Ydermere fremhæver nogle medarbejdere, at de godt kunne tænke sig, at
Socialstyrelsen havde en mere aktiv rolle i forbindelse med samarbejdet mel-
lem børnehusene og kommunerne særligt med henblik på at afklare, om en
sag er indenfor børnehusenes målgruppe, jf. citatet til venstre.
Samlet set er børnehusene således godt tilfredse med Socialstyrelsens kon-
sulentbistand, omend der også peges på nogle udviklingsmuligheder.
8.2.
Børnehus IT
Af kvalitetsstandarderne for børnehusene fremgår det, at børnehusene
”lø-
bende
[skal]
registrere oplysninger om de børn og unge, der gennemgår for-
løb i børnehusene.”
23
Disse oplysninger indsamles og opbevares af Social-
styrelsen på vegne af driftskommunerne og udgør tilsammen Børnehus IT.
Styrelsen yder herudover løbende it-support til børnehusene.
Børnehusene skal således registrere oplysninger om de behandlede sager i
dokumentationssystemet. For eksempel registreres oplysninger om den en-
kelte sag såsom starttidspunkt og de forskellige aktiviteter, der er gennemført
i forbindelse med sagen. Derudover registreres oplysninger om det barn/den
23
Socialstyrelsen: Kvalitetsstandarder for børnehusene i Danmark, september 2013.
112
Erfaringsopsamling af børnehusene
Socialstyrelsen
SOU, Alm.del - 2015-16 - Bilag 90: Orientering om evalueringen af Overgrebspakken, fra social- og indenrigsministeren
1574837_0113.png
unge, der har været udsat for et overgreb, for eksempel køn, alder og bofor-
hold samt oplysninger om det/de formodede overgreb og den formodede
krænker/de formodede krænkere. Børnehusene har efterfølende mulighed
for at hente relevante data om deres børnehussager ud af systemet.
Nedenstående figur viser de adspurgte medarbejderes oplevelse af doku-
mentationssystemet. Det er udelukkende de medarbejdere, der har angivet,
at de har erfaringer med at registrere oplysninger i systemet, der er blevet
bedt om at forholde sig til, hvordan dette opleves. Ligeledes er det udeluk-
kende de medarbejdere, der har angivet, at de har haft erfaring med at
trække data fra systemet, der er blevet bedt om at forholde sig til denne funk-
tion.
Figur 61. Børnehusenes vurdering af Børnehus IT
Det er enkelt at registrere en sags
oplysninger i børnehusenes
dokumentationssystem
(n: 26)
31%
46%
12% 12%
Det er enkelt at hente data ud fra
børnehusenes dokumentationssystem
(n: 12)
17%
42%
8%
25%
8%
0%
I høj grad
I nogen grad
20%
40%
60%
Slet ikke
80%
100%
Procent
Hverken eller
I mindre grad
Ved ikke
Kilde:
Spørgeskemaundersøgelse blandt børnehuse.
Note:
Antallet af besvarelser varierer, som
følge af at ikke alle adspurgte medarbejdere har haft erfaring med at registrere eller hente oplys-
ninger i dokumentationssystemet.
Børnehusmedarbejderne oplever generelt dokumentationssystemet som re-
lativt let at anvende til registrering af sager. En tredjedel angiver således, at
det i høj grad er let at registrere oplysninger i systemet, og næsten halvdelen
angiver, at dette i nogen grad er tilfældet.
Under fokusgruppen med Socialstyrelsens medarbejdere, herunder de med-
arbejdere, som varetager driften af Børnehus IT, blev det påpeget, at der er
forskelle i registreringspraksis på tværs af børnehusene. Eksempelvis ople-
ves det, at der er forskel på, i hvilket omfang de enkelte børnehuse registrer
konsultative henvendelser, som senere bliver til egentlige børnehussager.
Socialstyrelsen oplyser endvidere, at der på nuværende tidspunkt foregår en
revidering af Børnehus IT i dialog med børnehusene.
113
Erfaringsopsamling af børnehusene
Socialstyrelsen
SOU, Alm.del - 2015-16 - Bilag 90: Orientering om evalueringen af Overgrebspakken, fra social- og indenrigsministeren
1574837_0114.png
”Der er behov for at
gøre det lettere
tilgængeligt at kunne
trække specifikke
oplysninger. Jeg synes
det er indviklet.”
Børnehusmedarbejder
Blandt de medarbejdere, der har haft erfaring med at trække data ud af sy-
stemet, er oplevelsen af brugervenligheden en smule mindre positiv. Hen-
holdsvis 17 og 42 procent angiver således, at det i høj grad eller i nogen grad
er let at trække data fra systemet, og henholdsvis 25 og otte procent angiver,
at dette i mindre grad eller slet ikke er enkelt. Nogle af de adspurgte medar-
bejdere i børnehusene har eksplicit peget på udviklingsmuligheder i forhold til
systemet. For eksempel fremhæver nogle, at det opleves som besværligt at
trække specifikke oplysninger fra systemet, jf. citatet til venstre.
I forbindelse med fokusgruppen med Socialstyrelsens medarbejdere, blev
vanskelighederne med at udtrække anvendelige data også beskrevet. Samti-
dig blev det fremhævet, at Socialstyrelsen arbejder på at etablere muligheder
for at udtrække datarapporter, som vil være værdifulde for medarbejderne i
børnehusene, blandt andet i samarbejdet med de andre aktører.
Det går igen blandt de modtagne kommentarer, at medarbejderne i børnehu-
sene ser positivt på mulighederne i systemet og ser frem til at kunne an-
vende de data, der bliver registreret i deres eget arbejde.
Blandt de interviewede børnelæger har flere fremhævet, at de også godt
kunne tænke sig flere oplysninger om sagerne i børnehusene. De påpeger,
at det kunne være nyttigt for dem at få oplysninger om, hvor mange af de sa-
ger, de har været involveret i, der senere er blevet til sager i børnehusene,
og hvad det videre forløb er blevet af de sager, de har medvirket i.
8.3.
Konklusion – Samarbejdet med
Socialstyrelsen
Erfaringerne med samarbejdsrelationen mellem børnehusene og Socialsty-
relsen udgør et særligt fokus for erfaringsopsamlingen, jf. projektets opdrag. I
dette kapitel er henholdsvis børnehusenes og Socialstyrelsens erfaringer
med Socialstyrelsen konsultative bistand og varetagelsen af Børnehus IT
derfor blevet afdækket.
Samlet set tegner erfaringsopsamlingen et billede af, at samarbejdet mellem
børnehusene og Socialstyrelsen generelt er velfungerende. De afholdte mø-
der og øvrige aktiviteter fremstår generelt som værdiskabende for børnehus-
rene, og særligt den konsultative bistand opleves som en vigtig del af under-
støttelsen af børnehusenes arbejde.
Børnehusene virker generelt positivt indstillet overfor anvendelsen af doku-
mentationssystemet, omend der peges på en række udviklingsmuligheder
særligt omkring udtræk af data og anvendeligheden af data for børnehusene.
Endelig udtrykkes der en smule uklarhed om rammerne for Socialstyrelsens
rolle i relation til børnehusene, for eksempel i forhold til styrelsens rolle i af-
klaringen af tvivlsspørgsmål mellem børnehusene, og hvor aktiv en rolle sty-
relsen kan og skal spille i samarbejdet mellem børnehusene og kommu-
nerne.
114
Erfaringsopsamling af børnehusene
Socialstyrelsen
SOU, Alm.del - 2015-16 - Bilag 90: Orientering om evalueringen af Overgrebspakken, fra social- og indenrigsministeren
1574837_0115.png
9. Konklusion
Erfaringsopsamlingen viser, at aktørerne, der indgår i bør-
nehussamarbejdet, i vidt omfang oplever, at det tværsekto-
rielle samarbejde bidrager til at sikre en kvalificeret og
skånsom indsats i sager om overgreb mod børn og unge,
og at elementerne i samarbejdsmodellen langt hen ad vejen
understøtter dette på en hensigtsmæssig måde. Erfarings-
opsamlingen indikerer dog samtidig en række udviklings-
punkter for det fremadrettede børnehussamarbejde.
Børnehusene har været i drift i lidt over et år, og Ministeriet for Børn, Ligestil-
ling, Integration og Sociale Forhold har derfor igangsat en erfaringsopsam-
ling. Gennemførelsen af erfaringsopsamlingen er varetaget af Deloitte og er
pågået i perioden januar til marts 2015.
Erfaringsopsamlingen har afdækket de foreløbige erfaringer med børnehuse-
nes virke fra det første år i drift. Erfaringsopsamlingen har således belyst de
forskellige aktørers erfaringer i forhold til den indsats, der ydes af børnehu-
sene, det tværsektorielle samarbejde i børnehusene og børnehusenes erfa-
ringer med samarbejdsrelationen til Socialstyrelsen.
Det overordnede analysespørgsmål for erfaringsopsamlingen har været:
Hvilke erfaringer har de forskellige interessenter i og omkring børnehusene
gjort sig i forhold til den tværsektorielle samarbejdsmodel?
Overordnet set har de involverede aktører en positiv oplevelse af børnehu-
sene og det tværsektorielle samarbejde, der foregår i børnehusene. Den
etablerede samarbejdsmodel opleves generelt som hensigtsmæssig i forhold
til at sikre en højt kvalificeret indsats i sager om overgreb mod børn og unge.
Erfaringsopsamlingen har ikke identificeret væsentlige elementer i børnehus-
modellen, som aktørerne oplever som betydelige barrierer for varetagelsen af
opgaven i børnehusene.
Det overordnede analysespørgsmål for erfaringsopsamlingen er blevet un-
dersøgt gennem analyser af syv temaer. Erfaringerne er overvejende positive
indenfor alle de afdækkede temaer:
Aktiviteten i og anvendelsen af børnehusene (tema 1 og 2):
Under
disse to temaer er det belyst, hvilke aktiviteter der gennemføres i børne-
husene, og omfanget af myndighedernes anvendelse af børnehusene.
Analysen viser, at børnehusene generelt behandler den samme type sa-
ger, eksempelvis i forhold til sagstypen (seksuelle og voldelige overgreb)
115
Erfaringsopsamling af børnehusene
Socialstyrelsen
SOU, Alm.del - 2015-16 - Bilag 90: Orientering om evalueringen af Overgrebspakken, fra social- og indenrigsministeren
1574837_0116.png
samt barnets/den unges og krænkers karakteristika. Børnehusene har op-
nået god udbredelse blandt de relevante myndigheder og fagpersoner i
løbet af det første år. Børnehusene bliver anvendt bredt af de involverede
sektorer i sager om overgreb mod børn og unge, og børnehusene vareta-
ger de opgaver og leverer de indsatser, der ligger indenfor deres ansvars-
område. Der er endvidere generelt en oplevelse af, at børnehusene bidra-
ger til at forbedre indsatsen i sager om overgreb mod børn og unge. Der
er en vis tendens til, at de medarbejdere i kommuner og hos politiet, der
anvender børnehusene meget, generelt er mere tilfredse end medarbej-
dere, der anvender børnehusene mindre.
Kompetencer og ressourcer (tema 3):
Under dette tema er det under-
søgt, om børnehusene besidder de rette kompetencer og ressourcer til at
varetage den stillede opgave. De kompetencer og fysiske rammer, der er
til stede i børnehusene, opleves at udgøre er godt grundlag for børnehu-
senes opgavevaretagelse. Børnehusenes medarbejdere opleves generelt
som fagligt kvalificerede, og børnehusene ses langt hen ad vejen som
både trygge og funktionelle rammer for varetagelsen af opgaver i forbin-
delse med overgrebssager. Der er dog tegn på, at børnehusene er ved at
have nået grænsen for den nuværende kapacitet.
Sagsforløbet i børnehusene (tema 4):
Her er oplevelsen af forløbet af
sagerne i børnehusene analyseret. De fleste involverede aktører oplever
processen omkring børnehusforløbene som velfungerende. Kommunerne
oplever generelt, at det er klart, hvilke sager der skal i børnehuset, at de
har glæde af den konsultative bistand, og at de modtager kvalificerede og
brugbare vurderinger af sagerne fra børnehusene.
Det tværsektorielle samarbejde (tema 5):
Under dette tema er oplevel-
sen af det tværsektorielle samarbejde og den værdi, som samarbejdet
skaber, analyseret. Det tværsektorielle samarbejde i børnehusene ople-
ves generelt som velfungerende, og det opleves, at der skabes værdi for
både myndigheder og barnet/den unge. Sagssamrådene understøtter ud-
vekslingen af relevant viden og en skånsom indsats overfor børnene/de
unge. Det opleves ligeledes, at de øvrige tværsektorielle aktiviteter i bør-
nehusene, herunder børnehussamrådene, bidrager til det gensidige kend-
skab sektorerne imellem og styrker samarbejdet. Analysen peger dog
også på et potentiale ved en øget inddragelse af børnelæger og retsmedi-
cinere i børnehussamarbejdet.
Organisatorisk forankring (tema 6):
Betydningen af den organisatoriske
forankring af børnehusene i fem driftskommuner er undersøgt under dette
tema. Den organisatoriske forankring opleves generelt som hensigtsmæs-
sig i forhold til opfyldelsen af formålet med børnehusene. Børnehusene
oplever, at kommunernes varetagelse af driftsansvaret er tilstrækkeligt til
at sikre en kvalificeret indsats, og aktørerne i børnehussamarbejdet ople-
ver overvejende, at den geografiske placering sikrer den fornødne tilgæn-
gelighed.
Samarbejdet med Socialstyrelsen (tema 7):
Samarbejdet mellem bør-
nehusene og Socialstyrelsen er analyseret under det syvende tema og
opleves langt overvejende som velfungerende. De afholdte møder og øv-
rige aktiviteter fremstår ligeledes generelt som værdiskabende for børne-
husene.
Erfaringsopsamlingen giver samlet set anledning til at konkludere, at interes-
senterne i børnehussamarbejdet har gjort sig altovervejende positive erfarin-
116
Erfaringsopsamling af børnehusene
Socialstyrelsen
SOU, Alm.del - 2015-16 - Bilag 90: Orientering om evalueringen af Overgrebspakken, fra social- og indenrigsministeren
1574837_0117.png
ger med den tværsektorielle samarbejdsmodel, og at modellens centrale ele-
menter i vidt omfang lever op til aktørernes forventninger og behov i forbin-
delse med den tværsektorielle håndtering af sager om overgreb mod børn og
unge.
Børnehussamarbejdet samler en række aktører, der har vidt forskellige ind-
gangsvinkler til sagerne såvel som til samarbejdet. De involverede sektorer
har for eksempel forskellige roller i sagerne, forskellige relationer til børnehu-
sene, forskellige fagligheder og sprog og arbejder under forskellige rammevil-
kår. Givet disse forskelle er det særlig bemærkelsesværdigt, at den positive
oplevelse af samarbejdet gør sig gældende på tværs af alle aktørerne. Alle
de involverede aktører oplever i overvejende grad at få et positivt udbytte af
samarbejdet, og at børnehusmodellen bidrager til en kvalificeret og skånsom
indsats overfor børn og unge, der har været udsat for overgreb.
Samtidig peger erfaringsopsamlingen dog også på en række udviklingsmulig-
heder af det fremadrettede børnehussamarbejde. Disse opsummeres under
tre overskrifter nedenfor.
9.1.
Én indsats på ét sted
Erfaringsopsamlingen indikerer, at børnehusene endnu ikke fuldt ud har reali-
seret målsætningen om at levere én koordineret indsats på ét sted i alle sa-
ger om overgreb mod børn og unge.
Konkret peger analysen på, at der fortsat kan være sager indenfor målgrup-
pen, der ikke bliver til børnehussager. Dette skyldes blandt andet uklarhed
om målgruppeafgrænsningen eller begrænset bevidsthed om børnehusenes
formål og indsatser. Der arbejdes i børnehuse og kommuner fortsat på at
fastholde og øge forankringen af børnehussamarbejdet i kommunernes dag-
lige praksis, så andelen af sager i målgruppen, der kommer i børnehusene,
kan øges over tid.
Erfaringsopsamlingen viser også, at en del af de undersøgelsesaktiviteter,
der gennemføres i forbindelse med sager om overgreb mod børn og unge,
fortsat foregår udenfor børnehusene. Dette gælder de retsmedicinske under-
søgelser, de lægelige undersøgelser, afhøringer af unge over 12 år og bør-
nesamtaler.
Udviklingen af børnehussamarbejdet på dette punkt afhænger blandt andet
af resultaterne af gennemførelse af retsmedicinske undersøgelser i Børnehus
Hovedstaden, og den løbende dialog med de involverede sektorer om ønsker
og muligheder for at samle flere aktiviteter i børnehusene.
9.2.
Et smidigt tværsektorielt samarbejde
Selvom børnehussamarbejdet overvejende opleves som velfungerende
blandt de involverede aktører, indikerer erfaringsopsamlingen, at der fortsat
er potentiale for et mere smidigt samarbejde på tværs af sektorerne. Der er
117
Erfaringsopsamling af børnehusene
Socialstyrelsen
SOU, Alm.del - 2015-16 - Bilag 90: Orientering om evalueringen af Overgrebspakken, fra social- og indenrigsministeren
1574837_0118.png
således en række konkrete punkter, hvor det daglige samarbejde mellem ak-
tørerne med fordel kan udvikles yderligere.
For enkelte af de involverede aktører opleves den geografiske afstand til bør-
nehusene som en barriere, idet transporten frem og tilbage har omkostninger
for både børn/unge, omsorgspersoner og fagpersoner. Nogle oplever såle-
des, at den geografiske afstand vanskeliggør udnyttelsen af børnehusenes
fulde potentiale. Særligt i kommunerne opleves det som mere hensigtsmæs-
sigt og skånsomt, hvis børnehusene kom til børnene fremfor omvendt, og
nogle medarbejdere i politiet og i kommunerne foreslår øget anvendelse af
videokonferencer til gennemførelse af sagssamråd som middel til at mindske
betydningen af de geografiske afstande.
Nogle af de involverede aktører oplever ligeledes, at sagsbehandlingen kan
tage uhensigtsmæssigt lang tid, hvilket mindsker skånsomheden af indsat-
sen, og som for kommunerne til tider kan vanskeliggøre overholdelsen af
tidsfristerne i forbindelse med § 50-undersøgelsen. Ligeledes indikerer erfa-
ringsopsamlingen, at der mellem nogle kommuner og børnehuse endnu ikke i
tilstrækkeligt omfang er foretaget en afgrænsning af, hvor meget børnehu-
sene kan konkludere i deres afsluttende vurdering i forhold til den efterføl-
gende indsats.
Endelig oplever især medarbejderne i sundhedsvæsenet, at de med fordel
kunne knyttes tættere til børnehussamarbejdet og bidrage med deres faglig-
hed i flere sager.
9.3.
En ensartet indsats
Erfaringsopsamlingen viser, at der er opstået og over tid er udviklet forskelle i
indsatsen på tværs af børnehusene. Disse forskelle ses både i aktørernes
oplevelse af det enkelte børnehus og i den faktiske praksis i sagerne i det en-
kelte børnehus. Der er for eksempel forskel på rammevilkår som medarbej-
derantal, sagsantal og størrelsen af budgettet på tværs af de fem børnehuse,
også når man tager højde for forskellene i deres optagegrundlag. Men der er
også forskel på den faglige varetagelse af kerneopgaverne, for eksempel
hvilke og hvor mange indsatser der typisk indgår i et forløb, og på håndterin-
gen af mere principielle spørgsmål om eksempelvis inddragelse af krænker i
børnehusforløbet.
Analysen indikerer, at en del af baggrunden for disse forskelle er den organi-
satoriske forankring af børnehusene i fem adskilte kommuner. Denne organi-
sering betyder blandt andet, at rammevilkårene kan variere mellem børne-
huse, hvilket kan have betydning for den faglige indsats, der finder sted.
Samtidig betyder organiseringen, at der ikke er ét ledelsesniveau på tværs af
børnehusene, der træffer faglige og strategiske beslutninger om børnehus-
samarbejdets indhold og udvikling. Dette kan potentielt medføre, at børnehu-
sene i stigende grad vil udvikle sig forskelligt over tid, og organiseringen er
dermed vigtig at overveje, i det omfang der ønskes en ensartet tilgang til ar-
bejdet i børnehusene.
118
Erfaringsopsamling af børnehusene
Socialstyrelsen
SOU, Alm.del - 2015-16 - Bilag 90: Orientering om evalueringen af Overgrebspakken, fra social- og indenrigsministeren
1574837_0119.png
10. Bilag
Bilag A: Metode til udvælgelse af
kommuner
Udvælgelsen af 30 kommuner til at indgå i erfaringsopsamlingen om børne-
husene er foretaget ved hjælp af en udvælgelsesmatrix, der består af en
række kriterier, herunder størrelse, omfang af kommunernes anvendelse af
børnehusene og deres geografiske nærhed til børnehusene.
I det følgende beskrives de fem kriterier, som udvælgelsen er foretaget ud
fra:
Kommuner:
De 30 kommuner udvælges blandt 93 kommuner, idet der er
sendt et selvstændigt spørgeskema til de fem driftskommuner.
Regioner:
Der udvælges, jf. opdraget, seks kommuner fra hver region uan-
set antallet af kommuner i regionen for at sikre erfaringsopsamlingens udsi-
gelseskraft i forhold til alle fem børnehuse.
Kommunestørrelse:
Der udvælges både store og små kommuner fra hver
region. Kommuner med et indbyggertal over gennemsnittet er defineret som
store kommuner, mens kommuner med et indbyggertal under gennemsnittet
er defineret som små kommuner
24
. Udvælgelsen er også gennemført med
indbyggertallet for børn under 18 år som kriterie. Dette giver anledning til ud-
vælgelse af de samme kommuner.
Nærhed til børnehuse:
Der udvælges både kommuner, der ligger tæt på et
børnehus, og kommuner, der ligger langt fra et børnehus. Kommuner, der
grænser op til en af de fem driftskommuner, er defineret som liggende tæt
på, mens de, der ikke grænser op til en driftskommune, er defineret som lig-
gende langt fra. De tre afdelinger indgår ikke i denne klassificering.
Anvendelse af børnehuset:
Der udvælges både kommuner, der i høj grad
har gjort brug af børnehusene, og kommuner, der i mindre grad har gjort brug
af børnehusene. Omfanget af kommunernes brug af børnehusene er bereg-
net som antallet af børnehus- og konsultationssager per borger under 18 år i
24
Kommunestørrelse er beregnet ud fra kommunernes samlede indbyggertal i sidste kvartal af
2014.
119
Erfaringsopsamling af børnehusene
Socialstyrelsen
SOU, Alm.del - 2015-16 - Bilag 90: Orientering om evalueringen af Overgrebspakken, fra social- og indenrigsministeren
1574837_0120.png
kommunen. Kommuner med flere sager per borger under 18 år end gennem-
snittet har stor anvendelse af børnehuset, mens kommuner med færre sager
end gennemsnittet har lille anvendelse af børnehuset.
De 93 kommuner er således blevet klassificeret ud fra disse kriterier og ind-
placeret i følgende udvælgelsesmatrix.
Tabel 7. Udvælgelsesmatrix
Kommuner, der bruger
børnehuset i begrænset omfang
Små
kommuner
Kommuner, der ligger
tæt på børnehuset
Kommuner, der ligger
langt fra børnehuset
Strata 1
Strata 5
Store
kommuner
Strata 2
Strata 6
Kommuner, der bruger
børnehuset meget
Små
kommuner
Strata 3
Strata 7
Store
kommuner
Strata 4
Strata 8
Indenfor rammerne af udvælgelsesmatrixen er flere forskellige kombinationer
af kommuner mulige, idet der i nogle strata indgår mange kommuner. For at
sikre den mest hensigtsmæssige kommunesammensætning er udvælgelsen
derfor suppleret med følgende mere kvalitative hensyn:
Kommunerne, der ikke grænser op til driftskommuner, skal så vidt muligt
fordele sig jævnt i regionen, så det sikres, at de kommuner, der ligger
længst fra børnehusene, er repræsenteret.
Mindst to af de tre kommuner, der har en børnehussatellit, skal indgå.
Der skal så vidt muligt være en ligelig fordeling af kommuner på de otte
strata i udvælgelsesmatrixen på landsplan.
Der skal også indenfor den enkelte region tilstræbes en jævn fordeling af
kommuner på de otte strata – dog under hensyntagen til de andre krite-
rier.
Ovenstående kriterier giver anledning til, at følgende 30 kommuner er ud-
valgt:
120
Erfaringsopsamling af børnehusene
Socialstyrelsen
SOU, Alm.del - 2015-16 - Bilag 90: Orientering om evalueringen af Overgrebspakken, fra social- og indenrigsministeren
1574837_0121.png
Tabel 8. Oversigt over udvalgte kommuner
Udvalgte kommuner
Region Hovedstaden
Frederiksberg Kommune
Frederikssund Kommune
Gentofte Kommune
Gladsaxe Kommune
Helsingør Kommune
Hillerød Kommune
Region Sjælland
Faxe Kommune
Holbæk Kommune
Lolland Kommune
Odsherred Kommune
Slagelse Kommune
Vordingborg Kommune
Region Syddanmark
Assens Kommune
Esbjerg Kommune
Kolding Kommune
Nordfyns Kommune
Sønderborg Kommune
Varde Kommune
Region Midtjylland
Hedensted Kommune
Lemvig Kommune
Skanderborg Kommune
Struer Kommune
Syddjurs Kommune
Viborg Kommune
Region Nordjylland
Brønderslev Kommune
Frederikshavn Kommune
Hjørring Kommune
Mariagerfjord Kommune
Thisted Kommune
Vesthimmerlands Kommune
121
Erfaringsopsamling af børnehusene
Socialstyrelsen
SOU, Alm.del - 2015-16 - Bilag 90: Orientering om evalueringen af Overgrebspakken, fra social- og indenrigsministeren
1574837_0122.png
Bilag B: Spørgeskema til børnehuse
Baggrundsoplysninger
1. Angiv dit navn
_________________________________________
2. Hvilket børnehus er du ansat i?
(angiv kun ét svar)
Børnehus
Hovedstaden

Børnehus
Midt

Børnehus
Nord

Børnehus
Sjælland

Børnehus
Syd

3. Hvad er din stillingsbetegnelse?
(angiv kun ét svar)
Leder

Andet (angiv hvad)
_________________________________________
Socialrådgiver

Psykolog

Administrativt
personale

4. Hvor længe har du arbejdet på området for udsatte børn og unge? Angiv antal hele år.
(angiv kun ét svar)
0
1
2
3
4
5
6
7
8
9
10 11 12 13 14 15 16 17 18 19 20+
                    
Børnehusenes faste medarbejdere
Følgende spørgsmål handler om din vurdering af de faglige kompetencer og kvalifikationer
blandt børnehusets faste medarbejdere samlet set. Du bedes vurdere, om medarbejderne va-
retager børnehusenes kerneopgaver på en fagligt tilfredsstillende måde.
122
Erfaringsopsamling af børnehusene
Socialstyrelsen
SOU, Alm.del - 2015-16 - Bilag 90: Orientering om evalueringen af Overgrebspakken, fra social- og indenrigsministeren
1574837_0123.png
5. Hvor enig er du i følgende udsagn om børnehusenes faste medarbejdere?
(angiv kun ét svar per spørgsmål)
I høj
grad
Børnehusets faste medarbejdere er kvali-
ficeret til at bidrage til undersøgelsen i sa-
ger om overgreb mod børn og unge.
Børnehusets faste medarbejdere er kvali-
ficeret til at bistå ved børnesamtaler i sa-
ger om overgreb mod børn og unge.
Børnehusets faste medarbejdere er kvali-
ficeret til at give krisesamtale til barnet/
den unge, pårørende eller forældre i sa-
ger om overgreb mod børn og unge.
Børnehusets faste psykologfaglige med-
arbejdere er kvalificeret til at gennemføre
psykologiske vurderinger i sager om
overgreb mod børn og unge.

I
nogen
grad

Hver-
ken
eller

I
mindre
grad

Slet
ikke

Ved
ikke



















6. Hvis du har kommentarer eller forslag til forbedringer af kompetencerne hos de faste
medarbejdere i børnehuset, kan du angive det her:
_________________________________________
Børnehusenes indretning
Børnehusenes lokaler skal være indrettet, så de både understøtter børnehusenes opgaver og
samtidig skaber behagelige og trygge rammer for børn/unge og pårørende. I de følgende
spørgsmål bedes du vurdere, i hvor høj grad børnehuset i din region er indrettet i forhold til en
række konkrete formål. Med indretning menes de indre fysiske rammer i børnehuset, for ek-
sempel lokalernes placering og størrelse, teknologi og arbejdsredskaber til rådighed for de pro-
fessionelle samt bekvemmeligheder for borgerne som sofaer, legetøj, kaffe mv.
7. Hvor enig er du i følgende udsagn om børnehusenes indretning?
(angiv kun ét svar per spørgsmål)
I høj
grad
Børnehuset er børnevenligt indrettet.
Børnehusets venterum er indrettet, så det
understøtter, at barnet/den unge oplever
omgivelserne som så trygge som muligt.
Børnehusets indretning understøtter vi-
deoafhøring i sager om overgreb mod
børn og unge.
Børnehusets indretning understøtter kri-
sestøtte i sager om overgreb mod børn
og unge.

I
nogen
grad

Hver-
ken
eller

I
mindre
grad

Slet
ikke

Ved
ikke



















8. Hvis du har kommentarer eller forslag til forbedringer af børnehusets indretning, kan
du angive det her:
_________________________________________
123
Erfaringsopsamling af børnehusene
Socialstyrelsen
SOU, Alm.del - 2015-16 - Bilag 90: Orientering om evalueringen af Overgrebspakken, fra social- og indenrigsministeren
1574837_0124.png
Det tværsektorielle samarbejde i børnehusene
Børnehusene har til opgave at koordinere indsatserne i sager, hvor flere myndigheder er invol-
veret. Koordineringen og det tværsektorielle samarbejde finder især sted gennem sagssamråd
mellem de involverede myndigheder, herunder kommune, politi og sygehusvæsen. Sagssam-
rådene er møder, hvor repræsentanter fra de involverede myndigheder drøfter en konkret sag
og for eksempel koordinerer planlagte eller igangsatte indsatser.
9. Hvor enig er du i følgende udsagn om det tværsektorielle samarbejde i børnehusene?
(angiv kun ét svar per spørgsmål)
I
Hver-
I
I høj
nogen
ken
mindre Slet
Ved
grad
grad
eller
grad
ikke
ikke
Børnehuset er med til at sikre, at samt-
lige relevante fagpersoner fra de involve-
rede myndigheder deltager i sagssamrå-
dene.
Sagssamrådene bidrager til, at der ud-
veksles relevante informationer om den
pågældende sag mellem myndigheder
og/eller fagpersoner.
Børnehuset koordinerer forløbet i sags-
samrådene, så der ydes en skånsom ind-
sats, der belaster barnet/den unge
mindst muligt.
Børnehussamrådene (møder, der ikke er
relateret til en konkret sag) medvirker til,
at de relevante myndigheder og/eller fag-
personer deler viden i konkrete sager om
overgreb mod børn og unge.
























10. Hvor enig er du i følgende udsagn om det tværsektorielle samarbejde i børnehu-
sene?
(angiv kun ét svar per spørgsmål)
I
Hver-
I
I høj
nogen
ken
mindre Slet
Ved
grad
grad
eller
grad
ikke
ikke
Kommunerne anvender børnehuset i alle
sager, hvor der er mistanke om overgreb,
og hvor flere myndigheder er involveret.
Kommunerne har nytte af de ydelser,
som børnehuset tilbyder.
Børnehusets anbefalinger i forbindelse
med konsultative henvendelser bliver ta-
get til efterretning af kommunerne.


















11. Hvis du har kommentarer eller forslag til forbedringer af det tværgående samarbejde
i børnehusene, kan du angive det her:
_________________________________________
Den geografiske placering af børnehusene
Der er oprettet fem børnehuse (ét i hver region). Hvert børnehus drives af den kommune, som
børnehuset ligger i. Det vil sige Aalborg, Aarhus, Odense, Næstved og København. Disse fem
kommuner er de såkaldte driftskommuner. I det nedenstående bedes du vurdere, om det er en
hensigtsmæssig organisering af børnehusene, at der er ét børnehus for hver region, der er
placeret i de nævnte kommuner. Bemærk, at tre af børnehusene har oprettet børnehussatellit-
ter. Du bedes besvare spørgsmålene ud fra dit kendskab til både børnehuse og satellitter.
124
Erfaringsopsamling af børnehusene
Socialstyrelsen
SOU, Alm.del - 2015-16 - Bilag 90: Orientering om evalueringen af Overgrebspakken, fra social- og indenrigsministeren
1574837_0125.png
12. Hvor enig er du i følgende udsagn om børnehusenes geografiske placering?
(angiv kun ét svar per spørgsmål)
I høj
grad
Placeringen af børnehusene i én drifts-
kommune (og eventuelt satellit) i hver re-
gion er medvirkende til at understøtte
samarbejdet mellem kommunerne i regi-
onen.
Placeringen af børnehusene i én drifts-
kommune (og eventuelt satellit) i hver re-
gion sikrer en tilfredsstillende geografisk
tilgængelighed af børnehuset.
I
nogen
grad
Hver-
ken
eller
I
mindre
grad
Slet
ikke
Ved
ikke












13. Hvis du har kommentarer eller forslag til forbedringer af den geografiske placering
af børnehusene, kan du angive det her:
_________________________________________
Kommunens varetagelse af driftsansvaret for børnehuset
Børnehusene er placeret i følgende driftsansvarlige kommuner: Aalborg, Aarhus, Odense,
Næstved og København. Driftskommunerne fastsætter blandt andet det samlede driftsbudget
for børnehusene.
14. Hvor enig er du i følgende udsagn om kommunens varetagelse af driftsansvaret for
børnehusene?
(angiv kun ét svar per spørgsmål)
I
Hver-
I
I høj
nogen
ken
mindre
Slet
Ved
grad
grad
eller
grad
ikke
ikke
Børnehuset er bemandet med tilstrække-
ligt fast personale til at varetage opga-
verne i forbindelse med sager om over-
greb mod børn og unge på en tilfredsstil-
lende måde.
Der er en klar ansvarsfordeling mellem
børnehuset og driftskommunen i forhold
til børnehusets opgaver.
Finansieringen af børnehuset er tilstræk-
kelig til at sikre et højt fagligt niveau i bør-
nehusene.
Kommunerne i regionen har kendskab til
børnehusets ydelser.
Samarbejdet mellem kommunerne i regi-
onen og børnehuset er generelt godt.






























15. Hvis du har kommentarer eller forslag til forbedringer af kommunens varetagelse af
driftsansvaret for børnehuset, kan du angive det her:
_________________________________________
125
Erfaringsopsamling af børnehusene
Socialstyrelsen
SOU, Alm.del - 2015-16 - Bilag 90: Orientering om evalueringen af Overgrebspakken, fra social- og indenrigsministeren
1574837_0126.png
Samarbejdet med Socialstyrelsen
Socialstyrelsen har til opgave at yde faglig understøttelse til børnehusene med henblik på at
sikre ensartethed i børnehusenes arbejde på landsplan. På den baggrund faciliterer Socialsty-
relsen en række faglige aktiviteter i samarbejde med børnehusene, blandt andet børnehusnet-
værksmøder, børnehusledermøder og faglige seminarer.
16. Har du deltaget i et eller flere børnehusledermøder afholdt i regi af Socialstyrelsen?
(angiv kun ét svar)
Ja

Nej

Ved ikke

Børnehusledermøder er kvartalsvise møder med deltagelse af lederne for de fem børnehuse
og SISO, der har til formål at styrke videndeling og erfaringsudveksling på tværs af børnehu-
sene.
17. I hvor høj grad understøtter børnehusledermøderne børnehusets arbejde?
(angiv kun ét svar)
I høj grad

I nogen grad

Hverken eller

I mindre grad

Slet ikke

18. Har du deltaget i et eller flere børnehusnetværksmøder i regi af Socialstyrelsen?
(angiv kun ét svar)
Ja

Nej

Ved ikke

Børnehusnetværksmøderne er halvårlige møder for medarbejdere fra børnehusene, medarbej-
dere i politiet, medarbejdere fra retsmedicinske institutter, medarbejdere fra sygehusafdelinger,
der har kontakt til børnehusene, samt repræsentanter fra KL. Formålet med møderne er at ud-
vikle det tværsektorielle netværk blandt fagpersonerne omkring børnehusene.
19. I hvor høj grad understøtter børnehusnetværksmøderne dit arbejde i børnehuset?
(angiv kun ét svar)
I høj grad

I nogen grad

Hverken eller

I mindre grad

Slet ikke

20. Har du gjort brug af Socialstyrelsens konsulentbistand?
(angiv kun ét svar)
Ja

Nej

Ved ikke

126
Erfaringsopsamling af børnehusene
Socialstyrelsen
SOU, Alm.del - 2015-16 - Bilag 90: Orientering om evalueringen af Overgrebspakken, fra social- og indenrigsministeren
1574837_0127.png
21. I hvor høj grad understøtter Socialstyrelsens konsulentbistand børnehusets ar-
bejde?
(angiv kun ét svar)
I høj grad

I nogen grad

Hverken eller

I mindre grad

Slet ikke

22. Har du erfaringer med at registrere oplysninger i det nationale dokumentations-
system (Børnehus-it)?
(angiv kun ét svar)
Ja

Nej

Ved ikke

23. I hvor høj grad oplever du det som enkelt at registrere en sags oplysninger i det nati-
onale dokumentationssystem (Børnehus-it)?
(angiv kun ét svar)
I høj grad

I nogen grad

Hverken eller

I mindre grad

Slet ikke

24. Har du anvendt informationer fra det nationale dokumentationssystem (Børnehus-
it)?
(angiv kun ét svar)
Ja

Nej

Ved ikke

25. I hvor høj grad oplever du det som enkelt at hente data om børnehusene ud fra det
nationale dokumentationssystem (Børnehus-it)?
(angiv kun ét svar)
I høj grad

I nogen grad

Hverken eller

I mindre grad

Slet ikke

26. Hvis du har kommentarer eller forslag til forbedringer af samarbejdet med Socialsty-
relsen, kan du angive det her:
_________________________________________
Afslutning
27. I hvor høj grad vurderer du samlet set, at børnehuset bidrager til at forbedre indsat-
sen i sager om overgreb mod børn og unge?
(angiv kun ét svar)
I høj grad

I nogen grad

Hverken eller

I mindre grad

Slet ikke

Ved ikke

127
Erfaringsopsamling af børnehusene
Socialstyrelsen
SOU, Alm.del - 2015-16 - Bilag 90: Orientering om evalueringen af Overgrebspakken, fra social- og indenrigsministeren
1574837_0128.png
28. Hvis du har yderligere kommentarer eller forslag til forbedringer af børnehusene,
kan du angive det her:
_________________________________________
29. Må vi kontakte dig efterfølgende i forbindelse med opklarende spørgsmål til din
besvarelse?
(angiv kun ét svar)


Ja
Nej
30. Angiv venligst mailadresse
_________________________________________
31. Angiv venligst telefonnummer
_________________________________________
Tak for din deltagelse
128
Erfaringsopsamling af børnehusene
Socialstyrelsen
SOU, Alm.del - 2015-16 - Bilag 90: Orientering om evalueringen af Overgrebspakken, fra social- og indenrigsministeren
1574837_0129.png
Bilag C: Spørgeskema til drifts-
kommuner
Baggrundsoplysninger
1. Angiv dit navn
__________________________________________________
2. Hvilken kommune er du ansat i?
(angiv kun ét svar)
__________________________________________________
3. Hvad er din stillingsbetegnelse?
(angiv kun ét svar)
Afdelingsleder
Andet (angiv hvad)
_ _ _ _ _ _ _ _ _ _ __ _ _ _ _ _ _ _ _ _ _ _ _ _ _ _ _ _ _ _ _ _ _ _ _ _ _ _ _ _ _ _ _ _ _ _ _ _ _ _
Teamleder
Faglig konsulent
Sagsbehandler/
rådgiver
4. Hvor længe har du arbejdet på området for udsatte børn og unge? Angiv antal hele år.
(angiv kun ét svar)
0
1
2
3
4
5
6
7
8
9
10 11 12 13 14 15 16 17 18 19 20+
5. Hvordan har du været i kontakt med børnehuset?
(angiv gerne flere svar)
I forbindelse med konsultativ bistand
I forbindelse med en børnehussag
I forbindelse med temadage afholdt af børnehuset
I forbindelse med anden mødeaktivitet (børnehusnetværksmøder, børnehusledermø-
der, faglige seminarer og lignende)
Har ikke haft kontakt med børnehuset
Andet (beskriv hvordan)
__________________________________________________
Børnehusene bistår kommunerne på to overordnede måder: gennem konsultativ bistand og i
børnehussager. Konsultativ bistand er, når børnehuset yder telefonisk rådgivning til en kom-
munal myndighedsrådgiver i en sag, hvor der er mistanke eller viden om overgreb mod et
barn/en ung. Det kan for eksempel være i tilfælde, hvor myndighedsrådgiveren er i tvivl, om en
129
Erfaringsopsamling af børnehusene
Socialstyrelsen
SOU, Alm.del - 2015-16 - Bilag 90: Orientering om evalueringen af Overgrebspakken, fra social- og indenrigsministeren
1574837_0130.png
sag skal i børnehuset eller ej. Der er tale om en børnehussag, når en kommune benytter bør-
nehuset til at bidrage til den børnefaglige undersøgelse i en sag om overgreb mod et barn/en
ung eller en mistanke om overgreb.
6. Hvor mange gange har du anvendt børnehuset til konsultativ bistand?
(angiv kun ét svar)
0
1
2
3
4
5
6
7
8
9
10+
7. Hvor mange sager har du haft i børnehuset?
(angiv kun ét svar)
0
1
2
3
4
5
6
7
8
9
10+
8. Hvad er årsagen til, at du ikke har brugt børnehuset?
(angiv gerne flere svar)
Jeg har ikke haft sager, som jeg vurderede var relevante for børnehuset
Børnehuset tilbyder ikke ydelser, der kan bidrage til vores sagsbehandling
Børnehuset yder ikke kvalificeret bistand
Kommunen har selv den nødvendige ekspertise
Andre årsager (angiv hvad)
__________________________________________________
Børnehusenes faste medarbejdere
Følgende spørgsmål handler om din vurdering af de faglige kompetencer og kvalifikationer
blandt børnehusets faste medarbejdere samlet set. Ud fra din egen erfaring bedes du vurdere,
om medarbejderne varetager børnehusenes kerneopgaver på en fagligt tilfredsstillende måde.
9. Hvor enig er du i følgende udsagn om børnehusenes faste medarbejdere?
(angiv kun ét svar per spørgsmål)
I
Hver-
I
I høj
nogen
ken
mindre Slet
grad
grad
eller
grad
ikke
Børnehusets faste medarbejdere er kvali-
ficeret til at bidrage til undersøgelsen i sa-
ger om overgreb mod børn og unge.
Børnehusets faste medarbejdere er kvali-
ficeret til at bistå ved børnesamtaler i sa-
ger om overgreb mod børn og unge.
Børnehusets faste medarbejdere er kvali-
ficeret til at give krisesamtale til barnet/
den unge, pårørende eller forældre i sa-
ger om overgreb mod børn og unge.
Børnehusets faste psykologfaglige med-
arbejdere er kvalificeret til at gennemføre
psykologiske vurderinger i sager om
overgreb mod børn og unge.
Ved
ikke
130
Erfaringsopsamling af børnehusene
Socialstyrelsen
SOU, Alm.del - 2015-16 - Bilag 90: Orientering om evalueringen af Overgrebspakken, fra social- og indenrigsministeren
1574837_0131.png
10. Hvis du har kommentarer eller forslag til forbedringer af kompetencerne hos de
faste medarbejdere i børnehuset, kan du angive det her:
__________________________________________________
Børnehusenes indretning
Børnehusenes lokaler skal være indrettet, så de både understøtter børnehusenes opgaver og
samtidig skaber behagelige og trygge rammer for børn/unge og pårørende. I de følgende
spørgsmål bedes du vurdere, i hvor høj grad børnehuset i din region er indrettet i forhold til en
række konkrete formål. Med indretning menes de indre fysiske rammer i børnehuset, for ek-
sempel lokalernes placering og størrelse, teknologi og arbejdsredskaber til rådighed for de pro-
fessionelle samt bekvemmeligheder for borgerne som sofaer, legetøj, kaffe mv. Hvis du aldrig
har været i børnehuset, er der mulighed for at svare ”Ved ikke”.
11. Hvor enig er du i følgende udsagn om børnehusenes indretning?
(angiv kun ét svar per spørgsmål)
I
Hver-
I
I høj
nogen
ken
mindre
grad
grad
eller
grad
Børnehuset er børnevenligt indrettet.
Børnehusets venterum er indrettet, så det
understøtter, at barnet/den unge oplever
omgivelserne som så trygge som muligt.
Børnehusets indretning understøtter vi-
deoafhøring i sager om overgreb mod
børn og unge.
Børnehusets indretning understøtter kri-
sestøtte i sager om overgreb mod børn
og unge.
Slet
ikke
Ved
ikke
12. Hvis du har kommentarer eller forslag til forbedringer af børnehusets indretning, kan
du angive det her:
__________________________________________________
Det tværsektorielle samarbejde i børnehusene
Børnehusene har til opgave at koordinere indsatserne i sager, hvor flere myndigheder er invol-
veret. Koordineringen og det tværsektorielle samarbejde finder især sted gennem sagssamråd
mellem de involverede myndigheder, herunder kommune, politi og sygehusvæsen. Sagssam-
rådene er møder, hvor repræsentanter fra de involverede myndigheder drøfter en konkret sag
og for eksempel koordinerer planlagte eller igangsatte indsatser.
13. Har du deltaget i et eller flere sagssamråd i konkrete børnehussager om overgreb
mod børn og unge i børnehuset?
(angiv kun ét svar)
Ja
Nej
Ved ikke
131
Erfaringsopsamling af børnehusene
Socialstyrelsen
SOU, Alm.del - 2015-16 - Bilag 90: Orientering om evalueringen af Overgrebspakken, fra social- og indenrigsministeren
1574837_0132.png
14. I hvor høj grad oplever du, at:
(angiv kun ét svar per spørgsmål)
I høj
grad
Børnehuset er med til at sikre, at samtlige
relevante fagpersoner fra de involverede
myndigheder deltager i sagssamrådene?
Der udveksles relevante informationer om
den pågældende sag mellem myndighe-
der og/eller fagpersoner?
Børnehuset koordinerer forløbet i sags-
samrådene, så der ydes en skånsom ind-
sats, der belaster barnet/den unge mindst
muligt?
Sagssamrådene bidrager til det faglige vi-
dengrundlag i undersøgelsen i sager om
overgreb mod børn og unge?
I
nogen
grad
Hver-
ken
eller
I
mindre
grad
Slet
ikke
Ved
ikke
15. I hvor høj grad har temadagene afholdt af børnehuset medvirket til at:
(angiv kun ét svar per spørgsmål)
I
Hver-
I
I høj
nogen
ken
mindre
grad
grad
eller
grad
Styrke din viden i forhold til sager om
overgreb mod børn og unge?
Styrke samarbejdet med andre myndig-
heder i sager om overgreb mod børn og
unge?
Slet
ikke
Ved
ikke
16. Hvis du har kommentarer eller forslag til forbedringer af det tværsektorielle samar-
bejde i børnehusene, kan du angive det her:
__________________________________________________
Den konsultative bistand i børnehusene
Børnehuset kan yde telefonisk rådgivning til en kommunal myndighedsrådgiver i en sag, hvor
der er mistanke eller viden om overgreb mod et barn/en ung. Det kan for eksempel være i til-
fælde, hvor myndighedsrådgiveren er i tvivl, om en sag skal i børnehuset.
17. I hvor høj grad oplever du, at:
(angiv kun ét svar per spørgsmål)
I høj
grad
Børnehuset har givet tilfredsstillende
konsultativ bistand i sager om overgreb
mod børn og ung?
Den konsultative bistand fra børnehuset
har medvirket til at afklare, om der skal
påbegyndes et sagsforløb i børnehu-
set?
I
nogen
grad
Hver-
ken
eller
I
mindre
grad
Slet
ikke
Ved
ikke
132
Erfaringsopsamling af børnehusene
Socialstyrelsen
SOU, Alm.del - 2015-16 - Bilag 90: Orientering om evalueringen af Overgrebspakken, fra social- og indenrigsministeren
1574837_0133.png
18. Indenfor hvilke områder har du modtaget vejledning gennem den konsultative
bistand fra børnehuset?
(angiv gerne flere svar)
Faglig viden om overgreb mod børn og unge
Viden om den pågældende sag
Viden om relevante procedurer
Viden om lovgivning
Vejledning i at tale med barnet/den unge og/eller pårørende
Andet (angiv hvad)
__________________________________________________
19. Hvis du har kommentarer eller forslag til forbedringer af den konsultative bistand i
børnehusene, kan du angive det her:
__________________________________________________
Den geografiske placering af børnehusene
Der er oprettet fem børnehuse (ét i hver region). Hvert børnehus drives af den kommune, som
børnehuset ligger i. Det vil sige Aalborg, Aarhus, Odense, Næstved og København. Disse fem
kommuner er de såkaldte driftskommuner. I det nedenstående bedes du vurdere, om det er en
hensigtsmæssig organisering af børnehusene, at der er ét børnehus for hver region, der er
placeret i de nævnte kommuner. Bemærk, at tre af børnehusene har oprettet børnehussatellit-
ter et andet sted i regionen. Du bedes besvare spørgsmålene ud fra dit kendskab til både bør-
nehuse og satellitter.
20. Hvor enig er du i følgende udsagn om børnehusenes geografiske placering?
(angiv kun ét svar per spørgsmål)
I høj
grad
Placeringen af børnehusene i én drifts-
kommune (og eventuelt satellit) i hver re-
gion er medvirkende til at understøtte
samarbejdet mellem kommunerne i regio-
nen.
Placeringen af børnehusene i én drifts-
kommune (og eventuelt satellit) i hver re-
gion sikrer en tilfredsstillende geografisk
tilgængelighed af børnehuset.
I
nogen
grad
Hver-
ken
eller
I
mindre
grad
Slet
ikke
Ved
ikke
21. Hvis du har kommentarer eller forslag til forbedringer af den geografiske placering
af børnehusene, kan du angive det her:
__________________________________________________
Kommunens varetagelse af driftsansvaret for børnehuset
Børnehusene er placeret i følgende driftsansvarlige kommuner: Aalborg, Aarhus, Odense,
Næstved og København. Driftskommunerne fastsætter blandt andet det samlede driftsbudget
for børnehusene.
133
Erfaringsopsamling af børnehusene
Socialstyrelsen
SOU, Alm.del - 2015-16 - Bilag 90: Orientering om evalueringen af Overgrebspakken, fra social- og indenrigsministeren
1574837_0134.png
22. Hvor enig er du i følgende udsagn om kommunens varetagelse af driftsansvaret for
børnehuset?
(angiv kun ét svar per spørgsmål)
I
Hver-
I
I høj
nogen
ken
mindre
Slet
Ved
grad
grad
eller
grad
ikke
ikke
Der er en klar ansvarsfordeling mellem
børnehuset og (drifts)kommunen i for-
hold til børnehusets opgaver.
Finansieringen af børnehuset er til-
strækkelig i forhold til at sikre et højt
fagligt niveau i børnehusene.
Kommunerne i regionen har kendskab
til børnehusets ydelser.
Kommunerne i regionen anvender bør-
nehuset i relevante sager.
Samarbejdet mellem kommunerne i re-
gionen og børnehuset er generelt godt.
23. Hvis du har kommentarer eller forslag til forbedringer af kommunens varetagelse af
driftsansvaret for børnehuset, kan du angive det her:
__________________________________________________
Afslutning
24. I hvor høj grad vurderer du samlet set, at børnehuset understøtter kommunens ind-
sats i sager om overgreb mod børn og unge?
(angiv kun ét svar)
I høj grad
I nogen grad
Hverken eller
I mindre grad
Slet ikke
Ved ikke
25. Hvis du har yderligere kommentarer eller forslag til forbedringer af børnehusene,
kan du angive det her:
__________________________________________________
26. Må vi kontakte dig efterfølgende i forbindelse med opklarende spørgsmål til din
besvarelse?
(angiv kun ét svar)
Ja
Nej
27. Angiv venligst mailadresse
__________________________________________________
28. Angiv venligst telefonnummer
__________________________________________________
Tak for din deltagelse
134
Erfaringsopsamling af børnehusene
Socialstyrelsen
SOU, Alm.del - 2015-16 - Bilag 90: Orientering om evalueringen af Overgrebspakken, fra social- og indenrigsministeren
1574837_0135.png
Bilag D: Spørgeskema til udvalgte
kommuner
Baggrundsoplysninger
1. Angiv dit navn
__________________________________________________
2. Hvilken kommune er du ansat i?
(angiv kun ét svar)
___________________________________________________
3. Hvad er din stillingsbetegnelse?
(angiv kun ét svar)
Afdelingsleder

Andet (angiv hvad)
__________________________________________________
4. Hvor længe har du arbejdet på området for udsatte børn og unge? Angiv antal hele år.
(angiv kun ét svar)
0
1
2
3
4
5
6
7
8
9
10 11 12 13 14 15 16 17 18 19
20+
Teamleder

Faglig konsulent

Sagsbehandler/
rådgiver

                   
5. Hvordan har du været i kontakt med børnehuset?
(angiv gerne flere svar)





I forbindelse med konsultativ bistand
I forbindelse med en børnehussag
I forbindelse med temadage afholdt af børnehuset
I forbindelse med anden mødeaktivitet (børnehusnetværksmøder, børnehusledermø-
der, faglige seminarer og lignende)
Har ikke haft kontakt med børnehuset
Andet (beskriv hvordan)
__________________________________________________
Børnehusene bistår kommunerne på to overordnede måder: gennem konsultativ bistand og i
børnehussager. Konsultativ bistand er, når børnehuset yder telefonisk rådgivning til en kom-
munal myndighedsrådgiver i en sag, hvor der er mistanke eller viden om overgreb mod et
barn/en ung. Det kan for eksempel være i tilfælde, hvor myndighedsrådgiveren er i tvivl, om en
sag skal i børnehuset eller ej. Der er tale om en børnehussag, når en kommune benytter bør-
nehuset til at bidrage til den børnefaglige undersøgelse i en sag om overgreb mod et barn/en
ung eller en mistanke om overgreb.
135
Erfaringsopsamling af børnehusene
Socialstyrelsen
SOU, Alm.del - 2015-16 - Bilag 90: Orientering om evalueringen af Overgrebspakken, fra social- og indenrigsministeren
1574837_0136.png
6. Hvor mange gange har du anvendt børnehuset til konsultativ bistand?
(angiv kun ét svar)
0

1

2

3

4

5

6

7

8

9

10+

7. Hvor mange børnehussager har du haft?
(angiv kun ét svar)
0

1

2

3

4

5

6

7

8

9

10+

8. Hvad er årsagen til, at du ikke har brugt børnehuset? Gå til spørgsmål 24.
(angiv gerne flere svar)




Jeg har ikke haft sager, som jeg vurderede var relevante for børnehuset
Børnehuset tilbyder ikke ydelser, der kan bidrage til vores sagsbehandling
Børnehuset yder ikke kvalificeret bistand
Kommunen har selv den nødvendige ekspertise
Andre årsager (angiv hvad)
__________________________________________________
Børnehusenes faste medarbejdere
Følgende spørgsmål handler om din vurdering af de faglige kompetencer og kvalifikationer
blandt børnehusets faste medarbejdere samlet set. Ud fra din egen erfaring bedes du vurdere,
om medarbejderne varetager børnehusenes kerneopgaver på en fagligt tilfredsstillende måde.
9. Hvor enig er du i følgende udsagn om børnehusenes faste medarbejdere?
(angiv kun ét svar per spørgsmål)
I høj
grad
Børnehusets faste medarbejdere er kvali-
ficeret til at bidrage til undersøgelsen i
sager om overgreb mod børn og unge.
Børnehusets faste medarbejdere er kvali-
ficeret til at bistå ved børnesamtaler i sa-
ger om overgreb mod børn og unge.
Børnehusets faste medarbejdere er kvali-
ficeret til at give krisesamtale til barnet/
den unge, pårørende eller forældre i sa-
ger om overgreb mod børn og unge.
Børnehusets faste psykologfaglige med-
arbejdere er kvalificeret til at gennemføre
psykologiske vurderinger i sager om
overgreb mod børn og unge.

I
nogen
grad

Hver-
ken
eller

I
mindre
grad

Slet
ikke

Ved
ikke



















136
Erfaringsopsamling af børnehusene
Socialstyrelsen
SOU, Alm.del - 2015-16 - Bilag 90: Orientering om evalueringen af Overgrebspakken, fra social- og indenrigsministeren
1574837_0137.png
10. Hvis du har kommentarer eller forslag til forbedringer af kompetencerne hos de
faste medarbejdere i børnehuset, kan du angive det her:
__________________________________________________
Børnehusenes indretning
Børnehusenes lokaler skal være indrettet, så de både understøtter børnehusenes opgaver og
samtidig skaber behagelige og trygge rammer for børn/unge og pårørende. I de følgende
spørgsmål bedes du vurdere, i hvor høj grad børnehuset i din region er indrettet i forhold til en
række konkrete formål. Med indretning menes de indre fysiske rammer i børnehuset, for ek-
sempel lokalernes placering og størrelse, teknologi og arbejdsredskaber til rådighed for de pro-
fessionelle samt bekvemmeligheder for borgerne som sofaer, legetøj, kaffe mv. Hvis du aldrig
har været i børnehuset, er der mulighed for at svare ”Ved ikke”.
11. Hvor enig er du i følgende udsagn om børnehusenes indretning?
(angiv kun ét svar per spørgsmål)
I
Hver-
I
I høj
nogen
ken
mindre
grad
grad
eller
grad
Børnehuset er børnevenligt indrettet.
Børnehusets venterum er indrettet, så
det understøtter, at barnet/den unge
oplever omgivelserne som så trygge
som muligt.
Børnehusets indretning understøtter
videoafhøring i sager om overgreb
mod børn og unge.
Børnehusets indretning understøtter
krisestøtte i sager om overgreb mod
børn og unge.




Slet
ikke

Ved
ikke



















12. Hvis du har kommentarer eller forslag til forbedringer af børnehusets indretning, kan
du angive det her:
__________________________________________________
Det tværsektorielle samarbejde i børnehusene
Børnehusene har til opgave at koordinere indsatserne i sager, hvor flere myndigheder er invol-
veret. Koordineringen og det tværsektorielle samarbejde finder især sted gennem sagssamråd
mellem de involverede myndigheder, herunder kommune, politi og sygehusvæsen. Sagssam-
rådene er møder, hvor repræsentanter fra de involverede myndigheder drøfter en konkret sag
og for eksempel koordinerer planlagte eller igangsatte indsatser.
13. Har du deltaget i et eller flere sagssamråd i konkrete børnehussager om overgreb
mod børn og unge i børnehuset?
(angiv kun ét svar)
Ja

Nej

Ved ikke

137
Erfaringsopsamling af børnehusene
Socialstyrelsen
SOU, Alm.del - 2015-16 - Bilag 90: Orientering om evalueringen af Overgrebspakken, fra social- og indenrigsministeren
1574837_0138.png
14. I hvor høj grad oplever du, at:
(angiv kun ét svar per spørgsmål)
I høj
grad
Børnehuset er med til at sikre, at samtlige
relevante fagpersoner fra de involverede
myndigheder deltager i sagssamrådene?
Der udveksles relevante informationer om
den pågældende sag mellem myndighe-
der og/eller fagpersoner?
Børnehuset koordinerer forløbet i sags-
samrådene, så der ydes en skånsom ind-
sats, der belaster barnet/den unge mindst
muligt?
Sagssamrådene bidrager til det faglige vi-
dengrundlag i undersøgelsen i sager om
overgreb mod børn og unge?

I
nogen
grad

Hver-
ken
eller

I
mindre
grad

Slet
ikke

Ved
ikke



















15. I hvor høj grad har temadagene afholdt af børnehuset medvirket til, at:
(angiv kun ét svar per spørgsmål)
I
Hver-
I
I høj
nogen
ken
mindre
Slet
grad
grad
eller
grad
ikke
Styrke din viden i forhold til sager om
overgreb mod børn og unge?
Styrke samarbejdet med andre myndig-
heder i sager om overgreb mod børn og
unge?





Ved
ikke







16. Hvis du har kommentarer eller forslag til forbedringer af det tværsektorielle samar-
bejde i børnehusene, kan du angive det her:
__________________________________________________
Den konsultative bistand i børnehusene
Børnehuset kan yde telefonisk rådgivning til en kommunal myndighedsrådgiver i en sag, hvor
der er mistanke eller viden om overgreb mod et barn/en ung. Det kan for eksempel være i til-
fælde, hvor myndighedsrådgiveren er i tvivl, om en sag skal i børnehuset eller ej.
17. I hvor høj grad oplever du, at:
(angiv kun ét svar per spørgsmål)
I høj
grad
Børnehuset har givet tilfredsstillende
konsultativ bistand i sager om overgreb
mod børn og unge?
Den konsultative bistand fra børnehuset
har medvirket til at afklare, om der skal
påbegyndes et sagsforløb i børnehu-
set?

I
nogen
grad

Hver-
ken
eller

I
mindre
grad

Slet
ikke

Ved
ikke







138
Erfaringsopsamling af børnehusene
Socialstyrelsen
SOU, Alm.del - 2015-16 - Bilag 90: Orientering om evalueringen af Overgrebspakken, fra social- og indenrigsministeren
1574837_0139.png
18. Indenfor hvilke områder har du modtaget vejledning gennem den konsultative bi-
stand fra børnehuset?
(angiv gerne flere svar)





Faglig viden om overgreb mod børn og unge
Viden om den pågældende sag
Viden om relevante procedurer
Viden om lovgivning
Vejledning i at tale med barnet/den unge og/eller pårørende
Andet (angiv hvad)
_ _ _ _ _ _ _ _ _ _ _ _ _ _ _ _ _ _ _ _ __ _ _ _ _ _ _ _ _ _ _ _ _ _ _ _ _ _ _ _ _ _ _ _ _ _ _ _ _ _
19. Hvis du har kommentarer eller forslag til forbedringer af den konsultative bistand i
børnehusene, kan du angive det her:
_ _ _ _ _ _ _ _ _ _ _ _ _ _ _ _ _ _ __ _ _ _ _ _ _ _ _ _ _ _ _ _ _ _ _ _ _ _ _ _ _ _ _ _ _ _ _ _ _ _
Den geografiske placering af børnehusene
Der er oprettet fem børnehuse (ét i hver region). Hvert børnehus drives af den kommune, som
børnehuset ligger i. Det vil sige Aalborg, Aarhus, Odense, Næstved og København. Disse fem
kommuner er de såkaldte driftskommuner. I det nedenstående bedes du vurdere, om det er en
hensigtsmæssig organisering af børnehusene, at der er ét børnehus for hver region, der er
placeret i de nævnte kommuner. Bemærk, at tre af børnehusene har oprettet børnehussatellit-
ter et andet sted i regionen. Du bedes besvare spørgsmålene ud fra dit kendskab til både bør-
nehuse og satellitter.
20. Hvor enig er du i følgende udsagn om børnehusenes geografiske placering?
(angiv kun ét svar per spørgsmål)
I
Hver-
I
I høj
nogen
ken
mindre Slet
grad
grad
eller
grad
ikke
Placeringen af børnehusene i én drifts-
kommune (og eventuelt satellit) i hver re-
gion er medvirkende til at understøtte
samarbejdet mellem kommunerne i regio-
nen.
Placeringen af børnehusene i én drifts-
kommune (og eventuelt satellit) i hver re-
gion sikrer en tilfredsstillende geografisk
tilgængelighed af børnehuset.
Ved
ikke












21. Hvis du har kommentarer eller forslag til forbedringer af den geografiske placering
af børnehusene, kan du angive det her:
_ _ _ _ _ _ _ _ _ _ _ _ _ _ _ _ _ _ _ _ _ _ _ _ _ _ _ _ _ _ _ _ _ _ _ _ _ _ _ _ _ _ _ _ _ _ _ _ _ __
139
Erfaringsopsamling af børnehusene
Socialstyrelsen
SOU, Alm.del - 2015-16 - Bilag 90: Orientering om evalueringen af Overgrebspakken, fra social- og indenrigsministeren
1574837_0140.png
Afslutning
22. I hvor høj grad vurderer du samlet set, at børnehuset understøtter kommunens ind-
sats i sager om overgreb mod børn og unge?
(angiv kun ét svar)
I høj grad

I nogen grad

Hverken eller

I mindre grad

Slet ikke

Ved ikke

23. Hvis du har yderligere kommentarer eller forslag til forbedringer af børnehusene, kan
du angive det her:
_ _ _ _ _ _ _ _ _ _ _ _ _ _ _ _ _ _ _ _ _ _ _ _ _ _ _ _ _ _ _ _ _ _ _ _ _ _ _ _ _ _ _ _ _ _ _ _ _ __
24. Må vi kontakte dig efterfølgende i forbindelse med opklarende spørgsmål til din
besvarelse?
(angiv kun ét svar)


Ja
Nej
25. Angiv venligst mailadresse
__________________________________________________
26. Angiv venligst telefonnummer
__________________________________________________
Tak for din deltagelse
140
Erfaringsopsamling af børnehusene
Socialstyrelsen
SOU, Alm.del - 2015-16 - Bilag 90: Orientering om evalueringen af Overgrebspakken, fra social- og indenrigsministeren
1574837_0141.png
Bilag E: Spørgeskema til politikredse
Baggrundsoplysninger
1. Angiv dit navn
__________________________________________________
2. I hvilken politikreds er du ansat?
(angiv kun ét svar)
__________________________________________________
3. Hvad er din stillingsbetegnelse?
__________________________________________________
4. Hvor længe har du været ansat i politiet? Angiv antal hele år.
(angiv kun ét svar)
0
1
2
3
4
5
6
7
8
9
10 11 12 13 14 15 16 17 18 19 20+
                    
5. Hvordan har du været i kontakt med børnehuset?
(angiv gerne flere svar)




Som videoafhører af børn på 12 år eller derunder
Som afhører af børn i alderen 13-17 år
Som sagsbehandler med ansvar for sagsforløbet i politiet
Har ikke haft kontakt med børnehuset
Andet (beskriv hvordan)
__________________________________________________
6. Beskriv gerne årsagerne til, at du ikke har haft kontakt med børnehuset.
Gå til spørgsmål 21.
__________________________________________________
7. Hvor mange sager i børnehuset om overgreb mod børn og unge har du deltaget i?
(angiv kun ét svar)
0

1

2

3

4

5

6

7

8

9

10+

141
Erfaringsopsamling af børnehusene
Socialstyrelsen
SOU, Alm.del - 2015-16 - Bilag 90: Orientering om evalueringen af Overgrebspakken, fra social- og indenrigsministeren
1574837_0142.png
8. Hvad er årsagen til, at du ikke har brugt børnehuset? Gå til spørgsmål 16.
(angiv gerne flere svar)




Jeg har ikke haft sager, som jeg vurderede var relevante for børnehuset
Børnehuset tilbyder ikke ydelser, der kan bidrage til vores sagsbehandling
Børnehuset yder ikke kvalificeret bistand
Kommunen har selv den nødvendige ekspertise
Andre årsager (angiv hvad)
__________________________________________________
Børnehusenes faste medarbejdere
Følgende spørgsmål handler om din vurdering af de faglige kompetencer og kvalifikationer
blandt børnehusets faste medarbejdere samlet set. Ud fra din egen erfaring bedes du vurdere,
om medarbejderne varetager børnehusenes kerneopgaver på en fagligt tilfredsstillende måde.
9. Hvor enig er du i følgende udsagn om børnehusenes faste medarbejdere?
(angiv kun ét svar per spørgsmål)
I
Hver-
I
I høj
nogen
ken
mindre Slet
grad
grad
eller
grad
ikke
Tilstedeværelsen af børnehusets faste
medarbejdere medvirker til, at videoafhø-
ringerne af børn og unge i sager om
overgreb foregår med en skånsomhed,
der er tilpasset sagens karakter og bar-
nets/den unges alder.
Børnehusets faste medarbejdere er kvali-
ficeret til at give myndighedsrådgiver vej-
ledning/information om politiets arbejde i
forbindelse med videoafhøring af børn og
unge i sager om overgreb.
Ved
ikke












10. Hvis du har kommentarer eller forslag til forbedringer af kompetencerne hos de
faste medarbejdere i børnehuset, kan du angive det her:
__________________________________________________
Børnehusenes indretning
Børnehusenes lokaler skal være indrettet, så de både understøtter børnehusenes opgaver og
samtidig skaber behagelige og trygge rammer for børn og pårørende. I de følgende spørgsmål
bedes du vurdere, i hvor høj grad børnehuset i din region er indrettet i forhold til en række kon-
krete formål. Med indretning menes de indre fysiske rammer i børnehuset, for eksempel loka-
lernes placering og størrelse, teknologi og arbejdsredskaber til rådighed for de professionelle
samt bekvemmeligheder for borgerne som sofaer, legetøj, kaffe mv. Hvis du aldrig har været i
børnehuset, er der mulighed for at svare ”Ved ikke”.
142
Erfaringsopsamling af børnehusene
Socialstyrelsen
SOU, Alm.del - 2015-16 - Bilag 90: Orientering om evalueringen af Overgrebspakken, fra social- og indenrigsministeren
1574837_0143.png
11. Hvor enig er du i følgende udsagn om børnehusenes indretning?
(angiv kun ét svar per spørgsmål)
I
Hver-
I
I høj
nogen
ken
mindre
grad
grad
eller
grad
Børnehusets indretning understøt-
ter, at barnet/den unge oplever om-
givelserne som så trygge som mu-
ligt.
Børnehusets afhøringslokale(r) til
videoafhøring af børn på 12 år eller
derunder er indrettet, så de under-
støtter videoafhøringen af børn og
unge i sager om overgreb.
Børnehusets monitorrum er indret-
tet, så de understøtter videoafhørin-
gen af børn og unge i sager om
overgreb.
Børnehusets indretning giver mulig-
hed for afhøring af børn/unge i alde-
ren 13-17 år i sager om overgreb.




Slet
ikke

Ved
ikke



















12. Hvis du har kommentarer eller forslag til forbedringer af børnehusets indretning, kan
du angive det her:
__________________________________________________
Det tværsektorielle samarbejde i børnehusene
Børnehusene har til opgave at koordinere indsatserne i sager, hvor flere myndigheder er invol-
veret. Koordineringen og det tværsektorielle samarbejde finder især sted gennem sagssamråd
mellem de involverede myndigheder, herunder kommune, politi og sygehusvæsen. Sagssam-
rådene er møder, hvor repræsentanter fra de involverede myndigheder drøfter en konkret sag
og for eksempel koordinerer planlagte eller igangsatte indsatser.
13. Har du deltaget i et eller flere sagssamråd i konkrete børnehussager om overgreb
mod børn og unge i børnehuset?
(angiv kun ét svar)
Ja

Nej

Ved ikke

14. I hvor høj grad oplever du, at:
(angiv kun ét svar per spørgsmål)
I høj
grad
Børnehuset er med til at sikre, at samtlige
relevante fagpersoner fra de involverede
myndigheder deltager i sagssamrådene?
Der udveksles informationer om den på-
gældende sag mellem myndigheder
og/eller fagpersoner?
Børnehuset koordinerer forløbet i sags-
samrådene, så der ydes en skånsom ind-
sats, der belaster barnet/den unge mindst
muligt?
Sagssamrådene understøtter tilrettelæg-
gelsen af politiets indsats i sager om
overgreb mod børn og unge?

I
nogen
grad

Hver-
ken
eller

I
mindre
grad

Slet
ikke

Ved
ikke



















143
Erfaringsopsamling af børnehusene
Socialstyrelsen
SOU, Alm.del - 2015-16 - Bilag 90: Orientering om evalueringen af Overgrebspakken, fra social- og indenrigsministeren
1574837_0144.png
15. Har du deltaget i et eller flere børnehussamråd (møder, der ikke er relateret til en
konkret sag) afholdt af børnehuset?
(angiv kun ét svar)
Ja

Nej

Ved ikke

16. I hvor høj grad har det/de børnehussamråd medvirket til at:
(angiv kun ét svar per spørgsmål)
I
Hver-
I høj
nogen
ken
grad
grad
eller
Styrke din viden i forhold til sager om
overgreb mod børn og unge?
Forbedre samarbejdet mellem de rele-
vante myndigheder og/eller fagpersoner?



I
mindre
grad

Slet
ikke

Ved
ikke







17. Hvis du har kommentarer eller forslag til forbedringer af det tværgående samarbejde
i børnehusene, kan du angive det her:
__________________________________________________
Afslutning
18. I hvor høj grad vurderer du samlet set, at børnehuset understøtter politiets indsats i
sager om overgreb mod børn og unge?
(angiv kun ét svar)
I høj grad

I nogen grad

Hverken eller

I mindre grad

Slet ikke

Ved ikke

19. Hvis du har yderligere kommentarer eller forslag til forbedringer af børnehusene,
kan du angive det her:
__________________________________________________
20. Må vi kontakte dig efterfølgende i forbindelse med opklarende spørgsmål til din
besvarelse?
(angiv kun ét svar)


Ja
Nej
21. Angiv venligst mailadresse
__________________________________________________
22. Angiv venligst telefonnummer
__________________________________________________
Tak for din deltagelse
144
Erfaringsopsamling af børnehusene
Socialstyrelsen
SOU, Alm.del - 2015-16 - Bilag 90: Orientering om evalueringen af Overgrebspakken, fra social- og indenrigsministeren
1574837_0145.png
Bilag F: Besvarelser af spørgeskema-
undersøgelser
Tabel 9. Antal besvarelser fra ledere og medarbejdere i børnehusene
Ledere
Børnehus Hovedstaden
Børnehus Sjælland
Børnehus Syd
Børnehus Midt
Børnehus Nord
Total
2
1
1
1
1
6
Medarbejdere
5
4
8
2
4
22
Total
7
5
9
3
5
29
Kilde:
Spørgeskema blandt børnehusenes medarbejdere.
Tabel 10. Antal besvarelser fra ledere og medarbejdere i driftskommunerne
Ledere
Københavns Kommune
Næstved Kommune
Odense Kommune
Aarhus Kommune
Aalborg Kommune
Total
3
1
2
2
1
9
Medarbejdere
10
0
19
6
2
37
Total
13
1
21
8
3
46
Kilde:
Spørgeskema blandt driftskommuner.
Tabel 11. Antal besvarelser fra ledere og medarbejdere i udvalgte kommuner
Ledere
Børnehus Hovedstaden
Børnehus Sjælland
Børnehus Syd
Børnehus Midt
Børnehus Nord
Total
3
2
6
2
4
17
Medarbejdere
11
12
23
8
15
69
Total Antal kommuner
14
14
29
10
19
86
4
6
5
6
5
26
Kilde:
Spørgeskema blandt udvalgte kommuner.
145
Erfaringsopsamling af børnehusene
Socialstyrelsen
SOU, Alm.del - 2015-16 - Bilag 90: Orientering om evalueringen af Overgrebspakken, fra social- og indenrigsministeren
1574837_0146.png
Tabel 12. Antal besvarelser fra medarbejdere i politiet
Medarbejdere
Bornholms politi
Fyns Politi
Københavns Politi
Københavns Vestegns Politi
Midt- og Vestjyllands Politi
Midt- og Vestsjællands Politi
Nordjyllands Politi
Nordsjællands Politi
Syd- og Sønderjyllands Politi
Sydsjælland og Lolland Falsters Politi
Sydøstjyllands Politi
Østjyllands Politi
Total
Kilde:
Spørgeskema blandt politikredse.
3
10
7
5
1
1
11
3
2
6
15
4
68
146
Erfaringsopsamling af børnehusene
Socialstyrelsen
SOU, Alm.del - 2015-16 - Bilag 90: Orientering om evalueringen af Overgrebspakken, fra social- og indenrigsministeren
1574837_0147.png
Bilag G: Figurer og tabeller
I bilag G er vedlagt de figurer og tabeller, der henvises til i løbet af selve rap-
porten.
Figur 62. Antal modtagne sager fordelt på børnehuse, 2014
60
50
40
Antal sager
30
20
10
0
Jan
Feb
Mar
Apr
Børnehus
Midt
Maj
Jun
Jul
Aug
Sep
Okt
Nov
Dec
Børnehus
Hovedstaden
Børnehus
Nord
Børnehus
Sjælland
Børnehus
Syd
Kilde:
Børnehus IT.
Note:
Modtagne sager er opgjort på startdato.
Figur 63. Antal afsluttede sager fordelt på børnehuse, 2014
70
60
50
Antal sager
40
30
20
10
0
Jan
Feb
Mar
Apr
Børnehus
Midt
Maj
Jun
Jul
Aug
Sep
Okt
Nov
Dec
Børnehus
Hovedstaden
Børnehus
Nord
Børnehus
Sjælland
Børnehus
Syd
Kilde:
Børnehus IT.
Note:
Afsluttede sager er opgjort på slutdato.
147
Erfaringsopsamling af børnehusene
Socialstyrelsen
SOU, Alm.del - 2015-16 - Bilag 90: Orientering om evalueringen af Overgrebspakken, fra social- og indenrigsministeren
1574837_0148.png
Tabel 13: Antal afsluttede sager om seksuelle overgreb fordelt på typer af
overgreb og børnehuse, 2014
Børnehus Børnehus Børnehus Børnehus Børnehus
Hovedstaden
Midt
Nord Sjælland
Syd
Blufærdigheds-
krænkelse
Anden kønslig
omgang
Samleje
Foto
It krænkelse
Andet
59%
41%
17%
17%
3%
14%
57%
39%
24%
11%
7%
4%
73%
41%
23%
11%
5%
9%
61%
19%
17%
8%
14%
8%
67%
41%
23%
7%
1%
5%
Total
64%
37%
21%
10%
5%
7%
Kilde:
Børnehus IT.
Note:
Afsluttede sager er opgjort på slutdato.
Tabel 14: Antal afsluttede sager om voldelige overgreb fordelt på typer af
overgreb og børnehuse, 2014
Børnehus Børnehus Børnehus Børnehus Børnehus
Hovedstaden
Midt
Nord Sjælland
Syd
88%
45%
60%
67%
57%
31%
22%
7%
11%
4%
6%
1%
0%
4%
66%
13%
21%
29%
21%
5%
0%
5%
11%
62%
13%
20%
13%
5%
7%
4%
2%
15%
33%
7%
13%
2%
4%
0%
0%
2%
22%
67%
13%
7%
4%
7%
4%
2%
1%
8%
Total
67%
51%
15%
11%
9%
7%
5%
2%
1%
9%
Slag/spark
Lussinger
Slag med gen-
stand
Trusler om vold
Vidne til vold
Rusk
Kvælersag
Truet med våben
Brændemærket
Anden vold
Kilde:
Børnehus IT.
Note:
Afsluttede sager er opgjort på slutdato.
Figur 64. Krænkere fordelt på alder og børnehuse, 2014
100%
3%
19%
80%
3%
9%
10%
8%
Procent
60%
89%
40%
56%
71%
80%
73%
77%
20%
2%
0%
Børnehus
Hovedstaden
(n: 201)
8%
11%
10%
Børnehus
Midt
(n: 59)
15%
5%
Børnehus
Nord
(n: 75)
Børnehus
Sjælland
(n: 60)
31-50 år
8%
6%
Børnehus
Syd
(n: 185)
Over 50 år
7%
4%
Total
(n: 580)
Under 18 år
18-23 år
24-30 år
Kilde:
Børnehus IT.
Note:
Afsluttede sager er opgjort på slutdato.
148
Erfaringsopsamling af børnehusene
Socialstyrelsen
SOU, Alm.del - 2015-16 - Bilag 90: Orientering om evalueringen af Overgrebspakken, fra social- og indenrigsministeren
1574837_0149.png
Figur 65. Krænkere fordelt på køn og børnehuse, 2014
100%
11%
25%
80%
23%
15%
21%
21%
Procent
60%
89%
75%
77%
85%
40%
79%
79%
20%
0%
Børnehus
Hovedstaden
(n: 201)
Børnehus
Midt
(n: 61)
Børnehus
Nord
(n: 101)
Mand
Børnehus
Sjælland
(n: 62)
Kvinde
Børnehus
Syd
(n: 342)
Total
(n: 668)
Kilde:
Børnehus IT.
Note:
Afsluttede sager er opgjort på slutdato.
Figur 66. Børnehusets faste medarbejdere er kvalificerede til at give krise-
samtale i sager om overgreb mod børn og unge.
Medarbejdere i børnehuse
(n: 29)
69%
31%
Medarbejdere i kommuner
(n: 94)
44%
13%
41%
0%
I høj grad
I nogen grad
20%
Hverken eller
40%
Procent
60%
80%
Slet ikke
100%
Ved ikke
I mindre grad
Kilde:
Spørgeskemaundersøgelse blandt børnehuse og kommuner
149
Erfaringsopsamling af børnehusene
Socialstyrelsen
SOU, Alm.del - 2015-16 - Bilag 90: Orientering om evalueringen af Overgrebspakken, fra social- og indenrigsministeren
1574837_0150.png
Figur 67. Børnehusets faste psykologfaglige medarbejdere er kvalificerede til
at gennemføre psykologiske vurderinger i sager om overgreb mod børn og
unge.
Medarbejdere i børnehuse
(n: 29)
76%
24%
Medarbejdere i kommuner
(n: 94)
41%
14% 3%
40%
0%
10% 20% 30% 40% 50% 60% 70% 80% 90% 100%
Procent
I høj grad
I nogen grad
Hverken eller
I mindre grad
Slet ikke
Ved ikke
Kilde:
Spørgeskemaundersøgelse blandt børnehuse og kommuner
Figur 68. Tilstedeværelsen af børnehusets faste medarbejdere medvirker til,
at videoafhøringerne af børn og unge i sager om overgreb foregår med en
skånsomhed, der er tilpasset sagens karakter og barnets alder.
Børnehus Hovedstaden
(n: 18)
Børnehus Midt
(n: 5)
Børnehus Nord
(n: 11)
Børnehus Sjælland
(n: 7)
Børnehus Syd
(n: 12)
0%
I høj grad
I nogen grad
33%
22%
22%
22%
60%
20%
20%
45%
27%
9%
18%
100%
17%
20%
33%
40%
17%
60%
8%
8%
80%
17%
100%
Ved ikke
Hverken eller
I mindre grad
Slet ikke
Kilde:
Spørgeskemaundersøgelse blandt politikredse.
Note:
Medarbejderne i Sydøstjyllands Po-
litikreds anvender både Børnehus Syd og Børnehus Midt afhængig af det pågældende barns bo-
pælskommune. De 15 besvarelser fra denne politikreds er derfor ikke medtaget i denne figur, da
de ikke entydigt kan henføres til ét bestemt børnehus.
150
Erfaringsopsamling af børnehusene
Socialstyrelsen
SOU, Alm.del - 2015-16 - Bilag 90: Orientering om evalueringen af Overgrebspakken, fra social- og indenrigsministeren
1574837_0151.png
Figur 69. Børnehusets faste medarbejdere er kvalificerede til at give myndig-
hedsrådgiver vejledning/information om politiets arbejde i forbindelse med vi-
deoafhøring af børn og unge i sager om overgreb.
Børnehus Hovedstaden
(n: 18)
Børnehus Midt
(n: 5)
Børnehus Nord
(n: 11)
Børnehus Sjælland
(n: 7)
Børnehus Syd
(n: 12)
0%
I høj grad
I nogen grad
50%
22%
6%
22%
60%
40%
64%
18%
18%
100%
25%
20%
25%
40%
8%
60%
42%
80%
Slet ikke
100%
Ved ikke
Hverken eller
I mindre grad
Kilde:
Spørgeskemaundersøgelse blandt politikredse.
Note:
Medarbejderne i Sydøstjyllands Po-
litikreds anvender både Børnehus Syd og Børnehus Midt afhængig af det pågældende barns bo-
pælskommune. De 15 besvarelser fra denne politikreds er derfor ikke medtaget i denne figur, da
de ikke entydigt kan henføres til ét bestemt børnehus.
Figur 70. Børnehuset er børnevenligt indrettet
Børnehuse
93%
7%
0%
I høj grad
20%
I nogen grad
40%
Hverken eller
60%
I mindre grad
80%
Slet ikke
100%
Ved ikke
Kilde:
Spørgeskemaundersøgelse blandt børnehuse.
N:
29
151
Erfaringsopsamling af børnehusene
Socialstyrelsen
SOU, Alm.del - 2015-16 - Bilag 90: Orientering om evalueringen af Overgrebspakken, fra social- og indenrigsministeren
1574837_0152.png
Figur 71. Børnehusets indretning giver mulighed for afhøring af børn i alde-
ren 13-17 år i børnehuset.
Børnehus Hovedstaden
(n: 18)
Børnehus Midt
(n: 5)
Børnehus Nord
(n: 11)
Børnehus Sjælland
(n: 7)
Børnehus Syd
(n: 11)
0%
I høj grad
I nogen grad
50%
40%
55%
43%
36%
20%
Hverken eller
14%
9% 9%
40%
60%
22%
6%
60%
18%
14%
14%
45%
80%
Slet ikke
100%
Ved ikke
27%
14%
22%
I mindre grad
Kilde:
Spørgeskemaundersøgelse blandt politikredse. Note: Medarbejderne i Sydøstjyllands Po-
litikreds anvender både Børnehus Syd og Børnehus Midt afhængig af det pågældende barns bo-
pælskommune. De 15 besvarelser fra denne politikreds er derfor ikke medtaget i denne figur, da
de ikke entydigt kan henføres til ét bestemt børnehus.
Figur 72. Antal børnehussager fordelt på varighed af opstarten og type af
overgreb (procent), 2014
40%
35%
30%
25%
Procent
20%
15%
10%
5%
0%
0
1
2
3
4
5
6
7
8
9 10 11 12 13 14 15 16 17 18 19 20+
Antal uger
Seksuelle overgreb (n: 238)
Voldelige overgreb (n: 421)
Kilde:
Børnehus IT.
Note:
Et mindre antal sager har en dato for første sagssamråd, der ligger
før oprettelsesdatoen, hvorfor disse ikke er medtaget i denne opgørelse. I denne opgørelse er
medtaget både afsluttede og aktive sager, hvor der er registreret mindst ét sagssamråd. Nul
uger angiver, at det første sagssamråd afholdes på samme dag, som sagen er oprettet.
152
Erfaringsopsamling af børnehusene
Socialstyrelsen
SOU, Alm.del - 2015-16 - Bilag 90: Orientering om evalueringen af Overgrebspakken, fra social- og indenrigsministeren
1574837_0153.png
Figur 73. Antal børnehussager fordelt på registreret varighed af sagsforløbet og
type af overgreb (procent), 2014
30%
25%
20%
Procent
15%
10%
5%
0%
0
1
2
3
4
5
6
7
8
9
10
11
12
13
Antal måneder
Seksuelle overgreb (n: 249)
Voldelige overgreb (n: 457)
Kilde:
Børnehus IT.
Note:
I denne opgørelse er udelukkende medtaget afsluttede sager. En må-
ned er opgjort til 30 dage.
Figur 74. Antal børnehussager og registreret varighed af sagsforløbet fordelt på
antal ydelser per sag, 2014
250
160
140
200
120
Antal sager
80
100
60
40
50
20
0
1
2
3
4
5
6
7
8
9
10
11
12
13
14
15
Antal indsatser
Antal børnehussager
Varighed af sagsforløbet
0
Kilde:
Børnehus IT.
N:
582.
Note:
I denne opgørelse er udelukkende medtaget afsluttede sager.
153
Erfaringsopsamling af børnehusene
Socialstyrelsen
Antal dage
150
100
SOU, Alm.del - 2015-16 - Bilag 90: Orientering om evalueringen af Overgrebspakken, fra social- og indenrigsministeren
1574837_0154.png
Bilag H: Operationalisering
I dette bilag beskrives den anvendte operationalisering af erfaringsopsamlin-
gen af børnehusene. Formålet med operationaliseringen er at konstruere
konkrete mål og måleteknikker, der sikrer, at problemstillingen belyses på
den ønskede måde.
25
Erfaringsopsamlingen gennemføres som et
sequential mixed methods de-
sign,
hvilket betyder, at erfaringsopsamlingen først belyses kvantitativt gen-
nem spørgeskemaer, hvorefter resultaterne udbygges og nuanceres gennem
en kvalitativ dataindsamling i form af telefoninterview og fokusgrupper.
Både den kvantitative og den kvalitative dataindsamling tager udgangspunkt i
en operationalisering af erfaringsopsamlingens overordnede analysespørgs-
mål:
Hvilke erfaringer har de forskellige interessenter i og omkring børnehusene
gjort sig i forhold til den tværsektorielle samarbejdsmodel?
Denne overordnede problemstilling operationaliseres på to måder:
1) Operationalisering af de samarbejdsrelationer, der er relevante for afdæk-
ningen af den overordnede problemstilling. Det vil sige, hvilke interessen-
ter dataindsamlingen skal omfatte.
2) Operationalisering af disse aktørers oplevelse af samarbejdet om sagerne
gennem nedbrydning af samarbejdet i to koncepter med en række under-
temaer.
Tilsammen danner disse to operationaliseringer et detaljeret grundlag for ud-
arbejdelsen af spørgeskemaerne og den øvrige dataindsamling. I det føl-
gende beskrives de to operationaliseringer.
Operationalisering af samarbejdsrelationer
Børnehusenes samarbejdsrelationer fremgår af bekendtgørelsen og indbefat-
ter således følgende aktører:
Børnehusene
Driftskommunerne
De resterende kommuner (repræsenteret ved de 30 udvalgte kommuner)
Politiet
Sundhedsvæsnet, det vil sige børnelæger og retsmedicinere
Socialstyrelsen.
25
Bryman (2004): Social Research Methods og Bøgh Andersen, Møller Hansen og Klemmensen
(2010): Metoder i statskundskab.
154
Erfaringsopsamling af børnehusene
Socialstyrelsen
SOU, Alm.del - 2015-16 - Bilag 90: Orientering om evalueringen af Overgrebspakken, fra social- og indenrigsministeren
1574837_0155.png
Det er således disse aktørers oplevelse af børnehussamarbejdet, der skal af-
dækkes i besvarelsen af det overordnede analysespørgsmål.
Der gennemføres spørgeskemaundersøgelser med de interessentgrupper,
der har tilstrækkelig stor volumen, til at kvantificering af deres oplevelse af
børnehusene er meningsfuld. Det vil sige ledere og medarbejdere i børnehu-
sene, i driftskommunerne, i de 30 udvalgte kommuner og i politiet. Spørge-
skemaundersøgelserne suppleres med efterfølgende telefoninterview med
nogle af deltagerne for at udbygge og nuancere konklusionerne.
Børnelægers, retsmedicineres og Socialstyrelsens oplevelser af børnehus-
samarbejdet indsamles gennem den kvalitative del af erfaringsopsamlingen.
I nedenstående tabel ses det samlede overblik over, hvordan interessenter-
nes erfaringer opsamles.
Tabel 15. Erfaringsopsamling blandt interessenterne
Interessenter
Børnehuse
Erfaringsopsamling
Spørgeskema blandt ledere og medarbejdere
Fokusgruppe med børnehusledere
Spørgeskema blandt ledere og medarbejdere
Uddybende telefoninterview
Spørgeskema blandt ledere og medarbejdere
Uddybende telefoninterview
Spørgeskema blandt ledere og medarbejdere
Uddybende telefoninterview
Telefoninterview
Fokusgruppe
Driftskommuner
30 kommuner
Politiet
Børnelæger og retsmedicinere
Socialstyrelsen
Opsamlingen af interessenternes erfaringer bygger uanset indsamlingsme-
tode på en operationalisering af børnehussamarbejdets elementer. Denne
operationalisering beskrives i det følgende afsnit.
Operationalisering af børnehussamarbejdet
Det overordnede analysespørgsmål retter sig mod interessenternes erfarin-
ger med den tværsektorielle samarbejdsmodel i børnehusene. For at af-
dække dette kræves en operationalisering af, hvilke aspekter af denne sam-
arbejdsmodel der undersøges.
Som det fremgår af udbudsmaterialet, ønskes aktørernes erfaringer med bør-
nehusene belyst med fokus på to punkter: børnehusenes organisatoriske for-
ankring og rammebetingelserne for det tværsektorielle samarbejde.
Der skal således være både en passende organisatorisk forankring af børne-
husene og tilstrækkelige rammebetingelser for det tværsektorielle samar-
bejde, for at det kan konkluderes, at samarbejdet mellem aktørerne i regi af
børnehusene er velfungerende.
155
Erfaringsopsamling af børnehusene
Socialstyrelsen
SOU, Alm.del - 2015-16 - Bilag 90: Orientering om evalueringen af Overgrebspakken, fra social- og indenrigsministeren
1574837_0156.png
Disse to koncepter er dog i sig selv for overordnede til at udgøre en endelig
operationalisering af problemstillingen. Hvert koncept nedbrydes derfor yder-
ligere i temaer for at muliggøre afdækningen af de relevante aspekter af ak-
tørernes oplevelse af samarbejdet i børnehusene.
Nedbrydningen i temaer er illustreret i nedenstående figur, og hvert af de syv
temaer motiveres nedenfor.
Figur 75. Nedbrydning af koncepter i temaer
Temaer til afdækning af erfaringerne med den organisatoriske
forankring
Børnehusenes organisatoriske forankring i fem driftskommuner har konse-
kvenser for, hvordan det tværsektorielle samarbejde opleves blandt de delta-
gene aktører. Den organisatoriske forankring har tre primære konsekvenser,
der afdækkes i de tre temaer under dette koncept:
Varetagelse af driftsansvar:
Som konsekvens af den organisatoriske
forankring drives børnehusene individuelt af de fem driftskommuner. In-
denfor dette tema analyseres således oplevelsen af driftskommunernes
varetagelse af driftsansvaret i forhold til at understøtte formålene med
børnehusene.
Geografisk placering:
En anden konsekvens af den organisatoriske for-
ankring er den geografiske placering af børnehusene. For at den organi-
satoriske forankring af børnehusene kan siges at være passende, skal
placeringen i fem geografisk forskellige kommuner understøtte formålene
med børnehusene. Indenfor dette tema analyseres således aktørernes
oplevelse af, om den geografiske placering understøtter disse formål.
Samarbejdet med Socialstyrelsen:
Børnehusenes forankring i de fem
driftskommuner suppleres med en tværgående forankring i Socialstyrel-
sen, der understøtter børnehusenes tværgående faglige udvikling og de-
res nationale dokumentationssystem. Indenfor dette tema analyseres der-
for børnehusenes oplevelse af samarbejdet med Socialstyrelsen.
156
Erfaringsopsamling af børnehusene
Socialstyrelsen
SOU, Alm.del - 2015-16 - Bilag 90: Orientering om evalueringen af Overgrebspakken, fra social- og indenrigsministeren
1574837_0157.png
Temaer til afdækning af erfaringerne med rammebetingel-
serne for det tværsektorielle samarbejde
Rammerne for det tværsektorielle samarbejde udgøres af både de ressourcer
og kompetencer, der er til stede i børnehusene, og de samarbejdsformer,
hvori aktørerne indgår i regi af børnehusene. Dette afdækkes gennem de fire
nedenstående temaer:
Børnehusenes kompetencer:
Hvis børnehusene skal kunne opfylde det
overordnede formål, skal de faste medarbejdere opleves som tilstrækkelig
kompetente af både børnehuset selv og de øvrige aktører.
Børnehusenes indretning:
Børnehusenes indretning og tilgængelighed
er en vigtig del af rammebetingelserne for det tværsektorielle samarbejde.
Børnehusene skal være indrettet, så de understøtter formålet.
Det tværgående samarbejde:
Selve de aktiviteter, der gennemføres som
del af det tværgående samarbejde, skal vurderes i forhold til det overord-
nede formål.
Den konsultative bistand:
Kvaliteten af den konsultative bistand, som
børnehusene yder kommunerne, skal vurderes i forhold til det overord-
nede formål.
Disse fire temaer er således indikatorer på, at de eksisterende rammebetin-
gelser i børnehusene er hensigtsmæssige i forhold til det overordnede for-
mål, og vurderes tilsammen at kunne belyse aktørernes erfaringer med ram-
mebetingelserne for og indholdet af det tværsektorielle samarbejde i børne-
husene.
De to operationaliseringer af analysespørgsmålet i forhold til henholdsvis ak-
tører og temaer anvendes sammen til at systematisere dataindsamlingen.
Nogle temaer er relevante i forhold til alle involverede aktører i børnehussam-
arbejdet (for eksempel børnehusenes indretning), mens andre kun er rele-
vante for nogle aktører. For eksempel er oplevelsen af den konsultative bi-
stand udelukkende relevant for kommunerne.
Figuren nedenfor giver et samlet overblik over, hvordan operationaliseringen
af problemstillingen danner ramme for erfaringsopsamlingen, og hvilke data-
kilder der er anvendt til at belyse aktørernes erfaringer indenfor de enkelte te-
maer.
157
Erfaringsopsamling af børnehusene
Socialstyrelsen
SOU, Alm.del - 2015-16 - Bilag 90: Orientering om evalueringen af Overgrebspakken, fra social- og indenrigsministeren
1574837_0158.png
Figur 76. Samlet overblik over erfaringsopsamlingen ud fra operationalisering
af aktører og temaer
Den kvantitative dataindsamling
Den kvantitative indsamling udgør den første del af det sekventielle undersø-
gelsesdesign og består af spørgeskemaundersøgelser blandt fire af de invol-
verede aktører:
1. Spørgeskema blandt ledere og medarbejdere i 30 kommuner, der direkte
eller indirekte har med børnehussager at gøre.
2. Spørgeskema blandt ledere og medarbejdere i de fem driftskommuner,
der direkte eller indirekte har med børnehussager at gøre.
3. Spørgeskema blandt medarbejdere i landets 12 politikredse, der direkte
eller indirekte har med børnehussager at gøre.
4. Spørgeskema til børnehusenes personale, herunder ledere og medarbej-
dere.
De syv temaer udgør rammen for alle de fire spørgeskemaer, selvom alle te-
maer ikke er relevante for alle aktører. Formuleringen af de enkelte spørgs-
mål er tilpasset den enkelte målgruppe, men spørgsmålenes ordlyd gentages
i videst muligt omfang på tværs af spørgeskemaundersøgelser for at mulig-
gøre en sammenligning af svarene på tværs af de fire aktører.
Den kvalitative dataindsamling
Den kvalitative dataindsamling består af telefoninterview med kommuner,
driftskommuner og politi samt fokusgrupper med henholdsvis børnehusle-
derne og relevante medarbejdere Socialstyrelsen.
Den kvalitative dataindsamling bygger på den viden, der er indsamlet gen-
nem den kvantitative del af dataindsamlingen. Det vil sige, at der i udarbej-
delsen af den semistrukturerede spørgeramme for telefoninterview og fokus-
grupper er taget udgangspunkt i de syv temaer beskrevet ovenfor, men at
disse temaer samtidig er blevet udvalgt og suppleret med nye elementer på
basis af de erfaringer med børnehusene, der blev indsamlet i den kvantitative
erfaringsopsamling.
158
Erfaringsopsamling af børnehusene
Socialstyrelsen
SOU, Alm.del - 2015-16 - Bilag 90: Orientering om evalueringen af Overgrebspakken, fra social- og indenrigsministeren
1574837_0159.png
Den kvalitative dataindsamling har således i højere grad fokuseret på de ele-
menter af samarbejdet, der er særlig vigtige for de involverede aktører, end
på de foruddefinerede temaer. Således har der været fokus på nye delele-
menter af børnehussamarbejdet, herunder blandt andet anvendelse af mål-
gruppekriterierne for børnehusene og ansvarsfordelingen mellem kommuner
og børnehuse.
Som et resultat af denne iterative dataindsamling er temaerne således udvik-
let, slået sammen eller adskilt, efterhånden som aktørernes erfaringer har vist
nye sammenhænge og oplevelser.
159
Erfaringsopsamling af børnehusene
Socialstyrelsen
SOU, Alm.del - 2015-16 - Bilag 90: Orientering om evalueringen af Overgrebspakken, fra social- og indenrigsministeren
Om Deloitte
Deloitte leverer ydelser inden for Revision, Skat, Consulting og Financial Advisory til både offentlige og private
virksomheder i en lang række brancher. Vores globale netværk med medlemsfirmaer i mere end 150 lande
sikrer, at vi kan stille stærke kompetencer til rådighed og yde service af højeste kvalitet, når vi skal hjælpe vores
kunder med at løse deres mest komplekse forretningsmæssige udfordringer. Deloittes ca. 200.000 medarbej-
dere arbejder målrettet efter at sætte den højeste standard.
Deloitte Touche Tohmatsu Limited
Deloitte er en betegnelse for Deloitte Touche Tohmatsu Limited, der er et britisk selskab med begrænset ansvar,
og dets netværk af medlemsfirmaer. Hvert medlemsfirma udgør en separat og uafhængig juridisk enhed. Vi
henviser til www.deloitte.com/about for en udførlig beskrivelse af den juridiske struktur i Deloitte Touche
Tohmatsu Limited og dets medlemsfirmaer.
© 2015 Deloitte Statsautoriseret Revisionspartnerselskab. Medlem af Deloitte Touche Tohmatsu Limited