Social- og Indenrigsudvalget 2015-16
SOU Alm.del Bilag 155
Offentligt
1593538_0001.png
Velfærdspolitisk Analyse
Mennesker med handicap på
arbejdsmarkedet
Nyt kapitel
Mange mennesker med nedsat funktionsevne deltager aktivt på arbejdsmarkedet. Beskæftigel-
sesmuligheden for et menneske med et handicap afhænger blandt andet af sværhedsgraden af
handicappet, og i hvilket omfang de handicapkompenserende indsatser fra kommunen bidrager
til at udfolde beskæftigelsespotentialet.
Analysen beskriver beskæftigelsesomfanget for de borgere, som modtager en række handicap-
kompenserende indsatser efter serviceloven. Omkring hver femte borger i gruppen er i beskæf-
tigelse. Nogle er beskæftiget på ordinære vilkår, mens andre er i støttet eller beskyttet beskæf-
tigelse.
Det er vanskeligt præcist at vurdere, hvor stort beskæftigelsespotentialet er for gruppen. Væ-
sentlig flere end de, der aktuelt er i job, har været i beskæftigelse inden for de senere år. For
nogle vil funktionsnedsættelsen være opstået eller forværret i den mellemliggende periode,
hvilket medvirker til, at de ikke længere er i beskæftigelse. Men det indikerer også, at nogle
mennesker med handicap har kompetencer og erfaringer fra tidligere job, der kan bringes i spil
på arbejdsmarkedet.
Analysen viser også, at uddannelse i mange tilfælde udgør et stærkt afsæt for aktiv deltagelse
på arbejdsmarkedet for mennesker med handicap – lige såvel som det er tilfældet for befolk-
ningen som helhed.
Velfærdspolitisk Analyse nr. 1
Januar 2016
1
SOU, Alm.del - 2015-16 - Bilag 155: Orientering om velfærdspolitisk analyse af mennesker med handicap på arbejdsmarkedet
1593538_0002.png
Velfærdspolitisk Analyse
Hvordan er mennesker med handicap afgrænset?
Mennesker med handicap er en fællesbetegnelse for børn, unge og voksne med en varig og
betydelig funktionsnedsættelse, der enten kan være fysisk eller kognitiv.
I denne analyse er mennesker med handicap afgrænset til voksne, der får en indsats, som
skal tilgodese et behov, som følger af varig og betydelig nedsat fysisk eller kognitiv funkti-
onsevne. Formålet med hjælpen er at fremme den enkeltes mulighed for at klare sig selv eller
at lette den daglige tilværelse og forbedre livskvaliteten, jf. serviceloven.
Personer med et varigt og betydeligt fysisk eller kognitivt handicap er en meget bred gruppe
af mennesker. Der er blandt andet stor forskel på sværhedsgraden af funktionsnedsættelsen,
og derfor også stor forskel på behovet for hjælp og støtte.
Fysiske handicap omfatter blandt andet mobilitetshandicap, der påvirker evnen til at bevæge
sig, fx muskelsvind og rygmarvsskader, der kan medføre lammelser. Fysiske handicap omfat-
ter også forskellige former for syns- og hørenedsættelser.
Medfødte og erhvervede hjerneskader og udviklingshæmning er eksempler på kognitive funk-
tionsnedsættelser. Mennesker med udviklingshæmning udvikler sig ikke så meget eller så
hurtigt som andre, hvilke medfører, at deres kognitive, sproglige, motoriske og sociale evner
og færdigheder sjældent svarer til det, der ses hos jævnaldrende. Cerebral parese (spastisk
lammelse) er et eksempel på en medfødt hjerneskade, der kan give sig udtryk i både kogniti-
ve og fysiske begrænsninger. Erhvervede hjerneskader eller senhjerneskader kan opstå på
grund af en ulykke eller en sygdom, eksempelvis en hjerneblødning eller kræft.
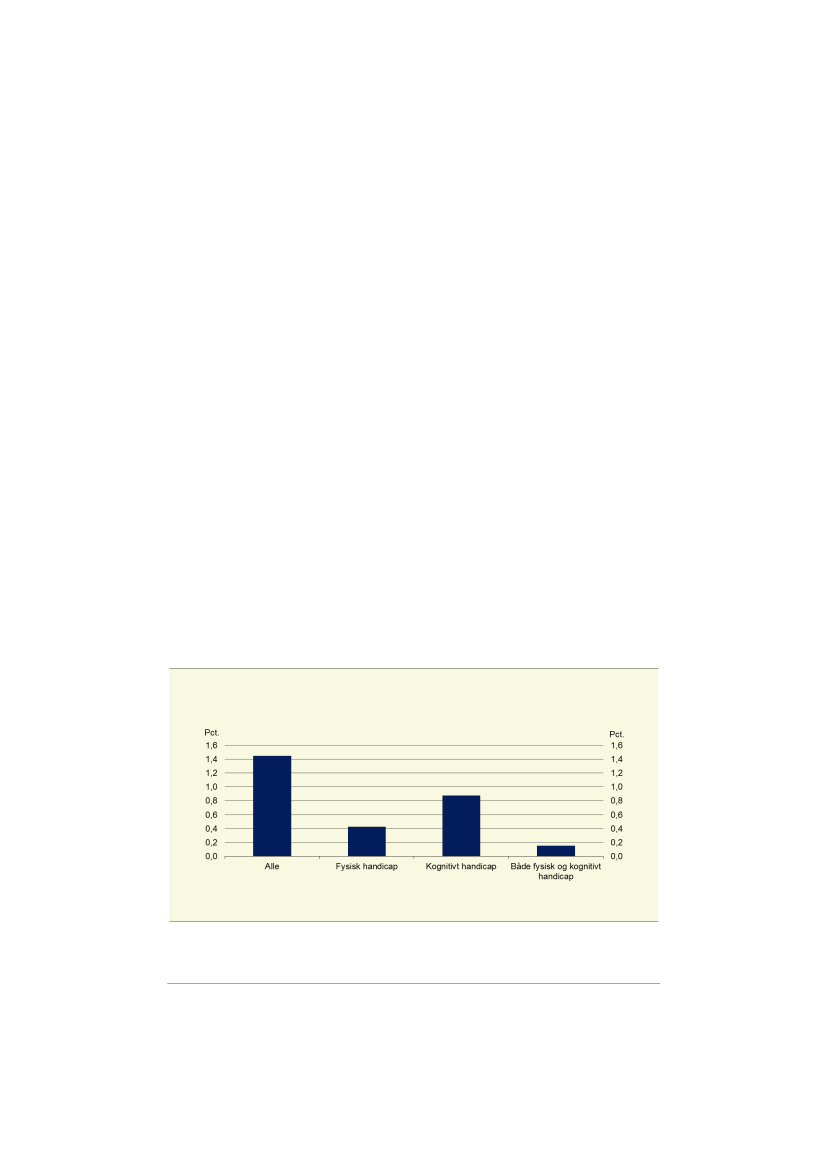
Knap 1�½ pct. af de 18-64-årige modtager en indsats efter serviceloven på grund af en funkti-
onsnedsættelse i den opgørelse, som ligger til grund for denne analyse. Hovedparten af dis-
se modtager en ydelse på grund af en kognitiv funktionsnedsættelse, jf. figur 1.
Figur 1
Modtagere af handicaprelaterede ydelser
Anm.: 18-64-årige. Data for 2014. Baseret på de 12 kommuner som datagrundlaget omfatter.
Kilde: Egne beregninger på registerdata.
2
Velfærdspolitisk Analyse nr. 1
Januar 2016
SOU, Alm.del - 2015-16 - Bilag 155: Orientering om velfærdspolitisk analyse af mennesker med handicap på arbejdsmarkedet
1593538_0003.png
Velfærdspolitisk Analyse
Der er på nuværende tidspunkt ikke centralt indberettede oplysninger om handicaprelaterede
ydelser i form af hjælpemidler. Personer, der alene modtager ydelser i form af hjælpemidler,
indgår derfor ikke i opgørelsen. Hvis oplysninger om hjælpemidler var tilgængelige, ville an-
tallet af ydelsesmodtagere være større, og personer med fysisk handicap ville fylde mere i
det samlede billede. Personer, der alene modtager ydelser i form af hjælpemidler, må formo-
des at udgøre en relativt ressourcestærk gruppe sammenlignet med den gruppe, der indgår i
denne analyse.
Se boks 1 for flere oplysninger om datagrundlaget.
Boks 1
Ny opgørelse over ydelser efter serviceloven på handicap- og voksenområdet
Analysens data kommer fra en ny opgørelse over de ydelser (indsatser), som kommunerne tildeler til personer med
en fysisk eller kognitiv funktionsnedsættelse samt sindslidelse og socialt udsatte efter serviceloven. Disse data er
samkørt med andre registeroplysninger. Data om indsatserne er indsamlet af Danmarks Statistik, jf. også Nyt fra
Danmarks Statistik nr. 241, maj 2015.
Opgørelsen omfatter indberetninger fra 12 kommuner i perioden 4. kvartal 2013 - 1. kvartal 2015 om eksisterende og
tildelte indsatser i perioden. Kommunerne fordeler sig ud over hele landet. Da der er tale om en helt ny statistik, kan
der ske revision af tallene.
Med de nye data kan man for første gang opgøre og følge indsatserne til disse målgrupper på individniveau og
samkøre med andre registeroplysninger om eksempelvis uddannelse og beskæftigelse. I denne analyse fokuseres
på voksne i alderen 18-64 år med en varig og betydelig fysisk eller kognitiv funktionsnedsættelse. Kognitive
funktionsnedsættelser er i statistikken en delmængde af psykiske funktionsnedsættelser, der også omfatter
mennesker med sindlidelse. Mennesker med sindslidelse er ikke en del af denne analyse.
Grundlaget for analysen er en række konkrete sociale indsatser til borgerne. De hyppigste indsatser er
socialpædagogisk bistand, midlertidige og længerevarende botilbud, aktivitets- og samværstilbud, beskyttet
beskæftigelse og ledsagerordning. Det er ikke obligatorisk for kommunerne at indberette alle former for indsatser
efter serviceloven, herunder hjælpemidler og såkaldte merudgiftsydelser. Bilag 1 beskriver datagrundlaget i detaljer.
Spørgeskemabaserede undersøgelser har afgrænset gruppen af personer med handicap til at omfatte personer, der
selv vurderer at have et handicap. Dette giver en bredere afgrænsning og en større gruppe af personer. Eksempelvis
oplyser 17 pct. af befolkningen i alderen 16-64 år, at de har et handicap eller et længerevarende helbredsproblem
1
.
Sammenlignet hermed er gruppen af borgere, der modtager ydelser efter serviceloven væsentligt mindre, idet
ydelserne efter serviceloven henvender sig til personer med betydelige og/eller varige funktionsnedsættelser.
Aldersfordelingen for ydelsesmodtagere med fysisk handicap svarer til aldersfordelingen for
18-64-årige som helhed, jf. figur 2a.
1
Jan Høgelund m.fl.,
Handicap og beskæftigelse Udviklingen mellem 2002-2014,
SFI-rapport 15:06, 2015.
Velfærdspolitisk Analyse nr. 1
Januar 2016
3
SOU, Alm.del - 2015-16 - Bilag 155: Orientering om velfærdspolitisk analyse af mennesker med handicap på arbejdsmarkedet
1593538_0004.png
Velfærdspolitisk Analyse
Figur 2a
Aldersfordeling, fysisk handicap
Figur 2b
Aldersfordeling, kognitivt handicap
Anm.: Hvis en ydelsesmodtager både har en fysisk og kognitiv funktionsnedsættelse optræder personen i
begge figurer.
Kilde: Egne beregninger på registerdata.
Blandt personer med kognitivt handicap er der flere yngre og færre ældre sammenlignet med
befolkningen, jf. figur 2b.
Det skal ses i lyset af, at blandt andre mennesker med udviklingshæmning har en lavere
levealder
2
. Billedet kan i nogen grad også afspejle, at der i de senere år er blevet større fokus
på at opspore og diagnosticere kognitive funktionsnedsættelser.
Tilknytning til arbejdsmarkedet
Mennesker med nedsat funktionsevne står oftere uden for arbejdsmarkedet end andre. Men
der er også mange i beskæftigelse.
Godt 20 pct. af borgerne i alderen 18-64 år med en fysisk eller kognitiv funktionsnedsættelse
er i beskæftigelse. Om det er på ordinære vilkår eller i form af støttet beskæftigelse kan
blandt andet afhænge af sværhedsgraden af funktionsnedsættelsen. Til sammenligning er 75
pct. af befolkningen i samme alder i beskæftigelse.
Ca. 30 pct. af de 30-49-årige med en varig og betydelig funktionsnedsættelse er i beskæfti-
gelse. Blandt de yngre og ældre aldersgrupper er det færre, som er i beskæftigelse, jf. figur 3.
Esben Meulengracht Flachs m.fl.,
Sundhedstilstanden blandt voksne med udviklingshæmning.
Statens Institut for Folke-
sundhed, 2014.
2
4
Velfærdspolitisk Analyse nr. 1
Januar 2016
SOU, Alm.del - 2015-16 - Bilag 155: Orientering om velfærdspolitisk analyse af mennesker med handicap på arbejdsmarkedet
1593538_0005.png
Velfærdspolitisk Analyse
Figur 3
Arbejdsmarkedstilknytning for mennesker med handicap
Anm.: Arbejdsmarkedstilknytning er baseret på Registerbaseret arbejdsstyrkestatistik (RAS), dvs. status ul-
timo november 2013. ”Ledig mv.” omfatter ledige, vejledning og opkvalificering samt støttet be-
skæftigelse uden løn. For de 50-64-årige er ”Ledige mv.” en del af ”Øvrige” grundet diskretionshen-
syn”. Kontanthjælp (passiv)” omfatter ledige, der ikke står til rådighed for arbejdsmarkedet. ”Før-
tidspension mv.” omfatter efterløn, fleksydelse og anden pension. Uddannelsessøgende indgår i
”Øvrige”.
Kilde: Egne beregninger på registerdata.
Det er et billede, man også finder for befolkningen som helhed, men det er mere udtalt blandt
personer med betydelige og varige funktionsnedsættelser.
Når 18-29-årige i mindre grad end 30-49-årige er i beskæftigelse, er det til dels udtryk for, at
en del i aldersgruppen er i gang med en uddannelse. Men det vil også afspejle, at en del af
de 30-49-årige har arbejdsmarkedserfaring med i baggagen, før de får en funktionsnedsæt-
telse. Konkret joberfaring og et netværk blandt nuværende og tidligere arbejdsgivere og kol-
legaer gør det lettere at opnå og fastholde beskæftigelse.
Når 50-64-årige har en markant lavere beskæftigelsesgrad kan det blandt andet afspejle, at
funktionsevnen for nogle forringes mærkbart med alderen, hvilket ikke i særlig grad gør sig
gældende for befolkningen som helhed.
Sværhedsgraden af funktionsnedsættelsen har stor betydning for tilknytningen til arbejds-
markedet. Sværhedsgraden kan blandt andet indkredses ved at se nærmere på indsatsen.
Der sondres normalt mellem indsatser med og uden ophold, da ophold på et botilbud typisk
er en mere intensiv form for støtte end tilbud i eget hjem.
Borgere, der alene modtager indsatser i eget hjem, er oftere i beskæftigelse, end borgere,
der bor i botilbud. Det gælder både for personer med fysisk og kognitivt handicap, jf. figur 4.
Velfærdspolitisk Analyse nr. 1
Januar 2016
5
SOU, Alm.del - 2015-16 - Bilag 155: Orientering om velfærdspolitisk analyse af mennesker med handicap på arbejdsmarkedet
1593538_0006.png
Velfærdspolitisk Analyse
Figur 4
Beskæftigelse efter type af handicap og ydelse
Anm.: Se figur 3. Hvis en ydelsesmodtager både har en fysisk og kognitiv funktionsnedsættelse optræder
personen i begge grupper. Opholdsydelser omfatter midlertidige og længerevarende botilbud samt
socialpædagogisk støtte, der ydes i forbindelse med et botilbud. Modtager borgeren både indsatser
med ophold og indsatser uden ophold, optræder borgeren i gruppen med opholdsydelser.
Kilde: Egne beregninger på registerdata.
Personer med fysisk handicap, der ikke modtager opholdsydelser, har – med 31 pct. – den
højeste beskæftigelsesgrad, mens den er lavest for personer, der modtager opholdsydelser.
Det indikerer, at gruppen med fysisk handicap, der ikke modtager opholdsydelser, omfatter
personer, der har relativt mange ressourcer i forhold til beskæftigelse.
Beskæftigelsespotentialet kan blive sløret, hvis man kun ser på status i et enkelt år, fordi
nogle vil være mellem job. En stor del af personerne med handicap har været i beskæftigelse
inden for de senere år. Blandt personer med fysisk handicap har 45 pct. været i beskæftigel-
se på et tidspunkt i perioden 2008-2013, jf. figur 5.
6
Velfærdspolitisk Analyse nr. 1
Januar 2016
SOU, Alm.del - 2015-16 - Bilag 155: Orientering om velfærdspolitisk analyse af mennesker med handicap på arbejdsmarkedet
1593538_0007.png
Velfærdspolitisk Analyse
Figur 5
Beskæftigelse i 2013 og i perioden 2008-2013
Anm.: Se figur 3. Opgørelsen omfatter personer med beskæftigelsesoplysninger i årene 2008-2013. Den er af-
grænset til 25-64-årige i 2014. Hvis en ydelsesmodtager både har en fysisk og kognitiv funktionsned-
sættelse optræder personen i begge grupper.
Kilde: Egne beregninger på registerdata.
For en del vil det afspejle, at funktionsnedsættelsen er opstået eller forværret i de mellemlig-
gende år, hvilket kan være medvirkende til, at de ikke længere er i beskæftigelse. Men resul-
taterne kan også indikere, at nogle personer med handicap, der aktuelt ikke er i beskæftigel-
se, har kompetencer og erfaringer med sig fra et tidligere job – kompetencer og erfaringer,
der i nogle tilfælde vil kunne bringes i spil igen.
Blandt personer med handicap i beskæftigelse deltager nogle på arbejdsmarkedet på helt
almindelige – ordinære – vilkår. For andre går vejen til arbejdsmarkedet gennem støttet be-
skæftigelse i form af et fleksjob eller løntilskud, der gør det muligt at bidrage aktivt, selvom
arbejdsevnen er nedsat. For andre igen handler beskæftigelse om at have en meningsfuld
hverdag gennem eksempelvis beskyttet beskæftigelse på værksteder, hvor det er muligt at
deltage i begrænset produktion. Beskyttet beskæftigelse kombinerer et socialt tilbud med
beskæftigelse og foregår ofte på beskyttede værksteder. Lønnen er i gennemsnit i omegnen
af 1.000 kr. om måneden, og forsørgelsesgrundlaget er i praksis førtidspension.
Hvis der sondres mellem beskæftigelse på ordnære vilkår, støttet beskæftigelse og beskyttet
beskæftigelse, er personer med fysiske handicap i højere grad beskæftiget på ordinære vilkår
end personer med kognitivt handicap. Næsten 50 pct. af beskæftigelsen for personer med
fysisk handicap er på ordinære vilkår, mens det for personer med kognitivt handicap er lidt
under 20 pct., jf. figur 6.
Velfærdspolitisk Analyse nr. 1
Januar 2016
7
SOU, Alm.del - 2015-16 - Bilag 155: Orientering om velfærdspolitisk analyse af mennesker med handicap på arbejdsmarkedet
1593538_0008.png
Velfærdspolitisk Analyse
Figur 6
Type af beskæftigelse blandt beskæftigede
Anm.: Se figur 3. Støttet beskæftigelse omfatter fleksjob og løntilskudsjob (herunder løntilskud til førtids-
pensionister, tidligere kaldt skånejob). Beskyttet beskæftigelse omfatter borgere, der er registret som
beskæftigede i RAS, og som deltager i beskyttet beskæftigelse efter serviceloven.
Kilde: Egne beregninger på registerdata.
Beskæftigede med kognitive handicap deltager oftere på arbejdsmarkedet gennem støttet
beskæftigelse, primært i form af fleksjob eller løntilskudsjob til førtidspensionister, og beskyt-
tet beskæftigelse.
Uddannelse og beskæftigelse
Mennesker med en funktionsnedsættelse har et lavere uddannelsesniveau end befolkningen
som helhed. Hovedparten, der modtager en handicaprelateret ydelse, har grundskole som
højeste fuldførte uddannelse.
Uddannelsesniveauet er højest blandt de 40-64-årige, hvilket skal ses i lyset af, at den ældre
del af gruppen vil omfatte en del personer, hvor funktionsnedsættelse først er opstået efter, at
uddannelsen er gennemført, jf. figur 7.
8
Velfærdspolitisk Analyse nr. 1
Januar 2016
SOU, Alm.del - 2015-16 - Bilag 155: Orientering om velfærdspolitisk analyse af mennesker med handicap på arbejdsmarkedet
1593538_0009.png
Velfærdspolitisk Analyse
Figur 7
Højeste fuldførte uddannelse efter alder
Anm.: Data for 2014. STU er særligt tilrettelagt ungdomsuddannelse og omfatter personer med grundskole
eller uoplyst som højeste fuldførte uddannelse, der er registret i elevregistret med en afsluttet STU.
STU er ikke formelt kompetencegivende. Grundskole inkluderer uoplyst uddannelse.
Kilde: Egne beregninger på registerdata.
For de 18-29-årige har 22 pct. afsluttet en såkaldt særligt tilrettelagt ungdomsuddannelse
(STU). STU er en ungdomsuddannelse, der retter sig mod unge med udviklingshæmning og
andre unge med særlige behov, der ikke har mulighed for at gennemføre anden ungdomsud-
dannelse. Uddannelsen har eksisteret siden 2007 og har til formål, at unge opnår personlige,
sociale og faglige kompetencer til en så selvstændig og aktiv deltagelse i voksenlivet som
muligt og eventuelt til videre uddannelse og beskæftigelse.
For befolkningen som helhed er beskæftigelsesgraden stigende med uddannelsesniveauet.
Det gør sig også gældende for personer med handicap.
Personer, der har gennemført en gymnasial, erhvervsfaglig eller videregående uddannelse
efter grundskolen, har således en højere beskæftigelsesgrad end personer uden en kompe-
tencegivende uddannelse. Det gælder i særlig grad de, der har gennemført en videregående
uddannelse, jf. figur 8.
Velfærdspolitisk Analyse nr. 1
Januar 2016
9
SOU, Alm.del - 2015-16 - Bilag 155: Orientering om velfærdspolitisk analyse af mennesker med handicap på arbejdsmarkedet
1593538_0010.png
Velfærdspolitisk Analyse
Figur 8
Beskæftigelsesgrad efter højeste fuldførte uddannelse
Anm.: Se figur 3 mv.
Kilde: Egne beregninger på registerdata.
Sammenhængen mellem uddannelse og beskæftigelse vil langt hen ad vejen afspejle, at de
personer med handicap, der har de bedste forudsætninger for at gennemføre en uddannelse
samtidigt har de bedste forudsætninger for at være i beskæftigelse. Men resultaterne indike-
rer også, at en uddannelse for mennesker med handicap i mange tilfælde vil udgøre et stærkt
afsæt for aktiv deltagelse på arbejdsmarkedet.
Gennemslaget af uddannelse på beskæftigelsesgraden er størst for mennesker med fysisk
funktionsnedsættelse, der ikke bor i botilbud.
Beskæftigede med et handicap, som har gennemført en kompetencegivende uddannelse, er i
højere grad beskæftiget på ordinære vilkår sammenlignet med personer, der har grundskole
som højeste fuldførte uddannelse, jf. figur 9.
10
Velfærdspolitisk Analyse nr. 1
Januar 2016
SOU, Alm.del - 2015-16 - Bilag 155: Orientering om velfærdspolitisk analyse af mennesker med handicap på arbejdsmarkedet
1593538_0011.png
Velfærdspolitisk Analyse
Figur 9
Type af beskæftigelse efter højeste fuldførte uddannelse
Anm.: Se figur 3 mv.
Kilde: Egne beregninger på registerdata.
Det er ikke muligt at foretage sammenligninger med andre lande på grundlag af registerop-
lysninger om handicaprelaterede indsatser. Internationale sammenligninger af beskæftigel-
sessituationen kan foretages på baggrund af spørgeskemaundersøgelse, jf. boks 2.
Velfærdspolitisk Analyse nr. 1
Januar 2016
11
SOU, Alm.del - 2015-16 - Bilag 155: Orientering om velfærdspolitisk analyse af mennesker med handicap på arbejdsmarkedet
1593538_0012.png
Velfærdspolitisk Analyse
Boks 2
Sammenligning med andre lande
En spørgeskemaundersøgelse, der dækker alle EU-landene, peger på, at beskæftigelsesfrekvensen for
personer med handicap er lavere i Danmark, end i lande vi normalt sammenligner os med som Sverige og
Finland, jf. figur a.
Figur a
Beskæftigelsesfrekvens for personer med handicap
Anm.: Omfatter 15-64-årige i 2011, der angiver at have begrænsninger i grundlæggende hverdagsaktiviteter
(f.eks. at se, høre, gå eller kommunikere). Kun personer med længerevarende begrænsninger (over 6
måneder) indgår. Beskæftigede omfatter personer, der har mindst én betalt times arbejde i løbet af
en bestemt referenceuge, eller personer der er midlertidigt fraværende fra et arbejde, eksempelvis på
grund af ferie, sygdom eller barselsorlov.
Kilde: Eurostat (Labour Force Survey).
Internationale sammenligninger kan ikke tage udgangspunkt i registeroplysninger om, hvem der rent faktisk
har modtaget en ydelse. Undersøgelsen omfatter i stedet personer, der selv vurderer at opleve begræns-
ninger i grundlæggende hverdagsaktiviteter på grund af handicap eller længerevarende helbredsproblemer.
Der er tale om en væsentligt bredere gruppe end personer, der modtager indsatser efter serviceloven. Til-
knytningen til arbejdsmarkedet er således også væsentlig stærkere.
12
Velfærdspolitisk Analyse nr. 1
Januar 2016
SOU, Alm.del - 2015-16 - Bilag 155: Orientering om velfærdspolitisk analyse af mennesker med handicap på arbejdsmarkedet
1593538_0013.png
Velfærdspolitisk Analyse
Bilag 1. Datagrundlaget i analysen
Datagrundlaget er de kommunale serviceindikatorer, hvor følgende 12 kommuner har god-
kendt deres oplysninger: Ishøj, Rudersdal, Egedal, Ringsted, Stevns, Nyborg, Nordfyns, Hol-
stebro, Lemvig, Norddjurs, Favrskov og Odder.
Analysen ser alene på borgere i alderen 18-64 år pr. 1. januar 2014.
Tallene er baseret på kommunale indberetninger på individniveau om ydelser (indsatser)
efter serviceloven til borgere med nedsat fysisk eller psykisk funktionsevne, herunder sindsli-
dende samt socialt udsatte, der modtager handicapkompenserende indsatser efter servicelo-
ven. I analysen indgår alene borgere i målgrupperne med varigt og betydeligt nedsat fysisk
og kognitivt handicap.
Kommunerne har indberettet indsatser for perioden 4. kvartal 2013 – 1. kvartal 2015. Ud-
gangspunktet for den nye statistik er, at både nye og eksisterende visitationer indgår. Det vil
sige, at også borgere, der er visiteret til indsatser før 4. kvartal 2013, indgår i datamaterialet. I
alt har 3.598 borgere i alderen 18-64 år en aktiv indsats i de 12 kommuner.
I analysen indgår alle registrerede indsatser, herunder også de indsatser det er frivilligt for
kommunen at indberette. Oplysninger om både indsats og målgruppe (type af funktionsned-
sættelse) stammer fra handlekommunens registrering og er dermed kommunens vurdering.
Det er Danmarks Statistiks forventning, at der januar 2016 vil foreligge oplysninger for flere
kommuner end de 12 kommuner, der aktuelt indgår i statistikken.
Der kan ske revision af tallene i forlængelse af yderligere kvalitetssikring af den nyligt offent-
liggjorte statistik samt i forbindelse med, at flere kommuner indgår i datagrundlaget. Herud-
over skal det nævnes, at der kan være en række forskelle i kommunernes opgørelser og
registrering.
Målgrupperne omfatter kun de borgere, der modtager en række specifikke indsatser i service-
loven. Det er ikke obligatorisk for kommunerne at indberette alle former for indsatser efter
serviceloven, herunder eksempelvis hjælpemidler og såkaldte merudgiftsydelser.
Tabel 1 nedenfor viser, hvilke indsatser der indgår i de kommunale serviceindikatorer samt
fordelingen heraf.
Velfærdspolitisk Analyse nr. 1
Januar 2016
13
SOU, Alm.del - 2015-16 - Bilag 155: Orientering om velfærdspolitisk analyse af mennesker med handicap på arbejdsmarkedet
1593538_0014.png
Velfærdspolitisk Analyse
Tabel 1
Fuldtidsydelser, 1. kvartal 2015
Fysisk handicap
Kognitivt handicap
----------------------- pct. -----------------------
Socialpædagogisk støtte
Aktivitets- og samværsydelse
Længerevarende ophold
Beskyttet beskæftigelsesydelse
Midlertidigt ophold
Ledsageordning
Speciallægelig behandling
Borgerstyret personlig assistance
Kontaktperson for døvblinde
Frivillige ydelser
Øvrige ydelser
I alt
25
15
14
10
4
11
0
4
0
16
1
100
39
17
15
12
9
5
-
0
0
2
0
100
Anm.: Ydelser er i tabellen opgjort som fuldtidsydelser. Hvis en ydelse er aktiv i halvdelen af kvartalet tæller
den med halv vægt. En ”-” angiver diskretionering ved antal under 3. En person kan modtage flere
ydelser på samme tid, og en ydelse kan være tilknyttet begge målgrupper. De frivillige ydelser er
ydelser, som det er frivilligt at indberette for kommunen. Dette omfatter eksempelvis dækning af
merudgifter. Øvrige ydelser omfatter dagaflastning, psykologisk behandling, terapi, afløsning, døgn-
aflastning, praktisk hjælp samt personlig hjælp og pleje.
Kilde: Egne beregninger på registerdata.
Nedenfor beskrives de indsatser, der fylder mest i datamaterialet
§ 85 socialpædagogisk støtte mv.
Socialpædagogiske og andre støtteforanstaltninger efter servicelovens § 85 henvender sig til
voksne med betydelig nedsat fysisk eller psykisk funktionsevne eller særlige sociale proble-
mer. Støtten henvender sig til en meget bred gruppe af borgere, der omfatter eksempelvis
personer med et fysisk handicap, autisme, udviklingshæmning, hjerneskade, sindslidelser og
hjemløse. Socialpædagogisk støtte kan bestå af rigtigt mange former for hjælp og støtte af-
hængigt af borgerens konkrete situation og behov. Overordnet er formålet at sikre, at den
pågældende kan leve et liv på egne præmisser.
I mange kommuner betegnes en del § 85-støtte ofte som ”bostøtte” eller en ”hjemmevejle-
der”, der kan støtte borgeren i en række forskellige konkrete opgaver, eksempelvis:
Hjælp til selvhjælp på praktiske områder (optræning i påklædning, rengøring, mad-
lavning, spisning og pædagogisk ledsagelse på indkøb og udflugter mv. )
Struktur på dagligdagen (tilknytning til meningsfulde aktiviteter, uddannelse, fritid
mv.).
Støtte til udvikling og fastholdelse af sociale kompetencer, relationer, varetagelse af
forældrerolle, seksualitet mv.
14
Velfærdspolitisk Analyse nr. 1
Januar 2016
SOU, Alm.del - 2015-16 - Bilag 155: Orientering om velfærdspolitisk analyse af mennesker med handicap på arbejdsmarkedet
1593538_0015.png
Velfærdspolitisk Analyse
Støtte i kontakt til offentlige myndigheder, behandlingstilbud mv. samt post- og
økonomihåndtering mv.
Socialpædagogisk bistand ydes uafhængigt af boform, idet støtten både kan gives til beboere
i botilbud, bofællesskaber, opgangsfællesskaber, boligafdelinger for socialt udsatte, selv-
stændig bolig mv.
§ 107 botilbud - midlertidigt ophold
Botilbud til midlertidigt ophold (§ 107) henvender sig til personer med betydelig nedsat fysisk
eller psykisk funktionsevne, der har behov for omfattende hjælp til almindelige, daglige funk-
tioner eller for pleje, eller som i en periode har behov for særlig behandlingsmæssig støtte.
Herudover skal kommunen tilbyde midlertidigt ophold til personer med nedsat psykisk funkti-
onsevne eller med særlige sociale problemer, der har behov for pleje eller behandling, og
som på grund af disse vanskeligheder ikke kan klare sig uden støtte.
Der kan ikke sættes tidsmæssige grænser for midlertidige ophold. Det afgørende for ophol-
dets varighed er enten, at formålet med opholdet er opfyldt, og den pågældende kan klare sig
uden den støtte, der ydes i den midlertidige boform, eller, at kommunen vurderer, at borgeren
skal have tilbud om fx en almen ældre- og handicapbolig.
Boformen anvendes eksempelvis til:
Midlertidigt ophold til personer med erhvervet hjerneskade eller sindslidelser med
henblik på afprøvning af fremtidige bomuligheder.
Midlertidigt ophold til personer med henblik på aflastning, weekendophold, optræ-
ning, udslusning samt stabilisering og forbedring af borgerens funktionsniveau.
§ 108 botilbud – længerevarende ophold
Botilbud til længerevarende ophold (§ 108) henvender sig til personer, som på grund af bety-
delig og varigt nedsat fysisk eller psykisk funktionsevne har behov for omfattende hjælp til
almindelige, daglige funktioner eller pleje, omsorg eller behandling, og som ikke kan få dæk-
ket disse behov på anden vis. Boformen har længerevarende og permanent karakter, og i
bekendtgørelse om lejerrettigheder er beboeren givet en række rettigheder svarende til dem,
som lejere af almene ældre- og handicapboliger har.
Boformen anvendes eksempelvis til:
Personer med udviklingshæmning, autisme og hjerneskader.
Personer, som skal anbringes i en boform på det sociale område på baggrund af en
strafferetlig afgørelse.
Botilbuddet vil ofte være indrettet således, at hver beboer har sin egen bolig og at der i til-
knytning til boligen vil være en række fællesarealer, hvor beboerne eksempelvis spiser. Be-
boerne vil ud over selve opholdet få støtte af personalet til eksempelvis praktiske gøremål,
personlig pleje og sociale aktiviteter afhængigt af beboernes behov.
§ 103 Beskyttet beskæftigelse
Beskyttet beskæftigelse henvender sig til personer under folkepensionsalderen, som på
grund af betydelig nedsat fysisk eller psykisk funktionsevne eller særlige sociale problemer
ikke kan opnå eller fastholde beskæftigelse på normale vilkår på arbejdsmarkedet. Det er
Velfærdspolitisk Analyse nr. 1
Januar 2016
15
SOU, Alm.del - 2015-16 - Bilag 155: Orientering om velfærdspolitisk analyse af mennesker med handicap på arbejdsmarkedet
1593538_0016.png
Velfærdspolitisk Analyse
desuden en betingelse, at disse personer ikke kan benytte tilbud efter anden lovgivning.
Kommunen kan endvidere tilbyde særligt tilrettelagte beskæftigelsesforløb til personer med
særlige sociale problemer.
Beskyttet beskæftigelse og særligt tilrettelagte beskæftigelsesforløb kan organiseres som
beskæftigelsesaktiviteter på beskyttede værksteder eller i tilknytning til andre offentlige tilbud,
fx midlertidige eller længerevarende botilbud, forsorgshjem, væresteder, varmestuer, sociale
caféer mv. Organiseringen kan også ske i private virksomheder.
Beskyttet beskæftigelse består i udførelsen af opgaver, der indgår som led i en produktion af
varer eller tjenesteydelser. Der er tale om enkle og afgrænsede arbejdsopgaver såsom mon-
tage- og pakkearbejde, varetagelsen af servicefunktioner i forbindelse med kantine- eller
cafédrift eller opgaver af kontormæssig karakter.
§ 104 Aktivitets- og samværstilbud
Aktivitets- og samværstilbud henvender sig til personer med betydelig nedsat fysisk eller
psykisk funktionsevne eller særlige sociale problemer til opretholdelse eller forbedring af per-
sonlige færdigheder eller af livsvilkårene. Disse tilbud har til formål at øge den enkeltes livs-
kvalitet i dagligdagen og retter sig især mod personer med behov for socialt samvær.
Aktivitets- og samværstilbud kan både være åbne tilbud uden visitation og tilbud med visitati-
on. Tilbud med visitation vil typisk være tilbud til personer med betydelig funktionsnedsættel-
se, mens tilbud til borgere med særlige sociale problemer ofte vil være tilbud uden visitation.
Aktivitets- og samværstilbud tilbydes i praksis under mange betegnelser, hvor væresteder,
sociale caféer, varmestuer, daghjem, klubber og Fountain House er de mest almindelige.
Andre indgår som en del af tilbuddet på boformer, herunder forsorgshjem.
Det enkelte tilbud kan indrettes, så det imødekommer bestemte målgruppers behov, herun-
der skaber mulighed for samvær med ligestillede, fx jævnaldrende. I tilbud for personer med
betydelig nedsat fysisk eller psykisk funktionsevne kan der være behov for at yde aktiverende
støtte og omsorg, herunder træning i almindelige daglige levefunktioner, sprogstimulation og
lystbetonede aktiviteter. Bl.a. sansestimulerende aktiviteter kan medvirke til at give tryghed
og være en aktivitet, der forbedrer kommunikation, valgfrihed og medindflydelse.
For andre grupper kan det centrale være rene omsorgsmæssige foranstaltninger såsom mad,
kaffe, vask, uddeling af tøj, rådgivning og socialt samvær, hvor der ikke stilles andre krav,
end at personen kan møde frem og overholde almindelige husordensregler for tilbuddet. Men
tilbuddet kan også bestå i noget mere aktiverende såsom udflugter, idræts- og motionsaktivi-
teter, fritidstilbud i form af film, foredrag, daghøjskolelignende tilbud, sundhedstilbud og invol-
vering i samfundsspørgsmål og brugerorganiseringer.
§ 97 Ledsageordning
Ledsageordningen henvender sig til personer mellem 18 år og folkepensionsalderen (dog
således, at aldersgrænsen ikke kan blive mindre end 67 år), der ikke kan færdes alene uden
for hjemmet på grund af betydelig og varigt nedsat fysisk eller psykisk funktionsevne. Disse
personer har ret til 15 timers individuel ledsagelse om måneden. Personer, der er visiteret til
ledsagelse før overgang til folkepension, bevarer ledsageordningen efter overgang til folke-
pension.
16
Velfærdspolitisk Analyse nr. 1
Januar 2016
SOU, Alm.del - 2015-16 - Bilag 155: Orientering om velfærdspolitisk analyse af mennesker med handicap på arbejdsmarkedet
1593538_0017.png
Velfærdspolitisk Analyse
Det overordnede formål med ledsageordningen er at medvirke til integration i samfundet, og
ordningen skal ses som et led i bestræbelserne på at øge mulighederne for selvstændighed,
valgfrihed og ansvar for egen tilværelse hos personer med handicap.
Ledsageordningen skal bruges til selvvalgte aktiviteter, som personen med funktionsnedsæt-
telse selv bestemmer indholdet i. Som eksempler på selvvalgte aktiviteter kan nævnes ind-
køb, ture ud i naturen, cafébesøg, museumsbesøg, biografbesøg, andre forlystelser, fritidsak-
tiviteter såsom svømning, tandemcykling mv.
Ledsagelsen ydes som udgangspunkt af en ledsager fra kommunens ledsagerkorps. Borge-
ren har dog også ret til selv at udpege en person til at udføre opgaven. Kommunen skal god-
kende og ansætte den udpegede person. Endelig kan kommunen også beslutte at tilbyde
borgeren at få ydelsen udbetalt som et kontant tilskud til ledsager, som borgeren selv ansæt-
ter. Her bliver borgeren arbejdsgiver for ledsageren og skal varetage de funktioner, der er
knyttet hertil. Det er frivilligt for såvel borgeren som kommunen at benytte denne mulighed.
Velfærdspolitisk Analyse nr. 1
Januar 2016
17