Erhvervs-, Vækst- og Eksportudvalget 2015-16
ERU Alm.del Bilag 259
Offentligt
1625260_0001.png
Betalingskortmarkedet
ERU, Alm.del - 2015-16 - Bilag 259: Rapport om Betalings-kortmarkedet 2016, fra erhvervs- og vækstministeren
1625260_0002.png
Betalingskortmarkedet
Konkurrence- og Forbrugerstyrelsen
Carl Jacobsens Vej 35
2500 Valby
Tlf.: +45 41 71 50 00
E-mail: [email protected]
Online ISBN 978-87-7029-630-4
Analysen er udarbejdet af
Konkurrence- og Forbrugerstyrelsen.
Marts 2016
ERU, Alm.del - 2015-16 - Bilag 259: Rapport om Betalings-kortmarkedet 2016, fra erhvervs- og vækstministeren
1625260_0003.png
Indhold
Kapitel 1
Indledning........................................................................................................................................................ 5
1.1
Indledning og konklusioner.............................................................................................................................. 5
Kapitel 2
Markedet ....................................................................................................................................................... 10
2.1
2.2
2.3
2.4
2.5
Indledning og konklusioner........................................................................................................................... 10
Aktørerne ............................................................................................................................................................... 10
Hvad er et betalingsinstrument? ................................................................................................................. 12
Gebyrstruktur ...................................................................................................................................................... 13
Markedets dynamik........................................................................................................................................... 16
Kapitel 3
Overblik ......................................................................................................................................................... 18
3.1
3.2
3.3
3.4
3.5
3.6
Indledning og konklusioner........................................................................................................................... 18
Antal kort i Danmark ........................................................................................................................................ 18
Antal transaktioner ........................................................................................................................................... 20
Omsætning............................................................................................................................................................. 25
Antal forretninger som modtager betalingskort ................................................................................. 26
Danmark og udland ........................................................................................................................................... 27
Kapitel 4
Misbrug .......................................................................................................................................................... 29
4.1
4.2
4.3
4.4
4.5
4.6
Indledning og konklusioner........................................................................................................................... 29
Samlede antal misbrugssager ....................................................................................................................... 29
Misbrug med Dankort ...................................................................................................................................... 30
Misbrug af dansk udstedte internationale betalingskort i Danmark ......................................... 34
Misbrug af betalingskort i udlandet........................................................................................................... 35
Misbrug af benzinkort og detailhandelskort ......................................................................................... 36
Kapitel 5
Reglerne......................................................................................................................................................... 38
5.1
5.2
5.3
5.4
5.5
5.6
5.7
5.8
5.9
Indledning og konklusioner........................................................................................................................... 38
Fastsættelse af gebyrer (§ 79) ...................................................................................................................... 39
Oplysningspligt .................................................................................................................................................... 40
Overvæltning ........................................................................................................................................................ 41
Lovens rækkevidde ........................................................................................................................................... 43
Nye regler............................................................................................................................................................... 45
Forordning om interbankgebyrer .............................................................................................................. 45
Betalingstjenestedirektivet (PSD2) ........................................................................................................... 48
Konsekvenser for Dankortet ......................................................................................................................... 50
ERU, Alm.del - 2015-16 - Bilag 259: Rapport om Betalings-kortmarkedet 2016, fra erhvervs- og vækstministeren
1625260_0004.png
Kapitel 6
Undersøgelser ............................................................................................................................................. 51
6.1
6.2
6.3
Indledning og konklusioner........................................................................................................................... 51
Forbrugerundersøgelsen ................................................................................................................................ 52
Virksomhedsundersøgelsen .......................................................................................................................... 58
Kapitel 7
Dankortet ...................................................................................................................................................... 64
7.1
7.2
7.3
7.4
7.5
Indledning og konklusioner........................................................................................................................... 64
Reguleringen af Dankort i den fysiske handel ...................................................................................... 64
Resultatet af omkostningsundersøgelsen fra 2015 ............................................................................ 66
Den samlede abonnementsbetaling........................................................................................................... 67
Dankortgebyrer ved handel på internettet ............................................................................................ 69
Kapitel 8
Tilsynet .......................................................................................................................................................... 71
8.1 Indledning og konklusioner........................................................................................................................... 71
8.2 Konkurrenceloven og betalingstjenestelovens § 79 .......................................................................... 72
8.2.1 Konkurrencerådets afgørelse vedrørende Nets’ adfærd på markedet for
indløsning af internationale betalingskort ......................................................................................................... 73
8.3 Afgørelser om urimelige dankortgebyrer på internettet ................................................................. 75
8.4 Branchespecifikke undersøgelser af gebyropkrævninger .............................................................. 75
8.5 Revidering af omkostningsundersøgelsen ............................................................................................. 78
8.6 MasterCards interbankgebyrer ................................................................................................................... 79
8.7 MobilePay – betalingstjenestelovens § 78 .............................................................................................. 80
8.8 Teller – betalingstjenestelovens § 78........................................................................................................ 80
Kapitel 9
Mobil- og kontaktløs betaling................................................................................................................ 82
9.1 Indledning .............................................................................................................................................................. 82
9.1.1 Mobil- og kontaktløs betaling ................................................................................................................... 82
9.2 Wallet ....................................................................................................................................................................... 84
ERU, Alm.del - 2015-16 - Bilag 259: Rapport om Betalings-kortmarkedet 2016, fra erhvervs- og vækstministeren
1625260_0005.png
SIDE 5
BETALINGSKORTMARKEDET
Kapitel 1
Indledning
1.1
Indledning og konklusioner
Brugen af betalingsinstrumenter er vigtig for samfundsøkonomien, da fleksible og kontantløse
betalingsformer er med til at skabe gode betingelser for vækst og velstand. Det er derfor vig-
tigt, at der er gode rammevilkår for betalingskortmarkedet. Betalingskort er fortsat et af de
mest effektive elektroniske betalingsinstrumenter, der findes.
Danskerne er blandt de forbrugere i Europa, der bruger betalingskort mest, når de handler.
Det gælder både handel i fysiske forretninger og på internettet. Det mest udbredte og mest
benyttede betalingskort i Danmark er Visa/Dankortet. I dag har de fleste danskere i hvert fald
et Dankort, og mange har derudover også andre betalingskort. For at forbrugerne nemt, sik-
kert og effektivt kan bruge alle deres betalingskort, er det vigtigt, at betalingskortmarkedet er
velfungerende. Konkurrence- og Forbrugerstyrelsen varetager en del af tilsynet med beta-
lingskortmarkedet og følger derfor løbende udviklingen på markedet.
Erhvervs- og Vækstministeren skal hvert andet år afgive en rapport om forholdende på beta-
1
lingskortmarkedet til Folketinget . Konkurrence- og Forbrugerstyrelsen fungerer som sekreta-
riat for ministeren i forbindelse med udarbejdelse af rapporten. Denne rapport er den sjette i
rækken siden 2005
__________________
1
Jf. betalingstjenestelovens § 98, stk. 9.
ERU, Alm.del - 2015-16 - Bilag 259: Rapport om Betalings-kortmarkedet 2016, fra erhvervs- og vækstministeren
1625260_0006.png
SIDE 6
KAPITEL 1 INDLEDNING
Boks 1.1
Hovedkonklusioner
»
Danskerne får flere og flere betalingskort.
I 2015 havde danskerne mere end 11. mio.
betalingskort. Antallet af Visa/Dankort er steget med over 30 pct. siden 2010. Siden 2013
er antallet af internationale betalingskort steget fra ca. 3 mio. til over 4 mio. kort.
»
Betalingskortene bruges mere.
Antallet af transaktioner med Dankort/VisaDankort steg i
2015 med 9 pct. For Internationale betalingskort steg antallet af transaktioner med 28 pct.
»
Misbrug af betalingskort er stigende men overordnet set lavt.
I perioden 2008 - 2015
er der sket en stigning i antallet af misbrugssager ved fjernsalg, mens der i samme periode
er sket et fald i antallet af sager med misbrug af tabte og stjålne kort. Det samlede antal
misbrugssager udgjorde i alt 57.181 i 2015. Der er dog tale om relativt få sager set i forhold
til det samlede antal transaktioner.
»
Omkostningerne til driften af Dankortsystemet er faldet.
Omkostningerne ved driften
af dankortsystemet i den fysiske handel faldt ca. 20 pct. fra 2012 til 2014. Det blev derfor
væsentligt billigere at indløse en dankorttransaktion i den fysiske handel.
»
Danskernes kendskab til gebyrreglerne er blevet bedre.
I 2013 viste en undersøgelse
foretaget af styrelsen, at 31 pct. af forbrugerne kendte til reglerne om overvæltning af ge-
byrer. I 2015 gentog styrelsen sin undersøgelse, og andelen af forbrugere der kendte til ge-
byrreglerne var nu steget til 55. pct. Det indikerer, at der er sket en markant forbedring i
forbrugernes kendskab til gebyrreglerne.
»
Der er nye regler på vej, som kan få betydning for betalingskortmarkedet.
Reglerne
indfører blandt andet et loft over de såkaldte interbankgebyrer og på sigt vil det blive for-
budt, at opkræve gebyr ved betaling med de mest almindelige betalingskort – også på in-
ternettet.
Flere kort
Danskerne får flere og flere betalingskort. I 2015 var danskerne således i besiddelse af mere
end 11 mio. betalingskort. Det er fortsat Dankortet og Visa/Dankortet, der er de mest udbred-
te betalingskort i Danmark. I 2015 var der således 5,8 mio. Dankort og Visa/Dankort i omløb.
Siden 2010 er antallet af Dankort og Visa/Dankort vokset med over 30 pct.
Antallet af internationale betalingskort er også vokset. I 2013 var der ca. 3 mio. internationale
betalingskort i omløb, mens der i 2015 er over 4 mio. kort i omløb. Konkurrence- og Forbru-
gerstyrelsen har lavet en undersøgelse, som viser, at 87 pct. af danskerne havde et Vi-
sa/Dankort og 45 pct. havde et MasterCard. Betalingskortene bruges fortsat væsentlig mere i
de fysiske forretninger end i internethandlen.
I 2015 kunne et Dankort eller Visa/Dankort benyttes i knap 80.000 fysiske forretninger. Ni-
veauet for brug af sådanne kort i den fysiske handel er en smule lavere end i 2013, hvilket må-
ske skal ses i lyset af en voksende abonnementsbetaling i samme periode, jf. kapitel 7. Om-
vendt er der siden 2013 kommet lidt flere forretninger, som modtager internationale beta-
lingskort i den fysiske handel.
I internethandlen har der siden 2013 været en markant stigning i antallet af forretninger der
modtager internationale betalingskort.
Kortene bruges mere
I takt med stigningen i antallet af udstedte betalingskort er brugen af kortene også steget. I de
seneste fem år er antallet af betalingskorttransaktioner og omsætningen med betalingskort
steget markant. Det er Visa/Dankortet, der er den væsentligste drivkraft bag stigningen i
transaktioner og omsætning med betalingskort, men de internationale betalingskort vinder
ERU, Alm.del - 2015-16 - Bilag 259: Rapport om Betalings-kortmarkedet 2016, fra erhvervs- og vækstministeren
1625260_0007.png
SIDE 7
BETALINGSKORTMARKEDET
også frem. Den største stigning er således sket i dankortomsætningen, men relativt set er det
de internationale betalingskort, der har haft den største stigning i både antal transaktioner og
omsætning.
Antallet af transaktioner med internationale betalingskort steg i 2015 med 28 pct., og omsæt-
ningen med de internationale betalingskort er tilsvarende steget til over 50 mia. kr. Til sam-
menligning har Dankortet alene haft en stigning i antallet af transaktioner på 9 pct., mens
dankortomsætningen nåede over 350 mia. kr. svarende til ca. 17 pct. af Danmarks bruttonati-
onalprodukt. Danskerne bruger således deres kort - og ikke mindst deres internationale beta-
lingskort - mere.
Misbruget er steget, men overordnet set er det lavt
Siden introduktionen af chip på Dankort og Visa/Dankort i 2005 har der ikke været registreret
sager med forfalskning af chipkort i Danmark. Den sidste sag med forfalskning af Dankort blev
registreret i 2008.
Udviklingen i det samlede antal af misbrugssager er dog steget siden 2008. Det skyldes pri-
mært stigende misbrug ved fjernsalg (fx via telefon eller internettet). I perioden 2008 - 2015
er der således sket en stigning i antallet af misbrugssager ved fjernsalg, mens der i samme pe-
riode er sket et fald i antallet af sager med misbrug af tabte og stjålne kort.
Det samlede antal misbrugssager udgjorde i alt 57.181 i 2015. Langt størstedelen af misbrugs-
sager finder sted enten i andre lande eller i internetforretninger registreret i udlandet. Endvi-
dere er det som nævnt oftest ved fjernsalg, at der sker misbrug ved betalingskort, dvs. inter-
nethandel, handel via postordre, telefonordre og ved selvbetjente betalingsautomater uden
pinkode.
Antallet af misbrugssager skal ses i lyset af den omfattende brug af betalingskort i Danmark og
udlandet. I 2015 blev der gennemført over 1,7 mia. transaktioner med Dankort, Visa/Dankort
og internationale betalingskort i Danmark og i udlandet. Det betyder, at der blev gennemført
ca. 30.000 transaktioner med betalingskort for hver misbrugssag.
Helt overordnet er misbruget med betalingskort således meget lavt.
Omkostningerne forbundet med driften af dankortsystemet er faldet
Hver år skal Konkurrence- og Forbrugerstyrelsen foretage en undersøgelse af omkostningerne
ved driften af dankortsystemet i den fysiske handel. Den seneste undersøgelse viste, at de
samlede omkostninger ved driften af dankortsystemet i den fysiske handel er faldet med ca.
20 pct. fra 2012 til 2014. Det er således blevet væsentligt billigere at indløse en dankorttrans-
aktion i den fysiske handel.
Kendskabet til gebyrreglerne er blevet bedre
Reglerne om overvæltning (hvilket gebyr butikkerne kan opkræve hos forbrugerne for en
kortbetaling) sondrer mellem debetkort og kreditkort. Ifølge reglerne må forretningerne i den
fysiske handel udelukkende opkræve gebyr af kortbrugerne, når der betales med kreditkort.
Forretningerne må derimod ikke opkræve gebyr af forbrugere, der anvender debetkort til be-
taling i den fysiske handel. I den ikke-fysiske handel må forretningerne opkræve gebyr af for-
brugerne ved betaling med alle betalingskort.
Konkurrence- og Forbrugerstyrelsen undersøgte i 2013 forretningernes og forbrugernes
kendskab og holdning til gebyrreglerne. Undersøgelsen viste dengang, at 31 pct. kendte til reg-
lerne. Styrelsen har gentaget undersøgelsen i 2015, og tallet var der steget til 55 pct.
ERU, Alm.del - 2015-16 - Bilag 259: Rapport om Betalings-kortmarkedet 2016, fra erhvervs- og vækstministeren
1625260_0008.png
SIDE 8
KAPITEL 1 INDLEDNING
60 pct. var dog ikke klar over, at forretningerne skal undlade, at opkræve gebyr ved betaling
med debetkort i den fysiske handel.
ERU, Alm.del - 2015-16 - Bilag 259: Rapport om Betalings-kortmarkedet 2016, fra erhvervs- og vækstministeren
1625260_0009.png
SIDE 9
BETALINGSKORTMARKEDET
Der er nye regler på vej
I 2015 blev forordningen om interbankgebyrer og det nye betalingstjenestedirektiv (PSD2)
vedtaget. Direktivet skal være implementeret i dansk ret senest januar 2018. Når reglerne er
implementeret vil der gælde et forbud mod, at forbrugerne opkræves gebyr ved anvendelse af
de mest anvendte betalingskort. Forbuddet gælder betalinger ved kortbetalinger både i fysi-
ske forretninger og på internettet.
Direktivet introducerer også en udvidet adgang til eksisterende betalingssystemer. På sigt kan
det muligvis være med til at lukke op for, at flere aktører vil kunne indløse fx Dankort.
Som følge af forordningen vil forretninger og forbrugere som udgangspunkt få større valgfri-
hed. For forretningerne sker det ved en begrænsning i forhold til, hvilke betalingskort en for-
retning kan pålægges at modtage, samt forretningens mulighed for at forudindstille betalings-
terminalerne til et andet kort end Dankortet. For forbrugerne viser valgfriheden sig i form af
muligheden for at vælge, hvilken del af et co-branded kort (fx Visa/Dankort) de ønsker at be-
tale med i en forretning. Endelig indeholder forordningen et prisloft over de såkaldte inter-
bankgebyrer (gebyrer der betales fra kortindløser til kortudsteder for hver kortbetaling). Pris-
loftet for interbankgebyrerne lyder på 0,2 pct. af transaktionsværdien for debetkort og 0,3 pct.
af transaktionsværdien for kreditkort.
ERU, Alm.del - 2015-16 - Bilag 259: Rapport om Betalings-kortmarkedet 2016, fra erhvervs- og vækstministeren
1625260_0010.png
SIDE 10
KAPITEL 2 MARKEDET
Kapitel 2
Markedet
2.1
Indledning og konklusioner
Betalingskortmarkedet er kendetegnet ved en række aktører og forskellige begreber. I dette
kapitel skabes et overblik over hvordan markedet fungerer. De centrale aktører præsenteres
og sammenhængen mellem dem forklares nærmere, ligesom der redegøres for de mest almin-
delige begreber på betalingskortmarkedet.
Boks 2.1
Konklusioner
»
Fem centrale aktører (kortselskaberne, kortudstederne, kortindløserne, betalingsmodta-
gerne og kortbrugerne).
»
Betalingskort kan kategoriseres som debetkort, kreditkort, forudbetalte betalingskort samt
internationale betalingskort.
»
Betalingskortmarkedet er et tosidet marked.
2.2
Aktørerne
Når en forbruger benytter sit betalingskort til at betale for en vare, igangsættes et komplekst
samspil mellem en række aktører for, at betalingen kan gennemføres.
Aktørerne er:
1. Kortselskab (fx MasterCard, Visa etc.)
2. Kortudsteder (fx en bank)
3. Kortindløser (fx Teller, Swedbank)
4. Betalingsmodtager (fx en forretning)
5. Kortbruger (fx en forbruger)
Ofte betegnes de mest almindelige betalingssystemer som fire-partssystemer. De fire parter
består af kortudsteder, kortindløser, betalingsmodtager og kortbruger, jf. figur 2.1 nedenfor.
De fire parter nødvendige for at betalingssystemet opretholdes.
ERU, Alm.del - 2015-16 - Bilag 259: Rapport om Betalings-kortmarkedet 2016, fra erhvervs- og vækstministeren
1625260_0011.png
SIDE 11
BETALINGSKORTMARKEDET
Figur 2.1
Fire-partssystem
Kortselskab
(fx MasterCard)
Kortudsteder
(fx en bank)
Kortindløser
(fx Teller, Swedbank
etc.)
Kortbruger
(fx en forbruger)
Betalingsmodtager
(fx en forretning)
Kortselskabet
ejer rettighederne til selve kortkonceptet og giver kortudstedere og kortindlø-
sere tilladelse til at tilbyde betalingskort til sine kunder. Det betyder, at hvis fx en bank ønsker
at tilbyde et MasterCard til sine kunder, skal den indgå aftale med MasterCard og overholde de
krav og regler, som MasterCard har fastsat. Herved opnår en bank ret til at producere og sælge
et kort med MasterCards logo på. Som modydelse betaler banken en licens til kortselskabet.
Kortselskaberne kan også opkræve transaktionsafhængige gebyrer.
Som eksempler på kortselskaber kan nævnes Visa International, MasterCard International,
American Express og Diners, som er rettighedshavere til henholdsvis Visa-kort, MasterCard,
American Express og Diners Club kort. Nets ejer rettighederne til Dankort og kan derfor også
betegnes som et kortselskab.
Kortudstedere
producerer og udsteder betalingskort efter licens fra kortselskaberne. Kortud-
stedere er typisk banker, men også benzinselskaber og detailhandelskæder kan udstede beta-
lingskort. I sidstnævnte tilfælde er det ofte selskabet selv eller moderselskabet, som ejer ret-
tighederne til betalingskortet.
Kortindløsere
tilbyder indløsningsaftaler til betalingsmodtagerne. Ved en indløsningsaftale
forpligtes kortindløsere til at sørge for, at betalingen overføres fra kortbrugerens konto til be-
talingsmodtagers konto inden for en rimelig frist, efter at kortbruger har anvendt betalings-
kortet i forretningen. I Danmark indløser Teller langt størstedelen af internationale betalings-
kort, men bl.a. Swedbank, Valitor (Altapay), Handelsbanken, Nordea og enkelte udenlandske
ERU, Alm.del - 2015-16 - Bilag 259: Rapport om Betalings-kortmarkedet 2016, fra erhvervs- og vækstministeren
1625260_0012.png
SIDE 12
KAPITEL 2 MARKEDET
pengeinstitutter tilbyder også indløsning af betalingskort i den fysiske handel . Når det drejer
sig om handel på internettet, er der flere udenlandske indløsere.
Betalingsmodtagere
er de forretninger, som indgår indløsningsaftale med kortindløsere for
at kunne modtage betalingskort som betalingsmiddel. Forretningerne kan både være fysiske
og ikke-fysiske, fx internetforretninger. Betalingsmodtagere kan dog også være læger, offent-
lige myndigheder og andre institutioner.
Kortbrugere
er de forbrugere, der benytter betalingskort til at betale for varer eller tjeneste-
ydelser.
I visse tilfælde agerer kortselskabet både som kortudsteder og kortindløser. En sådan kon-
struktion omtales ofte som et tre-partssystem, netop fordi kortudsteder og kortindløser er
slået sammen til én aktør, jf. figur 2.2.
2
Figur 2.2
Tre-partssystem
Kortselskab
(fx Diners)
Kortbruger
(fx en forbruger)
Betalingsmodtager
(fx en forretning)
2.3
Hvad er et betalingsinstrument?
Når forbrugere køber varer eller tjenesteydelser, kan de benytte en række forskellige beta-
lingsmidler, såsom kontanter, bankoverførsel, betalingskort og mobilbetaling m.fl. Hver af dis-
3
se har forskellige karakteristika og reguleres på forskellig vis. I betalingstjenesteloven omta-
4
les ”betalingskort” dog ikke, Det gør derimod ”betalingsinstrumenter” .
Det mest anvendte betalingsinstrument er betalingskort. Betaling via mobiltelefoner (fx Mobi-
5
lePay/Swipp) og andre former for elektronisk betaling kan også være betalingsinstrumenter.
Selvom brugen af mobiltelefoner som betalingsinstrument er voksende, benyttes betalings-
kort stadig i langt større udstrækning i dag.
Der findes forskellige typer betalingskort, heriblandt debetkort, kreditkort, forudbetalte beta-
lingskort og internationale betalingskort. Derudover findes andre former for forud- og efter-
betalte betalingskort, som fx benzinkort, kontokort m.v.
__________________
2
3
4
Fysisk handel defineres i betalingstjenestelovens § 6, stk. 1, nr. 13, defineret som:
”Afvikling af en betalingstransaktion, der for-
udsætter fysisk tilstedeværelse af betaler og betalingsmodtager.”
Lovbekendtgørelse nr. 613 af 24. april 2015.
I betalingstjenestelovens § 6, nr. 9, defineres et betalingsinstrument således:”
Enhver form for personligt instrument eller sæt af
procedurer, der er aftalt mellem brugeren og udbyderen af betalingstjenester, og som brugeren benytter til at iværksætte en beta-
lingsordre.”
5
I kapitel 9 er Swipp og MobilePay beskrevet.
ERU, Alm.del - 2015-16 - Bilag 259: Rapport om Betalings-kortmarkedet 2016, fra erhvervs- og vækstministeren
1625260_0013.png
SIDE 13
BETALINGSKORTMARKEDET
Debetkort
er et betalingskort, hvor købsbeløbet trækkes fra forbrugerens konto med det
samme, eller senest næste bankdag. Derfor er det ofte banker, som udsteder debetkort, da det
er nødvendigt at have direkte adgang til kortbrugerens konto for at kunne trække købesum-
men med det samme. Dankort er et eksempel på et debetkort.
Flere banker tilbyder debetkort med såkaldt saldokontrol. Ved sådanne debetkort undersøges
det, om der er tilstrækkeligt indestående på forbrugerens konto til at dække købsbeløbet, før
en betalingstransaktion igangsættes. Er dette ikke tilfældet, afvises transaktionen. Eksempler
på saldokontrolkort er MasterCard Debet, Maestro og Visa Electron.
Kreditkort
er et betalingskort, hvor der går et vist tidsrum, inden beløbet trækkes fra for-
brugerens konto. Hvor lang tid der går, vil afhænge af den aftale, som forbrugeren har med
kortudstederen. Fx kan det være aftalt, at kortbrugeren ved udgangen af hver kalender måned
betaler for månedens køb på kortet. Det kan også aftales, at kortbrugeren ud over den løbende
måned har en ekstra måneds kredit. Et kreditkort kan således være et alternativ til et lån i en
bank eller hos en detailforretning. Eksempler på kreditkort er MasterCard, Diners Club og
American Express.
Forudbetalte betalingskort
er udstedt med et på forhånd betalt beløb, som kortbruger løbende
kan bruge. Eksempler på forudbetalte kort er telekort og gavekort. For nogle af disse kort
gælder, at kortet er værdiløst, når værdien er opbrugt, mens andre kan genoplades i særlige
terminaler. I forhold til debet- og kreditkort kan mange af de forudbetalte betalingskort kun
benyttes i begrænset omfang, fx alene til telefonopkald eller køb af varer i en bestemt forret-
ning.
Endelig kan nævnes
internationale betalingskort,
som er betalingskort, der kan benyttes i flere
lande. Disse kort kan være både debet- og kreditkort. Eksempler på internationale debet-og
kreditkort er Visa Electron og MasterCard Debet samt Visa, Diners Club, American Express og
MasterCard.
Nogle af de nævnte betalingskort har andre funktioner end den at kunne gennemføre en beta-
ling. Der kan være knyttet forskellige ydelser til betalingskortene, fx rabatter på køb i bestem-
te forretninger eller opsamling af bonuspoint eller samling af kvitteringer på internettet. Til
nogle kort, fx internationale kreditkort, kan der endvidere være knyttet forsikringsydelser
som fx en personlig ulykkesforsikring til kortbrugeren.
2.4
Gebyrstruktur
En kompleks gebyrstruktur kendetegner betalingskortmarkedet. Udover betalingen for den
vare eller serviceydelse kortbrugeren køber, er der tale om en række af gebyrer, som er til-
knyttet betalingskorttransaktionen. Disse er illustreret i figur 2.3.
ERU, Alm.del - 2015-16 - Bilag 259: Rapport om Betalings-kortmarkedet 2016, fra erhvervs- og vækstministeren
1625260_0014.png
SIDE 14
KAPITEL 2 MARKEDET
Figur 2.3
Gebyrstruktur i fire-partsystemet
Kortselskab
(fx MasterCard)
(4)
Licensafgift
(4)
Licensafgift
Kortudsteder
(fx en bank)
(3)
Interbankgebyr (MIF)
Kortindløser
(fx Teller)
(1)
Kortgebyr (evt. årligt)
(2)
Servicegebyr til
indløser (MSC)
Kortbruger
(fx en forbruger)
(5)
Evt. gebyr pr transaktion
(overvæltning)
Betalingsmodtager
(fx en forretning)
Kortbruger betaler ofte et kortgebyr (1) til sin kortudsteder. Dette gebyr kan enten være et år-
ligt gebyr eller en engangsbetaling for udstedelse af kortet. Endelig er der nogle kortudstede-
re, hvor betalingskortet tilbydes gratis til kortbrugeren eller i forbindelse med en samlet årlig
betaling for kortudstederens ydelser.
Betalingsmodtageren/forretningen betaler et transaktionsbestemt gebyr (2) til kort-
indløseren, som kaldes et servicegebyr (merchant service charge, MSC). Dette kan variere alt
efter, hvilken type kort der betales med, og hvilken aftale betalingsmodtageren har indgået
med sin indløser.
Derudover betaler kortindløseren et transaktionsbestemt gebyr (3), kaldet et interbankgebyr
(multilateral interchange fee, MIF), til kortudstederne. Interbankgebyrer er beskrevet nærme-
re i boks 2.2. Både kortudsteder og kortindløser betaler en licensafgift til kortselskabet for ret-
ten til at udstede og indløse betalingskortet (4).
Endelig kan betalingsmodtager/forretningen opkræve et gebyr af kortbrugeren (5), når der
betales med et kreditkort i den fysiske handel og ved betaling med alle betalingskort i den ik-
ke-fysiske handel. Betalingsmodtager/Forretningen må i dette tilfælde ikke opkræve et højere
gebyr, end det betalingsmodtager/forretningen selv betaler til sin kortindløser for at modtage
betalingskortet. Derfor omtales betalingsmodtagers/forretningens gebyr overfor kortbruge-
ren ofte som ”overvæltning”, eller ”overvæltning af gebyrer”. Kapitel 5 beskriver nærmere reg-
lerne for overvæltning af gebyrer.
ERU, Alm.del - 2015-16 - Bilag 259: Rapport om Betalings-kortmarkedet 2016, fra erhvervs- og vækstministeren
1625260_0015.png
SIDE 15
BETALINGSKORTMARKEDET
Boks 2.2
Interbankgebyrer
Et interbankgebyr (engelsk: interchange fee) er et transaktionsbestemt gebyr, der betales af
betalingsmodtagerens/forretningens kortindløser til kortbrugerens kortudsteder/bank. Ge-
byret betales, når kortbrugeren betaler med et betalingskort hos den pågældende betalings-
modtager/forretning. Hver gang en kortbruger foretager et køb af en vare i en forretning (dvs.
foretager en transaktion med sit betalingskort), betaler forretningens kortindløser et inter-
bankgebyr til kortbrugerens bank. Et interbankgebyr kan være en procentsats, et fast beløb,
eller en kombination af disse.
Interbankgebyrer er enten aftalt bilateralt mellem kortudsteder og kortindløser, eller multila-
teralt, mellem en række kortudstedere og kortindløsere, som er bindende for alle aktører, der
deltager i betalingskortsystemet. Multilaterale interbankgebyrer omtales ofte som MIF (multi-
lateral interchange fee).
Derudover skelnes der mellem interbankgebyrer ved indenlandske og grænseoverskridende
betalinger. Indenlandske interbankgebyrer vedrører betalings-transaktioner, hvor kortindlø-
ser og kortudsteder er fra samme land, mens grænseoverskridende interbankgebyrer vedrø-
rer betalingstransaktioner, hvor kortindløser og kortudsteder er fra to forskellige lande.
Interbankgebyrer har igennem de senere år været genstand for megen debat. Baggrunden er,
at multilaterale interbankgebyrer kan begrænse konkurrencen mellem indløsere, idet gebyret
i praksis kan medføre et ”prisgulv” for den pris, kortindløser kan kræve overfor betalingsmod-
tagerne/forretningerne. EU-Kommissionen og andre EU-lande har ført en række konkurren-
ceretlige sager mod kortselskaberne MasterCard og Visa, som har medført reduktioner i en
række af MasterCards og Visas grænseoverskridende interbankgebyrer.
Den 8. juni 2015 trådte Europa-Parlamentets og Rådets forordning 2015/751 om interbank-
gebyrer for kortbaserede betalingstransaktioner i kraft. Som noget nyt regulerer denne for-
ordning interbankgebyrer i alle medlemsstater, for så vidt angår forbrugerrelaterede transak-
tioner. Konkret fastsættes et loft over interbankgebyrer ved kreditkort på 0,30 pct. og tilsva-
rende 0,20 pct. for debetkort. De specifikke regler om interbankgebyrer fandt anvendelse 9.
december 2015. Læs mere om forordningen og dens indhold i kapitel 5.
Når der er tale om et trepartssystem er gebyrstrukturen en smule anderledes. Som nævnt
opererer kortselskabet her både som kortudsteder og kortindløser. Det betyder, at der ikke er
behov for et interbankgebyr, som tilfældet er ved et firepartssystem, jf. figur 2.4. Betalings-
modtagerne betaler fortsat et servicegebyr (2) til kortindløser, som er kortselskabet, og tilsva-
rende betaler kortbrugeren evt. et årligt kortgebyr (1). Endelig kan betalingsmodtageren
overvælte sit servicegebyr på kortbruger, såfremt der er tale om et kreditkort (3).
Figur 2.4
Gebyrstruktur ved tre-partssystem
Kortselskab
(fx Diners)
(1)
Kortgebyr (evt. årligt)
(2)
Servicegebyr til
indløser (MSC)
Kortbruger
(fx en forbruger)
(3)
Evt. gebyr pr transaktion
(overvæltning)
Betalingsmodtager
(fx en forretning)
ERU, Alm.del - 2015-16 - Bilag 259: Rapport om Betalings-kortmarkedet 2016, fra erhvervs- og vækstministeren
1625260_0016.png
SIDE 16
KAPITEL 2 MARKEDET
Betalingskortmarkedet er i Danmark reguleret ved betalingstjenesteloven med tilhørende
bekendtgørelser. Her er fastsat generelle regler for forretningers overvæltning af gebyrer
samt for kortindløseres gebyrfastsættelse. Endvidere er betalingskortmarkedet reguleret ved
en EU-forordning. Læs nærmere om de relevante regler og bestemmelser i kapitel 5.
2.5
Markedets dynamik
For at betalingskortmarkedet kan fungere, er det afgørende, dels at kortbrugere benytter be-
talingskort som betalingsinstrument, dels at forretninger modtager betalingskort som beta-
lingsinstrument. Hvis kun forretningerne tilslutter sig markedet, men ingen forbrugere ønsker
at betale med betalingskort, har forretningerne ingen gavn af at kunne modtage betalingskort.
Omvendt har forbrugerne ingen gavn af at anskaffe sig et betalingskort, hvis ikke der er for-
retninger, som ønsker at modtage betalingskort. Betalingskortmarkedet opstår derfor kun, når
begge grupper ”tilslutter sig” markedet.
For at kortudbyderne (kortudstedere, kortindløsere og kortselskaber) kan tjene penge på den
serviceydelse, der ligger i at betale med et betalingskort, skal ydelsen derfor ”sælges” til to
grupper, nemlig kortbrugere og betalingsmodtagere. På denne måde adskiller betalingskort-
markedet sig fra andre og mere traditionelle markeder, hvor en sælger udbyder et produkt til
en køber.
Denne type markeder omtales ofte som tosidede markeder, hvor henholdsvis kortbrugere og
betalingsmodtagere udgør markedets to ”sider”. Boks 2.3 beskriver kort, hvad der kendeteg-
ner tosidede markeder.
6
__________________
6
Lovbekendtgørelse nr. 613 af 24. april 2015 af lov om betalingstjenester og elektroniske penge med senere ændringer.
ERU, Alm.del - 2015-16 - Bilag 259: Rapport om Betalings-kortmarkedet 2016, fra erhvervs- og vækstministeren
1625260_0017.png
SIDE 17
BETALINGSKORTMARKEDET
Boks 2.3
Tosidede markeder
Tosidede markeder har især tre kendetegn:
1. For det første har markedet to grupper af aktører (to sider), som har brug for en fælles plat-
form eller et produkt for at kunne interagere. Den eller de virksomheder, som tilvejebringer
et produkt til de to grupper, der muliggør interaktionen, omtales ofte som ”platformen”.
2. For det andet er de to sider ofte indbyrdes afhængige. Eksempelvis kan et større antal aktører
på den ene side gøre det mere attraktivt for den anden sides aktører at tilslutte sig platfor-
men.
3. Endelig fastsætter platformen to priser; én til hver side af markedet med det formål at få beg-
ge sider af markedet ”om bord”. Det betyder, at platformen forsøger at tage højde for det ind-
byrdes forhold mellem de to sider og sætte nogle priser, som bevirker, at markedet får gavn af
at tilslutte sig platformen.
Prisstrukturen ved to-sidede markeder er ofte kendetegnet ved, at hele prisen lægges på den
ene side af markedet, mens den anden side betaler en pris på nul. Nedenstående tabel viser en
række eksempler på tosidede markeder med denne type prisstruktur. Fælles for disse eksem-
pler på tosidede markeder er, at platformen sætter en pris på nul overfor aktør 2 for at trække
en masse af disse aktører ”om bord” i markedet. Herved bliver det attraktivt for aktør 1 at ind-
gå i markedet og tilmed at betale en pris for det.
Marked
Platform
”Gode”
Aktør 1
Aktør 2
Pris for aktør 1
Pris for aktør 2
Internetauktioner
Fx Ebay
Brug af internetsite
Sælgere
Købere
P>0
P=0
Gratisaviser
Fx MetroExpress
Gratisavis
Annoncører
Læsere
P>0
P=0
Internationale betalingskort
Kortindløsere og kortudstedere
Betalingskort og indløsningsaftale
Forretninger
Kortbrugere
P>0
P=0
Anm.: Bemærk at platformen ved betalingskort er delt i to, hvor indløser sælger indløsningsaftaler til forretningerne, mens pengeinstitutterne sælger betalingskort til kortbru-
gerne. Den ”skæve” prissætning og det, at platformen er delt i to, kan således fordre en betaling fra indløser til kortudsteder, som udgør interbankgebyret.
Kortbrugere og betalingsmodtagere kan ikke selv udstede og indløse betalingskort, hvorfor de
har brug for en fælles platform for at interagere. Kortudstedere, kortindløsere og kortselska-
ber tilvejebringer et gode, nemlig ”betalingskortsystemet” (betalingskort og indløsningsaftale)
til henholdsvis kortbrugere og forretninger. Betalingskortsystemet muliggør interaktionen
mellem kortbrugere og forretninger. De to sider har en indbyrdes afhængighed, idet kortbru-
gernes gavn af betalingskortet vokser med antallet af forretninger med indløsningsaftaler.
Omvendt vokser forretningernes gavn af deres indløsningsaftale med antallet af forbrugere
med et betalingskort.
Der fastsættes to priser: én pris for indløsningsaftalen til forretningerne, der fastsættes af
kortindløser, og én pris for betalingskortet til kortbrugerne, der fastsættes af kortudbyder for
at få flest mulige aktører til at tilslutte sig markedet. De to priser er ikke nødvendigvis særskilt
omkostningsbegrundede, da platformen tager hensyn til de forskellige aktørers betalingsvil-
lighed og den indbyrdes afhængighed. Ved fuldkommen konkurrence vil summen af de to pri-
ser dog være konkurreret ned, så de svarer til de samlede omkostninger.
ERU, Alm.del - 2015-16 - Bilag 259: Rapport om Betalings-kortmarkedet 2016, fra erhvervs- og vækstministeren
1625260_0018.png
SIDE 18
KAPITEL 3 OVERBLIK
Kapitel 3
Overblik
3.1
Indledning og konklusioner
Dette kapitel ser nærmere på udviklingen i brugen af betalingskort i Danmark.
Betalingskort er generelt anerkendt for at være en sikker og effektiv betalingsform. Derfor er
der hos mange et ønske om en stor udbredelse af betalingskort i Danmark. Det fordrer både at
betalingskort er udbredt og at et tilstrækkeligt antal forretninger tager imod betalingskort.
Kapitlet er struktureret således, at der først redegøres for antallet af betalingskort, der er i
omløb i Danmark. Herefter oplyses om antallet af transaktioner foretaget med betalingskort
og hvor meget der omsættes for.
Derudover beskriver kapitlet også udviklingen i antallet af forretninger, som modtager beta-
lingskort, og endelig sammenlignes brugen af betalingskort i Danmark med brugen af beta-
lingskort i EU.
Boks 3.1
Konklusioner
»
Dankortet er det langt mest udbredte betalingskort i Danmark, og er også det kort, som be-
nyttes flittigst. I 2015 blev der gennemført over 1,2 mia. dankorttransaktioner
»
De internationale betalingskort anvendes oftere. I 2015 voksede brugen af internationale
betalingskort med 28 pct., mens brugen med Dankort voksede med 9 pct.
»
Brugen af betalingskort stiger kraftigt i den ikke-fysiske handel. Antallet af dankorttransak-
tioner på internettet steg fra 73 mio. i 2013 til 145 mio. transaktioner i 2015.
»
Danskerne er blandt de europæere, der benytter deres betalingskort mest.
En dansker foretog i gennemsnit 269 transaktioner årligt med betalingskort i 2014. Kun
svenskerne foretog flere transaktioner med betalingskort dette år, idet en svensker gen-
nemførte 272 transaktioner.
3.2
Antal kort i Danmark
Antallet af betalingskort i Danmark har været stødt stigende gennem de sidste mange år. Ef-
terhånden er den samlede kortvolumen blevet så stor, at der er flere Dankort eller Vi-
sa/Dankort i omløb end der er danskere og at hver dansker samtidig i praksis har et eller flere
internationale betalingskort i tegnebogen.
I 2015 var der således 5,8 mio. Dankort og Visa/Dankort i omløb. Siden 2010 er antallet af
Dankort og Visa/Dankort vokset med over 30 pct., jf. figur 3.1. Antallet af internationale beta-
lingskort er også vokset. I 2013 var der ca. 3 mio. internationale betalingskort i omløb, mens
der i 2015 er over 4 mio. i omløb.
Antallet af detailhandelskort har været relativt stabilt de sidste par år. Ifølge styrelsens oplys-
ninger er der ca. 0,4 mio. detailhandelskort i omløb. At der ikke er tale om et voksende antal
kort i denne kategori, skal sandsynligvis ses i lyset af, at forretninger og kæder i stigende om-
ERU, Alm.del - 2015-16 - Bilag 259: Rapport om Betalings-kortmarkedet 2016, fra erhvervs- og vækstministeren
1625260_0019.png
SIDE 19
BETALINGSKORTMARKEDET
fang benytter andre bonusmetoder end et særskilt betalingskort. Eksempelvis knytter nogle
forretninger deres bonusprogrammer til et eksisterende betalingskort så som Dankort eller et
internationalt betalingskort. Af samme årsag ses en faldende tendens i antallet af benzinkort,
som er faldet fra ca. 2,2 mio. kort i 2013 til 1,3 mio. kort i 2015. Eksempelvis har et større ben-
zinselskab valgt at knytte bonusordninger op til et betalingskort frem for at fortsætte med et
særskilt benzinkort.
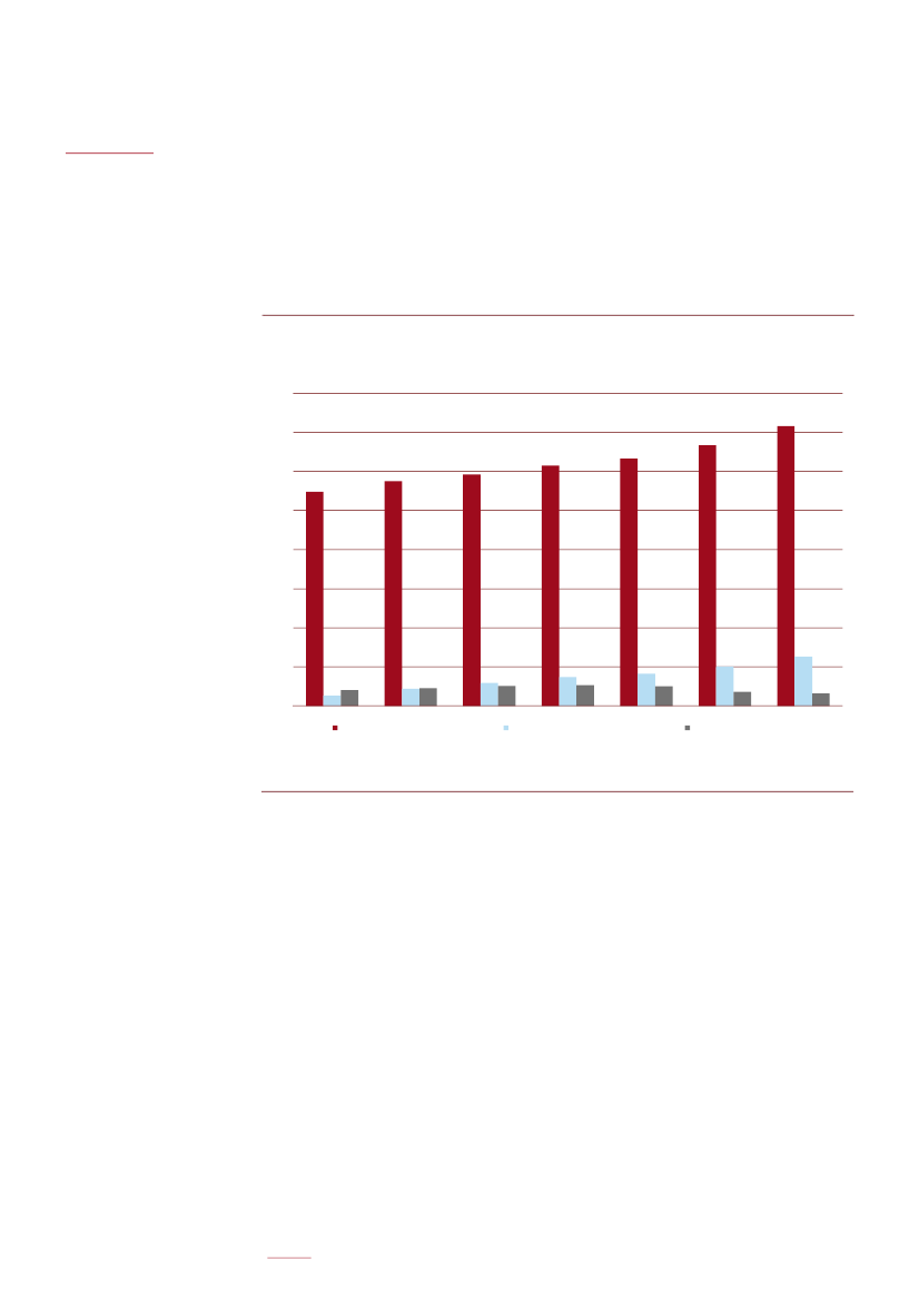
Figur 3.1
Antal udstedte betalingskort
Mio. stk.
7
6
5
4
3
2
1
0
2009
2010
2011
2012
2013
Detailhandelskort
2014
2015
Benzinkort
Visa/Dankort og Dankort
Internationale betalingskort
Kilde: Nets m. fl.
Selvom der er tale om stigende antal internationale betalingskort er Dankort og Visa/Dankort
fortsat det langt mest udbredte betalingskort i Danmark.
Den relative fordeling mellem såkaldt rene Dankort og Visa/Dankort har været relativ stabil
de seneste år, jf. figur 3.2. Her ses det, at der er væsentligt flere udstedte Visa/Dankort end
Dankort. Ud af de i alt 5,8 mio. Dankort og Visa/Dankort er ca. 0,9 mio. rene Dankort.
ERU, Alm.del - 2015-16 - Bilag 259: Rapport om Betalings-kortmarkedet 2016, fra erhvervs- og vækstministeren
1625260_0020.png
SIDE 20
KAPITEL 3 OVERBLIK
Figur 3.2
Udvikling i antal Dankort og Visa/Dankort
Mio. Stk.
7
6
5
4
3
2
1
0
2009
2010
2011
Visa/Dankort
2012
2013
Dankort
2014
2015
Kilde: Nets
3.3
Antal transaktioner
Udover at Dankortet er det langt mest udbredte betalingskort i Danmark, er det også det kort,
som benyttes flittigst. I praksis fungerer Visa/Dankortet som et Dankort i Danmark og et Visa-
kort i udlandet. Denne konstruktion vil blive ændret i sommeren 2016, jf. nærmere herom i
kapitel 5.
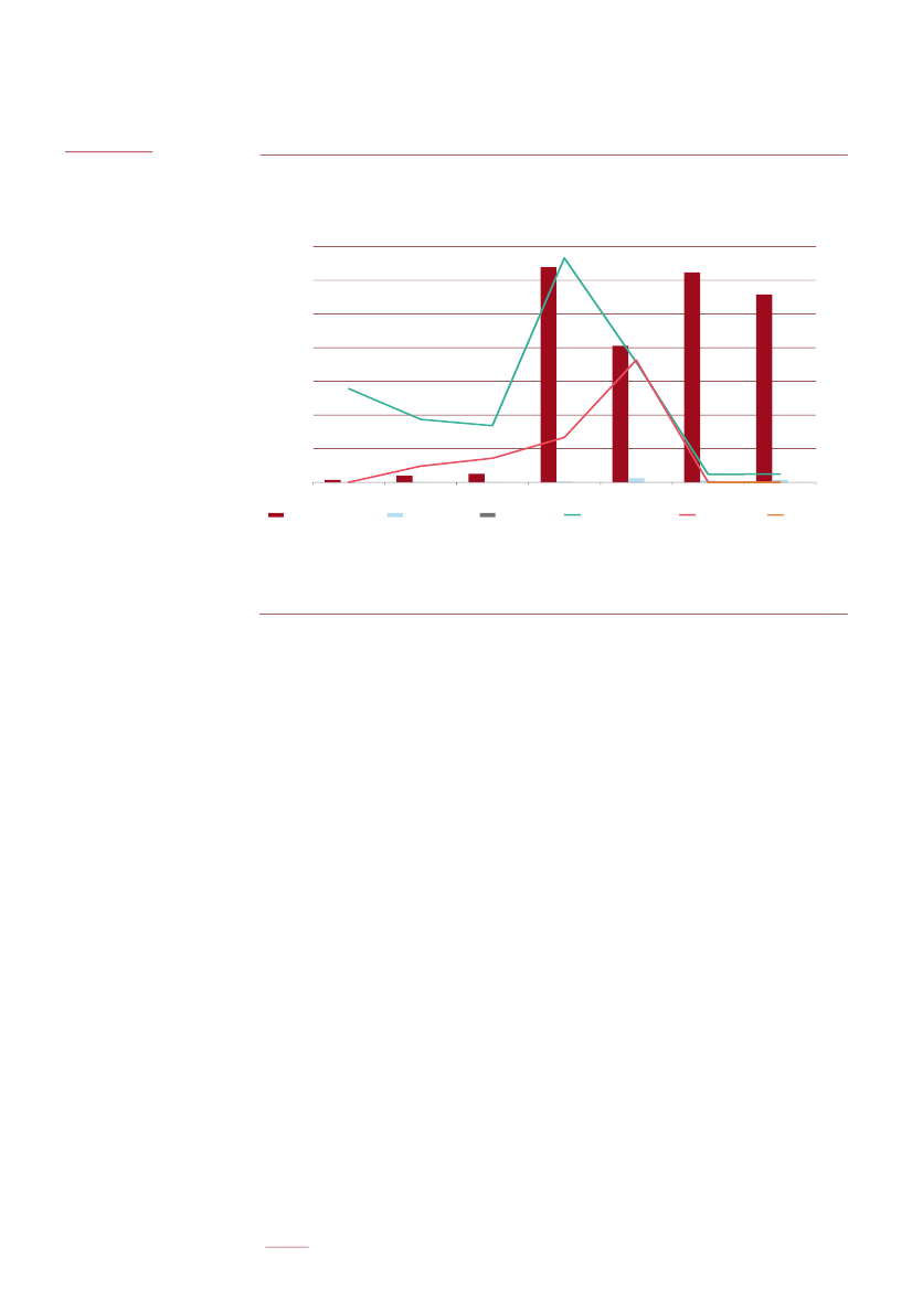
Antallet af dankorttransaktioner nåede i 2013 en milepæl, idet kortet dette år blev benyttet
over en milliard gange. Siden da er brugen af Dankortet fortsat vokset og nåede i 2015 at blive
brugt til at gennemføre 1,2 mia. transaktioner i fysisk og ikke-fysisk handel, jf. figur 3.3.
I sammenligning med Dankort er brugen af internationale betalingskort fortsat meget lav. I
2015 udgjorde det samlede antal transaktioner med disse kort 342 mio. For hver gang der
handles én gang med et internationalt betalingskort, benyttes et Dankort over tre gange.
Væksten i brugen af internationale betalingskort er dog kraftigere end tilfældet er med Dan-
kort. I 2015 voksede brugen af internationale betalingskort med 28 pct., mens brugen med
Dankort voksede med 9 pct. Hvis denne udvikling fortsætter, må det således forventes, at an-
tallet af transaktioner foretaget med internationale betalingskort over tid vil nærme sig Dan-
kortets niveau.
ERU, Alm.del - 2015-16 - Bilag 259: Rapport om Betalings-kortmarkedet 2016, fra erhvervs- og vækstministeren
1625260_0021.png
SIDE 21
BETALINGSKORTMARKEDET
Figur 3.3 Antal
transaktioner med betalingskort i Danmark
Mio. stk.
1.400
1.200
1.000
800
600
400
200
0
2009
2010
Visa/Dankort og Dankort
2011
2012
Internationale betalingskort
2013
2014
Detail- og Benzinkort
2015
Kilde: Nets
Baggrunden for den øgede brug af internationale betalingskort er primært brugen af inter-
nationale debetkort. Siden 2010 er antallet af transaktioner med internationale debetkort
mere end tredoblet, jf. figur 3.4, og i 2015 blev der gennemført mere end 300 mio. transak-
tioner med et internationalt debetkort. Til sammenligning hermed er brugen af internatio-
nale kreditkort relativ stabil og ligger på ca. 30 mio. transaktioner om året.
ERU, Alm.del - 2015-16 - Bilag 259: Rapport om Betalings-kortmarkedet 2016, fra erhvervs- og vækstministeren
1625260_0022.png
SIDE 22
KAPITEL 3 OVERBLIK
Figur 3.4
Antal transaktioner med internationale debet- og kreditkort i Danmark
Mio. Stk.
350
300
250
200
150
100
50
0
2009
2010
2011
2012
2013
2014
2015
Internationale Debetkort
Internationale Kreditkort
Kilde: Nets
Den store mængde af korttransaktioner fordeler sig på tre områder: fysisk handel, internet-
handel og anden handel, hvor sidstnævnte primært består af selvbetjente betalingsautomater.
Uanset om der er tale om Visa/Dankort eller internationale betalingskort, bliver kortene fort-
sat primært benyttet i fysiske butikker.
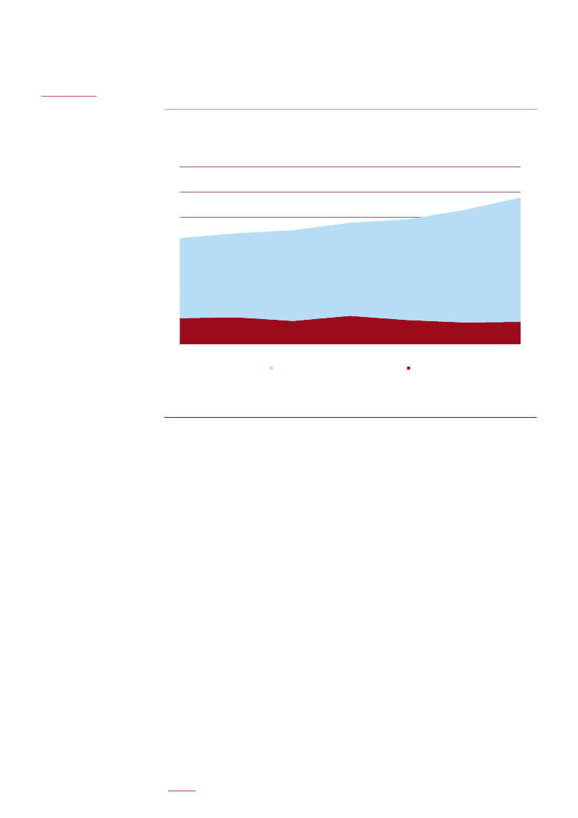
Figur 3.5
Fordeling af transaktioner i fysisk handel, internethandel og anden handel
(a) Visa/Dankort
(b) Internationale betalingskort
Fysisk Handel
Internet
Andet
Fysisk Handel
Internet
Andet
Kilde: Nets og styrelsens egne beregninger
ERU, Alm.del - 2015-16 - Bilag 259: Rapport om Betalings-kortmarkedet 2016, fra erhvervs- og vækstministeren
1625260_0023.png
SIDE 23
BETALINGSKORTMARKEDET
Mere end 75 pct. af alle transaktioner foregår således i den fysiske handel. Men den ikke-
fysiske handel er i kraftig vækst. År efter år sættes der rekord for internethandlen, og beta-
lingskort er fortsat det langt mest almindelige betalingsmiddel i ikke-fysisk handel.
Eksempelvis er det samlede antal af dankorttransaktioner i ikke-fysisk handel er vokset bety-
deligt inden for de sidste tre år fra 150 mio. i 2013 til 228 mio. i 2015, jf. figur 3.6. Heraf udgør
internethandel den største stigning, idet der ses en eksponentiel vækst i antallet af dankort-
transaktioner på internettet fra eksempelvis 73 mio. i 2013 til 145 mio. i 2015, svarende til en
fordobling af antallet af transaktioner på blot tre år.
Figur 3.6
Transaktioner Dankort i ikke-fysisk handel
Mio. Stk.
160
140
120
100
80
60
40
20
0
2009
2010
Internet
2011
2012
2013
Andet
2014
2015
Kilde: Nets
Transaktioner i udlandet
Når danskere rejser til udlandet er det ofte med mere end ét betalingskort i tegnebogen, og be-
talingskortene benyttes i stigende grad. Ofte er der tale om et Visa/Dankort og et andet inter-
nationalt betalingskort. Som nævnt, er Visa/Dankortet i praksis et Dankort i Danmark og et
Visa-kort i udlandet.
ERU, Alm.del - 2015-16 - Bilag 259: Rapport om Betalings-kortmarkedet 2016, fra erhvervs- og vækstministeren
1625260_0024.png
SIDE 24
KAPITEL 3 OVERBLIK
Figur 3.7
Udvikling i antallet af transaktioner med betalingskort i udlandet
Mio. Stk.
100
90
80
70
60
50
40
30
20
10
0
2009
2010
Visa/Dankort
2011
2012
2013
Internationale betalingskort
2014
2015
Kilde: Nets
Visa/Dankortet er det foretrukne kort i udlandet, men brugen af internationale betalingskort
så som MasterCard bliver større og større. I perioden 2011-2015 er antallet af udenlandske
transaktioner med Visa/Dankort vokset fra 46 mio. transaktioner i 2011 til 93 mio. transakti-
oner i 2015, svarende til 100 pct. I samme periode er udenlandske transaktioner med interna-
tionale betalingskort vokset med 34 mio. fra 23 mio. transaktioner i 2011 til 57 mio. transak-
tioner i 2015, svarende til 148 pct.
Siden 2009 er antallet af transaktioner med danske kort foretaget i udlandet mere end fordob-
let. I 2015 blev der gennemført knap 150 mio. transaktioner i udlandet, hvoraf ca. en tredjedel
blev gennemført med et andet internationalt betalingskort end Visa/Dankortet.
ERU, Alm.del - 2015-16 - Bilag 259: Rapport om Betalings-kortmarkedet 2016, fra erhvervs- og vækstministeren
1625260_0025.png
SIDE 25
BETALINGSKORTMARKEDET
3.4
Omsætning
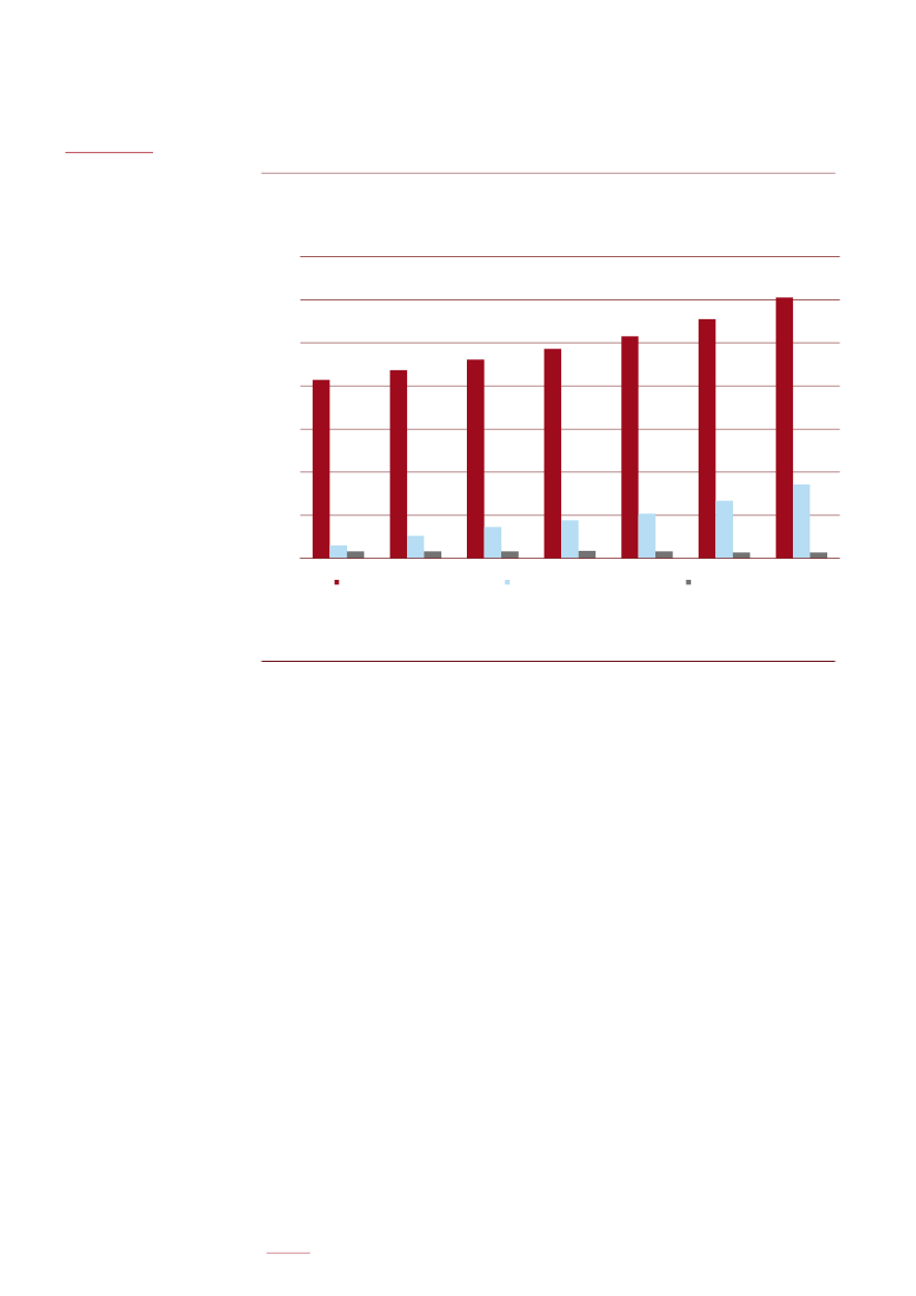
De betalingskort som benyttes mest, er også de kort med den største omsætning. Omsætnin-
gen med Dankort og Visa/Dankort nåede over 350 mia. kr. i 2015, jf. figur 3.8, svarende til ca.
7
17 pct. af Danmarks bruttonationalprodukt.
Selvom omsætningen er voksende for så vidt angår internationale betalingskort, er den fortsat
væsentlig lavere end niveauet for Dankortet.
Figur 3.8
Omsætning med betalingskort i Danmark
Mia. Kr.
400
350
300
250
200
150
100
50
0
2009
2010
Visa/Dankort og Dankort
2011
2012
Internationale betalingskort
2013
2014
Detail- og benzinkort
2015
Kilde: Nets
Dankortet er således det betalingskort, der benyttes mest og der handles mest for. Når der ses
på det gennemsnitlige købsbeløb ligger det på 297 kr. for Dankort og Visa/Dankortet, jf. tabel
3.1. Niveauet har været faldende de sidste par år, fordi Dankortet i stigende grad også benyt-
tes til at foretage betalinger med mindre beløb.
Internationale debetkort anvendes i endnu højere grad til betalinger med små beløb. Det gen-
nemsnitlige købsbeløb ligger på 158 kr. pr. transaktion. Til sammenligning hermed er kredit-
kortet ofte foretrukket ved større beløb, fx i forbindelse med køb af rejser og flybilletter. Der-
for er det gennemsnitlige købsbeløb her højere end både internationale debetkort og Vi-
sa/Dankort, nemlig 564 kr. pr. transaktion.
__________________
7
Kilde: Danmarks Statistik
ERU, Alm.del - 2015-16 - Bilag 259: Rapport om Betalings-kortmarkedet 2016, fra erhvervs- og vækstministeren
1625260_0026.png
SIDE 26
KAPITEL 3 OVERBLIK
Tabel 3.1
Gennemsnitlig omsætning pr. transaktion i 2015
Dankort og Visa/Dankort
Internationale debetkort
Internationale kreditkort
297 kr.
158 kr.
564 kr.
Kilde: Nets og Nationalbanken
3.5
Antal forretninger som modtager betalingskort
At brugen af betalingskort i den fysiske handel fortsat er væsentlig større end internethandel
ses også i antallet af forretninger, som modtager betalingskort.
I 2015 kunne et Dankort eller Visa/Dankort benyttes i knap 80.000 fysiske forretninger. Ni-
veauet er en smule lavere end niveauet i 2013, hvilke måske skal ses i lyset af en voksende
abonnementsbetaling i samme periode, jf. kapitel 7. Omvendt er der kommet flere forretnin-
ger, som modtager internationale betalingskort i løbet af de sidste tre år. I 2015 var der ca.
60.000 forretninger, der modtager internationale betalingskort.
Idet internethandlen fortsat vokser, er der også flere og flere internetforretninger, der modta-
ger betalingskort. Især er modtagelsen af internationale betalingskort vokset markant siden
2013, jf. figur 3.9
Figur 3.9
Antallet af forretninger der modtager Dankort eller internationale betalingskort
(a) Fysisk handel
Forretninger
90.000
80.000
70.000
60.000
15.000
50.000
40.000
30.000
20.000
10.000
0
2012
2013
2014
Internationale Betalingskort
2015
Dankort og Visa/Dankort
0
2012
2013
2014
Internationale Betalingskort
2015
Dankort og Visa/Dankort
5.000
20.000
(b) Internethandel
Forretninger
25.000
10.000
Kilde: Nets, SEB Bank, Swedbank, Ikano Finans, Valitor, Danske Bank m.fl. samt Konkurrence- og Forbrugerstyrelsens egne beregninger
ERU, Alm.del - 2015-16 - Bilag 259: Rapport om Betalings-kortmarkedet 2016, fra erhvervs- og vækstministeren
1625260_0027.png
SIDE 27
BETALINGSKORTMARKEDET
3.6
Danmark og udland
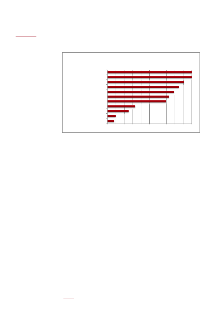
I sammenligning med udlandet er brugen af betalingskort i Danmark meget høj. I Europa er
Dankort et af de lande med det højeste antal korttransaktioner pr. borger, jf. figur 3.10.
Figur 3.10
Det gennemsnitlige antal transaktioner med betalingskort pr. borger i 2014
Anm.:
EU gennemsnittet er vægtet efter antal borgere i hvert land. Antal borgere, indeholder borgere under 18 år, og dermed
indgår folk der ikke har adgang til alle former for betalingskort.
Kilde: Kilde er ECBs betalingskortsstatistik, samt befolkningstal fra Eurostat. KFSTs egne beregninger.
I 2014 var Danmark kun overgået af Sverige, hvor en borger i gennemsnit gennemførte knap
272 transaktioner om året. I samme år gennemførte en dansker i gennemsnit 269 transaktio-
ner. Heraf udgør dankorttransaktioner langt størstedelen, jf. ovenfor.
Niveauet i Danmark er væsentligt over gennemsnittet i EU, som ligger på 149 transaktioner
pr. borger om året.
Udover at danskere bruger deres betalingskort oftere i forhold til flertallet af de øvrige lande i
EU, bruges også flere penge med betalingskortet. Figur 3.11 viser, hvor meget befolkningen i
de forskellige lande omsætter for med deres betalingskort.
I 2014 havde Danmark det fjerdehøjeste forbrug med betalingskort i EU. Med et gennemsnit-
ligt årligt forbrug på 77.948 kr. pr. indbygger, lå danskernes gennemsnitsforbrug også et styk-
ke over det gennemsnitlige EU forbrug på 53.966 kr. pr. indbygger. Det svarer til at hver dan-
sker i 2014 i gennemsnit brugte 213 kr. om dagen på sit betalingskort.
ERU, Alm.del - 2015-16 - Bilag 259: Rapport om Betalings-kortmarkedet 2016, fra erhvervs- og vækstministeren
1625260_0028.png
SIDE 28
KAPITEL 3 OVERBLIK
Figur 3.11
Det gennemsnitlige årlige beløb pr. borger i EU-landende, som er betalt med
et betalingskort
Anm.:
EU gennemsnittet er vægtet efter antal borgere i hvert land. Antal borgere, indeholder borgere under 18 år, og dermed
indgår folk der ikke har adgang til alle former for betalingskort. Alle beløb er omregnet til danske kroner fra Euro med kurs 7,46
kr. pr. Euro.
Kilde: Kilde er ECBs betalingskortsstatistik, samt befolkningstal fra Eurostat. KFSTs egne beregninger.
ERU, Alm.del - 2015-16 - Bilag 259: Rapport om Betalings-kortmarkedet 2016, fra erhvervs- og vækstministeren
1625260_0029.png
SIDE 29
BETALINGSKORTMARKEDET
Kapitel 4
Misbrug
4.1
Indledning og konklusioner
Betalingskort er den sikreste måde at betale på, men der er en risiko for, at kortet bliver mis-
brugt, eller at der ved en fejl bliver trukket penge på det.
Dette kapitel beskriver udviklingen i antallet af misbrugssager med henholdsvis Dankort og
internationale betalingskort i Danmark og i udlandet.
Misbrugssagerne opdeles i tre kategorier:
»
Misbrug af tabte og stjålne kort
»
Misbrug med falske kort
»
Misbrug i forbindelse med såkaldt fjernsalg.
Boks 4.1
Konklusioner
»
Antallet af sager vedrørende misbrug af betalingskort er stigende, men overordnet set lavt.
I alt var der 57.181 misbrugssager med Dankort og internationale betalingskort i 2015.
Stigningen skal dog ses i forhold til, at antallet af betalingskorttransaktioner også er steget.
»
Der er en overvægt af misbrugssager ved fjernsalg, sammenlignet med de øvrige misbrugs-
tilfælde. Alene for Dankortet udgjorde antallet af misbrugssager ved fjernsalg 58 pct. af det
samlede antal misbrugssager
»
Danske kort misbruges primært udenfor Danmarks grænser. Langt størstedelen af mis-
brugssager finder sted enten i andre lande eller i internetforretninger registreret i udlan-
det.
4.2
Samlede antal misbrugssager
Det samlede antal misbrugssager med Dankort og internationale betalingskort udgjorde i alt
57.181 i 2015, jf. tabel 4.1. Langt størstedelen af disse fandt sted i udlandet, jf. nærmere herom
i afsnit 4.5. Endvidere er det oftest ved fjernsalg, at der sker misbrug ved betalingskort, dvs.
internethandel, handel via postordre, telefonordre og ved selvbetjente betalingsautomater
uden pinkode.
Det relativt høje antal misbrugssager skal dog altid ses i lyset af den omfattende brug af beta-
lingskort i Danmark og udlandet.
I 2015 blev der gennemført over 1,7 mia. transaktioner med Dankort, Visa/Dankort og inter-
nationale betalingskort i Danmark og i udlandet, jf. kapitel 3. Det betyder, at der blev gennem-
ført ca. 30.000 transaktioner med betalingskort for hver misbrugssag. Helt overordnet er mis-
bruget med betalingskort således meget lavt.
ERU, Alm.del - 2015-16 - Bilag 259: Rapport om Betalings-kortmarkedet 2016, fra erhvervs- og vækstministeren
1625260_0030.png
SIDE 30
KAPITEL 4 MISBRUG
Tabel 4.1
Samlet antal misbrugssager med Dankort og internationale betalingskort
2014
Fjernsalg
Tabte og stjålne kort
Falske kort
Samlet antal misbrugssager
Kilde: Nets
2015
40.964
5.098
11.119
57.181
28.415
5.221
10.100
43.736
4.3
Misbrug med Dankort
Der har siden 2008 været en opadgående tendens i forhold til antallet af misbrugssager.
Siden 2008 er antallet af misbrugssager steget med ca. 66 pct. I forhold til fjernsalg, har udvik-
lingen været endnu mere udtalt, da der i samme periode er sket en næsten fordobling i antal-
let af misbrugssager.
Tabel 4.2
Antal misbrugssager med Dankort
Stk.
Misbrug af tabte og stjålne kort
Falske kort
Fjernsalg
Samlet
Kilde: Nets
2008
3459
1
1494
4954
2009
3196
0
1730
4926
2010
2761
0
2506
5267
2011
2824
0
1998
4822
2012
2651
0
2441
5092
2013
2447
0
2827
5274
2014
3728
0
3240
6968
2015
3431
0
4787
8218
I 2015 lå antallet af sager med misbrug af tabte og stjålne Dankort på næsten samme nivieau
som i 2008. I forhold til misbrug ved fjernsalg har der imidlertid været en negativ udvikling,
hvor antallet af misbrugssager er vokset med 56 pct. i perioden 2013-2015. Denne stigning
skal ses i lyset af den kraftige vækst i antallet af transaktioner ved internethandel, hvor der i
samme periode har været tale om en fordobling af antallet af transaktioner, jf. kapitel 3.3.
Det bemærkes i øvrigt, at der siden introduktionen af chip på Dankortet i 2005 ikke er regi-
8
streret en eneste misbrugssag vedrørende forfalsket dankort-chip . Sammenholdt med at den
sidste sag med et forfalsket Dankort fandt sted i 2008, hvor der var et enkelt forfalsket Dan-
kort, som medførte et tab på 29.000 kr., må det konkluderes, at der i Danmark ikke er proble-
mer med forfalskede Dankort og Visa/Dankort.
__________________
8
Kilde: Nets http://www.nets.eu/dk-da/Om/om-virksomheden/nets-i-tal/misbrugstal/Pages/default.aspx
ERU, Alm.del - 2015-16 - Bilag 259: Rapport om Betalings-kortmarkedet 2016, fra erhvervs- og vækstministeren
1625260_0031.png
SIDE 31
BETALINGSKORTMARKEDET
Den forholdsvis store stigning i antallet af misbrugssager ved fjernsalg, kan meget vel tilskri-
ves, at fjernsalget er i vækst, samtidig med, at sikkerhedsforanstaltningerne mod misbrug ikke
er ligeså effektive som ved fysisk handel. Ved handel i en fysisk forretning, vil det som oftest
være påkrævet, at kortbruger benytter kortets chip, og kender pinkoden, hvorimod kortbru-
ger ved fjernsalg kan nøjes med at oplyse kortnummer og kortets sikkerhedskode, der står bag
på kortet.
Når antallet af misbrugssager ved fjernsalg sættes i forhold til antallet af Dankort er der lige-
ledes en stigende tendens, jf. figur 4.1. I 2012 var forholdet 0,51 misbrugssager ved fjernsalg
pr. 1.000 Dankort. I 2015 er dette tal vokset til 0,83. I samme periode har antallet af misbrugs-
sager for så vidt angår stjålne og tabte Dankort været relativt stabilt, jf. figur 4.1.
Figur 4.1
Antal misbrugssager i forhold til antallet af Dankort
Antal misbrugssager pr.
1.000 Dankort
1,6
1,4
1,2
1
0,8
0,6
0,4
0,2
0
2008
2009
2010
2011
2012
Fjernsalg
2013
2014
Samlet
2015
Stjålne og tabte kort
Kilde: Nets samt KFSTs egne beregninger
Når antallet af misbrugssager sættes i forhold til antallet af transaktioner ses nogenlunde
samme udvikling. Siden 2008 er antallet af misbrugssager pr. mio. transaktioner ved fjernsalg
således steget med 50 pct. fra 14 til 21 sager pr. mio. transaktioner, jf. figur 4.2.
For sager med misbrug af tabte og stjålne Dankort er hyppigheden heraf svagt faldende, jf. fi-
gur 4.2. Den er faldet fra ca. 4 misbrugssager pr. mio. transaktioner i 2008 til ca. 3 misbrugssa-
ger pr. mio. transaktioner i 2015. Som nævnt tidligere fandt den sidste forfalskningssag med
Dankort sted i 2008.
Når man holder det samlede antal af misbrugssager op mod antallet af transaktioner, kan der
ligeledes konstateres en stigende tendens. Hvor det gennemsnitlige antal misbrugssager pr.
mio. transaktioner var på 5,66 i 2012, var tallet i 2015 steget til 7,3 (en stigning på 25 pct.), jf.
figur 4.2.
ERU, Alm.del - 2015-16 - Bilag 259: Rapport om Betalings-kortmarkedet 2016, fra erhvervs- og vækstministeren
1625260_0032.png
SIDE 32
KAPITEL 4 MISBRUG
Figur 4.2
Antal af misbrugssager pr. mio. transaktioner
Stk.
25
20
15
10
5
0
2008
2009
2010
2011
2012
Fjernsalg
2013
2014
Samlet
2015
Tabte og stjålne kort
Kilde: Nets samt KFST’s egne beregninger
En interessant udvikling er, at der efter flere år, hvor det beløb, der årligt blev svindlet for,
steg, er der i dag tegn på at udviklingen er vendt. Hvor der i årene 2012, 2013 og 2014 blev
svindlet for omkring 45 mio. kr. faldt dette tal i 2015 ned til omkring 36 mio. kr., hvilket svarer
til et fald på ca. 20 pct., jf. 4.3.
Tabel 4.3
Misbrug med Dankort i Danmark
1.000 kr.
Samlet misbrug
Kilde: Nets
2008
41.484
2009
38.896
2010
39.039
2011
36.421
2012
45.887
2013
46.310
2014
45.470
2015
36.379
ERU, Alm.del - 2015-16 - Bilag 259: Rapport om Betalings-kortmarkedet 2016, fra erhvervs- og vækstministeren
1625260_0033.png
SIDE 33
BETALINGSKORTMARKEDET
Figur 4.3
Gennemsnitstab pr. misbrugssag med Dankort
Kr.
14.000
12.000
10.000
8.000
6.000
4.000
2.000
0
2008
2009
2010
2011
2012
Fjernsalg
2013
2014
Samlet
2015
Stjålne og tabte kort
Anm.:
Falske kort er ikke medtaget, da der kun har været én sag med falsk kort i registreringsperioden.
Kilde: Nets samt KFSTs egne beregninger
Hvor gennemsnitstabet i 2008 var 9.603 kr. ved stjålne og tabte Dankort var dette i 2015 ste-
get til 10.600 kr., jf. figur 4.3. Værd at bemærke er dog, at 2015-tallene alligevel er et udtryk
for en faldende tendens, da gennemsnitstabet toppede i 2014 med et gennemsnitstab på 9.391
kr. og faldt til 8.053 kr. i 2015.
Gennemsnitstabet ved misbrug af Dankort ved fjernsalg kulminerede i 2012, hvor der i gen-
nemsnit blev svindlet for 6.874 kr. pr. misbrugssag. Dette beløb er efterfølgende faldet til
5.225 kr. i 2015. Begge tal er imidlertid højere end niveauet i 2008, som var på 3.956 kr., jf. fi-
gur 4.3.
Ser man på de samlede gennemsnitstab pr. misbrug med et Dankort, kan det konstateres, at
det i alle årene har ligget nogenlunde stabilt i omegnen af de 8.000 - 10.000 kr., jf. figur 4.3.
ERU, Alm.del - 2015-16 - Bilag 259: Rapport om Betalings-kortmarkedet 2016, fra erhvervs- og vækstministeren
1625260_0034.png
SIDE 34
KAPITEL 4 MISBRUG
4.4
Misbrug af dansk udstedte internationale betalingskort i Danmark
Tabel 4.4
Antal misbrugssager med dansk udstedte internationale betalingskort i
Danmark
Stk.
Misbrug af tabte
og stjålne kort
Falske kort
Fjernsalg
Samlet
2009
0-100
100-200
400-500
600-700
2010
0-100
100-200
500-600
800-900
2011
0-100*
200-300*
400-500*
700-800*
2012
0-100
100-200
300-400
500-600
2013
0-100
100-200
400-500
2014
0-100
200-300
700-800
2015
0-100
100-200
800-900
600-700 1000-1100 1100-1200
Anm.:
Tal for 2011 er ganget op, med faktor 1 1/3 da rådata kun dækker over de første 3 kvartaler af året.
Kilde: Nets samt KFST’s egne beregninger
Langt størstedelen af misbrug med internationale betalingskort finder sted ved fjernsalg, og
misbruget her tegner sig i dag for ca. 75 pct. af alle misbrugssager med internationale beta-
lingskort. Dette er mere end det tilsvarende tal for Dankortet jf. tabel 4.1. og 4.4. Dette kan mu-
ligvis i et vist omfang tilskrives det forhold, at omsætningen ved fjernsalg tegner sig for en
større andel af den samlede omsætning ved internationale betalingskort, end tilfældet er ved
Dankortet, jf. kapitel 3.5.
Hvad angår misbrug af tabte og stjålne kort, kan det konkluderes, at der er relativt færre af
denne slags misbrugssager med internationale betalingskort, end der tilsvarende er med Dan-
kortet, jf. tabel 4.4.
Endvidere kan det konstateres, at der er et forholdsvis stort antal sager med forfalskede in-
ternationale betalingskort. Det står i stærk kontrast til Dankortet, hvor der siden 2008 ikke
har været en eneste sag med forfalsket kort.
I forhold til 2014 er der ingen nævneværdig forskel i misbrug med tabte, stjålne eller falske in-
ternationale betalingskort. I forhold til 2012 er der dog tale om ca. en fordobling.
Det samlede beløb, der bliver svindlet for har i mange år ligget i omegnen af 2 mio. kr. fra 2009
til og med 2014. I 2013 skete der imidlertid en kraftig stigning i de beløb, der blev misbrugt
for med internationale betalingskort i Danmark. Denne tendens er fortsat i 2014 og 2015, jf.
tabel 4.5. Derudover viser tallene, at misbruget med internationale betalingskort ved fjernsalg
er den væsentligste årsag til, at den samlede værdi af misbruget i 2015 overstiger 4 mio. kr., jf.
tabel 4.5.
ERU, Alm.del - 2015-16 - Bilag 259: Rapport om Betalings-kortmarkedet 2016, fra erhvervs- og vækstministeren
1625260_0035.png
SIDE 35
BETALINGSKORTMARKEDET
Tabel 4.5
Tab som følge af misbrug med dansk udstedte internationale betalingskort i
Danmark
1.000 kr.
Misbrug af
tabte og
stjålne
kort
Falske kort
Fjernsalg
Samlet
2009
300-400
2010
200-300
2011
300-400*
2012
100-200
2013
100-200
2014
400-500
2015
400-500
1000-1100
700-800
2100-2200
800-900
800-900
1800-1900
900-1000*
1100-1200*
2400-2500*
700-800
1100-1200
2100-2200
700-800
1700-1800
2700-2800
1100-1200
2300-2400
3900-4000
900-1000
2800-2900
4200-4300
Kilde: Nets samt KFSTs egne beregninger
4.5
Misbrug af betalingskort i udlandet
For at gøre billedet af misbrug med betalingskort mere komplet, har Konkurrence- og Forbru-
gerstyrelsen også undersøgt misbrug med dansk udstedte betalingskort i udlandet. Det føl-
gende er aggregerede tal for både Visa/Dankort og dansk udstedte internationale betalings-
kort.
I 2015 var der i omegnen af 46.000 sager med misbrug i udlandet, og der blev i alt misbrugt
for mellem 226 og 227 mio. kr. Langt størstedelen af det samlede misbrug med dansk udsted-
te betalingskort foregår i udlandet, og finder sted enten i fysiske butikker i andre lande eller i
internetforretninger registreret i udlandet.
Tabel 4.6 giver et overblik over antallet af misbrugssager og beløb, der er blevet misbrugt for i
2014 og 2015 i udlandet.
Tabel 4.6
Antal misbrugssager og tab som følge af misbrug med dansk udstedte interna-
tionale betalingskort uden for Danmark
a) Antal sager
Stk.
Misbrug af
tabte og
stjålne kort
Falske kort
Fjernsalg
I alt
2014
1000-1500
9000-9500
23.000-23.500
34.000-34.500
2015
1500-2000
10.000-10.500
34.000-34.500
46.000-46.500
b) Tab som følge af misbrug
1.000 kr.
Misbrug af
tabte og
stjålne kort
Falske kort
Fjernsalg
I alt
2014
10.000-10.500
45.500-46.000
95.000-95.500
151.000-152.000
2015
10.000-10.500
57.000-57.500
158.000-159.000
226.000-227.000
Kilde: Nets samt Konkurrence- og Forbrugerstyrelsens egne beregninger.
Det skal bemærkes, at fjernsalg – hvor misbrug finder sted i en udenlandsk internetbutik - bli-
ver kategoriseret som misbrug i udlandet.
Misbrug i udlandet med dansk udstedte betalingskort er ligeledes præget af et højt antal mis-
brugssager med falske kort. Dette kan skyldes, at der benyttes magnetstribe i stedet for chip,
når der skal betales med betalingskort i udlandet. Således sættes chippen på betalingskort ud
af funktion, og der kan kopieres oplysninger fra betalingskortets magnetstribe.
ERU, Alm.del - 2015-16 - Bilag 259: Rapport om Betalings-kortmarkedet 2016, fra erhvervs- og vækstministeren
1625260_0036.png
SIDE 36
KAPITEL 4 MISBRUG
4.6
Misbrug af benzinkort og detailhandelskort
Figur 4.4
Misbrug med detailhandelskort, i antal og størrelse
Konkurrence- og Forbrugerstyrelsen har ligeledes indhentet oplysninger om misbrug på de-
tailhandels- og benzinkort.
Kr.
400.000
Stk.
70
350.000
60
300.000
50
250.000
40
200.000
30
150.000
20
100.000
10
50.000
0
2009
Tabte/stjålne kort (Stk.)
2010
2011
2012
Fjernsalg (Stk.)
2013
Tabte/stjålne kort (Kr.)
2014
2015
0
Falske kort (Stk.)
Falske kort (Kr.)
Fjernsalg (Kr.)
Anm.:
Tal behæftet med stor usikkerhed
Kilde: Detailhandlen samt KFSTs egne beregninger.
Der kan ikke konstateres nogen entydig tendens i forhold til detailhandelskort.
Siden 2012 har der været en stigning i antallet og det samlede tab i sager om tabte og stjålne
kort. Antallet af sager omhandlende falske kort er derimod elimineret efter en periode i 2012
og 2013 med uforholdsmæssigt mange sager vedrørende denne problematik.
ERU, Alm.del - 2015-16 - Bilag 259: Rapport om Betalings-kortmarkedet 2016, fra erhvervs- og vækstministeren
1625260_0037.png
SIDE 37
BETALINGSKORTMARKEDET
Figur 4.5
Misbrug med benzinkort, i antal og størrelse
Kr.
2.500.000
Stk.
7000
6000
2.000.000
5000
1.500.000
4000
1.000.000
3000
2000
500.000
1000
0
2009
Tabte/stjålne kort (Stk.)
2010
Falske kort (Stk.)
2011
2012
2013
Tabte/stjålne kort (Kr.)
2014
Falske kort (Kr.)
2015
0
Fjernsalg (Stk.)
Fjernsalg (Kr.)
Anm.:
Tal er behæftet med stor usikkerhed
Kilde: Benzinselskaberne i Danmark, samt KFSTs egne beregninger.
Antallet af sager om misbrug af benzinkort synes umiddelbart at have toppet i perioden 2012
og 2013, hvor der i forhold til tidligere, var et uforholdsmæssigt stort antal misbrugssager.
Det tal er efterfølgende faldet til et relativt lavt antal, hvilket muligvis i et vist omfang kan til-
skrives det forhold, at antallet af udstedte benzinkort er faldet de senere år, jf. Figur 3.1.
ERU, Alm.del - 2015-16 - Bilag 259: Rapport om Betalings-kortmarkedet 2016, fra erhvervs- og vækstministeren
1625260_0038.png
SIDE 38
KAPITEL 5 REGLERNE
Kapitel 5
Reglerne
5.1
Indledning og konklusioner
Betalingstjenesteloven regulerer betingelserne for rettigheder og pligter forbundet med ud-
10
bud af betalingstjenester .
Tilsynet med lovens regler er delt mellem Finanstilsynet, Forbrugerombudsmanden og Kon-
kurrence- og Forbrugerstyrelsen.
Finanstilsynet udsteder tilladelse til, at virksomheder kan udbyde betalingstjenester og/ eller
betegne sig som e-pengeinstitut. Finanstilsynet fører samtidig tilsyn med virksomhedernes
overholdelse af de dertil knyttede regler.
Forbrugerombudsmandens tilsyn drejer sig om oplysningspligt, god skik samt rettigheder og
12
pligter ved brug af betalingstjenester .
Endelig fører Konkurrence- og Forbrugerstyrelsen tilsyn med, at reglerne om adgang til beta-
13
lingssystemer samt fastsættelse og opkrævning af gebyrer overholdes . Reglerne vedrørende
fastsættelse af gebyrer er fokus for dette kapitel.
I kapitlets første del redegøres for hovedreglen om fastsættelse af gebyrer, som medfører, at
gebyrer ikke må være urimelige. Derefter forklares det, hvornår, hvordan og hvor meget en
forbruger kan blive pålagt at betale i gebyr for betaling med betalingskort.
Kapitlet afsluttes med en gennemgang af den nyeste regulering på betalingstjenestelovens
område.
11
9
__________________
9
10
11
12
13
Lovbekendtgørelse nr. 613 af 24. april 2015, om betalingstjenester og elektroniske penge med senere ændringer.
Betalingstjenester er defineret i bilag 1 til loven.
Jf. betalingstjenestelovens § 86, stk. 1.
Jf. betalingstjenestelovens § 97, stk. 1.
Jf. betalingstjenestelovens § 98, stk. 1.
ERU, Alm.del - 2015-16 - Bilag 259: Rapport om Betalings-kortmarkedet 2016, fra erhvervs- og vækstministeren
1625260_0039.png
SIDE 39
BETALINGSKORTMARKEDET
Boks 5.1
Konklusioner
»
Gebyrer må ikke være urimeligt høje
»
Der må opkræves gebyr ved betaling med kreditkort som fx MasterCard og Visa
»
Der må ikke opkræves gebyr ved betaling med debetkort som fx Dankort i fysisk handel
»
»
»
»
(typisk i en forretning)
Der må opkræves gebyr ved internethandel på både debet- og kreditkort
Det gebyr en betalingsmodtager opkræver af sine kunder må ikke være større end det ge-
byr betalingsmodtageren opkræves af sin kortindløser
Når PSD2 er implementeret vil det – som udgangspunkt - ikke være tilladt at opkræve ge-
byrer ved betaling med betalingskort, hverken i fysisk handel eller på internettet.
De danske regler for gebyrer og overvæltning gælder ikke for virksomheder, der er hjem-
mehørende i andre EU/EØS-lande og som udbyder såkaldte informationssamfundstjenester
på det danske marked.
5.2
Fastsættelse af gebyrer (§ 79)
Betalingstjenestelovens § 79 blev indsat i den dagældende betalingskortlov i 1999 .
Bestemmelsen forbyder, at virksomheder opkræver urimelige priser og vederlag i forbindelse
med gennemførsel af kortbetalinger.
Bestemmelsen er udformet generelt og omfatter efter lovens ordlyd og de tilhørende forar-
bejder enhver virksomhed, der fastsætter gebyrer og vederlag i forbindelse med kortbetalin-
ger. Samtidig omfatter bestemmelsen alle gebyrer og vederlagstyper, der opkræves, når en be-
15
taling skal gennemføres . Der var herved oprindeligt taget højde for, at betalingssystemer kan
organiseres på mange forskellige måder, og at funktioner kan foregå i forskellige virksomhe-
16
der.
Som følge af den danske implementering af betalingstjenestedirektivet i 2009 blev ”tekniske
17
tjenester”
undtaget betalingstjenestelovens anvendelsesområde. Der blev dermed skabt et
modsætningsforhold mellem på den ene side betalingstjenestelovens § 79 og på den anden
side betalingstjenestedirektivet, der undtager ”tekniske tjenester” fra regulering.
Implementeringen fik derfor den utilsigtede konsekvens, at virksomheders fastsættelse af pri-
ser for ”tekniske
tjenester”
formentlig ikke længere var omfattet af lovens forbud mod urimeli-
ge priser, hvis varetagelsen af denne opgave blev udskilt i et særskilt selskab.
Virksomheder havde derfor mulighed for at vælge en selskabsstruktur, der i et vist omfang
undtog dem fra lovens forbud mod urimelige priser og avancer.
14
__________________
14
15
Lov nr. 217 af 13. april 1999 om ændring af lov om betalingskort m.v.
16
17
Interbankgebyrer suppleres dog af et prisloft, som blev indført med forordningen om interbankgebyrer. Forordningen er
nærmere beskrevet i kapitel 5.6.1.
Jf. nærmere forarbejderne til lov nr. 217 af 13. april 1999 om ændring af lov om betalingskort m.v. (1998/1 LSF 129)
Tekniske tjenester er i betalingstjenestelovens § 4, nr. 10, defineret som ”Tjenester
leveret af udbydere af tekniske tjenester, der
understøtter udbuddet af betalingstjenester, uden at de på noget tidspunkt kommer i besiddelse af de midler, som skal overføres”
Nærmere bestemt
drejer det sig ”bl.a. om håndtering og lagring af data, databeskyttelse og -validering, drift af kommunikations-
netværk samt levering og vedligeholdelse af betalingsterminaler. Disse tjenester er kendetegnet ved, at de pågældende leverandø-
rer ikke på noget tidspunkt er i besiddelse af midlerne, der overføres i betalingstransaktioner. Det er endvidere en betingelse, at den
tekniske tjeneste understøtter udbuddet af betalingstjenester. Hvis en udbyder af betalingstjenester, der ikke på noget tidspunkt
kommer i besiddelse af de midler, som skal overføres, indgår aftalen om betalingstjenester med betaler eller betalingsmodtager, er
der tale om en tjeneste, der ikke understøtter udbuddet af betalingstjenester. Undtagelsen finder derfor ikke anvendelse på disse
virksomheder,
jf. forarbejderne til forslag til lov nr. 385 af 25. maj 2009 om betalingstjenester
ERU, Alm.del - 2015-16 - Bilag 259: Rapport om Betalings-kortmarkedet 2016, fra erhvervs- og vækstministeren
1625260_0040.png
SIDE 40
KAPITEL 5 REGLERNE
Det var baggrunden for, at forbuddet mod urimelige priser og avancer den 1. januar 2015 igen
blev udvidet til også at omfatte ”tekniske
tjenester".
Det betyder at Konkurrence- og Forbrugerstyrelsen i dag kan gribe ind over for alle aktørers
anvendelse af urimelige priser og avancer i forbindelse med gennemførsel af kortbetalinger,
uagtet hvilke ydelser de måtte levere, og hvordan de måtte være organiseret.
Boks 5.1
Hvad er en teknisk tjene-
ste?
En teknisk tjeneste kan bestå i mange ting, men mere konkret kan der blandt andet være tale om
følgende ydelser:
»
»
»
»
»
Håndtering og lagring af data
Databeskyttelse
Datavalidering
Drift af kommunikationsnetværk
Levering og vedligeholdelse af betalingsterminaler.
Gebyrtyper
Betalingstjenesteloven indeholder ikke regler om, hvilke typer af gebyrer som indløsere må el-
ler skal anvende. Indløsere kan derfor vælge, om et gebyr skal være transaktionsbestemt (fx et
fast beløb pr. transaktion), udgøre en procent af købsbeløbet eller en kombination. Gebyret
kan opkræves som et fast månedligt eller årligt beløb (fx en abonnementsordning).
Selv om § 79 gælder for alle indløseres fastsættelse af gebyrer, er det ikke ensbetydende med,
at der skal fastsættes ens gebyrer for alle former for brug af et betalingskort. En kortindløser
må gerne fastsætte forskellige gebyrer for fysisk og ikke-fysisk handel. Det skyldes, at der ikke
nødvendigvis er samme omkostninger ved at indløse en kortbetaling i en fysisk forretning, en
betalingsautomat eller i en internetforretning. Tilsvarende har en betalingsmodtager mulig-
hed for, at fastsætte forskellige kortgebyrer for deres kunders kortbetaling eller helt undlade
at opkræve gebyrer.
5.3
Oplysningspligt
Kortindløsere
Indløsere skal på en tydelig måde offentliggøre deres maksimale gebyrer for gennemførelsen
af en betalingskorttransaktion. Det maksimale gebyr for hver enkelt type betalingskort, som
18
indløses af den pågældende indløser skal offentliggøres .
Opkræves samme maksimalgebyr for en række forskellige betalingskort, er det tilstrækkeligt
at offentliggøre én gebyrsats. samtidig skal det dog angives hvilke betalingskort, som maksi-
malgebyret gælder for. Hvis der opkræves forskellige maksimalgebyrer for forskellige beta-
lingskort, skal hvert af disse gebyrer offentliggøres.
Reglen indebærer eksempelvis, at hvis en kortindløser opkræver forskellige maksimalgebyrer
for et dansk udstedt MasterCard og et udenlandsk udstedt MasterCard, skal begge maksimal-
gebyrer offentliggøres.
Reglen omfatter alle betalingskort såvel debet- som kreditkort, der kan bruges i forretninger i
den fysiske handel.
__________________
Jf. § 3, stk. 2 i bekendtgørelse nr. 1411 af 28. december 2011 om gebyrer ved brug af betalingsinstrumenter i den fysiske han-
del (splitmodellen).
18
ERU, Alm.del - 2015-16 - Bilag 259: Rapport om Betalings-kortmarkedet 2016, fra erhvervs- og vækstministeren
1625260_0041.png
SIDE 41
BETALINGSKORTMARKEDET
Forretninger
Forretningen er forpligtet til på en tydelig måde at oplyse, om der opkræves gebyrer for brug
19
af betalingskort, jf. betalinstjenestelovens § 83, stk. 1 .
Forretningen skal oplyse om gebyrer ”forud for en aftales indgåelse”. På den måde undgås det,
at forbrugeren har brugt varen eller tjenesteydelsen, før betaling gennemføres, fx i forbindelse
med et restaurationsbesøg eller hotelophold.
Bestemmelsen præciserer, at forretninger alene kan overvælte den betaling til kortindløser,
der vedrører driften af et betalingssystem. Forretningen kan således kun overvælte betalingen
for selve gennemførelsen af betalingstransaktionen, men derimod ikke eventuelle rentetillæg,
betaling for hurtigere afregning eller lignende ydelser, som ikke vedrører driften af betalings-
systemet.
Oplysningerne om, at der opkræves gebyr, skal gives på en tydelig måde, dvs. ved enten
mærkning, skiltning eller på anden tydelig måde. Der skal ligeledes gives oplysninger om stør-
relsen af gebyret. Eksempelvis kan det fremgå af et menukort, hvor meget en restaurant op-
kræver i gebyr for forskellige betalingskort.
Kortudsteder
En kortudsteder, der overfor sine kunder opkræver gebyr for brugen et betalingskort, er lige-
som forretningerne forpligtet til at oplyse kortbrugeren herom, inden betalingen iværksæt-
20
tes . For bankernes vedkommende skal oplysningerne gives i den rammeaftale, der regulerer
21
kundeforholdet mellem banken og kortbrugeren .
5.4
Overvæltning
Reglerne om, hvilke gebyrer butikkerne må opkræve, når der betales med betalingskort, kal-
des for overvæltningsreglerne.
Overvæltningsreglerne regulerer, hvornår en kortbruger kan blive mødt med et gebyr for at
betale med sit kort, og hvor stor gebyret maksimalt må være.
Der sondres i den forbindelse mellem debet- og kreditkort , og hvorvidt kortene anvendes i
fysisk eller ikke-fysisk handel. Forskellen på debet- og kreditkort drejer sig primært om, hvor-
når de kan bruges til betaling og hvornår købsbeløbet trækkes fra betalerens konto.
Der gælder forskellige regler for henholdsvis debet- og kreditkort. Forskellen på reglerne kal-
23
des ”split-modellen”. Reglerne står i bekendtgørelsen om split-modellen , som gælder for alle
betalingskort, der benyttes i danske forretninger, uanset hvor betalingskortene er udstedt.
22
__________________
19
20
21
22
23
Forretningerne er forpligtet til at oplyse om, at der opkræves gebyr, men bestemmelsen indeholder også en pligt for forretnin-
ger til, at oplyse om eventuelle rabatter ved brug af kort. Bestemmelsen administreres af Forbrugerombudsmanden.
Jf. betalingstjenestelovens § 83, stk. 2.
Jf. § 48, stk. 1, nr. 3, litra a, i lovbekendtgørelse nr. 613 af 24. april 2015.
Definitionen på debet- og kreditkort er beskrevet i kapitel 2 ovenfor.
Jf. bekendtgørelse nr. 1411 af 28. december 2011 om gebyrer ved brug af betalingsinstrumenter i den fysiske handel.
ERU, Alm.del - 2015-16 - Bilag 259: Rapport om Betalings-kortmarkedet 2016, fra erhvervs- og vækstministeren
1625260_0042.png
SIDE 42
KAPITEL 5 REGLERNE
I figur 5.1 er det vist, hvilke parter og relationer, som er relevante, når man taler om overvælt-
ning.
Figur 5.1
Parterne - overvæltning
Kortindløser
(fx Teller)
Servicegebyr til
indløser (MSC)
Kortbruger
(fx en forbruger)
Evt. betalingskortgebyr
(overvæltning)
Betalingsmodtager
(fx en forretning)
Fysisk og ikke-fysisk handel
Som beskrevet ovenfor sondres der i betalingstjenesteloven mellem fysisk og ikke-fysisk han-
del.
Ved fysisk handel forstås, at betaler og betalingsmodtager skal være på samme sted og tid for
at betaling kan gennemføres. Det er fx tilfældet når en kunde betaler med sit betalingskort ved
kassen i et supermarked, og der sidder en ekspedient ved kassen som skal betjene et kasseap-
parat for at betalingen kan gennemføres.
Fysiske forretninger må ikke opkræve gebyr af kortbrugere, der benytter
debetkort.
Det bety-
der, at uanset hvilken type
debetkort
der er tale om, må fysiske forretninger
ikke
opkræve ge-
24
byr, når der foretages en betaling med kortet .
Forretningerne må derimod gerne opkræve gebyr på kortbrugere, som betaler med
kreditkort.
Det er forretningernes eget valg, om de vil overvælte gebyrer på kortbrugerne.
Ikke-fysisk handel er, når betaler og betalingsmodtager ikke skal være til stede på samme tid
og sted for at betaling kan gennemføres. Det er fx hvis en kunde i supermarkedet betaler ved
selvbetjeningskassen i stedet for den bemandede kasse, eller når man køber varer på internet-
tet.
I den ikke-fysiske handel må betalingsmodtager overvælte gebyrer på kortbrugere ved beta-
ling med alle kort.
__________________
Dankort er et debetkort, og dermed også omfattet af splitmodellens regel om, at det ikke er tilladt forretninger at opkræve ge-
byr for brug af debetkort i den fysiske handel.
24
ERU, Alm.del - 2015-16 - Bilag 259: Rapport om Betalings-kortmarkedet 2016, fra erhvervs- og vækstministeren
1625260_0043.png
SIDE 43
BETALINGSKORTMARKEDET
I de tilfælde, hvor en betalingsmodtager må overvælte gebyrer, er det betalingsmodtagerens
eget valg, om den rent faktisk vil gøre det. Vælger en betalingsmodtager at overvælte gebyrer
på kortbrugerne, må gebyret ikke være højere end det gebyr, som betalingsmodtageren beta-
25
ler til sin kortindløser .
Det er ikke nødvendigvis det fulde gebyr, som skal overvæltes. betalingsmodtageren vælger
selv, om den vil overvælte et mindre gebyr end det som betales til dens kortindløsere.
Hvis en betalingsmodtager modtager en rabat på kortindløsning, skal de gebyrer som beta-
lingsmodtager måtte overvælte til kortbrugerne nedsættes tilsvarende. Det gælder uanset
hvordan rabatten gives.
Boks 5.2
Moms på gebyrer
Det er SKAT som har kompetence til at behandle sager om moms.
I SKAT’s juridiske vejledning 2015-2 fremgår følgende angående moms på gebyrer:
”Gebyrer, som virksomheder efter eksempelvis lov om betalingstjenester og elektroniske
penge (tidligere betalingsmiddelloven), kan opkræve fra deres kunder, når kunderne beta-
ler med Dankort m.v., skal behandles som en biydelse til den levererede hovedydelse. Se sag
C-276/09, Everything Everywhere Ltd. Gebyrer skal altså undergives samme momsmæssige
26
behandling som hovedydelsen” .
Det vil sige, at hvis en vare eller tjenesteydelse skal tillægges moms, skal gebyret det også.
Landskatteretten har i 2016 givet SKAT medhold i denne opfattelse .
27
5.5
Lovens rækkevidde
Som udgangspunkt gælder betalingstjenestelovens gebyrregler og regler for overvæltning alle
forretninger, der sælger varer og tjenesteydelser på det danske marked. Betalingsmodtagere
der ikke er etableret i Danmark, fx ved et datterselskab eller en filial, men som via internettet
henvender sig til danske forbrugere, skal ligeledes overholde betalingstjenestelovens regler.
Der er dog to situationer, hvor betalingstjenestelovens regler ikke gælder for internetforret-
ningers salg af varer og tjenesteydelser:
1.
Hvis danske forbrugere handler ”uopfordret” hos internetforretninger i andre lande, der
ikke direkte henvender sig til det danske marked. Her vil det være lovgivningen i den en-
kelte internetforretnings hjemland, der gælder for forretningernes fastsættelse og op-
krævning af gebyrer for betaling med betalingskort.
Hvis forretninger, der er etableret i andre EU/EØS-lande, leverer såkaldte ”informations-
samfundstjenester”
til danske forbrugere, finder betalingstjenesteloven heller ikke anven-
delse. Her vil det ligeledes være lovgivningen i den enkelte internetforretnings hjemland,
der gælder.
2.
__________________
25
26
Jf. betalingstjenestelovens § 80, stk. 5.
27
Jf. SKAT’s juridiske vejledning 2015-2, D.A.8.1.1.2.4, Biomkostninger som provision, emballage, forsendelse, forsikring ML §
27, stk.2, nr. 2
Jf. Landsskatterettens afgørelse af 4. marts 2016, sagsnr. 14-2460409 (SKM2016.127.LSR).
ERU, Alm.del - 2015-16 - Bilag 259: Rapport om Betalings-kortmarkedet 2016, fra erhvervs- og vækstministeren
1625260_0044.png
SIDE 44
KAPITEL 5 REGLERNE
Reglerne for, hvornår de såkaldte informationssamfundstjenester er undtaget fra betalings-
28
29
tjenesteloven, følger dels af e-handelsdirektivet og dels af e-handelsloven . Definitionen på
”informationssamfundstjenester” følger af e-handelslovens § 2, nr. 1, jf.
Boks 5.3.
Boks 5.3
Definition af informati-
onssamfundstjenester
E-handelslovens § 2, nr. 1 definerer t
jenester i informationssamfundet (informationssam-
fundstjenester) således:
”Enhver tjeneste, der har et kommercielt sigte, og som leveres online (ad elektronisk vej over
en vis distance) på individuel anmodning fra en tjenestemodtager.”
Ved en ”tjenestemodtager” forstås enhver fysisk eller juridisk person, der modtager og anven-
der en informationssamfundstjeneste, jf. e-handelslovens § 2, nr. 4.
Informationssamfundstjenester er tjenester, hvor forbrugerne af sig selv kontakter udbyderen
og beder om tjenesten, som derpå leveres online. Det kan fx være flybilletter, som forbrugerne
bestiller, betaler for og får leveret via internettet eller til deres mobiltelefon fra et flyselskab
etableret i et andet EU/EØS land.
Andre eksempler på informationssamfundstjenester, kan være streaming af film og musik,
samt download af spil og anden software til forbrugerens computer, telefon eller andet elek-
tronisk medie. Derudover er reklamer via internettet, online information, søgetjenester m.v.
også informationssamfundstjenester.
Når forbrugerne betaler med betalingskort m.v. for at købe disse tjenester online, gælder de
danske gebyrregler og regler for forretningernes overvæltning af gebyrer ikke. Konkurrence-
og Forbrugerstyrelsen kan således ikke gribe ind over for disse forretningers opkrævning af
gebyrer for at modtage betalingskort, jf.
Boks 5.4.
Boks 5.4
E-handelslovens formål
E-handelsloven indeholder et afsenderlandsprincip. Danske myndigheder kan derfor - som ho-
vedregel - ikke gribe ind overfor udbydere af informationssamfundstjenester, der retter deres
aktiviteter mod det danske marked, når forretningerne er etableret i et andet EU-/EØS-land, jf.
e-handelslovens § 4.
Konkurrence- og Forbrugerstyrelsen har haft sager vedrørende informations-
samfundstjenester, hvor Styrelsen ikke har kunnet gribe ind efter betalingstjenestelovens ge-
byrbestemmelser.
Boks 5.5,
omtaler således en sag om RyanAirs opkrævning af gebyr for at
betale med betalingskort ved køb af flybilletter online. Det vil i stedet være myndighederne i
det pågældende selskabs hjemland, der skal rettes henvendelse til.
__________________
28
29
Europa-Parlamentets og Rådets direktiv 2000/31/EF af 8. juni 2000 om visse retlige aspekter af informationssamfundstjene-
ster, navnlig elektronisk handel, i det indre marked (EFT L 2000, nr. L 178 af 17. juli 2000 s. 1-16).
Lov nr. 227 af 22. april 2002 om tjenester i informationssamfundet, herunder visse aspekter af elektronisk handel.
ERU, Alm.del - 2015-16 - Bilag 259: Rapport om Betalings-kortmarkedet 2016, fra erhvervs- og vækstministeren
1625260_0045.png
SIDE 45
BETALINGSKORTMARKEDET
Boks 5.5
Ryan Air sagen
I 2005 blev der klaget til Konkurrencestyrelsen over, at Ryan Air opkrævede høje gebyrer for
betaling med betalingskort ved køb af flybilletter over internettet. Konkurrencestyrelsen
fandt, at den dagældende betalingsmiddelloves § 14 (nu betalingstjenestelovens § 80) ikke
fandt anvendelse på Ryan Air’s virksomhed, og at Ryan Air derfor ikke var forpligtet til at æn-
dre selskabets betalingsgebyr.
Begrundelsen
Ryan Air er etableret i Irland og leverer informationssamfundstjenester i e-handelslovens for-
stand ved at sælge flybilletter online over internettet til bl.a. danske forbrugere.
Efter e-handelslovens § 4 er en tjenesteyder, der er etableret i et andet land inden for EU, som
udgangspunkt undtaget fra at overholde de danske gebyrregler, selv om tjenesteyderens tje-
nester retter sig mod Danmark.
De danske myndigheder er således efter e-handelslovens § 4 som udgangspunkt forpligtet til
at anerkende Irlands offentligretlige regler om gebyropkrævning i forbindelse med betalings-
transaktioner over internettet ved køb af informationssamfundstjenester.
5.6
Nye regler
Siden offentliggørelsen af den seneste betalingskortrapport tilbage i 2014, er der både på na-
tionalt plan og ikke mindst på EU-plan vedtaget nye regler, der allerede nu og ikke mindst på
længere sigt må forventes at få betydning for det danske marked for kortbetaling, herunder
udbyderne af betalingstjenester, forretningerne og ikke mindst forbrugerne.
5.7
Forordning om interbankgebyrer
Den 8. juni 2015 trådte en ny EU-forordning om interbankgebyrer for kortbaserede betalings-
30
transaktioner i kraft . Forordningen introducerer blandt andet en række regler om interbank-
31
gebyrer . Derudover indeholder forordningen en udvidelse af forretningers mulighed for at
afvise dyre betalingskort samt valgfrihed for forbrugerne til at bestemme, hvilken del af et co-
32
branded kort, der skal betales med i en forretning.
Loft over interbankgebyrer
Et interbankgebyr er et gebyr, som betales fra indløser til den kortudstedende bank, hver gang
der betales med det udstedte kort, jf. figur 5.2. Størrelsen på interbankgebyret kan dermed
skabe incitament for banken til at markedsføre og udstede et bestemt kort.
__________________
30
31
Europa-Parlamentets og Rådet forordning (EU) 2015/751 af 29. april 2015 om interbankgebyrer for kortbaserede betalings-
transaktioner.
Forordningens regler om interbankgebyrer i kap. 2, trådte først i kraft den 9. december 2015, jf. forordningens artikel 18, stk.
2.
Co-branding er brugen af flere varemærker (brands) i et fælles udbud. I Danmark er det nok bedst kendte eksempel på co-
branding indenfor betalingskort, kombinationen af et Dankort og et Visakort i VisaDankortet.
32
ERU, Alm.del - 2015-16 - Bilag 259: Rapport om Betalings-kortmarkedet 2016, fra erhvervs- og vækstministeren
1625260_0046.png
SIDE 46
KAPITEL 5 REGLERNE
Figur 5.2
Parterne - interbankgebyrer
Kortudsteder
(fx en bank)
Interbankgebyr
Kortindløser
(fx Teller)
Forordningen indfører et prisloft over interbankgebyrer. EU-Kommissionen har vurderet, at
prisloftet vil fjerne en væsentlig hindring mellem de nationale betalingsmarkeder, reducere
interbankgebyrerne og på længere sigt det beløb, som butikkerne skal betale til deres indløse-
re. Firma- eller forretningskort (”corporate cards” eller ”commercial cards”) samt betalings-
kort baseret på tre-partssystemer (fx Amex og Diners) er ikke omfattet af forordningen og
dermed prislofterne. De bliver derfor ikke omfattet af det kommende overvæltningsforbud.
Prislofterne udgør 0,2 pct. af købesummen for debetkort, fx Dankortet og Visa Elektron, og 0,3
pct. af købesummen for kreditkort, fx MasterCard.
33
Niveauet for interbankgebyrer i Danmark var før forordningens ikrafttræden generelt højere
end de satser, som følger af prisloftet. Det er derfor forudsat, at reguleringen af interbankge-
byrer vil medføre en reduktion af forretningernes omkostninger ved at modtage betalingskort.
Det kan komme forbrugerne til gode i form af billigere og mere effektive betalingsmuligheder.
Det forudsætter dog en effektiv konkurrence blandt indløsere på det danske marked, sådan at
de lavere interbankgebyrer medfører lavere gebyrer for betalingsmodtagerne og i sidste ende
forbrugerne.
De lavere omkostninger ved modtagelse af betalingskort er ligeledes et af hovedargumenterne
for, at der, jf. afsnit 5.6.2, indføres generelt forbud mod overvæltning af gebyrer ved betaling
med betalingskort.
Alle indløsere af betalingskort har pligt til at offentliggøre deres maksimale priser. Den væ-
sentlige reduktion af interbankgebyrer som følge af forordningen medfører en tilsvarende re-
duktion af indløseres omkostninger ved at indløse betalingskort. På et konkurrencepræget
marked kan der således argumenteres for, at faldet i omkostningerne vil give sig udslag i lave-
re indløsningsgebyrer over for forretninger. Alle indløsere af betalingskort har pligt til at of-
fentliggøre deres maksimale priser for indløsning af betalingskort i fysisk handel. I den for-
bindelse bemærkes det, at den største indløser i Danmark, Teller A/S, som er ejet af Nets kon-
cernen har hævet sine maksimale priser på indløsning af internationale betalingskort væsent-
__________________
Baggrunden for prislofterne på henholdsvis 0,20 pct. for debetkort og 0,30 pct. for kreditkort er ifølge Kommissionen, at det
er de niveauer, der bl.a. blev foreslået af en række kortselskaber (Visa Europe, MasterCard, Groupement des Cartes Bancaires) i
forbindelse med konkurrenceretlige sager anført af Kommissionen. Niveauerne er baseret på den såkaldte ”Merchant indiffe-
rence test”, hvor der estimeres et interbankgebyr, der medfører, at forretningen er indifferent mellem at modtage en betaling i
kontanter eller med et betalingskort.
33
ERU, Alm.del - 2015-16 - Bilag 259: Rapport om Betalings-kortmarkedet 2016, fra erhvervs- og vækstministeren
1625260_0047.png
SIDE 47
BETALINGSKORTMARKEDET
ligt og samtidig indført en sondring mellem internationale betalingskort udstedt i eller uden-
34
for EU .
Konkurrence- og Forbrugerstyrelsen vil fortsat nøje følge udviklingen på markedet tæt, her-
under udviklingen i indløseres priser over for forretninger.
Forordningen har som udgangspunkt direkte virkning i Danmark og skal derfor ikke imple-
menteres i den danske lovgivning. I forhold til enkelte af bestemmelserne i forordningen gives
medlemsstaterne dog valgfrihed.
Valgfriheden gælder bl.a. forordningens regulering af interbankgebyrer på debetkort. Forord-
ningen giver nemlig mulighed for, at de enkelte medlemsstater indtil 9. juni 2020 kan tillade
at betalingstjenesteudbydere anvender et loft, der baseres på et vægtet gennemsnit i stedet
for et fast loft pr. transaktion. Det er vurderingen, at netop denne løsning umiddelbart vil ska-
35
be størst mulig fleksibilitet i forhold til gebyrstrukturen på det danske betalingskortmarked . I
36
Danmark har man derfor valgt, at udnytte denne mulighed.
Boks 5.6
Interbankgebyrer i dansk
lovgivning?
Erhvervs- og Vækstministeren har tilladt, at udbydere af betalingstjenesteudbydere må anvende
et vægtet gennemsnitligt interbankgebyr, der udgør op til 0,2 % af den gennemsnitlige årlige
transaktionsværdi.
I dansk lovgivning er interbankgebyrer allerede delvist reguleret i betalingstjenestelovens §§ 79
og 80. Overordnet set finder lovens § 79 anvendelse for alle gebyrer forbundet med gennemførel-
sen af en betalingstransaktion, herunder interbankgebyrer. Bestemmelsen sikrer, at en udbyder
ikke opnår urimelige priser og avancer gennem fastsættelse af gebyrer.
For Dankortet gælder den såkaldte abonnementsmodel, hvor forretningerne betaler et årligt
abonnement beregnet ud fra omkostningerne ved driften af systemet. Reguleringen sikrer, at for-
retningernes betaling maksimalt dækker de omkostninger, der er forbundet med dankortsyste-
met.
Større valgfrihed
Forordningen om interbankgebyrer indeholder også en række tiltag med henblik på at styrke
konkurrencen på markedet for indløsning af betalingskort. Visse regler finder dog først an-
vendelse fra den 9. juni 2016.
Af betydning for betalingsmodtagerne fremgår det af forordningens art. 10, stk. 1, at der gæl-
der et forbud mod såkaldte ”honour all cards” klausuler. Kortselskaber og kortindløsere må
herefter ikke stille som betingelse for indløsning af et bestemt betalingskort, at betalingsmod-
tageren også skal modtage andre typer betalingskort (fx, må en kortindløser ikke betinge ind-
løsningen af et MasterCard debetkort af, at betalingsmodtager også skal modtage MasterCard
kreditkort).
__________________
Jf. Standardprisliste Teller A/S gældende fra 1. januar 2015 og Tellers hjemmeside: www.teller.com/dk/produkter- og-
loesninger/regler-og-vilkaar/priser/
Jf. de særlige bemærkninger til § 1 i Lov nr. 1410 af 4. december 2015 om ændring af lov om betalingstjenester og elektroni-
ske penge (LSF 38 11/2015) fremsat den 29. oktober 2015.
36
35
34
Erhvervs og Vækstministeren er i medfør af betalingstjenestelovens § 80a bemyndiget til at fastsætte nærmere regler for in-
terbankgebyrer. Erhvervs- og Vækstministeren har udnyttet denne mulighed ved at udstede bekendtgørelse nr. 1433 af 7. de-
cember 2015 om interbankgebyrer for indenlandske forbrugerrelaterede debetkorttransaktioner.
ERU, Alm.del - 2015-16 - Bilag 259: Rapport om Betalings-kortmarkedet 2016, fra erhvervs- og vækstministeren
1625260_0048.png
SIDE 48
KAPITEL 5 REGLERNE
Hvis der er tale om forbrugerrelateret kort inden for samme brand og af samme kortype (for-
udbetalt, debetkort eller kreditkort), er der dog ikke noget til hinder for, at kortselskabet for-
pligter deres kunder til acceptere samtlige af disse kort. Dette vil således alene betyde at beta-
lingsmodtageren kan forpligtes til at modtage betalingskort, der er omfattet af det samme re-
gulerede interbankgebyr.
Forretningerne vil med nye regler få større mulighed for selv at bestemme, hvilke betalings-
kort de ønsker at modtage. Det sker ved, at indløsers mulighed for, at påtvinge forretninger at
modtage en bestemt type eller kategori af betalingskort bliver begrænset.
I forhold til kortbrugernes fremtidige betalingskortpræference vil forordningen især kunne få
betydning. Fra sommeren 2016 skal det være muligt for kortbrugerne, at kunne vælge, hvilken
del af et såkaldt co-branded kort, de ønsker at betale med, når de handler i en fysisk forret-
ning. Har kortbrugeren eksempelvis et Visa/Dankort vil kortbrugeren selv kunne vælge, om
det er Visa- eller dankortdelen, der skal anvendes til gennemførsel af betalingen. Det adskiller
sig væsentligt fra i dag, hvor betalinger med Visa/Dankort i danske forretninger i praksis altid
gennemføres som Dankortbetalinger.
Samtidig giver forordningen mulighed for, at betalingsmodtagere kan beslutte, hvilken del af
et co-branded kort, der som udgangspunkt skal anvendes til at gennemføre en betaling. Ek-
sempelvis kan en betalingsmodtager beslutte, at det som udgangspunkt er Visa-delen på et Vi-
sa/Dankort, der skal bruges til at gennemføre en betaling. Kortbrugeren skal dog stadig have
mulighed for at fravælge dette udgangspunkt.
Forordningen indeholder derudover en række bestemmelser som medfører en adskillelse af
kortselskaber og processingselskaber (dvs. aktører der udfører tekniske funktioner i forbin-
delse med en kortbetaling) og en forpligtelse til, at kortbetalinger kan adskilles og behandles
af forskellige processingselskaber. Disse tiltag kan bidrage til en bedre konkurrence på beta-
lingskortinfrastrukturen, hvis flere aktører får bedre mulighed for at kunne tilbyde ydelser,
der er forbundet med den tekniske behandling af transaktionerne.
5.8
Betalingstjenestedirektivet (PSD2)
Den 9. oktober 2015 blev et nyt betalingstjenestedirektiv (PSD2 ) vedtaget. Direktivet trådte i
38
kraft den 12. januar 2016, og skal senest den 13. januar 2018 være implementeret i dansk
ret. Det nye direktiv stiller blandt andet øgede krav til udbydere af betalingstjenester om
blandt andet gennemsigtighed, innovation og sikkerhed.
Formålet med direktivet er, at er at skabe større retssikkerhed og et fald i de omkostninger og
39
priser, der er forbundet med betalingstjenester .
Derudover indføres der nye regler for adgang til betalingssystemer og betalingskonto, samt
nye regler for overvæltning af gebyrer på forbrugerne.
De væsentligste nye regler i direktivet gennemgås nedenfor.
37
__________________
EUROPA-PARLAMENTETS OG RÅDETS DIREKTIV (EU) 2015/2366 af 25. november 2015 om betalingstjenester i det indre
marked, om ændring af direktiv 2002/65/EF, 2009/110/EF og 2013/36/EU og forordning (EU) nr. 1093/2010 og om ophævel-
se af direktiv 2007/64/EF
38
39
37
Jf. betalingsservicedirektivets artikel 115
Jf. Kommissionens pressemeddelelse af 8. oktober 2015.
ERU, Alm.del - 2015-16 - Bilag 259: Rapport om Betalings-kortmarkedet 2016, fra erhvervs- og vækstministeren
1625260_0049.png
SIDE 49
BETALINGSKORTMARKEDET
Tredjeparters adgang til betalingskonti
Tredjeparter er virksomheder, der tilbyder betalingstjenester, fx ved at foretage en direkte
kontooverførsel på kundens vegne. For at dette kan lad sig gøre, skal udbyderen have adgang
til kundens konto. Som noget ny fastslår direktivet, at tredjeparter har ret til adgang til en
brugers konto med brugerens godkendelse. Med direktivet bliver sådanne tjenester bevilget
adgang til de ellers lukkede betalingssystemer. Direktivet fastslår også, at tredjeparter har ret
til at få adgang til en brugers konto med brugerens godkendelse.
Tredjeparters betalingstjenester er en relativ ny type betalinger og er fortsat ikke særlig ud-
bredt i Norden. Tjenesten er ofte baseret på en simpel kontooverførsel, og omkostningerne
der er forbundet med betalingen, kan således være væsentligt lavere end eksempelvis om-
kostningerne ved kortbetalinger. Set i lyset af at størstedelen af betalinger på internettet er
baseret på kortbetalinger, er der således potentiale for en skærpet konkurrence, og den sikre-
de adgang til kunders betalingskonti samt reguleringen heraf kan biddrage til en øget innova-
tion på området for betalinger.
Udvidet adgang til eksisterende betalingssystemer
Med betalingstjenestedirektivets artikel 35, nr. 1, litra b udvides adgangen til etablerede beta-
lingssystemer. Denne udvidelse sker blandt andet ved at forbyde forskelsbehandling af for-
skellige betalingstjenesteudbydere. I praksis betyder det, at kortselskaber i mindre omfang
end tidligere vil have mulighed for at nægte indløsere adgang til betalingssystemet. Formålet
er at gøre det nemmere for nye aktører at komme ind på betalingsmarkedet og derved bidrage
til en mere effektiv konkurrence. Adgangen til kortbaserede betalingssystemer, herunder
Dankort, uanset om der er tale om 3- eller 4-partssystemer, jf. kap 2, skal således ske på ikke-
diskriminerende og lige vilkår.
En udvidet adgang til eksisterende betalingssystemer vurderes at være til gavn for konkur-
rencen blandt indløsere i Danmark. Betalingstjenestedirektivet kan således muligvis være
med til at åbne op for, at flere aktører for mulighed for at kunne indløse Dankort, hvilket dels
vil kunne skabe et mere effektivt prispres på dankortgebyrerne på internettet, hvor Nets p.t.
er eneste udbyder, dels gøre det nemmere for forretninger at foretage skift mellem indløsere,
idet flere udbydere vil kunne tilbyde samme portefølje af betalingskort.
Forbud mod overvæltning
I Danmark har der hidtil været en særlig regulering af betalingsmodtageres mulighed for at
overvælte gebyrer på kortbrugerne, jf. ovenfor.
I oktober 2015 blev det nye betalingstjenestedirektiv (PSD2) vedtaget. Direktivet indeholder
et forbud mod overvæltning af gebyrer på de mest almindelige betalingskort. Derimod vil dy-
rere betalingskort, som fx firmakort, ikke være undtaget. Når overvæltningsforbuddet er gen-
nemført i dansk ret, må der – som udgangspunkt - ikke opkræves gebyr for betaling med beta-
lingskort i hverken fysisk- eller ikke fysisk handel. Direktivet skal være implementeret i Dan-
40
mark senest den 13. januar 2018 .
Årsagen til forbuddet mod overvæltning er, at loftet på interbankgebyrer, som fastsættes i
forordningen om interbankgebyrer, ifølge Kommissionen forventes at medføre store bespa-
relser for forretningerne, så overvæltning af gebyrer på standardkort ikke kan berettiges. Det-
__________________
40
Europa-Parlamentets og Rådets direktiv (EU) 2015/2366 af 25. november 2015 om betalingstjenester i det indre marked, om
ændring af direktiv 2002/65/EF, 2009/110/EF og 2013/36/EU og forordning (EU) nr. 1093/2010 og om ophævelse af direktiv
2007/64/EF (Betalingstjenestedirektivet), art. 115, nr. 2.
ERU, Alm.del - 2015-16 - Bilag 259: Rapport om Betalings-kortmarkedet 2016, fra erhvervs- og vækstministeren
1625260_0050.png
SIDE 50
KAPITEL 5 REGLERNE
te nødvendiggør imidlertid en effektiv konkurrence på indløsermarkedet, hvilket forordnin-
gens øvrige bestemmelser kan være med til at skabe. Med en effektiv konkurrence blandt ind-
løserne er der større chance for, at besparelsen, som genereres i kraft af reguleringen af inter-
bankgebyrerne, resulterer i lavere servicegebyrer over for forretninger og i sidste ende over
for forbrugere.
Foreløbigt har Danmarks største indløser, Teller, dog valgt at hæve priserne efter nedsættel-
sen af MIF, jf. ovenfor i afsnit 5.6.1.
5.9
Konsekvenser for Dankortet
Når de nye regler i deres helhed finder anvendelse vil kredit- og debetkort - rent omkost-
ningsmæssigt - blive ligestillet i forhold til forbrugerne. Der vil derefter – som udgangspunkt -
ikke for en forbruger være nogen økonomisk fordel forbundet med anvendelsen af det ene
kort frem for det andet. Det vil på sigt kunne medvirke til et øget konkurrencepres på Dankor-
tet og derved den danske dankortmodel.
Det er dog Konkurrence- og Forbrugerstyrelsens vurdering, at Dankortet også de næste år
frem vil være konkurrencedygtigt.
ERU, Alm.del - 2015-16 - Bilag 259: Rapport om Betalings-kortmarkedet 2016, fra erhvervs- og vækstministeren
1625260_0051.png
SIDE 51
BETALINGSKORTMARKEDET
Kapitel 6
Undersøgelser
6.1
Indledning og konklusioner
I dette kapitel undersøges det, hvilket kendskab kortbrugerne og betalingsmodtagerne har til
reglerne om gebyrer ved betaling med betalingskort.
På EU-plan er der i 2015 vedtaget en forordning om interbankgebyrer for kortbaseret beta-
41
42
lingstransaktioner samt et nyt betalingstjenestedirektiv (PSD2) , der begge kan få betydning
43
for både forbrugernes og erhvervslivets betalingskortpræferencer fremadrettet. Forordnin-
gen trådte i kraft den 9. juni 2015, og den 9. december 2016 vil alle forordningens regler finde
44
direkte anvendelse i dansk ret.
PSD2 skal senest den 13. januar 2018 være implementeret i dansk ret, herunder blandt andet
regler der forbyder overvæltning af gebyrer ved kortbetalinger. Hvor der hidtil har været et
økonomisk incitament for forbrugeren til at vælge et debetkort frem for et kreditkort, som føl-
ge af forskellige kortgebyrer, vil alle kort fremadrettet blive ligestillet. Derudover indføres der
regler om, at forbrugerne selv skal kunne vælge, hvilken del af et co-brandet kort (fx Vi-
sa/Dankort), som de ønsker at betale med. Endelig indeholder reglerne en mulighed for for-
retningerne til at forudindstille deres terminaler til, at betalinger som udgangspunkt skal gen-
nemføres med en bestemt del af et co-branded kort (fx som udgangspunkt Visa-delen på et Vi-
sa/Dankort).
Med henblik på at belyse konsekvenserne af de nye regler, herunder særligt det kommende
overvæltningsforbud, har Konkurrence- og Forbrugerstyrelsen gennemført en forbruger- og
en virksomhedsundersøgelse i 2015.
Forbrugerundersøgelsen indeholdt blandt andet spørgsmål om forbrugernes kendskab til de
nugældende regler om overvæltning af kortgebyrer. Formålet med spørgsmålene var at få un-
dersøgt, om der hos forbrugerne er et større kendskab til reglerne i dag, end tilfældet var i
2013, hvor styrelsen gennemførte en lignende undersøgelse.
__________________
41
EUROPA-PARLAMENTETS OG RÅDETS DIREKTIV (EU) 2015 om betalingstjenester i det indre marked,
om ændring af direktiv 2002/65/EF, 2009/110/EF og 2013/36/EU og forordning (EU) nr. 1093/2010 og om ophævelse af di-
rektiv 2007/64/EF.
43
44
42
EUROP-PARLAMETETS og RÅDETS FORORDNING (EU) 2015/751 af 29. april 2015 om interbankgebyrer for kortbaserede be-
talingstransaktioner.
En nærmere gennemgang af de nye regler fremgår af kapitel 5 ovenfor.
Ibid.
ERU, Alm.del - 2015-16 - Bilag 259: Rapport om Betalings-kortmarkedet 2016, fra erhvervs- og vækstministeren
1625260_0052.png
SIDE 52
KAPITEL 6 UNDERSØGELSER
Boks 6.1
Konklusioner
»
Dankortet er stadig det mest populære kort.
Næsten 90 pct. af de adspurgte forbrugere
havde et Visa/Dankort. Det næstmest populære kort var MasterCard som 45 pct. af de ad-
spurgte forbrugere har.
»
54 pct. af forbrugerne anvendte deres Dankort eller Visa/Dankort dagligt.
»
Over halvdelene af de adspurgte forbrugere kendte gebyrreglerne for kredit- og de-
betkort i hhv. fysisk og ikke-fysisk handel.
21 pct. kendte også størrelsen på det gebyr
forretningerne må opkræve.
»
Undersøgelsen viser tendens til, at forbrugerne er bedre informeret om gebyrregler-
ne i dag end de var ved sidste undersøgelse i 2013.
I 2013 kendte 31 pct. af de adspurg-
te forbrugere gebyrreglerne. Ved den seneste undersøgelse i 2015 steg dette tal til 55 pct.,
hvilket er en stigning på ca. 77 pct.
»
For 79 pct. af forbrugerne har størrelsen af kortgebyrer ingen eller mindre betyd-
ning for deres valg af betalingskort.
21 pct. af de adspurgte forbrugere havde dog fra-
valgt at have et kreditkort på grund af størrelsen af gebyrerne.
»
27 pct. af virksomhederne forventer at forudindstille deres terminaler til et andet
kort end Dankortet, og et flertal vil ikke afvise, at de vil vælge et andet kort end Dan-
kortet som deres ”primære” betalingskort.
»
For et stort flertal adspurgte virksomheder (88 pct.), vil det kommende forbud mod
overvæltning af gebyrer ikke betyde, at de vil begrænse antallet af kort de modtager.
»
Resultaterne vedrørende virksomhederne er forbundet med relativt stor usikker-
hed.
6.2
Forbrugerundersøgelsen
Konkurrence- og Forbrugerstyrelsen gennemførte i 2015 en forbrugerundersøgelse omkring
forbrugernes gennerelle viden om overvæltning af kortgebyrer samt forbrugernes betalings-
kortpræferencer. Undersøgelsen bestod af ti spørgsmål, som 1.024 respondenter - fordelt i
forhold til alder, køn, uddannelse, geografisk placering og lønindkomst - besvarede.
Forbrugernes betalingskortpræferencer
Konkurrence- og Forbrugerstyrelsen spurgte blandt andet respondenterne om, hvilke beta-
lingskort de har og hvor ofte de anvender kortene. Ud af de 1.024 respondenter havde disse i
alt 1.725 betalingskort, hvilket betyder, at respondenterne i gennemsnit havde 1,7 betalings-
kort.
I forhold til betalingskortpræferencerne har 87 pct. af respondenterne et Visa/Dankort. Ma-
sterCard er det næstmest populære kort med en ejerskabsandel på 45 pct. De resterende kort
er fordelt med en overvægt til debetkort som fx Dankort, MasterCard Debet og Visa Electron.
Kun en mindre andel af respondenterne har kreditkortene Diners Club og American Express,
jf. figur 6.2.1.
ERU, Alm.del - 2015-16 - Bilag 259: Rapport om Betalings-kortmarkedet 2016, fra erhvervs- og vækstministeren
1625260_0053.png
SIDE 53
BETALINGSKORTMARKEDET
Figur 6.2.1: Betalingskortpræferencer
1
0,8
0,6
0,4
0,2
0
Visa/dankort MasterCard
Dankort
MasterCard Diners Club
Debet
Visa
Electron
American
Express
Andre
Ingen
Kilde: Konkurrence- og Forbrugerstyrelsen, Megafon
Omkring selve brugen af Dankortet svarede 54 pct. af respondenterne, at de anvender deres
Visa/Dankort dagligt. 40 pct. svarede, at de anvender deres Visa/Dankort minimum en gang
om ugen, jf. figur 6.2.2.
Figur 6.2.2: Brug af Visa/Dankort
0%
1%
4%
Dagligt
Minimum en gang om
ugen
Minimum en gang om
måneden
Minimum en gang om
året
Sjældnere
Ved ikke/ønsker ikke at
svare
40%
0%
54%
ERU, Alm.del - 2015-16 - Bilag 259: Rapport om Betalings-kortmarkedet 2016, fra erhvervs- og vækstministeren
1625260_0054.png
SIDE 54
KAPITEL 6 UNDERSØGELSER
Figur 6.2.3: Brug af kreditkort
1% 3%
20%
14%
30%
32%
Dagligt
Minimum en gang om året
Minimum en gang om ugen
Sjældnere
Minimum en gang om måneden
Ved ikke/ønsker ikke at svare
På spørgsmålet om hvor ofte de anvender deres kreditkort (MasterCard, American Express og
Diners Club), svarede 3 pct. af respondenterne, at de bruger deres kreditkort dagligt. 14 pct.,
svarede, at de bruger deres kreditkort minimum en gang om ugen. Endelig der det 83 pct., der
anvendte deres kreditkort en gang om måneden eller sjældnere, jf. figur 6.2.3.
Figur 6.2.4: Brug af debetkort
0%
3% 3%
8%
47%
39%
Dagligt
Minimum en gang om måneden
Sjældnere
Minimum en gang om ugen
Minimum en gang om året
Ved ikke/ønsker ikke at svare
På spørgsmålet om, hvor ofte respondenterne anvender deres debetkort (Dankort, Visa Elec-
tron og MasterCard Debet), svarede 47 pct., at de bruger det dagligt. 39 pct. svarede, at de
bruger det minimum en gang om ugen, jf. figur 6.2.4.
Ud fra det oplyste fremgår det, at respondenterne bruger deres debetkort og Visa/Dankort
dagligt eller minimum en gang om ugen, hvorimod størstedelen (83 pct.) af de adspurgte kun
anvender deres kreditkort en gang om måneden eller sjældnere. Dermed er det tydeligt, at de
betalingskort, hvor forbrugerne ikke må pålægges gebyr er de mest anvendte kort.
Forbrugernes kendskab til gebyrreglerne
Udgangspunktet er, at man som betalingsmodtager gerne må opkræve et gebyr hos kortbru-
gerne for betaling med et givent betalingskort. Gebyrets størrelse må dog ikke overstige det
gebyr, som forretningen opkræves af sin kortindløser for gennemførsel af betalingen. Forret-
ningen må således ikke opnå en direkte fortjeneste ved sine kortgebyrer.
ERU, Alm.del - 2015-16 - Bilag 259: Rapport om Betalings-kortmarkedet 2016, fra erhvervs- og vækstministeren
1625260_0055.png
SIDE 55
BETALINGSKORTMARKEDET
I forhold til den fysiske handel er muligheden for opkrævning af et kortgebyr, dog samtidig
begrænset til betaling med kreditkort. Det skal således være gratis for forbrugerne at betale
med debetkort i den fysiske handel.
Der findes i dag mange forskellige betalingskort, og det kan være svært for forbrugerne at
skelne mellem debet- og kreditkort, samt forskellen mellem den fysiske og ikke-fysiske han-
del, hvilket også gør det svært at forstå de danske gebyrregler på området.
Konkurrence- og Forbrugerstyrelsen spurgte derfor ind til respondenternes kendskab til de
danske gebyrregler.
Figur 6.2.5: Procentdel af respondenterne der kender til gebyrreglerne
fordel på debetkort/kreditkort og fysisk handel/ikke-fysisk handel
0,7
0,6
0,5
0,4
0,3
0,2
0,1
0
Fysisk
Handel/Debetkort
Fysisk
Handel/Kreditkort
Ikke-fysisk/Debetkort
Ikke-
Fysiske/Kreditkort
I gennemsnit svarer 55 pct. af respondenterne rigtigt på spørgsmålet om opkrævning af geby-
rer, jf. figur 6.2.5.
Generelt er der større kendskab til reglerne om ikke-fysisk handel i forhold til reglerne om fy-
sisk handel. Undersøgelsen indikerer endvidere, at der hos de danske forbrugere er større
kendskab til reglerne om kreditkort end debetkort. Det kan muligvis hænge sammen med, at
reglerne for kreditkort er de samme, hvad enten man befinder sig i den fysiske eller ikke-
fysiske handel
De 55 pct., som kender til gebyrreglerne, blev også spurgt om de kendte størrelsen på det ge-
byr som forretningerne må opkræve. Af de 55 pct. var det alene 39 pct., der vidste, at forret-
ningerne alene må opkræve et gebyr, der svarer til det gebyr, som forretningen selv betaler til
sin indløser (fx Teller eller Nets). 36 pct. kendte ikke svaret.
Samlet set betyder det, at alene 21 pct. af respondenterne, fuldt ud kender reglerne om op-
krævning af gebyrer på betalingskort.
Har forbrugerne fået større kendskab til reglerne?
I 2013 gennemførte Konkurrence- Forbrugerstyrelsen en lignende forbrugerundersøgelse om
forbrugernes kendskab til gebyrreglerne. Forbrugerne er ikke blevet stillet identiske spørgs-
mål i de to undersøgelser, men alligevel synes det muligt at drage visse paralleller mellem sva-
rene og se en vis tendens.
ERU, Alm.del - 2015-16 - Bilag 259: Rapport om Betalings-kortmarkedet 2016, fra erhvervs- og vækstministeren
1625260_0056.png
SIDE 56
KAPITEL 6 UNDERSØGELSER
Figur 6.2.6: Procentdel af respondenterne der kendte til gebyrreglerne
fordelt på debetkort/kreditkort og fysisk handel/ikke-fysisk handel i
2013
0,7
0,6
0,5
0,4
0,3
0,2
0,1
0
Fysisk
Handel/Debetkort
Fysisk
Handel/Kreditkort
Ikke-fysisk/Debetkort
Ikke-
Fysiske/Kreditkort
Som det fremgår af figur 6.2.6 var det i gennemsnit kun 31 pct. af respondenterne, der kendte
gebyrreglerne 2013.
I 2015 var dette tal som tidligere oplyst 55 pct. En direkte sammenligning af de to undersøgel-
ser viser således en stigning i forbrugernes kendskab til reglerne på ca. 77 pct. I forhold til
kreditkort er kendskabsgraden steget med ca. 83 pct. Samlet set betyder det, at forbrugerne
siden 2013 har opnået et markant større kendskab til gebyrreglerne.
Hvis man ser nærmere på respondenterne fremgår det, at alder er en vigtig faktor for folks
kendskab til og forståelse af reglerne. Hvis man fordeler besvarelserne på alder, er de yngste
aldersgrupper generelt bedre informeret end de ældre aldersgrupper, jf. figur 6.2.7. Derimod
er der ikke en signifikant forskel i mænd og kvinders kendskab til gebyrreglerne.
Figur 6.2.7: Procentdel af respondenter der kender til gebyrreglerne i
2015 fordelt på alder
0,95
0,85
0,75
0,65
0,55
0,45
0,35
0,25
18-29 år
30-39 år
Fysisk Handel/Debetkort
Ikke-fysisk/Debetkort
40-49 år
50-59 år
60-69 år
70 år eller
derover
Fysisk Handel/Kreditkort
Ikke-Fysiske/Kreditkort
Hvis man fordeler kendskabet til gebyrreglerne på de enkelte landsdele, fremgår det, at bebo-
ere i Region Hovedstanden generelt har bedre kendskab til gebyrreglerne end resten af lands-
delene, jf. figur 6.2.8.
ERU, Alm.del - 2015-16 - Bilag 259: Rapport om Betalings-kortmarkedet 2016, fra erhvervs- og vækstministeren
1625260_0057.png
SIDE 57
BETALINGSKORTMARKEDET
Figur 6.2.8: Procentdel af respondenter der kender til gebyrreglerne i 2015
fordelt på landsdel
0,8
0,7
0,6
0,5
0,4
0,3
0,2
0,1
0
Fysisk Handel/Debetkort
Region Hovedstaden
Fysisk Handel/Kreditkort
Ikke-fysisk/Debetkort
Region Midtjylland
Ikke-Fysiske/Kreditkort
Region Nordjylland
Region Sjælland
Region Syddanmark
Har gebyrerne betydning for folks valg af betalingskort?
Som det fremgår ovenfor må forretninger i fysisk handel udelukkende opkræve gebyrer når
der betales med
kreditkort,
men ikke når der betales med
debetkort.
I den ikke-fysiske handel
må forretninger opkræve gebyrer hos forbrugerne ved betaling med både debet- og kredit-
kort. Det betyder, at det i dag er dyrere for forbrugerne at anvende kreditkort i den fysiske
handel, idet forbrugerne kan ende med at betale et gebyr til forretningen. Dette betyder, at
forbrugerne indirekte tilskyndes til at anvende debetkort frem for kreditkort i den fysiske
handel.
Fra 2016/2017 ændres reglerne for opkrævning af gebyrer, således at fysiske forretninger ik-
ke længere må opkræve gebyrer, når forbrugerne anvender kreditkort. Dette betyder, at det
fremadrettet vil være gratis for forbrugerne at anvende både debetkort og kreditkort i fysisk
handel.
I undersøgelsen blev respondenterne spurgt ind til, i hvilket omfang de nuværende gebyrreg-
ler har haft betydning for deres valg af betalingskort, og om det kommende forbud mod over-
væltning af gebyrer fremadrettet vil have betydning for deres valg og brug af betalingskort.
Figur 6.2.9: Har kortgebyrerne medført at du har fravalgt at have et
kreditkort?
Ved ikke
16%
Helt enig
9%
Overvejende enig
12%
Helt uenig
32%
Hverken/eller
24%
Overvejende uenig
7%
Af det samlede antal respondenter er det 21 pct., der erklærer sig helt eller delvist enige i, at
de har fravalgt at have et kreditkort på grund af gebyrreglerne. 39 pct. af de adspurgte er helt
ERU, Alm.del - 2015-16 - Bilag 259: Rapport om Betalings-kortmarkedet 2016, fra erhvervs- og vækstministeren
1625260_0058.png
SIDE 58
KAPITEL 6 UNDERSØGELSER
eller delvist uenige i at de har fravalgt kortet på grund af reglerne. Det kunne indikere, at ge-
byrreglerne i en vis grad har betydning for forbrugernes valg af betalingskort. Dog oplyste fle-
re respondenter i deres svar, at valget af betalingskort mere var et udtryk for, hvad banken
havde tilbudt dem end et egentligt aktivt til- eller fravalg.
Respondenterne er også blevet spurgt om ændringen af gebyrreglerne fremadrettet vil have
betydning for deres valg og brug af betalingskort, jf. figur 6.2.10.
Figur 6.2.10: Vil regelændringen have betydning for dit valg og din
brug af betalingskort?
Andet:
1pct.
Ved ikke
8%
Ja, jeg vil bruge mit
nuværende
kreditkort mere end
før
10%
Ja, jeg tror, at jeg
skal have et
kreditkort som
følge af de nye
regler
3%
Nej, det vil ikke
have en betydning
78%
78 pct. af respondenterne svarer, at ændringerne i reglerne ikke vil have nogen betydning for
deres valg af betalingskort. Videre svarer 13 pct. af respondenterne, at de enten vil bruge de-
res nuværende kreditkort mere i fremtiden eller at de vil anskaffe sig et kreditkort som følge
af regelændringen.
Selvom et stort flertal af respondenterne ikke forventer at ændre adfærd som følge af det
kommende overvæltningsforbud, er det værd at notere sig, at en gruppe på ca. 13 pct. forven-
ter enten at anskaffe sig et kreditkort eller benytte deres nuværende kreditkort mere. Under-
søgelsen tyder derfor på, at debetkort, herunder særligt Dankortet, som produkt vil blive ud-
sat for øget konkurrence fra kreditkortprodukter.
6.3
Virksomhedsundersøgelsen
Konkurrence- og Forbrugerstyrelsen har også gennemført en undersøgelse blandt 26 danske
detailvirksomheder. Virksomhederne repræsenterer flere detailbrancher, herunder nogle af
de største fødevarekæder samt en række elektronik-, tøj-, smykke- og boligindretningsvirk-
somheder. Baggrunden for undersøgelsen var et ønske om både at få belyst, hvilke betalings-
kort og andre betalingsløsninger forretningerne modtager, samt hvilket strategiske overvejel-
ser virksomhederne gør sig i forhold til de nye betalingskortsregler.
Det relativt lave antal besvarelser medfører dog, at denne del af undersøgelsen er behæftet
med en stor grad af usikkerhed.
ERU, Alm.del - 2015-16 - Bilag 259: Rapport om Betalings-kortmarkedet 2016, fra erhvervs- og vækstministeren
1625260_0059.png
SIDE 59
BETALINGSKORTMARKEDET
Brug og modtagelse af betalingskort og andre betalingsløsninger
Indledningsvis blev virksomhederne spurgt om, hvilke betalingskort og andre betalingsløs-
ninger deres kunder kunne betale med, jf. figur 6.3.1.
Figur 6.3.1: Hvilke betalingsmidler modtager I?
MasterCard
Dankort og Visa/Dankort
Visa Electron
MasterCard Debet
Maestro
American Express
Diners Club
Andre betalingskort
MobilePay
Andre elektroniske…
Swipp
0%
100,0%
100,0%
90,4%
84,6%
78,8%
73,1%
69,2%
32,7%
25,0%
9,6%
7,7%
10% 20% 30% 40% 50% 60% 70% 80% 90% 100%
Ikke overraskende viser undersøgelsen, at Dankort og Visa/Dankort er det mest udbredte be-
talingskort. Hos samtlige af de virksomheder, som deltog i undersøgelsen, kunne forbrugerne
betale med disse kort. Samtlige virksomheder, der deltog, tog endvidere imod betaling med
MasterCard.
De fleste af de adspurgte virksomheder tager endvidere imod en række debetkort som Visa
Electron, MasterCard Debet og Maestro, hvorimod det er færre af de adspurgte virksomheder,
der modtager kreditkort som American Express og Diners Club.
Endelig viser undersøgelsen, at flere virksomheder har taget de nyere betalingsløsninger som
fx MobilePay og Swipp til sig. Ud af de adspurgte er det således helt op til 25 pct. af de ad-
spurgte virksomheder, der allerede i dag modtager MobilePay betalinger.
Virksomhederne har generelt oplyst, at baggrunden for valget af, hvilke betalings-
kort/betalingsløsninger der modtages er, at virksomhederne prøver at imødekomme kunder-
ne og deres kortpræferencer. Dog oplyste enkelte virksomheder også, at prisen på indløsning
af kort har betydning for, hvilket kort de modtager.
ERU, Alm.del - 2015-16 - Bilag 259: Rapport om Betalings-kortmarkedet 2016, fra erhvervs- og vækstministeren
1625260_0060.png
SIDE 60
KAPITEL 6 UNDERSØGELSER
Figur 6.3.2: Hvilke betalingsmidler er de mest anvendte?
2,1%
7,8%
90,09%
Dankort og/eller Visa/Dankort
Visa Electron
MasterCard
Virksomhederne er endvidere blevet spurgt om, hvilke betalingskort der er de mest anvendte.
Det fremgår helt tydeligt, at Dankortet og Visa/Dankortet er de mest anvendte kort. Således
svarer over 90 pct. af virksomhederne i undersøgelsen, at Visa/Dankort og Dankort er de mest
brugte kort i deres virksomhed. Til sammenligning er det kun ca. 8 pct. af forretningerne der
svarer, at MasterCard er det mest brugte kort i deres forretning, j.fr. figur 6.3.2.
Opkrævning af gebyrer
Konkurrence- og Forbrugerstyrelsen har også spurgt virksomhederne omkring opkrævning af
gebyrer samt om gebyrreglerne har betydning for, hvilke betalingskort de modtager.
Hertil oplyser 46 pct. af de adspurgte virksomheder, at det gebyr som de betaler til deres ind-
løser (fx Teller eller Nets) har betydning for, hvilke betalingskort de modtager. Samtidig sva-
rer 54 pct., at det er uden betydning for deres valg af kort.
Undersøgelsen viser, at det er et mindretal af de adspurgte virksomheder, der gør brug af
kortgebyrer overfor deres kunder. Således svarede 76 pct. af de adspurgte virksomheder nej
til, at de opkræver kortgebyrer i deres fysiske forretninger. For så vidt angår deres webshops
var tallet 67 pct., jf. figur 6.3.3.
Figur 6.3.3: Opkrævning af gebyr hos forbrugerne
80%
70%
60%
50%
40%
30%
20%
10%
0%
Ja
Fysisk forretning
Webshop
Nej
ERU, Alm.del - 2015-16 - Bilag 259: Rapport om Betalings-kortmarkedet 2016, fra erhvervs- og vækstministeren
1625260_0061.png
SIDE 61
BETALINGSKORTMARKEDET
Strategiske overvejelser
Over de næste par år vil der komme til at gælde en række nye regler i dansk ret, som meget vel
kan få betydning for de danske virksomheders strategiske overvejelser i forhold til, hvilke be-
talingsmuligheder, de vil stille til rådighed for deres kunde, og hvilke betalingskort de vil prio-
ritere.
Nogle af de regler, der muligvis kan få en betydning er ”frit valg reglerne” i EU-forordning om
46
interbankgebyrer , der træder i kraft den 9. juni 2016 og som giver forbrugerne en valgfrihed
mht., hvilken del af et co-branded kort som de ønsker at betale med.
Hvis forbrugeren fx har et Visa/Dankort vil forbrugeren med de nye regler få mulighed for
selv at vælge, om det er Visa-delen eller Dankort-delen, der skal betales med. Det vil således
fremadrettet være muligt for forbrugeren at betale med Visa-delen i danske forretninger.
Samtidig vil forretningerne, som noget nyt, få mulighed for at forudindstille deres terminaler
til et bestemt kort og på den måde vælge, hvilket kort der som udgangspunkt betales med i
forretningen. Medmindre forbrugerne træffer et aktivt valg om modsatte, vil det med de nye
regler være op til den enkelte forretning at bestemme, hvilken del af kortet der skal betales
med.
På spørgsmålet om, hvorvidt virksomhederne forventer at forudindstille deres terminaler til
et andet kort end Dankortet (hvilket pt. alene kan være Visa, da Dankortet indtil nu ikke er
parret med andre kort), svarede 27 pct. af de adspurgte virksomheder ja, andre, 27 pct. havde
ikke taget stilling hertil, mens 45 pct. svarede nej på spørgsmålet, jf. figur 6.3.4.
45
__________________
Jf. artikel 8 Europa-Parlamentets og Rådet forordning (EU) 2015/751 af 29. april 2015 om interbankgebyrer for kortbaserede
betalingstransaktioner.
Europa-Parlamentets og Rådet forordning (EU) 2015/751 af 29. april 2015 om interbankgebyrer for kortbaserede betalings-
transaktioner.
46
45
ERU, Alm.del - 2015-16 - Bilag 259: Rapport om Betalings-kortmarkedet 2016, fra erhvervs- og vækstministeren
1625260_0062.png
SIDE 62
KAPITEL 6 UNDERSØGELSER
Figur 6.3.4: Har I en forventning om, at I med de nye regler, vil forudindstille
jeres terminaler til et andet kort end Dankortet, så der ved betaling med fx
Visa/Dankort som udgangspunkt anvendes Visa-delen?
Ja
27,3%
27,3%
Nej
Ved ikke
45,5%
Siden 2011 har det været tilladt forretninger i den fysiske handel at opkræve kortgebyrer af
deres kunder, hvis de betaler med kreditkort, så længe gebyret ikke er større, end det gebyr
som forretningen selv betaler til sin indløser. Når det nye betalingstjenestedirektiv (PSD2) er
implementeret i dansk ret, vil det – som udgangspunkt - ikke længere være tilladt for forret-
ninger at opkræve kortgebyrer fra deres kunder.
Konkurrence- og Forbrugerstyrelsen har på denne baggrund spurgt de deltagende virksom-
heder om de nye reglers betydning for, hvilke betalingskort de fremadrettet vil modtage, jf. fi-
gur 6.3.5.
Figur 6.3.5: Kommer PSD2 til at have betydning for, hvilke kort I
fremadrettet vil modtage i jeres forretning?
3,8%
7,7%
23,1%
Ja, vi vil ikke længere modtage kreditkort i vores
forretning
Ja, vi vil modtager færre kreditkort
Nej, men vi vil på forskellig vis tilskynde
forbrugeren til at betale med debetkort
Nej, det vil ikke have en betydning
65,4%
Andet
På trods af at det for fremtiden bliver forbudt for forretninger at opkræve gebyrer af forbru-
gerne ved betaling med kreditkort i fysisk handel, svarede ca. 65 pct. af de adspurgte virksom-
heder, at den nye lovgivning ikke vil have nogen betydning for, hvilke kort de fremadrettet vil
modtage. Ca. 23 pct. af virksomhederne svarede, at de ikke vil fravælge at modtage kreditkort,
men at de på forskellig vis vil tilskynde forbrugerne til at betale med debetkort.
ERU, Alm.del - 2015-16 - Bilag 259: Rapport om Betalings-kortmarkedet 2016, fra erhvervs- og vækstministeren
1625260_0063.png
SIDE 63
BETALINGSKORTMARKEDET
Endelig er der næsten 8 pct., der svarede, at de som følge af den nye regulering vil modtage
færre kreditkort end i dag.
Svarerne fra respondenterne indikerer, at den nye EU-regulering vil få betydning for både
virksomhedernes og forbrugernes adfærd. Selv om det ikke er flertallet af respondenterne,
som angiver at ville ændre adfærd, er der dog en ikke ubetydelig andel, som positivt tilkende-
giver, at regelændringerne kan få betydning for deres fremtidige adfærd.
Meget tyder således på, at den større valgfrihed for forretninger og den – over for forbrugerne
– omkostningsmæssige ligestilling af debet- og kreditkort meget vel kan få betydning for an-
vendelsen af betalingskort i løbet af de kommende år.
ERU, Alm.del - 2015-16 - Bilag 259: Rapport om Betalings-kortmarkedet 2016, fra erhvervs- og vækstministeren
1625260_0064.png
SIDE 64
KAPITEL 7 DANKORTET
Kapitel 7
Dankortet
7.1
Indledning og konklusioner
I dette kapitel beskrives reguleringen af Dankortet nærmere og der redegøres for den seneste
omkostningsundersøgelse og dens resultat.
Dankortet er det langt mest anvendte betalingskort i Danmark og omfattet af regler, der bl.a.
fastsætter hvor meget forretninger skal betale for at modtage kortet.
Kapitlet vil redegøre for den bekendtgørelse der fastsætter reglerne for, hvor meget Nets kan
opkræve af forretningerne for at modtage Dankort i den fysiske handel. Forretningerne beta-
ler et årligt abonnement til Nets for at modtage Dankort i den fysiske handel. Fastsættelsen af
hvor meget forretningerne årligt skal betale til Nets, sker på basis af omkostningerne ved drif-
ten af dankortsystemet.
Reguleringen af Dankortet blev senest ændret i 2013. Ændringerne indebar at forretningerne
siden da har betalt en voksende andel af omkostningerne ved driften af Dankortet. I forbindel-
se med udarbejdelsen af denne rapport blev et udkast til ny bekendtgørelse sendt i høring,
som vil ændre visse elementer i reguleringen af Dankortet.
Boks 7.1
Konklusioner
»
Fastsættelsen af hvor meget forretningerne årligt skal betale til Nets, sker på basis af
omkostningerne ved driften af dankortsystemet.
»
For 2014 er de samlede omkostninger ved driften af dankortsystemet i den fysiske
handel opgjort til 489 mio. kr.
»
I forhold til omkostningerne i 2012 er der tale om et fald på 126 mio. kr. fra 615 mio.
kr. i 2012 til 489 mio. kr. i 2014, svarende til ca. 20 pct.
»
Det bliver væsentligt billigere for forretninger at modtage Dankort i den fysiske
handel.
Ifølge den nugældende bekendtgørelse må Nets maksimalt opkræve en samlet
abonnementsbetaling på 371 mio. kr. fra forretningerne i den fysiske handel i 2016 og 391
mio. kr. i 2017. Der er tale om et betydeligt fald, idet den maksimale abonnementsbetaling i
2015 udgjorde 492 mio. kr. Faldet skyldes, at Nets og bankerne har indrapporteret færre
omkostninger bl.a. som følge af en mindre mængde kortudskiftninger i 2014, og at styrel-
sen har revideret undersøgelsesmetoden og på denne baggrund udeladt visse omkost-
ningsposter i forhold til tidligere år.
7.2
Reguleringen af Dankort i den fysiske handel
For at modtage Dankort skal forretningerne betale et abonnement til Nets. Siden den 1. januar
2010 er det samlede årlige abonnement, som forretningerne skal betale til Nets for at modtage
Dankort, blevet fastsat på baggrund af de faktiske omkostninger ved driften af dankortsyste-
met i den fysiske handel.
ERU, Alm.del - 2015-16 - Bilag 259: Rapport om Betalings-kortmarkedet 2016, fra erhvervs- og vækstministeren
1625260_0065.png
SIDE 65
BETALINGSKORTMARKEDET
Det følger af bekendtgørelsen at forretningernes abonnementsbetaling til Nets gradvis øges
fra 2013 til 2018. I praksis udgjorde forretningernes abonnementsbetaling 55 pct. af drifts-
omkostningerne i 2013. I de efterfølgende år voksede andelen til 65 pct. i 2014 og 75 pct. i
2015. På tilsvarende måde vil forretningernes abonnementsbetaling udgøre 85 pct. af om-
kostningerne i 2016 og 95 pct. af omkostningerne i 2017. Fra 2018 og frem kan indløser op-
kræve 100 pct. af omkostningerne ved driften af dankortsystemet.
Modellen for beregning af det årlige abonnement er fastlagt i en bekendtgørelse. For at kun-
48
ne fastlægge omkostningerne følger det af bekendtgørelsen , at Konkurrence- og Forbruger-
styrelsen hvert andet år skal foretage en omkostningsundersøgelse. Det betyder, at de enkelte
omkostningsundersøgelser danner grundlag for beregningen af det samlede dankortabonne-
ment i to år.
I 2015 har Konkurrence- og Forbrugerstyrelsen foretaget en ny undersøgelse, der omfattede
omkostningerne for 2014. Denne undersøgelse vil danne grundlag for beregningerne af det
samlede maksimale abonnement, som Nets må opkræve af forretningerne i henholdsvis 2016
og 2017. Der er således en forskydning på henholdsvis to og tre år i forhold til omkostninger-
ne, når det samlede årlige abonnement for henholdsvis 2016 og 2017 skal beregnes., jf. tabel
7.1.
47
Tabel 7.1
Omkostningsundersøgelser og abonnementsbetaling
2013
Undersøgelse
af:
Samlet årlige
abonnements-
betaling…
Forretningernes
abonnementsbe-
taling
Omkostninger-
ne for 2012
beregnet på
basis af omk.
for 2010
55 pct. af om-
kostningerne
beregnet på
basis af omk.
for 2012
65 pct. af om-
kostningerne
2014
2015
Omkostninger-
ne for 2014
beregnet på
basis af omk.
for 2012
75 pct. af om-
kostningerne
Beregnet på
basis af omk.
for 2014
85 pct. af om-
kostningerne
2016
2017
Omkostnin-
gerne for 2016
Beregnet på
basis af omk.
for 2014
95 pct. af om-
kostningerne
Kilde: Konkurrence- og Forbrugerstyrelsen.
Det fremgår af bekendtgørelsens § 3, at de omkostninger, der skal dækkes via abonnements-
ordningen, alene er omkostninger forbundet med driften af dankortsystemet, og at det kun er
omkostninger, der relaterer sig til den fysiske handel, jf. bekendtgørelsens § 1, stk. 2. Ligeledes
følger det af betalingstjenestelovens § 80, stk. 2, at ”udbyder til dækning af sine omkostninger
til driften af betalingssystemet alene kan pålægge betalingsmodtager at betale et årligt abon-
nement.” I bemærkningerne til denne bestemmelse fremgår det endvidere, at ”udbyder kan
alene pålægge betalingsmodtager at betale til driften af infrastrukturen gennem et årligt
49
abonnement.”
__________________
47
48
49
Omkostningsundersøgelsen følger af bekendtgørelse nr. 1475 af 22. december 2009 samt ændringsbekendtgørelse nr. 851 af
26. juni 2013.
Bekendtgørelens § 12, stk. 2
Bemærkningerne til § 80, stk. 2, jf. lovforslag nr. 119, fremsat den 28. januar 2009
ERU, Alm.del - 2015-16 - Bilag 259: Rapport om Betalings-kortmarkedet 2016, fra erhvervs- og vækstministeren
1625260_0066.png
SIDE 66
KAPITEL 7 DANKORTET
I betalingstjenestelovens § 6, nr. 3, defineres et betalingssystem som: ”et
system til overførsel
af midler med formelle og standardiserede rutiner og fælles regler for behandling, clearing eller
afvikling af betalingstransaktioner.”
Bekendtgørelsens § 3 indebærer således driftsomkostnin-
ger relateret til overførsel af midler med formelle og standardiserede rutiner og fælles regler
for behandling, clearing eller afvikling af dankorttransaktioner.
Som anført i publikationen ”Betalingskortmarkedet 2014” besluttede Konkurrence- og For-
brugerstyrelsen efter afslutningen af omkostningsundersøgelsen i 2013 at foretage en revide-
ring af undersøgelsen. Dette var bl.a. foranlediget af KPMG’s rapport fra 2013, hvor det blev
anbefalet at foretage en vurdering af, om der skulle ske ændringer i opgørelsesmetoden, og
det forhold at forretningerne betaler en øget andel af omkostningerne. Dette arbejde førte til
en justering i omkostningsundersøgelsen, jf. nærmere herom i kapitel 7 om styrelsens tilsyn.
7.3
Resultatet af omkostningsundersøgelsen fra 2015
Forretningerne betaler et årligt abonnement til Nets for at modtage Dankort i den fysiske
handel. Fastsættelsen af hvor meget forretningerne årligt skal betale til Nets, sker på basis af
omkostningerne ved driften af dankortsystemet. Konkurrence- og Forbrugerstyrelsen har an-
svaret for at gennemføre en undersøgelse af omkostningerne hver andet år.
Gennemførelsen af en omkostningsundersøgelse hvert andet år medfører, at Konkurrence- og
Forbrugerstyrelsen løbende kan føre tilsyn med det grundlag, som abonnementet bliver be-
regnet på. Samtidig vil undersøgelser gennemført hvert andet år understøtte, at størrelsen på
det beregnede abonnement løbende følger de faktiske omkostninger.
De samlede omkostninger ved driften af dankortsystemet omfatter primært bankernes om-
kostninger ved at udstede, administrere og videreudvikle Dankortet og Nets’ omkostninger
ved at indløse Dankort for forretningerne i den fysiske handel.
Opgørelsen af bankernes omkostninger er foregået således, at ti udvalgte banker, heriblandt
Danske Bank og Nordea, har indrapporteret deres omkostninger direkte til Konkurrence- og
Forbrugerstyrelsen, der efterfølgende har samlet omkostningerne og på baggrund heraf be-
regnet de samlede omkostninger for samtlige udstederbanker. Samlet set udgør de ti banker i
undersøgelsen ca. 70 pct. af den samlede kortmasse.
Styrelsen har valideret og sammenlignet omkostningsopgørelserne for de enkelte banker.
Samtidig har styrelsen vurderet de fordelingsnøgler, der er benyttet ved fordelingen af ban-
kernes fælles omkostninger på omkostninger,, der vedrører anden bankvirksomhed. På sam-
me måde har styrelsen gennemgået Nets’ egen omkostningsopgørelse.
For 2014 er de samlede omkostninger ved driften af dankortsystemet i den fysiske handel op-
gjort til 489 mio. kr. I forhold til omkostningerne i 2012 er der tale om et fald på 126 mio. kr.
fra 615 mio. kr. i 2012 til 489 mio. kr. i 2014, svarende til ca. 20 pct. jf. tabel 7.2. Faldet skyl-
des, at Nets og bankerne har indrapporteret færre omkostninger bl.a. som følge af en mindre
mængde kortudskiftninger i 2014, og at styrelsen har revideret undersøgelsesmetoden og på
denne baggrund udeladt visse omkostningsposter i forhold til tidligere år, jf. nærmere herom i
kapitel 8.5.
ERU, Alm.del - 2015-16 - Bilag 259: Rapport om Betalings-kortmarkedet 2016, fra erhvervs- og vækstministeren
1625260_0067.png
SIDE 67
BETALINGSKORTMARKEDET
Tabel 7.2
Omkostningerne ved driften af dankortsystemet for i fysisk handel, i løbende priser
2008
617
4,0
691
0,89
2010
590
4,2
758
0,78
2012
615
4,7
840
0,73
2014
489
5,1
1.002
0,49
Samlede omkostninger ved driften af dankortsystemet (mio.kr.)
Antal Dankort (mio. stk.)
Antal transaktioner i den fysiske handel (mio. stk.)
Gennemsnitlig omkostning pr. transaktion (kr.)
Note 1:
Beregningen af den årlige gennemsnitlige ændring fra 2010 til 2012 fremgår af boks 7.2
Kilde: Konkurrence- og Forbrugerstyrelsens beregninger baseret på oplysninger fra bankerne og Nets.
7.4
Den samlede abonnementsbetaling
Omkostningsundersøgelsen danner grundlag for den abonnementsbetaling, som Nets opkræ-
ver af forretningerne. Som tidligere nævnt bliver der kun foretaget en omkostningsundersø-
gelse hvert andet år. Hver omkostningsundersøgelse skal således danne grundlag for bereg-
ningen af det samlede maksimale årlige abonnement for to år.
Som følge af skiftet i omkostningsgrundlaget hvert andet år er der indført en model for frem-
skrivning af omkostningerne i henholdsvis to og tre år. Modellen for fremskrivning følger af
bekendtgørelsen om beregningen af det årlige abonnement.
Den samlede sum af abonnementsbetalinger i det enkelte kalenderår fastsættes på baggrund
af en fremskrivning af den seneste omkostningsopgørelse. Som fremskrivningsfaktor benyttes
den gennemsnitlige årlige ændring af omkostningerne, der er mellem den seneste og den for-
rige omkostningsundersøgelse, jf. nærmere herom i boks 7.2.
ERU, Alm.del - 2015-16 - Bilag 259: Rapport om Betalings-kortmarkedet 2016, fra erhvervs- og vækstministeren
1625260_0068.png
SIDE 68
KAPITEL 7 DANKORTET
Boks 7.2
Beregning af det samle-
de årlige abonnement
Forudsætninger:
Nets opkræver 85 pct. af omkostningerne i 2016 og 95 pct. af omkostninger i 2017.
Omkostningerne for 2014 er på 489 mio. kr.
Omkostningerne er fra 2012 til 2014 faldet med 5,57 pct., jf. nedenfor.
Formel for beregning af det samlede maksimale årlige abonnement:
Lige år: Abonnement
t
=
a
omk
t
2
(
1
+
f
)
2
Ulige år: Abonnement
t
=
a
omk
t
3
(
1
+
f
)
3
t er det år, abonnementet skal beregnes for.
’a’ er den andel af omkostningerne, som abonnementsbetalingen maksimalt må udgøre ifølge be-
kendtgørelsen.
Omk
t
er de samlede omkostninger fastlagt ved omkostningsundersøgelser hvert andet år .
f er fremskrivningsfaktoren, der beregnes som den gennemsnitlige årlige procentvise ændring i de
samlede omkostninger fra 2012 til 2014. Formlen for beregningen af fremskrivningsfaktoren er:
�½
omk
t
2
omk
1
t
4
Beregningen af fremskrivningsfaktoren for 2016 og 2017:
549
1
= -0,0557 svarende til -5,57 pct.*
489
�½
Beregningen af det samlede abonnement for 2016 og 2017:
Abonnement
2016
=
0,85
489
(
1
0,0557
)
2
= 371 mio. kr.
Abonnement
2017
=
0,95
489
(
1
0,0557
)
3
= 391 mio. kr.
Kilde: Konkurrence- og Forbrugerstyrelsen samt Nets’ beregninger.
Anm.:
I forbindelse med seneste omkostningsundersøgelse gennemførte Konkurrence- og Forbrugerstyrelsen en revidering af
denne, og på denne baggrund udeladt visse omkostningsposter i forhold til tidligere år, jf. nærmere herom i kapitel 8.5. Styrel-
sen finder det retvisende, at fremskrivningsfaktoren udregnes på baggrund af omkostningsundersøgelser, der er baseret på
samme grundlag. Styrelsen har således lagt til grund, at beregningen af fremskrivningsfaktoren sker ud fra sammenlignelige
omkostningsundersøgelser. Derfor har styrelsen i beregningen af fremskrivningsfaktoren udeladt de poster i om-
kostningsundersøgelsen af omkostningerne i 2012, som også er udeladt i omkostningerne for 2014. Dette er baggrunden for at
der ved fremskrivningsfaktoren tager udgangspunkt omkostninger på 549 mio. kr. i 2012 og ikke 615 mio. kr., som angivet i ta-
bel 7.2. For nærmere oplysninger henvises til Konkurrence- og Forbrugerstyrelsens afgørelse om omkostningsundersøgelsen af
Dankortet 2015. Afgørelsen er at finde på styrelsens hjemmeside.
Kilde: Konkurrence- og Forbrugerstyrelsen samt Nets’ beregninger
Beregningen af den samlede maksimale abonnementsbetaling efter den beskrevne model vi-
ser, at Nets maksimalt kan opkræve en samlet abonnementsbetaling på 371 mio. kr. fra for-
retningerne i den fysiske handel i 2016 og 391 mio. kr. i 2017, jf. boks 7.2. Der er tale om et be-
tydeligt fald, idet den maksimale abonnementsbetaling i 2015 udgjorde 492 mio. kr.
Den enkelte forretnings årlige abonnementsbetaling afhænger af det årlige antal dankort-
transaktioner, som den enkelte forretning har. Forretningerne indplaceres efter, hvor mange
dankorttransaktioner den enkelte forretning har haft i et år. For hvert enkelt interval bereg-
nes en årlig abonnementssats.
Når den samlede abonnementsbetaling ændres, sker det ved, at abonnementssatserne ændres
procentvis lige meget. I praksis betaler forretningerne det årlige abonnement kvartalsvist
bagud. Den enkelte forretnings abonnementsbeløb bliver hvert kvartal fastsat på baggrund af
forretningens samlede antal dankorttransaktioner for de seneste fire kvartaler. Den enkelte
forretning vil herefter blive opkrævet en fjerdedel af det årlige abonnement for det interval,
ERU, Alm.del - 2015-16 - Bilag 259: Rapport om Betalings-kortmarkedet 2016, fra erhvervs- og vækstministeren
1625260_0069.png
SIDE 69
BETALINGSKORTMARKEDET
forretningen indplaceres i. Den løbende indplacering af forretningerne i abonnementsinterval-
lerne er med til at formindske efterreguleringen.
Udover ændringerne i den samlede abonnementsbetaling der følger af, at omkostningerne ved
driften af Dankortet ændrer sig over årerne, sker der en årlig efterregulering. Dette sker, fordi
det faktisk opkrævede samlede abonnement i et kalenderår i praksis ofte afviger fra det sam-
lede beregnede abonnement for det pågældende kalenderår. Det skyldes, at antallet af forret-
ninger i de enkelte intervaller ændrer sig i løbet af et år. Det sker eksempelvis, hvis forretnin-
ger i løbet af året får flere eller færre dankorttransaktioner og derfor skifter interval.
Derudover vil det samlede antal forretninger, der modtager Dankort, variere, fordi nogle af
forretningerne ophører med at modtage Dankort og nye forretninger kommer til. Dette med-
fører, at det samlede opkrævede abonnement for de enkelte år enten bliver for højt eller for
lavt. Hvis Nets har opkrævet for meget i et kalenderår, skal det modregnes i det samlede be-
regnede abonnement i det efterfølgende kalenderår. Hvis Nets derimod har opkrævet for lidt,
kan Nets vælge at opkræve differencen af forretningerne i det efterfølgende kalenderår. Denne
efterregulering skal som nævnt ske ved, at alle abonnementssatser procentvist ændres lige
meget.
7.5
Dankortgebyrer ved handel på internettet
Nets opkrævning af gebyrer for modtagelse af Dankort som betalingskort via internettet er ik-
ke omfattet af ovenstående regulering.
Siden april 1999 har det været muligt for kortindløsere som eksempelvis Nets at opkræve ge-
byr fra forretninger, når et betalingskort benyttes som betalingsmiddel i den ikke-fysiske han-
del, fx på internettet. Hver gang der foretages et køb med Dankort via en internetforretnings
hjemmeside betaler internetforretningen et gebyr til Nets. Gebyrerne skal være i overens-
stemmelse med betalingstjenestelovens § 79, hvorefter gebyrerne ikke må være urimeligt hø-
50
je .
Konkurrence- og Forbrugerstyrelsen traf i 2012 og i 2013 afgørelser vedrørende Nets’ dan-
kortgebyrer på internettet, jf. nærmere her i kapitel 8.
I den første afgørelse vurderede styrelsen, at Nets’ dankortgebyrer var for høje og derved ud-
gjorde en overtrædelse af betalingstjenestelovens § 79. Styrelsen påbød derfor Nets at ned-
sætte dankortgebyrerne. På baggrund af denne afgørelse nedsatte Nets gebyrerne. I den an-
den afgørelse vurderede styrelsen, at dankortgebyrerne fortsat var for høje, hvorfor Nets igen
blev påbudt at nedsætte dankortgebyrerne til et af styrelsen fastlagt niveau. Påbuddet var
gældende frem til 31. december 2014. I forbindelse med styrelsens anden afgørelse nedsatte
Nets dankortgebyrerne til de satser som er angivet i tabel 7.3.
__________________
Ved urimeligt høje gebyrer forstås gebyrer, der er højere, end hvad der ville være tilfældet under virksom konkurrence, jf. be-
talingstjenestelovens § 79.
50
ERU, Alm.del - 2015-16 - Bilag 259: Rapport om Betalings-kortmarkedet 2016, fra erhvervs- og vækstministeren
1625260_0070.png
SIDE 70
KAPITEL 7 DANKORTET
Den nuværende gebyrstruktur for handel med Dankort på internettet er skitseret nedenfor i
Tabel 7.3. Som det fremgår, er det gebyr, som Nets opkræver af internetforretningerne, af-
hængigt af transaktionsbeløbets størrelse, men ved transaktionsbeløb større end 100 kr. op-
kræves der i dag altid et gebyr på 1,39 kr. pr. transaktion.
Tabel 7.3
Priser for at modtage Dankort i internethandel
Internethandel
250 kr. (via webhotel)
1.250 kr. (ved certificeret software og egen betalingsserver)
1.000 kr.
0,70 kr. pr. transaktion
1,10 kr. pr. transaktion
1,39 kr. pr. transaktion
Oprettelse
Årsabonnement
Betalinger med Dankort
Transaktionsbeløb 0,00-50,00 kr.
Betalinger med Dankort
Transaktionsbeløb 50,01-100,00 kr.
Betalinger med Dankort
Transaktionsbeløb over 100,01kr.
Note:
Priserne er ikke momsbelagte.
Kilde: Nets - http://www.nets.eu/dk-da/Produkter/betaling-med-kort/Documents/Dankort/Nets_Dankort_prisliste_oevrig.pdf
ERU, Alm.del - 2015-16 - Bilag 259: Rapport om Betalings-kortmarkedet 2016, fra erhvervs- og vækstministeren
1625260_0071.png
SIDE 71
BETALINGSKORTMARKEDET
Kapitel 8
Tilsynet
8.1
Indledning og konklusioner
Konkurrence- og Forbrugerstyrelsen fører tilsyn med en række gebyrbestemmelser i beta-
lingstjenesteloven, jf. kapitel 5 ovenfor. Nærværende kapitel beskriver i den forbindelse de
væsentligste afgørelser, der er blevet truffet siden Betalingskortrapporten 2014, samt en ræk-
ke relevante undersøgelser, som styrelsen har gennemført som led i sit tilsynsarbejde.
Konkurrencerådet har truffet afgørelse om Nets’ adfærd på markedet for indløsning af inter-
nationale betalingskort. Med afgørelsen har Nets afgivet en række tilsagn, som blandt andet
forpligter Nets til at sænke nogle af sine priser og give alle kunder i datterselskabet Teller ret
til at opsige deres kontrakt.
Derudover har styrelsen gennemført fem branchespecifikke undersøgelser med henblik på at
undersøge, om betalingsmodtageres opkrævning af gebyrer over for kortholdere er i overens-
51
stemmelse med betalingstjenesteloven. Undersøgelserne vedrørte hotel- og restaurations-
branchen, rejsearrangører, kosmetik- og legetøjsbranchen, samt undersøgelse af overvæltning
i forbindelse med rabat på indløsning af henholdsvis danske og udenlandske kreditkort og
Dankort i ikke-fysisk handel. Undersøgelserne er beskrevet i afsnit 7.4.
Styrelsen har revideret omkostningsundersøgelsen, som gennemføres hvert andet år for at
fastslå, hvor store omkostninger, der er forbundet med driften af dankortsystemet. På bag-
grund af denne revidering, har styrelsen truffet afgørelse i undersøgelsen af omkostningerne
ved driften af Dankortet i 2014.
Endvidere har styrelsen besluttet af lukke undersøgelsen vedrørende MasterCards interbank-
gebyrer, og endelig har styrelsen sendt påbud til MobilePay og Teller vedrørende overtrædel-
se af betalingstjenestelovens § 78, stk. 2.
__________________
51
Lovbekendtgørelse nr. 613 af 24. april 2015 af lov om betalingstjenester og elektroniske penge med senere ændringer.
ERU, Alm.del - 2015-16 - Bilag 259: Rapport om Betalings-kortmarkedet 2016, fra erhvervs- og vækstministeren
1625260_0072.png
SIDE 72
KAPITEL 8 TILSYNET
Boks 8.1
Konklusioner
»
Konkurrencerådet har truffet afgørelse vedrørende Nets’ adfærd på markedet for
indløsning af internationale betalingskort.
Konkurrencerådet har vurderet, at de af Nets
afgivne tilsagn imødekommer styrelsens konkurrenceretlige betænkeligheder i forhold til
margin squeeze samt urimelige høje priser.
»
Konkurrence- og Forbrugerstyrelsen har undersøgt fire branchers opkrævning af be-
talingskortgebyrer hos deres kunder.
Undersøgelserne viser, at langt de fleste virksom-
heder overholder gebyrreglerne. I hotel- og restaurationsbranchen tog hver femte virk-
somhed dog højere gebyrer end tilladt.
»
Konkurrence- og Forbrugerstyrelsen har undersøgt detailbranchens praksis for op-
krævning af gebyrer, når butikken samtidig modtager en rabat på indløsningsydel-
ser.
Otte virksomheder opkrævede for høje betalingskortgebyrer. Heraf har syv virksom-
heder rettet ind efter styrelsens varsel om påbud. Den resterende virksomhed har fået til-
sendt et endeligt påbud med krav om, at der ved overvæltning tages højde for alle rabatter,
som Nets/Teler måtte yde virksomheden.
»
Konkurrence- og Forbrugerstyrelsen har revideret omkostningsundersøgelsen.
Sty-
relsen har vurderet, at omkostninger, der ikke relaterer sig til driften af dankortsystemet
eller omkostninger, hvor der ikke synes at være en konstaterbar direkte sammenhæng, ik-
ke kan medregnes i omkostningsopgørelsen. Styrelsen har på baggrund heraf truffet afgø-
relse i undersøgelsen af omkostningerne ved driften af Dankortet i 2014.
»
Konkurrence- og Forbrugerstyrelsen har besluttet at lukke undersøgelsen vedrø-
rende MasterCards interbankgebyrer.
På baggrund af undersøgelsen valgte MasterCard
at nedsætte sine interbankgebyrer. Samtidigt har EU-vedtaget en forordning om interbank-
gebyrer, som fastsætter et loft for interbankgebyrer.
»
Konkurrence- og Forbrugerstyrelsen har sendt et påbud til MobilePay og Teller ved-
rørende overtrædelse af betalingstjenestelovens § 78, stk. 2.
En udbyder må ikke hin-
dre betalingsmodtager i at opkræve et gebyr hos betaler for brugen af det pågældende be-
talingsinstrument.
8.2
Konkurrenceloven og betalingstjenestelovens § 79
Begrebet ”urimelige priser” kendes både i relation til konkurrencelovens § 11 om misbrug af
dominerende stilling og betalingstjenestelovens § 79.
Det følger betalingstjenestelovens § 79, at der ”ved fastsættelse af gebyr m.v. i forbindelse med
gennemførelse af betalingstransaktioner med et betalingsinstrument som nævnt i § 6, [ikke
må] anvendes urimelige priser og avancer. Ved urimelige priser og avancer forstås priser og
52
avancer, der er højere, end hvad der ville være tilfældet under virksom konkurrence.”
Bestemmelsen er meget generel og omfatter ifølge lovens bemærkninger ”enhver virksomhed,
der fastsætter gebyrer og vederlag i forbindelse med kortbetalinger”. Hvad angår fortolknin-
gen af begreberne ”urimelige priser og avancer” fremgår det af lovens forarbejder, at en afgø-
relse heraf ”må ske gennem en hypotetisk præget bedømmelse af forholdende, som de ville
__________________
52
Lovbekendtgørelse nr. 613 af 24. april 2015 af lov om betalingstjenester og elektroniske penge med senere ændringer.
ERU, Alm.del - 2015-16 - Bilag 259: Rapport om Betalings-kortmarkedet 2016, fra erhvervs- og vækstministeren
1625260_0073.png
SIDE 73
BETALINGSKORTMARKEDET
være i et konkurrencepræget marked. Der kan derfor ikke kræves et egentligt bevis for, hvad
53
prisen eller avancen ville være, men der kræves en væsentlig sandsynliggørelse.
I forhold til konkurrenceloven adskiller betalingstjenestelovens § 79 sig på to måder. For det
første er et eventuelt indgreb mod urimelige priser og avancer i henhold til betalingstjeneste-
lovens § 79 ikke betinget af, at der først skal konstateres en dominerende stilling. Det betyder,
at ”indgrebsmuligheden eksisterer i forhold til alle aktører, uanset deres aktuelle styrke på
markedet.” For det andet forudsætter et eventuelt indgreb ”ikke et ligeså højt pris- eller avan-
ceniveau, som et indgreb efter den generelle konkurrencelov.” Derudover gælder det, ”at et
indgreb ikke forudsætter, at et for højt pris- eller avanceniveau skal have været konstateret i
en længere periode, men kan foretages umiddelbart, når det konstateres, at en aktør anvender
54
urimelige priser og avancer."
Følgende to afsnit er eksempler på afgørelser efter konkurrenceloven henholdsvis betalings-
tjenestelovens § 79.
8.2.1
Konkurrencerådets afgørelse vedrørende Nets’ adfærd på markedet for indløs-
ning af internationale betalingskort
Den 28. maj 2014 traf Konkurrencerådet afgørelse om Nets’ adfærd på markedet for indløs-
ning af internationale betalingskort og markedet for autorisation og indsamling af transaktio-
ner til brug for indløsning af internationale betalingskort i Danmark. Afgørelsen drejede sig
om Nets’ prissætning på de ovennævnte markeder.
Sagen var foranlediget af en klage fra Swedbank over, at Nets angiveligt misbrugte en domine-
rende stilling på markedet for indløsning af internationale betalingskort i Danmark. På den
baggrund gennemførte styrelsen en kontrolundersøgelse hos Nets.
Konkurrence- og Forbrugerstyrelsen havde en formodning om, at der på markedet for indløs-
ning af internationale betalingskort foregik konkurrencebegrænsende aktiviteter i form af
bl.a. margin squeeze, samt at der på markedet for salg af såkaldte transaktionsydelser til kort-
indløsere foregik udnyttende misbrug i form af bl.a. anvendelse af urimeligt høje salgspriser.
Nets og Nets’ datterselskab, Teller, er den største kortindløser i Danmark for både Dankort
(Nets) og internationale betalingskort (Teller). Teller er i konkurrence med flere andre aktø-
rer, herunder Swedbank. En kortindløser er nødvendig for, at en butik eller en anden er-
hvervsdrivende kan tage imod betalingskort. Butikken betaler kortindløseren et gebyr pr.
transaktion, og kortindløseren sørger blandt andet for, at pengene kommer fra kundens konto
til butikkens.
I den konkrete sag var Nets både til stede på et upstream marked og et downstream marked.
Upstream markedet relaterede sig til de såkaldte FAP-ydelser (”front-end acquiring proces-
sing”), som er infrastrukturydelser, der er nødvendige for, at en kortindløser kan gennemføre
en transaktion med et betalingskort, herunder at transaktionen autoriseres, dvs. at pinkode og
kortoplysninger m.v. er korrekte, og at kortindløseren får den nødvendige information om
transaktionen, så der kan foretages en overførsel af midler.
__________________
53
54
Jf. de særlige bemærkninger til § 79 i L 119 Forslag til lov om betalingstjenester.
Jf. de særlige bemærkninger til § 79 i L119 Forslag til lov om betalingstjenester.
ERU, Alm.del - 2015-16 - Bilag 259: Rapport om Betalings-kortmarkedet 2016, fra erhvervs- og vækstministeren
1625260_0074.png
SIDE 74
KAPITEL 8 TILSYNET
Downstream markedet relaterede sig til indløsning af internationale betalingskort via Nets’
datterselskab Teller.
Margin squeeze er, når en virksomhed sælger varer eller tjenesteydelser på et upstream mar-
ked (indkøbsmarkedet) - i dette tilfælde Nets - og samtidig er integreret på et downstream
marked (afsætningsmarkedet) – i dette tilfælde i kraft af Teller - i konkurrence med de virk-
somheder, som er dens aftagere på upstream markedet. Margin squeeze er en ekskluderende
misbrugsadfærd, og kan på kort eller lang sigt begrænse antallet af konkurrerende virksom-
heder til skade for konkurrencen og i sidste ende til skade for forbrugerne.
En virksomheds priser er urimeligt høje, når prisen på en vare ikke står i rimeligt forhold til
den økonomiske værdi af den leverede vare. For overhovedet at kunne statuere henholdsvis
margin squeeze og urimeligt høje priser kræves en dominerende stilling.
På det foreliggende grundlag var det styrelsens vurdering, at Teller ville have haft et betyde-
ligt underskud på væsentlige aftaler om indløsning af internationale betalingskort, hvis Teller
skulle have betalt den samme pris for FAP-ydelserne, som Tellers konkurrenter betalte.
Nets er ikke enig i styrelsens vurdering, men i forlængelse af kontrolundersøgelsen tilbød Nets
55
tilsagn med henblik på at afslutte sagen. Tilsagnene indebærer overordnet, at Nets forpligter
sig til ikke at fastsætte priser i strid med konkurrencelovens § 11 og TEUF artikel 102.
Konkurrence- og Forbrugerstyrelsen vurderede, at de af Nets afgivne tilsagn imødekommer
styrelsens betænkeligheder for så vidt angår margin squeeze samt urimeligt høje priser. End-
videre vurderede styrelsen, at tilsagnene skaber en øget gennemsigtighed i opgørelsen og for-
delingen af omkostninger og indtægter, så mulighederne for at kontrollere Nets’ adfærd på de
relevante markeder forbedres fremadrettet.
I sin vurdering af, hvorvidt en tilsagnsløsning ville være hensigtsmæssig, lagde styrelsen bl.a.
vægt på følgende forhold:
»
At der ved en tilsagnsløsning ville blive opnået et resultat, der har samme effekt på konkur-
rencen, som hvis styrelsen havde gennemført en omfattende og udførligt begrundet under-
søgelse, og som samtidig ville få en hurtigere effekt på de berørte markeder.
»
At en tilsagnsløsning ville være ressourcebesparende, idet der ikke skulle tages endelig stil-
ling til afgrænsningen af det relevante marked samt de foreliggende forhold for så vidt an-
går konkurrencelovens § 6 og § 11.
»
At Nets i umiddelbar forlængelse af kontrolundersøgelsen henvendte sig til styrelsen med
henblik på at drøfte muligheden for en tilsagnsmæssig afgørelse af sagen.
Da styrelsens betænkeligheder ved Nets’ tilsagn blev imødekommet, tog styrelsen ikke endelig
stilling til afgrænsningen af det relevante marked, om end styrelsen fandt, at meget talte for et
marked afgrænset til Danmark. Styrelsen fandt det heller ikke nødvendigt at udføre en nær-
mere analyse af og en egentlig konklusion vedrørende margin squeeze. Der var dog en række
forhold, som efter Konkurrencerådets opfattelse tydede på, at Nets’ prissætning havde resul-
56
teret i et margin squeeze på markedet for indløsning af internationale betalingskort.
__________________
Et tilsagn er et tilbud fra virksomheden om, hvordan sagen kan løses uden, at Konkurrencerådet udsteder et påbud. Der kan fx
være tale om, at virksomheden tilbyder at ændre nogle vedtægtsbestemmelser, som styrelsen har udtrykt betænkeligheder ved.
56
55
Afgørelse af 28. maj 2014,
Nets’ adfærd i forbindelse med indløsning af internationale betalingskort,
pkt. 254-255.
ERU, Alm.del - 2015-16 - Bilag 259: Rapport om Betalings-kortmarkedet 2016, fra erhvervs- og vækstministeren
1625260_0075.png
SIDE 75
BETALINGSKORTMARKEDET
8.3
Afgørelser om urimelige dankortgebyrer på internettet
Konkurrence- og Forbrugerstyrelsen traf i 2012 og i 2013 to afgørelser vedrørende urimelige
dankortgebyrer på internettet.
Begge sager vedrører Nets’ gebyrer for handel med Dankort på internettet, og var foranlediget
af en klage fra Foreningen for Dansk Internethandel (FDIH), som er en interesseorganisation
for virksomheder, der forretningsmæssigt bruger internettet og andre digitale kanaler. FDIH
fandt, at gebyrerne for brug af Dankort på internettet var for høje i henhold til betalingstjene-
stelovens § 79.
I den første afgørelse (FDIH1) , vurderede styrelsen, at Nets’ dankortgebyrer var for høje og
derved udgjorde en overtrædelse af betalingstjenestelovens § 79. Styrelsen påbød derfor Nets
at nedsætte dankortgebyrerne. På baggrund af denne afgørelse nedsatte Nets gebyrerne.
I den anden afgørelse (FDIH2) , vurderede styrelsen, at dankortgebyrerne fortsat var for høje,
hvorfor Nets igen blev påbudt at nedsætte dankortgebyrerne til et af styrelsen fastlagt niveau.
Nets ankede begge styrelsens afgørelser til Konkurrenceankenævnet med henblik på ophæ-
velse af styrelsens påbud. Den 25. juni 2013 stadfæstede Konkurrenceankenævnet styrelsens
59
første afgørelse (FDIH1) , og Nets indbragte derfor Konkurrenceankenævnets kendelse for
byretten.
Sagen blev dog henvist til Østre Landsret med henvisning til, at sagen angik et principielt ret-
ligt spørgsmål.
For så vidt angår styrelsens anden afgørelse (FDIH2) afviste Konkurrenceankenævnet Nets’
anbringender og stadfæstede styrelsens afgørelse den 11. december 2013. Nets indbragte og-
så i dette tilfælde Konkurrenceankenævnets kendelse for byretten, hvor den af Nets blev be-
gæret henvist til Østre Landsret.
Begge sager verserer ved Østre Landsret.
8.4
Branchespecifikke undersøgelser af gebyropkrævninger
Som led i Konkurrence- og Forbrugerstyrelsens tilsyn med overholdelsen af reglerne om
60
overvæltning , gennemfører styrelsen løbende undersøgelser af, om betalingstjenestelovens
regler om betalingskortgebyrer overholdes.
Med henblik på at få afdækket, om der er områder og brancher, hvor der er behov for at styrke
indsatsen, herunder øge kendskabet til lovgivningen, har Konkurrence- og Forbrugerstyrelsen
58
57
__________________
Afgørelse af 30. november 2012,
FDIH’s klage over dankortgebyrer på internettet.
Afgørelsen kan findes på styrelsens hjemme-
side:
http://www.kfst.dk/~/media/Afgoerelsesdatabase/Betalingskort/Afgoerelser/2012/20121129%20FDIH%20Klage%20Dank
ortgebyr.pdf
Afgørelse af 23. maj 2013,
Vurdering af Nets’ ændring af dankortgebyrer som følge af Konkurrence- og Forbrugerstyrelsens af-
gørelse af 30. november 2012.
Afgørelsen kan findes på styrelsens hjemmeside:
http://www.kfst.dk/~/media/Afgoerelsesdatabase/Betalingskort/Afgoerelser/2013/20130522%20FDIH2.pdf
Afgørelse af 25. juni 2013,
Konkurrenceankenævnets kendelse af 25. juni 2013 – Nets Holding A/S mod Konkurrence- og Forbru-
gerstyrelsen.
Afgørelsen kan findes på styrelsens hjemmeside:
http://www.kfst.dk/~/media/Afgoerelsesdatabase/Betalingskort/Afgoerelser/2013/20130522%20FDIH2.pdf
60
59
58
57
Se kapitel 5 ovenfor om overvæltningsreglerne.
ERU, Alm.del - 2015-16 - Bilag 259: Rapport om Betalings-kortmarkedet 2016, fra erhvervs- og vækstministeren
1625260_0076.png
SIDE 76
KAPITEL 8 TILSYNET
i løbet af 2014 og 2015 gennemført stikprøvekontrol af hotel- og restaurationsbranchen, rej-
searrangørbranchen, kosmetik og legetøjsbranchen. Styrelsen har også undersøgt, om virk-
somheder, der får rabat på indløsning af hhv. danske og udenlandske kreditkort og Dankort i
ikke-fysisk handel, overfører rabatten til deres kunder.
Resultaterne gennemgås nedenfor:
Hotel- og restaurationsbranchen
Grundlæggende må betalingsmodtagere ikke opkræve gebyrer af kunder, der betaler med de-
betkort. Betalingsmodtagere kan vælge at overvælte gebyrer på kunder, der bruger kreditkort
i fysisk handel. Vælger betalingsmodtageren at overvælte gebyrer på kunder, der betaler med
kreditkort, må betalingsmodtageren, ifølge betalingstjenestelovens § 80, stk. 5, ikke overvælte
et gebyr, der er højere end det gebyr, som betalingsmodtageren selv betaler til sin indløser for
61
den pågældende betalingstransaktion.
Til brug for undersøgelsen indhentede Konkurrence- og Forbrugerstyrelsen oplysninger fra i
alt 20 hotel- og restaurationsvirksomheder.
Oplysningerne angik både den gebyrsats, virksomhederne betaler til deres indløser samt den
gebyrsats, de opkræver fra kunderne. Virksomhederne blev bedt om at udfylde et spørgeske-
ma samt at indsende kopi af de indløsningsaftaler, som virksomheden har indgået med indlø-
serne af de respektive betalingskort, som virksomheden modtager.
Ifølge de indhentede oplysninger fra de i alt 20 virksomheder kunne styrelsen i fire tilfælde
konstatere, at den undersøgte virksomhed opkrævede for høje gebyrer i strid med reglerne i
betalingstjenesteloven.
Konkurrence- og Forbrugerstyrelsen sendte påbud til de pågældende fire virksomheder med
krav om at ophøre med deres ulovlige praksis. To virksomheder vendte efterfølgende retur
med meddelelse om, at de havde rettet ind efter styrelsens varsel.
Rejsearrangørbranchen
Undersøgelsen tog udgangspunkt i otte tilfældigt udvalgte rejsearrangører, fra hvilke der skul-
le indhentes oplysninger.
Oplysningerne angik både den gebyrsats, virksomhederne betaler til sin indløser samt den ge-
byrsats, de opkræver fra kunderne. Virksomhederne blev bedt om at udfylde et elektronisk
spørgeskema således, at de adspurgte let og overskueligt kunne afgive de nødvendige oplys-
ninger, herunder angivelse af korttyper, gebyrsatser samt indløsningsselskaber for de pågæl-
dende kort.
Ifølge de indhentede oplysninger fra de i alt otte virksomheder kunne styrelsen konstatere, at
virksomhederne som udgangspunkt overvælter gebyrer på kunderne i overensstemmelse
med reglerne herom i betalingstjenesteloven. Ifølge de indhentede oplysninger opkrævede in-
gen af de adspurgte virksomheder for høje gebyrer.
__________________
61
Ibid.
ERU, Alm.del - 2015-16 - Bilag 259: Rapport om Betalings-kortmarkedet 2016, fra erhvervs- og vækstministeren
1625260_0077.png
SIDE 77
BETALINGSKORTMARKEDET
Kosmetikbranchen
Styrelsen har gennemført en stikprøveundersøgelse af kosmetikbranchens praksis for op-
krævning af kortgebyrer i den ikke-fysiske handel.
Grundlæggende følger det af betalingstjenestelovens § 80, stk. 5, at butikker alene må over-
vælte betalingskortgebyr på kortbrugerne svarende til det gebyr, de selv betaler til deres ind-
løser, fx Nets/Teller.
Til brug for undersøgelsen blev 20 repræsentative internetbutikker udvalgt til første del af
undersøgelsen, som indebar et eftersyn af de respektive hjemmesiders handelsvilkår, herun-
der om de tydeligt skiltede med deres kortgebyrer og om disse overholdte gældende regler for
så vidt angår overvæltning af gebyrer på kunderne.
14 ud af de i alt 20 internetbutikker skiltede ikke tydeligt med deres kortgebyrer på hjemme-
siden, hvorfor disse blev udvalgt til anden del af undersøgelsen.
Styrelsen indhentede oplysninger fra de 14 internetbutikker. Disse blev bedt om at udfylde et
elektronisk spørgeskema, hvori der skulle angives de korttyper, som kunden kan betale med
på hjemmesiden, og gebyrsatser, samt at indsende kopi af de indløsningsaftaler, som virksom-
heden har indgået med indløserne af de respektive betalingskort, som virksomheden modta-
ger.
Det viste sig, at én ud af 14 internetbutikker handlede i strid med reglerne om overvæltning.
Det drejede sig konkret om for høje gebyrer på betaling med indenlandsk samt udenlandsk
udstedt MasterCard og udenlandsk udstedt Visa på forretningens hjemmeside.
Konkurrence- og Forbrugerstyrelsen sendte varsel om påbud til den pågældende internetbu-
tik med krav om at ophøre med at opkræve gebyrsatser, der er i strid med betalingstjeneste-
lovens § 80, stk. 5. Den pågældende internetbutik vendte retur med meddelelse om, at den
havde ændret sine gebyrsatser efter styrelsens varsel.
Legetøjsbranchen
I 2. kvartal af 2015 gennemførte styrelsen en stikprøveundersøgelse af legetøjsbranchens
praksis for opkrævning af kortgebyrer i den ikke-fysiske handel.
Til brug for undersøgelsen udvalgte Konkurrence- og Forbrugerstyrelsen 19 online legetøjs-
virksomheder fordelt over hele landet, fra hvilke der skulle indhentes oplysninger.
Virksomhederne blev bedt om at udfylde et elektronisk spøgeskema, herunder at angive de
korttyper, som kunden kan betale med på hjemmesiden, gebyrsatser samt indløsningsselska-
ber for de pågældende kort.
Det viste sig, at kun én ud af de 19 internetbutikker handlede i strid med reglerne om over-
væltning. Det drejede sig konkret om for høje gebyrer på betaling med udenlandsk udstedte
Visa og MasterCard på forretningens hjemmeside.
Konkurrence- og Forbrugerstyrelsen sendte varsel om påbud til den pågældende internetbu-
tik med krav om at ophøre med at opkræve gebyrsatser, der er i strid med betalingstjeneste-
lovens § 80, stk. 5. Den pågældende internetbutik vendte retur med meddelelse om, at denne
havde ændret sine gebyrsatser efter styrelsens varsel.
ERU, Alm.del - 2015-16 - Bilag 259: Rapport om Betalings-kortmarkedet 2016, fra erhvervs- og vækstministeren
1625260_0078.png
SIDE 78
KAPITEL 8 TILSYNET
Undersøgelse af rabat på indløsningsydelser i detailbranchen
Konkurrence- og Forbrugerstyrelsen blev i 2013 opmærksom på, at større aktører i detail-
branchen modtog rabat på indløsningsydelser, hvilket gav styrelsen anledning til at foretage
kontrol af, om denne rabat blev videreført til kunderne.
Betalingstjenestelovens § 80, stk. 5, forbyder betalingsmodtagere at opkræve et højere gebyr
af kunder, der betaler med kreditkort end det gebyr, forretningen selv betaler til sin indløser.
Virksomheder, der modtager rabat på indløsningsydelser, skal derfor ved overvæltning af ge-
byrer sikre, at der tages højde for alle rabatter, som Nets/Teller eller andre indløsere måtte
give den pågældende virksomhed.
Konkurrence- og Forbrugerstyrelsen valgte igen i tredje kvartal af 2015 at foretage kontrol af,
om virksomheder, der modtager rabat på indløsningsydelser, viderefører denne rabat til kun-
derne ved overvæltning.
Til brug for undersøgelsen indhentede styrelsen de relevante oplysninger fra Nets/Teller om,
hvilke aktører i dagligvarehandlen, der modtager rabat på indløsningsydelser. Blandt de 123,
der modtager en sådan rabat, opkrævede en stor del heraf slet ikke gebyrer hos deres kunder.
Styrelsen sendte varsel om påbud til otte virksomheder, hvis gebyrpolitik ikke fremgik tyde-
ligt af hjemmesiden. Syv virksomheder vendte retur med meddelelse om, at disse havde æn-
dret deres gebyrsatser efter styrelsens varsel, således at de er i overensstemmelse med beta-
lingstjenestelovens § 80, stk. 5. Den resterende virksomhed fik tilsendt et endeligt påbud med
krav om at ophøre med at opkræve betalingskortgebyrer, der overstiger det gebyr, virksom-
heden selv betaler til sin indløser, og samtidig, at der ved overvæltning af gebyrer tages højde
for alle rabatter, som Nets/Teller måtte yde virksomheden.
8.5
Revidering af omkostningsundersøgelsen
Forretningerne betaler et årligt abonnement til Nets for at modtage Dankort i den fysiske
handel. Fastsættelsen af, hvor meget forretningernes årlige abonnementsbetaling til Nets skal
udgøre, sker på basis af omkostningerne ved driften af dankortsystemet.
For at fastslå, hvor store omkostninger der er forbundet med driften af dankortsystemet, skal
der hvert andet år gennemføres en undersøgelse af disse omkostninger, jf. bekendtgørelsen
62
om beregning af det årlige abonnement. Konkurrence- og Forbrugerstyrelsen har ansvaret
for gennemførelsen af denne undersøgelse, jf. bekendtgørelsens § 12, stk. 2.
Resultatet af undersøgelsen danner herefter grundlaget for fastsættelsen af abonnementsbeta-
lingen i den fysiske handel de efterfølgende to år.
Styrelsen har revideret omkostningsundersøgelsen siden sidste gennemførte undersøgelse i
2013. Revideringen er bl.a. foretaget på baggrund af KPMG’s rapport fra 2013, hvor det blev
anbefalet at foretage en vurdering af, om der skulle ske ændringer i opgørelsesmetoden. Den
påtænkte revidering af omkostningsundersøgelsen blev varslet til Nets i marts 2014. Det blev
ligeledes tilkendegivet, at visse omkostningsposter på sigt kunne blive taget ud af omkost-
ningsundersøgelsen, som en følge af styrelsens revidering.
__________________
62
Bekendtgørelse nr. 1475 af 22. december 2009 samt ændringsbekendtgørelse nr. 851 af 26. juni 2013.
ERU, Alm.del - 2015-16 - Bilag 259: Rapport om Betalings-kortmarkedet 2016, fra erhvervs- og vækstministeren
1625260_0079.png
SIDE 79
BETALINGSKORTMARKEDET
Det fremgår af bekendtgørelsens § 3, at de omkostninger, der skal dækkes via abonnements-
ordningen, alene er omkostninger forbundet med
driften af et betalingssystem,
og at det kun er
omkostninger, der relaterer sig til den fysiske handel, jf. bekendtgørelsens § 2, stk. 2. I beta-
lingstjenestelovens § 6, nr. 3, defineres et betalingssystem som ”et system til overførsel af
midler med formelle og standardiserede rutiner og fælles regler for behandling, clearing eller
afvikling af betalingstransaktioner.”
På denne baggrund har styrelsen vurderet, at omkostninger, der ikke direkte relaterer sig til
driften af dankortsystemet
eller omkostninger, hvor der ikke synes at være en konstaterbar di-
rekte sammenhæng, ikke kan medregnes i omkostningsopgørelsen. Der er bl.a. tale om om-
kostninger til udsendelse af kontoudtog på papir og omkostninger til netbank.
For så vidt angår omkostninger til kontoudtog på papir, følger det af betalingstjenestelovens
§§ 53 og 54, at bankerne er forpligtet til at stille kontooplysninger til rådighed for kunden på
et varigt medium. Her sondrer styrelsen mellem elektroniske og fysiske kontoudtog (på pair).
Mens elektroniske kontoudtog består af omkostninger til lagring og dannelse af kontoudtog,
er fysiske kontoudtog væsentligt dyrere. Her indgår omkostninger til print, kuvertering, for-
sendelse og porto. Servicen for kontoudtog på papir betragtes som en tillægsydelse, der ikke
relaterer sig direkte til driften af dankortsystemet. Bankerne kan benytte elektroniske konto-
udtog, som er væsentligt billigere end fysiske kontoudtog og samtidig efterleve bestemmel-
serne i betalingstjenesteloven.
For så vidt angår omkostninger til netbank er det styrelsens vurdering, at disse ikke direkte
kan henføres til Dankortet, og bør således ikke medregnes omkostninger til driften af syste-
met. Dertil kommer, at det står pengeinstitutterne frit at opkræve et gebyr af kunderne for de
generelle services, som tilbydes (herunder netbank) til dækning af disse omkostninger, hvilket
nogle pengeinstitutter allerede gør brug af.
Til brug for undersøgelsen har styrelsen indhentet omkostninger fra Nets og ti banker, her-
iblandt Nordea og Danske Bank, som tilsammen vurderes at udgøre ca. 70 pct. af den samlede
brug af Dankortet. De ti bankers indberetning er efterfølgende blevet ekstrapoleret, således at
omkostningerne afspejler samtlige bankers omkostninger.
Konkurrence- og Forbrugerstyrelsen har med afgørelse af 11. januar 2016 truffet afgørelse i
undersøgelsen af omkostningerne ved driften af Dankortet i 2014. På baggrund af en samlet
vurdering har styrelsen fundet, at omkostningerne til driften af dankortsystemet udgjorde 489
mio. kr. i 2014, hvilket vil danne grundlag for den beregnede abonnementsbetaling i 2016 og
2017, jf. kapitel 7 om Dankortet.
Afgørelsen blev af Nets påklaget til Konkurrenceankenævnet. Klagen er efterfølgende trukket
tilbage.
8.6
MasterCards interbankgebyrer
I 2014 besluttede Konkurrence- og Forbrugerstyrelsen at undersøge, om MasterCards fastsæt-
telse af de såkaldte interbankgebyrer var i strid med konkurrenceloven.
Hver gang en forbruger betaler med et betalingskort i en forretning, udløser det et interbank-
gebyr. Forbrugerens bank opkræver gebyret hos den virksomhed, som håndterer forretnin-
gens kortbetalinger, dvs. indløser. Gebyret betales af butikken, som kan vælge at sende det vi-
dere til forbrugeren (overvæltning).
ERU, Alm.del - 2015-16 - Bilag 259: Rapport om Betalings-kortmarkedet 2016, fra erhvervs- og vækstministeren
1625260_0080.png
SIDE 80
KAPITEL 8 TILSYNET
På baggrund af styrelsens undersøgelse besluttede MasterCard at nedsætte sine interbankge-
byrer pr. 1. april 2015.
Samtidigt har EU vedtaget en forordning om interbankgebyrer , der i det fleste tilfælde sæn-
ker gebyrerne fra 0,7 til 0,3 pct. af transaktionsbeløbet. Forordningen fastsætter hermed et
loft for interbankgebyrer på 0,3 pct. på kreditkorttransaktioner. Det er hensigten at skabe lige
vilkår for alle aktører på kortmarkedet, dvs. udstedere, indløsere, kortselskaber og andre leve-
randører af kortydelser.
Forordningen trådte i kraft i december 2015. Styrelsen besluttede på denne baggrund at lukke
sagen.
8.7
MobilePay – betalingstjenestelovens § 78
Konkurrence- og Forbrugerstyrelsen blev i efteråret 2015, som led i dets tilsyn med gebyrreg-
lerne i betalingstjenesteloven, opmærksom på en bestemmelse i Danske Banks ’Betingelser for
MobilePay til virksomheder’, der gav anledning til betænkeligheder i forhold til betalingstje-
nestelovens § 78, stk. 2.
Det følger af betalingstjenestelovens § 78, stk. 2, at en udbyder ikke må hindre betalingsmod-
tager i at opkræve et gebyr hos betaler for brugen af det pågældende betalingsinstrument el-
ler tilbyde betaleren en rabat.
Ifølge den pågældende bestemmelse i Danske Banks ’Betingelser for MobilePay til virksomhe-
der’ måtte virksomheder ikke opkræve gebyr fra sine kunder for deres betalinger med Mobi-
lePay.
Styrelsen rettede på denne baggrund henvendelse til Danske Bank. Denne henvendelse med-
førte, at Danske Bank ændrede sine vilkår, så ovenstående forbud ikke længere fremgår af
Danske Banks ’Betingelser for MobilePay til virksomheder’.
Styrelsen udstedte i marts 2016 et endeligt påbud til Danske Bank om ikke at anvende et lig-
nende forbud i fremtiden.
8.8
Teller – betalingstjenestelovens § 78
I forbindelse med opfølgning på Nets’ tilsagn i konkurrencerådets afgørelse af 28. maj 2014
om indløsning af internationale betalingskort indhentede Konkurrence- og Forbrugerstyrel-
sen Teller A/S’ kontrakter med de 30 største kunder. Ved gennemgang af kontrakterne kon-
staterede styrelsen et vilkår i en kontrakt, som var i strid med betalingstjenestelovens § 78,
stk. 2, da vilkåret i den pågældende kontrakt forpligtede aftaleparten til ikke at overvælte ge-
byret for korttransaktionen på kortholderen.
63
Det følger af betalingstjenestelovens § 78, stk. 2, at en udbyder ikke må hindre betalingsmod-
tager i at opkræve et gebyr hos betaler for brugen af det pågældende betalingsinstrument el-
ler tilbyde betaleren en rabat.
__________________
63
Forordning nr. 2015/751 om interbankgebyrer for kortbaserede betalingstransaktioner
ERU, Alm.del - 2015-16 - Bilag 259: Rapport om Betalings-kortmarkedet 2016, fra erhvervs- og vækstministeren
1625260_0081.png
SIDE 81
BETALINGSKORTMARKEDET
Efterfølgende oplyste Teller A/S, at kontrakten var blevet erstattet af en ny kontrakt, som ikke
indeholdt et vilkår om forbud mod overvæltning. På baggrund heraf udstedte Konkurrence- og
Forbrugerstyrelsen i marts 2016 påbud til Teller A/S om ikke at genindføre vilkåret i kontrak-
ter om indløsning af internationale betalingskort samt inden 1. maj 2016 at sikre at lignende
vilkår med overtrædelser af betalingslovens § 78, stk. 2, ikke er indeholdt i andre gældende
kontrakter om indløsning af internationale betalingskort.
ERU, Alm.del - 2015-16 - Bilag 259: Rapport om Betalings-kortmarkedet 2016, fra erhvervs- og vækstministeren
1625260_0082.png
SIDE 82
KAPITEL 9 MOBIL- OG KONTAKTLØS BETALING
Kapitel 9
Mobil- og kontaktløs betaling
9.1
Indledning
Dankortet er fortsat det mest populære betalingsmiddel i Danmark , og både forbrugere og
forretninger har en fælles interesse i hurtige og billige betalingsløsninger. Nogle af de områder
som er i fokus inden for betalingssektoren i disse år er betaling med mobiltelefonen og kon-
taktløs betaling.
I 2013 udgav Betalingsrådet en rapport om nye betalingsløsninger. I rapporten blev det bl.a.
66
konkluderet, at mobiltelefoner vandt frem som betalingsinstrument . Bankernes mobilbeta-
lingsløsninger blev dog ikke behandlet nærmere i rapporten.
I dette kapitel søges der derfor kort redegjort for mobilbetalinger og kontaktløs betaling med
fokus på bankernes mobilbetalingsløsninger.
9.1.1
Mobil- og kontaktløs betaling
67
65
64
Noget som vinder stadig større indpas er kontaktløs betaling. Teknologien har den fordel, at
betaling sker hurtigt og som udgangspunkt uden brug af pin. Kontaktløs betaling er når et be-
talingsinstrument føres forbi en aflæser, som registrerer betalingen uden brug af en pinkode.
Et eksempel på kontaktløs betalingsløsning i Danmark er det stadigt stigende antal kontaktlø-
se kort, som bliver udstedt af bankerne. De kontaktløse kort kan fx indeholde en NFC-chip,
(Near Field Communication). Når NFC-chippen kommer tæt på en terminal som kan aflæse
NFC-chippen overføres små mængder af data mellem enhederne og betalingen kan gennemfø-
res.
Nyere smartphones og bærbare anordninger som fx smartwatches og sportsarmbånd kan – li-
gesom de kontaktløse betalingskort - have en NFC-chip indbygget. De kan derfor også anven-
des til kontaktløs betaling, hvis der til enheden er registreret et betalingskort. Denne teknologi
er endnu ikke udbredt i Danmark.
Kontaktløs betaling har indtil videre en beløbsgrænse på kr. 200 uden at pinkoden skal bru-
ges. Uanset beløbsgrænsen skal pinkode dog typisk anvendes med bestemte intervaller for, at
sikre mod uautoriseret brug.
__________________
64
65
Jf. kapitel 6 i nærværende rapport.
Nationalbanken etablerede Betalingsrådet og er samtidig formand for rådet. Foruden Nationalbanken består rådet af Dansk
Erhverv, DI, Erhvervs- og Vækstministeriet, Finansrådet, Forbrugerrådet, Håndværksrådet og Nets.
66
67
Betalingsrådets rapport om nye betalingsløsninger, november 2013, side 6.
Forbrugerombudsmandens kontor har ydet et væsentligt bidrag til beskrivelsen af nye betalingsløsninger.
ERU, Alm.del - 2015-16 - Bilag 259: Rapport om Betalings-kortmarkedet 2016, fra erhvervs- og vækstministeren
1625260_0083.png
SIDE 83
BETALINGSKORTMARKEDET
Flere nye betalingsløsninger – herunder kontaktløse - er tilknyttet på mobiltelefoner. Typisk
er der tale om betalingsløsninger, som forudsætter aktiveringen af en app for at fungere. Mo-
bilepay og Swipp er bankernes bud på sådanne betalingsløsninger, som oplever stadigt større
udbredelse. I den forbindelse oplyser MobilePay, at deres app er installeret på 2 ud af 3
68
smartphones i Danmark . Swipp oplyser, at de har over 800.000 brugere, og at mere end
14.000 butikker tager imod Swipp
69
MobilePay
MobilePay er en app-løsning, som kan benyttes af alle, uanset hvilken bank brugeren har. Brug
af app’en forudsætter blot en dansk bankkonto og enten et Dankort, Visa/Dankort, Master-
Card, Visa eller Visa Electron. Over 2 mio. danskere har downloadet MobilePay-app’en.
Når man downloader app’en MobilePay, skal man første gang indtaste navn, cpr-nr., telefon-
nummer, e-mailadresse og sine betalingskort-oplysninger. Kortoplysningerne lagres alene hos
DIBS Payment Services, ikke på telefonen eller hos Danske Bank. Man opretter samtidig en
selvvalgt fire-cifret kode, som man herefter skal anvende, når man ønsker at benytte app’en.
Koden skal være forskellig fra betalingskortets pin-kode, og det anbefales at man ikke anven-
der en kode med ens eller fortløbende tal, eller samme kode som den, der benyttes til at låse
telefonen/ tablet’en op med.
Løsningen kan anvendes til både køb i fysiske butikker og ved køb på internettet. Ved et køb i
en fysisk butik skal man ved kassen logge ind i sin MobilePay og holde den mod MobilePay-
logoet ved kasseapparatet. Når alle varerne er kørt igennem, godkender man betalingen med
et swipe på sin skærm. Det eneste, der kræves af mobilen er, at man aktiverer Bluetooth på sin
iPhone eller NFC på sin Windows- eller Android-telefon.
Ved køb med MobilePay i en netbutik taster brugeren sit telefonnummer, åbner MobilePay-
appen på telefonen og godkender betalingen. Anvendelse af løsningen på internettet forudsæt-
ter, at netbutikken tilbyder betaling med MobilePay og accepterer betaling med den korttype,
man har tilknyttet sin MobilePay. Selve betalingen sker som en almindelig betalingskorttrans-
aktion. Derfor står Danske Bank ikke for gennemførelsen af betalingstransaktionen.
Derudover kan MobilePay benyttes til at overføre penge mellem personer. Brugeren overfører
penge ved at indtaste modtagerens telefonnummer, man skal altså ikke kende modtagerens
kontonummer.
Man har også mulighed for at anmode om en overførsel af beløb under funktionen - ”anmod”.
Her indtastes det beløb anmodningen angår samt modtagerens telefonnummer.
Det er p.t. gratis for brugeren at benytte MobilePay til overførsler til andre MobilePay brugere.
Danske Bank opkræver et gebyr hos erhvervsdrivende betalingsmodtagere, og de kan opkræ-
ve gebyr hos brugeren i henhold til betalingstjenestelovens bestemmelser, jf. nærmere herom
i kapitel 5.4.
__________________
Artikel på MobilePay’s hjemmeside dateret den 8. oktober 2015:” Rekordstort antal overførsler med MobilePay i september”
(http://www.mobilepay.dk/da-dk/Nyheder/artikler/Pages/Rekordstort-antal-overf%C3%B8rsler-med-MobilePay-i-
september.aspx).
69
68
Swipp’s hjemmeside: www.swipp.dk
ERU, Alm.del - 2015-16 - Bilag 259: Rapport om Betalings-kortmarkedet 2016, fra erhvervs- og vækstministeren
1625260_0084.png
SIDE 84
KAPITEL 9 MOBIL- OG KONTAKTLØS BETALING
Swipp
Swipp er mobilbetaling, hvor beløbet overføres direkte mellem betalerens og modtagerens
bankkonti. Swipp er således baseret på kontooverførsler (konto-til-konto-overførsler).
Swipp udbydes af stort set alle danske pengeinstitutter (over 80 pengeinstitutter i alt), bortset
fra Danske Bank og nogle få, mindre pengeinstitutter.
Man får adgang til Swipp ved at gå ind i sin mobil-bank/netbank og tilmelde sig Swipp med
NemID. Selvom ens pengeinstitut ikke tilbyder Swipp, kan man tilmelde sig som modtager af
pengeoverførsler med Swipp. Det er indtil videre gratis at benytte Swipp.
Når man registrerer sine modtageroplysninger på Swipp skal man vælge et kaldenavn, som
man kan identificeres ved. Navnet gives videre til afsendere af Swipp-overførsler. Man skal
desuden vælge en personlig Swipp-kode, som bruges, når man skal modtage et beløb fra en
anden. Man kan kun tilknytte sit mobilnummer til én bestemt konto, som dog kan ændres.
Man sender pengene fra app’en på sin smartphone til modtagers mobilnummer, og der er så-
ledes ikke behov for at kende modtagers kontonummer. Det er muligt at skrive en kort besked
til modtager. Når man har godkendt en overførsel, bliver der sendt en bekræftelses-sms fra
pengeinstituttet til modtager om overførslen. Kaldenavn, mobiltelefonnummer (også hvis det
er et hemmeligt nummer) og beløb vil fremgår af sms’en. Desuden kan modtager se navn og
adresse på den, der overfører beløbet, i sine posteringsdetaljer/sit kontoudtog. Overførslen
sker uden brug af NemID. Der er ingen øvre grænse for, hvor meget man kan modtage. Man
kan ikke tilbagekalde en Swipp-overførsel, som man har godkendt.
9.2
Wallet
En ”Wallet” er en digital tegnebog, som kan opbevare digitale udgaver af betalingskort, og
hvorfra kortene kan anvendes. Apple, Google og Samsung har allerede markedsført walletløs-
ninger i USA. I Danmark har walletløsninger haft begrænset udbredelse i form af fx MEEwallet.
MEEwallet blev lanceret i oktober 2014 og gør det muligt at godkende en betaling med en app,
som man har downloadet til sin smartphone.
Man bruger app’en til at godkende køb hos fysiske butikker og webbutikker, der annoncerer
med MEE. Ved køb i butikker kommunikerer telefonen via Bluetooth med en særlig MEE-
terminal, som kommunikerer med kasseapparatet i butikken.
MEEwallet understøtter forskellige betalingskort og kan knyttes til andre mobilbetalingsløs-
ninger som MobilePay og Swipp. Løsningen er dog endnu ikke særligt udbredt.
Nets har bekendtgjort, at de i efteråret 2016 planlægger, at lancere en wallet-løsning på det
danske marked. Teknisk vil løsningen blive baseret på NFC-teknologien.