Energi-, Forsynings- og Klimaudvalget 2015-16
EFK Alm.del Bilag 11
Offentligt
1554436_0001.png
Statskassepåvirkning ved
omstilling til store
varmepumper i fjernvarmen
FJERNVARMENS TÆNKETANK
EFK, Alm.del - 2015-16 - Bilag 11: Henvendelse af 8/10-15 fra Dansk Fjernvarme om varmepumper i fjernvarmen og statsprovenubetragtninger
1554436_0002.png
Dato:
15. september 2015
Udarbejdet af:
Nina Detlefsen
Kontrolleret af:
Kasper Nagel og Jesper Koch
Beskrivelse:
Notatet indeholder en opgørelse af statskasse provenuet ved omstilling
fra naturgas til hhv. varmepumper og biomassekedler.
Kontakt:
www.gronenergi.org
2
EFK, Alm.del - 2015-16 - Bilag 11: Henvendelse af 8/10-15 fra Dansk Fjernvarme om varmepumper i fjernvarmen og statsprovenubetragtninger
1554436_0003.png
Introduktion
Der er et politisk bredt ønske om at bruge mere grøn elektricitet. Fjernvarme er
et oplagt sted at integrere billig strøm, oftest vindmøllestrøm, da der er mulighed
for lagring og dermed gøre energisystemet mere fleksibelt, spare fossile brændsler
og reducere CO
2
udslippet. Fjernvarmeforsyningen har et stort potentiale for at
kunne anvende grøn el omkostningseffektivt.
Fjernvarmeselskaberne vil gerne etablere store eldrevne varmepumper i fjernvar-
meforsyningen i byer og landdistrikter til erstatning for den nuværende varmefor-
syning baseret på primært naturgas. Desværre er økonomien i varmepumperne
for dyr. Løsninger med biomasse (flis, halm og træpiller) er typisk billigere for
værkerne. Derfor er der et stort pres fra fjernvarmeværkerne uden for de store
byer for at skifte til afgiftsfritaget biomasse og ikke til store eldrevne varmepum-
per. Biomasse er typisk den selskabsøkonomisk billigste løsning, men ikke den
samfundsøkonomisk billigste løsning. Forklaringen er, at biomasse er fritaget fra
afgifter, mens der er høje afgifter på naturgas og elektricitet.
Derfor er der behov for at ændre de økonomiske rammer, så selskabsøkonomi og
samfundsøkonomi trækker i samme retning.
Denne analyse indeholder en opgørelse af afgiftsbetalingen til statskassen ved
varmeproduktion med teknologierne biomasse, varmepumper og naturgas. Opgø-
relsen viser, at der fra et statskasse synspunkt vil være incitament til at fremme
omstilling til varmepumper i fjernvarmen frem for biomasse uden for de store
byer.
3
EFK, Alm.del - 2015-16 - Bilag 11: Henvendelse af 8/10-15 fra Dansk Fjernvarme om varmepumper i fjernvarmen og statsprovenubetragtninger
1554436_0004.png
Baggrund
Det haster med at få sat gang i udbygningen med varmepumper i fjernvarmen.
Det skyldes – ud over det politiske ønske om grøn omstilling - at varmekunderne
tilsluttet decentrale kraftvarmeværker vil få væsentligt forøgede varmepriser, når
deres grundbeløb bortfalder med udgangen af 2018. Grundbeløbet er finansieret
af PSO-puljen (finansieret via elforbruget i Danmark) og andrager over 1 mia.
kr. årligt. Når det bortfalder, vil varmeprisen i gennemsnit stige med ca. 4.300
kr./år, for et standardhus uden for de store byer.
Fjernvarmeselskaberne har ikke lov til at installere biomassekedler ifølge den
nuværende projektbekendtgørelse. I 2018 udløber den tidsbegrænsede aftale
omkring grundbeløb. Dansk Fjernvarme forventer at bindingen kommer under
pres i denne forbindelse og at det ikke vil være utænkeligt at bindingen ophæves.
Hvis fjernvarmeværkerne får lov til at installere biomassekedler, ville mange
selskaber konvertere til biomasse, som er det driftsøkonomiske billigste valg og den
mest ukomplicerede teknologi under nuværende rammevilkår. Efter grundbeløbets
ophør vil naturgas således ikke være realistisk som brændsel i fjernvarmen ret
mange steder (for dyrt) hvorfor det bliver svært, politisk, fortsat at tvinge disse
værker til at aftage naturgas.
Varme produceret med varmepumper har typisk en væsentlig højere varmepris
end varme produceret på biomassekedler. Samtidig er planlægningshorisonten for
et varmepumpeprojekt også typisk længere end for et biomasseprojekt. Endelig
er det ikke uproblematisk at finde en varmekilde til varmepumpen, hvilket alt
sammen er medvirkende til at øge risikoen ved projektet.
Etablering af varmepumper i fjernvarmen har allerede med finansloven i 2015 fået
en saltvandsindsprøjtning, idet der er afsat 55 mio. kr. over to år til at støtte
projekter. Men dette er slet ikke nok til for alvor at få gang i investeringer i
varmepumper. Det er nødvendig at få gang i denne konvertering væk fra naturgas,
således at forbrugerne ikke kommer til at opleve de voldsomme prisstigninger, de
ellers vil imødese ved grundbeløbets bortfald. Et starttilskud vil over få år være
en økonomisk gevinst for Staten, da tilskuddet tjener sig ind via energiafgifter
samtidig med, at varmeforbrugerne får lavere priser.
Den langsigtede løsning er, at Folketinget vedtager en modernisering af skatter,
afgifter og tariffer på energiområdet, herunder fremtiden for PSO-tariffen. Det
må dog forventes, at en samlet løsning på disse afgiftsudfordringer kan trække
ud, eftersom arbejdsgruppen for analyse af energiafgifterne ikke har leveret deres
rapport endnu.
Midlerne til støtte kan findes ved en mindre omlægning af støttemulighederne
for de allerede afsatte midler i VE til proces-puljen, som blev etableret med
energiaftalen i 2012. Støtten kan gives gennem Energistyrelsens særlige ordning
for støtte til demonstration af store varmepumper, som allerede er etableret.
4
EFK, Alm.del - 2015-16 - Bilag 11: Henvendelse af 8/10-15 fra Dansk Fjernvarme om varmepumper i fjernvarmen og statsprovenubetragtninger
1554436_0005.png
Analyse
Energistyrelsen har udarbejdet en vurdering af hvor mange store eldrevne varme-
pumper, der bør være idriftssat i fjernvarmen i 2020. Med dette udgangspunkt
gennemføres i dette notat en analyse af provenuforhold for staten. Energistyrelsens
bud på potentialet for store varmepumper svarer til en kapacitet på 100 MW-el.
Disse varmpumper vil
med en COP på 3,5
og med 6000 årlige
driftstimer producere
2,1 mio. MWh-varme.
Dette svarer til det år-
lige varmeforbrug i ca.
120.000 standardhuse.
Forudsætninger
Naturgaskedel virkningsgrad
Energiafgift af gas til naturgaskedel
NO
x
afgift for naturgaskedel
CO
2
afgift for naturgaskedel
NO
x
afgift for biomassekedel (flis)
Varmepumpe driftstimer
Varmepumpe COP
Energiafgift af el til varmepumpe
PSO-afgift/tarif
100%
45,4 kr/GJ-varme
0,042 kr/Nm
3
13,5kr/GJ-varme
2,4 kr/GJ-varme
6000 timer
3,5
380 kr/MWh-el
214 kr/MWh-el
Vi antager i denne ana-
lyse en lineær indfas-
ning af varmepumper
fra 5MW-el installeret
Tabel 1:
Afgifter og virkningsgrader anvendt i opgørelsen.
i 2015 til 100 MW-el
installeret i 2020, dvs.
at der hvert år instal-
leres 19 MW-el varmepumper.
I det følgende vil statsprovenuet blive beregnet ved produktion af de 2,1 mio.
MWh-varme med forskellige teknologier. Forudsætninger er angivet i tabel 1.
Provenu ved naturgasbaseret produktion
Hvis de 2,1 mio. MWh-varme var produceret på naturgaskedler med en effektivitet
på 100%, vil det indbringe 450 mio. kr. i afgiftsprovenu til staten om året.
Det antages, at disse kedler ikke er kvotebelagte og derved ikke har omkostnin-
ger/indtægter fra CO2 kvoter. Dette provenu vil staten have så længe værkerne
er pålagt at bruge naturgas. Ved grundbeløbets bortfald antages det at værkerne
ikke længere er bundet til naturgas hvorefter de vil investere i ny teknologi.
Provenu ved varmeproduktion på en
biomassekedel (flis)
Hvis de 2,1 mio. MWh-varme var produceret på en biomassekedel fyret med flis,
ville der have været en afgiftsbetaling på 17 mio. kr. om året.
5
EFK, Alm.del - 2015-16 - Bilag 11: Henvendelse af 8/10-15 fra Dansk Fjernvarme om varmepumper i fjernvarmen og statsprovenubetragtninger
1554436_0006.png
Provenu ved varmeproduktion på en
varmepumpe med nuværende afgifter
En varmepumpe betaler både elafgift og PSO-afgift/tarif, indtil videre. Ener-
giafgiften og PSO-afgiften vil indbringe staten 356 mio. kr. i afgifter, hvis der
produceres 2,1 mio. MWh-varme med de givne afgifter. Udfordringen er at under
de nuværende afgifter og tariffer er det ikke driftsøkonomisk rentabelt at investere
i varmepumper.
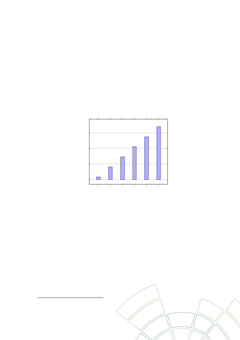
I figur 1 er provenuet til statskassen vist for hvert år ved en lineær indfasning af
de forventede 100 MW-el varmepumper over de næste 6 år.
Provenu fra VP
nuværende afgifter
300
mio. kr.
200
100
0
2015 2016 2017 2018 2019 2020
Figur 1:
Provenu hvert år fra 2015 til 2020 ved produktion af varme ved hjælp af el i
varmepumper med de nuværende afgiftsregler.
Samlet provenu over de 6 år fra varmepumperne vil være 1,1 mia. kr.
Provenu ved varmeproduktion på en
varmepumpe med Grøn Energi’s forslag til
afgifter
Grøn Energi foreslår at der ikke betales PSO-afgift af den el som en stor varme-
pumpe forbruger. Desuden skal nettariffen reduceres og den store investering skal
lempeliggøres ved at lade første års varmeproduktion tælle som en energibespa-
relse. Driftsøkonomien er beskrevet i Grøn Energi’s analyse "Analyse af tariffer
og afgifter for store eldrevne varmepumper"
1
. Implementeres dette forslag, vil de
http://www.danskfjernvarme.dk/groen-energi/analyser/analyse-af-tariffer-og-afgifter-for-
store-eldrevne-varmepumper
1
6
EFK, Alm.del - 2015-16 - Bilag 11: Henvendelse af 8/10-15 fra Dansk Fjernvarme om varmepumper i fjernvarmen og statsprovenubetragtninger
1554436_0007.png
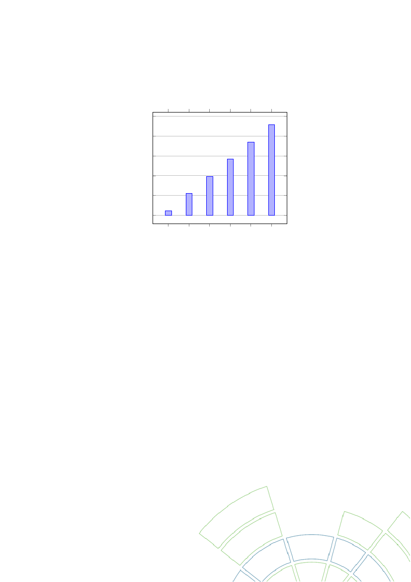
2,1 mio. MWh-varme indbringe 228 mio. kr. i afgifter, når de er fuldt indfaset. I
figur 2 er det årlige provenu vist.
Provenu fra VP
Grøn Energi’s forslag
250
200
mio. kr.
150
100
50
0
2015 2016 2017 2018 2019 2020
Figur 2:
Provenu hvert år fra 2015 til 2020 ved produktion af varme ved hjælp af el i
varmepumper med Grøn Energi’s forslag. Gradvis indfasning af varmepumper.
Samlet provenu over de 6 år fra varmepumperne med Grøn Energi’s forslag til
PSO lettelse vil give et provenu på 700 mio. kr., altså 400 mio. kr. mindre end
ved de gældende afgifter.
Konsekvens for statskassen
Fjernvarmeværkerne ønsker at fremtidssikre deres produktionsanlæg således, at
de også efter 2018 kan levere varme til forbrugerne til konkurrencedygtige priser.
Hvis fjernvarmeværkerne ikke finder det attraktivt at omstille til varmepumper,
finder værkerne andre løsninger. I denne analyse antager vi at de 2,1 mio MWh
varme der i denne analyse er regnet på, vil blive produceret vha. naturgas til og
med 2018 hvorefter en biomassekedel vil stå klar til at overtage produktionen.
Antagelsen er her, at det ved grundbeløbets udløb i 2018 er muligt for værkerne
at installere en biomassekedel.
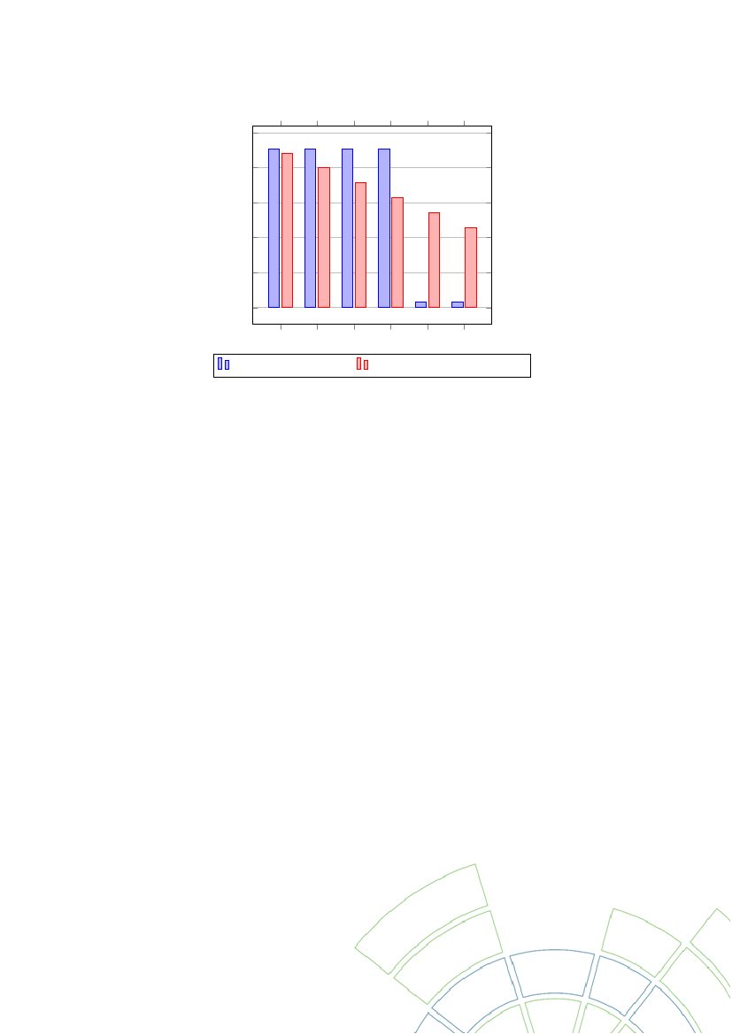
Provenuet til statskassen er for de to omstillinger vist i figur 3.
Hvis man akkumulerer provenuet for årrækken ved produktion af varme vha.
naturgas og derefter biomasse vil det indbringe totalt 1,85 mia. kr i perioden
2015-2020. Ved gradvis omstilling til varmepumper vil provenuet akkumuleret
blive 2 mia. kr i samme periode. Hertil kommer, at staten i tillæg vil have et bidrag
fra salg af kvoter til den øgede elproduktion i de timer, hvor varmepumperne
anvender kvotebelagt elproduktion. Denne effekt er ikke medregnet i regnestykket.
7
EFK, Alm.del - 2015-16 - Bilag 11: Henvendelse af 8/10-15 fra Dansk Fjernvarme om varmepumper i fjernvarmen og statsprovenubetragtninger
1554436_0008.png
Provenu ved forskellige omstillinger
500
400
mio. kr.
300
200
100
0
2015 2016 2017 2018 2019 2020
Naturgas/Biomasse
Naturgas/Varmepumper
Figur 3:
Provenu hvert år fra 2015 til 2020 ved produktion af 2,1 mio MWh varme ved hjælp
af naturgas og hhv. biomasse og varmepumper.
Der er altså økonomisk råderum for staten til at sikre, at det for alvor kan få
investeringer i varmepumper i fjernvarmen i gang.
8