Børne- og Undervisningsudvalget 2015-16
BUU Alm.del Bilag 172
Offentligt
1623226_0001.png
Til
Rådet for Ungdomsuddannelser (RUU)
Dokumenttype
Rapport
Dato
Marts 2016
ANALYSE
ERHVERVSGRUND-
UDDANNELSEN (EGU)
BUU, Alm.del - 2015-16 - Bilag 172: Orientering om analyse af erhvervsgrunduddannelsen (egu), fra Rådet for Ungdomsuddannelser
INDHOLD
1.
1.1
1.2
1.3
1.4
2.
3.
3.1
3.2
3.3
3.3.1
3.3.2
3.3.3
3.4
4.
4.1
4.2
4.3
4.4
5.
5.1
5.2
5.3
5.4
6.
6.1
6.2
6.3
Indledning
Baggrund
Formål
Metode og datagrundlag
Læsevejledning
Hovedkonklusioner
Beskrivelse af udviklingen i egu
Tilgang og bestand
Organisering af ansvaret for egu
Målgruppebeskrivelse af elever på egu
Karakteristik af elever, der påbegynder egu
Gennemførsel og frafald af egu
Frafaldsfrekvens og frafaldsårsager
Delkonklusion
Kortlægning af praksis og barrierer i forbindelse med egu
Kommunernes organisering af og tilgang til egu
Egu-vejledningen
Barrierer og muligheder for egu
Delkonklusion
Effektanalyse af egu
Overgang til videre uddannelse, job eller offentlig forsørgelse
Uddannelser og brancher, som egu-eleverne fortsætter i
Oplevede effekter af egu
Delkonklusion
Sammenhængsanalyse
Betydning af gennemførelsesgrad
Betydning for videre beskæftigelse og uddannelse
Delkonklusion
1
1
2
3
5
6
8
8
9
11
11
13
18
19
20
20
21
23
26
27
28
29
32
33
35
36
37
39
BILAG
Bilag 1: Metode
Analyse af erhvervsgrunduddannelsen
BUU, Alm.del - 2015-16 - Bilag 172: Orientering om analyse af erhvervsgrunduddannelsen (egu), fra Rådet for Ungdomsuddannelser
1623226_0003.png
1
1.
INDLEDNING
Rambøll Management Consulting (herefter Rambøll) præsenterer i nærværende rapport resulta-
terne af en analyse af erhvervsgrunduddannelsen. Rapporten er udarbejdet på opdrag Rådet for
Ungdomsuddannelser (RUU) via Ministeriet for Børn, Undervisning og Ligestilling (herefter MBUL)
i perioden november 2015 til marts 2016.
1.1
Baggrund
Erhvervsgrunduddannelsen (herefter egu) har i ca. 20 år været et tilbud til unge med et ønske
om at gennemføre en praktisk baseret uddannelse med vægt på praktik i virksomheder og min-
dre grad af teori i form af skoleundervisning
1
. Uddannelsen er målrettet unge under 30 år, der ik-
ke er under uddannelse eller i beskæftigelse, og som ikke umiddelbart har forudsætninger for at
gennemføre en anden kompetencegivende ungdomsuddannelse. Uddannelsen varer typisk to år,
og de unge kan påbegynde egu efter afsluttet folkeskole eller tilsvarende.
Formålet med egu er (jf. bekendtgørelsen af lov om erhvervsgrunduddannelse mv.), at ”den
un-
ge opnår personlige, sociale og faglige kvalifikationer, som dels giver umiddelbar adgang til at
fortsætte i en erhvervskompetencegivende uddannelse, dels giver grundlag for beskæftigelse på
arbejdsmarkedet”.
Målet er således, at de unge efter endt egu opnår beskæftigelse eller påbegyn-
der en kompetencegivende uddannelse, typisk en erhvervsuddannelse. Desuden betragtes et egu-
forløb, der afbrydes med det formål at påbegynde anden kompetencegivende uddannelse, som et
positivt afbrud.
Boks 1-1: Kort oversigt over, hvordan egu adskiller sig fra de øvrige ungdomsuddannelser
Egu adskiller sig fra de ordinære ungdomsuddannelser ved, at
målgruppen
for uddannelsen er elever, der
ikke
umiddelbart har forudsætningerne for en ordinær ungdomsuddannelse, og er dermed et tilbud til de
unge, der ikke kan komme ind på en ordinær ungdomsuddannelse. Efter EUD-reformen i 2014, hvor der blev
indført et adgangskrav på 02 i henholdsvis dansk og matematik, har en større gruppe elever ikke haft forud-
sætningerne for at påbegynde en ordinær ungdomsuddannelse. Der er derfor kommet flere elever i mål-
gruppen for egu.
Udover, at målgruppen for egu adskiller sig fra målgruppen for de ordinære ungdomsuddannelser, er det
særligt for egu, at den er
kommunalt forankret
og
individuelt tilrettelagt,
hvilket dels betyder, at kom-
munerne kan skræddersy uddannelsen til den enkelte unge og sammensætte skole- og praktikforløb under
hensyntagen til den unges behov og forudsætninger, og dels at uddannelsen organiseres og drives meget
forskelligt lokalt i kommunerne. Eleverne søger ikke ind på uddannelsen via en institution, men visiteres til
uddannelsen af kommunen.
Sidst men ikke mindst adskiller uddannelsen sig i forhold til
finansieringen.
Finansieringen af uddannelsen
er ikke udelukkende statslig, men også kommunal og eleverne modtager ikke SU under uddannelsen. Ud-
over finansieringen af uddannelsen adskiller lønsatserne for egu-eleverne under praktik sig fra andre uddan-
nelser med praktik, idet
lønsatsen for egu-eleverne
i flere brancher er højere end eller på samme niveau
som lønsatserne for elever på erhvervsuddannelserne, selvom eleverne har ringere faglige (og nogle gange
også sociale) forudsætninger for at være i praktik.
Problematikken relateret til ”restgruppen” – dvs. unge, der af forskellige årsager har svært ved at
gennemføre en ungdomsuddannelse – er velkendt og dokumenteret i forskellige sammenhænge
2
.
De mange initiativer målrettet restgruppen viser kompleksiteten i udfordringerne med at få de
unge i beskæftigelse eller uddannelse, hvorfor det historisk har været vanskeligt at designe
enk-
le, standardiserede løsninger,
der over en bred kam har kunnet fungere som løsninger.
1
2
Bekendtgørelse om oprettelse af erhvervsgrunduddannelser, 1995.
Se fx ph.d.-afhandling fra Mette Pless:
Udsatte unge på vej i uddannelsessystemet,
DPU, Aarhus Universitet (2009) samt analy-
se fra Arbejdsbevægelsens Erhvervsråd:
Størstedelen af unge uden uddannelse har en svag hjemmebaggrund,
2013,
http://www.ae.dk/files/dokumenter/analyse/ae_storstedelen-af-unge-uden-uddannelse-har-en-svag-hjemmebaggrund.pdf.
Analyse af erhvervsgrunduddannelsen
BUU, Alm.del - 2015-16 - Bilag 172: Orientering om analyse af erhvervsgrunduddannelsen (egu), fra Rådet for Ungdomsuddannelser
1623226_0004.png
2
Egu har i en årrække været en mulighed for de unge, der ikke har forudsætninger for at gå i
gang med en ordinær ungdomsuddannelse. Figuren nedenfor viser de seneste 10 års udvikling i
bestanden af elever på egu (forstået som antal elever, der er i gang med egu i det pågældende
år).
Figur 1-1: Udvikling i bestanden på egu
2.500
2.400
2.300
2.200
2.100
2.000
1.900
1.800
1.700
1.600
1.500
1.400
1.300
1.200
1.100
1.000
900
800
700
600
817
868
2.441
2.488
2.380
2.126
1.791
Antal elever
1.408
1.048
733
766
539
500
400
300
2003
2004
2005
2006
2007
2008
2009
2010
2011
2012
2013
2014
Kilde: Rambøll-analyse på baggrund af data fra STIL.
Figuren viser, at bestanden har været støt stigende fra 2004 og frem til 2012, hvor der blandt
andet blev gennemført et stort projekt; ”Sæt skub i egu!”. Fra 2007-2012 fik kommunerne desu-
den pligt til at tilbyde egu til unge i målgruppen, og der skete samtidig en finansieringsomlæg-
ning. Formålet med omlægningen var at øge aktiviteten på egu ved at styrke kommunernes øko-
nomiske incitamenter til at igangsætte egu-forløb. Endelig blev der for egu-uddannelsesaftaler
indgået fra og med 1. juni 2009 indført en løntilskudsordning på 30 kr. pr. time i et nærmere be-
stemt tidsrum. Ordningen blev flere gange ændret, for til sidst helt at ophøre med udgangen af
2013. Således er antallet af elever knapt tredoblet i denne periode. Herefter er bestanden stag-
neret, hvorfor det er nærliggende at spørge, om ’loftet’ for elever er nået? Eller om der er et
yderligere potentiale, der kan indfries ved at styrke efterspørgslen efter og/eller udbuddet af ud-
dannelsen?
Med afsæt i udviklingen i egu og de tilhørende spørgsmål, udviklingen rejser, samt en rapport fra
SFI
3
, har RUU besluttet at gennemføre en analyse af egu for at se nærmere på, hvordan egu i
endnu højere grad kan være et egnet tilbud til de unge, der ønsker en fleksibel og praktisk orien-
teret uddannelse efter folkeskolen. Det er på deres opdrag, at Rambøll gennemfører nærværende
analyse.
1.2
Formål
Analysen af egu skal udover opdraget fra RUU ses som led i, at regeringen ønsker at se på nær-
mere på ungdomsuddannelsernes indbyrdes sammenhæng (jf. regeringsgrundlaget
4
). Denne
analyse skal derfor spille ind med viden om egu, som kan anvendes til at se på den bredere
sammenhæng i ungdomsuddannelserne.
3
4
SFI:
Forberedende tilbud og overgang til ungdomsuddannelse,
2015.
Regeringsgrundlag 2015. Sammen for fremtiden.
Analyse af erhvervsgrunduddannelsen
BUU, Alm.del - 2015-16 - Bilag 172: Orientering om analyse af erhvervsgrunduddannelsen (egu), fra Rådet for Ungdomsuddannelser
1623226_0005.png
3
Analysen har særligt til formål at stille skarpt på, hvorfor udbredelsen af egu er så forholdsvis be-
skeden set i lyset af den forholdsvis store målgruppe, samt hvilke barrierer og muligheder der er
for anvendelsen af egu.
Analysen skal derfor i forlængelse af ovenstående:
Etablere et samlet overblik over udbredelsen af egu på landsplan, herunder afdække lo-
kale forskelle
Kortlægge de organisatoriske modeller, som er valgt for egu rundt om i landets kommu-
ner
Analysere henholdsvis muligheder og barrierer i forhold til at bruge egu som et virkemid-
del til at løfte unge, der er længst fra uddannelse og arbejdsmarked
Give viden om effekten af egu, herunder hvad der har betydning for effekten.
Der er tidligere gennemført flere analyser af egu. En analyse fra 2009 havde fokus på at afdække
forskellige organisationsmodeller for brug af egu, herunder barrierer for udbredelsen af egu. Ana-
lysen var overvejende kvalitativ
5
. En analyse fra 2012 indeholdt i højere grad kvantitative data
om tilgang, bestand, frafald samt uddannelses- og beskæftigelseseffekter af egu.
6
Begge analyser
pegede på barrierer ved brug af egu, men også på at der er faktorer, der er fremmende for, at
egu kan blive en succes. Det gælder fx uddannelsens fleksibilitet, tilknytningen til arbejdsmarke-
det via praktik, den målrettede vejledning mv.
I nærværende analyse gennemføres en
opdateret
og
samlet
analyse af egu, hvor Rambøll ind-
drager erfaringer fra tidligere rapporter og supplerer med nye data og viden om egu.
1.3
Metode og datagrundlag
Analysen af egu er en kombination af metoderne;
kortlægning
og
effektanalyse.
Kortlægnin-
gen består af en totalafdækning af, hvordan egu er tilrettelagt og organiseret i kommunerne,
samt hvordan udvalgte kommuner arbejder med egu i praksis. Effektanalysen består dels af be-
skrivende statistik over udviklingen i egu over tid, og dels af sammenhængsanalyser af, hvilke
faktorer der har betydning for effekten af egu, forstået som kommunernes evne til at få de unge
videre i uddannelse eller beskæftigelse efter endt – eller afbrudt – egu. Effektanalysen gennem-
føres for årgangene 2010, 2011 eller 2012 med henblik på at kunne se effekterne op til to år ef-
ter, de har afsluttet egu. Kortlægningen har bidraget med viden om kommunernes organisering
af egu til de statistiske analyser, og de statistiske analyser har bidraget til udvælgelse af kom-
muner til uddybende interviews om praksis. Kortlægningen og effektanalysen skal derfor læses
som en samlet analyse af egu, der tilsammen giver viden om udviklingen i egu. I figuren neden-
for er analysedesignet illustreret.
5
6
Rambøll:
Analyse af anvendelsen af erhvervsgrunduddannelsen (egu),
2009.
Rambøll:
Effektanalyse af erhvervsgrunduddannelsen,
2012.
Analyse af erhvervsgrunduddannelsen
BUU, Alm.del - 2015-16 - Bilag 172: Orientering om analyse af erhvervsgrunduddannelsen (egu), fra Rådet for Ungdomsuddannelser
1623226_0006.png
4
Figur 1-2: Analysedesign
Som det fremgår af figuren, består den samlede analyse af egu af følgende
tre delanalyser:
Delanalyse 1: Kortlægning af egu
Delanalyse 2: Statistisk analyse af egu
Delanalyse 3: Sammenhængsanalyse.
De tre delanalyser giver til sammen et overblik over organisering, vilkår og barrierer ved anven-
delsen af egu samt en indikation på sammenhænge mellem bl.a. organisering og udviklingen i
egu. De tre delanalyser kan dog ikke besvare spørgsmålet om,
hvorfor
der kan konstateres for-
skelle i indholdet og udbredelsen af egu på tværs af kommunerne, men kortlægningen kan pege
på nogle mulige forklaringer på baggrund af interviews og data, der efterfølgende kan afprøves i
praksis.
Kortlægningen består, som tidligere nævnt, dels af en totalafdækning af, hvordan egu er tilrette-
lagt og organiseret i alle landets 98 kommuner, og dels af en interviewundersøgelse blandt ud-
valgte kommuner. Rambøll har derfor været i kontakt med alle kommuner for at kortlægge orga-
niseringsformerne og derefter udvalgt 26 kommuner til interviewundersøgelsen. Læs mere om
kortlægningen, udvælgelsen af kommuner og analysen af interviewene i metodebilaget (bilag 1).
De statistiske analyser og effektanalysen er dels en opdatering af
Effektanalysen af erhvervs-
grunduddannelsen
fra 2012 (herefter Effektanalysen 2012), hvor analyserne blev gennemført for
årgangen af elever, der startede i 2007, og dels nye analyser af sammenhænge mellem hen-
holdsvis elevernes karakteristika, regionale forskelle samt kommunernes organisering af egu og
effekten af egu. De regionale forskelle inddrages i analysen for at afdække eventuelle geografiske
forskelle uden at skulle afrapportere for hver kommune. Rambøll vil løbende i rapporten perspek-
tivere til undersøgelsen fra 2012 i forhold til, om der er sket ændringer i optag, gennemførelse og
effekt af egu.
Forud for kortlægningen og de statistiske analyser gennemførte Rambøll eksplorative interviews
med en række aktører på området med henblik på at opnå størst mulig forhåndsindsigt i de eksi-
sterende vilkår, muligheder og barrierer for egu (se evt. bilag 1). På baggrund af de eksplorative
interviews og dialog med MBUL har Rambøll opstillet følgende hypoteser, som undersøges i inter-
viewundersøgelsen samt i de statistiske analyser, hvor det er muligt.
Analyse af erhvervsgrunduddannelsen
BUU, Alm.del - 2015-16 - Bilag 172: Orientering om analyse af erhvervsgrunduddannelsen (egu), fra Rådet for Ungdomsuddannelser
1623226_0007.png
5
Tabel 1-1: Oversigt over hypoteserne
Nr.
1
2
3
4
Hypotese
Der er
ikke
en sammenhæng mellem organiseringsform og effekt af egu.
Helhedstænkning i kommunen omkring udsatte unge, herunder samarbejde mellem de forskel-
lige kommunale forvaltninger, fx børn og unge-, social- og beskæftigelsesforvaltningen har en
positiv betydning for egu.
Forpligtelse/samarbejde med jobcenteret er afgørende for udbredelsen af egu.
UU og produktionsskolerne er de centrale aktører ift. egu.
Organisering af egu
Egu-vejledningen
5
6
7
8
9
Det er afgørende, at egu-vejledere har specialpædagogiske kompetencer.
Netværksopbygning i de faglige miljøer samt relationsdannelse til arbejdspladser er afgørende
for tilgang til egu samt effekt af egu.
Udadgående aktiviteter fra egu-vejlederne til arbejdspladserne er afgørende for anvendelsen og
succesen af egu.
Stor udskiftning i medarbejdere omkring egu har en negativ betydning for anvendelsen og suc-
cessen af egu.
Det er afgørende, at vejlederne har en tæt og løbende kontakt med egu-eleven.
Barrierer og vilkår for egu
10
11
12
13
Økonomi er den største barriere for udbredelse af egu – både for kommunen og for arbejds-
pladsen.
Det er afgørende, at eleven er i praktik på en arbejdsplads frem for på en værkstedsskole for
effekten af egu.
Egu fungerer bedst i de større kommuner frem for i de mindre kommuner.
Der er forskel mellem om egu-eleverne kommer i privat eller offentlig praktik.
Hypoteserne besvares løbende i rapporten, hvor det er relevant.
1.4
Læsevejledning
Rapporten er struktureret som følger foruden kapitel 1:
I
kapitel 2
sammenfattes hovedkonklusionerne af analysen af egu.
I
kapitel 3
fremgår en beskrivelse af udviklingen i egu, hvor tilgang, bestand, organise-
ringsformer og målgruppebeskrivelser indgår.
Kapitel 4
præsenterer resultaterne af kortlægningen af kommunernes praksis på egu,
herunder hvordan egu-vejledningen tilrettelægges samt de barrierer og muligheder for
egu, kommunerne oplever.
I
kapitel 5
rapporteres effektanalysen af egu, hvor effekten af egu i forhold til at få de
unge videre i uddannelse eller beskæftigelse fremgår.
Kapitel 6
belyser effekten af egu-forløbene og peger gennem sammenhængsanalyser på
generelle forhold, der har betydning for egu.
En detaljeret beskrivelse af kortlægningens, de statistiske analysers samt effektanalysens meto-
de fremgår af metodebilaget (bilag 1).
Analyse af erhvervsgrunduddannelsen
BUU, Alm.del - 2015-16 - Bilag 172: Orientering om analyse af erhvervsgrunduddannelsen (egu), fra Rådet for Ungdomsuddannelser
6
2.
HOVEDKONKLUSIONER
Nærværende kapitel præsenterer hovedkonklusionerne af analysen af egu. Hovedkonklusionerne
præsenteres i samme rækkefølge, som de fremgår i rapporten.
Udviklingen i egu
Antallet af egu-elever har været stødt stigende frem til 2012, hvorefter tilgangen til og bestanden
på egu siden hen har været stabil. Samtidig har elevgruppen ikke ændret sig betydeligt i perio-
den med undtagelse af, at andelen af elever, som er 18 år eller yngre er steget, så det fra 2012
er den største gruppe af egu-eleverne, hvor det tidligere var elever over 18 år, der var den stør-
ste gruppe. Eleverne bliver altså yngre på egu. Når denne udvikling sammenlignes med elevernes
gennemførelsesgrad fremgår det, at det er de ældste elever, der har den højeste gennemførelse,
hvor de yngste elever har det største frafald.
Praksis i kommunerne
Egu er forankret i kommunerne, og kommunerne har mulighed for at placere ansvaret for egu i
en kommunal enhed eller delegere ansvaret til eksempelvis ungdommens uddannelsesvejledning
eller til produktionsskoler/erhvervsskoler. Kortlægningen af kommunernes organisering af egu vi-
ser, at størstedelen af kommunerne har placeret ansvaret hos ungdommens uddannelsesvejled-
ning (i egen kommune eller i en nabokommune) eller delegeret ansvaret for egu til en produkti-
onsskole.
Analysen viser, at forskellen mellem kommunernes organisering ikke i sig selv har betydning for
effekten af egu, men den konkrete praksis inden for de forskellige organiseringsformer ser ud til
at have betydning for kommunernes præstation i forhold til egu. De højt præsterende kommuner
har i højere grad end de lavt præsterende kommuner:
En helhedstænkning omkring den udsatte unge, hvor særligt uddannelses- og beskæfti-
gelsesindsatsen er sammentænkt for unge under 30 år
Et tæt og intenst samarbejde mellem jobcenteret og den ansvarlige egu-enhed
Et uddannelseskrav til deres egu-vejledere (fx krav om vejlederuddannelsen)
Et krav om en minimumskontakt mellem egu-vejleder og egu-elev (fx hver 14. dag)
Opfølgende kontakt med eleverne efter endt egu (uanset om de afbryder eller gennemfø-
rer)
Fællesaktiviteter for egu-eleverne i løbet af egu-forløbet.
Det ser særligt ud til, at kommuner der har fællesaktiviteter for egu-eleverne præsterer højt i
forhold til at få eleverne til at gennemføre. Fællesaktiviteter er eksempelvis sociale arrangemen-
ter som biografture, museumsbesøg eller udenlandsture, og i nogle tilfælde er disse sociale initia-
tiver kombineret med faglige oplæg om økonomi, SKAT og information om videre uddannelse.
Derudover viser analysen, at samarbejdet med jobcenteret og kontakten til arbejdspladserne af-
hænger af tætte relationer mellem egu-vejlederne og de ansatte i jobcenter eller på de private
arbejdspladser. Flere kommuner peger i forlængelse heraf på, at det tætte samarbejde er af-
hængigt af, at der ikke er for stor udskiftning i medarbejderne både blandt egu-vejlederne og
blandt deres samarbejdspartnere.
Styrker og barrierer ved egu
Kommunerne peger i analysen på, at styrken ved egu er, at uddannelsen er individuelt tilrette-
lagt, så den kan tilpasses den enkelte unges behov og forudsætninger samt arbejdspladsens års-
hjul og behov. Kommuner peger dog også på en række barrierer for anvendelsen af og udbredel-
sen af egu. Den største barriere er økonomien omkring egu, herunder:
Bortfald af løntilskud til arbejdspladserne
Høje lønsatser i forhold til elever på erhvervsuddannelserne
De afsatte ressourcer i kommunerne.
Analyse af erhvervsgrunduddannelsen
BUU, Alm.del - 2015-16 - Bilag 172: Orientering om analyse af erhvervsgrunduddannelsen (egu), fra Rådet for Ungdomsuddannelser
7
De økonomiske barrierer betyder, at ikke alle unge i målgruppen for egu har mulighed for at tage
en egu, idet udbuddet af egu-pladser er begrænset af de økonomiske barrierer.
Effekter af egu
Størstedelen af eleverne, der gennemfører eller afbryder egu, fortsætter i beskæftigelse eller vi-
dere uddannelse efter endt egu, men langt de fleste afbrudte elever, der overgår til offentlig for-
sørgelse, ender på kontanthjælp efter egu. For de fuldførte elever er situationen den omvendte.
Sandsynligheden for at ende på kontanthjælp reduceres markant, når eleverne gennemfører egu,
sammenlignet med dem, der afbryder egu. Sammenlignes resultaterne med
Effektanalysen 2012,
er der sket en stigning i andelen af afbrudte elever, der overgår til kontanthjælp efter afbrudt
egu, hvilket svarer til en stigning på 7,4 procentpoint.
Udover at reducere sandsynligheden for at ende på kontanthjælp ved gennemførelse af egu, har
elever, der gennemfører egu, 11 pct. større sandsynlighed for at komme i beskæftigelse eller vi-
dere uddannelse, end dem, der afbryder egu. Egu-vejlederne peger på, at grunden til, at forskel-
len mellem henholdsvis at gennemføre og afbryde egu ikke større, er, at egu anvendes som træ-
desten for mange unge i forhold til at blive afklaret. En stor del af de afbrudte forløb er positivt
frafald, hvilket vil sige, at eleverne starter i ordinær uddannelse. Sammenhængsanalysen viser
desuden, at elevernes alder, og det at eleven har afsluttet folkeskolen forud for egu, har en posi-
tiv betydning for elevens gennemførelse samt videre færd i uddannelse eller beskæftigelse.
Analysen viser samtidigt, hvilken uddannelse eleverne fortsætter i, samt hvilken branche de op-
når ansættelse, når de kommer i beskæftigelse efter endt egu. De elever, der fortsætter i uddan-
nelse, fortsætter typisk på en erhvervsuddannelse i et grund- eller hovedforløb, og de elever, der
fortsætter i beskæftigelse, ansættes oftest i handel og transportbranchen eller inden for offentlig
administration, undervisning og sundhed. Som supplement til analysen peger kommuner på, at
elevernes beskæftigelsesmuligheder er bedre, hvis de har været i praktik på en arbejdsplads
frem for i en værkstedsskolepraktik, og især hvis praktikken var hos en privat arbejdsgiver.
En sidste konklusion fra sammenhængsanalysen er, at effekten af egu er forskellig, når der fore-
tages sammenligning på regionsniveau. Elever, der går på egu i en kommune i Region Nordjyl-
land, gennemfører i højere grad egu og kommer i højere grad videre i uddannelse eller beskæfti-
gelse end elever på egu i kommuner i andre regioner.
Analyse af erhvervsgrunduddannelsen
BUU, Alm.del - 2015-16 - Bilag 172: Orientering om analyse af erhvervsgrunduddannelsen (egu), fra Rådet for Ungdomsuddannelser
1623226_0010.png
8
3.
BESKRIVELSE AF UDVIKLINGEN I EGU
Beskrivelsen af egu består af et overblik over udviklingen i egu, et overblik over organiserings-
former og målgruppen for egu. I første afsnit beskrives udviklingen i egu i forhold til tilgang og
bestand ud fra deskriptive statistiske analyser. Derefter følger en beskrivelse af de forskellige or-
ganiseringsformer samt deres udbredelse i kommunerne. Med organiseringsformer menes, hvor-
dan egu organisatorisk er placeret, samt hvem der har opgaveansvaret for egu. I tredje afsnit
fremgår en målgruppebeskrivelse af elever, der henholdsvis påbegynder en egu og gennemfører
eller afbryder egu.
Kapitlet består derfor dels af en opdatering af nøgletal om udviklingen i egu i forhold til bestand,
tilgang og afbrud samt af organiseringen af egu, og dels af en beskrivelse af, hvad der karakteri-
serer de unge, der påbegynder egu, dem, som gennemfører egu, og dem, som afbryder under-
vejs i forløbet.
3.1
Tilgang og bestand
I dette afsnit beskrives udviklingen i egu i de seneste 10 år i forhold til tilgang og bestand på ud-
dannelsen.
Tilgangen til egu opgøres som de elever, der påbegynder egu mellem den 1. oktober det foregå-
ende år og den 30. september i det indeværende år, som svarer til indberetningsperioden for
egu. Årgangen 2012 indbefatter således de elever, der har påbegyndt deres uddannelse mellem
1. oktober 2011 og 30. september 2012. Den samme opgørelsesmetode anvendes for bestanden,
der opgøres i forhold til, hvor mange der er i gang med egu i den nævnte periode.
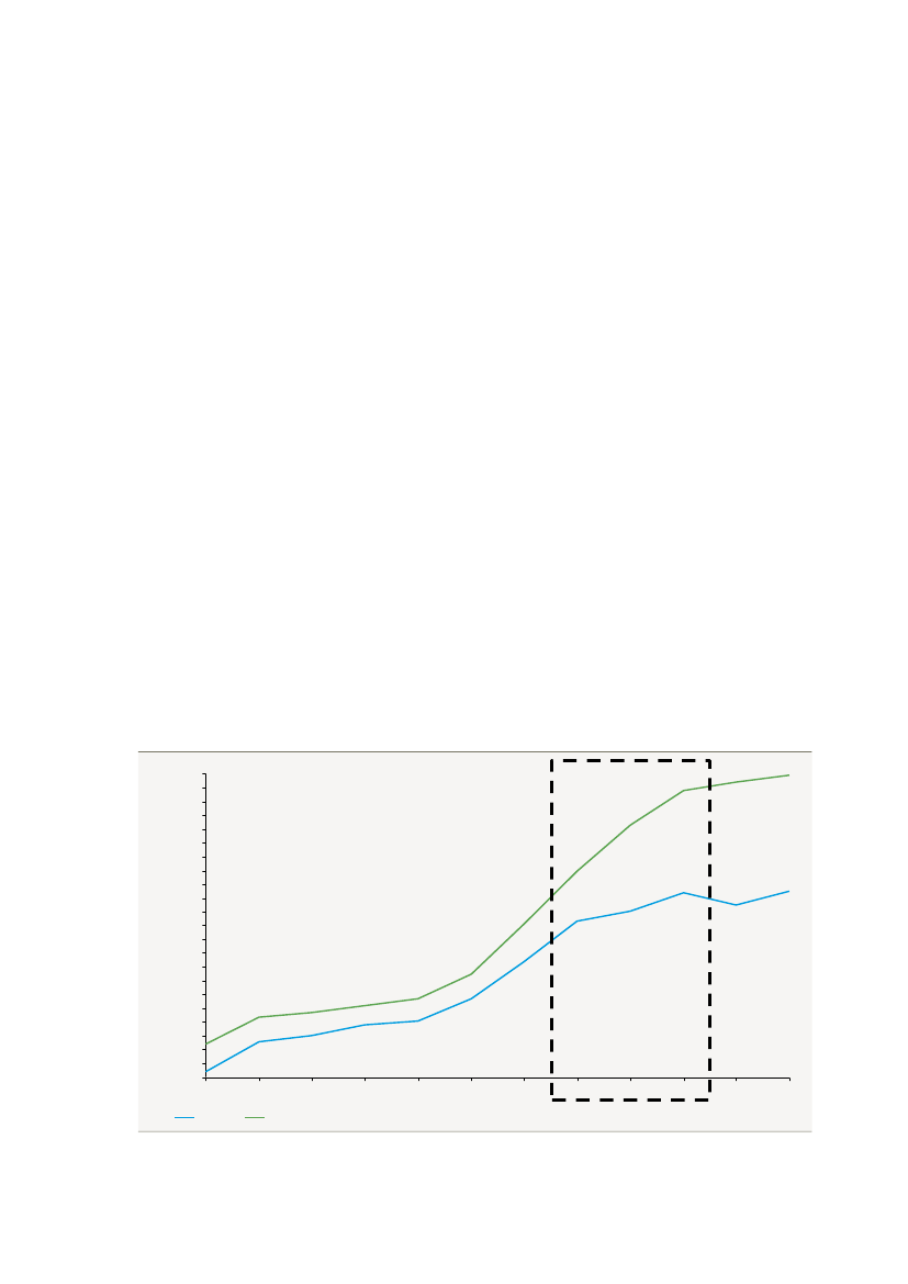
Tilgangen og bestanden af egu-elever fremgår af figuren nedenfor for årerne 2003 til og med
2014. Af figuren fremgår det, at tilgangen til egu har været støt stigende siden 2003 og frem til
2012, hvor tilgangen var på 1.637 elever. Den største stigning ses i perioden 2007-2010, hvor
antallet af nye elever steg fra 708 i 2007 til 1.433 i 2010, hvilket er en fordobling i tilgangen til
egu. Udviklingen i tilgangen er afspejlet i bestanden på egu, som også fremgår af figuren.
Figur 3-1: Tilgang til og bestand på egu (2003-2014)
2.500
2.400
2.300
2.200
2.100
2.000
1.900
1.800
1.700
1.600
1.500
1.400
1.300
1.200
1.100
1.000
900
800
700
600
817
681
868
708
2.441
2.488
2.380
2.126
1.791
1.637
1.646
1.550
Antal elever
1.408
1.433
1.505
1.135
1.048
867
733
766
600
539
555
500
400
337
300
2003
2004
2005
2006
2007
2008
2009
2010
2011
2012
2013
2014
Tilgang
Bestand
Kilde: Rambøll-analyse på baggrund af data fra STIL.
Note: Den stiplede kasse indrammer undersøgelsesperioden.
Analyse af erhvervsgrunduddannelsen
BUU, Alm.del - 2015-16 - Bilag 172: Orientering om analyse af erhvervsgrunduddannelsen (egu), fra Rådet for Ungdomsuddannelser
1623226_0011.png
9
I undersøgelsesperioden 2010-2012 ses en fortsat positiv omend mindre vækst i tilgangen af
elever, hvor der efter 2012 er en stabil tilgang til egu. I
Effektanalysen 2012
blev det fremhævet,
at udviklingen på landsplan fra 2003-2009 dækker over en stor variation i tilgangen inden for
hver kommune, hvor nogle kommuner har oplevet en mere markant stigning end andre. Det
samme gør sig gældende for tilgangen i årerne 2010-2012. Kommuner, der har oplevet en stig-
ning i antallet af elever på egu, peger på projektet ”Sæt skub i egu!” som en af forklaringerne på,
at der var stigning i den periode. Projektet skabte en opmærksomhed på egu, som der ikke hav-
de været i samme grad tidligere. Derudover peger
Effektanalysen 2012
på, at ungepakkerne
(Ungepakken II og III) skærpede fokus på 15-17-årige uden for beskæftigelse og uddannelse og
dermed bidrog til stigningen i egu.
3.2
Organisering af ansvaret for egu
På baggrund af totalafdækningen i alle landets kommuner har Rambøll identificeret seks forskel-
lige organiseringsformer af egu i kommunerne. Med organiseringsformer menes som tidligere
nævnt, dels hvordan egu organisatorisk er placeret, og dels hvem der har opgaveansvaret for
egu. I boksen nedenfor fremgår de seks organiseringsformer.
Boks 3-1: Organiseringsformer
Ungdommens Uddannelsesvejledning (UU) i kommunen
Ungdommens Uddannelsesvejledning (UU), der dækker på tværs af kommuner
Jobcenter
Produktionsskole
Ungdomsskole
Kombination af organisationsformer.
Der er lidt flere organiseringsformer end dem, der blev identificeret i
Analysen af anvendelsen af
erhvervsgrunduddannelsen
fra 2009
7
. Dette skyldes, at Rambøll i denne analyse opdeler UU som
organiseringsform i henholdsvis
UU i kommunen
og
UU på tværs af kommuner
frem for at samle
det i en model. Adskillelsen skyldes, at der potentielt kan være en forskel i, hvor gode kommu-
nerne er til at opspore elever til egu samt forskelle i, hvordan de samarbejder med forskellige
kommunale enheder, når der er forskel på den geografiske og organisatoriske bredde, de skal
dække. Derudover har Rambøll tilføjet organiseringsformen ’kombination af organisationsformer’,
idet flere kommuner ikke har valgt én model, men har ansvarliggjort flere aktører i forhold til
egu.
Af nedenstående tabel fremgår det, hvorledes de seks organiseringsformer fordeler sig på tværs
af landets kommuner:
Tabel 3-1: Fordeling af organiseringsformer i kommunerne
Organiseringsform
UU i kommunen
UU, der dækker på tværs af kommuner
Jobcenter
Produktionsskole
Ungdomsskole
Kombination af organisationsformer
I alt
Antal
18
21
8
30
5
16
98
Af tabellen fremgår det, at 30 ud af landets 98 kommuner har delegeret egu til en produktions-
skole, 21 kommuner har delegeret ansvaret til en tværkommunal UU-enhed og 18 kommuner har
organiseret egu i en UU-enhed i egen kommune. Det vil sige, at 40 pct. af kommunerne har in-
volveret UU i egu-arbejdet enten ved at placere egu-funktionen i en UU-enhed forankret i egen
kommune eller ved, at det bliver varetaget af en tværkommunal egu-enhed. Dertil har omtrent
30 pct. af kommunerne valgt at delegere egu-funktionen til en eller flere produktionsskoler. De
7
Rambøll:
Analyse af anvendelsen af erhvervsgrunduddannelsen (egu),
2009.
Analyse af erhvervsgrunduddannelsen
BUU, Alm.del - 2015-16 - Bilag 172: Orientering om analyse af erhvervsgrunduddannelsen (egu), fra Rådet for Ungdomsuddannelser
10
restende 30 pct. fordeler sig på henholdsvis en kombineret model, en intern forankring i jobcen-
tret samt delegering til kommunens ungdomsskole.
Forventningen om, at UU og produktionsskolerne er de centrale aktører i forhold til egu (hypote-
se 4) kan hermed bekræftes. Når interviewene udfoldes, fremgår dette tydeligere, idet produkti-
onsskoler og ungdomsskoler i høj grad samarbejder med UU, og derudover indgår produktions-
skoler og UU ofte i de kombinerede organiseringsformer.
Nedenfor er de identificerede organiseringsformer beskrevet på baggrund af kommuners beskri-
velser. Det er en gennemgående pointe i mange af kommunernes beskrivelser af organiseringen
af egu, at selvom egu-funktionen er placeret ét sted, er der sparring mellem flere aktører i kom-
munen, særligt i forbindelse med visitationen til egu-forløb. Det er kun i de tilfælde, hvor ansva-
ret er delt mellem flere aktører, at organiseringsformen er kategoriseret som en
kombination af
organiseringsformer.
Ungdommens Uddannelsesvejledning i egen kommune
Denne model er karakteriseret ved, at egu-funktionen er forankret internt i kommunen. Dog
kan UU-enheden enten være en selvstændig enhed i kommunen, del af en ungeindsats eller
være en del af jobcentret som en del af en tværgående ungeindsats. Det varierer, om egu-
opgaven fordeles ud til alle UU-vejledere i enheden, eller om der udvælges specifikke egu-
vejledere, som har ansvar for egu-opgaverne. Indstillingen sker som oftest fra UU-vejlederne
selv, men kommer også fra jobcenter eller produktionsskole. Dertil varierer det, om det er
den enkelte vejleder, der selvstændigt visiterer, eller om visitationen foregår i et udvalg, en-
ten internt i UU-enheden eller i et tværgående udvalg, hvor der også er repræsentanter fra
jobcentret.
Ungdommens Uddannelsesvejledning, der dækker på tværs af kommuner
Denne organiseringsform indebærer både en selvstændig tværkommunal enhed eller et
tværkommunalt samarbejde, hvor UU-enheden og dermed egu-arbejdet er forankret i én
kommune, men hvor én eller flere nabokommuner køber sig ind. Indstillingen sker både fra
andre UU-vejledere i enheden, sagsbehandlere i de respektive kommuners jobcentre eller fra
produktionsskoler. Som oftest er det også den tværkommunale UU-enhed, der forestår visite-
ringen. De enkelte kommuner betaler ind til et egu-budget, som den tværgående UU-enhed
kan agere indenfor. Ofte har de tværkommunale UU-enheder vejledere, som varetager ar-
bejdet med egu i hvert sit område/kommune.
Jobcenter
Kommunen har valgt at placere opgaven med egu i jobcentret og i nogle kommuner i en
særskilt ungeindsats. I de fleste tilfælde har jobcentrene en sparring med UU-vejledere i for-
hold til indstilling af unge til egu, og dette gælder i særlig grad i de kommuner, hvor UU-
vejledere og jobcentrets medarbejdere sidder fysisk samme sted. Jobcentret varetager selv
visitationen af egu-elever, og der er ved denne organisering tale om en forankring udeluk-
kende i jobcenteret og ikke i en UU-enhed i jobcenteret. UU-enheder underlagt jobcenteret er
kategoriseret som UU i egen kommune.
Produktionsskole
Denne model er karakteriseret ved, at kommunen delegerer ansvaret for egu-arbejdet til
produktionsskolen. I enkelte kommuner er der tale om, at to produktionsskoler varetager
egu-arbejdet. I nogle tilfælde varetages både indstilling og visitation af skolerne selv, dog of-
test i samarbejde med UU. Det kan også i andre kommuner ske i samarbejde med jobcente-
ret. På nogle produktionsskoler har man selv ansat egu-vejledere, hvor man i andre tilfælde
betaler kommunen for specifikke egu-vejledere på skolerne, eller produktionsskolerne køber
UU-vejledere ind til at varetage vejledningsopgaver i forbindelse med egu.
Det varierer blandt kommuner med denne organisering af egu, hvorvidt kommunen bevilger
økonomiske midler til produktionsskolen, som skolen selv forvalter, eller om udgifterne til
Analyse af erhvervsgrunduddannelsen
BUU, Alm.del - 2015-16 - Bilag 172: Orientering om analyse af erhvervsgrunduddannelsen (egu), fra Rådet for Ungdomsuddannelser
1623226_0013.png
11
egu afholdes løbende af kommunen. Herudover betaler staten et vejledningstilskud til pro-
duktionsskolerne for at oprette, administrere og gennemføre egu-planer.
8
Ofte skal kommu-
nen godkende egu-vejledernes uddannelsesplaner og kommunen er derved involveret i visi-
tationen og opdateret på, hvor mange forløb der igangsættes, og som skal bevilges.
Ungdomsskole
Kommunen har valgt at delegere arbejdet med egu til en ansat i kommunens ungdomsskole.
Ofte sker indstillingen af egu-elev fra jobcenteret eller UU-vejledere. Visitationen foregår i
nogle kommuner i samarbejde med repræsentanter fra jobcenteret og/eller UU, dog i få til-
fælde varetager ungdomsskolen selv visitationen.
Kombination af organiseringsformer
Kommuner med denne organiseringsform er karakteriseret ved, at flere aktører deler ansva-
ret for egu. Som oftest indgår en produktionsskole eller ungdomsskole og denne varetager en
del af opgaven. Hertil kan enten jobcenteret eller en tværkommunal UU-enhed også spille en
væsentlig rolle i forhold til både indstilling og visitering til egu-forløb. Denne konstellation er
derfor præget af, at der er en tæt faglig sparring mellem parterne, og visiteringen sker i et
tværgående udvalg. I enkelte kommuner er der tale om, at det er en tværgående UU-enhed,
som arbejder tæt sammen med jobcenteret.
3.3
Målgruppebeskrivelse af elever på egu
I dette afsnit præsenteres en målgruppebeskrivelse af de unge, der starter på en egu, samt af
dem, der henholdsvis gennemfører og afbryder uddannelsen. Beskrivelsen bygger primært på
deskriptive statistiske analyser.
3.3.1
Karakteristik af elever, der påbegynder egu
Målgruppen for egu er, som tidligere beskrevet, unge under 30 år, der ikke er under uddannelse
eller i beskæftigelse, og som ikke umiddelbart har forudsætningerne for at gennemføre anden
kompetencegivende ungdomsuddannelse. For at få et bedre indblik i målgruppen, er elevernes
karakteristika som alder, køn og oprindelse beskrevet for alle de elever, der startede på uddan-
nelsen i årene 2010, 2011 og 2012. Endeligt beskrives fordelingen af unge på regionerne med
henblik på at afdække regionale forskelle.
Af figuren nedenfor fremgår alders- og kønsfordelingen for elever, der er startet på egu i årene
2010-2012. Af figuren ses det, at der er tale om en meget heterogen gruppe af elever, når det
kommer til alder. Eleverne er næsten ligeligt fordelt på tværs af de forskellige alderskategorier
for alle tre årgange. Det fremgår desuden, at andelen af unge under 18 år er 6 pct.-point lavere i
2012 end i 2010, mens andelen af 21-25 årige er 3 pct.-point højere i 2012 end i 2010. I alle år
udgør andelen af unge på 18 år eller derunder den største gruppe (over 50 pct.). Dette adskiller
sig fra
Effektanalysen 2012,
hvor andelen af unge over 18 år i 2009 var den største gruppe. Det
ser altså ud til, at andelen af elever på 18 år eller derunder udgør en større del af elevgrundlaget
end det gjorde tidligere. Dette bekræftes af flere kommuner, der selv peger på, at de er blevet
bedre til at identificere unge i målgruppen for egu og få dem ind på uddannelsen, inden de ople-
ver et nederlag ved ikke at kunne gennemføre en ordinær uddannelse.
8
Dette tilskud betales også til erhvervsskolerne, hvis kommunen delegerer ansvaret for egu til dem.
Analyse af erhvervsgrunduddannelsen
BUU, Alm.del - 2015-16 - Bilag 172: Orientering om analyse af erhvervsgrunduddannelsen (egu), fra Rådet for Ungdomsuddannelser
1623226_0014.png
12
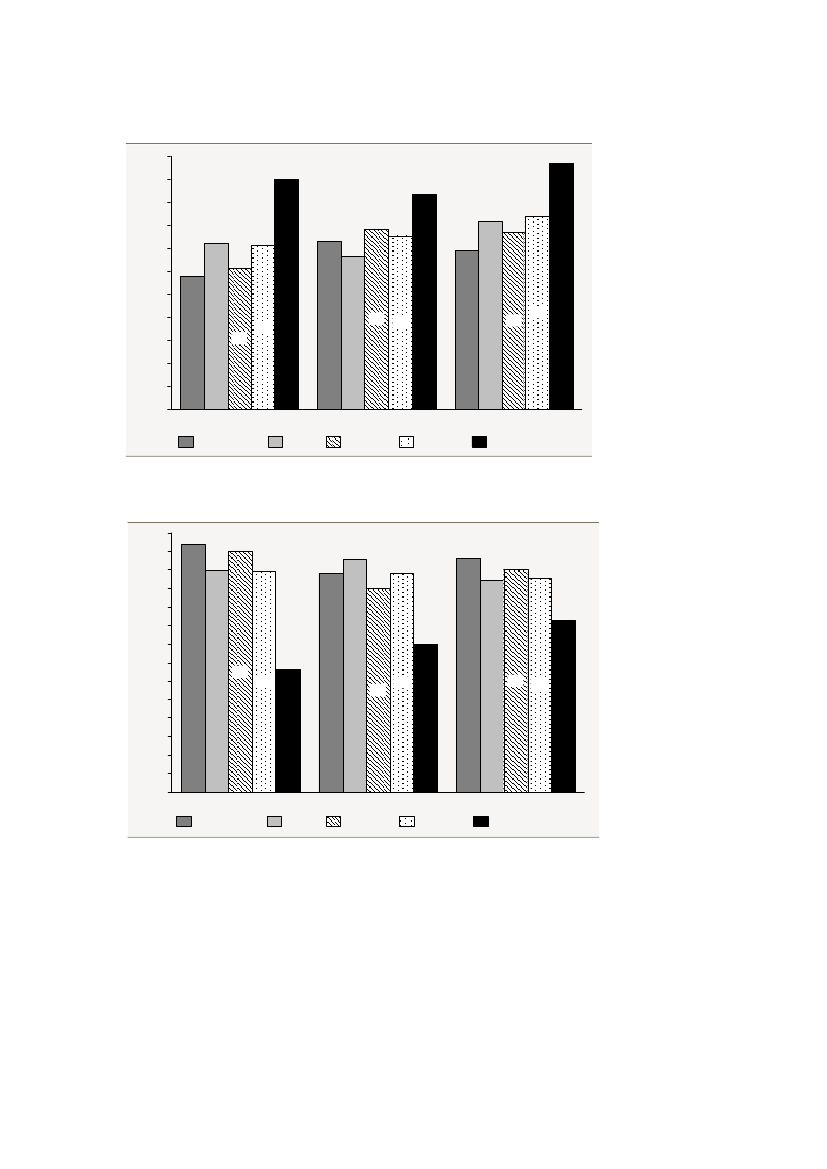
Figur 3-2: Fordeling af elever på alder samt køn (2010-2012)
1%
15%
1%
17%
2%
100%
100%
18%
32%
31%
32%
25%
27%
27%
23%
22%
23%
68%
69%
68%
37%
33%
31%
2010
under 18 år
2011
18 år
2012
19-20 år
2010
Kvinder
2011
Mænd
2012
21-25 år
Over 25 år
Kilde: Rambøll-analyse på baggrund af data fra STIL.
Note: Antallet af observationer, der ligger til grund for figuren, er n=4.300.
Når det kommer til fordelingen af mænd og kvinder, fremgår det, at denne har været stort set
konstant gennem hele perioden, hvor mænd udgør den største andel på egu. I alle årene er tæt
på 70 pct. af eleverne mænd, hvilket også var fordelingen i årene op til denne periode (jf.
Effekt-
analysen 2012).
I forhold til elevernes oprindelse er det samme konklusion som i 2012, at ho-
vedparten af eleverne på egu er af dansk oprindelse
9
. Det ses desuden, at fordelingen er for-
holdsvis konstant gennem alle de tre undersøgte år. Elevernes oprindelse fremgår af figuren ne-
denfor.
Figur 3-3: Elevernes oprindelse (2010-2012)
2010
87%
13%
2011
90%
10%
2012
89%
11%
Dansk
Anden end dansk
100%
Kilde: Rambøll-analyse på baggrund af data fra STIL og DREAM.
Note: Anden oprindelse end dansk dækker over individer med vestlig og ikke-vestlig baggrund, og antallet af observationer,
der ligger til grund for figuren, er n=4.300.
9
På landsplan er 18 pct. af befolkningen mellem 15 og 25 år unge med anden baggrund end dansk. Andelen af egu-elever med anden
oprindelse end dansk ligger dermed under landsgennemsnittet.
Analyse af erhvervsgrunduddannelsen
BUU, Alm.del - 2015-16 - Bilag 172: Orientering om analyse af erhvervsgrunduddannelsen (egu), fra Rådet for Ungdomsuddannelser
1623226_0015.png
13
Udover elevernes karakteristika er det interessant at se på, om der er forskel i, hvilken region
egu-eleverne bor i. Figuren nedenfor viser fordelingen af egu-elever i hver af de fem regioner,
hvor det fremgår, at næsten hver tredje elev er indskrevet på egu i Region Syddanmark. Denne
region har den største andel af egu-elever, hvorefter Region Midtjylland og Region Hovedstaden
følger med mellem 20-27 pct. af det samlede elevoptag. Dette adskiller sig fra
Effektanalysen
2012,
hvor Region Midtjylland var den største bopælsregion efterfulgt af Region Syddanmark og
Region Hovedstaden. Region Sjælland og Region Nordjylland ligger på et elevoptag mellem 9-14
pct. af den samlede tilgang, og har dermed den laveste andel. Det ses, at fordelingen mellem de
fem regioner er forholdsvis konstant over hele perioden, hvor andelen i Region Hovedstaden dog
er faldende.
Figur 3-4: Fordeling på region (2010-2012)
2010
29%
27%
24%
12%
9%
2011
30%
23%
24%
13%
9%
2012
31%
25%
20%
14%
11%
Syddanmark
Midtjylland
Hovedstaden
Sjælland
Nordjylland
100%
Kilde: Rambøll-analyse på baggrund af data fra STIL.
Note: Antallet af observationer, der ligger til grund for figuren, er n=4.300.
Sammenlignes andelen af egu-elever med regionernes indbyggertal, ser det en smule anderledes
ud. Region Syddanmark er den region, der har flest egu-elever pr. indbygger, hvor Region Ho-
vedstaden har færrest egu-elever pr. indbygger. Andelen af egu-elever pr. indbygger i de andre
tre regioner er nogenlunde lige. Det tegner altså et billede af, at Region Syddanmark er bedre til
at opspore elever i målgruppen for egu eller har flere elever i målgruppen end de øvrige, hvor
Region Hovedstaden – set i lyset af deres størrelse – ligger i bunden i forhold til andelen af egu-
elever.
Når denne fordeling sammenlignes med regionens evne til at få eleverne til at gennemføre egu,
fremgår det, at både Region Hovedstaden og Region Syddanmark i årene 2010-2011 havde en
lav gennemførelsesgrad. Andelen af egu-elever hænger altså ikke sammen med elevernes gen-
nemførelsesgrad. I 2012 er forskellen mellem regionerne dog stort set udlignet, hvilket er uddy-
bet i næste afsnit.
3.3.2
Gennemførsel og frafald af egu
I dette afsnit beskrives og sammenlignes elevernes karakteristika for henholdsvis elever, som
gennemfører og afbryder egu. Først belyses fordelingen af gennemførte og afbrudte elever i for-
hold til, hvor mange der startede i en given region eller organiseringsform. Herefter beskrives og
sammenlignes karakteristika som alder, køn og oprindelse.
Figuren nedenfor giver et overblik over andelen af elever, der gennemfører eller afbryder egu
fordelt på region. Dette for at se, om der er nogle regionale forskelle i fuldførelses- og frafalds-
mønstre. For alle år ses det, at frafaldsfrekvensen svinger mellem 50-73 pct., men forskellen
mellem regionerne er størst i 2010 og 2011, hvor de nærmer sig hinanden i 2012.
Analyse af erhvervsgrunduddannelsen
BUU, Alm.del - 2015-16 - Bilag 172: Orientering om analyse af erhvervsgrunduddannelsen (egu), fra Rådet for Ungdomsuddannelser
1623226_0016.png
14
Figur 3-5: Andel gennemførte og afbrudte forløb i forhold til påbegyndte forløb, fordelt på region (2010-
2012)
45
41
40
35
39
38
43
40
39
37
37
75
70
36
65
60
55
29
24
29
50
59
56
50
73
66
65
57 58 55
50
63
54
62 62
56
42 42
42
Pct. gennemført
30
25
20
15
10
5
0
Pct. afbrudt
2011
Nordjylland
2012
Midtjylland
45
40
35
30
25
20
15
10
5
0
2010
Sjælland
2010
Syddanmark
2011
2012
Hovedstaden
Kilde: Rambøll-analyse på baggrund af data fra STIL.
Note: Antallet af observationer, der ligger til grund for figuren, er n=4.300 (frafaldet n=2599, fuldført n=1701).
Af figuren fremgår det, at Region Syddanmark er den region, der er relativt dårligst til at få ele-
verne til at fuldføre egu. Region Sjælland er relativt bedst til at få sine elever igennem egu i 2010
og 2011, hvorimod Region Nordjylland er relativt bedst i 2012. Både Region Nordjylland og Regi-
on Hovedstaden oplever en stigning i andelen af elever, der gennemfører egu i alle tre år. Den
største stigning ses fra 2010 til 2012 i Region Hovedstaden, hvor det stiger fra 29 til 42 pct.
Udover forskelle på tværs af regioner har Rambøll undersøgt, om der er en sammenhæng i gen-
nemførelsesgraden afhængigt af, hvilken organiseringsform kommunen har valgt. I nedenståen-
de figurer er andelen af elever, der startede i henholdsvis 2010, 2011 og 2012, og som gennem-
førte eller frafaldt egu, derfor fordelt på de forskellige organiseringsformer.
Analyse af erhvervsgrunduddannelsen
BUU, Alm.del - 2015-16 - Bilag 172: Orientering om analyse af erhvervsgrunduddannelsen (egu), fra Rådet for Ungdomsuddannelser
1623226_0017.png
15
Figur 3-6: Andel gennemførte forløb i forhold til påbegyndte, fordelt på organiseringsformer (2010-
2012)
45
40
35
30
25
20
15
10
5
0
28
27
29
43
41
39 39
43
42
38
35
34
38
35
37 36
38
41
Pct. gennemført
2010
Ungdomsskole
Jobcenter
2011
Kombination af organisationsformer
UU, der dækker på tværs af Kommuner
2012
UU i Kommunen
Produktionsskole
Kilde: Rambøll-analyse på baggrund af data fra STIL.
Note: Antallet af observationer, der ligger til grund for figuren, er fuldført n=1701.
Figur 3-7: Andel afbrudte forløb i forhold til påbegyndte, fordelt på organiseringsformer (2010-2012)
70
65
60
55
50
45
69 68
60
56 55
50
60
57
54
63
55
68
61
58
62 62
57
62
Pct. frafald
40
35
30
25
20
15
10
5
2010
2011
UU i Kommunen
Kombination af organisationsformer
Produktionsskole
Jobcenter
0
2012
UU, der dækker på tværs af Kommuner
Ungdomsskole
Kilde: Rambøll-analyse på baggrund af data fra STIL.
Note: Antallet af observationer, der ligger til grund for figuren, er frafaldet=2599.
Af figurerne ovenfor fremgår det, at den organiseringsform med den højeste fuldførelsesfrekvens
varierer fra år til år. I 2010 er det kommuner med en ungdomsskoleorganisering, der formår at
få flest igennem egu, hvorimod det i 2011 og 2012 er henholdsvis organisering i jobcenteret og
produktionsskoler, der har den højeste fuldførelsesfrekvens. Der er igen ikke noget, der peger
på, at en organiseringsform er bedre end en anden (jf. afkræftelse af hypotese 1 i kapitel 4).
Analyse af erhvervsgrunduddannelsen
BUU, Alm.del - 2015-16 - Bilag 172: Orientering om analyse af erhvervsgrunduddannelsen (egu), fra Rådet for Ungdomsuddannelser
1623226_0018.png
16
I nedenstående figur fremgår andelen af mænd og kvinder, der gennemfører og afbryder egu.
Figur 3-8: Andel gennemførte, igangværende og afbrudte, fordelt på køn (2010-2012)
Kvinder
4%
2%
2%
100%
Mænd
5%
6%
1%
100%
30%
36%
38%
33%
37%
39%
66%
62%
60%
62%
57%
60%
2010
I gang
2011
Gennemført
2012
Afbrudt
2010
2011
2012
Kilde: Rambøll-analyse på baggrund af data fra STIL.
Note: Antallet af observationer, der ligger til grund for figuren, er n=4300 (frafaldet n=2599, fuld-
ført n=1701).
Det ses, at forholdet mellem gennemførelse og frafald er stort set den samme, uanset om det er
en kvinde eller mand, der starter på uddannelsen, hvilket vil sige, at det ene køn ikke ser ud til
at have bedre forudsætninger for at gennemføre end det andet køn. Begge grupper har en gen-
nemførelsesgrad på omkring 40 pct.
De to figurer nedenfor angiver, hvor stor en andel der henholdsvis gennemfører eller afbryder
egu, fordelt på elevernes aldersgruppe på det tidspunkt, hvor de påbegynder uddannelsen. Figu-
rerne viser, at eleverne over 25 år har den højeste gennemførelsesgrad og den laveste frafalds-
frekvens af alle aldersgrupperne. Modsat har eleverne under 18 år den laveste gennemførelses-
grad og den højeste frafaldsfrekvens. Af interviewene fremgår det, at de ældre elever er mere
afklarede og modne i forhold til at gennemføre egu, hvor de unge under 18 år er mere usikre og
uafklarede i forhold til deres uddannelsesvalg.
Analyse af erhvervsgrunduddannelsen
BUU, Alm.del - 2015-16 - Bilag 172: Orientering om analyse af erhvervsgrunduddannelsen (egu), fra Rådet for Ungdomsuddannelser
1623226_0019.png
17
Figur 3-9: Gennemførte forløb, fordelt på aldersgruppe (2010-2012)
55
50
45
Andel af gennemført i pct.
40
35
30
25
20
15
10
5
0
29
36
50
54
47
37
31
36
39
33
38
41
34
38
42
2010
Under 18 år
18 år
2011
19-20 år
21-25 år
2012
Over 25 år
Kilde: Rambøll-analyse på baggrund af data fra STIL.
Note: Antallet af observationer, der ligger til grund for figuren, er fuldført n=1701..
Figur 3-10: Frafald, fordelt på aldersgruppe (2010-2012)
70
65
60
55
50
45
40
35
30
25
20
15
10
5
0
2010
2011
2012
Andel af frafald i pct.
67
60
65
60
59
63
55
59
63
57
60
58
40
33
46
Under 18 år
18 år
19-20 år
21-25 år
Over 25 år
Kilde: Rambøll-analyse på baggrund af data fra STIL.
Note: Antallet af observationer, der ligger til grund for figuren, er frafaldet n=2599
Endvidere fremgår det af nedenstående figur, at andelen af elever med anden etnisk baggrund
end dansk i stigende grad (fra 24 pct. i 2010 til 39 pct. i 2012) gennemfører egu. Den samme
tendens gør sig gældende for elever med dansk oprindelse, selvom forskellene for denne gruppe
er mindre. I 2012 er andelen af elever med henholdsvis dansk og anden etnisk oprindelse end
dansk, der gennemfører og afbryder egu, den samme, og der er derfor ingen forskelle i effekten
af egu afhængigt af elevernes oprindelse.
Analyse af erhvervsgrunduddannelsen
BUU, Alm.del - 2015-16 - Bilag 172: Orientering om analyse af erhvervsgrunduddannelsen (egu), fra Rådet for Ungdomsuddannelser
1623226_0020.png
18
Figur 3-11: Andel gennemførte, igangværende og afbrudte forløb, fordelt på oprindelse (2010-2012)
Dansk
8%
4%
2%
100%
Anden end dansk*
7%
4%
2%
100%
34%
38%
38%
24%
33%
39%
68%
58%
59%
60%
64%
60%
2010
I gang
2011
Gennemført
2012
Afbrudt
2010
2011
2012
Kilde: Rambøll-analyse på baggrund af data fra STIL.
*Vestlig eller ikke-vestlig oprindelse.
Note: Antallet af observationer, der ligger til grund for figuren, er n=4.300 (frafaldet n=2599, fuldført
n=1701).
3.3.3
Frafaldsfrekvens og frafaldsårsager
I det følgende afsnit beskrives, hvor stor frafaldsfrekvensen har været fra 2010-2012. Herefter
belyses elevernes årsager til frafald, hvor Rambøll har set på, om der er tale om et positivt fra-
fald, dvs. frafald til anden uddannelse, eller om det er andre forhold, der gør sig gældende.
Nedenstående tabel viser frafaldsprocenter for analysens årgange 2010-2012. Frafaldsprocenten
er et udtryk for, hvor mange af de elever, der er startet i det pågældende år, der falder fra. Det
ses af tabellen nedenfor, at frafaldsprocenten til trods for, at årgangene er blevet større, ligger
konstant på omkring 60 pct.
Tabel 3-1: Frafaldsprocent (2010-2012)
År
2010
2011
2012
Antal påbegyndt egu
1.158
1.505
1.637
Antal frafaldt egu
736
883
980
Frafaldsprocent
63,6 pct.
58,7 pct.
59,9 pct.
Kilde: Rambøll-analyse på baggrund af data fra STIL.
Note: Antallet af observationer, der ligger til grund for figuren, er frafaldet n=2599.
Udover frafaldsprocenten er det interessant at se på frafaldsårsagerne. I alle tre år ligger det po-
sitive frafald, defineret som elever, der enten er startet på anden uddannelse på ca. 30 pct. Det
ses hermed, at en stor del af frafaldet er positivt. Overvægten af frafaldsårsager er dog ikke, at
eleverne kommer i anden uddannelse eller job, men derimod årsager som, at eleverne har for
højt fravær, ikke er uddannelsesparate eller grundet private/andre forhold.
Analyse af erhvervsgrunduddannelsen
BUU, Alm.del - 2015-16 - Bilag 172: Orientering om analyse af erhvervsgrunduddannelsen (egu), fra Rådet for Ungdomsuddannelser
1623226_0021.png
19
Tabel 3-2: Frafaldsårsager (2010-2012). Pct.
2010
Startet på anden uddannelse
For højt fravær
Ikke uddannelsesparat
Fået arbejde
Sygdom
Private forhold
Fortrudt uddannelsesvalg
Andre forhold*
Samlet
30
12
8
7
6
5
2
30
100
2011
32
10
14
5
7
11
6
15
100
2012
33
8
15
5
7
9
8
16
100
Kilde: Rambøll-analyse på baggrund af data fra STIL.
Note: Antallet af observationer, der ligger til grund for figuren, er frafaldet n=2599.
*Andre forhold dækker over: ”Ukendt”, ”Andre personlige forhold”, ”Institutionsskift”, ” Flyttet til anden kommune”, ” Famili-
emæssige eller sociale forhold”, ” Ikke startet”, ” Bortvist fra uddannelsen”, ” Kan ikke Kontaktes” og ”Død”.
3.4
Delkonklusion
Sammenfattende viser beskrivelsen af udviklingen i egu, at der har været en stigning i både til-
gang og bestand de sidste 10 år, med højeste niveau i 2014. Tilgangen har fra 2007 til og med
2012 været stærkt opadgående, men har de følgene to år ligget på et årligt optag på omkring
1.600 elever. Den samme udvikling gælder for bestanden af egu-elever, som i 2014 rundede
2.488 elever. Som led i udviklingen i tilgangen og bestanden af elever på egu har elevernes ka-
rakteristika også ændret sig en smule.
Der er i løbet af årerne en større andel af mænd, der starter på uddannelsen, og siden 2009 har
ca. 70 pct. af eleverne været mænd. Aldersmæssigt er der ligeledes sket en udvikling. I dag er
andelen af unge under 18 år eller 18 år steget til at omfatte over 50 pct. af eleverne, hvorimod
andelen af unge over 18 år var større tidligere. Størstedelen af eleverne har dansk oprindelse,
hvilket ikke har ændret sig siden 2010. Fordelingen af elever, der starter i de enkelte regioner, er
jævnt fordelt over hele landet, omend der er størst tilgang i Region Syddanmark og lavest i Regi-
on Nordjylland.
I forhold til organiseringen af egu i kommunerne fremgår det, at de fleste kommuner (ca. 70
pct.) har valgt at delegere ansvaret for egu til produktionsskolerne eller UU enten i egen kommu-
ne eller en tværgående enhed. UU og produktionsskolerne er derfor to centrale aktører i kommu-
nernes tilrettelæggelse af egu. Den valgte organiseringsform i kommunerne ser dog ikke ud til at
have betydning for gennemførelsesgraden, men elevernes alder ser til gengæld ud til at have be-
tydning. Dette udfoldes nærmere i kapitel 6.
Analyse af erhvervsgrunduddannelsen
BUU, Alm.del - 2015-16 - Bilag 172: Orientering om analyse af erhvervsgrunduddannelsen (egu), fra Rådet for Ungdomsuddannelser
20
4.
KORTLÆGNING AF PRAKSIS OG BARRIERER I FORBIN-
DELSE MED EGU
Dette kapitel beskriver de forskellige kommuners praksis i forbindelse med tilrettelæggelse og
gennemførelse af egu, samt de vilkår og barrierer, som ifølge kommunerne, har betydning for
udbredelsen og anvendelsen af egu. Resultater og konklusioner er baseret på interviewundersø-
gelsen blandt 26 udvalgte kommuner, hvoraf 16 af dem er højt præsterende i forhold til at få
eleverne til at gennemføre egu, samt at få de unge videre i uddannelse eller beskæftigelse, uan-
set om de gennemfører eller ej. De resterende 10 kommuner er lavt præsterende.
I kortlægningen er der systematisk analyseret på tværs af de 26 kommuner med fokus på lighe-
der og forskelle mellem de højt og lavt præsterende kommuner. Af hensyn til kommunerne er de
ikke angivet med navn, men grupperet efter deres evne til at få eleverne (fra årgangene 2010-
2012) til at gennemføre egu samt videre i uddannelse eller beskæftigelse.
4.1
Kommunernes organisering af og tilgang til egu
De første hypoteser omhandler forventninger til, hvilke(n) organiseringsform(er) der er de(n)
bedste for arbejdet med egu. I de statistiske analyser og effektanalysen præsenteret i kapitel 3
og 5 fremgår det, at der ingen sammenhæng er mellem den organiseringsform, som kommuner-
ne har valgt, og deres resultater i forhold til egu. Forventningen om, at der ikke er en sammen-
hæng mellem organiseringsform og effekten af egu (hypotese 1) kan dermed bekræftes. En for-
klaring på, at denne forskel ikke fremkommer af de statistiske analyser, kan være, at de inden
for samme model har valgt at gribe arbejdet med egu forskelligt an.
I det følgende undersøges det nærmere, om der er andre forskelle i organisering (end selve or-
ganiseringsformen), som kan være afgørende for effekten af egu. Eksempelvis undersøges det,
om effekten af egu knytter sig til, om kommunerne arbejder ud fra en helhedstænkning i kom-
munen omkring udsatte unge, herunder samarbejde mellem de forskellige kommunale forvalt-
ninger fx børn og unge-, social- og beskæftigelsesforvaltningen (hypotese 2), samt om de har en
forpligtelse af/et samarbejde med jobcenteret (hypotese 3).
På baggrund af interviews med ledelsesrepræsentanter i kommunerne fremgår det, at der ikke er
et entydigt billede i forhold til de to hypoteser. Generelt har både højt og lavt præsterende kom-
muner et samarbejde med forvaltningerne på tværs og jobcenteret, men der er forskelle på
tværs af kommunerne i forhold til
intensiteten
af det nævnte samarbejde.
De kommuner, der præsterer bedst, har i højere grad en helhedstænkning omkring den unge i
kommunen, hvor særligt beskæftigelses- og uddannelsesindsatsen er sammentænkt. Den sociale
indsats, der varetages i fx børne- og familieafdelingerne inddrages i mindre grad og mest, hvor
der er en sag på den unge, eller hvor omstændighederne omkring den unge gør det relevant. Af
interviewene med egu-vejlederne fremgår det, at størstedelen af vejlederne fra de højt præste-
rende kommuner har et tæt samarbejde med de forskellige kommunale forvaltninger. Kommu-
nerne fremhæver, at alle aktører i kommunen, der arbejder med målgruppen, holder fokus på
egu som en mulighed for unge, som ikke er i uddannelse eller på arbejdsmarkedet. Det er med til
at sikre, at alle potentielle egu-elever bliver opsporet og præsenteret for egu. Derudover sikrer et
sådant samarbejde også en grundig overlevering ved gennemført eller afbrudt egu-forløb.
Særligt samarbejdet med jobcenteret ser ud til at have betydning for kommunernes succes med
egu. De kommuner, der er højt præsterende, har sikret, at der er et tæt samarbejde mellem UU-
vejledere (herunder egu-vejledere), ungeindsatser og jobcenteret. Det vil i praksis sige, at virk-
somhedskonsulenter, ungekonsulenter og uddannelsesvejledere enten er placeret fysisk sammen
eller har et fast samarbejde omkring de unge i kommunen (eksempelvis ugentlige møder
el.lign.). Altså, at egu på en eller anden måde er forankret i jobcenteret – enten ved at være en
underlagt (UU)enhed i jobcenteret eller ved at have et
fast
tæt samarbejde. At egu har gode vil-
kår i disse kommuner kan hænge sammen med, at egu har et dobbeltsidet formål med både et
uddannelses- og beskæftigelsessigte.
Analyse af erhvervsgrunduddannelsen
BUU, Alm.del - 2015-16 - Bilag 172: Orientering om analyse af erhvervsgrunduddannelsen (egu), fra Rådet for Ungdomsuddannelser
21
Samarbejdet med henholdsvis sagsbehandlere og virksomhedskonsulenter i jobcentret består ty-
pisk i opsporing og afklaring af en potentiel egu-elev og fremskaffelse af den rette praktikplads,
hvilket er betinget af, at de i jobcenteret kender til egu og samtidig er klar over, hvilke krav der
stilles til en egu-elev. Når egu-forløbet er sat i gang, er det typisk vejlederen, der tager helt over.
Ved gennemført eller afbrudt egu-forløb bliver samarbejdet med jobcenteret igen relevant i for-
hold til at sikre den bedste overlevering af den unge.
Kommunerne peger på to faktorer som særligt væsentlige for et godt samarbejde; at egu-
vejlederne har en
fysisk placering
sammen med deres samarbejdspartnere (fx jobcenteret) og at
de har en
relation til samarbejdspartnerne.
Hvis en egu-vejleder fra produktionsskolen eksem-
pelvis sidder på jobcenteret en dag om ugen, eller medarbejdere i en årrække har haft opbygget
relationer omkring egu på tværs af kommunale enheder, er det medvirkende til, at samarbejdet
opretholdes, selvom det ikke er formaliseret på møder. Tæt fysisk placering og kendskab medvir-
ker endvidere til, at de henvender sig til hinanden før, undervejs og efter et egu-forløb og kan
trække på hinandens kompetencer. Dog kan det ofte tage form som en-til-en kontakt i kraft af
den relation, det er bygget på. Det kan betyde, at samarbejdet er meget personbåret, og derfor
kan det være skrøbeligt at opretholde, hvis der er stor udskiftning hos de medarbejdergrupper,
som vejlederen skal samarbejde med.
Egu-vejlederne fremhæver i forlængelse af ovenstående, at der ligger et stort arbejde i at fast-
holde fokus på og viden om egu hos alle aktører, der har med målgruppen at gøre, herunder ar-
bejdspladserne og andre kommunale enheder. Dette kræver en del arbejde, men er samtidig af-
gørende for, at kendskabet til og anvendelse af egu kan fastholdes og udbredes.
Det skal bemærkes, at flere af de lavt præsterende kommuner i det seneste år har etableret et
tæt(tere) samarbejde mellem de forskellige forvaltninger, jobcenter, UU og andre relevante en-
heder i kommunen, men har i perioden 2010-2012 ikke haft en helhedstænkning omkring den
unge.
Konklusionen er ikke entydig, men analysen indikerer, at en helhedstænkning omkring den unge
og et tæt samarbejde på tværs af kommunale enheder, forvaltninger og den ansvarlige egu-
enhed er positivt for effekten af egu. Hypotese 2 og 3 er derfor til dels bekræftet.
4.2
Egu-vejledningen
I dette afsnit præsenteres resultaterne af interviewundersøgelsen i forhold til egu-vejledningen,
hvor forventningen er, at der er fire parametre for en succesfuld vejledning, som er afgørende for
effekten af egu. De fire parametre er som følger:
At
At
At
At
egu-vejlederne har de rette kompetencer
egu-vejlederne er en fast medarbejdergruppe uden stor udskiftning
kommunerne/egu-vejlederne er gode til at danne netværk med arbejdspladserne
kommunerne/egu-vejlederne har en tæt og løbende kontakt med eleverne.
I interviewundersøgelsen er ledelsesrepræsentanterne blevet spurgt til, om de opstiller krav om
særlige kompetencer eller uddannelse
til dem, de ansætter som egu-vejledere i kommunen.
Til dette spørgsmål svarer størstedelen bekræftende, men kun én kommune har krav om, at egu-
vejlederne skal have specialpædagogiske kompetencer. Ser vi på de højt præsterende kommuner
fremgår det, at stort set alle stiller krav om, at egu-vejlederne har vejlederuddannelsen eller skal
tage den, som noget af det første, efter de er blevet ansat. For de lavt præsterende kommuner
er det kun halvdelen, der har samme krav. Udover de formelle kompetencer lægger kommunerne
på tværs vægt på, at egu-vejlederne kan sætte sig ind i lovgivningen og har gode kommunikati-
onsevner. De begrunder dette med, at vejlederne skal anvende lovgivningen om egu, LAB-loven,
Serviceloven m.fl. i deres arbejde, og at det er helt centralt, at vejlederne er i stand til at etable-
re en god relation med arbejdsgivere, andre kommunale enheder og de unge i målgruppen.
Analyse af erhvervsgrunduddannelsen
BUU, Alm.del - 2015-16 - Bilag 172: Orientering om analyse af erhvervsgrunduddannelsen (egu), fra Rådet for Ungdomsuddannelser
22
Hypotese 5, at det er afgørende, at egu-vejledere har specialpædagogiske kompetencer, kan
dermed afkræftes at have afgørende betydning for effekten af egu. Det skal dog bemærkes, at
egu-vejledere i de højt præsterende kommuner i højere grad har (krav om) vejlederuddannelsen.
Udover at have de rette kompetencer i forhold til at vejlede på egu, er der en forventning om, at
en stor udskiftning blandt medarbejdere omkring egu har en negativ betydning for anvendelsen
og succesen af egu (hypotese 8). Analysen kan hverken af- eller bekræfte denne hypotese, da al-
le interviewede kommuner, på nær to, har haft en
fast medarbejdergruppe
omkring egu i en
lang årrække. Det kan dog konstateres, at det ikke er udskiftning i medarbejdergruppen, der er
det mest afgørende for, om kommunerne præsterer højt eller lavt i forhold til egu. Enkelte kom-
muner, der præsterer lavt, peger dog på, at det til tider kan være en udfordring, at der er stor
udskiftning i medarbejderne i jobcenteret, da de nye medarbejdere ikke kender egu på forhånd,
når de bliver ansat, og at kendskabet til egu konstant skal holdes ved lige i kommunernes øvrige
enheder.
I forhold til hypotesen om, at
netværksopbygning i de faglige miljøer samt relationsdan-
nelse til arbejdspladserne
er afgørende for effekten af egu (hypotese 6), er der ikke et klart
billede. Kun ca. halvdelen af de interviewede kommuner deltager i netværk og har oparbejdet
uformelle netværk. Dette går på tværs af henholdsvis højt og lavt præsterende kommuner. Hy-
potese 6 kan dermed ikke bekræftes. Men det kan tilføjes, at de kommuner, der arbejder med
netværk og relationsdannelse, peger på, at det tager tid at opbygge disse, ligesom det ofte er
personer, der har arbejdet med egu i mange år, der typisk gør brug af uformelle netværk og re-
lationer. Det er altså sjældent, at de oplyser om egu i formaliserede erhvervsnetværk, og træk-
ker på formelle netværk, når de skal finde praktikpladser. Til gengæld viser analysen af ledelses-
interviewene, at der er en sammenhæng mellem
udadgående aktiviteter til arbejdspladser-
ne
og kommunernes evne til at få de unge gennem egu og videre i uddannelse og beskæftigelse
(hypotese 7). Analyserne viser, at 70 pct. af kommunerne, der er i top i forhold til (næsten) alle
udvælgelseskriterier, og 60 pct. af kommunerne, der er særligt gode i forhold til udvalgte kriteri-
er, i høj grad har udadgående aktiviteter. Det samme gør sig kun gældende for 30 pct. af kom-
munerne, der er i bund i forhold til (næsten) alle udvælgelseskriterierne. Dette mønster viser sig
på trods af, at kommunerne selv peger på, at de udadgående aktiviteter ikke er lige så afgørende
som netværksarbejdet. De argumenterer for, at kontakten til virksomhederne skal være aktuel,
og når der er et behov for at finde en praktikplads til en konkret ung. Eksempelvis nævner kom-
munerne, at de oplever, at hvis ikke de kan finde en egu-elev til virksomheden, når den melder
positivt tilbage i forhold til at være praktiksted, mister de kontakten til virksomheden igen.
Samlet set kan der på baggrund af analysen konkluderes, at netværksdannelse ikke viser sig at
være afgørende for effekten af egu, men at graden af opsøgende aktiviteter hos virksomhederne,
som eksempelvis virksomhedsbesøg, reklamefremstød (fx telefonisk rundringning med informati-
on om egu) og deltagelse i møder, kommunen har med erhvervsdrivende, ser ud til at have posi-
tiv betydning for effekten af egu.
Sidst men ikke mindst var der en forventning om, at en
tæt og løbende kontakt med egu-
eleverne
er afgørende for effekten af egu – både i forhold til gennemførelse og videre færd (hy-
potese 9). Analysen viser, at egu-vejlederne på tværs af kommunerne har kontakt med eleverne
efter behov, og at ingen har opstillet retningslinjer for, hvor ofte egu-vejlederne skal være i kon-
takt med eleverne. Det vil sige, at de tilpasser intensiteten efter den unges behov. De fremhæ-
ver, at der er nogle unge, der har brug for tæt opfølgning og at blive taget i hånden, hvor andre
er mere selvkørende og parate til at håndtere egu mere selvstændigt. Flere kobler deres svar til,
at uddannelsen er individuelt tilrettelagt, og de i denne tilrettelæggelse også afdækker og aftaler,
hvor tit der er brug for kontakt mellem vejleder og elev. Hypotesen kan derfor hverken af- eller
bekræftes, da der ikke er nogen kommuner, der ikke har en tæt og løbende kontakt. Den eneste
forskel, der er at spore mellem højt og lavt præsterende kommuner, er, at flere af de højt præ-
sterende kommuner giver udtryk for, at de mindst hver 14. dag har kontakt med alle elever, der
vejledes, hvor ingen lavt præsterende giver udtryk for samme frekvens.
Analyse af erhvervsgrunduddannelsen
BUU, Alm.del - 2015-16 - Bilag 172: Orientering om analyse af erhvervsgrunduddannelsen (egu), fra Rådet for Ungdomsuddannelser
23
Udover en-til-en kontakt mellem egu-elev og egu-vejleder har Rambøll undersøgt, om kommu-
nerne har fælles aktiviteter for egu-elever, og om det har positiv indvirkning på gennemførelse af
egu-forløb.
Omtrent halvdelen af alle kommunerne og to tredjedele af de højt præsterende kommuner har
fælles aktiviteter for egu-eleverne.
Der er ikke nogen entydig forskel mellem højt og lavt
præsterende kommuner generelt, men det fremgår af interviewene, at kommuner, der i høj grad
har succes med at få eleverne til at
gennemføre egu-forløbet,
i overvejende grad har iværksat
fælles aktiviteter for egu-eleverne. Samtidig er det også karakteriserende for de kommuner, der
er særligt udfordrede i forhold til gennemførte egu-forløb, at de i overvejende grad
ikke
afholder
fælles aktiviteter.
Det er dog ikke entydigt, hvilke typer af fælles aktiviteter der er udslagsgivende i forhold til at få
eleverne til at gennemføre. Det varierer i forhold til omfang og typer af aktiviteter. I flere af
kommunerne med høj gennemførelsesgrad blandt eleverne har man iværksat en egu-klub, hvor
der arrangeres sociale arrangementer som biografture, museumsbesøg eller udenlandsture, og i
nogle tilfælde er disse sociale initiativer kombineret med faglige oplæg om økonomi, SKAT, in-
formation om uddannelsen mv. Aktiviteterne strækker sig fra at foregå en gang om måneden til
et par gange om året. I nogle tilfælde er der også tale om, at der gennemføres fælles intro-
/opkvalificeringsforløb for nye egu-elever, hvor de unge kan etablere et fællesskab med hinan-
den.
Gennemgående peger både ledere og vejledere på tværs af kommunerne på, at den primære ud-
fordring ved, at egu er et individuelt, tilrettelagt forløb, er, at flere unge kan føle, det er ensomt,
og at de fælles aktiviteter kan kompensere for dette ved, at de får nogle andre unge, de kan
spejle sig i. Samtidig kan aktiviteterne skabe et rum for, at de unge kan blive en del af et net-
værk, hvori de kan udvikle deres sociale kompetencer, som flere af de unge ifølge vejlederne har
behov for. Nogle fremhæver dog også udfordringen i, at flere af de unge ikke har lyst til at delta-
ge i de fælles aktiviteter, og at det kan være ressourcekrævende for kommunerne, da det ikke er
en del af finansieringen af egu.
4.3
Barrierer og muligheder for egu
I dette afsnit præsenteres en analyse af barrierer og muligheder for egu på baggrund af de kvali-
tative interviews med ledelsesrepræsentanter og egu-vejledere i kommunerne.
I analysen af egu fremgår det af interviewene med kommunerne, at der på trods af en større
gruppe unge i målgruppen og fleksibiliteten i uddannelsen stadig er nogle
barrierer,
der står i
vejen for en øget anvendelse og udbredelse af egu. De fleste barrierer knytter sig til finansierin-
gen af uddannelsen samt lønsatserne for egu-eleverne under deres praktik på arbejdspladserne.
23 ud af 26 kommuner mener, at de
kollektive overenskomster,
der omfatter lønsatser sva-
rende til (eller højere end) satserne for en 1.års EUD-elev, er en stor udfordring i forhold til at
finde praktikpladser til de unge og i forhold til at udbrede muligheden for egu. Egu-vejlederne op-
lever især, at de private virksomheder ikke vil betale det samme eller mere for en egu-elev, der
som oftest kræver en større vejlednings- og støtteindsats end en EUD-elev, når de kan få en
EUD-elev til den samme eller i nogle tilfælde billigere sats. Egu-vejlederne peger ofte på, at det
derfor enten er virksomheder, der kender eleven i forvejen (fx fra virksomhedspraktik i andet re-
gi) eller som har gode erfaringer med at have egu-elever i praktik, eller virksomheder, som ger-
ne vil tage et større socialt ansvar, der er velvillige til at tage en egu-elev i praktik.
I relation til, at kommunerne oplever det som en barriere, at lønsatserne for egu-eleverne er så
forholdsvis høje sammenlignet med lønsatserne for EUD-eleverne, peger flertallet også på, at
bortfaldet af løntilskuddet til arbejdsgiverne
(med virkning fra udgangen af 2013) har bety-
det, at de ikke længere kan kompensere virksomheden for at tage en egu-elev i samme grad.
Virksomhederne har mulighed for at tage andre i praktik med løntilskud som fx ledige, og kom-
munerne oplever derfor, at mange virksomheder spørger: ”Hvad får vi for at tage en egu-elev?”,
Analyse af erhvervsgrunduddannelsen
BUU, Alm.del - 2015-16 - Bilag 172: Orientering om analyse af erhvervsgrunduddannelsen (egu), fra Rådet for Ungdomsuddannelser
24
hvortil kommunerne må svare, at der ikke følger noget tilskud eller lignende med. En stor gruppe
af kommunerne mener dog ikke, at det er tilskuddet, der er en afgørende barriere, da det er løn-
nen, som arbejdsgiveren skal betale, der er det afgørende, hvor et løntilskud ikke gør forskellen.
Flere kommuner peger desuden på, at kommunerne har afsat
en pulje midler/en budget-
ramme for uddannelsen,
som indirekte sætter et loft for antallet af elever på uddannelserne.
Egu-vejlederne oplever ikke, at de står med potentielle egu-elever, som ikke får lov til at starte,
men at der ikke er ressourcer til at opsøge og identificere flere potentielle egu-elever inden for
den økonomiske ramme.
Forventningen om, at økonomien er den største barriere for udbredelse af egu (hypotese 10),
kan på baggrund af analysen bekræftes, og det kan i den sammenhæng tilføjes, at det både er
det første kommunerne nævner, når de spørges til eventuelle barrierer for udbredelsen, og det er
det, de peger på som den altoverskyggende udfordring. Økonomi skal her ses bredere end finan-
siering, idet kommunernes ressourcer afsat til egu (herunder antal ansatte egu-vejledere) også
er en del af barrieren i nogle kommuner.
Sekundære udfordringer og barrierer, som kommunerne peger på, er for det første
manglende
kendskab til egu
blandt arbejdspladserne og generelt i samfundet. Egu-vejlederne fremhæver
især, at det er en vedvarende opgave at sikre kendskabet til egu blandt kommunernes medar-
bejdere i andre enheder end den egu-ansvarlige enhed samt blandt virksomhederne. Flere mener
ikke, at egu-vejlederne kan varetage denne oplysningsrolle alene, men skal støttes af interessen-
terne (fx DA og KL). For det andet fremhæves det, at
geografi
er en udfordring – især i kom-
muner, der dækker bredt geografisk. Det skyldes på den ene side, at eleverne har langt fra deres
bopæl til praktiksted og uddannelsessted(er) under egu-forløbet, som øger risikoen for frafald. På
den anden side kan det skyldes, at egu-eleverne ikke kan få
transportgodtgørelse
i praktikde-
len, og at det ikke i alle regioner er muligt at komme til og fra et egu-forløb med offentlig trans-
port. Det betyder i flere tilfælde, at den unge ikke har råd til at starte i et egu-forløb. Sidste ud-
fordring, der går igen i interviewene, er, at de nogle steder ikke kan finde nok, der vil gå på egu.
Både ledelsesrepræsentanter og egu-vejledere peger på, at egu i nogle områder/kommuner har
et dårligt ry eller ikke betragtes som en ”rigtig ungdomsuddannelse”.
I forhold til at få kommuner, stat og regioner til at etablere flere offentlige egu-praktikpladser
ligger der en udfordring i – især i kommunerne – at midlerne i nogle kommuner går fra den sam-
lede pulje af midler til egu. Det betyder, at kommunerne kan have
færre i egu-forløb med en
større andel af kommunale praktikpladser.
Andre kommuner peger på, at de kommunale
budgetter er pressede, og de derfor er mindre villige til at betale elevløn, når der er mulighed for
at få andre grupper uden for arbejdsmarkedet med løntilskud. Kommunerne har ingen andre bud
på, hvordan man kan få de offentlige arbejdspladser til at oprette flere egu-praktikpladser, end at
der følger økonomi med.
For at imødekomme de nævnte udfordringer peger egu-vejlederne og ledelserne i de ansvarlige
enheder på følgende tre
handlemuligheder:
Mentorstøtte
betalt af kommunen. Det vil sige, at en person på arbejdspladsen får et
fast antal timer til at være mentor for egu-eleven og yde støtte til eleven under praktik-
forløbet. Flere kommuner har gode erfaringer med denne model, hvor de dog på nuvæ-
rende tidspunkt gør det med hjemmel i Lov om aktiv beskæftigelsesindsats (LAB-loven).
Positiv forskelsbehandling
af egu-eleverne, hvor virksomhederne får en økonomisk
kompensation for at tage en egu-elev, idet egu-eleven alt andet lige har ringere forud-
sætninger for at varetage jobbet end fx en 1-års EUD-elev og kræver ekstra støtte i for-
løbet. Alternativt at ændre overenskomsten for egu-elever til en lønsats, der er konkur-
rencedygtig med EUD-elever og andre elever, der skal i praktik i virksomhederne.
Oplysningskampagner/-projekter
som fx ”Sæt skub i egu!”, hvor virksomheder og
kommunale aktører (sagsbehandlere, jobkonsulenter, UU-vejledere m. fl.) får indsigt i
egu og dens muligheder.
Analyse af erhvervsgrunduddannelsen
BUU, Alm.del - 2015-16 - Bilag 172: Orientering om analyse af erhvervsgrunduddannelsen (egu), fra Rådet for Ungdomsuddannelser
25
Udover barrierer ved egu fremhæves en række
styrker
ved anvendelsen af egu. Først og frem-
mest peger alle kommuner på styrken ved, at egu er en
individuelt, tilrettelagt uddannelse,
hvor skole- og praktikforløb kan tilrettelægges under hensyntagen til elevens forudsætninger og
behov samt virksomhedernes årshjul (herunder stille perioder og perioder med spidsbelastning).
En anden styrke ved den individuelle tilrettelæggelse er, at der er løbende optag, således at de
unge ikke får en pause eller ”et hul”, hvor de skal vente på at kunne starte på en uddannelse.
Styrken er, at de kan starte, når de er motiveret og kort efter et evt. afbrud af en anden uddan-
nelse.
I forhold til skoleforløbet peger de fleste kommuner på, at det er en styrke, at de unge kan få de
skoleforløb, der er målrettet den branche, de er i praktik i, samt deres behov. Eksempelvis kan
eleverne tage dele af uddannelsen på AMU, hvor de får et kvalifikationsbevis med, som er direkte
anvendeligt på arbejdspladsen. Et andet eksempel er, at de kan tage de fag og eksaminer, som
de skal bruge for at kunne komme videre på en ordinær ungdomsuddannelse efterfølgende.
Især egu-vejlederne peger desuden på, at egu er med til at
modne eleverne og give dem til-
tro til egne evner,
som klargør dem til videre færd i uddannelse eller beskæftigelse. De unge
har ofte faglige udfordringer og dårlige oplevelser og nederlag med sig fra folkeskolen og i nogle
tilfælde også fra andre uddannelsesforsøg. De unge har ifølge egu-vejlederne derfor brug for at
opbygge selvtillid og tro på egne evner gennem succesoplevelser på egu. En egu-vejleder ud-
trykker det på følgende måde; ”egu-forløbet er for nogle unge den nødvendige omvej til at kom-
me videre i job eller uddannelse”. Selvom egu ikke er kompetencegivende til videre uddannelse,
er egu en mulighed for nogle unge til at blive klar til en ordinær ungdomsuddannelse eller be-
skæftigelse.
Svagheden
ved, at egu er en individuelt, tilrettelagt uddannelse, er på den anden side, at ele-
verne i nogle kommuner
mangler et fællesskab med andre unge
(på egu). De har ikke et til-
hørsforhold til en uddannelsesinstitution, hvor de møder andre unge. Nogle egu-vejledere påpe-
ger dog, at eleverne finder et fællesskab på arbejdspladsen, men at det afhænger meget af ar-
bejdspladsens størrelse og medarbejdergruppe. For at imødekomme denne svaghed i uddannel-
sen har flere kommuner fælles aktiviteter for deres egu-elever, hvor de mødes i faglige og sociale
sammenhænge (jf. afsnit 4.2).
I nedenstående tabel er de mest fremhævede styrker og muligheder samt svagheder og barrierer
ved egu samlet i en oversigt.
Analyse af erhvervsgrunduddannelsen
BUU, Alm.del - 2015-16 - Bilag 172: Orientering om analyse af erhvervsgrunduddannelsen (egu), fra Rådet for Ungdomsuddannelser
1623226_0028.png
26
Tabel 4-1: Styrker og svagheder samt muligheder og barrierer ved egu
Styrker
At uddannelsen tilpasses den unges forudsæt-
ninger og behov
At uddannelsen tilrettelægges under hensynta-
gen til arbejdspladsens årshjul og behov
At elever, der ikke har mulighed for at komme
på en ordinær uddannelse, får et tilbud, der en-
ten klargør dem hertil eller giver dem en alter-
nativ uddannelsesvej
Svagheder
At egu-eleverne kan føle sig ensomme uden
kontakt til andre unge og mangle et fællesskab
med andre unge
Muligheder
Mentorstøtte til virksomhederne
Positiv forskelsbehandling af egu-elever
Oplysningskampagner/-projekter om egu
Barrierer
At egu-eleverne er omfattet af overenskom-
ster, som begrænser muligheden for at få
praktikpladser (i bestemte brancher)
At der i flere kommuner ikke er midler til en
større opsøgende indsats på egu-området
Manglende kendskab til egu
At nogle kommuner skal dække bredt geogra-
fisk
At der ikke er transportgodtgørelse til egu-
elever
Flere offentlige praktikpladser kan føre til færre
egu-forløb i alt
4.4
Delkonklusion
Sammenfattende fremgår det af kapitlet, at der er forskelle i praksis mellem de højt og lavt præ-
sterende kommuner. De højt præsterende kommuner har i højere grad end de lavt præsterende
kommuner en helhedstænkning omkring den udsatte unge, hvor særligt uddannelses- og be-
skæftigelsesindsatsen er sammentænkt. Særligt ser det ud til en høj intensitet af dette samar-
bejde og af samarbejdet mellem jobcenteret og den ansvarlige egu-enhed er karakteristisk for de
højt præsterende kommuner sammenlignet med de lavt præsterende. Derudover er det karakte-
ristisk for de højt præsterende kommuner, at de har uddannelseskrav til deres egu-vejledere, at
de har krav om en minimumskontakt mellem egu-vejleder og egu-eleverne, og at de har fælles-
aktiviteter for egu-eleverne i løbet af egu-forløbet.
På tværs af kommunerne opleves en række barrierer for anvendelsen af egu, som alle fremgår af
tabel 4-1 ovenfor. Kommuner peger på tre handlemuligheder i forhold til at imødekomme barrie-
rerne for anvendelsen af egu, men påpeger også, at så længe de økonomiske barrierer (især løn-
satserne for egu-eleverne) er til stede, er det begrænset, hvad der er af handlemuligheder. Ud-
over barriererne peger kommunerne entydigt på, at der ligger en stor styrke i, at uddannelsen er
individuelt tilrettelagt, så den kan tilpasses den enkelte unges behov og forudsætninger samt ar-
bejdspladsens årshjul og behov.
Analyse af erhvervsgrunduddannelsen
BUU, Alm.del - 2015-16 - Bilag 172: Orientering om analyse af erhvervsgrunduddannelsen (egu), fra Rådet for Ungdomsuddannelser
1623226_0029.png
27
5.
EFFEKTANALYSE AF EGU
I dette kapitel belyses de beskæftigelses- og uddannelsesmæssige effekter af egu-forløbet. Af-
snittet vil konkret give svar på, hvor eleverne bevæger sig hen, efter de har fuldført egu-forløbet:
Hvor mange elever overgår til henholdsvis videre uddannelse, job eller offentlig forsør-
gelse? Herunder, hvor stort omfanget af positive afbrud til uddannelse er for gruppen af
elever, der afbryder egu?
Hvilke uddannelser starter eleverne på efter gennemført eller afbrudt egu?
Hvilke brancher bliver de fuldførte og afbrudte egu-elever ansat indenfor?
Analysen foretages henholdsvis 6, 12, 18 og 24 måneder efter, eleverne enten har gennemført
eller afbrudt egu, hvorfor analysen både har et kort og et langt sigte. Analysen bygger på alle
elever, der er startet på en egu i årene 2010, 2011 eller 2012, hvilket betyder, at undersøgelsen
består af et populationsudtræk. Valget af årgange har for det første til formål at sikre, at variati-
onen mellem årgangene inddrages, og sikre en tilstrækkelig stor analysepopulation, der kan bi-
drage til konsistente og signifikante resultater. De tre årgange er for det andet udvalgt på bag-
grund af ønsket om at kunne følge eleverne i minimum en 1-års periode efter, de har fuldført el-
ler afbrudt egu. Da egu typisk løber over en 2-årig periode, er 2012 valgt som det seneste påbe-
gyndte år. Populationsudtrækket er blevet sammenkoblet via Danmarks Statistik med uddannel-
ses- og DREAM-registerdata
10
.
Da analysen ikke inkluderer en kontrolgruppe i effektanalysedesignet, er det ikke muligt at isole-
re effekten af egu, hvorfor den kausale sammenhæng ikke kan etableres entydigt, da det må for-
ventes, at andre forhold kan have betydning for elevernes beskæftigelses- og uddannelsessitua-
tion før, under og efter, de har været indskrevet på egu. Dette berøres i kapitel 5, hvor sammen-
hængen mellem elevernes baggrunde og fuldførelse af egu samt beskæftigelses- og uddannel-
seseffekter undersøges.
Da formålet med egu, som tidligere beskrevet, er videre uddannelse eller beskæftigelse, anven-
des disse to mål som de primære effektmål i effektanalysen. I boksen nedenfor beskrives de fem
statuskategorier, som anvendes i effektanalysen.
Boks 5-1: Statuskategorier til brug i effektanalysen
Uddannelse:
Personer, der modtager SU, SU uden ydelse (svarende til fravalgt klip) og personer på SVU/VUS.
Beskæftigelse:
Personer, der er angivet som selvforsørgende (ikke modtager en offentlig ydelse) og som samtidig er tilknyttet
en branche. Kategorien inkluderer også uddannelse, hvor der er en form for løn under uddannelse, eksempelvis
vil en person, som er ansat som elev i en virksomhed og modtager løn, befinde sig under denne kategori.
Selvforsørgende:
Personer, der er angivet som selvforsørgende, men som ikke er tilknyttet en branche, og som dermed ikke er i
beskæftigelse. Denne kategori dækker også over personer, der er under 18 år og ikke berettiget til en offentlig
ydelse og som fx bor hjemme hos sine forældre.
Offentlig ydelse:
Personer, der modtager andre offentlige ydelser end kontanthjælp eller SU, herunder dagpenge, sygedagpenge,
barselsdagpenge, førtidspension, revalidering, forrevalidering, ledighedsydelse, fleks- og skånejob. Alle ydelser
inkluderer også aktiverede personer.
Kontanthjælp:
Personer der modtager kontanthjælp eller uddannelseshjælp (inkl. aktiverede)
10
Til Uddannelseseffekter er anvendt registerdata fra det Komprimeret elevregister (KOMP1), som er et forløbsregister, hvor man kan
følge alle uddannelser, den enkelte person har været indskrevet på. Til at belyse beskæftigelseseffekter anvendes DREAM, som ligele-
des er et forløbsregister, hvor man på ugebasis kan følge personers status på arbejdsmarkedet over tid.
Analyse af erhvervsgrunduddannelsen
BUU, Alm.del - 2015-16 - Bilag 172: Orientering om analyse af erhvervsgrunduddannelsen (egu), fra Rådet for Ungdomsuddannelser
1623226_0030.png
28
5.1
Overgang til videre uddannelse, job eller offentlig forsørgelse
I dette afsnit præsenteres først egu-elevernes uddannelses- og beskæftigelsesmæssige status
henholdsvis 6, 12, 18 og 24 måneder efter at have fuldført eller afbrudt egu. I figuren nedenfor
fremgår denne oversigt.
Figur 5-1: Elevernes forløb hhv. 6, 12, 18 og 24 måneder efter endt egu forløb, fuldført eller afbrudt
Kilde: Rambøll-analyse på baggrund af data fra STIL samt DREAM-registerdata.
Note: Antal elever på enkelte nedslagstidspunkter efter elevernes slutdato: 6 måneder: n=4.441 (fuldført n=1.654, af-
brudt n=2.787), 12 måneder: n=4.269 (fuldført n=1.499, afbrudt n=2.770), 18 måneder: n=3.824 (fuldført n=1.135,
afbrudt n=2.689), 24 måneder: n=3.393 (fuldført n=877, afbrudt n=2.516). Faldet i n skyldes, at nogle elever er startet
senere på egu end andre, hvorfor DREAM kun indeholder data for nogle af eleverne i hele perioden. Grunden til, at antal-
let af elever (n=4.441) ikke stemmer overens med antallet, der er startet på egu i 2010, 2011 eller 2012 (n=4.700, diffe-
rence på 259) skyldes, at nogle af eleverne stadigvæk står som igangværende, eller at eleverne ikke fremgår af DREAM.
Af figuren ses det, at en stor del (59-67 pct.) af eleverne fortsætter i uddannelse, overgår til be-
skæftigelse eller selvforsørgelse inden for de første to år efter, at de har fuldført egu. Det samme
gør sig gældende for elever, der afbryder egu (63-70 pct.). Dog er en stor del af gruppen, der af-
bryder egu, unge under 18 år, hvilket svarer til én ud af fem af eleverne. For begge grupper gæl-
der altså, at omkring to ud af tre er i uddannelse, beskæftigelse eller er selvforsørgende seks
måneder efter, at de har afsluttet eller afbrudt egu. Dette stemmer overens med resultaterne fra
Effektanalysen 2012,
som er baseret på analyser af 2007-årgangen. Ligesom dengang ser det
altså ikke ud til, at fuldførelsen af egu i sig selv er afgørende for elevernes efterfølgende over-
gang til uddannelse eller beskæftigelse.
Selvom der umiddelbart ikke ser ud til at være nogen uddannelses- eller beskæftigelsesmæssig
effekt på, om man har gennemført egu eller ej, har gennemførelsen af egu en væsentlig betyd-
ning for, om eleven bliver modtager af uddannelseshjælp eller kontanthjælp. 4-7 pct. af elever-
ne, der har gennemført egu, modtager i løbet af de første to år uddannelseshjælp eller kontant-
hjælp, hvilket gør sig gældende for 26-31 pct. af eleverne, der er frafaldet egu. Det lader således
til, at gruppen af egu-elever, der frafalder egu, er todelt. Den første del er elever, som betragtes
som
positive afbrud,
da de er startet på en anden uddannelse. Denne del af frafaldsgruppen er
sandsynligvis ikke frafaldet egu, fordi de ikke har evnen til at gennemføre egu, men er personer,
som er kommet videre i uddannelse enten som følge af egu eller på egen hånd. Den anden del er
elever, som efter afbrudt egu overgår til fx kontanthjælp. Denne gruppe betragtes derimod som
negative afbrud.
Sammenlignet med
Effektanalysen
2012, er der sket en stigning i andelen af af-
Analyse af erhvervsgrunduddannelsen
BUU, Alm.del - 2015-16 - Bilag 172: Orientering om analyse af erhvervsgrunduddannelsen (egu), fra Rådet for Ungdomsuddannelser
1623226_0031.png
29
brudte elever, der overgår til kontanthjælp efter afbrudt egu, hvilket svarer til en stigning på 7,4
procentpoint.
Endelig fremgår det af figuren, at andelen af personer på anden offentlig ydelse end uddannel-
seshjælp og kontanthjælp samt SU ligeledes afhænger af deres gennemførelse af egu. For perso-
ner, der har gennemført egu, udgør andelen af personer på anden offentlig ydelse mellem 29-37
pct. i løbet af de første to år efter, de har gennemført egu, mens dette gør sig gældende for 3-7
pct. af dem, der afbryder. En fuldført egu giver ret til dagpenge på dimittendsats, hvilket kan væ-
re med til at forklare den relativt store andel af elever, der efter endt egu overgår til anden of-
fentlig forsørgelse, herunder dagpenge. Da egu er individuelt tilrettelagt kan elever færdiggøre
deres egu løbende over året, og det er derfor forventeligt, at de vil have en periode med dagpen-
ge kort efter endt egu og inden de påbegynder uddannelse eller beskæftigelse. Flere interviewe-
de ledere og egu-vejledere forklarer også, at der er et skyggetal i forhold til dem, der er på reva-
lidering, mens de tager en uddannelse. Disse tæller således med i anden offentlig forsørgelse,
selvom de er i uddannelse.
Samlet set, kan det altså konkluderes, at gennemførelse af egu reducerer sandsynligheden for, at
eleven ender på kontanthjælp eller i uddannelseshjælp i løbet af de første to år efter, at eleven
har afsluttet egu. Gennemførelsen af egu har dermed en positiv betydning for eleverne sammen-
lignet med dem, der afbryder egu. I kapitel 6 fremgår yderligere analyser af sammenhængen
mellem gennemført egu og overgangen til videre uddannelse eller beskæftigelse.
5.2
Uddannelser og brancher, som egu-eleverne fortsætter i
I det følgende spreder vi uddannelseskategorien ud og beskriver, hvilke uddannelser eleverne
starter på, efter de har afbrudt eller afsluttet egu, og dermed hvorvidt eleverne starter på en
kompetencegivende uddannelse, som er et af målene med egu (jf. Bekendtgørelsen af lov om er-
hvervsgrunduddannelsen). Figur 5-2 nedenfor giver et overblik over, hvilken uddannelse de 17
pct. af eleverne, som gennemfører egu og som starter på en uddannelse seks måneder efteraf-
sluttet egu. Af figuren fremgår det, at alle 17 pct. begynder på en kompetencegivende uddannel-
se. 49 pct. af dem starter i et erhvervsfagligt grundforløb
11
, som dækker over grundforløb på en
erhvervsuddannelse, og 51 pct. i et erhvervsfagligt praktik- og hovedforløb
12
, som dækker over
alle erhvervsfaglige hovedforløb både på erhvervsuddannelserne og på andre erhvervsfaglige ud-
dannelser som fx erhvervsfisker og landbrugets lederuddannelse. En udfoldet analyse af fordelin-
gen viser, at stort set alle tidligere egu-elever starter på et grund- eller hovedforløb på en er-
hvervsuddannelse.
11
12
Betegnelsen er fra Danmarks Statistik.
Betegnelsen er fra Danmarks Statistik.
Analyse af erhvervsgrunduddannelsen
BUU, Alm.del - 2015-16 - Bilag 172: Orientering om analyse af erhvervsgrunduddannelsen (egu), fra Rådet for Ungdomsuddannelser
1623226_0032.png
30
Figur 5-2: Elevernes overgang til uddannelse – fordelt på uddannelse seks måneder efter fuldført egu
100
51
95
90
85
80
75
6 mdr.
Fuldført egu
70
65
60
55
50
45
40
Erhvervsfagligt
grundforløb
49 pct.
I uddannelse 6
måneder efter egu
(17 pct.)
49
Erhvervsfagligt
praktik- og
hovedforløb
35
51 pct.
30
25
20
15
10
5
0
Erhvervsfagligt
grundforløb
Erhvervsfagligt
praktik- og hovedforløb
Kilde: Rambøll-analyse på baggrund af data fra STIL samt elevregisteret (KOET).
Note: Antal elever 6 måneder efter elevernes slutdato: n=4.441 (fuldført n=1.654, afbrudt n=2.787)
Af figuren nedenfor fremgår, hvilke uddannelser de 19 pct. af de afbrudte elever, der er startet
på en ny uddannelse seks måneder efter, de er stoppet på egu, er indskrevet på. Af figuren ses
det, at en lille del af eleverne er ved at færdiggøre grundskolen (3 pct.) eller går på en forbere-
dende uddannelse (5 pct.), 2 pct. er startet på en almen- eller erhvervsgymnasial uddannelse,
mens 32 pct. er startet på et erhvervsfagligt grundforløb og 58 pct. i et erhvervsfagligt praktik-
og hovedforløb. Størstedelen af de afbrudte elever, der starter på en anden uddannelse, starter
altså på en kompetencegivende uddannelse. En udfoldet analyse af fordelingen viser, at stort set
alle tidligere egu-elever starter på et grund- eller hovedforløb på en erhvervsuddannelse, men at
der er flere afbrudte elever end gennemførte, der starter på en anden erhvervsfaglig uddannelse
end erhvervsuddannelsen (fx erhvervsfisker).
Figur 5-3: Elevernes overgang til uddannelse – fordelt på uddannelse seks måneder efter afbrudt egu
6 mdr.
Grundskole
3 pct.
Pct.
100
90
80
58
Forberedende
uddannelser
Afbrudt egu
I uddannelse 6
måneder efter egu
(19 pct.)
Almen- eller
erhvervsgymnasial
uddannelse
5 pct.
70
60
50
2 pct.
32
40
30
Erhvervsfagligt
grundforløb
58 pct.
20
10
0
5
3
Grundskole
Forberedende
uddannelser
Almen- eller
erhvervs-
gymnasie
Erhvervsfagligt Erhvervsfagligt
grundforløb
praktik- og
hovedforløb
2
Erhvervsfagligt
praktik- og
hovedforløb
32 pct.
Kilde: Rambøll-analyse på baggrund af data fra STIL samt elevregisteret (KOET).
Note: Antal elever 6 måneder efter elevernes slutdato: n=4.441 (fuldført n=1.654, afbrudt n=2.787)
I det følgende spreder vi beskæftigelseskategorien ud og ser på, hvilke brancher eleverne bliver
ansat i seks måneder efter, de enten har fuldført eller afbrudt egu. Af Figur 5-4 nedenfor frem-
går, hvilke brancher 24 pct. af de fuldførte egu-elever bliver beskæftiget i seks måneder efter, de
har gennemført egu. Af figuren ses det, at de brancher, hvor flest bliver ansat, er inden for han-
del og transport samt offentlig administration, undervisning og sundhed. En del af de fuldførte
egu-elever bliver ligeledes ansat inden for bygge- og anlægsbranchen samt inden for industri, rå-
stofindvinding og forsyningsvirksomhed.
Analyse af erhvervsgrunduddannelsen
BUU, Alm.del - 2015-16 - Bilag 172: Orientering om analyse af erhvervsgrunduddannelsen (egu), fra Rådet for Ungdomsuddannelser
1623226_0033.png
31
Figur 5-4: Elevernes overgang til beskæftigelse – fordelt på brancher seks måneder efter fuldført egu
6 mdr.
Landbrug, skovbrug
og fiskeri
8 pct.
Industri,
råstofindvinding og
forsyningsvirksomhed
10 pct.
Handel og transport
Offentlig administration,
undervisning og sundhed
Bygge og anlæg
12 pct.
28 pct.
Bygge og anlæg
12 pct.
26 pct.
Handel og transport
Fuldført egu
I beskæftigelse 6
måneder efter egu
(36 pct.)
Ejendomshandel og
udlejning
28 pct.
Industri, råstofindvinding
og forsyningsvirksomhed
Landbrug, skovbrug
og fiskeri
Erhvervsservice
10 pct.
8 pct.
2 pct.
7 pct.
Erhvervsservice
7 pct.
Uoplyst aktivitet og infor-
mation og kommunikation
3 pct.
Offentlig
administration,
undervisning og
sundhed
Kultur, fritid og anden
service
Kultur, fritid og
anden service
26 pct.
3 pct.
Ejendomshandel
og udlejling
2 pct.
3 pct.
Uoplyst aktivitet og
information og
kommunikation
3 pct.
Kilde: Rambøll-analyse på baggrund af data fra STIL samt DREAM-registeret.
Note: Antal elever 6 måneder efter elevernes slutdato: n=4.441 (fuldført n=1.654, afbrudt n=2.787)
Af figur 5-5 nedenfor fremgår endvidere branchefordelingen for elever, der har afbrudt egu, men
som er kommet i beskæftigelse seks måneder efter, de har afbrudt uddannelsen. Af figuren ses
på samme vis som for fuldførte egu-elever, at handel og transport (28 pct.) er den største bran-
che sammen med branchen for offentlig administration, undervisning og sundhed (26 pct.). Den
resterende branchefordeling er magen til brancherne for de fuldførte egu-elever.
Analyse af erhvervsgrunduddannelsen
BUU, Alm.del - 2015-16 - Bilag 172: Orientering om analyse af erhvervsgrunduddannelsen (egu), fra Rådet for Ungdomsuddannelser
1623226_0034.png
32
Figur 5-5: Elevernes overgang til beskæftigelse – fordelt på brancher seks måneder efter afbrudt egu
6 mdr.
Landbrug, skovbrug
og fiskeri
8 pct.
Industri,
råstofindvinding og
forsyningsvirksomhed
10 pct.
Handel og transport
Offentlig administration,
undervisning og sundhed
Bygge og anlæg
14 pct.
27 pct.
Bygge og anlæg
14 pct.
23 pct.
Handel og transport
Afbrudt egu
I beskæftigelse 6
måneder efter egu
(24 pct.)
Ejendomshandel og
udlejning
27 pct.
Industri, råstofindvinding
og forsyningsvirksomhed
Landbrug, skovbrug
og fiskeri
Erhvervsservice
10 pct.
8 pct.
2 pct.
7 pct.
Erhvervsservice
7 pct.
Uoplyst aktivitet og infor-
mation og kommunikation
5 pct.
Offentlig
administration,
undervisning og
sundhed
Kultur, fritid og anden
service
Kultur, fritid og
anden service
23 pct.
4 pct.
Ejendomshandel
og udlejling
2 pct.
4 pct.
Uoplyst aktivitet og
information og
kommunikation
5 pct.
Kilde: Rambøll-analyse på baggrund af data fra STIL samt DREAM-registeret.
Note: Antal elever 6 måneder efter elevernes slutdato: n=4.441 (fuldført n=1.654, afbrudt n=2.787)
Sammenlignes ovenstående fordelinger på brancher med interviewene fremgår det, at det ikke
stemmer helt overens. I interviewene peger kommunerne på, at der er en stor del af eleverne,
der kommer i praktik i handels- og transportbranchen, hvilket stemmer overens med, at det er
der eleverne typisk får ansættelse efterfølgende. At bygge og anlægsbranchen er den tredjestør-
ste branche, eleverne får beskæftigelse i bagefter, er derimod overraskende, idet kommunerne
peger på, at der i denne branche er store udfordringer med at finde praktikpladser til eleverne på
grund af de høje lønsatser. Det stemmer samtidig heller ikke helt overens med kommunernes
udsagn, at en stor del af de unge får job i det offentlige, idet flere peger på, at det er svært for
de unge at få beskæftigelse i den offentlige sektor efterfølgende. Samtidigt giver kommunerne
dog udtryk for, at en stor del af egu-eleverne er i praktik i sundhedssektoren eller i offentlige
service/administration, hvilket kunne tyde på, at det ikke er så stor en udfordring at få job i den
offentlige sektor efterfølgende, som kommunerne peger på.
5.3
Oplevede effekter af egu
Udover de statistiske effekter af egu præsenteret ovenfor, har Rambøll spurgt kommunerne til
deres oplevelser af, hvad der har betydning for effekten af egu. I det følgende beskrives således
kommunernes
oplevede
effekter af egu.
For det første er der en forventning om, at det er afgørende for effekten af egu, at egu-eleverne
er i praktik på en arbejdsplads frem for at være i en værkstedsskolepraktik (hypotese 11). De
fleste kommuner i interviewundersøgesen anvender slet ikke værkstedsskolepraktik som en del
af egu-forløbene. Dette begrunder de ofte med, at de har prioriteret, at eleverne kommer ud på
en arbejdsplads og møder virkeligheden frem for at gå i værkstedsskolepraktik. Flere nævner, at
en del elever er blevet brancheafklaret gennem et forløb på en produktionsskole, og de er klar til
at starte i praktik på en arbejdsplads, så snart de starter på egu. Opdeles svarene på henholdsvis
højt og lavt præsterende kommuner fremgår det, at kommuner, der er højt præsterende i forhold
til at få de unge videre i beskæftigelse efter gennemført eller afbrudt egu, ikke anvender værk-
stedsskolepraktik. Blandt de lavt præsterende kommuner anvender ca. halvdelen værkstedssko-
lepraktik. Ingen af kommunerne er dog fortaler for at anvende værkstedsskolepraktikken, og fle-
Analyse af erhvervsgrunduddannelsen
BUU, Alm.del - 2015-16 - Bilag 172: Orientering om analyse af erhvervsgrunduddannelsen (egu), fra Rådet for Ungdomsuddannelser
1623226_0035.png
33
re bruger det som en nødløsning ved mangel på praktikpladser eller for en kort periode, hvor ar-
bejdsgiveren eksempelvis ikke kan have dem i praktik. Kommunernes vurderinger indikerer, at
det har en positiv betydning for effekten af egu, at egu-eleverne kommer i praktik på en arbejds-
plads frem for i værkstedsskolepraktik.
I forlængelse heraf er kommunerne blevet spurgt til, om de oplever, at der er forskel på, om
egu-eleverne kommer i privat eller offentlig praktik (hypotese 13). Kommunerne deler sig i to
grupper, hvor den ene gruppe mener, at der
ikke
er forskel på de to former for praktikker, idet
de oplever, at det
ikke
afhænger af, om arbejdspladsen er offentlig eller privat men i stedet af
relationen mellem arbejdsgiveren og eleven. Den anden gruppe oplever, at der er forskel i ele-
vernes mulighed for videre beskæftigelse, hvor de peger på, at der er bedre mulighed for at
komme i beskæftigelse, hvis eleven er i praktik på en privat arbejdsplads. Ingen peger dog på, at
der er forskel i forhold til at gennemføre eller komme i uddannelse efterfølgende. Da vi ikke har
statiske analyser til at understøtte disse betragtninger, er det ikke muligt at konkludere, om der
reelt er forskel eller ej, men det tyder på, at der kan være forskel i de unges beskæftigelsesmu-
ligheder efterfølgende.
En sidste forventning i forhold til effekten af egu er, at egu fungerer bedst i de større kommuner
frem for i de mindre kommuner (hypotese 12). Denne forventning kan på baggrund af både de
statiske analyser samt de kvalitative interviews afkræftes. Der er ikke statistiske forskelle mellem
kommuner af forskellig størrelse
13
, og de store kommuner fordeler sig jævnt fra højt til lavt præ-
sterende i forhold til egu. Nogle kommuner peger i stedet på, at den geografiske spredning inden
for kommunen kan være en udfordring for antallet af egu-elever og deres gennemførelsesgrad.
Eksempelvis nævner de, at den store afstand mellem egu-elevernes bopæl og henholdsvis deres
uddannelsessted og arbejdsplads er en barriere for fastholdelse og etablering af egu-forløb.
Udover oplevede effekter i forhold til de opstillede hypoteser, peger de højt præsterende kom-
munerne på tre forhold, som de oplever som vigtige for effekten af egu. For det første er det vig-
tigt, at egu-vejlederen ikke slipper kontakten med eleven, når vedkommende gennemfører eller
afbryder egu. I de højt præsterende kommuner følger de eleven tæt, indtil vedkommende er
kommet videre i uddannelse eller job, og har løbende dialog med eleven om deres videre færd.
Dette er indlagt i egu-vejledernes arbejde og påbegyndes et halvt år før, eleven gennemfører
egu. For det andet peger de højt præsterende kommuner på, at det er afgørende, at kommunen
følger udviklingen i egu tæt, hvilket vil sige, at de følger gennemførelsesgraden, tilgangen til egu
mv. og dermed kan reagere hurtigt på stigende frafald, en lavere tilgang eller lignende. Endelig
peger kommunerne på, at overlevering til andre aktører i kommunen eller til uddannelsesinstitu-
tioner er central for succesraten for de unge efterfølgende. Eksempelvis har overlevering betyd-
ning for uddannelsesinstitutionens opmærksomhed på den unge og på en evt. støtte etableres fra
start.
5.4
Delkonklusion
Sammenfattende peger effektanalysen på, at effekten af egu er todelt. På den ene sider viser ef-
fektanalysen, at elever, der påbegynder en egu, overvejende kommer i uddannelse eller beskæf-
tigelse efter endt egu uanset om de gennemfører eller afbryder undervejs. På den anden side vi-
ser effektanalysen, at en stor del af de elever, der afbryder egu, ender på kontanthjælp (ca. en
tredjedel) sammenlignet med de elever, der gennemfører egu (3-7 pct.). Sandsynligheden for at
ende på kontanthjælp reduceres således ved gennemførelse af egu.
Analysen viser desuden, at når egu-eleverne enten efter endt eller afbrudt egu starter i uddan-
nelse, starter de primært på en erhvervsuddannelse. Det gør sig gældende for alle, der gennem-
fører egu, og for 90 pct. af dem, der afbryder egu for at starte i anden uddannelse. Effektanaly-
sen viser endvidere, at egu-elever, der fortsætter i beskæftigelse efter endt eller afbrudt egu,
overvejende finder beskæftigelse i handel og transportbranchen eller inden for offentlig admini-
stration, undervisning og sundhed.
13
I analysen af eventuelle forskelle ift. kommunernes størrelse er de kommuner, der har under 10 egu-elever, taget ud, hvilket bety-
der, at de helt små kommuner ikke indgår i analysen.
Analyse af erhvervsgrunduddannelsen
BUU, Alm.del - 2015-16 - Bilag 172: Orientering om analyse af erhvervsgrunduddannelsen (egu), fra Rådet for Ungdomsuddannelser
34
Endelig peger effektanalysen på, at der ikke er forskel mellem større og mindre kommuner, men
at højt præsterende kommuner i lavere grad end lavt præsterende kommuner anvender værk-
stedsskolepraktik som supplement til praktik på en arbejdsplads. Det peger på, at praktik på en
arbejdsplads har en positiv betydning for effekten af egu sammenlignet med værkstedsskole-
praktik. I forhold til praktikken peger kommunerne også på, at muligheden for beskæftigelse ef-
ter endt eller afbrudt egu er større ved private praktikpladser end ved offentlige. Derudover
fremhæver de højt præsterende kommuner, at det er vigtigt, at kommunen ikke slipper eleven,
når eleven har gennemført eller afbrudt egu, men understøtter eleven i at komme i gang med vi-
dere uddannelse eller beskæftigelse.
Analyse af erhvervsgrunduddannelsen
BUU, Alm.del - 2015-16 - Bilag 172: Orientering om analyse af erhvervsgrunduddannelsen (egu), fra Rådet for Ungdomsuddannelser
1623226_0037.png
35
6.
SAMMENHÆNGSANALYSE
Den sidste analyse belyser sammenhænge på tværs af kortlægningen og de statistiske analyser.
Formålet med den tværgående analyse er todelt.
For det første
har den tværgående analyse til
formål at undersøge, hvad der er afgørende for, at eleverne efter egu overgår til uddannelse eller
job.
For det andet
undersøges det, hvad der er afgørende for, at eleven fuldfører egu. Konkret
undersøges det, om den region hvor egu er placeret, egu’s organiseringsform og elevernes bag-
grundskarakteristika har betydning for, om eleverne kommer i job eller starter på en videre ud-
dannelse, efter de har afbrudt eller gennemført egu, og om disse forskellige forhold har betyd-
ning for, om eleverne fuldfører egu. I de forudgående afsnit har vi beskrevet den faktiske effekt
på eleverne, der er startet på årgang 2010, 2011 og 2012. Til at undersøge de kausale sammen-
hænge gennemføres en række regressionsanalyser og variansanalyser, hvortil datagrundlaget fra
totalafdækningen og den statistiske analyse anvendes.
For at undersøge, om elevens baggrundskarakteristika har betydning for, om eleven fuldfører egu
og kommer i job eller videre i uddannelse, opstilles en model, der inkluderer alle tilgængelige og
relevante variable, som beskrevet i karakteristikken af eleverne i kapitel 3, og som kan have be-
tydning for effekten af egu. Til analysen anvendes følgende to effektmål; 1) ”fuldført egu/afbrudt
egu” og 2) ”i beskæftigelse eller videre uddannelse/ikke i beskæftigelse eller videre uddannelse”.
Til de uafhængige variable inddrages registerdata fra Danmarks Statistik, der beskriver nogle af
elevernes baggrundskarakteristika som alder, køn, etnicitet, og om de har gennemført 9. klasse
og dermed har bestået folkeskolens adgangseksamen. I modellen indgår endvidere en række
kontrolvariable, som regionen hvori egu er placeret og organiseringsformen. Kontrolvariablene
kan være med til at forklare effekten af egu og inddrages dermed for at kontrollere for regionale
og organiseringsmæssige forskelle. Den samlede model fremgår af figuren nedenfor.
Figur 6-1: Kausalmodel
Baggrundskarakteristika
Etnicitet
Køn
Alder
Afsluttet folkeskole
Kontrolvariable
Organiseringsform
- UU i kommunen
- Produktionsskole
- UU, der dækker på
tværs af kommuner
- Jobcenter
- Kombination af
organisationsformer
- Ungdomsskole
Regioner
- Syddanmark
- Hovedstaden
- Midtjylland
- Sjælland
- Nordjylland
1
Effekter (Y)
I beskæftigelse eller
uddannelse /
ikke i beskæftigelse eller
uddannelse
2
Fuldført egu /
ikke fuldført egu
Af tabel 6-1 og 6-3 i de følgende to afsnit fremgår resultaterne af de to regressionsmodeller. Af
tabellerne ses koefficienter på variable, som er
signifikante
svarende til 1 pct., 5 pct. eller 10 pct.
og angivet ved ***/**/*. Variable uden en stjerne indikerer, at sammenhængen er insignifikant.
For en uddybende beskrivelse af, hvilken statistisk model der er benyttet til at estimere effekter-
ne, henvises til metodebilaget (bilag 1).
Til at undersøge, om regionen hvori egu ligger og kommunens organiseringsform har betydning
for, hvorvidt eleverne fuldfører egu eller overgår til uddannelse samt job, anvendes variansanaly-
Analyse af erhvervsgrunduddannelsen
BUU, Alm.del - 2015-16 - Bilag 172: Orientering om analyse af erhvervsgrunduddannelsen (egu), fra Rådet for Ungdomsuddannelser
1623226_0038.png
36
ser. Analyserne har til formål at belyse, hvorvidt effekten varierer mellem de forskellige organise-
ringsformer og regioner for egu
14
.
6.1
Betydning af gennemførelsesgrad
Af tabellen nedenfor fremgår modelestimaterne fra kausalmodellen i figur 6-1, der beskriver,
hvilke faktorer der påvirker sandsynligheden for, at eleven fuldfører egu.
Tabel 6-1: Regressionsoutput – hvad er afgørende for, at eleven fuldfører egu?
Koefficient
Alder
Mand
Afsluttet folkeskole
Dansk oprindelse
0,47
0,01
0,04
0,05
Signifikansniveau
***
**
**
Kilde: Rambøll-analyse på baggrund af data fra STIL samt DREAM-registeret.
Note: R
2
=0,12, n=4.165 (der mangler i alt data for 535 respondenter, hvilket skyldes manglende observationer på de enkel-
te variable, der indgår i modellen).
Som det fremgår af resultaterne, er koefficienterne positive, hvilket vil sige, at der for alle vari-
able er en positiv sammenhæng.
For det første viser regressionsanalysen, at der er en positiv signifikant sammenhæng med
al-
der.
Det vil sige, at jo ældre eleven er, når vedkommende afslutter sit forløb på egu, jo større er
sandsynligheden for, at vedkommende fuldfører uddannelsen. I interviewene med ledelsesrepræ-
sentanter og egu-vejledere peger flere samtidigt på, at de helt unge, der kommer direkte fra fol-
keskolen, ikke er lige så modne og afklarede, som de ældre egu-elever, og dermed har et højere
frafald. Endvidere fremgår det af tabellen, at hvis eleven før egu har
afsluttet folkeskolen,
er
der 4 pct. større sandsynlighed for, at eleven gennemfører egu sammenlignet med personer, der
ikke har afsluttet folkeskolen. Da man må forvente, at elever med en afsluttet folkeskole har til-
egnet sig flere færdigheder og dermed i højere grad vil være i stand til at gennemføre egu i mod-
sætning til elever uden en afgangseksamen, overrasker resultatet ikke. Herudover ses det, at
elever med
dansk oprindelse
har 5 pct. større sandsynlighed for at gennemføre egu sammen-
lignet med elever med en anden oprindelse end dansk. Køn har ingen signifikant betydning for
gennemførelsesgraden, hvilket også er underbygget af fordelingen i kapitel 3.
Selvom alle elever har påbegyndt et egu-forløb og dermed overordnet set har fået den samme
indsats, kan der være forskel på effekten, alt afhængigt af organiseringsform, og om eleven ek-
sempelvis har gået på et egu-forløb i en kommune i Region Midtjylland eller i kommunen i Region
Syddanmark. Af tabellen nedenfor fremgår gennemførselsgraden fordelt på organiseringsform og
regional placering.
14
Hertil anvendes one-way og two-way anova variansanalyse. For en uddybning af metoden henvises til metodebilaget.
Analyse af erhvervsgrunduddannelsen
BUU, Alm.del - 2015-16 - Bilag 172: Orientering om analyse af erhvervsgrunduddannelsen (egu), fra Rådet for Ungdomsuddannelser
1623226_0039.png
37
Tabel 6-2: Sammenhængen mellem organiseringsform, regional placering og gennemførelsesgrad
Hovedstaden
UU i kommunen
Produktionsskole
UU på tværs i
kommunen
Jobcenter
Kombination af
organisationsfor-
mer
Ungdomsskole
I alt
50
18
39
34
51
40
33
Midtjylland
32
37
35
36
-
47
38
Nordjylland
40
40
-
82
-
-
45
Sjælland
59
39
43
41
38
-
42
Syddanmark
29
27
-
42
33
26
32
Note: Output fra f-test: Forskelle mellem grupperne Pr >F: <0.0001 (signifikant forskel), forskel mellem organisering: Pr >F:
0,39 (insignifikant forskel), forskel mellem regionerne: Pr >F: <0.0001 (signifikant forskel).
N=4.698 (der mangler i alt data for to respondenter, hvilket skyldes manglende oplysninger om hvilken region respond-
entens egu ligger i). Stregen (-) angiver, at der ikke eksisterer pågældende organiseringsform i regionen eller at antallet af
respondenter er under diskretionskriteriet på fem observationer.
Sammenhængen mellem organiseringsform, regional placering og gennemførelsesgrad er testet
ved brug af variansanalyser. Testen viser, at effekten varierer mellem organiseringsformer og re-
gional placering. Samtidig viser analysen, at
effekten ikke varierer på tværs af organise-
ringsformer,
men på tværs af regional placering
15
. Analysen viser således, at der er stor forskel
på gennemførelsesgraden mellem kommunerne inden for regionerne. Eksempelvis er gennemfør-
selsgraden højere for elever, der gennemfører egu i en kommune i Region Hovedstaden, hvis
eleven har været indskrevet på egu i en kommune med produktionsskolemodellen. Dette betyder
ikke nødvendigvis, at produktionsskolemodellen er bedre end de andre organiseringsformer, men
at de to kommuner med produktionsskolemodellen er bedre til at få eleverne til at gennemføre
egu end de andre i samme region. I Region Sjælland er det derimod kommuner, der har organi-
seret egu i en UU i kommunen, der har den højeste gennemførselsgrad. Der er således ikke et
mønster i, hvilke organiseringsformer der har en signifikant sammenhæng med gennemførelse af
egu på tværs af regional placering.
Variansanalysen viser endvidere, at effekten varierer imellem de forskellige regionale placeringer.
Af tabellen ses det, at kommunerne i to regioner klarer sig signifikant bedre i forhold til at få ele-
verne til at gennemføre egu. I kommunerne i
Region Nordjylland
gennemfører 45 pct. af ele-
verne, og i kommunerne i
Region Sjælland
42 pct. af eleverne. Den region, hvor kommunerne
derimod er dårligst til at få elever til at gennemføre egu, er
Region Syddanmark,
hvor 32 pct.
af eleverne gennemfører. Når man sammenligner denne analyse med den statistiske analyse, vi-
ser samme billede sig, idet kommunerne i Region Syddanmark særligt i årene 2010 og 2011
havde den laveste gennemførelsesgrad. I 2012 er kommunerne i Region Syddanmark dog på ni-
veau med flere af de andre regioner, og denne forskel kan derfor vise sig at forsvinde over tid.
6.2
Betydning for videre beskæftigelse og uddannelse
Af tabellen nedenfor fremgår modelestimaterne fra kausalmodellen i figur 6-1, der beskriver,
hvilke faktorer der påvirker sandsynligheden for, at eleven efter fuldført eller afbrudt egu overgår
til beskæftigelse eller starter på en videre uddannelse.
15
Variansanalysens f-test fremgår af noten under tabel 6-2.
Analyse af erhvervsgrunduddannelsen
BUU, Alm.del - 2015-16 - Bilag 172: Orientering om analyse af erhvervsgrunduddannelsen (egu), fra Rådet for Ungdomsuddannelser
1623226_0040.png
38
Tabel 6-3: Regressionsoutput – hvad er afgørende for, at eleven kommer i uddannelse eller beskæftigel-
se efter egu?
Koefficient
Mand
Alder
Fuldført egu
Afsluttet folkeskole
Dansk oprindelse
0,03
0,10
0,11
0,04
0,04
Signifikansniveau
*
**
***
**
Kilde: Rambøll-analyse på baggrund af data fra STIL samt DREAM-registeret.
Note: R
2
=0,03, n=4.165 (der mangler i alt data for 535 respondenter, hvilket skyldes manglende observationer på de enkel-
te variable, der indgår i modellen).
Af tabellen fremgår det, at
mandlige elever
har 3 pct. større sandsynlighed for at komme i ud-
dannelse eller beskæftigelse efter gennemført egu end kvindelige elever. I interviewene med le-
delsesrepræsentanter og egu-vejledere i kommunerne fremhæves det, at de kvindelige elever
typisk får en praktikplads i det offentlige (eksempelvis sundhedssektoren), hvor det efterfølgende
kan være svært at få fastansættelse ifølge kommunerne. Kommunerne peger ligeledes på, at
mændene i højere grad er i praktik i det private og derfor kan have lettere ved at komme i be-
skæftigelse efterfølgende. Dette kan måske forklare noget af variationen, men det kan ikke kon-
kluderes med sikkerhed.
Udover kønsforskelle viser tabellen, at der er en signifikant positiv sammenhæng med
alder,
hvilket betyder, at jo ældre eleven er, når eleven enten afslutter eller afbryder egu, jo større er
sandsynligheden for, at vedkommende finder et job eller starter på en uddannelse seks måneder
efter, personen har afsluttet egu. I interviewene med ledelsesrepræsentanter og egu-vejledere i
kommunerne fremgår det ikke, hvorfor der skulle være denne sammenhæng, men det kan hæn-
ge sammen med, at denne ældre gruppe er mere afklarede end den yngre i forhold til, hvad de
evner og gerne vil fortsætte med.
Af tabellen ses det ligeledes, at
hvis en elev har fuldført egu,
er der 11 pct. større sandsynlig-
hed for, at eleven kommer i beskæftigelse eller starter på en uddannelse efter gennemført egu,
sammenlignet med en elev, der afbryder egu. Da formålet med egu bl.a. er at styrke elevernes
faglige kompetencer og dermed øge elevernes mulighed for at få en erhvervskompetencegivende
uddannelse og mulighed for beskæftigelse, stemmer retningen på effekten overens med intentio-
nen med egu.
Endvidere fremgår det af tabellen, at hvis eleven før et egu-forløb har
gennemført folkeskolen,
er der 4 pct. større sandsynlighed for, at eleven kommer i beskæftigelse eller starter på en ud-
dannelse efterfølgende, sammenlignet med elever, der ikke har afsluttet folkeskolen. Dette
stemmer overens med forventningerne. En elev, der har afsluttet folkeskolen, må alt andet lige
have tilegnet sig flere færdigheder end en person uden en færdiggjort folkeskole, og dermed må
personen være bedre rustet til at finde et job eller starte på en uddannelse, da de fleste uddan-
nelser tilmed kræver, at personen har bestået folkeskolens afgangsprøve.
I det følgende vil det blive belyst, om der er signifikant forskel på, om eleverne efter fuldført eller
afbrudt egu overgår til uddannelse eller job som følge af organiseringen i kommunerne og den
region, som eleven tager deres uddannelse i. Af tabellen nedenfor fremgår overgangen til uddan-
nelse eller job fordelt på organiseringsform og regional placering af egu.
Analyse af erhvervsgrunduddannelsen
BUU, Alm.del - 2015-16 - Bilag 172: Orientering om analyse af erhvervsgrunduddannelsen (egu), fra Rådet for Ungdomsuddannelser
1623226_0041.png
39
Tabel 6-4: Sammenhæng mellem organiseringsform, regional placering og overgangen til uddannelse el-
ler job
Hovedstaden
UU i kommunen
Produktionsskole
UU på tværs i
kommunen
Jobcenter
Kombineret orga-
nisationsform
Ungdomsskole
I alt
43
40
0,51
51
33
60
46
42
Midtjylland
56
46
52
45
-
53
49
Nordjylland
54
51
-
35
-
-
52
Sjælland
42
38
55
44
43
-
42
Syddanmark
48
49
-
62
50
53
50
Note: Output fra f-test: Forskelle mellem grupperne Pr >F: <0.0002 (signifikant forskel), forskel mellem organisering: Pr >F:
0,0614 (insignifikant forskel), forskel mellem regionerne: Pr >F: <0.0013 (signifikant forskel).
N=4.698 (der mangler i alt data for to respondenter, hvilket skyldes manglende oplysninger om hvilken region respond-
entens egu ligger i). Stregen (-) angiver, at der ikke eksisterer pågældende organiseringsform i regionen eller at antallet af
respondenter er under diskretionskriteriet på fem observationer.
Af variansanalysen fremgår det, at effekten varierer mellem organiseringsformer og regional pla-
cering. Endvidere viser analysen, at effekten ikke varierer på tværs af organiseringsformer, men
på tværs af regional placering
16
. Analysen viser således, at der er stor forskel kommunerne imel-
lem inden for regionerne. Eksempelvis er overgangen til uddannelse eller job højere for elever,
der gennemfører eller afbryder deres egu i en kommune i Region Hovedstaden, hvis eleven har
været indskrevet på en egu i en kommune med en kombination af organiseringsformer. Igen be-
tyder det nødvendigvis ikke, at modellen med en kombination af organiseringsformer er bedre
end de andre former, men blot at de kommuner, der har valgt denne model, er bedre end de an-
dre inden for regionen til at få eleverne til at komme i uddannelse eller job. For Region Nordjyl-
land er det derimod kommuner, der har valgt at placere ansvaret for egu i UU i kommunen, der i
højere grad end de andre organiseringsformer hos kommunerne i regionen formår at få eleverne
i job eller uddannelse. Der er således ikke et mønster i, hvilke organisationsformer der har en
signifikant sammenhæng med overgangen til uddannelse eller job på tværs af regional placering.
Variansanalysen viser ligeledes, at effekten varierer mellem de regionale placeringer. Af tabellen
ses det, at kommuner i
Region Nordjylland
er signifikant bedre til at få eleverne til at overgå til
uddannelse eller job efter endt egu, sammenlignet med kommuner i de andre regioner. I kom-
munerne i Region Nordjylland overgår 52 pct. af eleverne efter endt egu til uddannelse eller job,
mens det kun er tilfældet for 42 pct. af eleverne i kommunerne i
Region Hovedstaden
og
Re-
gion Sjælland.
Sammenlignes resultaterne i afsnit 6.1 og 6.2, kan det således konkluderes, at kommuner i Regi-
on Nordjylland både er gode til at få eleverne til at gennemføre egu og samtidig få dem i uddan-
nelse eller job efter endt egu, hvorimod kommunerne i de resterende fire regioner varierer i præ-
station alt afhængigt af effektmål.
6.3
Delkonklusion
Sammenhængsanalysen viser sammenfattende, at elevernes alder, og at de har afsluttet folke-
skolen, har en signifikant positiv betydning for både gennemførelsesgraden og elevernes over-
gang til beskæftigelse eller videre uddannelse. Det vil sige, at jo ældre eleven er, desto større
sandsynlighed er der for, at eleven gennemfører egu. Denne sandsynlighed øges, hvis eleven og-
så har afsluttet folkeskolen.
Ses der udelukkende på gennemførelsesgraden fremgår det, at elever af dansk oprindelse har
større sandsynlighed for at gennemføre, og at elever der er indskrevet på egu i en kommune i
Region Hovedstaden eller Region Nordjylland i højere grad gennemfører egu. Modsat har elever
16
Variansanalysens f-test fremgår af noten under tabel 6-4.
Analyse af erhvervsgrunduddannelsen
BUU, Alm.del - 2015-16 - Bilag 172: Orientering om analyse af erhvervsgrunduddannelsen (egu), fra Rådet for Ungdomsuddannelser
40
af anden oprindelse end dansk lavere sandsynlighed for at gennemføre, og elever, der går på egu
i en kommune i Region Syddanmark, har en lavere gennemførelsesgrad. Ses der i stedet udeluk-
kende på elevernes overgang til beskæftigelse eller videre uddannelse viser analysen, at mandli-
ge elever har større sandsynlighed for at komme i beskæftigelse eller uddannelse end kvindelige
elever. Derudover fremgår det, at sandsynligheden for at komme i beskæftigelse eller uddannel-
se er 11 pct. højere for dem, der har gennemført en egu, end dem, der afbryder egu. Også her er
der regionale forskelle, hvor elever, der har gået på egu placeret i en kommune i Region Nordjyl-
land, i højere grad kommer i beskæftigelse eller uddannelse end elever, der er indskrevet på egu
i en kommune i Region Hovedstaden eller Region Sjælland.
Derudover kan det generelt konkluderes, at organiseringsformerne ikke har en selvstændig effekt
på egu. Opdeles analysen på regional placering, viser der sig dog forskelle inden for regionerne,
hvor nogle organiseringsformer inden for en regional placering har større effekt end andre. Det
betyder dog ikke, at der kan være højt præsterende kommuner i lavt præsterende regioner og
omvendt.
Analyse af erhvervsgrunduddannelsen
BUU, Alm.del - 2015-16 - Bilag 172: Orientering om analyse af erhvervsgrunduddannelsen (egu), fra Rådet for Ungdomsuddannelser
1623226_0043.png
1
BILAG 1: METODE
I dette bilag uddybes metoderne bag analyserne i rapporten.
Eksplorative interviews
De eksplorative interview havde til formål at opnå størst mulig forhåndsindsigt i de eksisterende
vilkår, muligheder og barrierer for egu. Denne viden har bidraget til udvikling af den endelige
spørgeramme for interviewundersøgelsen blandt kommunerne.
Der er i alt gennemført interview med følgende syv personer:
Navn
Stig Nielsen
Jan Bauditz
Ann B. Poulsen
Anders Vind
Gert Møller
Jan Christiansen
Erik S. Pelle
Organisation/funktion
MBUL
KL
DA
LO
Produktionsskoleforeningen, medlem af REU
Uddannelsesvejleder (egu), Djursland
Uddannelsesvejleder (egu), København
Udvælgelsen af personer til de eksplorative interview er foretaget i dialog med MBUL.
Kortlægning af egu-organisering blandt landets 98 kommuner
Kortlægningen er baseret på en telefonisk rundspørge blandt landets 98 kommuner i januar
2016. I rundspørgen er nøglepersoner med kendskab til egu i de enkelte kommuner blevet spurgt
ind til, hvorledes kommunen har organiseret arbejde med egu, og deres beskrivelse af organise-
ringen af egu er blevet noteret for hver enkelt kommune. I nogle kommuner er der rettet direkte
henvendelse til ledelsespersoner med indblik i egu heriblandt ledere af Ungdommens Uddannel-
sesvejledning (UU i egen kommune eller tværkommunal UU), forstandere på produktionshøjsko-
ler og kommunale teamkoordinatorer i jobcentrene. I andre kommuner er der rettet henvendelse
til egu-vejledere. Nogle egu-vejledere har haft et stort kendskab til organiseringen og haft mulig-
hed for at skitsere organiseringen af egu i kommunen, og andre har henvist til en ledelsesperson,
som har haft overblik over organiseringen af egu, som der derefter er rettet henvendelse til. Hvis
det ikke lykkedes at få telefonisk kontakt, er henvendelsen med spørgsmålet om kommunens or-
ganisering af egu blevet sendt pr. mail.
Kortlægning af praksis i 26 udvalgte kommuner
Udvælgelsen af de 26 kommuner tog udgangspunkt i at identificere de kommuner, der lå i hen-
holdsvis toppen og bunden i forhold til at få eleverne til at gennemføre egu og videre i uddannel-
se eller beskæftigelse.
Kommunerne blev udvalgt ud fra fem kriterier for årgangene 2009, 2010 og 2011:
Fuldførelsesgrad
Andelen af fuldførte, der kommer videre i uddannelse
Analyse af erhvervsgrunduddannelsen
BUU, Alm.del - 2015-16 - Bilag 172: Orientering om analyse af erhvervsgrunduddannelsen (egu), fra Rådet for Ungdomsuddannelser
1623226_0044.png
2
Andelen af afbrudte, der kommer videre i uddannelse
Andelen af fuldførte, der kommer videre i beskæftigelse
Andelen af afbrudte, der kommer videre i beskæftigelse.
På baggrund af de fem kriterier blev otte kommuner udvalgt med udgangspunkt i, at de havde
gode resultater i forhold til (næsten) alle kriterierne, otte andre blev udvalgt fordi de havde gode
resultater i forhold til udvalgte parametre og endelig blev 10 kommuner udvalgt ud fra, at de lå i
bunden i forhold til næsten alle kriterier. Interviewene fordelte sig, som illustreret nedenfor, med
det formål at få mest viden om praksis i de højt præsterende kommuner, men med mulighed for
at undersøge, om de lavt præsterende kommuner havde en anden praksis.
Tabel 6-1:
Oversigt over fordelingen af interviews
Antal interviews med ledel-
sesrepræsentanter
Kommuner, der er i
top
i
forhold til (næsten) alle
kriterier
Kommuner, der er sær-
ligt gode i forhold til ud-
valgte kriterier
Kommuner, der er i
bund
i forhold til (næ-
sten) alle kriterier
I alt
7*
Antal interviews med
egu-vejledere
8
Samlet
15
8
7*
15
10
25
-
15
10
40
*Det har ikke været muligt at få det sidste interview i hus inden for projektperioden grundet ferie og sygdom hos in-
formanterne.
En anonymiseret oversigt over de deltagende kommuner fremgår på næste side.
Analysen af de 40 interviews med henholdsvis ledelsesrepræsentanter og egu-vejledere er gen-
nemført ved hjælp af en
systematisk analysetilgang,
som består af tre trin:
Først udarbejdes en enkel
kodningsstrategi
for gennemgangen af interviewene. Kod-
ningsstrategien opstilles på baggrund af undersøgelsesspørgsmålene og hypoteserne.
Formålet med kodningsstrategien er at sikre en systematisk tilgang til at afdække under-
søgelsesspørgsmålene og hypoteserne.
Dernæst foretages en
systematisk gennemgang
af de foreliggende data ud fra kod-
ningsstrategien. I gennemgangen af interviewene har undersøgelsesspørgsmål og hypo-
teser været styrende, og der er derfor både læst på tværs af interviewene og opdelt på
type kommune. Det vil sige, at Rambøll har gennemgået interviewene ved at læse på
tværs af ledelsesinterviews og interviews med egu-vejledere samt på tværs af højt og lavt
præsterende kommuner.
Endelig foretages en
systematisk analyse
af datagrundlaget, hvor centrale konklusioner
fremdrages, og hvor det systematisk undersøges, om der er forskelle på tværs af infor-
manterne og på tværs af kommunerne i relation til undersøgelsesspørgsmål og hypoteser.
Analyse af erhvervsgrunduddannelsen
BUU, Alm.del - 2015-16 - Bilag 172: Orientering om analyse af erhvervsgrunduddannelsen (egu), fra Rådet for Ungdomsuddannelser
1623226_0045.png
3
Oversigt over kommuner til interviewundersøgelsen
Krydserne nedenfor angiver, hvad kommunerne ligger i
top
i forhold til.
Fuldfø-
relses-
grad
Andelen
af fuldfør-
te, der
kommer
videre i
uddan-
nelse
Andelen
af afbrud-
te, der
kommer
videre i
uddan-
nelse
x
x
x
x
x
x
x
x
x
x
x
x
x
x
x
x
x
x
x
x
x
x
x
x
x
x
x
x
x
x
x
x
x
x
x
x
x
x
x
x
x
x
x
Andelen af
fuldførte, der
kommer vi-
dere i be-
skæftigelse
Andelen af
afbrudte, der
kommer vi-
dere i be-
skæftigelse
Organiserings-
form
Kommuner, der er i top i forhold til (næsten) alle kriterier
Kommune 1
Kommune 2
Kommune 3
Kommune 4
Kommune 5
Kommune 6
Kommune 7
Kommune 8
Kommune 9
Kommune 10
Kommune 11
Kommune 12
Kommune 13
Kommune 14
Kommune 15
Kommune 16
x
x
x
x
x
x
x
x
x
x
Produktionsskole
Jobcenter
UU, der dækker
på tværs af
kommuner
Produktionsskole
UU, der dækker
på tværs af
kommuner
UU i kommunen
Produktionsskole
Produktionsskole
Produktionsskole
UU i kommunen
UU i kommunen
Kombineret or-
ganisationsform
UU i kommunen
UU, der dækker
på tværs af
kommuner
UU i kommunen
UU i kommunen
Kommuner, der er særligt gode i forhold til udvalgte kriterier
Krydserne nedenfor angiver, hvad kommunerne ligger i
bund
i forhold til.
Kommuner, der er i bund i forhold til (næsten) alle kriterier
Kommune 17
Kommune 18
Kommune 19
Kommune 20
Kommune 21
Kommune 22
Kommune 23
Kommune 24
Kommune 25
Kommune 26
x
x
x
x
x
x
x
x
x
x
x
x
x
x
x
x
x
x
x
x
x
x
x
x
x
x
Produktionsskole
UU i kommunen
Produktionsskole
Produktionsskole
Produktionsskole
Produktionsskole
UU i kommunen
Ungdomsskole
UU i kommunen
Kombination af
organisations-
former
Analyse af erhvervsgrunduddannelsen
BUU, Alm.del - 2015-16 - Bilag 172: Orientering om analyse af erhvervsgrunduddannelsen (egu), fra Rådet for Ungdomsuddannelser
4
De deskriptive statistiske analyser og effektanalysen
Nedenfor præsenteres først en kort beskrivelse af det benyttede data. Herefter følger en gen-
nemgang af de benyttede metoder til beskrivelse af karakteristika af de personer, som starter på
egu samt metode brugt ved effekt- og sammenhængsanalysen.
Beskrivelse af data
Data brugt til den deskriptive analyse er modtaget fra STIL og består af 14.453 observationer.
Data indeholder information om cpr-nummer, start-og slutdato, tilhørskommune, region samt in-
formation om, hvorvidt individet er i gang, har gennemført eller afbrudt egu. For de elever, der
ikke gennemfører uddannelsen, er der, hvor det har været muligt, desuden angivet en frafaldsår-
sag. Fra cpr-nummer er køn og alder udledt. Ud af alle egu-elever der startede i 2010-2012, står
210 af eleverne stadigvæk som igangværende. Det er dog usandsynligt, at alle 210 elever sta-
digvæk er i gang med egu, hvorfor der må være nogle fejlregistreringer i STILs database. Ram-
bøll har i den forbindelse kontaktet STIL for afklaring om de igangværende. STIL oplyser, at regi-
streringer udenom egu-portalen ikke kan opspores. 34 af eleverne viser sig at være afbrudte,
hvorfor de herefter er blevet omkodet til afbrudte. Det kan derfor ikke vides om de resterende
176 elever rent faktisk er igangværende elever, eller om de er afbrudte eller fuldførte.
Til effekt- samt sammenhængsanalyser har Rambøll anvendt registerdata. Til analyse af beskæf-
tigelseseffekter anvendes data fra DREAM, mens der bruges data fra
det komprimerede elevregi-
ster
(KOMP1) i analysen af uddannelseseffekterne. Analyserne foretages på baggrund af årgan-
gene 2010, 2011 og 2012, hvorved der tages højde for en eventuel variation mellem årgange. Da
egu typisk løber over en 2-årig periode, er 2012 valgt som det seneste påbegyndte år.
Beskrivelse af deskriptive statistiske analyser
I rapporten gives en deskriptiv analyse af elever, som starter på egu i henholdsvis 2010, 2011 og
2012. Derudover sammenholdes karakteristika for de individer, som er i gang, gennemfører eller
afbryder egu. Nedenfor følger en beskrivelse af metoden anvendt hertil, samt hvorledes data er
opgjort i analysen.
Beregning af tilgang
Tilgangen til egu opgøres som de elever, der påbegynder egu mellem den 1. oktober det
foregående år og den 30. september i det indeværende år. Årgangen 2012 indbefatter
således de elever, der har påbegyndt deres uddannelse mellem 1. oktober 2011 og 30.
september 2012. Dette giver en stikprøve på 4.300 individer. Alternativt kunne årgan-
gen være opgjort ud fra startår. Dermed vil elever, som starter på uddannelsen i 2012
høre til årgang 2012 uanset, om de starter i starten eller slutningen af året. Denne opgø-
relse resulterer i en stikprøve på 4.700 individer. I de deskriptive analyser er den første
metode valgt, da den svarer til indberetningsperioden og er tilsvarende MBULs opgørel-
sesmetode.
Beregning af bestand
Bestanden beskriver hvor mange elever, der er indskrevet på uddannelsen i det pågæl-
dende år. Bestanden er opgjort tilsvarende tilgangen. Dermed er bestanden i 2012 de
elever, som er tilknyttet uddannelsen mellem den 1. oktober 2011 og 30. september
2012.
Selvom opgørelsesmetoden er den samme som for
Effektanalysen 2012,
er tallene i den-
ne analyse beregnet på baggrund af data fra STIL, hvorimod tallene i
Effektanalysen
2012
er hentet fra Databanken på MBULs hjemmeside (tidligere UNI*C). Dette forklarer,
hvorfor der er en diskrepans mellem tallene. Nyere data fra UNI*C er tilgængelig, men
data fra STIL er benyttet, da det er af nyere dato og derfor viser det faktiske billede af
bestanden.
Beskrivelse af effektanalysen
Data brugt i effektanalysen bygger på samme grunddata som dem til de deskriptive statistiske
analyser. Der er dog forskel i, hvordan tilgang og bestand er opgjort, hvilket resulterer i to ikke
Analyse af erhvervsgrunduddannelsen
BUU, Alm.del - 2015-16 - Bilag 172: Orientering om analyse af erhvervsgrunduddannelsen (egu), fra Rådet for Ungdomsuddannelser
5
helt ens analysegrupper. Tilgangen er i effektanalysen opgjort ud fra kalenderår, dermed hører
de, der starter i 2012 til årgang 2012, uanset om de starter i starten eller i slutningen af året.
Denne metode er valgt, da det som anført ovenfor, vil resultere i en stikprøve indeholdende
4.700 elever frem for 4.300 elever. Dermed fås et større analysegrundlag. Data er desuden via
Danmarks Statistik beriget med uddannelse- og DREAM-registerdata. Til Uddannelseseffekter er
anvendt registerdata fra det Komprimeret elevregister (KOMP1), som er et forløbsregister, hvor
man kan følge alle uddannelser den enkelte person har været indskrevet på. Til at belyse be-
skæftigelseseffekter anvendes DREAM, som ligeledes er et forløbsregister, hvor man på ugebasis
kan følge personers status på arbejdsmarkedet over tid.
Som navnet afslører, er formålet med analysen at undersøge effekten af egu. Formålet er at un-
dersøge, hvad der efterfølgende sker med de individer, der enten gennemfører eller afbryder
egu. Analysen fortages ved punktnedslag 6, 12, 18 og 24 måneder efter eleven har enten gen-
nemført eller afbrudt egu, dermed vurderes effekten på både på kort og langt sigt. Det undersø-
ges således, hvor den pågældende elev er i uge 26, 52, 78 og 104 efter at eleven har gennemført
eller afbrudt uddannelsen. Dog skal man være opmærksom på, at punktnedslaget betyder, at det
bliver et øjebliksbillede af effekten, da en person i uddannelse i uge 26, teoretisk kan være drop-
pet ud i uge 27 og dermed ikke længere indgå i uddannelseskategorien. Alligevel sikrer metoden
sammenlignelighed mellem eleverne på kort- og langt sigt. Da elever efter endt uddannelse vil
have en højere reservationsløn end tidligere, kan de vælge at være arbejdsløse. Denne effekt vil
dog være aftagende over tid, hvorfor langsigtsanalysen er relevant. Omvendt kan der også ar-
gumenteres for, at eleverne har en øget motivation til at påbegynde ny uddannelse eller at
komme i arbejde efter at have gennemført egu. Det forventes at denne effekt vil være størst lige
efter endt uddannelse, hvorfor en kort sigt analyse ligeledes er relevant.
Effektanalysen er udført ved at opdele eleverne i to kategorier, alt efter om de har gennemført
eller er afbrudt egu. For begge grupper laves alle fire punktnedslag og det registreres, om eleven
er under uddannelse, i beskæftigelse, selvforsørgende, modtager offentlige ydelser eller er på
kontanthjælp.
Der er herefter udarbejdet en kortsigtsanalyse af, hvilke uddannelser eller brancher eleverne er
overgået til 6 måneder efter endt egu. Disse analyser udføres for både de elever som gennemfø-
rer eller frafalder egu.
Beskrivelse af sammenhængsanalyserne
Sammenhængsanalyserne har til formål at undersøge, hvad der er afgørende for, om eleverne
efter egu overgår til uddannelse eller job (model 1) samt at undersøge hvad der er afgørende for,
om eleven fuldfører egu (model 2).
Det undersøges bl.a. hvordan variable som alder, køn og oprindelse påvirker sandsynligheden
for, at eleven eksempelvis gennemfører uddannelsen. Til dette formål opstilles en sandsynlig-
hedsmodel. I nedenstående er taget udgangspunkt i model 2, som modellerer sandsynligheden
for at gennemføre egu. Den afhængige variabel er binær, idet den angiver, om eleven gennemfø-
rer egu eller ej,
���� ∈ [0,1],
hvor 1 angiver gennemført uddannelse. Som uafhængige variable an-
vendes baggrundskarakteristika om eleverne, og som kontrolvariable inkluderes regioner og or-
ganiseringsformer. Det antages at fejlledende følger en logistisk fordeling, og der bruges derfor
en logistisk model (logit) til estimering af sandsynlighederne. I praksis er der ikke stor forskel på
estimaterne i en probit eller logit model, og valget af logit har derfor ingen betydning for konklu-
sionerne.
Målet er at estimere sandsynligheden,
����,
for at eleven gennemfører uddannelsen givet de pågæl-
dende kontrolvariable.
���� = ����(����
����
= 1|����) = ����(�������½) ≡ ����(����)
Da der bruges en logistisk model, er link funktion givet ved følgende:
Analyse af erhvervsgrunduddannelsen
BUU, Alm.del - 2015-16 - Bilag 172: Orientering om analyse af erhvervsgrunduddannelsen (egu), fra Rådet for Ungdomsuddannelser
1623226_0048.png
6
���� (����) =
exp(����)
1 + exp(����)
For at estimere hvad der driver om eleverne gennemfører egu opstilles følgende model:
���� = ���½
0
+���½
1
�������������������� + ���½
2
(��������������������ø�������� 9. ������������������������) + ���½
3
(����������������) + ���½
4
(�������������������� ����������������������������������������) + ���½
5
(������������������������ ��������������������������������������������)
+ ���½
6
(������������������������ ����������������������������������������) + ���½
7
(������������������������ ��������������������������������������������) + ���½
8
(������������������������ ���������������������������)
+ ���½
9
(����������������������������������������������������������������) + ���½
10
(�������� ������������ ����æ���������������� ����å ��������æ�������� �������� ����������������������������������������) + ���½
11
(���½��������������������������������)
+ ���½
12
(�������� ���� ��������������������������������)) + ���½
13
(�������������������������������������������� �������� ����������������������������������������������������������������������������) + ����
Ved estimation af ovenstående model vil de estimerede koefficienterne udelukkende kunne tolkes
som en stigning eller et fald i
���� (����
����
= 1|����)
ved en enheds ændring i den pågældende variable. For
at kunne sige noget om størrelsen af effekten på sandsynligheden estimeres de partielle sand-
synligheder.
Den gennemsnitlige marginale effekt beregnes som et gennemsnit af de individuelle effekter.
Den partielle sandsynlighed for en kontinuert variabel er givet ved følgende formel:
��������(����)
= ����(�������½)���½
����
��������
����
Da ovenstående kun gælder for kontinuerte variable, er den partielle sandsynlighed for binære
variable, som køn, givet ved:
���� (���½
1
+���½
2
����
2
+ ⋯ +���½
����−
����
����−1
+���½
����
) − ���� (���½
1
+���½
2
����
2
+ ⋯ +���½
����−
����
����−1
)
Beskrivelse af variansanalyse
Til variansanalysen er anvendt ANOVA, som er en statistisk metode til at afgøre om der er forskel
på middelværdierne i flere populationer. Dette afgøres ved at analysere forskellige varianser for
dermed at se, om der er forskel på middelværdierne. Der skelnes generelt mellem en envejs- og
en tovejsanalyse. Ved en tovejsanalyse analyseres, hvordan middelværdien ændrer sig, hvis man
ændrer på to faktorer. Denne er benyttet, hvor det ønskes at undersøge om forskellen i middel-
værdierne på tværs af region og organiseringsform er signifikant. Mens envejsanalysen er benyt-
tet, når middelværdierne mellem region eller mellem organiseringsformer undersøges separat.
Kort sagt er en variansanalyse en test om middelværdierne i populationerne er ens.
H
0
: µ
1
2
=……= µ
k
H
1
:Mindst en er forskellig fra de andre
Det antages, at de populationer, der indgår i undersøgelsen er normalfordelte, har samme eller
hver deres middelværdi, men samme varians. Det testes derfor, om variansen er ens på tværs af
alle organisationer, og om variansen er ens på tværs af regioner. Testen følger en F-fordeling.
Analyse af erhvervsgrunduddannelsen