Social- og Indenrigsudvalget 2014-15 (2. samling)
SOU Alm.del
Offentligt
1546363_0001.png
Udviklingen i antallet af unge hjemløse 18-29 år fordelt på kommuner, 2009-2015.
Dette notat indeholder en opgørelse over udviklingen i antallet af unge hjemløse mellem 18 og 29 år
fordelt på kommuner, i perioden 2009 til 2015. Kommunerne er listet inden for hver region.
Opgørelsen er foretaget dels for grupperne af 18-24 årige og 25-29 årige, samt for de to grupper
samlet, det vil sige for aldersgruppen 18-29 år. Opgørelsen findes i tabel 2.
Opgørelsen er baseret på de nationale kortlægninger af hjemløshed, der er gennemført af SFI - Det
Nationale Forskningscenter for Velfærd. Opgørelsen indbefatter borgere, der i uge 6 det
pågældende år, befandt sig i en hjemløshedssituation. Tabel 1 giver en oversigt over de situationer,
der er omfattet af kortlægningen. Kategorien ’andet’ dækker over en række situationer, der er
vurderet til at udgøre en hjemløshedssituation, som fx at overnatte i en campingvogn eller et
kolonihavehus pga. personen ikke har en bolig.
Tabel 1: Hjemløshedssituationer anvendt i kortlægning af hjemløshed i Danmark
1.
2.
3.
4.
5.
6.
7.
8.
9.
Overnatter på gaden, i trappeopgang, i et skur eller lignende.
Overnatter på natvarmestue/værested med nødovernatning eller lignende
Overnatter på akut/midlertidigt botilbud som herberger og forsorgshjem.
Opholder sig på hotel, vandrerhjem eller lignende pga. hjemløshed.
Bor midlertidigt og uden kontrakt hos f a m i l i e , venner eller bekendte.
Bor i midlertidig udslusningsbolig u den permanent kontrakt.
Afsoner under Kriminalforsorgen, skal løslades inden for 1 måned og mangler en boligløsning.
Opholder sig på hospital/behandlingstilbud, skal udskrives inden for 1 måned og mangler boligløsning.
Andet.
Oversigten omfatter kortlægningerne i 2009, 2011, 2013, 2015, hvor kortlægningerne er gennemført
efter samme definition og metode. Pga. en justering af definitionen af hjemløshed efter den første
kortlægning i 2007, indgår tallene fra 2007-kortlægningen ikke i opgørelsen af udviklingen over tid.
Opgørelsen viser, at antallet af hjemløse unge mellem 18 og 24 år er steget fra 633 i uge 6, 2009, til
1172 i uge 6, 2015. For unge mellem 25 og 29 år har der været en stigning fra 490 til 799 over
samme periode. For gruppen af 18-29 årige under ét er antallet således steget fra 1123 i uge 6, 2009
til 1971 i uge 6, 2015.
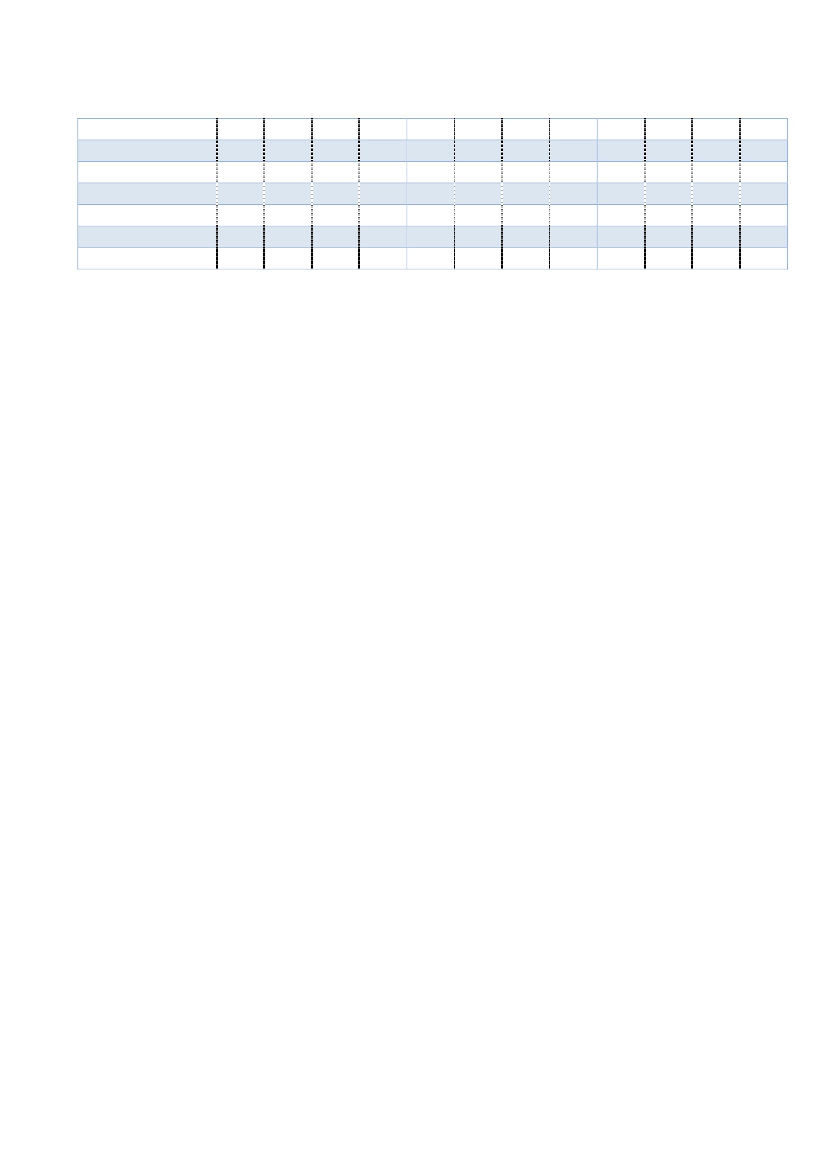
Tabel 2: Udviklingen i antallet af unge hjemløse fordelt på kommuner og regioner, 2009-2015.
2009
Region
Hovedstaden
Albertslund
Allerød
Ballerup
Bornholm
Brøndby
Dragør
Egedal
Fredensborg
Frederiksberg
Frederikssund
18-24 årige
2011 2013
25-29 år
2015
2009
2011
2013
2015
2009
18-29 år
2011
2013
2015
9
0
9
1
8
0
2
2
25
6
10
4
13
7
5
0
10
1
38
6
16
3
22
9
12
1
9
4
24
8
12
7
13
3
15
1
11
3
29
6
6
0
3
2
5
3
1
2
22
0
5
1
8
4
7
1
1
0
20
5
9
0
7
6
8
0
4
2
21
8
4
5
6
1
15
0
4
3
31
3
15
0
12
3
13
3
3
4
47
6
15
5
21
11
12
1
11
1
58
11
25
3
29
15
20
1
13
6
45
16
16
12
19
4
30
1
15
6
60
9
SOU, Alm.del - 2014-15 (2. samling) - Endeligt svar på spørgsmål 50: Spm. om antallet af unge hjemløse, dvs. hjemløse under 30 år, årligt siden 2000 fordelt på kommuner, til social- og indenrigsministeren
1546363_0002.png
Furesø
Gentofte
Gladsaxe
Glostrup
Gribskov
Halsnæs
Helsingør
Herlev
Hillerød
Hvidovre
Høje-Taastrup
Hørsholm
Ishøj
København
Lyngby-Taarbæk
Rudersdal
Rødovre
Tårnby
Vallensbæk
Region Sjælland
Faxe
Greve
Guldborgsund
Holbæk
Kalundborg
Køge
Lejre
Lolland
Næstved
Odsherred
Ringsted
Roskilde
Slagelse
Solrød
Sorø
Stevns
Vordingborg
Region Syddanmark
Assens
Billund
Esbjerg
Fanø
Fredericia
0
2
3
4
0
0
6
3
5
12
8
1
4
150
1
1
7
7
0
2
4
13
7
13
1
8
3
5
0
1
3
3
4
4
2
6
4
5
8
0
5
3
9
17
14
4
2
6
10
6
40
19
0
6
228
0
8
10
12
5
6
12
7
3
2
0
4
6
13
3
8
9
6
1
1
6
4
2
5
26
2
7
12
4
13
11
8
5
5
9
14
36
14
6
11
225
2
3
15
16
2
5
9
7
17
1
8
6
1
19
1
14
21
14
2
8
1
4
0
2
50
0
3
3
6
26
14
11
8
4
1
7
30
6
3
5
202
4
7
18
4
0
4
9
5
10
6
7
4
6
8
0
3
9
23
3
10
1
2
4
4
43
0
12
0
4
5
0
1
0
1
2
6
7
5
0
5
138
1
2
6
4
0
0
3
7
1
9
2
3
1
5
0
1
2
6
3
2
2
3
3
1
17
0
0
2
2
10
13
3
2
4
5
5
10
9
0
3
153
1
2
9
1
1
1
1
12
2
3
0
1
1
6
1
0
2
3
1
0
2
1
0
1
27
1
1
2
4
8
7
3
2
6
11
12
20
7
0
8
139
1
5
11
5
0
2
4
4
10
0
4
2
2
14
1
0
8
1
0
3
1
0
1
2
13
0
2
6
6
8
15
1
4
7
3
11
22
8
2
5
163
6
1
6
12
0
1
9
8
5
4
0
5
6
4
0
3
3
5
1
3
0
2
1
5
18
0
2
0
6
8
4
1
0
7
5
11
19
13
1
9
288
2
3
13
11
0
2
7
20
8
22
3
11
4
10
0
2
5
9
7
6
4
9
7
6
25
0
5
5
11
27
27
7
4
10
15
11
50
28
0
9
381
1
10
19
13
6
7
13
19
5
5
0
5
7
19
4
8
11
9
2
1
8
5
2
6
53
3
8
14
8
21
18
11
7
11
20
26
56
21
6
19
364
3
8
26
21
2
7
13
11
27
1
12
8
3
33
2
14
29
15
2
11
2
4
1
4
63
0
5
9
12
34
29
12
12
11
4
18
52
14
5
10
365
10
8
24
16
0
5
18
13
15
10
7
9
12
12
0
6
12
28
4
13
1
4
5
9
61
0
14
SOU, Alm.del - 2014-15 (2. samling) - Endeligt svar på spørgsmål 50: Spm. om antallet af unge hjemløse, dvs. hjemløse under 30 år, årligt siden 2000 fordelt på kommuner, til social- og indenrigsministeren
1546363_0003.png
Faaborg-Midtfyn
Haderslev
Kerteminde
Kolding
Langeland
Middelfart
Nordfyn
Nyborg
Odense
Svendborg
Sønderborg
Tønder
Varde
Vejen
Vejle
Ærø
Aabenraa
Region Midtjylland
Favrskov
Hedensted
Herning
Holstebro
Horsens
Ikast-Brande
Lemvig
Norddjurs
Odder
Randers
Ringkøbing-Skjern
Samsø
Silkeborg
Skanderborg
Skive
Struer
Syddjurs
Viborg
Aarhus
Region Nordjylland
Brønderslev
Frederikshavn
Hjørring
Jammerbugt
Læsø
6
4
0
4
0
1
2
1
31
15
3
3
2
5
17
0
4
6
0
6
3
16
3
1
2
0
23
4
0
4
3
0
2
0
6
52
2
5
1
2
0
3
6
1
5
0
1
2
4
33
9
6
1
5
6
32
0
1
1
0
17
11
9
3
0
24
0
20
1
0
6
3
2
2
5
4
119
3
0
3
0
0
4
9
0
17
1
4
6
5
16
7
3
1
7
9
12
1
4
0
2
21
10
11
11
3
0
1
23
3
0
10
12
2
0
1
5
148
5
2
4
1
0
8
10
1
9
0
5
4
5
30
13
7
3
1
6
21
0
6
1
1
39
6
14
2
2
4
4
33
5
0
24
7
1
0
4
9
171
7
0
5
2
0
1
5
0
5
1
0
0
0
21
6
3
0
0
6
8
0
1
0
4
3
5
7
1
2
0
1
5
1
0
1
0
2
0
0
4
72
2
1
1
0
0
2
5
0
6
0
0
1
1
15
6
2
1
2
5
6
0
0
1
1
13
3
5
3
0
3
4
5
0
0
4
1
5
1
0
5
102
1
1
3
0
0
0
4
0
7
1
4
0
0
17
1
5
1
3
5
5
0
0
0
0
5
3
11
2
1
0
2
11
0
0
7
1
3
0
1
8
82
2
0
3
0
0
1
7
0
7
1
2
1
3
20
12
5
2
3
13
12
0
3
1
0
15
3
17
3
5
1
0
19
1
0
21
3
0
2
1
4
125
2
2
0
0
0
7
9
0
9
1
1
2
1
52
21
6
3
2
11
25
0
5
6
4
9
8
23
4
3
2
1
28
5
0
5
3
2
2
0
10
124
4
6
2
2
0
5
11
1
11
0
1
3
5
48
15
8
2
7
11
38
0
1
2
1
30
14
14
6
0
27
4
25
1
0
10
4
7
3
5
9
221
4
1
6
0
0
4
13
0
24
2
8
6
5
33
8
8
2
10
14
17
1
4
0
2
26
13
22
13
4
0
3
34
3
0
17
13
5
0
2
13
230
7
2
7
1
0
9
17
1
16
1
7
5
8
50
25
12
5
4
19
33
0
9
2
1
54
9
31
5
7
5
4
52
6
0
45
10
1
2
5
13
296
9
2
5
2
0
SOU, Alm.del - 2014-15 (2. samling) - Endeligt svar på spørgsmål 50: Spm. om antallet af unge hjemløse, dvs. hjemløse under 30 år, årligt siden 2000 fordelt på kommuner, til social- og indenrigsministeren
1546363_0004.png
Mariagerfjord
Morsø
Rebild
Thisted
Vesthimmerland
Aalborg
Total
7
0
0
0
0
1
0
2
2
1
0
0
4
1
3
0
2
0
0
5
55
14
25
38
633 1.002 1.138 1.172
0
0
0
3
2
14
490
0
0
0
3
0
26
596
1
0
0
1
1
29
617
2
0
0
1
9
0
1
0
2
0
0
1
0
0
2
5
4
6
1
9
2
2
0
6
4
30
28
51
67
85
799 1.123 1.598 1.755 1.971
Kilde: SFI - Det Nationale Forskningscenter for Velfærd, Kortlægninger af hjemløshed, 2009-2015.