Sundheds- og Ældreudvalget 2014-15 (2. samling)
SUU Alm.del Bilag 45
Offentligt
1543806_0001.png
Sundheds- og Ældreministeriet
Enhed: Ældreenheden
Sagsbeh.: DEPSSK
Sagsnr.: SJ-STD-DEPSSK
Dok. nr.: 1758110
Dato: 18. august 2015
Status på ældremilliarden
I forbindelse med Aftale om Finanslov for 2014 blev der afsat 1 mia. kr. årligt i
en pulje til et permanent løft af indsatsen på det kommunale ældreområde.
Midlerne er i 2014 og 2015 udmøntet som ansøgningspuljer.
Status på ældremilliarden er udarbejdet på baggrund af en gennemgang af
kommunernes revisionspåtegnede puljeregnskaber samt kommunernes afrap-
portering af, om midlerne er anvendt til de forudsatte formål på ældreområdet i
2014. Gennemgangen er foretaget i maj 2015 af Puljekontoret i det daværende
Ministerium for Børn, Ligestilling, Integration og Sociale Forhold, og er således
foretaget forinden regeringens økonomiaftale med kommunerne for 2016.
Opfølgning på indsatser og resultater af ældremilliardens løft af den kommu-
nale indsats på ældreområdet
Af finanslovsaftalen for 2014 fremgår det, at en god ældrepleje skal sikre, at de
ældre kan fortsætte med at leve det liv, de ønsker. Det gælder for de ældre, der
er så sårbare og udsatte, at de har et stort plejebehov, og det gælder for de æl-
dre, der med en målrettet rehabiliteringsindsats kan hjælpes til at klare sig selv.
Midlerne skal løfte ældreplejen, hvor der er størst behov i den enkelte kommu-
ne. Det kan eksempelvis være inden for bedre praktisk hjælp og personlig pleje
(fx rengøring og bad), bedre forhold på plejehjem eller en styrket rehabilite-
rings- og genoptræningsindsats.
Det fremgår endvidere af finanslovsaftalen, at det har været afgørende for afta-
leparterne, at midlerne udmøntes på en måde, så der sikres mest velfærd for
pengene. Samtidig har det været et afgørende hensyn, at midlerne kommer de
ældre borgere til gavn og anvendes til de indsatser inden for ældreplejen, hvor
de mest gavner den enkelte borger i den enkelte kommune.
Udmøntning af midlerne til løft af ældreområdet 2014 og 2015
I 2014 og 2015 er midlerne udmøntet via en ansøgningspulje ”Pulje til løft af
ældreområdet” og fordelt til kommunerne på baggrund af en objektiv forde-
lingsnøgle for udgiftsbehovet på ældreområdet.
I 2014 og 2015 ansøgte alle kommuner om det reserverede beløb til løft af
ældreområdet, hvormed ældremilliarden blev fordelt mellem kommunerne i
henhold til fordelingsnøglen. Ministeret for Børn, Ligestilling, Integration og
Sociale Forhold vurderede og godkendte kommunernes ansøgninger.
SUU, Alm.del - 2014-15 (2. samling) - Bilag 45: Kopi FIU alm. del - svar på spm. 2 om udmøntning af midlerne på ældreområdet, fra finansministeren
1543806_0002.png
De ansøgte beløb fordeler sig i 2014 og 2015 jævnt over de tre indsatsområder,
der i ansøgningsmaterialet blev nævnt som inspiration til fokus i ansøgningen.
Den procentvise fordeling i henholdsvis 2014 og 2015 er angivet i parentes
nedenfor.
1.
2.
3.
4.
Styrket rehabiliterings- og genoptræningsindsats (26 pct./29 pct.)
Bedre praktisk hjælp og personlig pleje (37 pct./37 pct.)
Bedre forhold for de svageste ældre, fx på plejehjem (34 pct./32 pct..)
Andet (3 pct./2 pct.)
Ad 1 Styrket rehabiliterings- og genoptræningsindsats
En sammenligning af kommunernes ansøgning og budgettering af midler til en
styrket rehabiliterings- og genoptræningsindsats i 2014 og 2015 viser, at der er
sket en lille stigning i det samlede forbrug på rehabilitering og genoptræning.
Dog søger færre kommuner i 2015 om midler til kompetenceudvikling,
jf. figur
1.
Figur 1:
Ansøgte midler under hovedområdet styrket rehabiliterings- og genoptræ-
ningsindsats opgjort i mio. kr. fordelt på de enkelte initiativer i hhv. 2014 og 2015.
200
150
100
50
0
2014
2015
Kilde: Kommunernes budgetter for ældremilliarden i 2014 og 2015
Midlerne, der er ansøgt til ”Andet” som led i en styrket rehabiliterings- og gen-
optræningsindsats, udgør i 2015 en stigende andel og anvendes til fx etablering
og drift af rehabiliteringspladser.
Ad 2. Bedre praktisk hjælp og personlig pleje
Kommunernes anvendelse af midlerne til bl.a. praktisk hjælp og personlig pleje
i 2014 og 2015 viser, at der er sket en stigning i andelen af midler, som kom-
munerne vil anvende til at styrke den forebyggende og sundhedsfaglige indsats.
Til gengæld vælger færre kommuner at afsætte midler til velfærdsteknologi og
kompetenceudvikling i 2015, hvor udgifterne er halveret,
jf. figur 2.
SUU, Alm.del - 2014-15 (2. samling) - Bilag 45: Kopi FIU alm. del - svar på spm. 2 om udmøntning af midlerne på ældreområdet, fra finansministeren
1543806_0003.png
Figur 2:
Ansøgte midler under hovedområdet bedre praktisk hjælp og person pleje
opgjort i mio. kr. fordelt på de enkelte initiativer i hhv. 2014 og 2015.
100
80
60
40
20
0
2014
2015
Kilde: Kommunernes budgetter for ældremilliarden i 2014 og 2015
Midlerne, der er ansøgt til ”Andet” som led i en bedre praktisk hjælp og person
pleje, udgør i 2015 en stigende andel, og anvendes til fx til at styrke indsatsen
blandt ældre med særlige problemstillinger i form af en opsøgende indsats hos
borgere med fx økonomiske og sociale problemer.
Ad 3. Bedre forhold for de svageste ældre, fx på plejehjem
En sammenligning af kommunernes indsatser over for demente og deres pårø-
rende viser, at der fra 2014 til 2015 er sket en lille stigning i initiativerne på
dette område. Til gengæld er udgifterne til velfærdsteknologi faldet. Dette skyl-
des primært, at kun halvt så mange kommuner i 2015 ansøgte om midler til
velfærdsteknologi,
jf. figur 3.
Figur 3:
Ansøgte midler under hovedområdet bedre forhold for de svageste ældre, fx
på plejehjem opgjort i mio. kr. fordelt på de enkelte initiativer i hhv. 2014 og 2015.
120
100
80
60
40
20
0
2014
2015
Kilde: Kommunernes budgetter for ældremilliarden i 2014 og 2015
Midlerne, der er ansøgt til ”Andet” som led i bedre forhold for de svageste
ældre, fx på plejehjem, udgør i både 2014 og 2015 en stor andel og anvendes
SUU, Alm.del - 2014-15 (2. samling) - Bilag 45: Kopi FIU alm. del - svar på spm. 2 om udmøntning af midlerne på ældreområdet, fra finansministeren
1543806_0004.png
primært til lønudgifter i hjemmeplejen og på plejecentre til aktiviteter på tværs
af de enkelte initiativer.
Kommunernes samlede regnskabsaflæggelse for ældremilliarden til løft af
ældreområdet
Tildelingen af midlerne følger Ministeriet for Børn, Ligestilling, Integration og
Sociale Forholds generelle betingelser for tilskudsmodtagere. Den kommunale
revision skal derfor påtegne anvendelsen af midlerne til de beskrevne indsatser
gennem opstilling af et særskilt puljeregnskab. Såfremt midlerne ikke er an-
vendt på ældreområdet, vil der blive stillet krav om tilbagebetaling.
Adgang til videreførelse af uforbrugte midler fra en tilskudsperiode til den næ-
ste gælder hele ministeriets puljeområde og kommer således også til anvendelse
i forbindelse med udmøntning af puljen til løft af ældreområdet.
Af betingelserne fremgår det, at videreførelse af uforbrugte midler fra en til-
skudsperiode til den næste forudsætter en skriftlig ansøgning fra tilskudsmod-
tager til ministeriet. Såfremt det samlede beløb til videreførelse er mindre end
100.000 kr. og samtidig udgør mindre end 10 pct. af tilskudsmodtagerens til-
skud i det pågældende år, kan midlerne dog overføres uden forudgående god-
kendelse af ministeriet.
Det er endvidere en forudsætning for ministeriets godkendelse af videreførelse
af midler fra en periode til den næste, at de videreførte beløb anvendes inden-
for formålet med puljen og understøtter den enkelte tilskudsmodtagers indsats,
som den er beskrevet i ansøgningen om midler.
Økonomisk status for anvendelse af midlerne i 2014
Den økonomiske opgørelse over kommunernes anvendelse af ældremilliarden
er baseret på opgørelser fra 94 kommuner
1
. Gennemgangen viser, at kommu-
nerne samlet set har overført 187 mio. kr. fra 2014 til anvendelse på løft af
ældreområdet i 2015, svarende til 19 pct. af den samlede pulje. Ministeriet for
Børn, Ligestilling, Integration og Sociale Forhold godkendte løbende kommu-
nernes anmodninger om overførsel til 2015, hvor kommunerne har redegjort
for, at midlerne fortsat anvendes til løft af ældreområdet i 2015.
Kommunernes overførsel af tilskudsbeløb fra 2014 til 2015 skyldes primært
forsinkelser i forhold til det forventede i ansættelse af personale samt levering
af velfærdsteknologiske løsninger. Det er i den sammenhæng væsentligt, at
midlerne i kommunerne anvendes indenfor puljens kriterier og ikke mindst til
realiserbare initiativer.
1
Der er rykket for regnskaber fra de resterende fire kommuner.
SUU, Alm.del - 2014-15 (2. samling) - Bilag 45: Kopi FIU alm. del - svar på spm. 2 om udmøntning af midlerne på ældreområdet, fra finansministeren
1543806_0005.png
Kommunernes egne erfaringer med puljen til løft af ældreområdet
Foruden regnskabsaflæggelse skal kommunerne i henhold til tilskudsbetingel-
serne afrapportere om puljemidlernes anvendelse. Kommunerne er derfor for-
pligtet til at udfylde og indsende en erfaringsopsamling på tværs af puljens tre
indsatsområder; styrket rehabiliterings- og genoptræningsindsats, bedre prak-
tisk hjælp og personlig pleje samt bedre forhold for de svageste ældre.
Erfaringsopsamlingen bygger på svar fra 88 kommuner
2
, der har indsendt af-
rapportering til Ministeriet for Børn, Ligestilling, Integration og Sociale For-
hold. I de tilfælde, hvor svarprocenten ikke er baseret på alle 88 kommuner, vil
det fremgå særskilt under de enkelte figurer i nedenstående gennemgang.
Variation i andelen af kommunernes borgere over 75 år, som har modtaget en eller flere
indsatser som følge af ældremilliarden
Ifølge kommunernes egne opgørelser oplyser hver tredje kommune, at 76-100
pct. af de ældre i kommunen har modtaget en eller flere indsatser
3
som følge af
ældremilliarden, mens det i næsten 2/3 af de adspurgte kommuner er over
halvdelen af de ældre, der har modtaget en eller flere indsatser som følge af
ældremilliarden,
jf. figur 4.
Figur 4:
Andel af kommunens borgere over 75 år, som har behov for hjælp, som har
modtaget en eller flere indsatser som følge af ældremilliarden.
30
25
20
15
10
5
0
0-10%
11-25%
26-50%
51-75%
76-100%
Kilde: Indsendte erfaringsopsamlinger fra 84 deltagende kommuner
En gennemgang af de kommuner, der oplyser, at mindre end halvdelen af de
ældre har modtaget en eller flere indsatser som følge af ældremilliarden, viser,
at årsagen typisk er en følge af forsinket projektopstart. Ydermere skyldes den
mindre målgruppe, at kommunerne her har valgt at rette indsatsen specifikt
mod fx demens eller hjerneskadede ældre.
140.000 borgere har mærket ældremilliarden
Ældremilliardens målgruppe er alle personer over 65 år. Den 1. januar 2015 var
der 1.051.129 personer over 65 år. Ifølge kommunernes egne optællinger og
tilbagemelding har 140.000 borgere modtaget hjælp som følge af ældremilliar-
2
Der er rykket for erfaringsopsamlinger fra de resterende ti kommuner.
3
Indsatserne er i vejledningen beskrevet som fx styrket rehabiliteringsindsats, øget praktisk og
personlig pleje, fokus på madservice, velfærdsteknologiske løsninger etc.
Antal kommuner
SUU, Alm.del - 2014-15 (2. samling) - Bilag 45: Kopi FIU alm. del - svar på spm. 2 om udmøntning af midlerne på ældreområdet, fra finansministeren
1543806_0006.png
den. Som det fremgår ovenfor, er indsatsen primært rettet mod borgere over
75 år, som vurderes at have gavn af indsatserne. Til sammenligning var der i
2014 i Danmark 124.997 hjemmehjælpsmodtagere over 65 år.
Merforbruget pr. ældre varierer i kommunerne
En beregning af kommunernes merforbrug pr. ældre baseret på kommunernes
egne indberetninger af, hvor mange ældre, der har behov for en eller flere ind-
satser, og som har modtaget en indsats som følge af ældremilliarden, viser store
variationer.
Beløbet pr. borger er et skøn og udregnet ved at sammenholde kommunens
samlede bevilling med det antal ældre med behov, som kommunen selv har
oplyst, har modtaget hjælp som følge af ældremilliarden,
jf. figur 5.
Figur 5:
Udgiften pr. borger i de enkelte kommuner, som har modtaget en eller flere
indsatser.
60.000
Udgifter pr. borger (kr.)
50.000
40.000
30.000
20.000
10.000
0
Kilde: Indsendte erfaringsopsamlinger fra 86 deltagende kommuner
En gennemgang af de kommuner, hvor der er noteret flest midler pr. borger,
viser, at der typisk er et stort fokus på praktisk hjælp til de ældre gennem fx
ekstra normering. I de kommuner, hvor der er brugt færrest midler, har der
været et større fokus på fx kompetenceudvikling af medarbejdere. Overordnet
set har ældremilliarden i gennemsnit tilført kommunerne 7.256 kr. ekstra pr.
involveret borger.
Erfaringer på tværs af puljens tre indsatsområder
På tværs af puljens tre indsatsområder; styrket rehabiliterings- og genoptræ-
ningsindsats, bedre praktisk hjælp og personlig pleje samt bedre forhold for de
svageste ældre, oplyser de fleste kommuner, at de i høj grad eller i nogen grad
har opnået de forventede resultater.
Kommunerne har som en del af afrapporteringen kort beskrevet, de resultater
kommunen har opnået som følge af ældremilliarden. Kommunernes beskrivel-
ser peger på, at resultaterne især kommer til udtryk i form af øget livskvalitet
hos borgeren, hvor der i indsatsen er fokus på både psykiske og fysiske forbed-
ringer. Psykiske forbedringer omhandler typisk en indsats mod ensomhed
blandt de ældre. Her har kommuner bl.a. lagt vægt på kommunalt og frivilligt
oprettede netværk til de ældre. Fysiske forbedringer spænder fra ekstra fokus
SUU, Alm.del - 2014-15 (2. samling) - Bilag 45: Kopi FIU alm. del - svar på spm. 2 om udmøntning af midlerne på ældreområdet, fra finansministeren
1543806_0007.png
på kostvaner til øget funktionsdygtighed via træning, cykelture eller drivhus-
pasning.
Desuden nævner et flertal af kommunerne, at ældremilliarden har medvirket til
at hæve serviceniveauet i form af ekstra hjælp til de ældre og flere ansatte pr.
borger. Endvidere peger flere kommuner på, at tværfaglighed, i form af øget
samarbejde og nye faglige profiler og kompetenceudvikling i form af efterud-
dannelse og nye arbejdsgangsmetoder, er blevet prioriteret internt. Puljen har
således flere steder været afsæt for både opkvalificering af medarbejderne og
udvikling af organisationen.
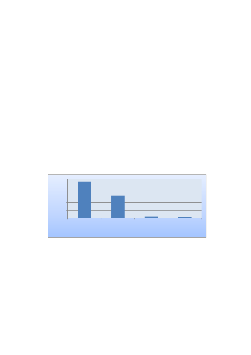
Erfaringer med styrket rehabiliterings- og genoptræningsindsats
Blandt de kommuner, der har indsendt erfaringsopsamling, har 90 pct. af
kommunerne anvendt midler fra ældremilliarden til en styrket rehabiliterings-
og genoptræningsindsats.
En gennemgang af kommunernes beskrivelser af indsatsen viser, at 96 pct. af
kommunerne oplyser, at de i høj grad eller nogen grad har opnået de forvente-
de resultater som følge af en styrket rehabiliterings- og genoptræningsindsats,
jf. figur 6.
Figur 6:
Opnåede kommunerne de forventede resultater ved en styrket rehabilite-
rings- og genoptræningsindsats.
50
Antal kommuner
40
30
20
10
0
Høj grad
Nogen grad
Ringe grad
Nej
Kilde: Indsendte erfaringsopsamlinger fra 79 deltagende kommuner
På baggrund af kommunernes egne beskrivelser af de resultater, der er opnået
vedr. en styrket rehabiliterings- og genoptræningsindsats, har ældremilliarden,
ifølge 60 pct. af kommunerne, forbedret borgerens livskvalitet som en direkte
og mærkbar forandring samt et højnet serviceniveauet i kommunen. Endvidere
oplyser ca. 40 pct. af kommunerne, at de rent organisatorisk har opnået resulta-
ter i form af øget tværfagligt samarbejde og kompetenceudvikling af medarbej-
derne,
jf. figur 7.
SUU, Alm.del - 2014-15 (2. samling) - Bilag 45: Kopi FIU alm. del - svar på spm. 2 om udmøntning af midlerne på ældreområdet, fra finansministeren
1543806_0008.png
Figur 7:
Opnåede resultater fordelt på udvalgte indsatsområder ved en styrket rehabi-
literings- og genoptræningsindsats.
Andel kommuner
70
60
50
40
30
20
10
0
Kilde: Indsendte erfaringsopsamlinger fra 79 deltagende kommuner
6.2. Erfaringer med bedre praktisk hjælp og personlig pleje
I alt 93 pct. af de kommuner, der har indsendt erfaringsopsamling, har anvendt
midler fra ældremilliarden til bedre praktisk hjælp og personlig pleje.
En gennemgang af kommunernes beskrivelser af indsatsen, viser, at 95 pct. af
kommunerne oplyser, at de i høj grad eller nogen grad har opnået de forvente-
de resultater som følge af en bedre praktisk hjælp og personlig pleje,
jf. figur 8.
Figur 8:
Opnåede kommunerne de forventede resultater ved en bedre praktisk hjælp
og personlig pleje.
50
Antal kommuner
40
30
20
10
0
Høj grad
Nogen grad
Ringe grad
Nej
Kilde: Indsendte erfaringsopsamlinger fra 82 deltagende kommuner
På baggrund af kommunernes egne beskrivelser af de resultater, der er opnået
vedr. en bedre praktisk hjælp og personlig pleje, tegner der sig et billede af, at
ældremilliarden, ifølge 71 pct. af kommunerne, har styrket kommunernes ser-
viceniveau med betydning for borgerens livskvalitet fx i form af ekstra hjælp til
de ældre og flere ansatte pr. borger, og dermed mere tid til at yde hjælp til den
enkelte borger,
jf. figur 9.
SUU, Alm.del - 2014-15 (2. samling) - Bilag 45: Kopi FIU alm. del - svar på spm. 2 om udmøntning af midlerne på ældreområdet, fra finansministeren
1543806_0009.png
Figur 9:
Antal kommuner der opnåede resultater på udvalgte områder ved en bedre
praktisk hjælp og personlig pleje.
Andel kommuner
Antal kommuner
80
60
40
20
0
Kilde: Indsendte erfaringsopsamlinger fra 82 deltagende kommuner
Erfaringer med bedre forhold for de svageste ældre.
93 pct. af de kommuner, der har indsendt erfaringsopsamling, har anvendt
midler fra ældremilliarden til bedre forhold for de svageste ældre, fx på pleje-
hjem.
En gennemgang af kommunernes beskrivelser af indsatsen, viser, at 99 pct. af
kommunerne oplyser, at de i høj grad eller nogen grad har opnået de forvente-
de resultater som følge af bedre forhold for de svageste ældre, fx på plejehjem,
jf. figur 10.
Figur 10:
Opnåede kommunerne de forventede resultater for de svageste ældre, fx på
plejehjem.
60
50
40
30
20
10
0
Høj grad
Nogen grad
Ringe grad
Nej
Kilde: Erfaringsopsamling fra de 82 deltagende kommuner
På baggrund af kommunernes egne beskrivelser af de resultater, der er opnået
vedr. bedre forhold for de svageste ældre, tegner der sig et billede af, at ældre-
milliarden, ifølge 74 pct. af kommunerne, har styrket kommunernes serviceni-
veau med betydning for borgerens livskvalitet fx i form af ekstra hjælp til de
ældre og flere ansatte pr. borger, og dermed mere tid til den enkelte til fx ekstra
bade,
jf. figur 11.
SUU, Alm.del - 2014-15 (2. samling) - Bilag 45: Kopi FIU alm. del - svar på spm. 2 om udmøntning af midlerne på ældreområdet, fra finansministeren
1543806_0010.png
Figur 11:
Antal kommuner der opnåede resultater på udvalgte indsatsområder
ved en bedre forhold for de svageste ældre, fx på plejehjem.
Andel kommuner
80
60
40
20
0
Kilde: Erfaringsopsamling fra 82 deltagende kommuner
Gode og dårlige erfaringer med ældremilliarden som ansøgningspulje
Flere kommuner har i erfaringsopsamlingen peget på, at ældremilliarden har
skabt grundlag for ny faglighed i kommunerne eksemplificeret ved introdukti-
onen af ergoterapeuter, fysioterapeuter og neuropsykologer. Der er blevet op-
rettet task-forces med fokus på at øge helhedsbehandlingen af borgerne gen-
nem større tværfaglighed, og endelig har ældremilliarden været med til at give
et kompetenceløft i kommunerne gennem efteruddannelse og kurser til enten
alle eller dele af medarbejderstaben.
På den anden side oplyser kommunerne, at ansøgningsprocessen har været
ressourcekrævende og besværlig. Desuden har kommunerne været udfordret af
ansøgningspuljens tidsfrister og det faktum, at ældremilliarden for 2014 først
blev udmøntet i marts, hvilket har forsinket ansættelser af nyt personale i 2014
og dermed udmøntningen af midlerne i 2014.