Børne- og Undervisningsudvalget 2014-15 (2. samling)
BUU Alm.del Bilag 35
Offentligt
1548176_0001.png
Profilmodel 2014 - Ungdomsuddannelser
En fremskrivning af hvor stor en andel af en niende
klasse årgang, der forventes at få mindst en
ungdomsuddannelse
Profilmodel 2014 er en fremskrivning af, hvordan en niende klasse årgang vil
uddanne sig i løbet af 25 år. Dette notat præsenterer fremskrivningerne
vedrørende ungdomsuddannelser på landsplan.
Fremskrivningen bygger på en række væsentlige antagelser beskrevet på side
8-9, hvor også centrale begreber står defineret.
Hovedresultater:
2014-ungdomsårgangen
For ungdomsårgang 2014 forventes 93 procent at få mindst en ungdoms-
uddannelse
Som for ungdomsårgangene 2011- 2013 forventes 93 procent at opnå
mindst en ungdomsuddannelse indenfor 25 år, hvilket betyder, at de for-
ventes at opnå en ungdomsuddannelse eller en videregående uddannelse.
Dette gælder for 95 procent af pigerne og for 91 procent af drengene.
Størstedelen af både pigerne og drengene opnår en gymnasial uddannel-
se:
75 procent af piger af dansk herkomst og 71 procent af piger af udenlandsk
herkomst forventes at opnå en gymnasial uddannelse. Til sammenligning
forventes 62 procent af drenge af dansk herkomst og 57 procent af drenge
af udenlandsk herkomst at opnå en gymnasial uddannelse.
Meget få begynder aldrig på en ungdomsuddannelse:
Kun 1 procent forventes ikke at påbegynde en ungdomsuddannelse.
Elever, der gennemfører en gymnasial uddannelse, er hurtigere til at
komme i gang end elever, der forventes at fuldføre en erhvervsfaglig ud-
dannelse:
Gymnasiale uddannelser bliver i høj grad fuldført inden for 5 år efter endt
niende klasse, mens andelen der tager en erhvervsuddannelse stiger mar-
kant også efter de fem år, faktisk helt op til 15 år stiger andelen. Det bety-
der, at det ikke kun er de helt unge, der fuldfører erhvervsuddannelser.
BUU, Alm.del - 2014-15 (2. samling) - Bilag 35: Notat om Profilmodel 2014, fra ministeren for børn, undervisning og ligestilling
1548176_0002.png
Styrelsen for It og Læring, september 2015
Side 2 af 10
En andel af eleverne forventes at opnå både en erhvervsfaglig og en gym-
nasial uddannelse:
6 procent af ungdomsårgang 2014 forventes at opnå både en erhvervsfaglig
og en gymnasial uddannelse inden for 10 år af endt niende klasse og 12
procent inden for 25 år. Desuden forventes 1 procent af eleverne at opnå to
erhvervsuddannelser inden for 10 år og 5 procent inden for 25 år. Derfor er
andelene med to ungdomsuddannelser højere, end hvis man kun tager høj-
de for elever, der forventes at opnå både en erhvervsfaglig og gymnasial
uddannelse.
Udviklingen for ungdomsårgangene 2005-2014
Andelen, der forventes at opnå mindst en ungdomsuddannelse, er uæn-
dret fra 2011 og ligger derfor fortsat på 93 procent:
Forventningerne er, at 87 procent af årgang 2005 forventes at opnå mindst
en ungdomsuddannelse, mens det gælder for 91 procent af årgang 2010.
Der er således sket en stigning fra 2005-2011.
Samme andel som sidste år forventes at opnå en almen gymnasial uddan-
nelse:
Henholdsvis 39 og 19 procent af årgang 2005 forventes at opnå en almen
gymnasial (stx og hf) og erhvervsgymnasial (hhx og htx) uddannelse. For år-
gang 2014 forventes 18 procent at opnå en erhvervsgymnasial uddannelse
mod 52 procent, der forventes at opnå en almen gymnasial uddannelse.
Niveauet for elever, der opnår mere end én ungdomsuddannelse, har lig-
get jævnt de seneste år.
6 procent af ungdomsårgang 2014 forventes at opnå både en erhvervsfaglig
og gymnasial uddannelse inden for 10 år. I 2005 lå niveauet på 7 procent.
12 procent af ungdomsårgang 2014 forventes at opnå både en erhvervsfag-
lig og gymnasial uddannelse inden for 25 år. For 2005 var den forventede
andel også 12 procent.
Der er flere resultater, også vedrørende de videregående uddannelser og højeste
fuldførte uddannelse på
http://www.uvm.dk/profilmodel
Resultaterne for ungdomsårgangene 2005-2014 er genberegnet på det opdaterede
datagrundlag fra Danmarks Statistik. Hvert år genberegnes alle tal på baggrund af
opdateringer i datagrundlaget fra Danmarks Statistik, hvorfor resultaterne oftest vil
afvige fra de resultater, der blev præsenteret tidligere år for de samme årgange. Se
evt. mere om dette på samme link i notatet ”Om profilmodel 2014”.
Ovenstående hovedresultater uddybes og illustreres i det følgende.
Ungdomsårgang 2014:
For ungdomsårgang 2014 forventes 93 procent at få mindst en ungdomsuddan-
nelse
BUU, Alm.del - 2014-15 (2. samling) - Bilag 35: Notat om Profilmodel 2014, fra ministeren for børn, undervisning og ligestilling
1548176_0003.png
Styrelsen for It og Læring, september 2015
Side 3 af 10
Profilmodel 2014 viser, at 93 procent af ungdomsårgang 2014 forventes at opnå
mindst en ungdomsuddannelse. Derved er den forventede andel uændret i forhold
til ungdomsårgang 2011-2013.
Figur 1 Andel af ungdomsårgang 2014, som forventes at opnå mindst en ung-
domsuddannelse i løbet af 25 år efter niende klasse, fordelt på køn og herkomst.
100
90
80
70
Alle
Alle
Dansk herkomst
Drenge
Piger
Udenlandsk herkomst
93 94
86
81
91 92
95 95
92
Kilde: Beregninger af Styrelsen for It og Læring på Danmarks Statistiks registre.
Som det fremgår af figur 1, ligger drenge af udenlandsk herkomst lavest med en
forventet andel, der minimum vil opnå mindst en ungdomsuddannelse, på 81 pro-
cent. Drenge af dansk herkomst og piger af udenlandsk herkomst ligger på samme
niveau med en forventet andel på 92 procent. Danske piger ligger højst med en
forventet andel på 95 procent.
Størstedelen af både pigerne og drengene opnår en gymnasial uddannelse.
61 procent af drengene og 75 procent af pigerne forventes at opnå en gymnasial
uddannelse (fremgår ikke af figur 2).
Figur 2 Andel af ungdomsårgang 2014, som forventes at opnå en ungdomsuddan-
nelse i løbet af 25 år efter niende klasse, fordelt på køn og herkomst.
80
60
40
20
0
Alle
Drenge -
dansk
herkomst
Piger -
dansk
herkomst
Drenge -
udenlandsk
herkomst
Piger -
udenlandsk
herkomst
32
12
2
68
62
37
12
2
75
57
28
13
1
24
7 2
24
9
1
71
Andel i procent
Andel i procent
Gymnasial ungdomsuddannelse
heraf begge kompetencer
Erhvervsfaglig ungdomsuddannelse
STU
Kilde: Beregninger af Styrelsen for It og Læring på Danmarks Statistiks registre.
Figur 2 viser, at 75 procent af pigerne af dansk herkomst og 71 procent af piger af
udenlandsk herkomst forventes at opnå en gymnasial uddannelse. Derimod forven-
BUU, Alm.del - 2014-15 (2. samling) - Bilag 35: Notat om Profilmodel 2014, fra ministeren for børn, undervisning og ligestilling
1548176_0004.png
Styrelsen for It og Læring, september 2015
Side 4 af 10
tes andelene for drenge af dansk herkomst og drenge af udenlandsk herkomst at
være henholdsvis 62 og 57 procent. Uanset herkomst er der således en højere andel
af piger, der forventes at opnå en gymnasial uddannelse. Andelen af ungdomsår-
gang 2014, der forventes at opnå en erhvervsuddannelse, er 32 procent. Drenge af
dansk herkomst ligger højest med en forventet andel på 37 procent, piger af dansk
herkomst har en forventet andel på 28 procent, og både piger og drenge af uden-
landsk herkomst har en forventet andel, der opnår en erhvervsuddannelse, på 24
procent.
Meget få begynder aldrig på en ungdomsuddannelse.
En procent af ungdomsårgang 2014 forventes ikke at påbegynde en ungdomsud-
dannelse. Som vist i figur 3, ligger andelen markant højere for drenge og piger af
udenlandsk herkomst sammenlignet med drenge og piger af dansk herkomst. For
elever af dansk herkomst er den forventede andel 1 procent. For piger af uden-
landsk herkomst er den forventede andel, der ikke påbegynder en ungdomsuddan-
nelse, lidt over 2 procent for piger og lidt over 3 procent for drenge af udenlandsk
herkomst.
Figur 3 Andel af ungdomsårgang 2014, som ikke forventes at påbegynde en ung-
domsuddannelse, fordelt på køn, etnicitet og antal år efter 9. klasse.
6
5
Andel i procent
4
3
2
1
0
5
10
15
20
År efter niende klasse
25
Alle
Drenge - dansk herkomst
Piger - dansk herkomst
Drenge - udenlandsk herkomst
Piger - udenlandsk herkomst
Kilde: Beregninger af Styrelsen for It og Læring på Danmarks Statistiks registre.
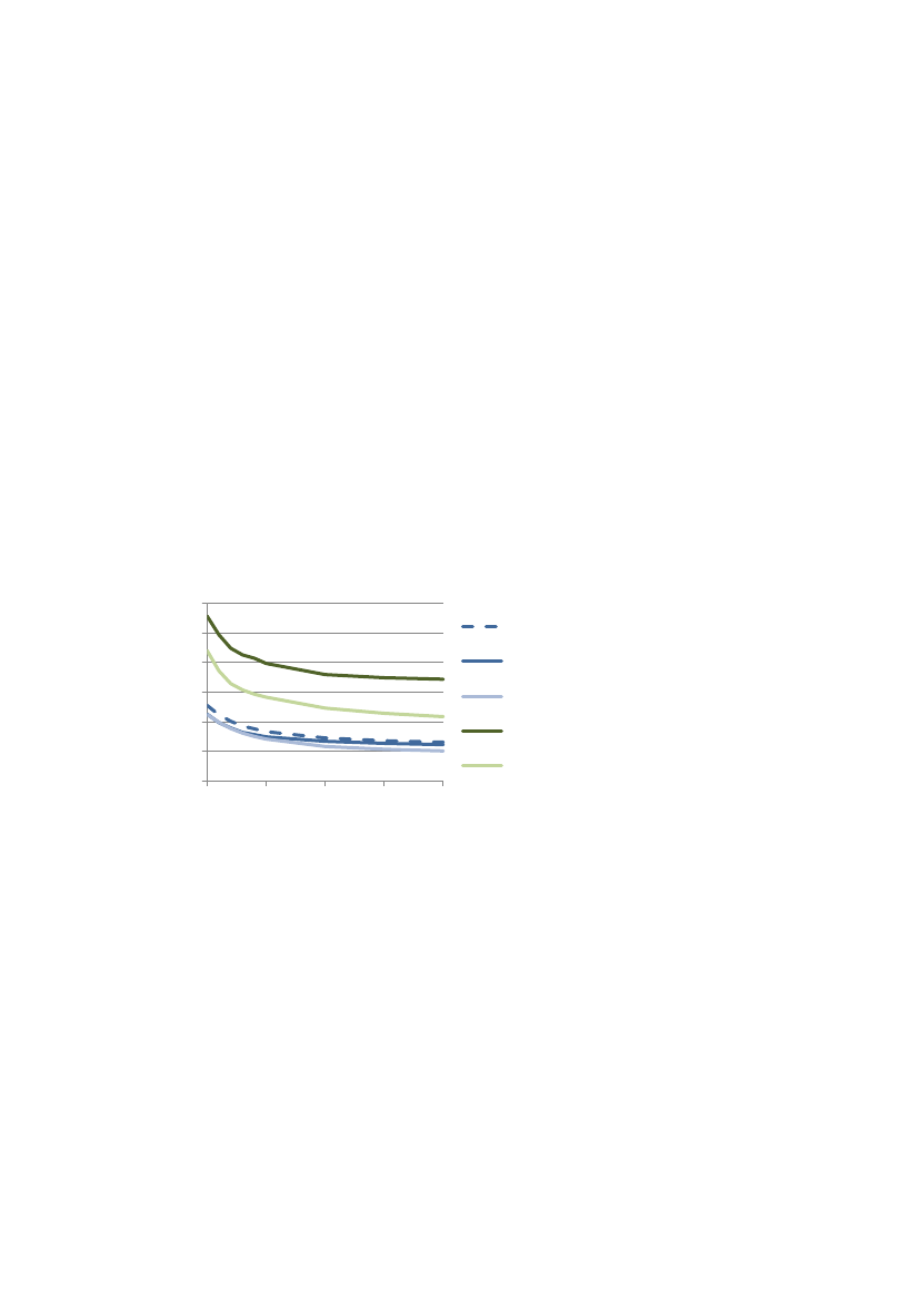
Elever, der gennemfører en gymnasial uddannelse, er hurtigere til at komme i
gang end elever, der forventes at fuldføre en erhvervsfaglig uddannelse.
Figur 4 viser, at 72 procent af ungdomsårgang 2014 forventes at opnå mindst en
ungdomsuddannelse inden for de første 5 år efter niende klasse. Efter 10 år er tallet
87 procent og efter 20 år er andelen 93 procent. Derved er stigningen størst inden
for de første 10 år, hvilket betyder, at langt de fleste elever vil afslutte en ungdoms-
uddannelse inden for de første 10 år efter endt niende klasse.
For elever, der opnår en gymnasial uddannelse, vil størstedelen fuldføre indenfor 5
år af afsluttet niende klasse. Andelen af ungdomsårgang 2014, der forventes at op-
nå en gymnasial uddannelse, stiger fra 60 procent til 68 procent over perioden fra 5
år efter endt niende klasse til 25 år efter. Dette mønster er anderledes for de er-
hvervsfaglige ungdomsuddannelser. Her opnår 11 procent af ungdomsårgangen en
BUU, Alm.del - 2014-15 (2. samling) - Bilag 35: Notat om Profilmodel 2014, fra ministeren for børn, undervisning og ligestilling
1548176_0005.png
Styrelsen for It og Læring, september 2015
Side 5 af 10
erhvervsfaglig ungdomsuddannelse inden for de første 5 år. Efter 15 år har 28 pro-
cent opnået en erhvervsfaglig uddannelse og efter 25 år har 32 procent opnået en
erhvervsfaglig ungdomsuddannelse. Således kommer eleverne på de erhvervsfagli-
ge uddannelser senere i gang og er længere tid om det. Som vist i figur 4, er stignin-
gen inden for erhvervsuddannelser højest inden for de første 10 år.
Figur 4 Andel af ungdomsårgang 2014, som forventes at opnå mindst en ung-
domsuddannelse, fordelt på type af ungdomsuddannelse og antal år efter niende
klasse.
100
Mindst en ungdomsuddannelse
Ungdomsuddannelse
Gymnasial ungdomsuddannelse
Erhvervsfaglig ungdomsuddannelse
5
10
15
20
25
Særligt Tilrettelagt
Ungdomsuddannelse
80
Andel
60
40
20
0
År efter 9. klasse
Kilde: Beregninger af Styrelsen for It og Læring på Danmarks Statistiks registre.
En andel af eleverne forventes at opnå både en erhvervsfaglig og en gymnasial
uddannelse.
I figur 5 ses andelen af ungdomsårgang 2014, der forventes at opnå flere ungdoms-
uddannelser inden for 10 og 25 år efter afsluttet niende klasse. Andelen, der for-
ventes at opnå to gymnasiale uddannelser, er lidt under 1 procent inden for 10 år,
og er et udtryk for, at de få elever, der tager adgangseksamen til ingeniør efter endt
gymnasium. Andelen, der forventes at opnå to erhvervsuddannelser er 1 procent,
og er bl.a. et udtryk for, at man for eksempel både kan tage en social og sundheds-
hjælperuddannelse og senere en social og sundhedsassistent uddannelse, dvs. man
kan opgradere inden for samme uddannelse. Der er også nogle, som tager beslæg-
tede uddannelser og derved dækker flere kompetencefelter, fx bager og konditor.
Derved er der i alt 8 procent, der forventes at opnå to eller flere ungdomsuddannel-
ser inden for 10 år af afsluttet niende klasse, og inden for 25 år er det 17 procent.
Inden for 10 år forventes to ungdomsuddannelser at være et tegn på opkvalificering
eller bredere kompetencedækning, hvorimod det inden for 25 år også kan være et
udtryk for omskoling.
Langt de fleste elever opnår først en gymnasial uddannelse og derefter en erhvervs-
faglig uddannelse. Det er i mindre grad elever fra erhvervsfaglige uddannelser, der
bagefter supplerer med en gymnasial uddannelse. For årgang 2014 forventes 6 pro-
cent at afslutte en gymnasial uddannelse først, mens en halv procent afslutter en
erhvervsfaglig uddannelse først (inden for 10 år).
BUU, Alm.del - 2014-15 (2. samling) - Bilag 35: Notat om Profilmodel 2014, fra ministeren for børn, undervisning og ligestilling
1548176_0006.png
Styrelsen for It og Læring, september 2015
Side 6 af 10
Figur 5 Andel af ungdomsårgang 2014, der forventes at opnå mere end en ung-
domsuddannelse, opgjort på type af kombination.
Andel i procent
20
15
12
6
1
1
10 år efter 9. klasse
Dobbelt gymnasial uddannelse
Dobbelt erhvervsfaglig uddannelse
Både erhvervsuddannelse og gymnasial uddannelse
To ungdomsuddannelser
8
2
5
17
10
5
0
25 år efter 9. klasse
Kilde: Beregninger af Styrelsen for It og Læring på Danmarks Statistiks registre.
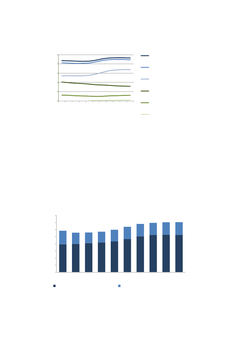
Udviklingen for ungdomsårgangene 2005-2014:
Andelen, der forventes at opnå en ungdomsuddannelse, er uændret fra 2011-2014
og ligger derfor fortsat på 93 procent for ungdomsårgang 2014.
Fra 2011 til 2014 er der ikke sket en ændring i andelen af elever, der forventes at
opnå mindst en ungdomsuddannelse. For alle fire år ligger andelen på 93 procent.
Fra 2009 til 2010 steg andelen markant fra 88 procent til 91. Tendensen er således,
at andelen er stagneret de seneste år.
Andelen, der opnår en gymnasial ungdomsuddannelse, er derimod fortsat stigende.
Fra et niveau omkring 54-55 procent i 2005-2008 steg andelen til 62 procent i 2010.
Niveauet steg til 2013 til 68 procent, hvilket også er det forventede niveau for 2014-
ungdomsårgangen.
Tendensen for erhvervsfaglige ungdomsuddannelser er modsat gymnasiale uddan-
nelser faldende. Fra 2005 til 2010 faldt andelen fra 39 procent til 34 procent. Fra
2011 til 2014 faldt andelen ligeledes fra 34 til 32 procent.
BUU, Alm.del - 2014-15 (2. samling) - Bilag 35: Notat om Profilmodel 2014, fra ministeren for børn, undervisning og ligestilling
1548176_0007.png
Styrelsen for It og Læring, september 2015
Side 7 af 10
Figur 6 Andel af ungdomsårgangene 2005-2014, som forventes at opnå mindst en
ungdomsuddannelse i løbet af 25 år efter niende klasse.
100
Andel i procent
80
60
40
Mindst en
ungdomsuddannelse
Ungdomsuddannelse
Gymnasial
ungdomsuddannelse
Erhvervsfaglig
ungdomsuddannelse
2013
2004
2005
2006
2007
2008
2009
2010
2011
2012
2014
Både erhvervsfaglig og
gymnasial uddannelse
Særligt Tilrettelagt
Ungdomsuddannelse
20
0
Ungdomsårgang
Kilde: Beregninger af Styrelsen for It og Læring på Danmarks Statistiks registre.
En stigende andel forventes at opnå en almen gymnasial uddannelse blandt de
unge, som forventes at opnå en gymnasial uddannelse.
Der er sket en lille ændring i, hvilke gymnasiale uddannelser eleverne forventes at
opnå. For årgang 2005 forventedes 19 procent at tage en erhvervsgymnasial ud-
dannelse (hhx eller htx), mod 39 procent, der forventedes at tage stx eller hf. For
ungdomsårgang 2014, forventes 18 procent at tage en erhvervsgymnasial uddan-
nelse og 52 procent at tage stx eller hf. Dermed har der været en stigning i antallet,
der får en almen gymnasial uddannelse.
Figur 7 Andelen af elever, der forventes at tage henholdsvis en erhvervsgymnasial
og almen gymnasial uddannelse inden for 25 år fordelt på ungdomsårgange 2005-
2014.
80
70
Andel i procent
17
17
18
60
50
40
30
20
10
0
2005
2006
2007
2008
2009
39
40
41
19
16
15
15
16
17
17
42
43
46
50
52
53
52
2010
2011
2012
2013
2014
Almene gymnasiale uddannelser
Erhvervsgymnasiale uddannelser
Bemærk: Summen af andelen som forventes at opnå en almen gymnasial uddannelse og en
erhvervsuddannelse summer ikke til andelen, der forventes at opnå en gymnasial uddannel-
BUU, Alm.del - 2014-15 (2. samling) - Bilag 35: Notat om Profilmodel 2014, fra ministeren for børn, undervisning og ligestilling
1548176_0008.png
Styrelsen for It og Læring, september 2015
Side 8 af 10
se. Det skyldes at andelen der forventes at få både en almen gymnasial uddannelse og en
erhvervsgymnasial uddannelse indgår i begge kategorier.
Kilde: Beregninger af Styrelsen for It og Læring på Danmarks Statistiks registre.
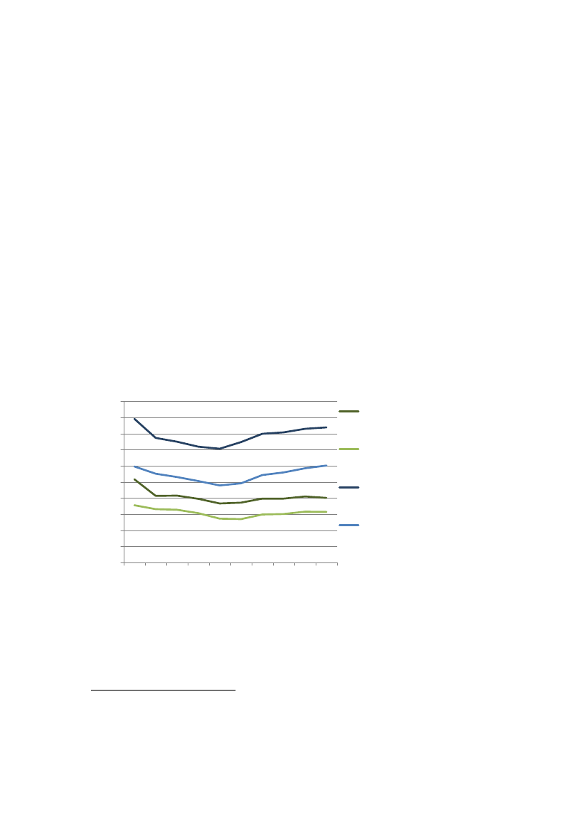
Niveauet for elever, der opnår mere end én ungdomsuddannelse, er efter et fald
for årgangene 2005-2009 nu atter på vej op
Andelen, der opnår mere end én ungdomsuddannelse inden for 10 år af afsluttet
niende klasse, er faldet en smule siden 2005. Det fremgår af figur 8. For årgang 2005
forventes 7 procent at opnå både en erhvervsuddannelse og gymnasial uddannelse.
Andelen faldt til 6 procent for årgang 2014. Andelen, der forventes at opnå to ung-
domsuddannelser, inklusiv dobbelt erhvervs og gymnasiale uddannelser, er også
faldet fra 11 procent i 2005 til 8 procent i 2014.
For 25 år efter endt niende klasse har tendensen overordnet været faldende fra
2005-2009 og derefter stigende frem til 2014. For årgang 2009 forventes 14 procent
at opnå både en erhvervsuddannelse og gymnasial uddannelse inden for 25 år efter
afsluttet niende klasse, mens 17 procent af ungdomsårgang 2014 forventes at opnå
to ungdomsuddannelser.
Figur 8 Andelen af ungdomsårgange 2005- 2014, der forventes at opnå mere end
én ungdomsuddannelse, fordelt på kombination og inden for 10 og 25 år efter 9.
klasse.
20
10 år: To
ungdomsuddannelser
10 år: Både
erhvervsuddannelse og
gymnasial uddannelse
25 år: To
ungdomsuddannelser
25 år: Både
erhvervsuddannelse og
gymnasial uddannelse
2005 2006 2007 2008 2009 2010 2011 2012 2013 2014
Ungdomsårgang
Kilde: Beregninger af Styrelsen for It og Læring på Danmarks Statistiks registre.
18
16
14
Andel i procent
12
10
8
6
4
2
0
Mere om profilmodellen og resultaterne derfra
Der findes flere notater vedrørende profilmodellen og resultater derfra på
http://www.uvm.dk/profilmodel . På websiden finder man også profilfigurer og
adgang til data via databanken. På samme side finder man også notater om meto-
den bag fremskrivningen, opdatering af uddannelsesregistre og opgørelse af histori-
ske 9. klasse årganges faktiske uddannelsesniveau.
BUU, Alm.del - 2014-15 (2. samling) - Bilag 35: Notat om Profilmodel 2014, fra ministeren for børn, undervisning og ligestilling
Styrelsen for It og Læring, september 2015
Side 9 af 10
Væsentlige definitioner og forudsætninger
Vi redegør for de antagelser om fremtidig studieadfærd og uddannelsessystem, som
fremskrivningen bygger på. Det er vigtigt, at du har disse antagelser i erindring, når
du læser, bruger og fortolker profilmodellens resultater. Blandt andet er ungdoms-
årgang, ungdomsuddannelse og mindst en ungdomsuddannelse væsentlige begre-
ber i dette dokument og defineres derfor nedenfor.
Ungdomsårgang:
Vi definerer her en ungdomsårgang som en niende klasse årgang. Fx betegner 2014-
ungdomsårgangen de unge, som påbegyndte en niende klasse i skoleåret 2013/2014.
Ungdomsuddannelse:
Ungdomsuddannelserne omfatter gymnasiale og erhvervsfaglige ungdomsuddan-
nelser samt den Særlig Tilrettelagt Ungdomsuddannelse (STU). STU er en relativ ny
uddannelse. Indtil 2011 blev uddannelsen udbudt under betegnelsen ’Ungdomsud-
dannelse for unge med særlige behov’, forkortet USB.
Mindst en ungdomsuddannelse:
At have gennemført ’mindst en ungdomsuddannelse’ vil sige, at man enten har
gennemført en ungdomsuddannelse eller en videregående uddannelse.
En gymnasial eller en erhvervsfaglig uddannelse er som regel en forudsætning for
adgang til videregående uddannelse Der er dog unge, som fuldfører en videregåen-
de uddannelse uden en registreret ungdomsuddannelse. Det skyldes, at nogle ud-
dannelser har optagelsesprøve og dermed ikke kræver en gennemført ungdomsud-
dannelse. Nogle optages på en videregående uddannelse på dispensation uden en
fuld eksamen via hf-enkeltfag. Det gælder fx for sygeplejerske- og pædagoguddan-
nelserne. Andre får merit for en ungdomsuddannelse, som er opnået i udlandet.
Vi tæller unge, som fuldfører en videregående uddannelse uden en registreret ung-
domsuddannelse, med under begrebet ’mindst en ungdomsuddannelse’.
Profilmodellen:
Profilmodellen er en fremskrivning af, hvordan vi forventer en ungdomsårgang vil
uddanne sig i løbet af de kommende 25 år under følgende antagelser:
Uddannelsessystemet vil forblive, som det var i de skoleår, hvor ungdoms-
årgangen gik i ottende og niende klasse.
Ungdomsårgangen, hvis uddannelsesadfærd fremskrives, vil bevæge sig i
uddannelsessystemet på samme måde som dem, der er i uddannelsessy-
stemet i de år, hvor ungdomsårgangen gik i ottende og niende klasse.
Vi kan anvende profilmodellen til at vurdere, hvad det samlede uddannelsessystem
formåede i de år, hvor de unge gik i ottende og niende klasse. Dermed kan vi også
anvende fremskrivningen til at sammenligne uddannelsessystemerne over tid,
blandt andet målt ved størrelsen af andelen, der forventes at opnå
mindst
en ung-
domsuddannelse.
BUU, Alm.del - 2014-15 (2. samling) - Bilag 35: Notat om Profilmodel 2014, fra ministeren for børn, undervisning og ligestilling
Styrelsen for It og Læring, september 2015
Side 10 af 10
Profilmodellen fremskriver blandt andet også andelen, der forventes at opnå en
videregående uddannelse efter 5, 10, 15, og 20 år efter niende klasse.
Det er væsentligt at være opmærksom på, at Profilmodellen er en fremskrivning og
derfor behæftet med usikkerhed.