Miljøudvalget 2014-15 (1. samling)
MIU Alm.del
Offentligt
1489257_0001.png
Sendt:                                        15.
juli 2010 13:23
Til:                                               '[email protected]'
Cc:                                               'Thomas
Lomholt'; [email protected]
Emne:                                        Anmodning
om genoptagelse af sag om kystbeskyttelse, Nørlev Strand
AppServer:                              esdhudd:8080
Profile:                                      100285
Kystdirektoratet er den 30. juni 2010 blevet informeret af formanden for Grundejerforeningen Nørlev Strand af 1986, Anders
Kold Ruskjær om, at der på afholdt ekstraordinær generalforsamling var flertal blandt medlemmerne for at søge om
kystbeskyttelse.
Kystdirektoratet skal derfor henvise til høringsmateriale udsendt den 26. november 2009 og anmode Hjørring Kommune om
at fortsætte kommunens behandling af sagen med hensyn til høringssvar og screening for VVM.
Med forståelse for afholdelse af ferie i kommunen bedes høringssvaret være Kystdirektoratet i hænde senest fredag den 13.
august 2010.
Kystdirektoratet skal anmode grundejerforeningen om at referat fra den ekstraordinære generalforsamling fremsendes til
Kystdirektoratet og Hjørring Kommune snarest muligt.
Med venlig hilsen
Line Henriette Broen
AC-fuldmægtig, geolog
Myndighed & Jura
(45) 99 63 63 03
[email protected]
MIU, Alm.del - 2014-15 (1. samling) - Endeligt svar på spørgsmål 231: Spm. om, at redegøre for sagsbehandlingen vedr. sommerhusene ved Nørlev Strand, til miljøministeren
1489257_0002.png
Til:                                               [email protected]
Emne:                                        Partshøring
over høringssvar fra MC Aalborg samt indsigelse fra nabo
Vedhæftede filer:                000029B6.TIF;
Høringssvar vedr. kystsikring ved Nørlev _DOK1939131_.PDF
AppServer:                              esdhudd:8080
Profile:                                      100285
Hej Anders
Hermed fremsendes de to dokumenter til partshøring hos Jer som ansøger samt link til naturbeskyttelsesloven. Regler for
færdsel på strandbredder står i § 22, som administreres af kommunerne.
https://www.retsinformation.dk/Forms/R0710.aspx?id=127104
Med venlig hilsen
Line Henriette Broen
AC-fuldmægtig, geolog
Myndighed & Jura
(45) 99 63 63 03
[email protected]
MIU, Alm.del - 2014-15 (1. samling) - Endeligt svar på spørgsmål 231: Spm. om, at redegøre for sagsbehandlingen vedr. sommerhusene ved Nørlev Strand, til miljøministeren
1489257_0003.png
MIU, Alm.del - 2014-15 (1. samling) - Endeligt svar på spørgsmål 231: Spm. om, at redegøre for sagsbehandlingen vedr. sommerhusene ved Nørlev Strand, til miljøministeren
1489257_0004.png
MIU, Alm.del - 2014-15 (1. samling) - Endeligt svar på spørgsmål 231: Spm. om, at redegøre for sagsbehandlingen vedr. sommerhusene ved Nørlev Strand, til miljøministeren
1489257_0005.png
MIU, Alm.del - 2014-15 (1. samling) - Endeligt svar på spørgsmål 231: Spm. om, at redegøre for sagsbehandlingen vedr. sommerhusene ved Nørlev Strand, til miljøministeren
1489257_0006.png
MIU, Alm.del - 2014-15 (1. samling) - Endeligt svar på spørgsmål 231: Spm. om, at redegøre for sagsbehandlingen vedr. sommerhusene ved Nørlev Strand, til miljøministeren
1489257_0007.png
Notat
Dato:
17-08-2010
Dokumentnr.
09/00677-18
Sagsbehandler:
Line Henriette Broen
TELEFONNOTAT: Samtale med Jytte Visti, Ved Klitten 2, vedr. manglende
samtykke til kystbeskyttelsesprojektet
Jeg fik d.d. en opringning fra Jytte Visti, der er en af de tre medejere af matr.nr.
92b og ejer af bebyggelse med adressen Ved Klitten 2.
Hun ville gerne høre lidt mere om kystbeskyttelsesanlægs virkninger på en kyst,
herunder om arealet efter en skråningsbeskyttelse ville opleve øget erosion. jeg
oplyste at alle indgreb på en kyst har en effekt et andet sted, men at høfder og
bølgebrydere, der ligger i den aktive zone selvfølgelig griber mest ind i de naturlige
processer som f.eks. ved Skallerup Klit Feriecenter. En skråningsbeskyttelse frata-
ger systemet noget sand og på et tidspunkt vil stranden forsvinde som ved Løn-
strup og store dele af den sjællandske nordkyst.
Jytte Visti sagde, at hende og manden var indkaldt til møde med Grf. Nørlev Strand
af 1986 på fredag. Hun sagde, at de fra starten kun havde givet udtryk for at de
var interesseret i at høre mere om et eventuelt kystbeskyttelsesprojekt, men at de
aldrig havde givet samtykke til at grundejerforeningen kunne søge på deres vegne,
endsige lave en udgiftsfordeling, og at de ikke var bekendte med, at Frans Nørby
havde indsendt mail af 26. november 2009 med samtykke fra de tre ejere af
matr.nr. 92b.
Jytte Visti sagde, at hun ikke var begejstret for kystbeskyttelse, idet deres hus lig-
ger langt tilbage og ikke i umiddelbar fare, og vi talte om at etablering af og udgift
til kystbeskyttelse bør anskues i forhold til værdien og levetiden af det bebyggede.
Jytte Visti oplyste at de fleste huse på strækningen jo er
’papkassehuse’ og ikke
dyre bebyggelser og vi talte om at man på strækningen altid har levet med at huse
faldt i havet og at det var vilkårene.
Jytte Visti mente, at der efter stormen i 1999 ikke var eroderet synderligt af skræn-
ten ved Nørlev.
Jytte Visti spurgte slutteligt til konsekvenserne ved at hun og manden sagde nej til
kystbeskyttelse, primært med hensyn til øget erosion på matr.nr. 92b. Jeg oplyste
at Kystdirektoratet i sin sagsbehandling skal påse at der ikke sker skade på anden
mands ejendom og man sandsynligvis ville kræve sandfodring ud for 92b som
kompensation, hvis en stenkastning etableres ud for grundejerforeningens areal.
LHB
1/1
MIU, Alm.del - 2014-15 (1. samling) - Endeligt svar på spørgsmål 231: Spm. om, at redegøre for sagsbehandlingen vedr. sommerhusene ved Nørlev Strand, til miljøministeren
1489257_0008.png
Notat
Dato:
18-08-2010
Dokumentnr.
09/00677-19
Sagsbehandler:
Line Henriette Broen
TELEFONNOTAT: Samtale med Anders Kold vedr. samtykkeerklæringer fra
de tre grundejere på matr.nr. 92b
Jeg kontaktede d.d. Anders Kold vedr. opringningen fra Jytte Visti. Anders Kold
havde en helt anden opfattelse af sagen og mente, at alle tre grundejere af
matr.nr. 92b var indforståede med at grundejerforeningen måtte søge på deres
vegne.
Anders Kold sagde, at grundejerforeningen havde givet de tre grundejere et tilbud
om at være med i kystbeskyttelsesprojektet, fordi det syntes naturligt at fortsætte
stenkastningen til nedkørselsvejen, men at det ikke drejede sig om mere end det.
Bidragsfordelingen lå endnu ikke helt fast, og de tre grundejere blev ikke påført
udgifter, som de ikke er indforståede med.
Jeg bad om en underskrevet samtykkeerklæring fra alle tre grundejere samt et re-
ferat fra både generalforsamling og mødet på fredag.
LHB
1/1
MIU, Alm.del - 2014-15 (1. samling) - Endeligt svar på spørgsmål 231: Spm. om, at redegøre for sagsbehandlingen vedr. sommerhusene ved Nørlev Strand, til miljøministeren
1489257_0009.png
Fra:                                  Andersen,
Annemette [[email protected]]
Sendt:                             2.
september 2010 12:36
Til:                                   Hjørring
kommune; Skov- og Naturstyrelsen, vensyssel; §Kystdirektoratet (kdi)
Cc:                                   Jensen,
Jørgen
Emne:                              Vedr.
eventuelle gravearbejder ved sommerhuset Ved Klitten 19, Nørlev Strand
Vedhæftede filer:           MC´betragter
sagen som afsluttet [DOK2270947].pdf
DocumentIsArchived:    0
Vedlagt til orientering:
<<MC´betragter sagen som afsluttet [DOK2270947].pdf>>
Med venlig hilsen
Annemette Andersen
Landinspektør
Vand- og naturområdet
Dir tlf.: (+45) 72 54 86 56
[email protected]
Miljøministeriet
Miljøcenter Aalborg
Niels Bohrsvej 30
DK - 9220 Aalborg Ø
Tlf.: (+45) 72 54 15 00
www.blst.dk
Officielle mails bedes sendt til
[email protected]
MIU, Alm.del - 2014-15 (1. samling) - Endeligt svar på spørgsmål 231: Spm. om, at redegøre for sagsbehandlingen vedr. sommerhusene ved Nørlev Strand, til miljøministeren
1489257_0010.png
MIU, Alm.del - 2014-15 (1. samling) - Endeligt svar på spørgsmål 231: Spm. om, at redegøre for sagsbehandlingen vedr. sommerhusene ved Nørlev Strand, til miljøministeren
1489257_0011.png
MIU, Alm.del - 2014-15 (1. samling) - Endeligt svar på spørgsmål 231: Spm. om, at redegøre for sagsbehandlingen vedr. sommerhusene ved Nørlev Strand, til miljøministeren
1489257_0012.png
Fra:                                  [email protected]
Sendt:                             19.
august 2010 23:10
Til:                                   Line
Henriette Broen (lhb)
Emne:                              VS:
Referat. Generalforsamlingen for grundejerforeningen Nørlev Strand af 1986.
Vedhæftede filer:           Nørlev
Strand_Generalforsamlingen 260610.docx
DocumentIsArchived:    0
Hej Line,
Her er referatet fra generalforsamlingen.
Anders Kold
Fra:
Anders Kold Ruskjær [mailto:[email protected]]
Sendt:
18. august 2010 23:32
Til:
Ruskjær, Anders Kold
Emne:
Fw: Referat. Generalforsamlingen for grundejerforeningen Nørlev Strand af 1986.
Venlig hilsen
Anders Kold Ruskjær
Gårdejer
Postadresse Voldbyholt 20, 8450 Hammel
tlf./fax 8696 0333
mobil 2299 5590
email
[email protected]
www.voldbyholt.dk
----- Original Message -----
From:
Kim Bejstrup
To:
[email protected]
;
[email protected]
;
[email protected]
;
[email protected]
;
[email protected]
;
[email protected]
;
[email protected]
;
[email protected]
;
[email protected]
;
[email protected]
;
[email protected]
;
[email protected]
;
[email protected]
;
[email protected]
;
[email protected]
;
[email protected]
;
[email protected]
;
[email protected]
;
[email protected]
Sent:
Monday, August 16, 2010 11:42 AM
Subject:
Referat. Generalforsamlingen for grundejerforeningen Nørlev Strand af 1986.
Kære alle grundejere/naboer. Håber i alle har nydt den solrige sommer.
Vedhæftet referat.
Med venlig hilsen
Bestyrelsen
f/grundejerforeningen Nørlev Strand af 1986
MIU, Alm.del - 2014-15 (1. samling) - Endeligt svar på spørgsmål 231: Spm. om, at redegøre for sagsbehandlingen vedr. sommerhusene ved Nørlev Strand, til miljøministeren
Referat af generalforsamlingen i grundejerforeningen Nørlev Strand af 1986
Afholdt
Fraværende
NOTE
: Lørdag den 26. juni 2010 kl. 11.00 i Skallerup Feriecenters auditorium 5.
: Ved Stranden; nummer 8, 12, 18, 23, 25 og Ved Klitten; nummer 3, 24 og 26.
:Ved Stranden; nummer 18, 23 og Ved Klitten; nummer 3 og 24 var repræsenteret i form af skriftlig
fuldmagt.
Formanden Anders Kold Ruskjær bød alle hjertelig velkommen til generalforsamlingen, og foreslog advokat Niels
Søndergaard som dirigent. Dette blev enstemmigt vedtaget af forsamlingen.
Dirigenten indledte generalforsamlingen med at sikre sig, at den var lovlig indkaldt i henhold til vore vedtægter samt
godkendelse af dagsorden. Efterfølgende udnævnte dirigenten en referent og to talstemmere, Bente
Christensen og Ebbe Jørgensen, til den efterfølgende anonyme afstemning vedrørende kystsikring.
Formanden gennemgik årsberetningen, og som bekendt har det været et år med få aktiviteter. Men der blev dog, af
Henning Nielsen, stillet spørgsmål omkring sikkerheden på trapperne ned til stranden, og et spørgsmål
omkring manglende skiltning i området. Bestyrelse kunne meddele at trapperne er fuldt forsvarlige og
lovlige i både konstruktion og opsætning. Med hensyn til skiltningen i området forholder det sig
sådan, at Hjørring kommune har påtaget sig opgaven, omkring opsætningen af de manglende skilte.
Forsamlingen havde ikke yderligere at tilføje beretningen.
Formanden gennemgik herefter årsregnskabet 2009, der viste et overskud på 8.501,00 kroner, hvilket er mindre end
2008 men primært skyldes en betydelig post til vejhold. Alligevel har foreningen pr. 31. december
2009 har en egenkapital på 94.705,00 kroner og årsregnskabet blev godkendt af forsamlingen.
Ordet blev så givet til ingeniøren Mads fra VG Entreprenør A/S, der skal forestå kystsikringen. Han informerede
forsamlingen ved hjælp af tegninger og billeder, og en grundig saglig gennemgang af projektet, hvortil
der kunne stilles relevante spørgsmål. Endvidere blev der redegjort for hvordan kystsikringen skal
opbygges, tidshorisonten og perioden samt hvordan det er gjort andre steder på vestkysten.
Under den konstruktive debat omhandlende kystsikringen, inden afstemningen, havde specielt Henning Nielsen og
Ebbe Jørgensen indtil flere indlæg og kommentarer imod kystsikringen. Ebbe Jørgensen kunne
fortælle at Hjørring kommunes politiske holdning til kystsikring generelt er negativ samt, hvordan det
er gået for kystsikringssagen syd for Lønstrup
en såkaldt §1 sag. Kort fortalt er en §1 situation kun
aktuel, når lodsejerne i fællesskab ikke kan blive enige om fordelingen af de omkostninger, der er
forbundet med opførelsen af en kystsikringsstregning.
Men da vi som en samlet forening kan søge tilladelse hos kystdirektoratet, der er for kystsikring, er
Hjørring kommune udelukkende kun en høringspart.
Der blev også stillet spørgsmål angående de sommerhuse, der endnu ikke er medlem af vor forening.
Bestyrelsen kunne fortælle, at Palle Ørtoft og Else Nørby har tilkendegivet medlemskab af foreningen
og betaling til kystsikringen.
De øvrige ”Jette,
Jette og Visti” på fællesgrunden vil formanden snarest
afholde et orienteringsmøde sammen med, og det er bestyrelsens opfattelse at de ligeledes ønsker at
deltage.
1
MIU, Alm.del - 2014-15 (1. samling) - Endeligt svar på spørgsmål 231: Spm. om, at redegøre for sagsbehandlingen vedr. sommerhusene ved Nørlev Strand, til miljøministeren
Referat af generalforsamlingen i grundejerforeningen Nørlev Strand af 1986
Finn Christensen kommenterede positivt for kystsikringen, og glædede sig
over at vores ”lille”
foreningen havde chancen for at vise, at en lille forening kan løfte en sådan opgave i fællesskab
rigtig mange bakkede op om den betragtning.
Formanden havde også et indlæg for en kystsikring, og informerede om de positive gevinster både for
bevarelse og ”løft” af o rådet ge erelt, og det re t øko o iske for os alle og de e kelte. Alle ka u
investere i en renovering eller et nyt hus, eventuelt i samarbejde med en kreditforening. Disse
forskellige tiltag vil vilkårligt ”løfte” hele
området, til gavn for alle.
Dirigenten var derefter nået til det indkomne forslag om kystsikring. I den forbindelse blev der af dirigenten
foretaget en mandtals optælling.
Det må konstateres at interessen for, det af en samlet bestyrelse fremlagte forslag, vedrørende cirka
300 meter kystsikring var endog meget stor. Antallet af fremmødte repræsenterede 24
stemmeberettigede medlemmer, ud af foreningens i alt 28 medlemmer.
Det blev også af dirigenten præciseret, at der skulle stemmes om både for/imod kystsikringen samt
fordelingsnøglen forbundet hertil under ét punkt. Endvidere en vedtægtsændring om overvejende
flertal for, en gennemførelse af vedtagelsen for en kystsikring.
Bente Christensen og Ebbe Jørgensen delte herefter stemmesedlerne ud, til de 24 talte
stemmeberettigede. Optællingen blev ligeledes foretaget af Bente Christensen og Ebbe Jørgensen
under supervision af dirigenten, og resultatet var at 18 stemte for forslaget og 6 stemte imod
forslaget for kystsikring blev vedtaget.
Formanden fremlagde det fremtidige driftsbudget, der blev godkendt af forsamlingen.
På valg var Formanden Anders Kold Ruskjær og bestyrelsesmedlem Kim Bejstrup, der begge ønskede genvalg, samt
suppleanterne. På valg var også revisor og revisorsuppleant. Alle blev genvalgt efter gældende regler.
Under eventuelt have Ebbe Jørgensen en kommentar til de meget store hybenbuske, der kan ridse
vore biler, beliggende ud for husene på Ved Stranden nummer 1 & 3. Bestyrelsen vil gøre ejerne
opmærksom på problemet, i håb om en beskæring af buskene. Ejerne er dog tidligere blevet gjort
opmærksomme på samme, uden samarbejdsvillighed.
Bestyrelsen benyttede lejligheden til, at takke alle for de knyttede kommentarer og den positive stemning, særligt
omkring afstemningen, den foregående debat og det hyggelige samvær med traktement efterfølgende. Det beviser
at vi i foreningen står sammen når det gælder, og man er villig til at tilsidesætte sin enkeltes personlige holdning, for
at nå til enighed. Tak for det og god sommer til alle.
Dato
Dirigent
Formand
Bestyrelsesmedlem
2
Bestyrelsesmedlem
Bestyrelsesmedlem
Bestyrelsesmedlem
MIU, Alm.del - 2014-15 (1. samling) - Endeligt svar på spørgsmål 231: Spm. om, at redegøre for sagsbehandlingen vedr. sommerhusene ved Nørlev Strand, til miljøministeren
1489257_0015.png
Fra:                                  [email protected]
Sendt:                             2.
september 2010 08:08
Til:                                   Line
Henriette Broen (lhb)
Emne:                              VS:
Kystsikring.
DocumentIsArchived:    0
Hej Line,
Er nedenstående ok - det burde det være i forhold til behandlingen af den allerede indsendte ansøgning.
Lad mig lige høre fra dig.
Anders Kold
Nørlev Strand
Fra:
Frans Nørby [mailto:[email protected]]
Sendt:
1. september 2010 10:14
Til:
Ruskjær, Anders Kold
Cc:
Jan Quist Sørensen; Jytte og Just; Jytte Sørensen; Else Nørby
Emne:
Re: Kystsikring.
Kære Anders
Der er nu et positivt svar fra vores side.
Der er dog nogle betingelser i tilsagnet - se neden for.
Fordelingen af de 270.000 er vi tre parter enige om skal være 150.000/60.000/60.000
Det betingede tilsagn lyder sådan her:
BETINGET TILSAGN
Undertegnede ejere af fællesgrunden
92 b, Skallerup Præstegaard,
giver hermed tilsagn om tilslutning til Kystsikringsprojekt
ved Nørlev Strand for arealet fra Grundejerforeningens område til Nørlev Strandvej – dog under følgende betingelser:
- At tilladelse fra Kystdirektoratet til kystsikring og vedligeholdelse
ikke
afviger fra det oprindelige forslag (som fremlagt på
fællesmøde den 23. august 2010).
Evt. afvigelser fra det oprindelige projekt annullerer tilsagnet, og sagen tages da op til yderligere drøftelse mellem de
undertegnede indbyrdes og evt. Grundejerforeningen.
Samtidig forbeholder vi os ret til selv at fordele vores bidrag på 270.000 kr.
Vi erklærer os villige til indmeldelse i grundejerforeningen, såfremt projektet bliver gennemført.
Hvad synes du næste skridt skal være? Skal formuleringen nedfældes på et officielt papir med alles underskrifter? Skal vi
mødes igen eller kan vi klare det pr post?
Hilsen
Frans
Den 18. aug. 2010 11.17 skrev Frans Nørby <[email protected]>:
MIU, Alm.del - 2014-15 (1. samling) - Endeligt svar på spørgsmål 231: Spm. om, at redegøre for sagsbehandlingen vedr. sommerhusene ved Nørlev Strand, til miljøministeren
1489257_0016.png
Hej Anders
Jeg kan prøve at fange ham i aften (tlf 98980406) - men kl 14 var jo for os det optimale tidspunkt og det var Jan der først
kunne komme kl. 15.30
Fam Just har også problemer med kl 14, da de er til et andet arr..
HVIS de ikke kan kl 14 skal vi så skubbe mødet eller holde det uden VG?
Hilsen
Frans
Den 18. aug. 2010 09.53 skrev <[email protected]>:
Hej Frans,
Vores mand fra VG entreprenør skal være færdig med mødet hos os senest kl. 15.00 - kan vi ikke få skubbet mødet til kl. 14.00 ?
Sønnen til Jytte kan han ikke komme det tidligere ?'
Anders
Fra:
Frans Nørby [mailto:[email protected]]
Sendt:
16. august 2010 19:44
Til:
Ruskjær, Anders Kold
Emne:
Re: Kystsikring.
Har du læst referatet for byrådsafgørelsen - lover ikke for godt for projektet i Nørlev?
http://nordjyske.dk/hjoerring/forside.aspx?ctrl=10&data=12,3609682,5,3
Hilsen
Frans
Den 16. aug. 2010 14.36 skrev Frans Nørby <[email protected]>:
Ok
Kan vi holde mødet hos dig - 15.30 på fredag? -Så giver jeg de andre besked..
Hilsen
Frans
Den 16. aug. 2010 09.54 skrev <[email protected]>:
Hej,
Fredag 15.30 er ok
Sagen er under behandling i kystdir., så vi hører ikke noget i denne uge - ejg synes derfor bare at vi skal få holdt mødet.
Anders
Fra:
Frans Nørby [mailto:[email protected]]
Sendt:
15. august 2010 19:12
Til:
Ruskjær, Anders Kold
MIU, Alm.del - 2014-15 (1. samling) - Endeligt svar på spørgsmål 231: Spm. om, at redegøre for sagsbehandlingen vedr. sommerhusene ved Nørlev Strand, til miljøministeren
1489257_0017.png
Emne:
Re: Kystsikring.
Hej Anders
Mon du har hørt fra Kystinspektoratet?
Jeg har nu fået kontakt til Jytte Sørensens søn, Jan. Han kan først kl. 15.30 på fredag.
Hvis der er afslag fra Kystinspektoratet behøver vi vel ikke holde møde?
Men hvis vi holder mødet, vil det være fint hvis det kunne blive hos dig. Vi får huset fuldt af gæster "sidst på
eftermiddagen" og fam. Just kommer direkte fra et andet arrangement...
Men fly mig lige en mail om status på projektet.
Hilsen
Frans
Den 11. aug. 2010 09.00 skrev <[email protected]>:
Hej Frans,
Vi kan sagtens gøre det om formiddagen, bare ikke før kl. 10.00
Lad mig lige høre fra dig og om du får fat i Jytte Sørensen.
Anders Kold
Fra:
Frans Nørby [mailto:[email protected]]
Sendt:
6. august 2010 13:56
Til:
Ruskjær, Anders Kold
Emne:
Re: Kystsikring.
Hej igen
Hvor tidligt kan du/I komme fredag den 20? Jeg får selv gæster til aften, så det skulle gerne være så tidligt som muligt.
Familien Just kan hele dagen, men jeg har ikke fået kontakt til Jytte Sørensen endnu...
Hilsen
Frans
Den 3. aug. 2010 06.58 skrev Frans Nørby <[email protected]>:
UPS
Er i KBH - vender tilbage snarest, når jeg har hør fra de andre..
Hilsen
Frans
Den 2. aug. 2010 12.16 skrev <[email protected]>:
Hej Frans,
Jeg har ikke hørt noget endnu.
Høringsfristen afsluttes den 13 august - skal vi vente til derefter, det vil passe mig fint den 20 august - lad mig lige høre fra dig og
de andre hurtigst muligt.
Anders Kold
Fra:
Frans Nørby [mailto:[email protected]]
MIU, Alm.del - 2014-15 (1. samling) - Endeligt svar på spørgsmål 231: Spm. om, at redegøre for sagsbehandlingen vedr. sommerhusene ved Nørlev Strand, til miljøministeren
1489257_0018.png
Sendt:
2. juli 2010 20:31
Til:
Ruskjær, Anders Kold
Cc:
Jytte og Just; Jytte Sørensen; Else Nørby
Emne:
Re: Kystsikring.
Kære Anders, Jytte S og Jytte og Just
Der er nu flg. forslag til et møde :
mandag den 9. august: kl. 16
tirsdag den 10 august kl. 16
onsdag den 11 august kl. 16
Anders og Nørbys kan de tre dage. I andre bedes melde tilbage hvilke af de tre dage I kan deltage
Frans
Den 2. jul. 2010 17.40 skrev <[email protected]>:
Hej Frans,
Jeg kan ikke den 7. august, men hvad med den 10 eller 11 - det er også fint med mig den 9 efter kl. 16.00
Hører du de andre ?
Anders
Fra:
Frans Nørby [mailto:[email protected]]
Sendt:
1. juli 2010 18:27
Til:
Ruskjær, Anders Kold
Cc:
[email protected]; [email protected]; [email protected]
Emne:
Re: Kystsikring.
Hvis det skal være mandag den 9.8 kan jeg først kl. 16 - lørdag den 7.8 kunne også være en mulighed
Hilsen
Frans
Den 1. jul. 2010 12.28 skrev <[email protected]>:
Hej Frans,
Tak for din mail - vi blev desværre afbrudt forleden og jeg kunne ikke se dit nr, derfor kunne jeg heller ikke ringe dig op igen.
Du har fuldstændig ret i nedenstående. Med hensyn til vedligeholdelse, har vi en ide om, at det koster i gennemsnit 15.000 pr. år -
altså nogen år ingenting og andre måske lidt mere. Vi har derfor hævet kontigentet i foreningen til kr. 1.000,- pr. medlem, da det er
meningen, at foreningen skal overtage vedligeholdelsen. Dermed ønsker vi selvfølgelig at kunne indlemme jer 3 og Palle Ørtoft i
foreningen.
Lad mig høre fra dig, hvis du har yderligere spørgsmål - og I andre grundejere er meget velkommen til at kontakte mig.
Måske vi kunne holder møde den 9. august ??
Venlig hilsen
Anders Kold
mobil 2260 8879
Fra:
Frans Nørby [mailto:[email protected]]
Sendt:
1. juli 2010 10:46
Til:
Ruskjær, Anders Kold
Cc:
Jytte og Just; Jytte Sørensen; Else Nørby
MIU, Alm.del - 2014-15 (1. samling) - Endeligt svar på spørgsmål 231: Spm. om, at redegøre for sagsbehandlingen vedr. sommerhusene ved Nørlev Strand, til miljøministeren
1489257_0019.png
Emne:
Re: Kystsikring.
Hej Anders
Tak for snakken forleden, hvor du forklarede flg:
- at der på generalforsamlingen var kvalificeret flertal for kystsikring (18 af 24 stemmer) og at foreningen derved kan
tvinge de resterende medlemmer af grundejerforeningen med.
- at Hjørring kommune kun har høringsret og at det der Kystdirektoratet der afgør om projektet kan realiseres.
- at grundejerforeningen gerne vil have OS (vores matrikel) med i projektet, for at få kystsikringen til at nå helt hen til
nedkørslen.
- at vi enten skal gå med alle tre eller hvis der er en af os der ikke ønsker at gå med, så skal de andre to betale det
samlede beløb for alle tre
- at vores matrikel får forholdsvis meget kystsikring for de 3 x 90.000, som kun svarer til 27 m kystsikring á 10.000/m
og vores kyst er meget længere end 27 m)
Du foreslog desuden, at der blev afholdt et møde mellem os tre grundejere, repræsentant(er) fra grundejerforeningen og
firmaet bag projektet.
Derfor sender jeg denne mail i kopi til de to øvrige grundejere: Jytte Sørensen og Jytte og Just.
Måske kan du foreslå en dato for mødet? Vi er hjemme fra den 11.7 til 26.7 og igen fra den 8.8
Hilsen
Frans
Den 29. jun. 2010 08.43 skrev <[email protected]>:
Hej Frans,
Jeg vil rigtig gerne tale med dig i telefonen, hvis du har mulighed for dette.
Jeg kan træffes på 2260 8879 eller kan evt. ring dig op.
Anders
Fra:
Frans Nørby [mailto:[email protected]]
Sendt:
28. juni 2010 19:48
Til:
Ruskjær, Anders Kold
Emne:
Re: Kystsikring.
Hej Anders
Vi kunne desværre ikke være til stede ved mødet i lørdags. Vi er på ferie i Spanien....
Vi er positive over for projektet, men mangler nogle konkrete oplysninger om betingelserne for den fremtidige
vedligholdelse. SKer det efter samme fordelingsnøgle som den nu foreslåede - og hvilke udgifter kan man
forvente/frygte??
Måske kan du sende nogle oplysninger på tryk (hvis der blev udleveret materiale på mødet)?
Jytte og Just Visti er skeptiske mens Jytte Sørensen - og hendes søn - er mere positive - Vi har altså ikke en fælles fiks
og færdig holdning....
Et andet spørgsmå: Hvis der er (stort) flertal FOR projektet, kan grundejerforeningen/kommunen så tvinge resten af
medlemmerne med imod deres ønske?
Kan vi f.eks være med SELV OM f.eks en af os ikke er med?
Hilsen
MIU, Alm.del - 2014-15 (1. samling) - Endeligt svar på spørgsmål 231: Spm. om, at redegøre for sagsbehandlingen vedr. sommerhusene ved Nørlev Strand, til miljøministeren
1489257_0020.png
Frans
2009/11/26 <[email protected]>
Hej Frans,
Tak for snakken.
Du skal ringe eller skrive til Line Broen - Kystdir. - og give tilsagn om, at vi på dine/jeres vegne må ansøge om etablering af
kystsikring.
Line Broen
Tel. 99 63 63 03
Mail.
[email protected]
Venlig hilsen
Anders Kold Ruskjær
Pensionsrådgiver
SEB Pension
Tel: +45 33 28 18 25 Mobil: +45 22 60 88 79
Fax: +45 86 96 03 33
Postadresse: Gøteborg Alle 5 B, 8200 Århus N
E-mail:
[email protected]
www.seb.dk
Please consider the environment before printing this e-mail
CONFIDENTIALITY NOTICE
This e-mail is confidential and may contain legally privileged information. If you have received it by mistake, please inform us by reply e-mail and then delete it (including any
attachments) from your system; you should not copy it or in any other way disclose its content to anyone. E-mail is susceptible to data corruption, interception, unauthorized
amendment, tampering and virus. We do not accept liability for any such actions or the consequences thereof. Skandinaviska Enskilda Banken AB (publ) is incorporated in
Sweden as a Limited Liability Company. It is regulated by Finansinspektionen, and by the local financial regulators in each of the jurisdictions in which it has branches or
subsidiaries. Skandinaviska Enskilda Banken A/S and SEB Pension A/S are regulated by Finanstilsynet.
--
Frans Nørby
Vitskølklostervej 27
DK 9800 Hjørring
tlf 9892 0971 mobil: 3042 7005
--
Frans Nørby
Vitskølklostervej 27
DK 9800 Hjørring
tlf 9892 0971 mobil: 3042 7005
--
Frans Nørby
Vitskølklostervej 27
DK 9800 Hjørring
tlf 9892 0971 mobil: 3042 7005
MIU, Alm.del - 2014-15 (1. samling) - Endeligt svar på spørgsmål 231: Spm. om, at redegøre for sagsbehandlingen vedr. sommerhusene ved Nørlev Strand, til miljøministeren
1489257_0021.png
--
Frans Nørby
Vitskølklostervej 27
DK 9800 Hjørring
tlf 9892 0971 mobil: 3042 7005
--
Frans Nørby
Vitskølklostervej 27
DK 9800 Hjørring
tlf 9892 0971 mobil: 3042 7005
--
Frans Nørby
Vitskølklostervej 27
DK 9800 Hjørring
tlf 9892 0971 mobil: 3042 7005
--
Frans Nørby
Vitskølklostervej 27
DK 9800 Hjørring
tlf 9892 0971 mobil: 3042 7005
--
Frans Nørby
Vitskølklostervej 27
DK 9800 Hjørring
tlf 9892 0971 mobil: 3042 7005
--
Frans Nørby
Vitskølklostervej 27
DK 9800 Hjørring
tlf 9892 0971 mobil: 3042 7005
--
Frans Nørby
Vitskølklostervej 27
DK 9800 Hjørring
tlf 9892 0971 mobil: 3042 7005
MIU, Alm.del - 2014-15 (1. samling) - Endeligt svar på spørgsmål 231: Spm. om, at redegøre for sagsbehandlingen vedr. sommerhusene ved Nørlev Strand, til miljøministeren
--
Frans Nørby
Vitskølklostervej 27
DK 9800 Hjørring
tlf 9892 0971 mobil: 3042 7005
MIU, Alm.del - 2014-15 (1. samling) - Endeligt svar på spørgsmål 231: Spm. om, at redegøre for sagsbehandlingen vedr. sommerhusene ved Nørlev Strand, til miljøministeren
Fra:                                  [email protected]
Sendt:                             17.
september 2010 15:49
Til:                                   Line
Henriette Broen (lhb)
Emne:                              Samtykker
fra fællesgrunden.
Vedhæftede filer:           document2010-09-17-133039.pdf
DocumentIsArchived:    0
Hej Line,
Jeg vedlægger tilsagnet med underskrifter.
Ring eller skriv hvis du mangler yderligere.
Anders
MIU, Alm.del - 2014-15 (1. samling) - Endeligt svar på spørgsmål 231: Spm. om, at redegøre for sagsbehandlingen vedr. sommerhusene ved Nørlev Strand, til miljøministeren
1489257_0024.png
MIU, Alm.del - 2014-15 (1. samling) - Endeligt svar på spørgsmål 231: Spm. om, at redegøre for sagsbehandlingen vedr. sommerhusene ved Nørlev Strand, til miljøministeren
1489257_0025.png
Til:                                               'Thomas
Lomholt'
Cc:                                               [email protected]
Emne:                                        Anmodning
om høringssvar fra Hjørring Kommmune til kystbeskyttelse ved Nørlev Strand
Vedhæftede filer:                Nørlev
Strand_Generalforsamlingen 260610.DOCX; document2010-09-17-133039.PDF
AppServer:                              esdhudd:8080
Profile:                                      100285
Kystdirektoratet fremsender hermed referat fra generalforsamlingen hos Grundejerforeningen Nørlev Strand af 1986 samt underskrevne
samtykkeerklæringer fra ejerne af matr.nr. 92b Skallerup Præstegård, Skallerup.
Inden vi træffer afgørelse i sagen, skal vi anmode om høringssvar fra Hjørring Kommune snarest og gerne inden en uge om muligt.
Med venlig hilsen
Line Henriette Broen
AC-fuldmægtig, geolog
Myndighed & Jura
(45) 99 63 63 03
[email protected]
MIU, Alm.del - 2014-15 (1. samling) - Endeligt svar på spørgsmål 231: Spm. om, at redegøre for sagsbehandlingen vedr. sommerhusene ved Nørlev Strand, til miljøministeren
Referat af generalforsamlingen i grundejerforeningen Nørlev Strand af 1986
Afholdt
Fraværende
NOTE
: Lørdag den 26. juni 2010 kl. 11.00 i Skallerup Feriecenters auditorium 5.
: Ved Stranden; nummer 8, 12, 18, 23, 25 og Ved Klitten; nummer 3, 24 og 26.
:Ved Stranden; nummer 18, 23 og Ved Klitten; nummer 3 og 24 var repræsenteret i form af skriftlig
fuldmagt.
Formanden Anders Kold Ruskjær bød alle hjertelig velkommen til generalforsamlingen, og foreslog advokat Niels
Søndergaard som dirigent. Dette blev enstemmigt vedtaget af forsamlingen.
Dirigenten indledte generalforsamlingen med at sikre sig, at den var lovlig indkaldt i henhold til vore vedtægter samt
godkendelse af dagsorden. Efterfølgende udnævnte dirigenten en referent og to talstemmere, Bente
Christensen og Ebbe Jørgensen, til den efterfølgende anonyme afstemning vedrørende kystsikring.
Formanden gennemgik årsberetningen, og som bekendt har det været et år med få aktiviteter. Men der blev dog, af
Henning Nielsen, stillet spørgsmål omkring sikkerheden på trapperne ned til stranden, og et spørgsmål
omkring manglende skiltning i området. Bestyrelse kunne meddele at trapperne er fuldt forsvarlige og
lovlige i både konstruktion og opsætning. Med hensyn til skiltningen i området forholder det sig
sådan, at Hjørring kommune har påtaget sig opgaven, omkring opsætningen af de manglende skilte.
Forsamlingen havde ikke yderligere at tilføje beretningen.
Formanden gennemgik herefter årsregnskabet 2009, der viste et overskud på 8.501,00 kroner, hvilket er mindre end
2008 men primært skyldes en betydelig post til vejhold. Alligevel har foreningen pr. 31. december
2009 har en egenkapital på 94.705,00 kroner og årsregnskabet blev godkendt af forsamlingen.
Ordet blev så givet til ingeniøren Mads fra VG Entreprenør A/S, der skal forestå kystsikringen. Han informerede
forsamlingen ved hjælp af tegninger og billeder, og en grundig saglig gennemgang af projektet, hvortil
der kunne stilles relevante spørgsmål. Endvidere blev der redegjort for hvordan kystsikringen skal
opbygges, tidshorisonten og perioden samt hvordan det er gjort andre steder på vestkysten.
Under den konstruktive debat omhandlende kystsikringen, inden afstemningen, havde specielt Henning Nielsen og
Ebbe Jørgensen indtil flere indlæg og kommentarer imod kystsikringen. Ebbe Jørgensen kunne
fortælle at Hjørring kommunes politiske holdning til kystsikring generelt er negativ samt, hvordan det
er gået for kystsikringssagen syd for Lønstrup
en såkaldt §1 sag. Kort fortalt er en §1 situation kun
aktuel, når lodsejerne i fællesskab ikke kan blive enige om fordelingen af de omkostninger, der er
forbundet med opførelsen af en kystsikringsstregning.
Men da vi som en samlet forening kan søge tilladelse hos kystdirektoratet, der er for kystsikring, er
Hjørring kommune udelukkende kun en høringspart.
Der blev også stillet spørgsmål angående de sommerhuse, der endnu ikke er medlem af vor forening.
Bestyrelsen kunne fortælle, at Palle Ørtoft og Else Nørby har tilkendegivet medlemskab af foreningen
og betaling til kystsikringen.
De øvrige ”Jette,
Jette og Visti” på fællesgrunden vil formanden snarest
afholde et orienteringsmøde sammen med, og det er bestyrelsens opfattelse at de ligeledes ønsker at
deltage.
1
MIU, Alm.del - 2014-15 (1. samling) - Endeligt svar på spørgsmål 231: Spm. om, at redegøre for sagsbehandlingen vedr. sommerhusene ved Nørlev Strand, til miljøministeren
Referat af generalforsamlingen i grundejerforeningen Nørlev Strand af 1986
Finn Christensen kommenterede positivt for kystsikringen, og glædede sig
over at vores ”lille”
foreningen havde chancen for at vise, at en lille forening kan løfte en sådan opgave i fællesskab
rigtig mange bakkede op om den betragtning.
Formanden havde også et indlæg for en kystsikring, og informerede om de positive gevinster både for
bevarelse og ”løft” af o rådet ge erelt, og det re t øko o iske for os alle og de e kelte. Alle ka u
investere i en renovering eller et nyt hus, eventuelt i samarbejde med en kreditforening. Disse
forskellige tiltag vil vilkårligt ”løfte” hele
området, til gavn for alle.
Dirigenten var derefter nået til det indkomne forslag om kystsikring. I den forbindelse blev der af dirigenten
foretaget en mandtals optælling.
Det må konstateres at interessen for, det af en samlet bestyrelse fremlagte forslag, vedrørende cirka
300 meter kystsikring var endog meget stor. Antallet af fremmødte repræsenterede 24
stemmeberettigede medlemmer, ud af foreningens i alt 28 medlemmer.
Det blev også af dirigenten præciseret, at der skulle stemmes om både for/imod kystsikringen samt
fordelingsnøglen forbundet hertil under ét punkt. Endvidere en vedtægtsændring om overvejende
flertal for, en gennemførelse af vedtagelsen for en kystsikring.
Bente Christensen og Ebbe Jørgensen delte herefter stemmesedlerne ud, til de 24 talte
stemmeberettigede. Optællingen blev ligeledes foretaget af Bente Christensen og Ebbe Jørgensen
under supervision af dirigenten, og resultatet var at 18 stemte for forslaget og 6 stemte imod
forslaget for kystsikring blev vedtaget.
Formanden fremlagde det fremtidige driftsbudget, der blev godkendt af forsamlingen.
På valg var Formanden Anders Kold Ruskjær og bestyrelsesmedlem Kim Bejstrup, der begge ønskede genvalg, samt
suppleanterne. På valg var også revisor og revisorsuppleant. Alle blev genvalgt efter gældende regler.
Under eventuelt have Ebbe Jørgensen en kommentar til de meget store hybenbuske, der kan ridse
vore biler, beliggende ud for husene på Ved Stranden nummer 1 & 3. Bestyrelsen vil gøre ejerne
opmærksom på problemet, i håb om en beskæring af buskene. Ejerne er dog tidligere blevet gjort
opmærksomme på samme, uden samarbejdsvillighed.
Bestyrelsen benyttede lejligheden til, at takke alle for de knyttede kommentarer og den positive stemning, særligt
omkring afstemningen, den foregående debat og det hyggelige samvær med traktement efterfølgende. Det beviser
at vi i foreningen står sammen når det gælder, og man er villig til at tilsidesætte sin enkeltes personlige holdning, for
at nå til enighed. Tak for det og god sommer til alle.
Dato
Dirigent
Formand
Bestyrelsesmedlem
2
Bestyrelsesmedlem
Bestyrelsesmedlem
Bestyrelsesmedlem
MIU, Alm.del - 2014-15 (1. samling) - Endeligt svar på spørgsmål 231: Spm. om, at redegøre for sagsbehandlingen vedr. sommerhusene ved Nørlev Strand, til miljøministeren
1489257_0028.png
MIU, Alm.del - 2014-15 (1. samling) - Endeligt svar på spørgsmål 231: Spm. om, at redegøre for sagsbehandlingen vedr. sommerhusene ved Nørlev Strand, til miljøministeren
1489257_0029.png
Til:                                               '[email protected]'
Cc:                                               'Thomas
Lomholt'
Emne:                                        Erindring
om høringssvar til ansøgning om kystbeskyttelse, Nørlev Strand
Vedhæftede filer:                Nørlev
Strand Ansøgning.PDF; Høring vedr. ansøgning om etablering af skråningsbeskyttelse ved Nørlev
Strand, Hjørring Kommune.DOC; Høring af ansøgning om etablering af skråningsbeskyttelse ved Nørlev
Strand, Hjørring Kommune.MHT; Anmodning om genoptagelse af sag om kystbeskyttelse, Nørlev Strand.MHT;
Nørlev Strand_Generalforsamlingen 260610.DOCX; document2010-09-17-133039.PDF; Anmodning om
høringssvar fra Hjørring Kommmune til kystbeskyttelse ved Nørlev Strand.MHT
AppServer:                              esdhudd:8080
Profile:                                      100285
Kystdirektoratet anmodede ved e-mail af 20. september 2010 Hjørring Kommune om bemærkninger til ansøgning om
kystbeskyttelse på Nørlev Strand. Vi kan af sagen ikke se, at vi har modtaget svar og skal derfor bringe sagen i erindring.
Såfremt vi ikke har hørt fra kommunen
senest fredag den 5. november 2010,
lægger vi til grund at kommunen ingen
bemærkninger har til det fremsendte materiale..
Tidligere fremsendt materiale er vedhæftet denne e-mail.
Med venlig hilsen
Line Henriette Broen
AC-fuldmægtig, geolog
Myndighed & Jura
(45) 99 63 63 03
[email protected]
MIU, Alm.del - 2014-15 (1. samling) - Endeligt svar på spørgsmål 231: Spm. om, at redegøre for sagsbehandlingen vedr. sommerhusene ved Nørlev Strand, til miljøministeren
1489257_0030.png
MIU, Alm.del - 2014-15 (1. samling) - Endeligt svar på spørgsmål 231: Spm. om, at redegøre for sagsbehandlingen vedr. sommerhusene ved Nørlev Strand, til miljøministeren
1489257_0031.png
MIU, Alm.del - 2014-15 (1. samling) - Endeligt svar på spørgsmål 231: Spm. om, at redegøre for sagsbehandlingen vedr. sommerhusene ved Nørlev Strand, til miljøministeren
1489257_0032.png
MIU, Alm.del - 2014-15 (1. samling) - Endeligt svar på spørgsmål 231: Spm. om, at redegøre for sagsbehandlingen vedr. sommerhusene ved Nørlev Strand, til miljøministeren
1489257_0033.png
MIU, Alm.del - 2014-15 (1. samling) - Endeligt svar på spørgsmål 231: Spm. om, at redegøre for sagsbehandlingen vedr. sommerhusene ved Nørlev Strand, til miljøministeren
1489257_0034.png
MIU, Alm.del - 2014-15 (1. samling) - Endeligt svar på spørgsmål 231: Spm. om, at redegøre for sagsbehandlingen vedr. sommerhusene ved Nørlev Strand, til miljøministeren
1489257_0035.png
MIU, Alm.del - 2014-15 (1. samling) - Endeligt svar på spørgsmål 231: Spm. om, at redegøre for sagsbehandlingen vedr. sommerhusene ved Nørlev Strand, til miljøministeren
1489257_0036.png
MIU, Alm.del - 2014-15 (1. samling) - Endeligt svar på spørgsmål 231: Spm. om, at redegøre for sagsbehandlingen vedr. sommerhusene ved Nørlev Strand, til miljøministeren
1489257_0037.png
MIU, Alm.del - 2014-15 (1. samling) - Endeligt svar på spørgsmål 231: Spm. om, at redegøre for sagsbehandlingen vedr. sommerhusene ved Nørlev Strand, til miljøministeren
1489257_0038.png
MIU, Alm.del - 2014-15 (1. samling) - Endeligt svar på spørgsmål 231: Spm. om, at redegøre for sagsbehandlingen vedr. sommerhusene ved Nørlev Strand, til miljøministeren
1489257_0039.png
MIU, Alm.del - 2014-15 (1. samling) - Endeligt svar på spørgsmål 231: Spm. om, at redegøre for sagsbehandlingen vedr. sommerhusene ved Nørlev Strand, til miljøministeren
1489257_0040.png
MIU, Alm.del - 2014-15 (1. samling) - Endeligt svar på spørgsmål 231: Spm. om, at redegøre for sagsbehandlingen vedr. sommerhusene ved Nørlev Strand, til miljøministeren
1489257_0041.png
MIU, Alm.del - 2014-15 (1. samling) - Endeligt svar på spørgsmål 231: Spm. om, at redegøre for sagsbehandlingen vedr. sommerhusene ved Nørlev Strand, til miljøministeren
1489257_0042.png
MIU, Alm.del - 2014-15 (1. samling) - Endeligt svar på spørgsmål 231: Spm. om, at redegøre for sagsbehandlingen vedr. sommerhusene ved Nørlev Strand, til miljøministeren
1489257_0043.png
MIU, Alm.del - 2014-15 (1. samling) - Endeligt svar på spørgsmål 231: Spm. om, at redegøre for sagsbehandlingen vedr. sommerhusene ved Nørlev Strand, til miljøministeren
1489257_0044.png
Til nedenfor nævnte
Dato:
26.11.2009
Dokumentnr.
09/00677-2
Sagsbehandler:
Line Henriette Broen, geolog
Direkte tlf.nr.:
+45 99 63 63 03
Deres reference:
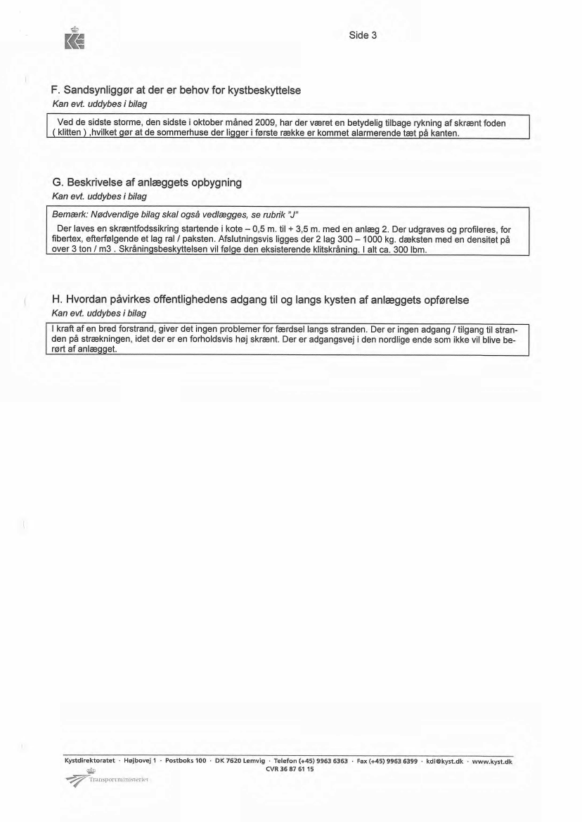
Høring vedr. ansøgning om etablering af
skråningsbeskyttelse ved Nørlev Strand, Hjørring Kommune
Kystdirektoratet har modtaget vedhæftede ansøgning om tilla-
delse til at etablere en stenkastning over en 300 m lang stræk-
ning ved Nørlev Strand.
Kystdirektoratet behandler ansøgninger om tilladelse til etable-
ring af kystbeskyttelse i henhold til kystbeskyttelsesloven.
Udtalelse fra andres myndigheder
Inden vi træffer afgørelse i sagen, skal vi anmode om Deres ud-
talelse
senest den 23. december 2009.
Såfremt vi ikke har hørt
fra Dem inden da forudsætter vi, at De ingen bemærkninger har
til ansøgningen.
Følgende særlige forhold gælder for projektet:
Ejendommene er omfattet af naturbeskyttelseslovens § 3
om beskyttede naturtyper (overdrev)
Ejendommene er omfattet af naturbeskyttelseslovens § 8
om klitfredning.
Da ansøgningen omfatter flere ejendomme, er den efter BEK nr.
1172 af 20. november 2006 om beskyttede naturtyper undtaget
fra naturbeskyttelseslovens § 3 om beskyttede naturtyper og
BEK nr. 1608 af 11. december 2006 om klitfredning undtaget fra
naturbeskyttelseslovens § 8, stk. 1 om klitfredningslinjen.
Kystdirektoratet skal derfor varetage de hensyn, som skal tilgo-
deses efter naturbeskyttelsesloven, når der træffes afgørelse
efter kystbeskyttelsesloven. Vi skal derfor anmode om at få op-
lyst, hvis De har kendskab til forhold der i den forbindelse bør
indgå i vores sagsbehandling.
MIU, Alm.del - 2014-15 (1. samling) - Endeligt svar på spørgsmål 231: Spm. om, at redegøre for sagsbehandlingen vedr. sommerhusene ved Nørlev Strand, til miljøministeren
1489257_0045.png
Side 2
Vi skal gøre opmærksom på, at Kystdirektoratet ikke kan træffe
afgørelse i sagen, før vi kender Hjørring Kommunes resultat af
VVM-screening i henhold til BEK nr. 1335 af 6. december 2006
om vurdering af visse offentlige og private anlægs virkning på
miljøet (VVM) i medfør af lov om planlægning.
Samtlige modtagere af sagen er nævnt efterfølgende:
Miljøcenter Aalborg
Hjørring Kommune
Med venlig hilsen
Line Henriette Broen
MIU, Alm.del - 2014-15 (1. samling) - Endeligt svar på spørgsmål 231: Spm. om, at redegøre for sagsbehandlingen vedr. sommerhusene ved Nørlev Strand, til miljøministeren
1489257_0046.png
Til:                                               [email protected];
[email protected]
Emne:                                        Høring
af ansøgning om etablering af skråningsbeskyttelse ved Nørlev Strand, Hjørring Kommune
Vedhæftede filer:                Nørlev
Strand Ansøgning.pdf; Høring vedr. ansøgning om etablering af skråningsbeskyttelse ved Nørlev
Strand, Hjørring Kommune.DOC
AppServer:                              esdhudd:8080
Profile:                                      100285
Med venlig hilsen
Line Henriette Broen
AC-fuldmægtig, geolog
Myndighed & Jura
(45) 99 63 63 03
[email protected]
MIU, Alm.del - 2014-15 (1. samling) - Endeligt svar på spørgsmål 231: Spm. om, at redegøre for sagsbehandlingen vedr. sommerhusene ved Nørlev Strand, til miljøministeren
1489257_0047.png
Sendt:                                        15.
juli 2010 13:23
Til:                                               '[email protected]'
Cc:                                               'Thomas
Lomholt'; [email protected]
Emne:                                        Anmodning
om genoptagelse af sag om kystbeskyttelse, Nørlev Strand
AppServer:                              esdhudd:8080
Profile:                                      100285
Kystdirektoratet er den 30. juni 2010 blevet informeret af formanden for Grundejerforeningen Nørlev Strand af 1986, Anders
Kold Ruskjær om, at der på afholdt ekstraordinær generalforsamling var flertal blandt medlemmerne for at søge om
kystbeskyttelse.
Kystdirektoratet skal derfor henvise til høringsmateriale udsendt den 26. november 2009 og anmode Hjørring Kommune om
at fortsætte kommunens behandling af sagen med hensyn til høringssvar og screening for VVM.
Med forståelse for afholdelse af ferie i kommunen bedes høringssvaret være Kystdirektoratet i hænde senest fredag den 13.
august 2010.
Kystdirektoratet skal anmode grundejerforeningen om at referat fra den ekstraordinære generalforsamling fremsendes til
Kystdirektoratet og Hjørring Kommune snarest muligt.
Med venlig hilsen
Line Henriette Broen
AC-fuldmægtig, geolog
Myndighed & Jura
(45) 99 63 63 03
[email protected]
MIU, Alm.del - 2014-15 (1. samling) - Endeligt svar på spørgsmål 231: Spm. om, at redegøre for sagsbehandlingen vedr. sommerhusene ved Nørlev Strand, til miljøministeren
Referat af generalforsamlingen i grundejerforeningen Nørlev Strand af 1986
Afholdt
Fraværende
NOTE
: Lørdag den 26. juni 2010 kl. 11.00 i Skallerup Feriecenters auditorium 5.
: Ved Stranden; nummer 8, 12, 18, 23, 25 og Ved Klitten; nummer 3, 24 og 26.
:Ved Stranden; nummer 18, 23 og Ved Klitten; nummer 3 og 24 var repræsenteret i form af skriftlig
fuldmagt.
Formanden Anders Kold Ruskjær bød alle hjertelig velkommen til generalforsamlingen, og foreslog advokat Niels
Søndergaard som dirigent. Dette blev enstemmigt vedtaget af forsamlingen.
Dirigenten indledte generalforsamlingen med at sikre sig, at den var lovlig indkaldt i henhold til vore vedtægter samt
godkendelse af dagsorden. Efterfølgende udnævnte dirigenten en referent og to talstemmere, Bente
Christensen og Ebbe Jørgensen, til den efterfølgende anonyme afstemning vedrørende kystsikring.
Formanden gennemgik årsberetningen, og som bekendt har det været et år med få aktiviteter. Men der blev dog, af
Henning Nielsen, stillet spørgsmål omkring sikkerheden på trapperne ned til stranden, og et spørgsmål
omkring manglende skiltning i området. Bestyrelse kunne meddele at trapperne er fuldt forsvarlige og
lovlige i både konstruktion og opsætning. Med hensyn til skiltningen i området forholder det sig
sådan, at Hjørring kommune har påtaget sig opgaven, omkring opsætningen af de manglende skilte.
Forsamlingen havde ikke yderligere at tilføje beretningen.
Formanden gennemgik herefter årsregnskabet 2009, der viste et overskud på 8.501,00 kroner, hvilket er mindre end
2008 men primært skyldes en betydelig post til vejhold. Alligevel har foreningen pr. 31. december
2009 har en egenkapital på 94.705,00 kroner og årsregnskabet blev godkendt af forsamlingen.
Ordet blev så givet til ingeniøren Mads fra VG Entreprenør A/S, der skal forestå kystsikringen. Han informerede
forsamlingen ved hjælp af tegninger og billeder, og en grundig saglig gennemgang af projektet, hvortil
der kunne stilles relevante spørgsmål. Endvidere blev der redegjort for hvordan kystsikringen skal
opbygges, tidshorisonten og perioden samt hvordan det er gjort andre steder på vestkysten.
Under den konstruktive debat omhandlende kystsikringen, inden afstemningen, havde specielt Henning Nielsen og
Ebbe Jørgensen indtil flere indlæg og kommentarer imod kystsikringen. Ebbe Jørgensen kunne
fortælle at Hjørring kommunes politiske holdning til kystsikring generelt er negativ samt, hvordan det
er gået for kystsikringssagen syd for Lønstrup
en såkaldt §1 sag. Kort fortalt er en §1 situation kun
aktuel, når lodsejerne i fællesskab ikke kan blive enige om fordelingen af de omkostninger, der er
forbundet med opførelsen af en kystsikringsstregning.
Men da vi som en samlet forening kan søge tilladelse hos kystdirektoratet, der er for kystsikring, er
Hjørring kommune udelukkende kun en høringspart.
Der blev også stillet spørgsmål angående de sommerhuse, der endnu ikke er medlem af vor forening.
Bestyrelsen kunne fortælle, at Palle Ørtoft og Else Nørby har tilkendegivet medlemskab af foreningen
og betaling til kystsikringen.
De øvrige ”Jette,
Jette og Visti” på fællesgrunden vil formanden snarest
afholde et orienteringsmøde sammen med, og det er bestyrelsens opfattelse at de ligeledes ønsker at
deltage.
1
MIU, Alm.del - 2014-15 (1. samling) - Endeligt svar på spørgsmål 231: Spm. om, at redegøre for sagsbehandlingen vedr. sommerhusene ved Nørlev Strand, til miljøministeren
Referat af generalforsamlingen i grundejerforeningen Nørlev Strand af 1986
Finn Christensen kommenterede positivt for kystsikringen, og glædede sig
over at vores ”lille”
foreningen havde chancen for at vise, at en lille forening kan løfte en sådan opgave i fællesskab
rigtig mange bakkede op om den betragtning.
Formanden havde også et indlæg for en kystsikring, og informerede om de positive gevinster både for
bevarelse og ”løft” af o rådet ge erelt, og det re t øko o iske for os alle og de e kelte. Alle ka u
investere i en renovering eller et nyt hus, eventuelt i samarbejde med en kreditforening. Disse
forskellige tiltag vil vilkårligt ”løfte” hele
området, til gavn for alle.
Dirigenten var derefter nået til det indkomne forslag om kystsikring. I den forbindelse blev der af dirigenten
foretaget en mandtals optælling.
Det må konstateres at interessen for, det af en samlet bestyrelse fremlagte forslag, vedrørende cirka
300 meter kystsikring var endog meget stor. Antallet af fremmødte repræsenterede 24
stemmeberettigede medlemmer, ud af foreningens i alt 28 medlemmer.
Det blev også af dirigenten præciseret, at der skulle stemmes om både for/imod kystsikringen samt
fordelingsnøglen forbundet hertil under ét punkt. Endvidere en vedtægtsændring om overvejende
flertal for, en gennemførelse af vedtagelsen for en kystsikring.
Bente Christensen og Ebbe Jørgensen delte herefter stemmesedlerne ud, til de 24 talte
stemmeberettigede. Optællingen blev ligeledes foretaget af Bente Christensen og Ebbe Jørgensen
under supervision af dirigenten, og resultatet var at 18 stemte for forslaget og 6 stemte imod
forslaget for kystsikring blev vedtaget.
Formanden fremlagde det fremtidige driftsbudget, der blev godkendt af forsamlingen.
På valg var Formanden Anders Kold Ruskjær og bestyrelsesmedlem Kim Bejstrup, der begge ønskede genvalg, samt
suppleanterne. På valg var også revisor og revisorsuppleant. Alle blev genvalgt efter gældende regler.
Under eventuelt have Ebbe Jørgensen en kommentar til de meget store hybenbuske, der kan ridse
vore biler, beliggende ud for husene på Ved Stranden nummer 1 & 3. Bestyrelsen vil gøre ejerne
opmærksom på problemet, i håb om en beskæring af buskene. Ejerne er dog tidligere blevet gjort
opmærksomme på samme, uden samarbejdsvillighed.
Bestyrelsen benyttede lejligheden til, at takke alle for de knyttede kommentarer og den positive stemning, særligt
omkring afstemningen, den foregående debat og det hyggelige samvær med traktement efterfølgende. Det beviser
at vi i foreningen står sammen når det gælder, og man er villig til at tilsidesætte sin enkeltes personlige holdning, for
at nå til enighed. Tak for det og god sommer til alle.
Dato
Dirigent
Formand
Bestyrelsesmedlem
2
Bestyrelsesmedlem
Bestyrelsesmedlem
Bestyrelsesmedlem
MIU, Alm.del - 2014-15 (1. samling) - Endeligt svar på spørgsmål 231: Spm. om, at redegøre for sagsbehandlingen vedr. sommerhusene ved Nørlev Strand, til miljøministeren
1489257_0050.png
MIU, Alm.del - 2014-15 (1. samling) - Endeligt svar på spørgsmål 231: Spm. om, at redegøre for sagsbehandlingen vedr. sommerhusene ved Nørlev Strand, til miljøministeren
1489257_0051.png
Til:                                               'Thomas
Lomholt'
Cc:                                               [email protected]
Emne:                                        Anmodning
om høringssvar fra Hjørring Kommmune til kystbeskyttelse ved Nørlev Strand
Vedhæftede filer:                Nørlev
Strand_Generalforsamlingen 260610.DOCX; document2010-09-17-133039.PDF
AppServer:                              esdhudd:8080
Profile:                                      100285
Kystdirektoratet fremsender hermed referat fra generalforsamlingen hos Grundejerforeningen Nørlev Strand af 1986 samt underskrevne
samtykkeerklæringer fra ejerne af matr.nr. 92b Skallerup Præstegård, Skallerup.
Inden vi træffer afgørelse i sagen, skal vi anmode om høringssvar fra Hjørring Kommune snarest og gerne inden en uge om muligt.
Med venlig hilsen
Line Henriette Broen
AC-fuldmægtig, geolog
Myndighed & Jura
(45) 99 63 63 03
[email protected]
MIU, Alm.del - 2014-15 (1. samling) - Endeligt svar på spørgsmål 231: Spm. om, at redegøre for sagsbehandlingen vedr. sommerhusene ved Nørlev Strand, til miljøministeren
Fra:                                  Thomas
Lomholt [[email protected]]
Sendt:                             28.
oktober 2010 10:22
Til:                                   Line
Henriette Broen (lhb)
Emne:                              Nørlev
Strand
Vedhæftede filer:           Høringssvar
vedr. kystsikringsprojekt ved Nørlev Strand.pdf
DocumentIsArchived:    0
Hej Line
Hermed Hjørring kommunes hørignssvar ang. ansøgning om kystsikring ved Nørlev Strand.
Med venlig hilsen
Thomas
MIU, Alm.del - 2014-15 (1. samling) - Endeligt svar på spørgsmål 231: Spm. om, at redegøre for sagsbehandlingen vedr. sommerhusene ved Nørlev Strand, til miljøministeren
1489257_0053.png
Hjørring Kommune
Kystdirektoratet
Højbovej 1
7620 Lemvig
Miljø- og Naturkontoret
Jørgen Fibigersgade 20
9850 Hirtshals
Telefon 72 33 33 33
Fax 72 33 30 35
[email protected]
www.hjoerring.dk
Hirtshals den 27-10-2010
Sagsnr.: 04.18.00-G01-4-10
Høringssvar vedr. kystsikringsprojekt ved Nørlev Strand
Kystdirektoratet har fremsendt en ansøgning om kystsikring ved Nørlev Strand i
høring. Projektet omfatter skræntfodsikring på en ca. 300 meter strækning fra
nedkørsel af Nørlev Strandvej og imod syd. Skræntfodssikringen ansøges etableret
ved stenkastning.
Til ansøgningen kan Hjørring kommune bemærke følgende:
Hjørring kommune har en politisk vedtaget kystpolitik, der fremgår af
Kommuneplanen for Hjørring kommune. Det fremgår heraf, at Hjørring kommune
ikke støtter etableringen af ny fast kystsikring. Dette begrundes i en generel
betragtning om at lade den naturlige dynamik råde langs vore kyster. Endvidere
udspringer denne holdning af de negative effekter fast kystsikring har for nedstrøms
beliggende kyststrækninger (læsideerosion). Konkret på den ansøgte strækning gør
det sig gældende at denne læsiderosion vil kunne medføre negative effekter for
restlevetiden af vejen Udemarken, der er eneste vejforbindelse til et større
sommerhusområde. Kystskrænten ligger i dag under 30 meter fra Udemarken, hvor
denne er tættest ved kysten. Endvidere skal det nævnes, at der nord for den
ansøgte strækning (dvs.
nedstrøms retning) findes Habitatområdet ”Kærsgård
Strand,
Vandplasken og Liver Å”. I udkast til Natura 2000-planen
er kystsikrings-
anlæg oplistet som en af truslerne imod sikring af naturværdierne i området.
Såfremt Kystdirektoratet finder, at der er grundlag for at meddele tilladelse i sagen,
finder Hjørring kommune at det bør ske på vilkår om en årlig sandfodring i en
mængde der svarer til den sandmængde, som anlægget fjerner fra den kystnære
sandmassebalance. Formålet hermed er at forhindre læsideerosion fra anlægget
samt at fastholde sandstrandens uændrede udstrækning foran klinten.
I den forbindelse vil kommunen gerne henlede opmærksomheden på, at Nørlev
Strandvej´s nedkørsel på stranden er et yndet udflugtsmål for egnens borgere og
MIU, Alm.del - 2014-15 (1. samling) - Endeligt svar på spørgsmål 231: Spm. om, at redegøre for sagsbehandlingen vedr. sommerhusene ved Nørlev Strand, til miljøministeren
1489257_0054.png
Side 2
turister - specielt anvendes nedkørslen af badegæster i sommerperioden.
Nedkørslen er en af få muligheder for at komme til stranden i bil. Såfremt
sandstranden foran klinten ikke fastholdes vil denne offentlige adgang til kysten
være indskrænket væsentligt, da der ikke i baglandet vil kunne findes tilstrækkeligt
store arealer til p-pladser.
Med venlig hilsen
Thomas Lomholt
Specialkonsulent
Tlf. 7233 6751
MIU, Alm.del - 2014-15 (1. samling) - Endeligt svar på spørgsmål 231: Spm. om, at redegøre for sagsbehandlingen vedr. sommerhusene ved Nørlev Strand, til miljøministeren
1489257_0055.png
Fra:                                              Henrik
Steinecke Nielsen (hsn)
Sendt:                                        8.
oktober 2010 12:37
Til:                                               Line
Henriette Broen (lhb)
Emne:                                        Besigtigelsesnotat
fra Nørlev Strand foretaget den 30. september 2010
Vedhæftede filer:                Besigtigelsesnotat
for Nørlev Strand 30 september 2010.docx
DocumentIsArchived:         0
Hej Line
Hermed besigtigelsesnotatet !!!
Med venlig hilsen
Henrik Steinecke Nielsen
AC-fuldmægtig, Landskabsforvalter
Myndighed & Jura
(45) 99 63 63 13
[email protected]
MIU, Alm.del - 2014-15 (1. samling) - Endeligt svar på spørgsmål 231: Spm. om, at redegøre for sagsbehandlingen vedr. sommerhusene ved Nørlev Strand, til miljøministeren
1489257_0056.png
Besigtigelsesnotat for Nørlev Strand, Hjørring Kommune
Dato og tidspunkt for besigtigelse:
30. september 2010 15:00-16:00
Vandstand på besigtigelsen:
- 0,46 cm dvr90 (Hirtshals)
Deltager på besigtigelsen:
Henrik S Nielsen
Vejr på besigtigelsen:
Solskin, klart og vindstille
Strækningen fremstod på besigtigelsen som en bred sandstrand med få sten. Skrænten mod kysten
fremstår som en ca. 2,5-3 meter høj meget stejl skrænt med sparsom vegetation. På strækningen er der 8
huse der er i risiko som følge af erosion. Heraf er 6 meget tæt på nemlig Hus 1,4,5,6,7,8 se oversigtskort og
billeder). Topkoten på skrænten er 4 m DVR 90. Kyststrækningen nord for Nørlev Strand så langt øjet
rækker er uberørt af kystbeskyttelse. Den er dog en stensætning ved nedkørselen til strandplanet ved
Nørlev Strand (se billede 24) Syd for Nørlev strand er der kystbeskyttelse i form af høfder ud for Skallerup
ferie center og mere sydligt en stenkastning benævnt Harrenden. Husene på den besigtigede strækning er
nummeret på oversigts foto (ortofoto 2009). Billederne er anført hvilket nr. hus fotoet vedrører.
Hus 8
Hus 7
Hus 6
Hus 5
Hus 4
Hus 3
Hus 2
Hus
1
Oversigtskort over den besigtigede strækning
MIU, Alm.del - 2014-15 (1. samling) - Endeligt svar på spørgsmål 231: Spm. om, at redegøre for sagsbehandlingen vedr. sommerhusene ved Nørlev Strand, til miljøministeren
1489257_0057.png
Billede 1 Kyststrækningen mod syd mod Skallerup Klit og Grønne Strand
Billede 2 Stranden mod syd mod Skallerup klit og Grønne Strand
MIU, Alm.del - 2014-15 (1. samling) - Endeligt svar på spørgsmål 231: Spm. om, at redegøre for sagsbehandlingen vedr. sommerhusene ved Nørlev Strand, til miljøministeren
1489257_0058.png
Billede 3 Sydligste hus (hus 1) på den besigtigede strækning
Billede 4
MIU, Alm.del - 2014-15 (1. samling) - Endeligt svar på spørgsmål 231: Spm. om, at redegøre for sagsbehandlingen vedr. sommerhusene ved Nørlev Strand, til miljøministeren
1489257_0059.png
Billede 5
Billede 6 Hus 1 på den besigtigede strækning set fra Stranden
MIU, Alm.del - 2014-15 (1. samling) - Endeligt svar på spørgsmål 231: Spm. om, at redegøre for sagsbehandlingen vedr. sommerhusene ved Nørlev Strand, til miljøministeren
1489257_0060.png
Billede 7 Hus 1 og 2 på den besigtigede strækning
Billede 8 Hus 3 og 4 på den besigtigede strækning
MIU, Alm.del - 2014-15 (1. samling) - Endeligt svar på spørgsmål 231: Spm. om, at redegøre for sagsbehandlingen vedr. sommerhusene ved Nørlev Strand, til miljøministeren
1489257_0061.png
Billede 9 Hus 4 på den besigtigede strækning
Billede 10 Hus 4 set fra stranden
MIU, Alm.del - 2014-15 (1. samling) - Endeligt svar på spørgsmål 231: Spm. om, at redegøre for sagsbehandlingen vedr. sommerhusene ved Nørlev Strand, til miljøministeren
1489257_0062.png
Billede 11 Hus 4 set fra stranden
Billede 12 Hus 5 på den besigtigede strækning
MIU, Alm.del - 2014-15 (1. samling) - Endeligt svar på spørgsmål 231: Spm. om, at redegøre for sagsbehandlingen vedr. sommerhusene ved Nørlev Strand, til miljøministeren
1489257_0063.png
Billede 13 Hus 5 fra set fra stranden
Billede 14 Hus 6 på den besigtigede strækning
MIU, Alm.del - 2014-15 (1. samling) - Endeligt svar på spørgsmål 231: Spm. om, at redegøre for sagsbehandlingen vedr. sommerhusene ved Nørlev Strand, til miljøministeren
1489257_0064.png
Billede 15 Trappe der er placeret imellem hus 6 og hus 7
Billede 16 Hus 6 og 5 på den besigtigede taget mod syd
MIU, Alm.del - 2014-15 (1. samling) - Endeligt svar på spørgsmål 231: Spm. om, at redegøre for sagsbehandlingen vedr. sommerhusene ved Nørlev Strand, til miljøministeren
1489257_0065.png
Billede 17 Hus 7 på den besigtigede strækning
Billede 18 Skrænten ud for hus 7 på den besigtigede strækning
MIU, Alm.del - 2014-15 (1. samling) - Endeligt svar på spørgsmål 231: Spm. om, at redegøre for sagsbehandlingen vedr. sommerhusene ved Nørlev Strand, til miljøministeren
1489257_0066.png
Billede 19 Hus 8 på den besigtigede strækning
Billede 20 Skrænten ud for hus 8 på den besigtigede strækning
MIU, Alm.del - 2014-15 (1. samling) - Endeligt svar på spørgsmål 231: Spm. om, at redegøre for sagsbehandlingen vedr. sommerhusene ved Nørlev Strand, til miljøministeren
1489257_0067.png
Billede 21 Stensætning ved nedkørsel i nordlig ende af den besigtigede kyststrækning
MIU, Alm.del - 2014-15 (1. samling) - Endeligt svar på spørgsmål 231: Spm. om, at redegøre for sagsbehandlingen vedr. sommerhusene ved Nørlev Strand, til miljøministeren
1489257_0068.png
Grundejerforeningen Nørlev Strand af 1986
v/ Anders Kold Ruskjær
Voldbyholt 20
8450 Hammel
Dato:
13.12.2010
Dokumentnr.
09/00677-28
Sagsbehandler:
Line Henriette Broen, geolog
Direkte tlf.nr.:
+45 99 63 63 03
Deres reference:
Varsel om afslag på ansøgning om skråningsbeskyttelse på
Nørlev Strand
VG Entreprenør A/S har den 19. november 2009 på vegne af
Grundejerforeningen Nørlev Strand af 1986 samt på vegne af
fire grundejere søgt om tilladelse til etablering af en stenkastning
som skråningsbeskyttelse på strækningen ved Nørlev Strand.
Kystdirektoratet har til hensigt at give afslag på ansøgningen
med begrundelse i den ansøgte kystbeskyttelsesmetode, som er
en såkaldt hård konstruktion (stenkastning). Uddybning af be-
grundelsen for varslet om
afslag kan læses i afsnittet om ’Kystdi-
rektoratets vurdering’ nedenfor.
Inden vi træffer afgørelse i sagen, har De mulighed for at kom-
me med bemærkninger til sagen, jf. forvaltningslovens bestem-
melser. Vi skal anmode om Deres eventuelle bemærkninger
se-
nest fredag den 14. januar 2011,
og såfremt vi ikke har hørt fra
Dem inden den fastsatte frist, vil vi træffe afgørelse i sagen som
varslet.
Lovgrundlag
Kystdirektoratet er ved bekendtgørelse nr. 427 af 9. maj 2007
om Kystdirektoratets opgaver og beføjelser, om klageadgang og
om kundgørelse af ordensreglementer for havne, bemyndiget til
at træffe afgørelse i sager om kystbeskyttelse i henhold til kyst-
beskyttelsesloven.
Når vi træffer afgørelse i sager om kystbeskyttelse skal vi vare-
tage en række ikke prioriterede hensyn jf. kystbeskyttelseslo-
vens § 1, hvori der står:
”§ 1.
Formålet med kystbeskyttelse er at beskytte mennesker
mod oversvømmelser samt ejendom mod oversvømmelser og
MIU, Alm.del - 2014-15 (1. samling) - Endeligt svar på spørgsmål 231: Spm. om, at redegøre for sagsbehandlingen vedr. sommerhusene ved Nørlev Strand, til miljøministeren
1489257_0069.png
Side 2
nedbrydning fra havet, fjorde eller andre dele af søterritoriet.
Dette formål varetages ved en afvejning af følgende hensyn:
1) Behovet for kystbeskyttelse,
2) økonomiske hensyn,
3) kystbeskyttelsesforanstaltningens tekniske og miljømæssi-
ge kvalitet,
4) kystlandskabets bevarelse og genopretning,
5) naturens frie udfoldelse,
6) rekreativ udnyttelse af kysten,
7) sikring af den eksisterende adgang til kysten og
8) andre forhold af væsentlig betydning for kystbeskyttelse.”
Kystdirektoratets vurdering
Kystdirektoratet har i sin behandling af sagen set på stræknin-
gen som helhed såvel som på de enkelte ejendommes behov for
kystbeskyttelse. På strækningen ved Nørlev Strand, og i Hjør-
ring Kommune i øvrigt, er der rig mulighed for fortsat at lade de
naturlige og dynamiske processer præge et større område.
Kystdirektoratet finder at dette naturhensyn vægter meget højt,
dels på baggrund af egen vurdering og dels på baggrund af svar
fra høringsparterne, herunder især Hjørring Kommune, som
ifølge kommunens politisk vedtagne kystpolitik, ikke ønsker nye
faste kystbeskyttelsesanlæg.
En stenkastning som den ansøgte vil være et markant anlæg og
virke voldsomt på den visuelle oplevelse af en næsten uberørt
kyststrækning samtidig med at den hindrer kystens naturlige ud-
foldelse og udvikling. Stranden foran en stenkastning på en ero-
sionskyst vil forsvinde med tiden, da kystprofilet fortsat vil rykke
tilbage.
Kystdirektoratet medgiver, at der er behov for kystbeskyttelse af
de yderst beliggende bebyggelser ved Nørlev Strand, men finder
at den ansøgte metode ikke kan tillades. Vi vurderer, at fodring
med sand vil kunne yde den fornødne beskyttelse af skræntfo-
den mod yderligere tilbagerykning samt bibeholde den naturlige
kystdynamik og høje rekreative værdi af området.
Sandfodring kræver tilladelse fra Kystdirektoratet, og vi vil se
positivt på en søgning om dette.
MIU, Alm.del - 2014-15 (1. samling) - Endeligt svar på spørgsmål 231: Spm. om, at redegøre for sagsbehandlingen vedr. sommerhusene ved Nørlev Strand, til miljøministeren
1489257_0070.png
Side 3
For spørgsmål til ovenstående eller sagen i øvrigt, kan jeg kon-
taktes på direkte tlf.: 99 63 63 03 eller e-mail:
[email protected]
Med venlig hilsen
Line Henriette Broen
MIU, Alm.del - 2014-15 (1. samling) - Endeligt svar på spørgsmål 231: Spm. om, at redegøre for sagsbehandlingen vedr. sommerhusene ved Nørlev Strand, til miljøministeren
1489257_0071.png
Til:                                               [email protected];
[email protected]
Emne:                                        Partshøring
over høringssvar fra Hjørring Kommune samt Miljøcenter Aalborg og nabo
Vedhæftede filer:                Høringssvar
vedr. kystsikring ved Nørlev _DOK1939131_.PDF; 000029B6.TIF; Høringssvar vedr.
kystsikringsprojekt ved Nørlev Strand.PDF
AppServer:                              esdhudd:8080
Profile:                                      100285
Hej Anders og Mads
Hjørring Kommune har afgivet høringssvar, og da det taler imod projektet, får I her mulighed for at kommentere på det, inden
jeg træffer afgørelse i sagen.
Jeg vedhæfter også høringssvaret fra Miljøcenter Aalborg samt indsigelse fra nabo. Jeg har sendt det til dig Anders tidligere,
men kan af sagen ikke se at du har kommenteret på det?
Såfremt I ønsker at komme med bemærkninger til det fremsendte, bedes disse være mig i hænde i løbet af ca. 14 dage.
Med venlig hilsen
Line Henriette Broen
AC-fuldmægtig, geolog
Myndighed & Jura
(45) 99 63 63 03
[email protected]
MIU, Alm.del - 2014-15 (1. samling) - Endeligt svar på spørgsmål 231: Spm. om, at redegøre for sagsbehandlingen vedr. sommerhusene ved Nørlev Strand, til miljøministeren
1489257_0072.png
MIU, Alm.del - 2014-15 (1. samling) - Endeligt svar på spørgsmål 231: Spm. om, at redegøre for sagsbehandlingen vedr. sommerhusene ved Nørlev Strand, til miljøministeren
1489257_0073.png
MIU, Alm.del - 2014-15 (1. samling) - Endeligt svar på spørgsmål 231: Spm. om, at redegøre for sagsbehandlingen vedr. sommerhusene ved Nørlev Strand, til miljøministeren
1489257_0074.png
MIU, Alm.del - 2014-15 (1. samling) - Endeligt svar på spørgsmål 231: Spm. om, at redegøre for sagsbehandlingen vedr. sommerhusene ved Nørlev Strand, til miljøministeren
1489257_0075.png
MIU, Alm.del - 2014-15 (1. samling) - Endeligt svar på spørgsmål 231: Spm. om, at redegøre for sagsbehandlingen vedr. sommerhusene ved Nørlev Strand, til miljøministeren
1489257_0076.png
Hjørring Kommune
Kystdirektoratet
Højbovej 1
7620 Lemvig
Miljø- og Naturkontoret
Jørgen Fibigersgade 20
9850 Hirtshals
Telefon 72 33 33 33
Fax 72 33 30 35
[email protected]
www.hjoerring.dk
Hirtshals den 27-10-2010
Sagsnr.: 04.18.00-G01-4-10
Høringssvar vedr. kystsikringsprojekt ved Nørlev Strand
Kystdirektoratet har fremsendt en ansøgning om kystsikring ved Nørlev Strand i
høring. Projektet omfatter skræntfodsikring på en ca. 300 meter strækning fra
nedkørsel af Nørlev Strandvej og imod syd. Skræntfodssikringen ansøges etableret
ved stenkastning.
Til ansøgningen kan Hjørring kommune bemærke følgende:
Hjørring kommune har en politisk vedtaget kystpolitik, der fremgår af
Kommuneplanen for Hjørring kommune. Det fremgår heraf, at Hjørring kommune
ikke støtter etableringen af ny fast kystsikring. Dette begrundes i en generel
betragtning om at lade den naturlige dynamik råde langs vore kyster. Endvidere
udspringer denne holdning af de negative effekter fast kystsikring har for nedstrøms
beliggende kyststrækninger (læsideerosion). Konkret på den ansøgte strækning gør
det sig gældende at denne læsiderosion vil kunne medføre negative effekter for
restlevetiden af vejen Udemarken, der er eneste vejforbindelse til et større
sommerhusområde. Kystskrænten ligger i dag under 30 meter fra Udemarken, hvor
denne er tættest ved kysten. Endvidere skal det nævnes, at der nord for den
ansøgte strækning (dvs.
nedstrøms retning) findes Habitatområdet ”Kærsgård
Strand,
Vandplasken og Liver Å”. I udkast til Natura 2000-planen
er kystsikrings-
anlæg oplistet som en af truslerne imod sikring af naturværdierne i området.
Såfremt Kystdirektoratet finder, at der er grundlag for at meddele tilladelse i sagen,
finder Hjørring kommune at det bør ske på vilkår om en årlig sandfodring i en
mængde der svarer til den sandmængde, som anlægget fjerner fra den kystnære
sandmassebalance. Formålet hermed er at forhindre læsideerosion fra anlægget
samt at fastholde sandstrandens uændrede udstrækning foran klinten.
I den forbindelse vil kommunen gerne henlede opmærksomheden på, at Nørlev
Strandvej´s nedkørsel på stranden er et yndet udflugtsmål for egnens borgere og
MIU, Alm.del - 2014-15 (1. samling) - Endeligt svar på spørgsmål 231: Spm. om, at redegøre for sagsbehandlingen vedr. sommerhusene ved Nørlev Strand, til miljøministeren
1489257_0077.png
Side 2
turister - specielt anvendes nedkørslen af badegæster i sommerperioden.
Nedkørslen er en af få muligheder for at komme til stranden i bil. Såfremt
sandstranden foran klinten ikke fastholdes vil denne offentlige adgang til kysten
være indskrænket væsentligt, da der ikke i baglandet vil kunne findes tilstrækkeligt
store arealer til p-pladser.
Med venlig hilsen
Thomas Lomholt
Specialkonsulent
Tlf. 7233 6751
MIU, Alm.del - 2014-15 (1. samling) - Endeligt svar på spørgsmål 231: Spm. om, at redegøre for sagsbehandlingen vedr. sommerhusene ved Nørlev Strand, til miljøministeren
1489257_0078.png
From:
Line Henriette Broen (lhb)
Sent:
13. december 2010 11:32:17
To:
'[email protected]'
Cc:
Subject:
Varsel om afslag på ansøgning om skråningsbeskyttelse, Nørlev Strand
Hej Anders
Jeg har ikke hørt fra Jer vedr. partshøringen den 1/11 2010 og formoder at I ingen bemærkninger har.
Jeg sender hermed varsel om afslag. Vil du som repræsentant for de fire andre grundejere videreformidle brevet?
Med venlig hilsen
Line Henriette Broen
AC-fuldmægtig, geolog
Myndighed & Jura
(45) 99 63 63 03
[email protected]
MIU, Alm.del - 2014-15 (1. samling) - Endeligt svar på spørgsmål 231: Spm. om, at redegøre for sagsbehandlingen vedr. sommerhusene ved Nørlev Strand, til miljøministeren
1489257_0079.png
Grundejerforeningen Nørlev Strand af 1986
v/ Anders Kold Ruskjær
Voldbyholt 20
8450 Hammel
Dato:
13.12.2010
Dokumentnr.
09/00677-28
Sagsbehandler:
Line Henriette Broen, geolog
Direkte tlf.nr.:
+45 99 63 63 03
Deres reference:
Varsel om afslag på ansøgning om skråningsbeskyttelse på
Nørlev Strand
VG Entreprenør A/S har den 19. november 2009 på vegne af
Grundejerforeningen Nørlev Strand af 1986 samt på vegne af
fire grundejere søgt om tilladelse til etablering af en stenkastning
som skråningsbeskyttelse på strækningen ved Nørlev Strand.
Kystdirektoratet har til hensigt at give afslag på ansøgningen
med begrundelse i den ansøgte kystbeskyttelsesmetode, som er
en såkaldt hård konstruktion (stenkastning). Uddybning af be-
grundelsen for varslet om
afslag kan læses i afsnittet om ’Kystdi-
rektoratets vurdering’ nedenfor.
Inden vi træffer afgørelse i sagen, har De mulighed for at kom-
me med bemærkninger til sagen, jf. forvaltningslovens bestem-
melser. Vi skal anmode om Deres eventuelle bemærkninger
se-
nest fredag den 14. januar 2011,
og såfremt vi ikke har hørt fra
Dem inden den fastsatte frist, vil vi træffe afgørelse i sagen som
varslet.
Lovgrundlag
Kystdirektoratet er ved bekendtgørelse nr. 427 af 9. maj 2007
om Kystdirektoratets opgaver og beføjelser, om klageadgang og
om kundgørelse af ordensreglementer for havne, bemyndiget til
at træffe afgørelse i sager om kystbeskyttelse i henhold til kyst-
beskyttelsesloven.
Når vi træffer afgørelse i sager om kystbeskyttelse skal vi vare-
tage en række ikke prioriterede hensyn jf. kystbeskyttelseslo-
vens § 1, hvori der står:
”§ 1.
Formålet med kystbeskyttelse er at beskytte mennesker
mod oversvømmelser samt ejendom mod oversvømmelser og
MIU, Alm.del - 2014-15 (1. samling) - Endeligt svar på spørgsmål 231: Spm. om, at redegøre for sagsbehandlingen vedr. sommerhusene ved Nørlev Strand, til miljøministeren
1489257_0080.png
Side 2
nedbrydning fra havet, fjorde eller andre dele af søterritoriet.
Dette formål varetages ved en afvejning af følgende hensyn:
1) Behovet for kystbeskyttelse,
2) økonomiske hensyn,
3) kystbeskyttelsesforanstaltningens tekniske og miljømæssi-
ge kvalitet,
4) kystlandskabets bevarelse og genopretning,
5) naturens frie udfoldelse,
6) rekreativ udnyttelse af kysten,
7) sikring af den eksisterende adgang til kysten og
8) andre forhold af væsentlig betydning for kystbeskyttelse.”
Kystdirektoratets vurdering
Kystdirektoratet har i sin behandling af sagen set på stræknin-
gen som helhed såvel som på de enkelte ejendommes behov for
kystbeskyttelse. På strækningen ved Nørlev Strand, og i Hjør-
ring Kommune i øvrigt, er der rig mulighed for fortsat at lade de
naturlige og dynamiske processer præge et større område.
Kystdirektoratet finder at dette naturhensyn vægter meget højt,
dels på baggrund af egen vurdering og dels på baggrund af svar
fra høringsparterne, herunder især Hjørring Kommune, som
ifølge kommunens politisk vedtagne kystpolitik, ikke ønsker nye
faste kystbeskyttelsesanlæg.
En stenkastning som den ansøgte vil være et markant anlæg og
virke voldsomt på den visuelle oplevelse af en næsten uberørt
kyststrækning samtidig med at den hindrer kystens naturlige ud-
foldelse og udvikling. Stranden foran en stenkastning på en ero-
sionskyst vil forsvinde med tiden, da kystprofilet fortsat vil rykke
tilbage.
Kystdirektoratet medgiver, at der er behov for kystbeskyttelse af
de yderst beliggende bebyggelser ved Nørlev Strand, men finder
at den ansøgte metode ikke kan tillades. Vi vurderer, at fodring
med sand vil kunne yde den fornødne beskyttelse af skræntfo-
den mod yderligere tilbagerykning samt bibeholde den naturlige
kystdynamik og høje rekreative værdi af området.
Sandfodring kræver tilladelse fra Kystdirektoratet, og vi vil se
positivt på en søgning om dette.
MIU, Alm.del - 2014-15 (1. samling) - Endeligt svar på spørgsmål 231: Spm. om, at redegøre for sagsbehandlingen vedr. sommerhusene ved Nørlev Strand, til miljøministeren
1489257_0081.png
Side 3
For spørgsmål til ovenstående eller sagen i øvrigt, kan jeg kon-
taktes på direkte tlf.: 99 63 63 03 eller e-mail:
[email protected]
Med venlig hilsen
Line Henriette Broen
MIU, Alm.del - 2014-15 (1. samling) - Endeligt svar på spørgsmål 231: Spm. om, at redegøre for sagsbehandlingen vedr. sommerhusene ved Nørlev Strand, til miljøministeren
1489257_0082.png
From:
Line Henriette Broen (lhb)
Sent:
16. december 2010 12:40:34
To:
'[email protected]'
Cc:
Subject:
Tilbagekaldelse af varsel om afslag samt udsættelse af frist for bemærkninger ifm partshøring
Hej Anders
Jeg skal hermed tilbagekalde varsel om afslag af 13. december 2010 og bekræfte, at vi aftalte en ny frist for bemærkninger til det
den 1. november 2010 fremsendte materiale.
Fristen er sat til
tirsdag den 1. februar 2011,
og såfremt vi ikke har modtaget noget fra jer senest den fastsatte dato, vil vi lade
varslet om afslag træde i kraft igen.
Med venlig hilsen
Line Henriette Broen
AC-fuldmægtig, geolog
Myndighed & Jura
(45) 99 63 63 03
[email protected]
cid:[email protected]