Finansudvalget 2014-15 (1. samling)
FIU Alm.del
Offentligt
1429637_0001.png
Folketingets Finansudvalg
Christiansborg
1240 København K
Beskæftigelsesministeriet
Ved Stranden 8
1061 København K
T 72 20 50 00
E [email protected]
www.bm.dk
CVR 10172748
EAN 5798000398566
Finansudvalget har i brev af 5. november 2014 stillet følgende spørgsmål nr. 56
(FIU alm. del), som hermed besvares.
3. december 2014
J.nr. 2014 - 7360
Spørgsmål nr. 56:
”Vil ministeren redegøre for udviklingen i antallet af kontanthjælpsmodtagere si-
den 3. oktober 2011?”
Endeligt svar:
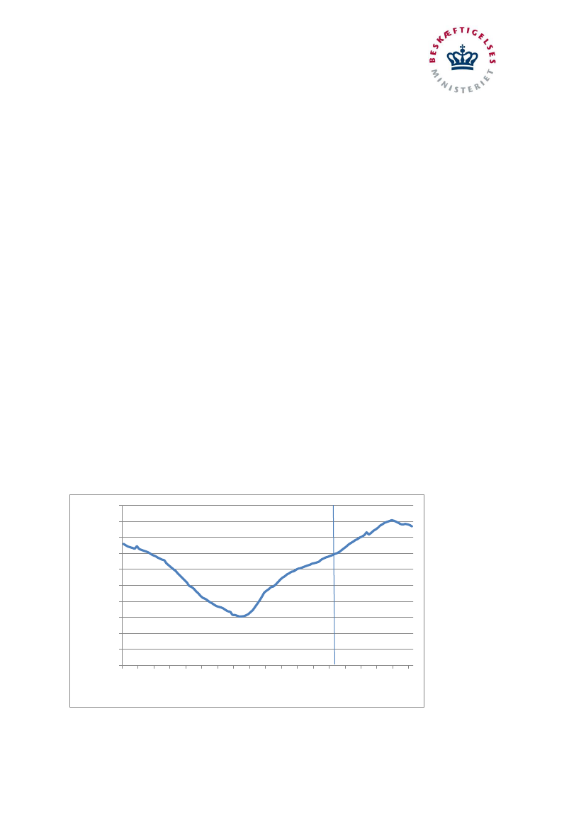
Udviklingen i antallet af kontanthjælpsmodtagere i alderen 16-64 år fremgår af
fi-
gur 1.
Her ses, at antallet af kontanthjælpsmodtagere har været stigende siden kri-
sens start i efteråret 2008 og frem til november 2013. Stigningen var særligt stor i
starten af krisen, mens der har været tale om en nogenlunde jævn stigning i antallet
af kontanthjælpsmodtagere fra starten af 2010 og frem til november 2013. Herefter
er antallet af kontanthjælpsmodtagere faldet.
Figur 1. Antal kontanthjælpsmodtagere. Fuldtidspersoner. Januar 2004 – august
2014, sæsonkorrigeret.
160.000
150.000
140.000
130.000
120.000
110.000
100.000
90.000
80.000
70.000
60.000
sep-08
apr-09
okt-05
nov-09
aug-04
aug-11
okt-12
jul-07
dec-06
maj-06
mar-05
Kilde: Jobindsats.dk og egen sæsonkorrektion.
Anm.: Opgørelsen er inklusiv uddannelseshjælpsmodtagere fra 1. januar 2014.
mar-12
maj-13
dec-13
jun-10
jan-04
feb-08
jan-11
jul-14
PDF to HTML - Convert PDF files to HTML files
Antallet af kontanthjælpsmodtagere er således steget fra 91.000 personer ved kri-
sens start til 147.000 i august 2014, svarende til en stigning på 56.000 personer.
Heraf kan godt 17.000 henføres til perioden fra oktober 2011 til august 2014.
Det bemærkes, at udviklingen i antallet af kontanthjælpsmodtagere påvirkes af en
række forhold, herunder konjunkturerne og adgangen til andre overførselsindkom-
ster.
Venlig hilsen
Henrik Dam Kristensen
2