Børne- og Undervisningsudvalget 2014-15 (1. samling)
BUU Alm.del
Offentligt
1528753_0001.png
Børne- og Undervisningsudvalget
Christiansborg
Afdelingen for Ungdoms- og
Voksenuddannelser
Frederiksholms Kanal 25
1220 København K
Tlf. 3392 5000
Fax 3392 5302
E-mail [email protected]
www.uvm.dk
CVR nr. 20-45-30-44
Svar på spørgsmål 259 (Alm. del):
I brev af 30. april 2015 har udvalget efter ønske fra Annette Vilhelmsen
(SF) stillet mig følgende spørgsmål:
Spørgsmål 259:
”Hvis det ikke er lykkedes at få en praktikplads som EUD-elev, og ved-
kommende efterfølgende siger nej til skolepraktik, ryger denne ud af
systemet. Derfor bedes ministeren oplyse:
a. Har ministeriet en opgørelse over antallet af disse elever, der dels er
røget ud af systemet og dels stadig venter på en praktikplads?
b. Hvilke muligheder har disse elever for at komme tilbage i EUD-
systemet?”
Svar:
Ad spørgsmål a:
Optagelse af elever i skolepraktik, som ikke har haft en uddannelsesafta-
le, kan kun ske i umiddelbar forlængelse af grundforløbet. Elever som
ikke umiddelbart efter afslutningen af grundforløbet vælger skolepraktik,
kan ikke senere blive optaget på et praktikcenter inden for den pågæl-
dende uddannelse uden en mellemkommende uddannelsesaftale.
Undervisningsministeriet har torsdag den 30. april 2015 offentliggjort en
analyse af de elever, der står i søgekøen. Dvs. elever, der har afsluttet
deres grundforløb, men som endnu ikke har indgået en praktikaftale.
Elever der står i søgekøen kan enten være elever, der har takket ja til
skolepraktik, men venter på en skolepraktikplads, eller elever, der har
takket nej til skolepraktik. I analysen undersøges bl.a., hvor de elever, der
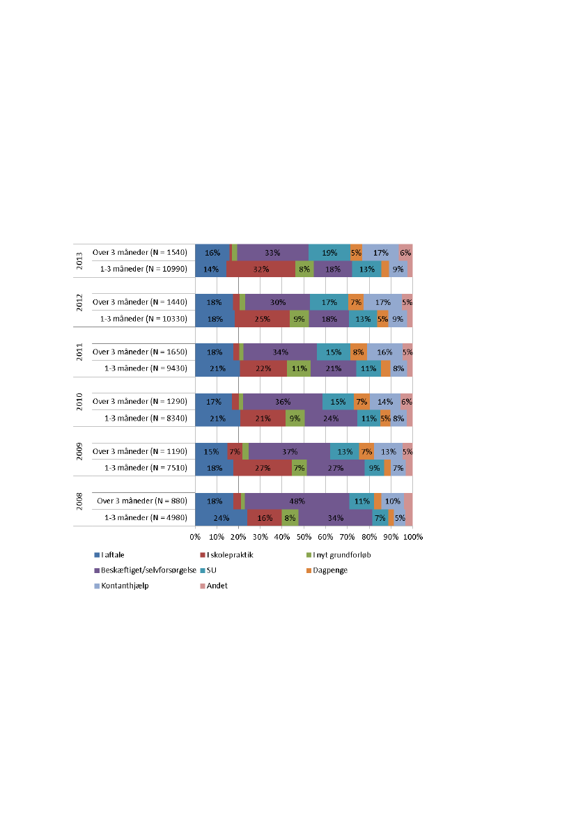
har forladt søgekøen, ender. Figur 1 viser en fordeling af elever med til-
gang til søgekøen i perioden 2008-2013 efter opholdstid i søgekøen, og
hvad de laver inden for tre måneder efter, de har forladt søgekøen.
Det ses, at ca. 1.500 af de elever, svarende til 14 procent, der tilgik søge-
køen i 2013 og som havde stået i søgekøen i op til tre måneder, havde
indgået en uddannelsesaftale med en virksomhed. Ca. 3.500 af eleverne,
12-05-2015
BUU, Alm.del - 2014-15 (1. samling) - Endeligt svar på spørgsmål 259: Spm. om, en opgørelse over antallet af disse elever, der dels er røget ud af systemet og dels stadig venter på en praktikplads, til undervisningsministeren
1528753_0002.png
2
svarende til 32 procent, var startet i skolepraktik. De resterende ca. 5.900
elever, svarende til 54 pct., der forlader søgekøen efter op til tre måne-
ders varighed skifter enten til anden uddannelse, overgår til beskæftigelse
eller offentlig forsørgelse. Blandt de elever, der tilgik søgekøen i 2013 og
stod i søgekøen i mere end tre måneder, havde 16 procent indgået en
aftale med en virksomhed, svarende til knap 250 elever.
Figur 1. Fordeling af elever med tilgang til søgekøen 2008-2013
efter varighed i søgekøen og deres status inden for tre måneder
efter sidste dag i søgekøen
Anm: Hvis andelen er mindre end fem procent, angives andelen ikke med et procenttal
i figuren. Kategorien ”Andet” inkluderer øvrige offentlige ydelse end SU, dagpenge og
kontanthjælp (fx sygedagpenge, revalidering og barselsdagpenge) og personer, der ikke
længere er bosiddende i Danmark. De anførte antal er afrundet til nærmeste 10.
Kilde: Undervisningsministeriet
I den seneste offentliggjorte månedsstatistik for praktikpladssituationen
ses, at der ultimo marts 2015 var 1.659 elever, der var praktikpladssø-
gende med et afsluttet grundforløb. Det er 38 procent færre end i marts
2014, jf. tabel 1. Af tabellen fremgår endvidere, at der ultimo marts 2015
var 7.240 elever i skolepraktik. Det er 13 procent flere end marts 2014.
BUU, Alm.del - 2014-15 (1. samling) - Endeligt svar på spørgsmål 259: Spm. om, en opgørelse over antallet af disse elever, der dels er røget ud af systemet og dels stadig venter på en praktikplads, til undervisningsministeren
1528753_0003.png
3
Elever i skolepraktik skal også være søgende efter en praktikplads hos en
virksomhed.
Tabel 1. Antal praktikpladssøgende elever med afslutte grundfor-
løb og antal elever i skolepraktik (bestand), ultimo marts 2014 og
2015
Marts 2014
Praktikpladssøgende elever med
afsluttet grundforløb
1
Elever i skolepraktik
2.695
6.410
Marts 2015
1.659
7.240
Ændring i
pct.
-38
13
Note 1:
Praktikpladssøgende med afsluttet grundforløb:
har gennemført et grundforløb og er
ikke i gang med at færdiggøre deres erhvervsuddannelse i nyt grundforløb, uddannel-
sesaftale, skolepraktik eller uddannelser uden virksomhedspraktik. Derudover har de
søgende med afsluttet grundforløb bekræftet deres søgeønske inden for de seneste tre
måneder eller er blevet søgende inden for de seneste tre måneder. Praktikpladssøgende
elever med et afsluttet grundforløb er opdelt efter, om eleverne er søgende på uddan-
nelser med eller uden skolepraktik.
Kilde:
Styrelsen for It og Læring. Udtrækstidspunkt medio april 2015.
Ad spørgsmål b:
En elev, som ikke optages til skolepraktik på et praktikcenter umiddel-
bart efter afsluttet grundforløb, kan senere vende tilbage som erhvervs-
uddannelseselev ved, at den pågældende:
1. Indgår uddannelsesaftale om et hovedforløb, hvortil elevens
grundforløb giver adgang til skoleundervisning,
2. optages til et nyt grundforløb, efter 1. august 2015 til 2. del af et
grundforløb, i en anden uddannelse end den oprindelige eller
3. indgår uddannelsesaftale om en uddannelse i form af Ny mester-
lære, dvs. uden grundforløb.
Med venlig hilsen
Christine Antorini