Transportudvalget 2014-15 (1. samling)
TRU Alm.del Bilag 58
Offentligt
1424674_0001.png
Scandlines Danmark A/S –
Bemærkninger til VVM-Redegørelse af
28/6 2013 for en fast forbindelse over
Femern Bælt
1
PDF to HTML - Convert PDF files to HTML files
1424674_0002.png
Transportministeriet
Att.: Fuldmægtig Dorthe Gravgaard
Frederiksholms Kanal 27F
1220 København K
(Leveret på adressen samt sendt elektronisk til: [email protected], og i kopi til: [email protected])
Høring af VVM-redegørelsen for en fast forbindelse over Femern Bælt
Dette notat indeholder Scandlines’ hørings-kommentarer til VVM-redegørelsen for en fast
forbindelse over Femern Bælt. Notatet behandler alene den danske del af projektet vedr. den faste
forbindelse og alene:
1. De planlagte nedgraderede adgangsforhold for hhv. Scandlines’ kunder og for Scandlines til
Rødby Færgehavn efter færdiggørelsen af projektet
2. Byggefasens indflydelse på Scandlines’ drift herunder på kundernes adgangsforhold samt
færgedriftens regularitet og driftsomkostninger
3. Klimapåvirkningen fra den faste forbindelse ifm. etablering og drift
4. Projektets anlægsøkonomi og rentabilitet
5. Generelle kommentarer til de samfundsøkonomiske aspekter, der fremhæves i VVM-
redegørelsen
6. Faktuelle fejl i rapporten
Resumé:
Det er Scandlines’ vurdering, at redegørelsen, som den foreligger nu, hviler på en række afgørende
forkerte og misvisende forudsætninger. Disse påvirker en række elementer og løsningsforslag i
VVM-redegørelsen, hvorfor Femern A/S hurtigst muligt bør korrigere redegørelsen og derved sikre,
at offentligheden og Folketinget ved behandling af anlægsloven får et fyldestgørende
beslutningsgrundlag. Nedenfor resumé af de enkelte kapitler:
1. Femern A/S er bekendt med, at Scandlines fortsætter færgedriften efter åbningen af den
faste forbindelse. Derfor finder Scandlines det overraskende, at Femern planlægger at
komplicere og nedgradere adgangsforholdene til Rødby Færgehavn specielt taget i
betragtning, at Femern A/S’s drift af den faste forbindelse og færgedriften vil være i direkte
konkurrence. Femern A/S indtager således en dobbeltrolle dels som projekterende på
projektet og pennefører på VVM-redegørelsen og dels ved at skulle forestå driften af den
faste forbindelse. Det er tilmed misvisende, når trafikprognosen ikke er baseret på, at
færgedriften fortsætter. Disse forhold skærper Femern A/S’s forpligtigelser til at inddrage
alle relevante forudsætninger på en objektiv og neutral måde og sikre at alle lovlige og
saglige hensyn tilgodeses. Scandlines finder det konkurrenceforvridende at Femern A/S
planlægger at nedgradere Scandlines adgangsforhold til Rødby Færgehavn og dermed stille
Scandlines markant dårligere end Femern A/S selv.
2. Efter gennemgang af VVM-redegørelsen er det tydeligt for Scandlines, at der i anlægsfasen
vil være ikke uvæsentlige forstyrrelser af færgedriften som følge af anlægsarbejdet. Sådanne
2
PDF to HTML - Convert PDF files to HTML files
1424674_0003.png
forstyrrelser vil have alvorlige økonomiske konsekvenser for Scandlines. Scandlines skal
således opfordre til, at de relevante dele af anlægsarbejdet planlægges i samarbejde med
Scandlines og således, at det stedse vil være til mindst mulig gene for færgedriften og
kunderne. Herunder henstiller Scandlines til, at Femern A/S i videst muligt omfang sikrer, at
driftsforstyrrelser, ikke mindst i højsæsonerne, undgås.
3. Klimapåvirkninger er en af grundpillerne i det politiske rationale for en fast forbindelse.
Scandlines finder at VVM-redegørelsens behandling og fremstilling af fakta er usaglig og
fejlbehæftet. Femern A/S lagde i 2009 til grund, at projektet vil medføre en reduktion på
over 200.000 tons CO
2.
Det tal holder på ingen måde. Således er det ikke korrekt, når det i
VVM-redegørelsen fremføres, at vurderingen af fremtidige færgeemissioner er baseret på en
DTU rapport med nyeste viden om teknologi og lovgivning – der er 1) ikke tale om en
rapport fra DTU, 2) ikke tale om nyeste viden, idet CO
2
datagrundlaget er fra 2003 og 3), det
er antaget at færgerne frem mod 2025 ikke vil opnå bedre brændstofforbrænding. Dette er
urealistisk og må være fremført mod bedre vidende. Scandlines er af den opfattelse, at
politikerne er blevet vildledt på disse områder, og at der er behov for en ny og reel vurdering
af klimaaspekterne ved en fast forbindelse.
4. Hvad angår anlægsøkonomi og rentabilitet, har Scandlines tidligere påpeget overfor
Transportministeriet og Transportudvalget, at antagelser i rentabilitetsanalysen fra 2008
samt trafikestimaterne fra 2003 ikke stemmer overens med de reale forhold. Scandlines står
uforstående overfor, at Femern A/S overfor offentligheden og beslutningstagere vælger at
præsentere materiale, der er baseret på gamle og uholdbare antagelser frem for at foretage en
opdatering til faktiske forhold.
5. VVM rapporten fremhæver flere samfundsøkonomiske fordele ved en fast forbindelse
såsom ”væsentlige tidsbesparelser” og ”langt bedre adgang til Danmarks største
eksportmarkeder”. Scandlines savner en tidssvarende og opdateret vurdering af disse
udsagn. Ifølge Transportministeriets rapport ”Samfundsøkonomisk vurdering af en fast
forbindelse over Femern Bælt” (Cowi 2004) har en fast forbindelse i form af en tunnel kun
en neutral samfundsøkonomisk værdi. Eftersom denne rapport har visse mangler og i øvrigt
er forældet, vil en opdatering af tunnellens værdigrundlag være nødvendig. Tyske eksperter
har ligeledes givet udtryk for, at projektet er baseret på et tvivlsomt cost-benefit-forhold.
6. Scandlines har alene beskæftiget sig med den del af VVM redegørelsen, som Scandlines har
specifik interesse i at vurdere og kommentere. Udover de i punkt 1-5 nævnte
problemstillinger er der et par faktuelle og basale fejl i det læste materiale. Dette
underminerer rapportens integritet.
Scandlines forbeholder sig ex tuto ret til at indlede søgsmål om, men ikke begrænset til,
tilsidesættelse af den almindelige lighedsgrundsætning, hensyn til berettigede forventninger,
proportionalitetsgrundsætningen samt magtfordrejningslæren.
3
PDF to HTML - Convert PDF files to HTML files
1424674_0004.png
1. De planlagte nedgraderede adgangsforhold for hhv. Scandlines’
kunder og for Scandlines til Rødby Færgehavn efter
færdiggørelsen af projektet
Det forekommer Scandlines overraskende og uforståeligt, at Femern vel vidende om,
1. at færgedriften vil fortsætte, og
2. at færgedriften vil blive en direkte konkurrent til Femern A/S’s drift af tunnelen,
allerede under projekteringen stiller forslag om at nedgradere adgangsforholdene til færgehavnen i
Rødby og derved sikrer sit eget kundegrundlag for den faste forbindelse bedst muligt. Femern A/S
indtager en dobbeltrolle dels ved at forestå projekteringen og udarbejdelsen af VVM undersøgelsen
dels ved på sigt at skulle forestå driften af tunnelen i direkte konkurrence med færgedriften. Det er
vigtigt, at Femern A/S er sin dobbeltrolle bevidst og derfor i videst muligt omfang sikrer, at der ved
planlægningen af den faste forbindelse alene tages lovlige og saglige hensyn.
VVM-redegørelsen side 62: ”Med etableringen af kyst – kyst projektet vil den del af den
eksisterende motorvej, som ligger syd for det nye tilslutningsanlæg blive nedlagt som motorvej,
men vejadgangen til Rødbyhavn og havnen opretholdes. Vejdirektoratet er i dag vejbestyrer for
denne del af motorvejen og status herfor forudsættes aftalt mellem Lolland Kommune og
Vejdirektoratet”.
VVM-redegørelsen side 65: figur 4.19 ”Forslag til udføring af tilslutningsanlæg – Lolland”
Scandlines’ kommentarer til VVM-redegørelsens sider 62 og 65
Femern foreslår jf. figur 4.19 etablering af et sløjfeformet anlæg ca. 4 til 5 km før Rødby
Færgehavn på et areal, som permanent erhverves af Femern, og som vil medføre, at:
Nordgående trafik fra Rødby Færgehavn skal først benytte den nuværende motorvej, der
ifølge Lolland Kommune bliver nedgraderet til 80 km/t kommunevej, en normal 2 sporet
landevej (Status på dette stykke nuværende motorvej skal iflg. ovenstående (side 62) aftales
mellem Lolland Kommune og Vejdirektoratet). Dernæst skal trafikken igennem en
rundkørsel, følge sløjfen til højre og til venstre, igennem endnu en rundkørsel for derefter at
benytte tilkørselsvej/rampe til motorvej.
Sydgående trafik mod Rødby Færgehavn skal benytte en frakørselsrampe, følge 90 gr.
højresving og derefter igennem en rundkørsel for slutteligt at benytte den i projektet
nedgraderede motorvej, jf. ovenfor.
Dette er en meget væsentlig forringelse af adgangsvejen til/fra Rødby Færgehavn og dermed
færgeforbindelsen:
4
PDF to HTML - Convert PDF files to HTML files
1424674_0005.png
i forhold til i dag, hvor der er direkte forbindelse fra motorvej sydgående til
betalingsanlægget - og nordgående fra færgehavnen til motorvejen, og
i forhold til den projekterede forbindelse til tunnelen med direkte motorvej til og fra
betalingsanlægget.
Adgangsforholdene for kunderne til Færgeruten bliver meget ringere end adgangsforholdene for
kunderne til tunnelen.
Når den faste forbindelse er i drift, vil Scandlines og Femerns A/S konkurrere mod hinanden med
substituerbare ydelser. Alene af den grund er det stærkt overraskende og et direkte kommercielt
angreb, at Femern A/S foreslår en nedgradering af adgangsforholdene til Rødby Færgehavn.
Tværtimod bør Femern A/S i planlægningsfasen og Folketinget i beslutningsfasen i videst muligt
omfang drage omsorg for, at projekteringen ikke resulterer i, at Scandlines konkurrencemæssigt
svækkes.
Det tidsmæssige aspekt og den enkle, uhindrede adgang er afgørende konkurrenceparametre
i forhold til den ydelse, som Scandlines leverer. En nedgradering af den eksisterende
motorvej og omlægning af tilkørselsforholdene til/fra Rødby Færgehavn vil betyde en mere
besværlig rejse og en længere rejsetid for de bilister, der måtte vælge færgeoverfarten frem
for den faste forbindelse. Her er det navnlig afgørende, at de foreslåede nedgraderede
adgangsforhold ikke er teknisk egnede til at håndtere den mængde tung lastbilstrafik, som
forventes fortsat at skulle anvende vejen til og fra færgehavnen, og at færgetræk vil skabe
køer med risiko for forsinkelse. Femern A/S’s trafikprognose, som danner grundlag for bl.a.
dimensionering af de forskellig anlæg, har helt udeladt at tage højde for, at færgedriften
fortsætter. Femern A/S’s forslag om at nedgradere adgangsforholdene til Rødby Færgehavn
giver således Femern A/S en afgørende konkurrencemæssig fordel efter åbningen af den
faste forbindelse.
Femern A/S og Scandlines skal som fremtidige konkurrenter behandles lige og gives lige
muligheder for at udøve deres virksomhed. Femern A/S skal selvsagt allerede ved
projekteringen af den faste forbindelse sikre, at den almindelige lighedsgrundsætning
overholdes, når adgangsforholdene til henholdsvis den faste forbindelse og til Rødby
Færgehavn planlægges og besluttes.
Det er endvidere relevant at fremhæve, at de nuværende adgangsveje til Rødby Færgehavn blev
anlagt med henblik på servicering af færgeruten i 1963. Det har således altid været en forudsætning
for driften af ruten, at Scandlines’ kunder kunne komme hurtigt og let til Rødby Færgehavn via
motorvejen og via Rødby Færge Station. Herved er der skabt en berettiget forventning hos
Scandlines om, at de nuværende adgangsveje opretholdes, så længe besejlingen af Rødby -
Puttgarden pågår. Den planlagte nedgradering af motorvejen til kommunalvej - inklusiv en, i
forhold til i dag, kompliceret afkørsel fra motorvejen samt nedlæggelse af Rødby Færge Station og
omlægning af passagertogene til tunnelen - vil de facto betyde, at Scandlines bliver væsentligt
5
PDF to HTML - Convert PDF files to HTML files
1424674_0006.png
forhindret i at drive sin virksomhed, idet Scandlines ikke får de adgangsforhold, som driften kræver
og som oprindeligt og nu i 50 år har været forudsat.
Der er ikke i VVM-redegørelsen angivet vægtige, saglige årsager til, hvorfor adgangsforholdene til
Rødby Færgehavn skal nedgraderes, og allerede af den grund må hensynet til Scandlines’
berettigede forventninger som erhvervsdrivende virksomhed føre til, at adgangsforhold svarende til
de nuværende opretholdes, så længe færgedriften fortsætter.
En nedgradering af motorvejen er i øvrigt en unødvendig og disproportional handling, idet det er
muligt at bevare den eksisterende motorvejsstruktur kombineret med de nødvendige udbygninger til
den faste forbindelse. Nedgraderingen af den eksisterende motorvej forudsætter en aktiv handling,
hvilket ikke vil være tilfældet ved en bibeholdelse af den nuværende motorvejsstruktur.
Det er utvivlsomt, at den danske regering ikke sagligt kan tilgodese en konkurrent frem for en
anden. Imidlertid ses det tydeligt af VVM-redegørelsen, at netop dette vil ske, såfremt Femern A/S’
planer gennemføres på basis af Femern A/S’ egne forslag og dermed på bekostning af
1. Scandlines’ berettigede forventninger om en fortsat opretholdelse af adgangsforholdene til
Rødby Færgehavn;
2. Scandlines ret i øvrigt til at have lige adgangsforhold med den konkurrerende faste
forbindelse;
3. princippet om, at alle indgreb skal være proportionale, og
4. at nedgraderingen af adgangsforholdene til Rødby Færgehavn sker uden saglig grund, der
ikke ses at foreligge.
Det er ikke ligelig konkurrence, det er konkurrenceforvridende.
6
PDF to HTML - Convert PDF files to HTML files
1424674_0007.png
2. Byggefasens indflydelse på Scandlines’ drift herunder på
kundernes adgangsforhold samt færgedriftens regularitet og
driftsomkostninger.
Efter gennemgang af VVM-redegørelsen er det Scandlines’ klare vurdering, at der i anlægsfasen vil
være ikke uvæsentlige forstyrrelser af færgedriften som følge af anlægsarbejdet. Efter Scandlines’
vurderinger vil de væsentligste årsager til forstyrrelser hidrøre fra, at:
1. adgangsforholdene til Rødby Færgehavn ombygges (motorvej og tilslutningsanlæg), og
trafikmængden øges betragteligt pga. anlægstrafik med væsentlige, forringede
adgangsforhold til følge
2. Rødby Færge Station nedlægges
3. færgernes sejlrute skal omlægges mod vest for at skabe sikker afstand til anlægsarbejderne i
forbindelse med etablering af tunnelen, og at
4. færgernes afvigemanøvrer vil blive flere og mere komplekse givet øget krydsende
skibstrafik ifm. anlægsarbejdet og indsnævring af sejlruten for store skibe (rute T)
Sådanne forstyrrelser vil have alvorlige økonomiske konsekvenser for Scandlines, herunder vil den
forøgede overfartstid betyde væsentlige forsinkelser med risiko for daglige aflysninger og øgede
omkostninger til brændstof. Desuden vil anlægsarbejderne på land og forsinkelser betyde en
yderligere nedgang af trafikken til færgerne.
Da anlægsarbejdet er planlagt til at foregå henover en årrække, kan Scandlines’ potentielle driftstab
blive meget stort, ikke mindst i højsæsonen. Scandlines skal således opfordre til, at de relevante
anlægsarbejder planlægges i samarbejde med Scandlines og således, at det stedse vil være til mindst
mulig gene for færgedriften og dens kunder. Herunder henstiller Scandlines til, at Femern A/S i
videst muligt omfang sikrer, at driftsforstyrrelser ikke mindst i højsæsonerne undgås.
Der er ikke i VVM redegørelsen redegjort for, hvorledes der sikres en uhindret adgang af høj
standard til Rødby Færgehavn og Rødbyhavn/Rødby under anlægsfasen. På siderne 98 til 100 er
alene redegjort for de mere tekniske tiltag ved selve etableringen, og på side 100, afsnit 4.5.10. er
det anført, at etableringstiden vil være ca. 1,5 år. Især naturligvis i højsæsonen over sommeren, i
vinterferieugerne og ved højtiderne er det altafgørende, at trafikken kan afvikles problemfrit.
Scandlines forventer, at adgangen til Færgehavnen både for køretøjer, landgangspassagerer og for
passagertog fungerer med færrest mulige forhindringer og under speciel hensyntagen til peak
tidspunkter over året og dagen.
VVM-redegørelsen kapitel 3 generelt:
Landgangspassagerer til færgerne kører ad Færgevej og derefter til højre ad
Færgestationsvej. Videre kører mange Scandlines ansatte samme vej. Andre Scandlines
7
PDF to HTML - Convert PDF files to HTML files
1424674_0008.png
ansatte kører ad Færgevej mod øst og drejer derefter til højre ad Gl. Badevej for derefter
straks at dreje til højre. Den sidstnævnte rute anvendes ligeledes af alle leverandører og
håndværkere til Scandlines Færgehavn, færger og ejendomme. Er der taget højde for den
trafik?
Hvad betyder det, at Femern erhverver arealer midlertidigt (markeret med rød stiplet linje)
og permanent (markeret med blå stiplet linje) på siderne 42 og 43?
VVM-redegørelsen side 43: ”De to baner på Færgestationsvej flettes sammen til en bane
umiddelbart før afkørslen til motorvejen”
Hvor mere præcist er det tiltænkt, at nævnte sammenfletning placeres?
VVM-redegørelsen kapitel 4 generelt:
Al belysning, der opsættes i forbindelse med alle anlægsarbejderne, må ikke kunne
forveksles med besejlingslys. Hvorledes vil Femern A/S sikre dette? Scandlines forbeholder
sig ret til at kræve belysning fjernet, hvis den er til gene for sejladsen.
VVM-redegørelsen side 67: ”…hvor den etablerede fælles sti (over broerne) alene vil blive
etableret i forbindelse med anlægsfasen og fjernet efterfølgende”
Hvorfor fjernes fællesstien på broerne efterfølgende?
VVM-redegørelsen side 67: ”Krydset Jøncksvej/Færgevej ombygges, så de to baner, der kommer
fra motorvejsafkørslen, ændres til en bane til højresvingende og ligeud kørende og en bane med
venstresvingende trafik. Derudover signalreguleres krydset. Denne signalregulering samordnes med
krydset Færgevej/Færgestationsvej”.
Dokumentation for, at kapaciteten i ovennævnte kryds er tilstrækkelig til at sikre, at trafik
genereret ifm. anlæg af tunnelprojektet inkl. anlæg af motorvej, tunnelfabrik, jernbane,
produktion af tunnelelementer mm., samt at den nuværende trafik ikke genererer
kødannelser på motorvejen med øget risiko for ulykker og forsinkelser for færgetrafikken til
følge, ønskes fremlagt. Tilsvarende dokumentation bedes fremlagt for krydset
Færgevej/Færgestationsvej.
VVM-redegørelsen side 74: ”Der planlægges med, at den samlede mængde uddybningsmateriale,
som skal håndteres i løbet af anlægsfasen på Lolland udgør ca. 17 mio. m3…”
Hvorledes sikres det i forbindelse med opfyldningen og etableringen af nyt landområde –
som strækker sig ud til molehoveder i den eksisterende havn både vest og øst for molerne –
at der ikke vil forekomme ekstra tilsanding af og/eller tab af materialer i den eksisterende
sejlrende til Rødby Færgehavn og i selve havnen?
8
PDF to HTML - Convert PDF files to HTML files
1424674_0009.png
Hvorledes sikres det, at der ikke efter etableringen af de nye landområder vil forekomme
ekstra tilsanding af den eksisterende sejlrende til Rødby Færgehavn og i selve havnen?
Er det undersøgt, i hvilket omfang bølgerne fra færgerne evt. vil påvirke de nye rekreative
landområder? I den udstrækning, en undersøgelse måtte medføre restriktioner for brugerne
af stranden, kan Scandlines eller andre brugere af færge- og trafikhavnen ikke gøres
ansvarlige, men skal bevare eksisterende ret til at opretholde sejladsen som den er i dag.
Hvorledes bliver opbygningen/overgangen mellem molernes udvendige side og
opfyldningen/ stenkastningen ifm. etableringen af de nye landområder? Hvorledes sikres
det, at molerne ikke ødelægges? Hvorledes skal vedligeholdelsen af molerne foregå, og i
hvilken udstrækning vil Femern A/S afholde disse omkostninger?
VVM-redegørelsen side 104: ”Materialerne til ”låsning” af elementerne, fyld og beskyttelseslag vil
blive sejlet til stedet og vil blive håndteret uden mellemdeponi”
Scandlines forstår, at disse materialer sejles direkte fra leverandørerne til arbejdsstederne.
Hvilken type fartøjer skal anvendes til denne transport?
9
PDF to HTML - Convert PDF files to HTML files
1424674_0010.png
3. Klimapåvirkningen fra den faste forbindelse ifm. etablering og
drift
CO
2
-besparelser er en af grundpillerne i det politiske rationale for en fast forbindelse. Scandlines vil
her henvise til den politiske første behandling af ”L 99, Lov om projektering af fast forbindelse over
Femern Bælt med tilhørende landanlæg”, behandlet 23.1.2009, hvor både daværende trafikminister
og flere trafikordførere fremhæver CO
2
-gevinsten og gentagne gange nævner en årlig CO
2
-
besparelse på over 200.000 tons. Her udtrykkes samtidig, at det fra politisk side er vigtigt at få
belyst klimaeffekterne af den faste forbindelse i en VVM-redegørelse.
(http://www.ft.dk/samling/20081/lovforslag/L99/BEH1/forhandling.htm#dok)
Scandlines vil gerne fremhæve to anker til VVM-redegørelsens behandling af den faste forbindelses
påvirkning af klimaet:
1) Rapportens beskrivelse af miljøgevinster som er usaglig og fejlbehæftet.
2) Rapportens ”0-alternativ” som fuldstændig negligerer muligheden for emissionsfri
færgedrift
Scandlines opfordrer derfor Femern A/S til at få udarbejdet et revideret og retvisende billede af
klimapåvirkningerne. VVM-redegørelsens bidrag er simpelthen fejlbehæftet og utilstrækkeligt.
Scandlines ser frem til en korrektion af disse vurderinger, så loven om en fast forbindelse kan
træffes på et korrekt og retvisende grundlag.
3.1 Usaglig og fejlbehæftet fremstilling af miljøgevinster
VVM-redegørelsen side 6: ”Udover de økonomiske gevinster som følge af kortere transporttid og
regional udvikling, vil Femern Bælt-forbindelsen også bidrage til at nedbringe CO
2
-udledningen fra
transportsektoren sammenlignet med fortsat færgedrift.”
VVM Sammenfattende rapport side 14: ”Beregninger viser, at Femern Bælt-forbindelsen i
sammenligning med en situation uden en fast forbindelse (0-alternativet) vil kunne medføre en årlig
reduktion af CO
2
-udledning på ca. 200.000 tons. Det forudsætter, at færgedriften ophører efter
åbning af Femern-forbindelsen. Hvis færgedriften fortsætter, udgør den årlige CO
2
-besparelse efter
åbning ca. 43.000 t.”
VVM-redegørelsen side 1334: ”Forudsigelser af emissioner fra færger i 2025 er foretaget af
Danmarks Tekniske Universitet baseret på den nyeste viden om teknologi og kommende regulering
(Kristensen, 2010)”
Scandlines’ kommentarer til VVM-redegørelsens side 6 og 1334 samt sammenfattende rapport side
14
Det er ikke i overensstemmelse med sandheden at skrive, at forudsigelserne af emissioner
fra færger i 2025 kommer fra en rapport fra Danmarks Tekniske Universitet. Rapporten er
10
PDF to HTML - Convert PDF files to HTML files
1424674_0011.png
udarbejdet af Hans Otto Holmegaard Kristensen, der som privatperson i denne henseende
agerer konsulent for Cowi, som udarbejder rapporten for Femern A/S. Hans Otto
Holmegaard Kristensen er tilknyttet DTU som adjungeret professor og underviser, men
rapporten har ikke noget med DTU at gøre. (Hans Otto Holmegaard Kristensen er i øvrigt
en kompetent analytiker).
Det er ikke i overensstemmelse med sandheden at skrive, at forudsigelser ”er baseret på den
nyeste viden”. Det fremgår af VVM-rapporten side 1345, at Hans Otto Holmegaard
Kristensens rapport er fra 12-12-2010. Der er altså tale om en knap 3 år gammel rapport. Af
rapporten ”Emission for the ferry routes: 1) Rødby - Puttgarden, 2) Gedser - Rostock and 3)
Trelleborg – Rostock” hvoraf det tydeligt og klart fremgår, at de anvendte data er baseret på
2003-data jvf. side 1 ”Reference for the scenario in 2025, is the transport work done in 2003
by the four double-ender ferries on the route”. Ligeledes fremgår det tydeligt, at det er
forudsat, at de dieselelektriske motorer i færgerne ikke forbedres for så vidt angår forbrug af
olie frem til 2025 jvf. side 2: “For the existing ferries it is assumed that the propulsion
engines (diesel-electric machinery) will remain unchanged with respect to oil consumption
over the rest of the operation period extending beyond 2025”.
Scandlines har tilbage i 2009 haft en positiv dialog med Femern A/S og Cowi om
Scandlines’ færgedrift og har ikke indgivet oplysninger om olieforbrug. Scandlines er
sidenhen ikke blevet kontaktet for at kommentere på VVM baggrundsmaterialet.
Forskellen mellem scenarierne ”fortsat færgedrift” og ”indstillet færgedrift” er på 155.400
ton CO
2
(198.500-43.100 jf. side 1335 VVM-rapporten).
o
Femern A/S bedes redegøre for, hvorledes estimatet på 155.400 ton CO
2
er
fremkommet, da dette ikke fremgår af VVM rapporten. Scandlines kan ikke
genkende tallet. Færgerne (4 PR-97 færger og en farlig-gods færge) udleder hverken
nu eller i fremtiden emissioner, der svarer til 155.400 ton CO
2
. Ligeledes er denne
værdi højere end de tal, der fremgår af Kristensens rapport fra 2010 (som allerede er
baseret på et forældet datagrundlag som nævnt ovenfor).
o
I 2012 udledte Scandlines færger (4 PR-97 og 1 farlig-gods færge) på Rødby-
Puttgarden ca. 95.000 ton CO
2
pr. år.
o
I årene 2013-2014 investerer Scandlines i hybridteknologi, der bringer færgernes
udledning ned på 85.000 ton CO
2
pr. år.
o
En udvikling af hybridteknologi koblet sammen med generelle
effektiviseringsprogrammer giver en forventet CO
2
-udledning på 50.000 ton pr. år i
2025.
o
Yderligere reduktion kan opnås på Rødby-Puttgarden ved omstilling til fossil-fri
drift såsom batterier eller brint, se afsnit 3.2.
For god ordens skyld skal det slås fast, at Scandlines sejler videre også efter åbning af en
fast forbindelse. Hvorvidt reduktionen i udledning af CO
2
på 43.100 tons ved fortsat
færgedrift er korrekt eller ej, kan Scandlines desværre ikke efterprøve, idet der savnes
11
PDF to HTML - Convert PDF files to HTML files
1424674_0012.png
bagvedliggende metoder og data for at kunne fortage en reel vurdering af korrektheden af
VVM-redegørelses tal.
o
Har Femern A/S for eksempel i de nævnte 43.100 ton CO
2
taget højde for, at
køretøjer, der vælger den faste forbindelse, skal køre 18 km længere og derved
medfører en højere CO
2
-udledning end de køretøjer, der står stille på færgen under
overfarten?
o
Har Femern A/S i scenariet med indstillet færgedrift taget højde for, at farligt-gods
fragt med lastbiler kun i begrænset omfang kan benytte tunnelen, og at en del af
denne trafik skal omkring Fyn og Jylland såfremt færgedriften blev indstillet?
Som nævnt ovenfor er klima en grundpille i det politiske rationale for en fast forbindelse.
Alligevel tager Femern A/S udgangspunkt i data fra 2003 og en antagelse om, at der i 22 år
ingen brændstofforbedringer vil være for færgerne. Ligeledes kalder VVM-redegørelsen
helt fejlagtigt dette en ”DTU rapport” og ”nyeste viden”. Scandlines forstår ikke, at Femern
A/S har undladt at få opdateret denne rapport i betragtning af den politiske fokus på emnet
og i betragtning af, at Femern A/S i høj grad baserer klimaforbedringer på færgernes
emissioner. Igen kan Scandlines kun opfordre til, at dette emne får en uvildig og saglig
behandling, så en anlægslov kan fremføres på et retvisende grundlag og ikke på baggrund af
fejlagtige antagelser.
Sammenfattende rapport, side 172: ”Projektet vil i anlægsfasen give anledning til en midlertidig
øget udledning af drivhusgasser i lokalområdet, men i driftsfasen vil projektet medføre en væsentlig
årlig besparelse i udledning af drivhusgasser.”
VVM-redegørelsen side 1333: ”Drivhusgasemissioner fra de vigtigste byggematerialer er blevet
beregnet ud fra oplysninger om mængde og oprindelse af byggematerialer anslået af
designgrupperne samt emissionsfaktorer for de primære byggematerialer.”
VVM-redegørelsen side 1334: ”Anlæg af en sænketunnel vil resultere i emissioner på ca. 2,0 mio. t
CO
2
-ækvivalenter over hele anlægsfasen.”
Scandlines’ kommentarer til Sammenfattende rapport side 172 og VVM-redegørelsen side 1333 og
1334
Scandlines finder VVM-redegørelsens fremstilling af klimafordelene stærkt misvisende.
Femern A/S undlader således i de indledende konklusioner at inkludere den massive CO
2
-
forurening, som etablering af en fast forbindelse vil medføre, og behandler først dette i
kapitel 19, side 1334 i VVM-redegørelsen og i kapitel 18, side 172 i den sammenfattede
rapport. Scandlines finder det useriøst og udtryk for dårlig informationsskik at gemme så
relevant information langt inde i rapporterne.
Yderligere kan der sættes spørgsmålstegn ved de estimerede 2 millioner ton CO
2
ved
etablering af den faste forbindelse. Scandlines bad i 2011 det rådgivende ingeniørfirma
12
PDF to HTML - Convert PDF files to HTML files
1424674_0013.png
Grontmij om at udarbejde en carbon footprint evaluering af etableringen af den faste
forbindelse. Baggrunden for denne rapport var netop, at Scandlines savnede en retvisende
forståelse af miljøkonsekvenserne ved en fast forbindelse. Grontmij estimerede et CO
2
-
footprint på ca. 3 millioner ton CO
2
for etablering af en tunnel – dette estimat er ca. 50
procent højere end den mængde, der er anført i VVM-redegørelsen. Især Femern A/S’
estimat af CO
2
-emissioner fra beton synes lavt. Derfor følgende spørgsmål til Femern A/S:
o
Hvem er ”Designgrupperne” jf. side 1333 i VVM-redegørelsen? Hvilken CO
2
-
ækvivalent er anvendt i kg per m
3
beton? Hvorledes påregnes det at opnå denne lave
ækvivalent ved produktion af beton til sub-marine forhold?
o
Der findes en række anlægsopgaver, som går ud over denne VVM-redegørelse, men
som nødvendigvis må udføres, hvis en fast Femern forbindelse skal fungere efter
hensigten. Her kan nævnes anlægsarbejder som motorveje, elektrificering af
jernbanen, dobbelt jernbanespor, Storstrømsbro (med godstogskapacitet) og
tilsvarende hinterland aktiviteter på tysk side. Er alle disse anlægsopgaver inddraget
i VVM-redegørelsens evaluering af CO
2
ved etablering?
o
Etableringen af tunnelen vil påvirke færgernes sejlrute og tvinge færgerne ud i en
længere sejltur med øget brændstofforbrug som resultat. Er dette og et øget antal
afvigemanøvrer inkluderet i skønnet på 2,0 millioner ton CO
2
?
o
Cowi baggrundsrapporten ”Det danske tilslutnings- og rampeanlæg for en fast
Femern Bælt-forbindelse. Miljøvurdering” fra juni 2013 indeholder et ”CO
2
-bidrag
anlægsfase” for en sænketunnel på 2.800.000 tons jf. tabel 11.58 side 415. Hvordan
passer dette estimat sammen med det ellers nævnte 2,0 millioner tons estimat fra
VVM-redegørelsen?
Hvis der
på trods af fejl
i datagrundlaget tages udgangspunkt i redegørelsens egne tal (tabel
19.4 side 1335), så vil den årlige CO
2
-besparelse, som en tunnel medfører, først
akkumuleret modsvare CO
2
udledningen ved anlæg af tunnellen efter 45 til 53 år (afhængig
af hvordan tabellen tolkes på side 1335. Se beregning nedenfor). Det vil sige, at tunnellens
CO
2
-udledninger ved etablering først er ”tilbagebetalt” i år 2067 eller 2075. Over en så lang
periode vil trafiksektoren udvikle sig i en sådan grad, at det er utopi at tro på, at tunnellens
CO
2
nogensinde bliver tilbagebetalt. Derved er den politiske grundpille om positiv
klimapåvirkning jf. Transportministerens og Transport-ordførernes taler i 2009 ikke længere
til stede.
o
Beregning af tilbagebetaling af CO
2
(afhængigt af hvordan tabel 19.4 side 1335
tolkes):
(1.977.254/43.100)= 45,9 år
13
PDF to HTML - Convert PDF files to HTML files
1424674_0014.png
(1.977.254/(43.100-5.900))= 53,2 år
3.2 ”0-alternativ” med mulighed for emissionsfri færgedrift savnes
VVM Sammenfattende rapport side 14: ”Beregninger viser, at Femern Bælt-forbindelsen i
sammenligning med en situation uden en fast forbindelse (0-alternativet) vil kunne medføre en årlig
reduktion af CO
2
-udledning på ca. 200.000 ton. Det forudsætter, at færgedriften ophører efter
åbning af Femern-forbindelsen. Hvis færgedriften fortsætter, udgør den årlige CO
2
-besparelse efter
åbning ca. 43.000 t.”
VVM-redegørelsen, side 1332: ”De beregnede drivhusgasemissioner fra Femern Bælt-forbindelsen
sættes i forhold til emissionerne i et 0-alternativ og i forhold til Danmarks samlede emissioner.”
Scandlines kommentarer til Sammenfattende rapport side 14, VVM-redegørelsens side 1332 samt
0-alternativ scenariet generelt
De i VVM-redegørelsen nævnte CO
2
-besparelser ses i forhold til ”0-alternativet”, som
Femern A/S har kaldt Scenariet med fortsat færgedrift uden etablering af en fast forbindelse.
Femern A/S’ ”0-alternativ” er desværre forkert dels på grund af de i afsnit 3.1 nævnte fejl,
og dels fordi der ikke er taget højde for muligheden for emissionsfri færgedrift. Som det
tidligere er fremlagt for Transportministeren, øvrige politikere, medier og maritime kredse
vil fremtidens færger på Rødby-Puttgarden i et ”0-alternativ” kunne være emissionsneutrale.
o
Det emissionsneutrale færgekoncept er baseret på en brint/batteri eller en ren batteri-
løsning med nat-strøm genereret fra vindmøller. Scandlines har udviklet dette
koncept i samarbejde med det anerkendte Germanischer Lloyds ”Futureship”-
afdeling.
o
Scandlines arbejder allerede i dag med batteridrift og er i gang med at teste verdens
første stor-skala hybridfærge på Rødby-Puttgarden på en færge i drift. Scandlines ser
frem til at introducere dette koncept til fulde overfor kunder og medier så snart tests
er overstået. Som det første danske rederi står Scandlines til at opnå EU Pilot Action
støtte på dette innovative projekt.
Scandlines og Germanischer Lloyd stiller sig gerne til rådighed for Transportministeriet og
deres rådgivere for at belyse koncepterne yderligere, så VVM-redegørelsen kan baseres på
”nyeste viden og teknologi” (VVM side 1334) samt give et opdateret perspektiv på, hvor
teknologien er på vej hen.
Scandlines mener, at VVM-redegørelsen skal behandle det reelle ”0-alternativ”-scenarie og
CO
2
-potentialet i emissionsfri færgedrift, hvor Scandlines i samarbejde med danske og tyske
virksomheder forcerer grøn teknologi og knowhow i en større skala end hidtil set og til
fremtidig udnyttelse i færgeindustrien generelt.
14
PDF to HTML - Convert PDF files to HTML files
1424674_0015.png
4. Projektets anlægsøkonomi og rentabilitet
Scandlines skal kun kort behandle anlægsøkonomi og rentabilitet i dette høringsdokument, eftersom
Scandlines tilbage i 2012 og begyndelsen af 2013 har anført kommentarer til Femern A/S
rentabilitetsanalyse overfor Transportministeren og Transportudvalget (Se vedhæftet appendiks
”Kommentarer til Femern A/S rentabilitetsanalyse ”). Scandlines mener, at Femern A/S
overvurderer trafikmængder og priser samt fejlagtigt antager, at Scandlines indstiller færgedrift.
VVM-redegørelsen, side 218: ”Med et forsigtigt trafikskøn (kapitel 3 Trafik og trafiksikkerhed),
forsigtige forudsætninger om en TEN-T-støtte på 10 pct. af anlægsomkostningerne og en realrente
på 3,5 pct. p.a., vil kyst-kyst projekter være tilbagebetalt efter 39 år (inkl. Landanlæg).”
Scandlines’ kommentarer til VVM-redegørelsen side 218
Scandlines forstår ikke, hvorfor Femern A/S vælger at gentage data fra rentabilitetsanalysen
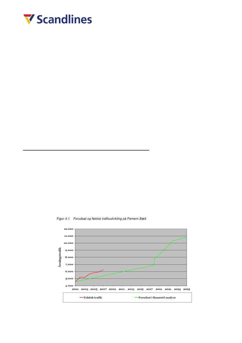
2008 vel vidende, at disse data ikke er tidssvarende. Således planlægger
Transportministeriet at få opdateret rentabilitetsanalysen i forbindelse med fremsættelsen af
anlægsloven for den faste forbindelse. Frem for at gentage og fastholde 2008 estimaterne var
det på sin plads at opdatere analysen eller, som det mindste, at varsle en ny
rentabilitetsanalyse overfor læsere af VVM-redegørelsen – herunder beslutningstagerne.
Femern A/S har i deres 2008 rentabilitetsanalyse taget udgangspunkt i en
trafikudviklingsmodel fra 2002/2003. I 2012 lå det faktiske trafikniveau 11 procent under
2002/2003 modellens forventede niveau for 2012. Mener Femern A/S, at der er tale om et
”forsigtigt trafikskøn” når trafikprognose for 2012 reelt ligger 11 procent under det faktisk
realiserede trafikniveau i 2012?
15
PDF to HTML - Convert PDF files to HTML files
1424674_0016.png
5. Generelle kommentarer til samfundsøkonomiske aspekter, der
fremhæves i VVM-redegørelsen
VVM-redegørelsen omhandler primært miljøaspekterne ved etablering af en fast forbindelse som
oplæg til beslutningen om den faste forbindelse. Men eftersom Femern A/S har valgt at inddrage
samfundsøkonomiske aspekter i VVM rapporten, har Scandlines valgt ligeledes at kommentere på
dette.
Helt generelt savner Scandlines en tidssvarende vurdering af værdigrundlaget for en fast
forbindelse. Således fik Transportministeriet i marts 2004 udarbejdet ”Samfundsøkonomisk
vurdering af en fast forbindelse over Femern Bælt” af Cowi. Her vil Scandlines gerne fremhæve
hovedkonklusionen side 3: ” En skråstagsbro med 4 vejspor og 2 jernbanespor over Femern Bælt vil
med stor sandsynlighed give en samfundsøkonomisk nettogevinst for Danmark målt i forhold til
fortsat færgedrift. En sænketunnel med samme kapacitet vil sandsynligvis ikke give en
samfundsøkonomisk nettogevinst for Danmark.” Generelt er der lagt en del gode tanker i Cowi-
rapporten. Scandlines har dog et par væsentlige elementer, som rapporten ikke synes at tage højde
for 1) neutral til negativ miljøgevinst, 2) der er kun marginal tidsgevinst, hvis køre/hviletid og
pausebehov inddrages, 3) den høje andel af kunder, der alene krydser Femern for at handle
grænsevarer, 4) fortsat færgedrift, 5) billetindtægter savner en opdatering til de trafikvolumener, vi
ser i dag og 6) en samfundsøkonomisk evaluering af det klimaneutrale færgealternativ.
I Tyskland er der ligeledes stillet spørgsmål ved den samfundsøkonomiske gevinst ved en fast
forbindelse. I 2009 afholdt den Tyske Forbundsdags Udvalg for Trafik, Byggeri og Byudvikling en
4 timer lang høring i forbindelse med afstemning om en lov vedrørende den faste forbindelse. Her
udtrykte forskellige tyske eksperter tvivl om projektets trafikpolitiske betydning med henvisning til
et cost-benefit-forhold, der på ingen måde retfærdiggør et projekt af denne størrelsesorden.
Figur 5.1 illustrer ligeledes forholdet mellem Femern projektet og tidligere anlægsprojekter.
Togtrafik er ikke illustreret i figuren, men denne trafik udgør også kun 1/5 af indtægtsgrundlaget for
projektet.
16
PDF to HTML - Convert PDF files to HTML files
1424674_0017.png
Figur 5.1 Forholdet mellem antal køretøjer og etableringsomkostninger for Femern fast forbindelse,
Øresundsbroen og Storebælt
Trafikmængde, antal køretøjer i mio.
15
12
Storebæltsbroen 2010
9
Øresundsbroen 2010
6
Femern fast forbindelse 2030
(Femern A/S estimat incl.
trafikspring)
3
0
20
30
40
50
Etableringsomkostninger, mia. kr. 2008 priser
Som en generel kommentar vil Scandlines derfor gerne fremføre, at Cowi’s rapport fra 2004 bør
revideres, opdateres og fremlægges som en del af beslutningsgrundlaget for anlægslov om fast
forbindelse under Femern Bælt. Ligeledes vil det være relevant, at en sådan rapport i sin fulde
længde oversættes og deles med EU og Tyskland for at understøtte deres relevante
beslutningsprocesser.
Nedenfor anføres Scandlines’ direkte kommentarer og spørgsmål til det værdigrundlag, som nævnes
i VVM-redegørelsen:
VVM-redegørelsen side 5: ”…en Femern Bælt-forbindelse vil medføre større fleksibilitet og
væsentlige tidsbesparelser både for personer og gods.”
Hvad menes med ”væsentlige tidsbesparelser”, og hvem vil nyde godt af disse
tidsbesparelser? Scandlines savner dokumentation baseret på korridorens faktiske og
væsentligste kundesegmenter (ferierejsende, lastbiler, grænsehandlende, togpassagerer) og i
forhold til segmenternes total-rejsetid samt lovgivningsmæssige begrænsninger.
Det er klart, at tidsbesparelseseffekten af en fast forbindelse overdrives, og Femern A/S bør
udfærdige en ordentlig og grundig redegørelse. Der er en tidsbesparelse ved en fast
forbindelse, men at fremhæve denne som værende ”væsentlig” synes useriøst for
hovedparten af rejsende på korridoren. Nedenfor gennemgås kort Scandlines’ input til
vurdering af tidsbesparelser for de forskellige kundegrupper. Disse eksempler skal ikke ses
som en komplet analyse af tidsbesparelser, men snarere som eksempler på, hvilke aspekter
en vurdering bør medtage. Det er interessant at bemærke, at det primært er
17
PDF to HTML - Convert PDF files to HTML files
1424674_0018.png
grænsehandelskunder, der vil få en væsentlig tidsbesparelse af en fast forbindelse, såfremt
grænsehandleren vælger at anvende den faste forbindelse.
Lastbiler
o
Jf. Bekendtgørelse om køre- og hviletidsbestemmelserne i vejtransport Kapitel II,
Artikel 7: ”Efter en kørselsperiode på fire og en halv time skal føreren holde en
sammenhængende pause på mindst 45 minutter”.
o
Scandlines færgeoverfart matcher præcist 45 minutters køre/hviletids-pause og
lastbilkunder udnytter derved effektivt færgeoverfarten som hviletid. Ligeledes
benyttes havneområdet før og efter færgeoverfarten til længere lovbestemte
hvil/ophold. Med en fast forbindelse vil krydsning af Femern Bælt naturligvis være
hurtigere, og der spares ventetid i havnen, men til gengæld skal der nødvendigvis
holdes et 45 minutters hvil andetsteds på turen. Jf. nedenstående tabel svarer
tidsbesparelsen til 3 minutter, såfremt lastbilen fuldt udnytter hviletid på færgen.
I denne forbindelse er det også relevant at spørge om der er afsat plads på
rastepladser til den store volumen af lastbiler, der påregnes og som skal
overholde køre/hviletid i deres transit gennem Danmark?
Tabel 5.1 Sammenligning af tidsbesparelse
mellem færge og tunnel for lastbiler
Sammenligning af lastbils tidsforbrug ved
udnyttelse af køre/hviletid på færge
15 min
45 min
60 min
0 min
12 min
45 min
57 min
3 min
Med færge
Ventetid i havn (gens.)
Overfart inklusive hviletid
Total
Via tunnel
Ventetid billetterminal
Køretid 18km
Efterfølgende hviletid
Total
Tidsbesparelse
o
En alternativ måde at anskue tidsbesparelser på er i forhold til den totale rejsetid.
Således vil en lastbil med 1 døgns transporttid spare 0-3 procent tid (3-47min) ved at
benytte en fast forbindelse afhængigt af, om der kan drages nytte af færgens
køre/hviletid eller ej. Se i øvrigt yderligere analyse nedenfor under ferierejsende. En
tidsbesparelse på 0-3 procent kan ikke betegnes som ”væsentlig”, snarere marginal.
o
5 procent af lastbiler, som transporteres med Scandlines, er i ”farligt gods”
kategorien, og Scandlines har en dedikeret farligt-gods færge på Rødby-Puttgarden
18
PDF to HTML - Convert PDF files to HTML files
1424674_0019.png
overfarten. Ser man på regler for Øresundsbroen og dennes tunnel, så er visse farligt-
gods kategorier helt afskåret fra at benytte forbindelsen, og visse farligt-gods
kategorier er afskåret fra at bruge forbindelsen i timerne 0600-2300. Hvilke
restriktioner kommer til at gælde for en 18 km lang Femern-tunnel? Og såfremt
færgedrift blev indstillet (igen er dette ikke tilfældet), hvor stor en tidsforøgelse vil
der så være tale om for farligt-gods lastbil segmentet, givet at lastbiler enten kun kan
benytte tunnellen i et vist tidsrum eller skal omdirigeres til Fyn/Jylland-korridoren?
Ferierejsende
o
Hovedparten af bilvolumen på Femern Bælt er ferierejsende fra Danmark, Sverige
og Tyskland med destinationer som Italien, Tyskland og Frankrig (danskere og
svenskere) og Skandinavien (tyskere).
o
Ligesom for lastbiler udnyttes færgeturen af ferierejsende som en pause på den lange
rejse, om end denne ikke er lovbestemt. Således udnytter en stor andel af vores
kunder færgeturen til toiletbesøg, at strække ben, handle i vores Travel Shop og til at
få noget at spise.
o
Som det fremgår af tabel 5.2 nedenfor, vil en ferierejsende fra København til Milano
spare 2-5 procent rejsetid afhængig af, om man anser færgeoverfarten som en pause
eller som spildtid. Google maps’ rejseplanlægger ligger til grund for analysen, og det
er antaget, at der holdes 60 minutters pause på turen til tankning, toilet og
spisepause. En tidsbesparelse på 1-5 procent kan ikke betegnes som ”væsentlig”,
snarere marginal.
Tabel 5.2: Sammenligning af tidsbesparelse mellem
færge og tunnel for ferierejsende København-Milano
KM
Ikke drager nytte af
pause på færge
Drager nytte af pause
på færge
Med færge
København - Rødby
Ventetid i havn (gens.)
Overfart / pause
Puttgarden - Milano
Pauser undervejs
Total
Via tunnel
København - Rødby
Tunnel
Puttgarden - Milano
Pauser undervejs
Total
Tidsbesparelse i procent
160
1255
1t 35min
15 min
45 min
11t 39min
60min
15t 14min
160
18
1255
1t 35min
10 min
11t 39min
60min
14t 24min
5%
1t 35min
10 min
11t 39min
60min + 45min
15t 9min
1%
o
På en kortere tur som København-Hamborg tager køreturen via en Femern-tunnel
cirka 3 timer og 23minutter, når der ikke tages højde for trafik, og når der ikke
19
PDF to HTML - Convert PDF files to HTML files
1424674_0020.png
holdes pauser undervejs. I så fald er man i gennemsnit 50 minutter hurtigere fremme
end med færgen svarende til en tidsbesparelse på 25 procent. Holder man på turen
via Femern-tunnellen en pause på 20 minutter undervejs, er tidsbesparelsen kun 13
procent. Antager man i tillæg til 20 minutters pause også 20 minutters forsinkelse på
begge ture (færge og tunnel) på grund af trafik (relevant i og omkring både
København og Hamburg), er vi på 12 procent i sparet tid i forhold til færgen. Om 12-
13 procent sparet tid kan betegnes som ”væsentlig” er diskutabelt.
Grænsehandlende
o
Danske og svenske grænsehandlende udgør i dag 35 procent af den totale biltrafik
over Femern Bælt (denne andel er i øvrigt stigende).
o
Givet at den totale rejsetid for en grænsehandlende er væsentlig kortere end for den
ferierejsende, vil tidsbesparelsen for dette kundesegment være væsentlig. I
nedenstående tabel 5.3 ses et eksempel på en grænsehandlende fra København, der
kan spare over 30 procent i transporttid – Scandlines er enig i, at dette må betegnes
som en væsentlig besparelse.
o
Det er Scandlines’ erfaring, at det grænsehandlende kundesegmentet er stærkt
prisfølsomt. Derfor vil en fast forbindelse, for at kunne tiltrække dette
kundesegment, være nødsaget til at tilbyde en shoppingbillet til 300 kr. t/r i 2013
priser. Ud fra Femern A/S’ rentabilitetsanalyse kan Scandlines se, at der ikke synes
at være taget højde for en sådan billettype/pris. Således kan det ud fra informationer
fra Femern A/S’ rentabilitetsanalyse og hjemmeside beregnes, at en tur i gennemsnit
antages at koste mellem 560 og 600 kr. i 2022 én vej dvs. gennemsnitligt 1.120-
1.200 kr. for en returbillet. Planlægger Femern A/S at tilbyde en shopping billet for
at tiltrække grænsehandlere? Og er der taget højde for dette store kundesegment i
rentabilitetsanalysen?
o
Såfremt Femern A/S ikke ønsker at tilbyde en billig shopping billet på den faste
forbindelse, må det derfor antages, at ovenstående tidsbesparelse for den
københavnske grænsehandels-kunde ikke eksisterer, og at en sådan kunde fortsat
primært vil vælge færgen.
20
PDF to HTML - Convert PDF files to HTML files
1424674_0021.png
Tabel 5.3: Sammenligning af tidsbesparelse mellem færge
og tunnel for grænsehandlende København-Puttgarden
KM
160
Tid
1t 35min
15 min
45 min
2t 35min
Med færge
København - Rødby
Ventetid i havn (gens.)
Overfart
Total
Via tunnel
København - Rødby
Tunnel
Total
Tidsbesparelse i procent
160
18
1t 35min
10 min
1t 45min
32%
Passagertog
o
I dag tager en tur mellem København H og Hamborg 4 timer og 32 minutter med
passagertog. En tunnel vil bidrage med lige under en times besparelse, hvilket må
betegnes som væsentligt. Yderligere mulige tidsbesparelser skal komme fra en
opgraderet infrastruktur til/fra Rødby-Puttgarden.
o
Det bør i øvrigt her nævnes, at togpassagerer i dag kun udgør 6 procent af det totale
passagergrundlag på Rødby-Puttgarden-overfarten. Der er således tale om en
besparelse for en kun lille andel af rejsende i dag.
Godstog
o
Jernbanegodstrafikken bliver især fremhævet som et område, en fast forbindelse vil
styrke. Her er Scandlines erfaring alene begrænset til godstog over Rostock-
Trelleborg. Scandlines har følgende spørgsmål:
Hvor konkurrencedygtig vil jernbanegods være i 2025 i forhold til traditionel
fragt med lastbil, både hvad angår pris og tid?
Hvis man ser på tidsbesparelsen, en fast forbindelse bidrager med, i forhold
til den totale rejsetid på primære trans-europæiske godstogsstrækninger i
2025, hvor stor en tidsbesparelse vil en fast forbindelse og sjællandsk
godstogskorridor resultere i?
Norske og svenske organisationer arbejder hen mod en Rostock-Trelleborg
godstogstunnel. Såfremt en sådan tunnel bliver en realitet, hvordan vil det så
påvirke Femern-forbindelsens rentabilitetsanalyse?
VVM-rapporten side 5: ”Samlet vil Femern Bælt-forbindelsen betyde langt bedre adgang til
Danmarks største eksportmarkeder”
21
PDF to HTML - Convert PDF files to HTML files
1424674_0022.png
Igen savnes det basale grundlag for de påstande, Femern A/S kommer med og Femern A/S’s
ordvalg ”langt bedre adgang”.
o
Allerede i dag eksisterer en fast forbindelse mellem Sjælland og Tyskland via Fyn og
Jylland. For biler og lastbiler er ruten via Fyn/Jylland 137 km længere end via
Rødby-Puttgarden.
o
Scandlines tilbyder med sine cirka 34.000 afgange årligt en effektiv afvikling af
nuværende og fremtidige trafikmængder over hele året og i døgndrift.
o
I forhold til faste forbindelser som Øresundsbroen og Storebælt er færgedriften langt
mere stabil i drift. Scandlines skal således mere end 10 år tilbage for at finde et
driftsstop på Rødby-Puttgarden korridoren. Det skyldtes den store redundans, der er
bygget ind i færgerne og ruten. Omvendt oplever faste forbindelser jævnligt uventet
driftsstop eller nedsat kapacitet i forbindelse med ulykker.
o
En fast forbindelse bliver ikke et billigere alternativ for lastbiler og personbiler.
Femern A/S’ tager i sine økonomiske analyser udgangspunkt i færgernes priser i dag,
tillagt inflation. I øvrigt bør det her nævnes, at Femern A/S’ fremskrevne priser for
biler og lastbiler overgår Scandlines’ prisniveau med 15-40 procent afhængig af
køretøj. (se appendiks)
22
PDF to HTML - Convert PDF files to HTML files
1424674_0023.png
6. Faktuelle fejl i rapporten
VVM-rapporten side 29: ”I det tilfælde at Femern Bælt-forbindelsen ikke etableres (0-alternativ),
forventes otte passagertog og nul godstog over Femern Bælt pr. dag i 2025.” Samme datapunkt
gentages blandt andet også i tabel 3.1 side 29 samt i den sammenfattede rapport på side 10.
Eftersom der i dag overføres op til 12 passagertog i døgnet (afhængig af sæson), må det
antages, at de i rapporten nævnte otte tog per dag er en fejl. I 2012 overførte Scandlines
således 3.476 tog svarende til 9,5 tog i døgnet.
Det kan undre, at der ikke er antaget en vækst i antal tog i døgnet for ”0-alternativet” frem
til 2025.
Sammenfattende rapport side 117: ”Færgetrafikken mellem Rødbyhavn-Puttgarden tager
udgangspunkt i 2011-tal, med en årsbasis på ca. 38.000 overfarter”.
Scandlines havde 33.872 overfarter på Rødby-Puttgarden i 2011. Rapportens nævnte 38.000
overfarter er forkert.
Sammenfattende rapport side 173: ”Beregninger viser, at projektet i anlægsfasen vil resultere i
udledninger på ca. 1,8 mio. t. CO2.”
På side 172 tabel 18.1 i samme dokument fremgår det, at anlægsfasen vil resultere i
1.977.254 ton CO
2
altså 2,0 millioner tons CO
2
. Dette fremgår ligeledes af VVM rapporten
side 1334. Derfor må formuleringen på side 173 betragtes som forkert.
23
PDF to HTML - Convert PDF files to HTML files
1424674_0024.png
APPENDIKS: Kommentarer til Femern A/S rentabilitetsanalyse (2012)
Vi har kun kort vurderet Femern A/S rentabilitetsberegninger og ønsker her at fremhæve et par af
de efter vores overbevisning grundlæggende fejlskøn i beregningerne. Vi forholder os alene til de
skøn, Femern A/S har omkring trafikmængder og billetpriser. Etableringsomkostninger og
efterfølgende driftsomkostninger er vi ikke de rette til at efterprøve. Vi kan dog konstatere, at
hinterland investeringsbehov siden 2008 er steget voldsomt på begge sider af bæltet.
Generelt ville det være godt at forstå, hvor sensitiv Femern A/S’s rentabilitetsanalyse er overfor, at
antagelser ikke indfries – hvor robust er casen og hvor lidt/meget skal der til, før projektet lider
rentedøden og derved ikke er brugerbetalt? Indtræffer det ved 10% lavere indtægter, 20% eller
30%?
Sekundært kunne det være særdeles relevant at forstå, om Femern A/S forventer skattemæssige
underskud, behov for yderligere egenkapitalindskud, og om man planlægger sambeskatning med
Storebælt – som det er gældende for Øresundsbroen?
Volumen tilvækst antagelser indtil åbning af fast forbindelse
Femern A/S oplyser i Finansiel analyse 2008
o
”De forventede indtægter for kyst til kyst-forbindelsen er beregnet på baggrund af
trafik prognoser udarbejdet af FTC (Fehmarnbelt Traffic Consortium) og
offentliggjort i rapporten ”Fehmarn Belt Forecast 2002, Final Report, April 2003”.”
o
”Trafikprognosen er udarbejdet med udgangspunkt i en åbning af den faste
forbindelse over Femern Bælt i 2015. Det er således ikke sammenfladende med det i
henhold til den politiske aftale af 29. juni 2007 aftalte og i denne analyse forudsatte
åbningsår 2018. I perioden fra 2015 til 2018 er der forudsat en årlig trafikvækst på
1,7% svarende til de forudsatte trafikvækst efter åbning af den faste forbindelse.”
o
Grafik fra rapporten:
24
PDF to HTML - Convert PDF files to HTML files
1424674_0025.png
Femern A/S hjemmeside pr. 16/7 2012-07-16 - Trafikprognose
o
”For tiden frem til åbning af den faste forbindelse forudser prognosen en årlig vækst
på 2,3 pct. i færgetrafikken.”
o
2010 antal køretøjer pr. dag: 5.460
o
2020 antal køretøjer pr. dag: 8.000. Prognosen er for trafikken de første 12 måneder
efter planlagt åbning
Scandlines kommentarer
o
Vi savner en klar fremstilling af de årlige forventede volumener på Rødby-
Puttgarden frem til 2021 – med gentagende udskydelse af planlagt åbning af
forbindelsen er det for os uklart, præcist hvad Femern A/S forventer
o
Femern A/S’ skøn savner en opdatering til de volumener, vi ser i dag. Således er
det forudsat i ”Finansiel analyse 2008” (som er baseret på en rapport fra 2003)
at vi i 2011 har en volumen på 5.900-6.000 køretøjer i døgnet (se Femern A/S’
figur ovenfor). Det faktiske tal for 2011 er 5.368 køretøjer i døgnet. Femern
A/S’ forudsætning ligger derved 9-11% over faktisk niveau i 2011.
2012
trafikmængden er i øvrigt på niveau med 2011, hvilket vil øge forskellen mellem
Femern A/S’ forudsatte og rutens faktiske niveau
o
Derudover har vi bemærket, at Femern A/S ikke har medtaget
følsomhedsberegninger på volumener for biler, lastbiler og busser. Man har kun
lavet en følsomhedsberegning på jernbaneindtægter. Eftersom jernbaneindtægter kun
svarer til 19% af de forventede indtægter, finder vi det besynderligt, at man ikke
også inddrager følsomhedsanalyse på de resterende 81%.
Vi ser betydelige risici,
der advokerer for en seriøs følsomhedsanalyse
Grænsehandel i Tyskland bliver mindre attraktivt
– 35% af vores billetter
solgt i dag er 1-dags og shopping relateret. I 2020 forventer vi, at dette tal er
40-50%. Givet et fortsat politisk fokus på at gøre grænsehandel mindre
interessant, kan en fast forbindelse godt risikere at mangle 40-50% af den
forventede biltrafik mængde i 2021.
Har Femern A/S udarbejdet en
sensitivitetsanalyse på konsekvensen af dette?
Scandlines forventer at nå en kapacitetsgrænse omkring året 2017.
Med
en forventning om en fast forbindelse i 2022 vil Scandlines formentlig ikke
investere i en kapacitetsudvidelse
Fremtidig kannibalisering fra Gedser-Rostock ruten.
Scandlines forventer
at indsætte nye færger i 2015 med dobbelt så stor kapacitet som i dag. Vi har
indtil nu især i sommermånederne været nødsaget til at sende primært fragt-
og buskunder, som ellers gerne har villet over Gedser-Rostock (den central
europæiske korridor), til Rødby-Puttgarden, Disse kunder vil fremover få
plads på Gedser-Rostock. Samtidig ved vi, at op mod 20% af vores bilkunder
på Rødby-Puttgarden burde tage Gedser-Rostock, når man ser på, hvad deres
slutdestination er. Vi har derfor i 2012 påbegyndt en kampagne, der skal gøre
25
PDF to HTML - Convert PDF files to HTML files
1424674_0026.png
vores kunder opmærksomme på dette. Det er vores vurdering, at minimum
10% af det nuværende Rødby-Puttgarden volumen vil kunne flyttes til
Gedser-Rostock. En etablering af en fast forbindelse vil flytte nogle af disse
kunder retur til Rødby-Puttgarden, dog ikke alle og især ikke busser og fragt.
Volumen ”ramp-up” ved åbning af fast forbindelse og efterfølgende vækst
Femern A/S oplyser i Finansiel analyse 2008
o
”Af forsigtighedshensyn er det endvidere i denne analyse forudsat, at der vil være en
4-årig indtrængningsperiode på vejtrafikken – en såkaldt ”ramp-up” periode. Det er
således først 4 år efter åbning af kyst til kyst-forbindelsen, at trafikken forventes at
nå det prognosticerede niveau … Beregningsteknisk er det således forudsat, at
trafikken i årene 2018-21 er henholdsvis 20%, 15%, 10% og 5% lavere end det, der
kan forventes …”
o
”Da der i denne analyse af forsigtighedshensyn er forudsat en ”ramp-up” periode på
4 år, forudsættes trafikken at stige 7-8% om året i de første 5 år efter forbindelsens
åbning. Et lignende mønster i trafikudvikling har kunnet iagttages efter åbningen af
Øresundsbroen, hvor der de seneste år har været en årlig stigning på 10-20%”
o
”Endvidere forudsættes det, at den fremtidige trafikvækst for perioden 2018-43 (dvs.
25 driftsår) er 1,7% om året. Herefter er det antaget, at trafikken er konstant”
Femern A/S hjemmeside pr. 16/7 2012-07-16 - Trafikprognose
o
”Det såkaldte trafikspring skyldes de nye muligheder, som pludselig dukker op i
form af tidsbesparelse og større tilgængelighed. I det første år efter åbning af den
faste forbindelse over Øresund steg trafikken med 61 pct. For forbindelsen over
Storebælt var trafikspringet på 127 pct. Konservative prognoser for Femern Bælt
forbindelsen forventer et trafikspring på ca. 40 pct. Trafikprognosen forudsætter, at
færger ikke vil fortsætte driften mellem Rødby og Puttgarden efter åbning af en fast
forbindelse.”
Scandlines’ kommentarer
o
Vi betvivler ikke, at en fast forbindelse kan skabe et trafikspring på korridoren. Hvor
stort, et sådant spring vil være, er gætværk. Øresundsbroen så en vækst på 14% pr. år
de første 5 år, hvor Femern A/S spår en vækst på 7-8% om året. Et par kommentarer
til dette trafikspring
Igen savnes en følsomhedsberegning: Det løft, Femern A/S antager, må
bidrage væsentligt til rentabiliteten – hvordan ser
tilbagebetalingsperioden ud, hvis man f.eks. kun opnår 50% af
trafikspringet?
Vi formoder, at Øresundsbroens vækst 2002-2006 er drevet dels af øget
pendling mellem Sverige og Danmark, dels øget shopping, dels af øget
markedsandel i forhold til Helsingør-Helsingborg færgeoverfarten og ikke
mindst af en stærk økonomisk vækst i perioden for både Sverige og
26
PDF to HTML - Convert PDF files to HTML files
1424674_0027.png
Danmark. For en fast Femern forbindelse vil vi formode, at man vil kunne
opnå et trafikspring dels ved øget dansk grænsehandel og dels ved at tage
volumen fra Storebæltsbroen og Trelleborg-Rostock færge korridoren. Hvad
angår pendling tror vi ikke, at en fast forbindelse vil have en nævneværdig
effekt
Vi mener, man skal passe på med at antage, at der vil knyttes tætte
bånd til Tyskland og Hamborg, og at der vil opstå arbejdsdeling og
øget pendling. Det forekommer, at man glemmer, at de
administrative, kulturelle og mentale barrierer ved Femern regionen
er langt større end mellem Danmark/Sverige samt at Femern regionen
ligger langt fra tunge centre som København og Hamborg. Femern
A/S forventer et spring, der svarer til 50-70% af
Øresundsforbindelsens spring – det mener vi er for aggressivt og/eller
optimistisk
Har man indregnet den negative effekt, springet vil have på
Storebæltsbroens volumen?
Femern A/S nævner ligeledes, at man antager, at Scandlines lukker sin
Femern rute. Vi påregner bestemt at sejle videre, eventuelt i et mindre
omfang. Vores Helsingør-Helsingborg rute er stadigvæk i drift 11 år efter
åbning af Øresundsbroen
Vores skibe er afskrevet til den tid
Vi kunne for eksempel reducere til 3 færgedrift og tilbyde lavere
priser end tunnelen – det vil især fastholde prisfølsomme
kundegrupper
Priserne, som Femern A/S antager for 2020+, ligger en del højere,
end hvad vi forventer (se prisgennemgang nedenfor)
For en stor del af vores kunder er tid ikke en kritisk faktor
(grænsehandel samt ferietrafik)
Lastbiler skal tage højde for køre/hviletid – krav om 45 minuters
pause for hver 4 �½ time kørt
Tunnelskræk – jf. en norsk undersøgelse finder 30% det farligt at køre
igennem tunneler, især lange tunneller under vand. Uanset Femern
A/S arbejder med at begrænse effekten af tunnelskræk, kan den
næppe elimineres helt
Prisniveau for biler
Femern A/S oplyser
o
På Femern A/S hjemmesiden:
”Priserne er endnu ikke fastlagt, men det er forudsat i de finansielle
beregninger, at prisniveauet vil være på niveau med færgefarten Rødbyhavn-
27
PDF to HTML - Convert PDF files to HTML files
1424674_0028.png
Puttgarden i 2007 reguleret med den almindelige prisudvikling. I 2007 var
overfartsprisen med færgerne 420 kr. for en personbil”
o
Femern A/S Finansiel analyse 2008:
”Den forudsatte takst for en personbil svarer til 400 kr. (2008-priser) efter
inflationsregulering på basis af den i denne analyse forudsatte inflation på
2,5%”
”Det er antaget, at de rabatter, der i dag gives til kortvarige indkøbsrejser,
opvejes af de pristillæg, som pålægges bilister med campingvogne og
trailere”
Scandlines’ kommentarer
o
Femern A/S bør være varsomme med at bruge vores listepriser som udgangspunkt.
Scandlines havde i 2008 en gennemsnitspris på en personbil svarende til 373 kr.
o
Med udgangspunkt i Femern A/S tal vil prisen for en enkelt tur i personbil være hhv.
608 og 565 kr. i 2022 (første hele driftsår) afhængig af, om man bruger
oplysningerne på hjemmesiden eller Finansiel analyse 2008 (igen savner vi et
konsistent billede)
o
Vi har følgende input til beregningerne
Femern A/S’ antagelse omkring kortvarige indkøbsrejser er en forståelig
forsimpling, MEN det er en relativt grov antagelse, som ikke er korrekt, og
som betyder, at Femern A/S’s tal står i kontrast til Scandlines’ eget
langsigtede prisbillede givet udviklingen i kundemix
For at evaluere prisudviklingen er det nødvendigt at forstå Scandlines’
kundemix
I 2011 var 34% af vores kunder shopping og 1-dags kunder, 59%
købte standard billet, og den resterende del var economy/plus/gratister
Dette kundemix undergår en udvikling, hvor en større og større andel
af vores volumen er shopping og 1-dags billetter
Hvis vi ser på årene 2000 og 2010, så har Scandlines’ årlige vækst i
volumen været på 3%. Al vækst i biltrafik har været drevet af
shopping og 1-dags billetter. Volumen på vores standard billetter har
haft en gennemsnitlig årlig vækst på 0%
Antagelsen omkring en årlig prisstigning på 2,5% er i den høje ende.
For shopping billetter ser vi en stor prisfølsomhed, hvorfor vi kun
påregner en prisudvikling på 1,0% for dette kundesegment
Tages der højde for ovenstående, er det Scandlines estimat, at færgerne
har en gennemsnitspris pr. personbil på 485 kr. i 2022 – dette er hhv.
20% og 14% lavere end Femern A/S’s forskellige antagelser. Samtidig
bør det fremhæves, at personbiler er en fast forbindelses største
indtægtskilde og estimeret til at generere 44% af totale indtægter i første
driftsår
28
PDF to HTML - Convert PDF files to HTML files
1424674_0029.png
For det andet er det os uklart, om Femern A/S arbejder med en pris
inflation på 2,5% for perioden udover 2022, hvilket vi forventer. Vi
forventer, at Femern A/S har lagt sig op ad nettoprisindekset, men
mener som nævnt ovenfor, at 2,5% er i den høje ende, jf. at inflationen
2000-09 lå på 2% for Danmark og 1,7% for Tyskland (OECD/IMF). På
så lange tidshorisonter, som Femern A/S arbejder med, kan en sådan
årlig prisstigning betyde en del for rentabiliteten. Vi savner dels en
følsomhedsanalyse og dels en lavere prisstigningsantagelse på horisonten
ud over 2022. 0,5%-point synes måske ikke af meget, men over en
periode på 10 år (2022) betyder dette en årlig merindtægt på 5%, på 20
år (2032) 10% og så fremdeles – set med vores øjne er dette ikke
konservativ modellering
Der savnes i øvrigt en perspektivering til prisudviklingen på
Øresundsbroen og Storebæltsbroen. Især Øresundsbroen synes at have
set direkte nedadgående priser for biler, hvilket er stik mod antagelserne
for Femern A/S
Prisniveau for Lastbiler og busser
Femern A/S oplyser i Finansiel analyse 2008
o
Lastbiler: 2008 pris 1627 kr. eksklusive moms
o
Busser: 2008 pris 1799 kr. eksklusive moms
o
Priser fremskrives med 2,5% årlig inflation
Kommentarer
o
Hvis vi fremskriver Femern A/S priser til 2011 får vi 1752 kr. for lastbiler og 1937
kr. for busser
o
Til sammenligning var Scandlines’ priser 2011 i gennemsnit 18%-28% lavere
end antaget i Femern A/S rentabilitetsanalyse. Hertil kommer, at Scandlines i
sine oplyste priser for lastbiler havde et brændstoftillæg (BAF) på 10-15 kr. per
løbende meter, hvilket svarer ca. til 15% af vores billetpris. Et sådant tillæg ses
ikke på faste forbindelser.
29