Retsudvalget 2014-15 (1. samling)
REU Alm.del Bilag 80
Offentligt
1430066_0001.png
HAVARI KOM M ISSION EN
FO R V E J T RA F I KU LYKKE R
Hvorfor sker trafikulykkerne?
December 2014
Hvorfor sker trafikulykkerne?
63
PDF to HTML - Convert PDF files to HTML files
Hvorfor sker trafikulykkerne?
61
PDF to HTML - Convert PDF files to HTML files
1430066_0003.png
HAVARI KOM M ISSION EN
FO R V E J T RA F I KU LYKKE R
Hvorfor sker trafikulykkerne?
December 2014
Hvorfor sker trafikulykkerne?
1
PDF to HTML - Convert PDF files to HTML files
1430066_0004.png
HAVARI KOM M ISSION EN
Formålet med HVU’s arbejde er at få mere viden om
tra kulykker. Den ny viden skal anvendes til at forbedre
tra ksikkerheden.
HVU består af en tværfaglig gruppe, der foretager dybde-
analyser af hyppige og alvorlige ulykkestyper for at få
et mere præcist billede af, hvilke forhold der har haft
betydning for, at ulykkerne er sket, og hvori de gennem-
gående problemer består. Dybdeanalyserne giver mulighed
for i højere grad at målrette den forebyggende indsats,
end hvis man f.eks. udelukkende tager udgangspunkt i
ulykkesstatistikken. HVU’s analyser foretages på baggrund
af en omfattende indsamling af data og informationer.
Blandt andet undersøger HVU de implicerede køretøjer og
ulykkesstedet samt gennemfører interviews med ulykkens
parter og vidner. HVU’s eget materiale suppleres med
materiale fra politi, bilinspektører, vejmyndigheder, sygehuse/
skadestuer og retsmedicinske institutter.
FO R V E J T R A F I KU LYKKE R
Resultaterne af HVU’s undersøgelser skal bidrage til, at de
ansvarlige institutioner og myndigheder kan forbedre arbejdet
med at forebygge tra kulykker. Det er ikke formålet at fastslå
skyld i juridisk forstand, og HVU’s undersøgelser af konkrete
ulykker må ikke benyttes strafferetsligt.
HVU har indtil videre undersøgt følgende temaer og udgivet
rapport om:
• Eneulykker med bilister under
år (
)
• Ulykker på motorveje (
)
• Ulykker med store varebiler (
)
• Ulykker mellem højresvingende lastbiler og ligeudkørende
cyklister (
)
• Krydsulykker mellem cykler og biler (
)
• Motorcykelulykker (
)
• Ulykker på landeveje (
)
• Grove hastighedsovertrædelser (
)
• Ulykker med ældre bilister (
)
• Sikkerhedsudstyr til børn i biler (
)
• Ulykker med fodgængere (
)
Titel:
Udgivet:
Foto:
Lay-out:
Copyright:
Oplag:
Tryk:
Udgiver:
ISBN:
Net ISBN:
Hvorfor sker trafikulykkerne?
December 2014
Christoffer Askman
Ole Søndergaard
Havarikommissionen for Vejtrafikulykker
2.000 eksemplarer
Nofo Print
Havarikommissionen for Vejtrafikulykker
978-87-91458-33-0
978-87-91458-34-7
Eftertryk i uddrag tilladt med kildeangivelse
2
Hvorfor sker trafikulykkerne?
PDF to HTML - Convert PDF files to HTML files
INDHOLD
Forord
Sammenfatning
Formål og baggrund
Formål
Datagrundlag
Om ulykkes- og skadesfaktorer
Trafikant, køretøj og vej: ulykkesfaktorer i HVU’s analyser
De hyppigste årsager til trafikulykker
Hastighed
Orientering
Opmærksomhed og agtpågivenhed
Tolkning og vurdering
Reaktion
Alkohol, narkotika og medicin
Sikkerhedsseler
Vej- og omgivelsesfaktorer
Køretøjsfaktorer
Er HVU-ulykkerne repræsentative?
Bilag
Kort om HVU og HVU’s arbejdsmetode
4
6
9
9
10
12
13
16
17
23
27
32
36
40
44
46
47
51
59
59
Hvorfor sker trafikulykkerne?
3
PDF to HTML - Convert PDF files to HTML files
1430066_0006.png
FORORD
Havarikommissionen for Vejtrafikulykker (HVU) har siden 2001 arbejdet med dybdeanalyse af
trafikulykker for at komme helt tæt på, hvorfor ulykkerne sker, så der kan sættes målrettet ind
for at forebygge dem.
I 2009 gennemførte HVU en tværgående analyse af de 207 ulykker, som var dybdeanalyseret
i de første 6 temaundersøgelser for at give et samlet billede af, hvorfor trafikulykkerne typisk
sker. Denne analyse er en opdatering af undersøgelsen fra 2009, nu baseret på 291 ulykker.
Selvom der i opdateringen inddrages ulykker fra 3 meget forskellige temaundersøgelser
(ulykker på landeveje, ulykker med ældre bilister og ulykker med fodgængere), ændrer det
ikke på billedet af, hvad der samlet set er de hyppigste forklaringer på ulykkerne. Dette tyder
på, at det overordnede budskab er robust, på trods af at det samlede ulykkesmateriale
stammer fra 9 forskellige temaer.
4
Hvorfor sker trafikulykkerne?
PDF to HTML - Convert PDF files to HTML files
1430066_0007.png
HVU underbygger med denne rapport, at trafikanternes handlinger i langt de fleste tilfælde
medvirker til ulykkerne, og at der fortsat er behov for at arbejde med de traditionelle indsats-
områder som for høj hastighed, spiritus og manglende selebrug. Men der skal også fokus på
trafikanternes småfejl og manglende rutine, som oftest ligger bag ulykkesfaktorerne utilstræk-
kelig orientering, uopmærksomhed, fejltolkning og fejlvurdering, mangelfuld køreteknik og
mangelfuld reaktion.
Gennem en fælles indsats fra alle aktørerne på trafiksikkerhedsområdet er vi kommet meget
langt med at forebygge trafikulykker. Alene i de 13 år, hvor HVU har eksisteret, er antallet af
dræbte og tilskadekomne i trafikken mere end halveret.
Også i den fortsatte indsats for at forebygge ulykker er det vigtigt at have fokus på den
fælles indsats fra myndigheder og trafikanter. Kun ved at underbygge den direkte påvirkning
af trafikanterne med en fortsat indsats for at skabe trafiksikre veje og udvikle sikre biler med
avanceret teknologi kan vi komme langt med at reducere trafikanternes fejl i trafikken og
afbøde konsekvenserne af dem.
Jeg er taknemmelig for den støtte, som HVU har fået fra bl.a. Rigspolitiet, Vejdirektoratet, Trafik-
styrelsen, Odense Universitetshospital, DTU Transport, Rådet for Sikker Trafik samt Færdsels-
sikkerhedskommissionen, og ikke mindst alle dem, der har bidraget til HVU’s undersøgelser.
Trafiksikkerhed er et fælles ansvar, og sammen får vi bedre viden og kan opnå bedre resultater
og dermed få færre dræbte og tilskadekomne i trafikken.
Sven Krarup Nielsen
Formand for Havarikommissionen for Vejtrafikulykker
Hvorfor sker trafikulykkerne?
5
PDF to HTML - Convert PDF files to HTML files
SAMMENFATNING
Hvorfor sker der stadig for mange trafikulykker i Danmark med dræbte og alvorligt tilskade-
komne? For dårlig orientering og for høj hastighed er de hyppigste forklaringer på, at trafik-
ulykkerne sker. Det viser denne samlede analyse af de 291 alvorlige trafikulykker, som HVU
har dybdeanalyseret i løbet af de seneste 13 år. Høj hastighed og orienteringsfejl er hver især
medvirkende til op mod halvdelen af de undersøgte ulykker.
Hastigheden kan være for høj i forhold til hastighedsgrænsen, men også i forhold til forholdene,
hvis det for eksempel er tåget eller glat. Når man kører for hurtigt i forhold til forholdene, er
man typisk i mindre grad bevidst om den risiko, det indebærer, mens for høj hastighed i forhold
til grænsen ofte er udtryk for, at føreren accepterer den højere risiko.
Orienteringsfejl optræder nogle gange, fordi man er distraheret af noget, der ikke vedrører
kørslen – andre gange, fordi andre ting i trafikken tager for meget opmærksomhed. Og nogle
gange får man slet ikke orienteret sig pga. f.eks. kortvarig søvn eller fravær af opmærksomhed
af andre grunde. Det kan også være en fodgænger eller cyklist, der ikke får set sig ordentligt
for, inden en vej krydses.
Uopmærksomhed, fejlvurdering, forkert reaktion og spirituspåvirkning er ofte også med til at
udløse trafikulykkerne. Disse forhold medvirker hver især til mellem en tredjedel og en femtedel
af de undersøgte ulykker.
Stort set alle de undersøgte ulykker kunne have været undgået, hvis trafikanterne ikke havde
lavet fejl. Ofte er det en kombination af flere faktorer, der udløser ulykken.
Det betyder ikke, at trafiksikkerheden bedst forbedres ved kun at påvirke trafikanterne direkte.
Gennem bedre indretning af veje og køretøjer er det ofte muligt at forebygge eller afbøde
konsekvenserne af de fejl, trafikanterne laver.
Det er ikke kun trafikanterne, der medvirker til ulykkerne. Fejl ved veje/omgivelser medvirker til
cirka hver tredje af de undersøgte ulykker, og fejl ved køretøjerne medvirker til cirka hver femte.
6
Hvorfor sker trafikulykkerne?
PDF to HTML - Convert PDF files to HTML files
1430066_0009.png
HVU har også set på, hvilke forhold der hyppigst forværrer personskaderne. To af de oftest
forekommende forhold er manglende brug af sikkerhedssele og træer i vejkanten. Manglende
selebrug forværrer skaderne i mere end hver femte af de undersøgte ulykker, og vejtræer, stejle
grøfter og anden farlig vejudformning forværrer skaderne i hver fjerde undersøgte ulykke.
HVU’s undersøgelser har haft fokus på hver deres ulykkestype, og det er derfor også forskelligt
fra undersøgelse til undersøgelse, hvilke forhold der især har medvirket til ulykkerne. Men til-
sammen er HVU-ulykkerne dog nogenlunde repræsentative for ulykkerne i Danmark som helhed.
Ved kapitlerne om de oftest forekommende årsager til trafikulykkerne er der beskrevet en
ulykke, hvis forløb og omstændigheder er typisk for den pågældende ulykkestype. Ulykkerne
er fiktive og baseret på den viden, HVU har fået gennem sine ulykkesanalyser.
Hvorfor sker trafikulykkerne?
7
PDF to HTML - Convert PDF files to HTML files
1430066_0010.png
8
Hvorfor sker trafikulykkerne?
PDF to HTML - Convert PDF files to HTML files
1430066_0011.png
FORMåL OG BAGGRUND
Formål
HVU foretager grundige tværfaglige analyser af enkeltulykker, som ligger inden for samme tema,
f.eks. ulykker på motorveje, eller ulykker med motorcyklister. I et tema undersøges typisk 25-40
ulykker. I dybdeanalyserne udpeger HVU de ulykkesfaktorer, som har afgørende betydning for,
at de enkelte ulykker sker. Ved dybdeanalysen opnås indgående kendskab til og forståelse for
de enkelte typer af ulykker, så arbejdet med at forebygge ulykkerne kan målrettes yderligere.
Styrken i HVU’s undersøgelser er således den kvalitative viden om ulykkerne.
Formålet med denne tværgående analyse af alle 291 ulykker, som HVU hidtil har undersøgt, er
yderligere at nyttiggøre den viden om ulykkerne, som HVU har indsamlet gennem årene. Selvom
HVU’s undersøgelser er kvalitative i deres sigte og er foretaget inden for afgrænsede og forskel-
lige temaer, kan der aflæses en række fælles træk, og det kan være et nyttigt bidrag til det
videre arbejde med at forebygge ulykker.
I denne analyse foretages visse sammenligninger med den landsdækkende ulykkesstatistik for
at vurdere, om de ulykker, som HVU har dybdeanalyseret, er nogenlunde repræsentative for
ulykkerne i Danmark som helhed.
Hvorfor sker trafikulykkerne?
9
PDF to HTML - Convert PDF files to HTML files
Datagrundlag
Denne analyse bygger på data fra i alt 291 ulykker undersøgt i 9 af de 11 forskellige tema-
undersøgelser, HVU har gennemført.
Tema 1: Eneulykker med bilister under 25 år (32 ulykker)
Tema 2: Ulykker på motorveje (39 ulykker)
Tema 3: Ulykker med store varebiler (40 ulykker)
Tema 4: Ulykker med højresvingende lastbiler og ligeudkørende cyklister (25 ulykker)
Tema 5: Krydsulykker mellem cykler og biler (30 ulykker)
Tema 6: Motorcykelulykker (41 ulykker)
Tema 7: Ulykker på landeveje (30 ulykker)
Tema 8: Grove hastighedsovertrædelser (ikke sammenlignelig analyse)
Tema 9: Ulykker med ældre bilister (32 ulykker, heraf 5 gengangere fra tema 7)
Tema 10: Sikkerhedsudstyr til børn i biler (ikke sammenlignelig analyse)
Tema 11: Ulykker med fodgængere (27 ulykker).
Tema 8 og tema 10 er undersøgt med et andet sigte og en anden metode end de øvrige, og
de indgår derfor ikke i denne analyse.
Når de gennemgående ulykkesfaktorer i ulykkerne beskrives i det følgende, skal det ses på
baggrund af, at de enkelte temaer omfatter forskellige trafikantgrupper, køretøjer, veje eller
ulykkessituationer. En ulykkesfaktor kan således være meget hyppig inden for det ene tema
og ikke særlig hyppig inden for et andet. For eksempel har det i denne analyse vist sig, at
ulykkesfaktoren ”utilstrækkelig orientering” optrådte i langt de fleste ulykker med bløde
trafikanter. Den optrådte derimod kun i få eller ingen af ulykkerne i de tre første temaer, der
næsten udelukkende var med personbiler og varevogne.
De 291 undersøgte ulykker involverede i alt 522 parter: 423 motorkøretøjer hvoraf 316 var
personbiler og varebiler, 52 motorcykler og 54 tunge køretøjer. Der var 65 cykler eller knallerter,
32 fodgængere samt en blokvogn og en traktor indblandet. Desuden var der en flugtbilist, som
formodentlig kørte i en personbil.
10
Hvorfor sker trafikulykkerne?
PDF to HTML - Convert PDF files to HTML files
1430066_0013.png
Af de 291 ulykker blev 84 kategoriseret som eneulykker, 29 som frontalkollisioner, 36 var
bagendekollisioner, og 108 var krydsulykker. 88 ulykker skete i mørke eller tusmørke, 75 i vådt
vejr eller føre og 18 i glat føre.
I alt blev 113 personer dræbt i de 291 ulykker, og 353 kom til skade. 41 førere var konstateret
påvirket af spiritus i ulovlig grad.
Ulykkesudviklingen i Danmark
De 291 analyserede ulykker er sket over en periode på mere end 10 år. I løbet af denne år-
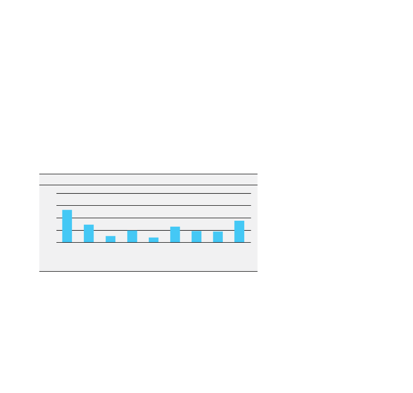
række er antallet af dræbte og tilskadekomne trafikanter i trafikken blevet mere end halveret.
Selv om man ikke præcis kan vide, hvad der er årsag til denne store reduktion, er der næppe
tvivl om, at den køretøjstekniske udvikling har haft stor betydning. DTU Transport har i 2012
vist, at både forbedringer i aktiv og passiv sikkerhed har reduceret antallet af personskader
i trafikken væsentligt i perioden. Det bestyrkes af den stigende udbredelse af bl.a. airbags
og antiudskridningsteknik (ESC), som er blandt de teknologier, der med sikkerhed reducerer
risikoen for personskader. Også vejene er generelt blevet mere sikre, da arbejdet med at fjerne
sorte pletter (ulykkesbelastede kryds eller ulykkesbelastede strækninger på vejnettet) og for-
høje vejenes standard generelt er fortsat i hele perioden.
Dræbte og alvorligt tilskadekomne i Danmark
2000
1750
1500
1250
1000
750
500
250
0
2001
2002
2003
2004
2005
2006
2007
2008
2009
2010
2011
2012
2013
Figur 1
Hvorfor sker trafikulykkerne?
11
PDF to HTML - Convert PDF files to HTML files
Og mens det generelt er vanskeligt at påvise ændringer i trafikanternes risikoadfærd, ses det
dog alligevel, at andelen af ulykker med spiritus i perioden er faldet, og bilisternes selebrug er
også blevet bedre.
Trafikmængderne er ikke gået ned i perioden, snarere tværtimod, så de lavere tal for dræbte og
tilskadekomne betyder, at det er blevet mere sikkert for den enkelte at færdes i trafikken. Det
er dokumenteret af DTU Transport, at der ikke er den store forskel på, hvor meget sikkerheden
er blevet bedre for de forskellige trafikanttyper. Der er altså ikke tegn på de store forskydninger
i risikoforholdene i perioden.
Om ulykkes- og skadesfaktorer
I arbejdet med at kortlægge, hvorfor de enkelte ulykker sker, hvad der forværrer person-
skaderne, og hvordan ulykker og personskader kan forebygges, finder HVU de faktorer, der
optræder i de enkelte ulykker. Ulykkesfaktorer er de omstændigheder, der har afgørende
betydning for, at ulykken sker. En typisk ulykkesfaktor er ”for høj hastighed”. Skadesfaktorer er
de faktorer, som forværrer personskadernes omfang, og en typisk skadesfaktor er ”manglende
selebrug”. HVU’s katalog over faktorer har udviklet sig i årenes løb, men det har vist sig, at
netop de faktorer, som optræder hyppigst, når der ses på tværs af ulykkerne, har været brugt
gennemgående i alle 9 temaer.
Denne tværgående analyse viser, at de hyppigste faktorer knytter sig til trafikanterne og deres
adfærd. Disse faktorer vedrører trafikantens valg (f.eks. valg af hastighed, eller selebrug) eller
handlinger i øvrigt (f.eks. utilstrækkelig orientering, fejltolkning, forkert reaktion, køreteknik).
Til at uddybe ulykkes- og skadesfaktorerne bruges en række ”bagvedliggende” faktorer så
som psykologiske/mentale tilstande (risikovillighed, risikoblindhed, uopmærksomhed, mang-
lende erfaring) og fysiologiske tilstande (spiritus, narko, fysisk sygdom, træthed) eller andet
(passagerdistraktion).
12
Hvorfor sker trafikulykkerne?
PDF to HTML - Convert PDF files to HTML files
1430066_0015.png
I analysen findes også faktorer, som ikke har med trafikanterne at gøre, men med:
• Køretøjet, f.eks. køretøjets konstruktion, dets stand (lygter, bremser, dæk) og brug
(f.eks belæsning)
• Vejen, f.eks. dens udformning, dens vedligeholdelsesmæssige stand (f.eks. nedsat friktion)
eller dens omgivelser (grøfter og stejle skråninger)
• Vejr, lysforhold og føre (tåge, stærk blæst, mørke, blændende sol, glat føre)
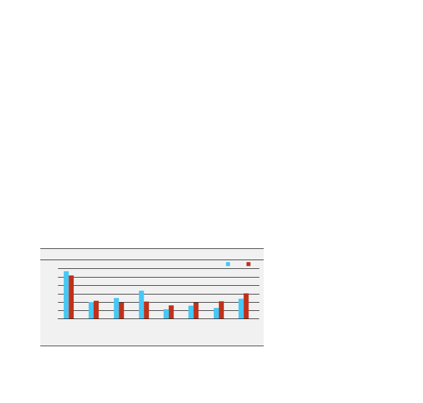
Trafikant, køretøj og vej: ulykkesfaktorer i HVU’s analyser
Som led i analysen er det gjort op, hvor ofte HVU har fundet ulykkesfaktorer for henholdsvis
trafikant, vej/omgivelser og køretøj i de 291 analyserede ulykker. Fordelingen på disse faktor-
typer ses på figuren.
Fordeling på ulykkesfaktortyper i de 291 ulykker
100%
80%
60%
40%
20%
0%
Trafikant
Vej / Omgivelser
Køretøj
Figur 2
Figuren viser bl.a., at der optræder mindst én ulykkesfaktor knyttet til en trafikant i stort set
alle ulykker.
Ulykkerne kunne altså have været undgået ved mere hensigtsmæssig adfærd.
100% på figuren svarer til alle de 291 undersøgte HVU-ulykker. Søjlerne viser, i hvor mange af
ulykkerne der optræder henholdsvis trafikantfaktorer, vej- og omgivelsesfaktorer samt køretøjs-
faktorer.
Hvorfor sker trafikulykkerne?
13
PDF to HTML - Convert PDF files to HTML files
1430066_0016.png
Kun vej-/omgivelsesfaktorer:
(<�½%)
Tra kant- og vej-/omgivelsesfaktorer:
( %)
Kun
tra kantfaktorer:
( %)
Alle tre typer
( %)
Tra kant- og køretøjs-
faktorer
( %)
Figur : Antal ulykker med tra kant-, køretøjs- og vej-/omgivelsesfaktorer
Ovenstående figur viser, hvor ofte faktortyperne findes samtidig i de enkelte ulykker.
Der kan være flere faktorer af samme type (dvs. trafikantfaktorer, køretøjsfaktorer, eller vej-/
omgivelsesfaktorer) i hver ulykke. Dette fremgår ikke af figuren. For eksempel er spiritus og
høj hastighed trafikantfaktorer, som begge optræder i visse ulykker. I alt er der udpeget 886
trafikantfaktorer i de 291 ulykker, altså i gennemsnit ca. 3 trafikantfaktorer i hver ulykke. Der
kan også optræde flere vej- eller køretøjsfaktorer i samme ulykke.
I alle 291 ulykker, bortset fra én, er der udpeget trafikantfaktorer, som medvirkede til ulykken.
Vejen eller omgivelserne var en faktor i næsten hver tredje ulykke (89 af de 291), og fejl eller
mangler ved køretøjerne var en faktor i hver femte ulykke (58 af de 291). I lidt over halvdelen
af ulykkerne (160) optrådte der kun trafikantfaktorer.
14
Hvorfor sker trafikulykkerne?
PDF to HTML - Convert PDF files to HTML files
1430066_0017.png
At trafikantfaktorer optrådte i stort set alle ulykker, er et udtryk for, at HVU i hver enkelt ulykke
har vurderet, at ulykken kunne have været undgået ved mere hensigtsmæssig trafikal adfærd -
inden for rammerne af hvad man med rimelighed kan forlange i trafikken.
De udpegede ulykkesfaktorer giver vigtig viden om de forløb, mekanismer og sammenhænge,
der fører til ulykker, og de er ikke mindst et værdifuldt redskab til at vurdere, hvordan de
alvorlige trafikulykker kan forebygges. Hvis for eksempel ”dårlig oversigt på vejene” udpeges
som ulykkesfaktor, så vil forbedring af oversigten på vejene også forebygge sådanne ulykker.
Det er dog langt fra altid, at sammenhængen mellem faktorer og virkemidler er klar. For
eksempel er ”høj hastighed” en af de oftest forekommende ulykkesfaktorer, og trafikanternes
hastighedsvalg kan til en vis grad påvirkes med kampagner, bøder og andre tiltag rettet mod
trafikanterne. Men ofte er det mindst lige så effektivt at arbejde med vejens udformning og
på den måde påvirke trafikanterne til at vælge en hensigtsmæssig hastighed. En køretøjsfaktor
som ”forkert dæktryk” kan påvirkes med kampagner og kontroller for at få bilister til at tjekke
dæktryk – altså trafikanttiltag.
Hvorfor sker trafikulykkerne?
15
PDF to HTML - Convert PDF files to HTML files
1430066_0018.png
DE HYPPIGSTE åRSAGER TIL TRAFIKULYKKER
HVU’s brug af de forskellige faktorer har udviklet sig over tid, men brugen af personrelaterede
faktorer – trafikantfaktorerne - har været ret konsistent. Derfor kan man lave en retvisende
sammenstilling af forekomsten af trafikantfaktorer i de analyserede ulykker.
De hyppigste trafikantfaktorer
Trafikantfaktorer vedrørende
Hastighed
Orientering
Opmærksomhed og agtpågivenhed
Tolkning og vurdering
Reaktion
Alkohol, narkotika, medicin
Sikkerhedsseler
Andre forhold
I alt
Ulykkesfaktorer
123
145
129
87
83
64
0
255
886
Skadesfaktorer
30
1
0
0
7
2
63
20
123
Høj hastighed og mangelfuld orientering topper listen af faktorer – de optrådte i op mod
halvdelen af alle undersøgte ulykker i de 9 ulykkestemaer. Uopmærksomhed og fejltolkning/-
vurdering optrådte i omkring en tredjedel af de undersøgte ulykker, og det samme gælder
forkert reaktion, herunder dårlig køreteknik og forkert undvigemanøvre eller placering.
Faktorernes forekomst og indbyrdes rangordning afspejler, at de 9 undersøgelser, HVU har
gennemført, omfatter forskellige trafikantgrupper, køretøjer, veje eller ulykkessituationer. En
faktor kan således være meget hyppig inden for det ene tema og ikke særlig hyppig inden for
et andet. Hvis de undersøgte temaer havde været nogle andre, så kunne billedet af faktorernes
samlede forekomst også have været anderledes.
Af øvrige hyppige ulykkesfaktorer knyttet til trafikanterne skal især nævnes risikoblindhed,
risikovillighed, fysisk/psykisk tilstand (herunder træthed og travlhed), manglende erfaring og
distraktorer.
Da forekomsten af de forskellige trafikantfaktorer er forskellig i de forskellige ulykkestemaer, er
det interessant at se på forekomsten af de pågældende faktortyper for temaerne hver for sig.
Det er vist på en figur for hver faktor.
16
Hvorfor sker trafikulykkerne?
PDF to HTML - Convert PDF files to HTML files
1430066_0019.png
Hastighed
Den mest almindelige trafikantfaktor i samtlige analyserede ulykker er også den hyppigst fore-
kommende af alle faktorer: hastighed. I mere end 2 ud af 5 af de analyserede ulykker var for
høj hastighed medvirkende til, at ulykken skete, og i yderligere hver tiende blev personskaderne
forværret pga. for høj hastighed. Dermed var for høj hastighed altså i omkring halvdelen af de
analyserede ulykker medvirkende, enten til at ulykken skete, eller til at personskaderne blev
alvorlige.
Hvorfor sker trafikulykkerne?
17
PDF to HTML - Convert PDF files to HTML files
1430066_0020.png
På figur 4 angiver den mørkeblå del den andel af ulykkerne, hvor det var afgørende, at
hastighedsgrænsen blev overskredet, mens det lyseblå angiver, hvornår for høj hastighed var
afgørende ud fra andre kriterier – typisk dårlig sigt eller glat føre.
Der er stor forskel på hastighedens betydning i de forskellige undersøgte temaer. Hastighed
var en faktor i langt de fleste eneulykker med unge (tema 1) og i den overvejende del af motor-
vejsulykker (tema 2) og motorcykelulykker (tema 6). I cykelulykker med højresvingende lastbiler
(tema 4) var hastigheden derimod sjældent en faktor i ulykken. I temaer med mange eneulykker
var hastighed relativt ofte en faktor.
Andel af ulykker med hastighedsfaktorer
100%
75%
50%
25%
0%
g
r
kr
yd
s
r
ev
ej
e
ng
e
ot
or
ve
je
ke
r,
u
ot
or
c
øj
re
va
r
nd
bi
11
.
Fo
d
ri
e
ng
er
e
eb
sv
lis
te
r
9.
Æl
dr
ile
yk
le
in
Over grænse
For høj i forhold til forholdene
eu
lyk
St
or
e
le
r,
h
Cy
kle
M
6.
M
2.
4.
Cy
k
En
Figur 4
1.
3.
Flere slags hastighedsoverskridelser
I analyserne skelnes der mellem, om der er tale om høj hastighed i forhold til hastighedsgræns-
en, eller i forhold til om der var nedbør, glat føre, tåge eller mørkt.
De bilister, der kørte for hurtigt under gode forhold og overskred den gældende hastigheds-
grænse, er ofte vurderet til at være risikovillige. Hastighedsvalget i disse tilfælde var typisk
bevidst fra førerens side.
18
5.
7.
La
Hvorfor sker trafikulykkerne?
PDF to HTML - Convert PDF files to HTML files
1430066_0021.png
Derimod var de bilister, der kørte for hurtigt efter omstændighederne i nedbør, tåge og mørke,
oftest blot, hvad man kalder risikoblinde. Det betyder, at trafikanterne ikke bevidst vælger eller
opsøger risiko, men derimod bare gør, hvad de plejer, fordi det plejer at gå godt. Når det er vådt
eller glat føre, mørke eller nedsat sigt, mangler trafikanterne generelt ikke viden om, men deri-
mod forståelse for, hvor meget hastigheden skal reduceres i forhold til almindelige hastigheder.
Typisk forekommer hastighedsvalget i mindre grad bevidst.
For eksempel ses det i eneulykker med unge (tema 1), at det i de fleste ulykker var afgørende,
at hastighedsgrænsen var overskredet. I motorvejsulykkerne (tema 2) var hastighed også ofte
afgørende for, at ulykkerne skete, men her var det høj hastighed i forhold til omstændighederne
– typisk tåge eller mørke – der var problemet.
Hvorfor sker trafikulykkerne?
19
PDF to HTML - Convert PDF files to HTML files
1430066_0022.png
T Y P I S K M O T O R V E J S U LY K K E
Ulykken sker på en motorvej fredag formiddag i november. Hastighedsgrænsen
er 110 km/t. Søren og Niels kører to lastvogntog med sættevogn nordpå i tæt
tåge. Sigtbarheden er omkring 60 meter. Niels har sin veninde Lise med på
passagersædet i lastbilen. Søren overhaler Niels med 90 km/t. Niels kører 80 km/t,
og efter at Søren har overhalet, er der tilsyneladende fri bane. Søren kan heller ikke
se trafik forude og opdager for sent, at der holder havarerede biler længere fremme
på motorvejen. Søren undviger ind til højre og ud i græsrabatten, hvor vogntoget
standser med bilens front inde i skrænten og påhængsvognenes bagende stående
delvis ude i 1. vognbane.
Niels kommer kørende med 85 km/t og opdager Sørens sættevogn, da der er
60 meter til den. Han bremser og forsøger straks efter – forgæves – at undvige
venstre om påhængsvognen, som han rammer med stor kraft. Niels får bragt
vogntoget til standsning midt mellem vognbane 1 og 2. Lise har ikke sele på og
bliver slynget mod hjørnestolpen i førerhuset, hvorved hun bliver svært skadet.
Faktorer bl.a.: For høj hastighed i tåge og manglende brug af sele.
20
Hvorfor sker trafikulykkerne?
PDF to HTML - Convert PDF files to HTML files
1430066_0023.png
Hvorfor sker trafikulykkerne?
21
PDF to HTML - Convert PDF files to HTML files
1430066_0024.png
22
Hvorfor sker trafikulykkerne?
PDF to HTML - Convert PDF files to HTML files
1430066_0025.png
Orientering
I omkring halvdelen af alle de analyserede ulykker er det vurderet, at ulykken ikke var sket,
hvis de implicerede havde orienteret sig bedre og set sig for. Utilstrækkelig orientering var
med andre ord en faktor i disse ulykker. Faktoren optrådte især i forbindelse med en planlagt
manøvre, som for eksempel et sving.
Andel af ulykker med utilstrækkelig orientering som ulykkesfaktor
100%
75%
50%
25%
0%
ng
e
ot
or
ve
je
g
r
kr
yd
s
le
r
ev
ej
e
ke
r,
u
ot
or
c
r,
jre
va
r
nd
bi
La
11
.F
od
ri
e
ng
er
e
eb
sv
lis
te
r
9.
Æl
dr
ile
in
yk
M
6.
7.
yk
M
St
or
e
ne
Cy
k
le
1.
E
3.
Figur 5
Figur 5 viser, at denne faktor findes i meget varierende omfang i de forskellige ulykkestemaer.
Den optræder kun i ulykker med flere parter, og overvejende hvor den ene part var mindre
synlig i trafikken end en bil. I de fire temaundersøgelser, som omhandler fodgængere, cykler
og motorcyklister, optrådte faktoren utilstrækkelig orientering således i alle eller langt de
fleste af ulykkerne, mens den optrådte i færre af ulykkerne i de andre temaer. I undersøgelsen
af motorvejsulykker (tema 2) er der ingen ulykker, som var forårsaget af, at en trafikant ikke
orienterede sig, og heller ikke i undersøgelsen af eneulykker med unge førere (tema 1).
Et oplagt eksempel på utilstrækkelig orientering som ulykkesfaktor er en højresvingende lastbil,
som rammer en ligeudkørende cyklist. I alle undersøgte ulykker af denne type (tema 4) var det
en faktor, at den svingende chauffør ikke havde orienteret sig godt nok. Det betyder ikke, at
cyklisterne slet ikke havde mulighed for at afværge ulykken, men det betyder, at den højre-
svingende i alle tilfælde kunne have undgået ulykken ved at se sig bedre for. Et andet almindeligt
eksempel er fodgængere, der går over en vej uden at se sig godt nok for.
4.
5.
Cy
k
ul
2.
le
Hvorfor sker trafikulykkerne?
23
PDF to HTML - Convert PDF files to HTML files
1430066_0026.png
T Y P I S K H ø J R E S V I N G S U LY K K E
24
Hvorfor sker trafikulykkerne?
PDF to HTML - Convert PDF files to HTML files
1430066_0027.png
Ulykken sker i et 4-benet, signalreguleret kryds en tirsdag ved middagstid. Det er
tørt, sigtbart og dagslys. Ole nærmer sig krydset i sin lastbil. Han skal til højre. På
vej frem mod krydset orienterer Ole sig til højre og fremad efter fodgængere og
cyklister. Han orienterer sig samtidig via sin GPS, idet han ikke er kendt i området.
Ole holder for rødt lys ca. en meter fra kantstenen i højresvingsbanen.
Mens Ole venter på grønt lys, orienterer han sig ikke i sine højre sidespejle. Havde
han gjort dette, ville han have set Hanne komme bagfra på cykel. Da lyssignalet
skifter til grønt, kører Ole frem i krydset, orienterer sig i sidespejlene og drejer
så til højre. Hanne kommer på cykel bagfra og kører op langs de holdende biler.
Da hun holder næsten stille, bliver det grønt, og hun kører frem samtidig med
lastbilen lidt foran denne. Ole ser ikke Hanne, da hun er skjult bag den hylde, Ole
har placeret på instrumentbordet. Hanne bliver skubbet med rundt om lastbilens
forhjørne, og da hun er kommet foran lastbilen, vælter hun og kommer ind under
lastbilen. En fodgænger får råbt Ole an, og han stopper, inden lastbilen kører over
Hanne.
Faktorer bl.a.: Utilstrækkelig orientering og dårligt udsyn fra førerpladsen i
lastbilen.
Hvorfor sker trafikulykkerne?
25
PDF to HTML - Convert PDF files to HTML files
1430066_0028.png
26
Hvorfor sker trafikulykkerne?
PDF to HTML - Convert PDF files to HTML files
1430066_0029.png
Opmærksomhed og agtpågivenhed
I næsten halvdelen af alle de analyserede ulykker er det vurderet, at utilstrækkelig opmærk-
somhed eller agtpågivenhed hos mindst en af de indblandede trafikanter var medvirkende
til, at ulykkerne skete. Der kan både være tale om helt fraværende opmærksomhed (sløvhed,
falden i staver), at opmærksomheden ikke var rettet mod det vigtigste i trafikken, eller at
opmærksomheden var rettet mod noget, som var trafikken uvedkommende (distraktion). Med
manglende agtpågivenhed menes, at trafikanten ikke skærpede opmærksomheden i situationen,
selv om det var tydeligt, at situationen krævede det.
Disse faktorer optrådte i mellem en og tre fjerdedele af ulykkerne i hvert tema.
Uopmærksomhed og manglende agtpågivenhed optrådte meget ofte i ulykker i byer, hvor der er
både hårde og bløde trafikanter. Især i fodgængerulykker var mangel på agtpågivenhed kritisk.
I ulykker, der skete på motorveje og landeveje, optrådte uopmærksomhed og manglende
agtpågivenhed ikke så tit som ulykkesfaktor.
Hvorfor sker trafikulykkerne?
27
PDF to HTML - Convert PDF files to HTML files
1430066_0030.png
Andel af ulykker med utilstrækkelig opmærksomhed og agtpågivenhed som ulykkesfaktor
100%
75%
50%
25%
0%
ng
e
ot
or
ve
je
g
r
kr
yd
s
le
r
ev
ej
e
r,
jre
ot
or
cy
k
ke
r,
u
va
re
b
La
nd
bi
lis
te
r
re
11
.F
od
ri
ng
er
e
ile
sv
in
Utilstrækkelig opmærksomhed
Utilstrækkelig agtpågivenhed
lyk
M
St
or
e
le
Cy
k
eu
le
6.
Cy
k
En
1.
3.
Figur 6
Agtpågivenhed som faktor er først brugt fra tema 4. Det kan ikke udelukkes, at der er ulykker
i de første temaer, hvor en ny analyse ville vise, at manglende agtpågivenhed spillede en rolle.
Et eksempel på utilstrækkelig opmærksomhed kunne være en bilist, der kører på en lige tosporet
vej og leder efter en lille sidevej på venstre side. Bilisten kører med nedsat hastighed og er
opmærksom på en lille kø bagved. I den modsatte retning kommer en cyklist, som hele tiden
er i bilistens synsfelt. Bilisten finder sidevejen og svinger, men er ikke opmærksom på den
modkørende cyklist, som rammes.
Bilisten er opmærksom både på sidevejens placering og på trafikken bagved, men ikke på den
mulige trafikale konflikt ved svingbevægelsen. Bilisten retter al sin opmærksomhed mod nogle
trafikale forhold, så andre forhold overses.
Et eksempel på utilstrækkelig agtpågivenhed kunne være, at en dreng går på højre fortov
sammen med en voksen. Drengen laver nogle voldsomme bevægelser, som om han vil slippe
løs fra den voksne. En bilist kommer kørende med den skiltede hastighed og ser de to
fodgængere. Hun reagerer ikke på drengens adfærd ved at sætte hastigheden ned eller trække
væk fra fortovet. Drengen river sig løs, kommer lidt ud på vejen og rammes af bilen. Bilisten
kan hverken nå at bremse eller undvige. Hun er ikke uopmærksom, men tager ikke højde for et
tydeligt risikomoment.
28
4.
5.
9.
Æl
d
2.
M
7.
Hvorfor sker trafikulykkerne?
PDF to HTML - Convert PDF files to HTML files
1430066_0031.png
Hvorfor sker trafikulykkerne?
29
PDF to HTML - Convert PDF files to HTML files
1430066_0032.png
T Y P I S K U LY K K E M E D E N æ L D R E B I L I S T
Erling på 77 år er på vej hjem fra frisøren. Han når frem
til en større landevej, hvor han har vigepligt. Her skal
han svinge til venstre ud på den store vej. Erling holder
stille ved hajtænderne og orienterer sig til begge sider.
Han ser, at der kommer en bil fra venstre side. Den
kører i højresvingsbanen og skal ned ad den vej, Erling
holder på.
På højre side er der en høj hæk, og den tager en del af
udsynet. Han kigger derfor en ekstra gang til højre for
at være sikker på, at der er fri bane, inden han kører
frem i krydset.
30
Hvorfor sker trafikulykkerne?
PDF to HTML - Convert PDF files to HTML files
1430066_0033.png
Nikolaj, en 33-årig tekniker, er på vej hjem fra arbejde.
Nikolaj kører 100 km/t. Hastighedsgrænsen er 80 km/t.
Han kender stedet godt og kan se, hvad der kommer
fra sidevejene. Bilen foran blinker til højre og trækker
ud i højresvingbanen. Længere fremme kan han se en
bil, der holder stille ved sidevejen og blinker til venstre.
Pludselig kører bilen frem i krydset ud foran Nikolaj.
Han bremser og drejer mod venstre, men når på grund
af sin høje hastighed ikke at afværge ulykken.
Nikolajs bil rammer Erlings bil på venstre side lige
omkring fordøren. Airbaggen i Nikolajs 7 år gamle bil
Hvorfor sker trafikulykkerne?
udløses, og han slipper med småskrammer på hænderne
efter glas fra bilens knuste forrude. Sideairbaggen og
gardinairbaggen i Erlings 4 år gamle bil udløses også.
Den mindsker Erlings skader, men han kommer stadig
alvorligt til skade, bl.a. med en knust hofte.
Faktorer bl.a.: Utilstrækkelig orientering og opmærk-
somhed samt for høj hastighed efter hastighedsgrænsen
og manglende agtpågivenhed.
31
PDF to HTML - Convert PDF files to HTML files
1430066_0034.png
Tolkning og vurdering
I lidt over en fjerdedel af de undersøgte ulykker fejltolkede trafikanten et eller andet
i trafiksituationen.
Andel af ulykker med fejltolkning og fejlvurdering som faktor
100%
75%
50%
25%
0%
ng
e
ot
or
ve
je
g
r
kr
yd
s
r
de
ve
je
ke
r,
u
ot
or
c
r,
jre
va
r
bi
La
n
re
11
.
Fo
d
ri
ng
er
e
eb
sv
lis
te
r
9.
Æl
d
ile
in
yk
6.
M
7.
le
St
or
e
eu
Cy
kle
En
1.
3.
Figur 7
Trafikanten kan f.eks. have misforstået skiltning eller afmærkning, eller opfattet en anden
bilists hensigter forkert. Der kan også være tale om en simpel fejlvurdering af en anden bils
hastighed, eller af om der var plads nok til en overhaling.
Denne type trafikantfejl optrådte især i de temaer, hvor ulykkerne skete på veje med høje
hastigheder. Det drejer sig om eneulykker med unge (tema 1) og motorvejsulykker (tema 2).
Det antages, at fejltolkning og fejlvurdering sker oftest hos uerfarne trafikanter, hvilket
understøttes af, at denne faktor optrådte hyppigst i ulykker med unge (tema 1), og mest
sjældent i undersøgelsen om ældre bilister (tema 9).
32
4.
5.
Cy
kle
lyk
2.
M
Hvorfor sker trafikulykkerne?
PDF to HTML - Convert PDF files to HTML files
1430066_0035.png
Hvorfor sker trafikulykkerne?
33
PDF to HTML - Convert PDF files to HTML files
1430066_0036.png
T Y P I S K M O T O R C Y K E L U LY K K E
Det er torsdag eftermiddag. Svend på 47 år er på vej hjem fra arbejde. Det er fint
vejr – det er derfor, han denne dag har valgt at tage sin motorcykel, en Suzuki SV
1000. Noget af turen er et langt lige stykke på hovedvejen. Det er lidt kedeligt,
men det giver mulighed for at komme op i hastighed. Palle på 63 år har haft sidste
arbejdsdag inden ferien. Hans arbejdsplads ligger lidt fra hovedvejen, som han nu
skal ud på. Han holder ved hajtænderne og venter på et par krydsende biler fra sin
venstre side. Svend kører på hovedvejen og ser en bil på sidevejen fra venstre – den
holder ved hajtænderne. Han kigger derfor videre frem på en lastbil, som kører et
stykke længere fremme på hovedvejen. Han begynder at tænke på mulighederne
for at komme uden om den. Da de to biler fra venstre har passeret, kaster Palle
et blik til begge sider og svinger så til venstre ud på hovedvejen. Svend opdager
pludselig, at bilen fra sidevejen kører ud foran ham. Han bremser og forsøger at
trække mod højre, men rammer bagenden af bilen. Han bliver kastet hen over bilen
og ryger ned i en grøft. Han rammer en betonkant for enden af grøften. Svend kørte
med fuldt sikkerhedsudstyr og en god hjelm, men dør som følge af ulykken.
Faktorer bl.a.: Fejltolkning af MC-hastighed på grund af størrelse og forholdsvis
svagt lys samt skadesfaktoren udformning af grøft.
34
Hvorfor sker trafikulykkerne?
PDF to HTML - Convert PDF files to HTML files
1430066_0037.png
Hvorfor sker trafikulykkerne?
35
PDF to HTML - Convert PDF files to HTML files
1430066_0038.png
Reaktion
Et almindeligt eksempel på en forkert reaktion er en for kraftig korrektion efter uforvarende
at have fået det ene hjulpar ud i rabatten. Den kraftige korrektion betyder, at kontrollen
mistes, eller bilen kommer f.eks. over i modsatrettede vejside og kolliderer med modkørende
eller kører uden for vejen. Ofte vil der være tale om en instinktiv reaktion, der måske sker,
selv om trafikanten ved, at det ikke er en korrekt reaktion. Hvis det fastslås, at en bilist med
en almindelig god køreteknik ville have reageret mere besindigt og afmålt og dermed ville have
bevaret kontrollen over køretøjet, så er der tale om, at forkert reaktion var en faktor.
Forkert eller mangelfuld reaktion var en ulykkesfaktor i omkring en fjerdedel af de undersøgte
ulykker, men med noget varierende forekomst mellem temaerne. Faktoren forekom i alle de
undersøgte temaer, og oftest i eneulykker med unge bilister (tema 1).
Andel af ulykker med forkert reaktion som faktor
100%
75%
50%
25%
0%
ng
e
ot
or
ve
je
g
r
kr
yd
s
r
ev
ej
e
ke
r,
u
ot
or
c
øj
re
va
r
nd
bi
dr
e
11
.
Fo
d
ri
ng
er
e
eb
sv
lis
te
r
9.
Æl
ile
in
yk
le
St
or
e
Cy
kle
r,
h
lyk
2.
M
eu
Cy
kle
En
1.
3.
Figur 8
36
4.
5.
6.
7.
La
M
Hvorfor sker trafikulykkerne?
PDF to HTML - Convert PDF files to HTML files
1430066_0039.png
Hvorfor sker trafikulykkerne?
37
PDF to HTML - Convert PDF files to HTML files
1430066_0040.png
T Y P I S K E N E U LY K K E M E D E N U N G B I L I S T
Frederik er 21 år og har natarbejde i Århus. Ulykken sker tidligt fredag morgen
i august på vej hjem fra Århus. Frederik kører i sin vens bil sydpå ad motorvejen,
hvor hastighedsgrænsen er 110 km/t. Han har sikkerhedssele på. Frederik er træt
efter nattens arbejde og har kørt ca. en time. Frederik er urutineret, og han kører
i en bil, der har større motor end hans egen bil. Der er kun lidt trafik, og han kører
125 km/t i overhalingsbanen. Frederik overhaler en anden bil, der kører 120 km/t,
og han skal til at overhale en bil mere. Han sætter hastigheden op til 145 km/t.
Han kommer ud i midterrabatten, fordi han er træt og uopmærksom, hvorved han
bliver forskrækket. Han overreagerer refleksmæssigt ved at rive rattet mod højre.
Frederik kører tværs over kørebanen og bagom bilen, han ville overhale. Frederik
ender ude på markerne, hvor bilen triller rundt.
Faktorer bl.a.: Forkert reaktion.
38
Hvorfor sker trafikulykkerne?
PDF to HTML - Convert PDF files to HTML files
1430066_0041.png
Hvorfor sker trafikulykkerne?
39
PDF to HTML - Convert PDF files to HTML files
Alkohol, narkotika og medicin
Det er velkendt, at spirituskørsel medfører ulykker. Det samme gælder narkotika og mange
former for medicin. Når HVU har vurderet, at alkohol, narkotika og medicin har medvirket til
ulykken, anføres det som en faktor. Det er ikke afgørende, om påvirkningen er over eller
under aktuelle grænseværdier. Ud af de 291 undersøgte ulykker var påvirkning en ulykkes-
faktor i mere end hver femte ulykke.
Som figur 9 viser, var der alkohol, narkotika og medicin med i hver fjerde eller hver femte ulykke
i de fleste ulykkestemaer. Kun i tema 1, som er eneulykker med unge bilister, var der markant
flere, og kun i ulykker mellem cyklister og motorkøretøjer (tema 4 og 5) var der markant færre -
der var ingen.
Spirituskørsel er veldokumenteret både, hvad angår forekomst, risiko og forebyggende arbejde.
Det samme er ikke tilfældet med narkotika og medicin. Undersøgelser af, om der er narkotika
i en bilists blod, har hidtil været kostbare, og det har begrænset udbredelsen af sådanne
undersøgelser, både i Danmark og udlandet. I en betydelig del af de ulykker, som HVU har
undersøgt, er omfanget af påvirkethed af narko og medicin derfor ukendt. Kun i enkelte temaer
har HVU haft mulighed for at få analyseret (screenet) blodprøverne for narkotika, og kun i de
tilfælde, hvor politiet har valgt at udtage blodprøve, hvilket sker i begrænset omfang. Det kan
derfor ikke udelukkes, at der er flere tilfælde, hvor parten er påvirket af narko og medicin, end
det fremgår af tallene.
Et eksempel, hvor spiritus er en faktor, kan være en påvirket bilfører, der kører hurtigt gennem
en kurve på en mindre landevej. Hastigheden og kurven indebærer i sig selv risikomomenter.
Førerens opgave er blandt andet at vurdere vejens forløb korrekt, reagere rettidigt og styre
bilen nøjagtigt. Spiritus forringer evnen til alle tre discipliner. Føreren er betydeligt påvirket, da
han kører galt, og der er ikke andre omstændigheder, som alene er nok til at medføre ulykken.
Dermed kan det fastslås, at spiritus er en faktor.
40
Hvorfor sker trafikulykkerne?
PDF to HTML - Convert PDF files to HTML files
1430066_0043.png
100%
25%
50%
75%
1.
0%
Figur 9
En
eu
lyk
ke
r,
u
ng
e
2.
M
ot
or
ve
je
Hvorfor sker trafikulykkerne?
3.
St
or
e
va
re
b
ile
r
4.
Cy
kle
r,
jre
5.
sv
Cy
kle
in
g
ri
kr
yd
s
6.
M
ot
or
c
yk
le
7.
r
La
n
de
ve
je
9.
Æ
ld
re
bi
11
.
lis
te
r
Fo
d
ng
er
e
Andel af ulykker med alkohol, narkotika og medicin som faktor
41
PDF to HTML - Convert PDF files to HTML files
1430066_0044.png
T Y P I S K L A N D E V E J S U LY K K E
Det er fredag over midnat. Peter på 26 år er på vej hjem efter en middag hos
en kammerat. De har spist gode bøffer og drukket adskillige øl. Peter har dårlig
samvittighed over for sin kæreste, Katrine. Han havde lovet, at de skulle ses i
aften, og Katrine har ringet et par gange i løbet af aftenen for at høre, hvornår
han kommer hjem. Ugen har været hård med en del overarbejde. Det er tørt, men
det har regnet tidligere på aftenen. Peter kender vejen godt og ved, at turen hjem
tager lidt over en time. Der er ikke andre biler på vejen, så Peter giver bilen lidt
ekstra gas for at nå hurtigere hjem. Han kører ca. 110 km/t i sin ældre bil, som ikke
har ESC. Hastighedsgrænsen er 80 km/t. Peter er påvirket af alkohol, og pludselig
synes han, at han ser noget bevæge sig i højre side af vejen, måske er det et dyr?
Instinktivt rykker han i rattet for at undvige. Han mister kontrollen over bilen, der
fortsætter ned i grøften og ud på marken bag ved. Peter overlever ulykken, men får
et bækkenbrud og skader i ryg og nakke. Han kan ikke fortsætte sit arbejde som
tømrer pga. skaderne.
Faktorer bl.a.: Hastighed for høj i forhold til hastighedsgrænsen, spirituspåvirket
og forkert reaktion.
42
Hvorfor sker trafikulykkerne?
PDF to HTML - Convert PDF files to HTML files
1430066_0045.png
Hvorfor sker trafikulykkerne?
43
PDF to HTML - Convert PDF files to HTML files
1430066_0046.png
Sikkerhedsseler
En skadesfaktor er en omstændighed, som forværrer personskadernes omfang, men som ikke
har betydning for, at ulykken sker. F.eks. kan manglende selebrug forværre personskaderne, men
selebrugen er uden betydning for ulykkens opståen.
Manglende selebrug er den hyppigste skadesfaktor. I 63 af de i alt 291 ulykker havde manglende
selebrug afgørende betydning for, hvor meget en person kom til skade i en ulykke. Der var
ingen ulykker, hvor det blev fastslået, at brug af sele forværrede skaderne.
I de fem temaer, som primært omfatter ulykker med person- og varevogne, var mangelfuld
selebrug en skadesfaktor i en betydelig del af ulykkerne. Derimod havde selebrug, som ventet,
næsten ingen betydning i de temaundersøgelser, som omhandler ulykker med fodgængere,
cyklister og motorcyklister.
Det skal bemærkes, at der er gået mere end 10 år fra ulykkerne i tema 1 til ulykkerne i tema 11
er sket. I den periode er andelen af bilister, der ikke bruger sele, blevet mere end halveret (fra
lidt under 20% til 6-8%). Dette er sandsynligvis noget af forklaringen på, at der var flere ulykker,
hvor manglende selebrug var en skadesfaktor i de første temaer (tema 1-3) end i de seneste
(tema 7 og 9).
44
Hvorfor sker trafikulykkerne?
PDF to HTML - Convert PDF files to HTML files
1430066_0047.png
Andel af ulykker med manglende selebrug som skadesfaktor
100%
75%
50%
25%
0%
ng
e
ot
or
ve
je
g
r
kr
yd
s
le
r
ev
ej
e
va
re
bi
le
yk
ke
r,
u
r,
jre
ot
or
cy
k
La
nd
bi
lis
te
r
dr
e
11
.F
od
ri
ng
er
e
sv
in
M
St
or
e
Cy
k
le
M
ul
le
ne
6.
Cy
k
1.
E
3.
Figur 10
Når begge parter bidrager til ulykken
Af de 291 analyserede ulykker var over to tredjedele, nemlig 207, med flere
trafikanter indblandet. Resten var eneulykker. I 97 af de 207 flerpartsulykker
– altså næsten halvdelen - har HVU fundet frem til, at begge parter begik
fejl, der medvirkede til ulykken.
Hvis bare den ene af de indblandede trafikanter havde undgået at lave fejl
i disse ulykker, var ulykkerne ikke sket.
4.
5.
Ulykker med
ere tra kanter
Figur
: Fordeling af parter, der bidrog til ulykkerne
Begge parter
bidrog til ulykken
Kun én part
bidrog til ulykken
Eneulykker
9.
Æl
2.
7.
Hvorfor sker trafikulykkerne?
45
PDF to HTML - Convert PDF files to HTML files
1430066_0048.png
Vej- og omgivelsesfaktorer
Vejfaktorer er blevet udpeget, når der er fundet betydende forhold, som kan betragtes som fejl
eller mangler ved vejanlægget, herunder vejens omgivelser. Der var ulykkesfaktorer knyttet til
vejen i en tredjedel af alle de undersøgte ulykker, og der var skadesfaktorer knyttet til vejen i
omkring hver fjerde ulykke.
Vej- og omgivelsesfaktorer optrådte som ulykkesfaktorer i et vist omfang i alle de under-
søgte temaer, men med stor variation temaerne imellem. I eneulykker med unge bilister
(tema 1) optrådte denne faktortype som både ulykkes- og skadesfaktor i størsteparten af
ulykkerne. Samlet set var lav vejfriktion den hyppigste ulykkesfaktor, og faste genstande den
hyppigste skadesfaktor.
Vejen var også både en ulykkes- og en skadesfaktor i mere end en tredjedel af motorvejs-
ulykkerne (tema 2): det var her oftest fejl ved rabatten, der var ulykkesfaktor: og grøfter og
skråninger, der var skadesfaktorer.
Ser man på alle temaer under ét, var rabatten (hældning, høj kant eller blød rabat) og vej-
belægningens friktionsegenskaber blandt de hyppigst udpegede vejulykkesfaktorer. Forhold
ved rabatten var en faktor i hver tredje ulykke i eneulykker med unge (tema 1) og i hver fjerde
ulykke i motorvejsulykker (tema 2), men optrådte næsten ikke i de øvrige temaer. Vejens
friktion var en faktor i en tredjedel af ulykkerne i eneulykker med unge (tema 1) samt i enkelte
motorvejsulykker (tema 2), og ellers ikke.
46
Hvorfor sker trafikulykkerne?
PDF to HTML - Convert PDF files to HTML files
En særlig gruppe omgivelsesfaktorer er vejret, føret og lysforholdene. Disse faktorer var med-
virkende til 21 ulykker i alt, hvoraf de 6 var med varebiler (tema 3), og de 4 var med ældre
bilister (tema 9). Sådanne omgivelsesfaktorer optrådte hverken i eneulykker med unge (tema 1),
i cyklistulykker (tema 4 og 5) eller i ulykker med fodgængere (tema 11).
Dyr og tabte genstande medvirkede i 6 ulykker, hvoraf de 4 var på motorvej (tema 2).
Ser man på de udpegede vejskadesfaktorer, ses en stor variation fra tema til tema. Der var
ingen i de to cyklisttemaer, mens langt de fleste ulykker i eneulykker med unge (tema 1) havde
en vejskadesfaktor. Vejens sideudformning (grøft, skrænt) forværrede skaderne i 28 ulykker,
træer tilsvarende i 18 ulykker, og andre faste genstande i 26 ulykker var skyld i, at ulykken blev
alvorligere. I nogle ulykker var der mere end én skadesfaktor ved vej/omgivelser. I alt 58 af de
291 ulykker resulterede i mere alvorlig tilskadekomst på grund af forhold ved vejen og dens
omgivelser.
Køretøjsfaktorer
I hver femte af de undersøgte ulykker var der forhold ved køretøjerne, som var medvirkende
til ulykkernes opståen (ulykkesfaktor), og i hver ottende ulykke var der noget særligt ved
køretøjerne, som var med til at gøre personskaderne værre, end de ellers ville have været
(skadesfaktor).
Analyserne af køretøjets betydning har vist, at de fleste af skadesfaktorerne var knyttet til
designet og udstyret. Det drejer sig om 14 motorvejsulykker og 14 varebilulykker – mere
end en tredjedel af ulykkerne i begge de to temaer.
Derimod knyttede ulykkesfaktorerne sig især til vedligeholdelse og andet, som bilisten selv
har indflydelse på - for eksempel lastning, dæktype, dækslitage, dæktryk og spejlindstilling.
Dæk-fejl var en ulykkesfaktor i 14 ulykker, heraf 6 motorvejsulykker (tema 2) og 4 ulykker
på landevej (tema 7). Dårlig vedligeholdelse og forkert belæsning medvirkede til 14 ulykker,
heraf 5 motorvejsulykker. Fejlindstilling af spejle medvirkede til 8 ulykker, heraf 7 i temaet
med højresvingende lastbiler og cyklister (tema 4).
Hvorfor sker trafikulykkerne?
47
PDF to HTML - Convert PDF files to HTML files
1430066_0050.png
Blandt de 291 ulykker var der kun 6, hvor bremsefejl var medvirkende til ulykken, og heraf
var der i 4 tilfælde tale om cykler med defekte bremser. Fejl ved styretøjet optrådte ikke som
faktor i nogen ulykke.
Der forekom ikke nogen ulykker, hvor en fejl på et køretøj alene førte til en ulykke. I alle
ulykker, hvor fejl ved køretøjet spillede en rolle, medvirkede trafikanten også til, at ulykken
skete.
Der er sket en betydelig sikkerhedsmæssig udvikling af køretøjerne i de ca. 12 år, der er gået
fra ulykkerne i tema 1 til ulykkerne i tema 11. Elektronisk stabilitetshjælp (ESC) fandtes kun
i et fåtal af bilerne i 2001, mens alle biler solgt efter 2009 har dette udstyr. Netop ESC har
vist sig at have en stor effekt på antallet af bilulykker. Selealarmer, selestrammere og airbags er
også blevet langt mere udbredt i løbet af disse år, og kollisionssikkerheden i bilernes kabine er
blevet videreudviklet; teknik, der ikke har forhindret ulykker, men har mindsket personskaderne.
Tilsammen har disse ting været medvirkende til, at antallet af tilskadekomne bilister generelt
er faldet meget i perioden.
48
Hvorfor sker trafikulykkerne?
PDF to HTML - Convert PDF files to HTML files
1430066_0051.png
Hvorfor sker trafikulykkerne?
49
PDF to HTML - Convert PDF files to HTML files
1430066_0052.png
50
Hvorfor sker trafikulykkerne?
PDF to HTML - Convert PDF files to HTML files
ER HVU-ULYKKERNE REPRæSENTATIVE?
HVU har indtil videre afsluttet dybdeundersøgelser af 291 ulykker fordelt på 9 afgrænsede
temaer. Hovedformålet med undersøgelserne har været at finde ny viden, der kan bruges i
arbejdet med at forebygge ulykker fremover. Undersøgelserne har haft et kvalitativt fokus og
har ikke sigtet mod at producere statistisk materiale.
HVU’s analyser har således aldrig haft til formål at fortælle, hvad der generelt karakteriserer
trafikulykker i Danmark. Alligevel er mange opgørelser blevet opfattet og citeret i pressen, som
om HVU’s konklusioner er gældende for trafikulykker i almindelighed. Det er også den måde,
konklusionerne i flere tilfælde er blevet brugt på af myndigheder og professionelle aktører.
Det er principielt ikke korrekt at bruge dybdeanalyser af et begrænset antal ulykker, som
er afgrænset til nogle på forhånd definerede temaer, til at beskrive de danske trafikulykker
generelt. Men da det har vist sig vanskeligt at undgå, har HVU besluttet at se på, hvor godt
HVU’s materiale er egnet til at beskrive nogle generelle forhold ved de alvorlige trafikulykker,
der sker i Danmark.
Det er gjort ved at sammenligne de 291 ulykker, som HVU har dybdeanalyseret, med de 5999
ulykker med alvorlig personskade, som er registreret i hele landet i de tre år 2011, -12 og -13.
Både tid, sted, ulykkestype, køretøj og de involverede trafikanter er blevet sammenlignet. Det
er også undersøgt, hvor godt de hidtil gennemførte temaer faktisk dækker alle de alvorlige
trafikulykker, der sker i Danmark.
Sammenligningerne, som gennemgås på de følgende sider, viser, at HVU’s ulykker på mange
måder er godt dækkende for de ulykker, der sker på landsplan. Men der er også fundet enkelte
markante forskelle.
Konklusionen er, at store dele af det billede, som dybdeanalyserne af de 291 ulykker giver, også
vil gælde for ulykkerne i Danmark generelt. Men præcis hvilke dele af billedet, der ikke stemmer,
vil man som udgangspunkt ikke kunne vide. De sammenligninger, som er nævnt herunder i dette
afsnit, kan dog give visse fingerpeg.
Hvorfor sker trafikulykkerne?
51
PDF to HTML - Convert PDF files to HTML files
1430066_0054.png
Hvem var involveret?
Køretøjer / Trafikantgrupper
En opgørelse af de indblandede trafikanttyper viser, at HVU-ulykkerne ikke er repræsentative
for alle. Mens personbilerne udgør den største gruppe i både HVU-ulykkerne (43%) og på
landsplan (51%), er der groft sagt for mange motorcykler, varevogne og lastbiler og for få
knallerter i HVU’s ulykker. At der er for mange motorcykler, varevogne og lastbiler tilskrives,
at der har været specifikke temaundersøgelser for netop disse trafikanter. For cyklister og
fodgængere bemærkes det, at til trods for, at der har været to temaer til specifikt at under-
søge cyklistulykker og ét tema til fodgængerulykker, er disse to trafikantgrupper faktisk
stadig en smule underrepræsenteret i forhold til det samlede billede. For knallerter må det
konstateres, at de med under 1% i HVU-ulykkerne og over 8% i Vejdirektoratets landsdækkende
ulykkesstatistik er underrepræsenterede i HVU.
Køretøjer/trafikantgrupper
50%
40%
30%
20%
10%
0%
il
l
st
bi
l
s
yk
el
rt
Cy
ke
l
Fo
dg
æ
ng
er
eb
Bu
lle
Va
r
ot
or
c
Kn
a
La
An
de
t
Bi
HVU
DK
Figur 12
Der var 522 trafikanter involveret i de 291 HVU-ulykker; i gennemsnit 1,8 trafikanter pr. ulykke.
Til sammenligning var der 11.249 trafikanter i de 5.999 ulykker fra hele Danmark, altså 1,9
trafikanter pr. ulykke. Forskellen her er altså lille.
52
M
Hvorfor sker trafikulykkerne?
PDF to HTML - Convert PDF files to HTML files
1430066_0055.png
Alder
HVU-ulykkerne indeholder mange unge og yngre trafikanter i forhold til, hvor mange der
optræder på landsplan. Til gengæld er de 45-74-årige lidt underrepræsenteret. Forskellen
er størst med hensyn til 18-24-årige, hvilket må ses i sammenhæng med, at der er et
undersøgelsestema specielt om unge bilister (tema 1). På den anden side har der også været
et tema specielt om ældre bilister, og som figuren viser, har dette ikke givet anledning til, at
antallet af ældre trafikanter er overrepræsenteret i HVU-ulykkerne.
Aldersfordeling af involverede parter (førere, cyklister og fodgængere)
20%
15%
10%
5%
0%
år
år
år
år
år
år
17
4
4
4
4
4
4
0-
18
25
35
45
55
65
-7
75
-2
-3
-4
-5
-6
r
år
HVU
DK
Figur 13
Hvorfor sker trafikulykkerne?
53
PDF to HTML - Convert PDF files to HTML files
1430066_0056.png
Selv om aldersgrupperne ikke er nøjagtigt repræsenteret, er der ingen aldersgrupper, som er
meget skævt repræsenteret.
Køn
I hele landets alvorlige trafikulykker udgjorde kvinderne 30,4 % af trafikanterne – dvs. fod-
gængere, cyklister samt førere af de involverede køretøjer. I HVU-ulykkerne udgjorde kvinderne
kun 24 % af de involverede trafikanter. I undersøgelsen om eneulykker med unge bilister (tema
1) var kun 9% (3 ud af 32) kvinder, mens fodgængerulykkerne (tema 11) havde den mest
ligelige kønsfordeling med 39% kvinder (inkl. de involverede bilister). Forskellen må altså ses
som udtryk for, at de konkrete undersøgelsestemaer udviser store forskelle i kønsfordelingen.
Hovedparten af de temaer, som HVU har undersøgt, har altså været karakteriseret ved at være
med relativt få kvinder involveret.
Hvordan skete ulykken?
Ulykkesstatistikken opererer med en standardiseret kategorisering af de såkaldte ulykkes-
situationer, alt efter hvordan parterne i en ulykke rammer hinanden. Opgørelsen viser, at de
dybdeanalyserede ulykker ikke adskiller sig meget fra alle Danmarks alvorlige ulykker på dette
punkt.
Hvordan skete ulykken?
30%
25%
20%
15%
10%
5%
0%
ke
sio
n
llis
sio
n
m
od K
sa ryd
t r s,
et fr
ni a
ng
sa
m Kry
m d
e s,
re fr
tn a
in
g
fra Kry
sid ds,
en
lyk
lis
lis
eu
de
ko
l
lko
rk
ol
Fo
d
En
ng
er
io
n
HVU
DK
Ba
ge
n
Fr
on
ta
Tv
æ
Figur 14
54
sv
in
g
Hvorfor sker trafikulykkerne?
PDF to HTML - Convert PDF files to HTML files
1430066_0057.png
Den største forskel er, at krydsningsulykker med parterne kommende fra samme retning
udgør en større andel i HVU’s ulykker end på landsplan. Forskellen kan forklares med, at HVU
har haft et tema med netop denne specielle gruppe ulykker: højresvingsulykker ind foran
ligeudkørende cyklister (tema 4). Ingen ulykkestyper mangler repræsentation eller er meget
stærkt overrepræsenteret blandt HVU’s ulykker.
Årstid for ulykken
16%
14%
12%
10%
8%
6%
4%
2%
0%
HVU
DK
jan
feb
mar
apr
maj
juni
juli
aug
sept
okt
nov
dec
Figur 15
Hvornår skete ulykken?
Årstid i Danmark
En relativt stor andel af HVU-ulykkerne skete i september og øvrige efterårsmåneder, mens
der i vintermånederne er en mindre andel HVU-ulykker end ulykker i Danmark generelt. HVU-
ulykkerne kan dermed ikke siges at være helt repræsentative med hensyn til årstid.
Lys / mørke
Der er præcis samme fordeling af ulykkerne på lys og mørke i HVU-ulykkerne
som i ulykkerne i Danmark generelt. HVU er pt. ved at analysere ulykker, der
sker om natten for at se, hvad der er særligt ved disse ulykker.
Lys / Mørke
100%
75%
50%
25%
0%
Mørke
Tusmørke
Dagslys
HVU
DK
Figur 16
Hvorfor sker trafikulykkerne?
55
PDF to HTML - Convert PDF files to HTML files
1430066_0058.png
Hvor typiske og dækkende er de undersøgte temaer?
Da HVU i sin tid havde gennemført de første par temaundersøgelser, var de undersøgte ulykker
selvfølgelig ikke repræsentative, men belyste de særlige emner, der var valgt. Men nu har HVU
dybdeanalyseret 9 temaer, og dermed er det blevet mere interessant at se, hvor godt de
9 temaer tilsammen dækker den samlede mængde af alvorlige ulykker, der sker i Danmark.
På figur 17 viser de blå søjler, hvor mange af HVU’s ulykker der ligger inden for de valgte
temaer. De tilhørende røde søjler viser, hvor stor en andel den pågældende ulykkestype
repræsenterer de alvorlige ulykker, der sker i hele Danmark. Når ulykkerne inden for de
9 hidtil undersøgte temaer slås sammen, og der tages hensyn til, at mange ulykker optræder
i flere temaer, så kan det beregnes, at HVU-temaerne tilsammen repræsenterer lidt over
halvdelen af de alvorlige ulykker, der sker i Danmark. (Vurderet i forhold til Vejdirektoratets
ulykkesdata for 2011-2013 drejer det sig om 54%).
De fleste undersøgelsestemaer repræsenterer hver omkring 5-10% af de alvorlige ulykker, der
sker i Danmark. Den mest markante undtagelse er cyklistulykker med højresvingende lastbiler
(tema 4), som kun udgør ca. 0,7% af landets totale antal alvorlige ulykker. Det er interessant
at sammenligne med tema 5, som omhandler krydsulykker generelt med cyklister – de står
for over 10 % af hele landets alvorlige ulykker.
Fodgængerulykker er en anden undtagelse. Med 15% af alle Danmarks alvorlige ulykker er dette
tema det, som repræsenterer flest alvorlige ulykker.
56
Hvorfor sker trafikulykkerne?
PDF to HTML - Convert PDF files to HTML files
1430066_0059.png
Hvorfor sker trafikulykkerne?
10%
12%
14%
16%
0%
2%
4%
6%
8%
Typiske ulykker
Figur 17
1.
So
lo
un
ge
2.
M
ot
or
ve
j
3.
Va
re
bi
le
r
4.
Cy
kle
r/h
øj
re
sv
in
g
5.
Cy
kle
ri
kr
yd
s
M
ot
or
c
6.
yk
le
7.
r
La
nd
9.
Æl
dr
e
ev
ej
HVU alle
bi
lis
te
r
11
.F
od
ng
er
e
DK alv/dr
57
PDF to HTML - Convert PDF files to HTML files
1430066_0060.png
58
Hvorfor sker trafikulykkerne?
PDF to HTML - Convert PDF files to HTML files
BILAG
Kort om HVU og HVU’s arbejdsmetode
Formålet med arbejdet i HVU er at få mere viden om trafikulykker, så der kan sættes mere
målrettet ind for at forebygge dem. HVU består af en tværfaglig gruppe, der foretager dybde-
analyser af hyppige og alvorlige ulykkestyper. For at få et mere præcist billede af hvorfor
ulykkerne sker, undersøges de nærmere omstændigheder ved hver enkelt ulykke.
HVU’s analyser foretages på baggrund af omfattende indsamling af data og informationer.
Bl.a. undersøger HVU de implicerede køretøjer og ulykkesstedet samt gennemfører interviews
med ulykkens parter og vidner. HVU’s eget materiale suppleres med materiale fra politi,
bilinspektører, vejmyndigheder, sygehuse/skadesstuer og retsmedicinske institutter.
HVU’s arbejdsmetode
HVU’s analyse af den enkelte ulykke har til formål at belyse, hvilke forhold der førte til, at
ulykken skete. Der lægges ikke vægt på skyld og lovovertrædelser. Analysen gennemføres efter
en fast metodik, som i hovedtræk er uændret siden HVU’s første temaanalyse.
Første element i analysen af en ulykke er at fastlægge hændelsesforløbet ud fra det indsamlede
materiale. HVU fastlægger altid hændelsesforløbet med deltagelse af alle faggrupper (vejingeniør,
psykolog, bilinspektør, politi og læge). I processen støtter HVU sig til rekonstruktioner af ulykken,
og værktøjerne ”PC-Crash” og ”PC-Rect” anvendes til rekonstruktionerne.
Dernæst foretages en analyse af trafikanternes informationsbearbejdning i sekunderne
umiddelbart inden kollisionen. Var den nødvendige information til rådighed, og blev den opfattet
og tolket korrekt af trafikanterne?
Næste trin er en gennemgang af elementernes betydning: HVU ser overordnet ulykker som et
svigt i samspillet mellem trafikanterne, køretøjerne og vejen/omgivelserne. Derfor foretages
en generel vurdering af disse elementers betydning for ulykkerne. Det kan f.eks. være forhold
ved vejudformningen, eller de involveredes adfærd eller tilstand, eller fejl og mangler ved
køretøjerne. Hastighedens betydning vurderes også.
Hvorfor sker trafikulykkerne?
59
PDF to HTML - Convert PDF files to HTML files
1430066_0062.png
Derpå fastlægges, hvilke faktorer der førte til ulykken (ulykkesfaktorer), og hvilke der havde
betydning for skadernes omfang (skadesfaktorer). HVU opererer med et afgrænset antal mulige
faktorer. Oversigten over faktorerne samt deres sammenhæng med informationsbearbejdningen
kan ses på HVU’s hjemmeside.
Ulykkesfaktor
En ulykkesfaktor har afgørende betydning for, at en ulykke sker. Der er ofte flere ulykkes-
faktorer, som medvirker til en ulykke, f.eks. kan både for høj hastighed og utilstrækkelig
orientering have afgørende betydning for, at en ulykke sker. Hvis blot én af ulykkesfaktorerne
ikke havde været der, så var ulykken ikke sket.
Skadesfaktor
En skadesfaktor forværrer personskaderne, men har ikke betydning for, om ulykken sker. F.eks.
kan manglende selebrug forværre personskaderne, men selebrugen er uden betydning for
ulykkens opståen.
Bagvedliggende faktor
Når det er muligt ud fra de oplysninger, der foreligger om ulykken, fastlægger HVU også,
hvad der ligger bag eller forklarer ulykkesfaktorerne. F.eks. kan distraktion eller travlhed være
forklaringen på, at en trafikant ikke orienterer sig tilstrækkeligt, eller alkohol kan ligge bag høj
hastighed. En bagvedliggende faktor forklarer eller uddyber en ulykkesfaktor. En bagvedliggende
faktor kan ligesom en ulykkesfaktor knytte sig til trafikanten, køretøjet, vejen og omgivelserne,
men den kan desuden knytte sig til, hvad man kan kalde systemet, for eksempel chaufførers
arbejdsmiljø, eller mangelfuld vejplanlægning.
Se www.hvu.dk for en mere detaljeret beskrivelse af HVU’s metode samt øvrige HVU-rapporter.
60
Hvorfor sker trafikulykkerne?
PDF to HTML - Convert PDF files to HTML files
Hvorfor sker trafikulykkerne?
61
PDF to HTML - Convert PDF files to HTML files
1430066_0064.png
HAVARI KOM M ISSION EN
FO R V E J T RA F I KU LYKKE R
Design: Ole Søndergaard • Tryk: Nofo Print
H AVA R I KO M M I S S I O N E N FO R
V E J T R A F I K U LY K K E R
c/o Vejdirektoratet
Niels Juels Gade 13
Postboks 9018
DK-1022 København K
Telefon: 7244 3204
www.hvu.dk
62
Hvorfor sker trafikulykkerne?