Miljøudvalget 2014-15 (1. samling)
MIU Alm.del Bilag 222
Offentligt
1513514_0001.png
Det nationale
reformprogram
Danmark
2015
KLAUSULERET INDTIL
FREDAG DEN 27. MARTS KL. 9.15
Marts 2015
PDF to HTML - Convert PDF files to HTML files
 
PDF to HTML - Convert PDF files to HTML files
Indhold
1.
2.
3.
Indledning .................................................................................................................... 3
Den økonomiske ramme.............................................................................................. 5
De landespecifikke anbefalinger .................................................................................. 9
3.1 Finanspolitik og udgiftsstyring ........................................................................... 10
3.2 Øge inklusionen på arbejdsmarkedet og uddannelsesreformer ....................... 13
3.3 Fjerne barrierer for konkurrencen og reducere lovgivningsmæssige krav ........ 25
De nationale mål i Europa 2020-strategien ............................................................... 31
4.1 Det nationale mål for beskæftigelse .................................................................. 32
4.2 Det nationale mål for forskning og udvikling...................................................... 35
4.3 Det nationale mål for klima og energi ................................................................ 38
4.4 Det nationale mål for uddannelse ...................................................................... 41
4.5 Det nationale mål for social inklusion ................................................................ 45
Grøn, økonomisk og social bæredygtighed ............................................................... 51
5.1 Grøn bæredygtighed.......................................................................................... 52
5.2 Økonomisk bæredygtighed................................................................................ 60
5.3 Social bæredygtighed ........................................................................................ 61
Institutionelle spørgsmål og interessentinddragelse ................................................. 67
4.
5.
6.
PDF to HTML - Convert PDF files to HTML files
1513514_0004.png
Kapitel 1
1.
Nyt kapitel
Indledning
Dansk økonomi er i gradvis bedring, med stigende BNP og fremgang i beskæftigelsen. De
senere års omfattende reformindsats har medvirket til, at Danmark er godt rustet til at kunne
hægte sig på det internationale opsving, efterhånden som det tager fat. Virksomhedernes
konkurrenceevne er blevet styrket afgørende og husholdningernes økonomi er blevet sunde-
re. Den økonomiske politik er tilrettelagt med henblik på at understøtte aktivitet og beskæfti-
gelse mest muligt inden for de ansvarlige rammer, der blandt andet er giver ved Stabilitets-og
Vækstpagten og Budgetloven.
Hvert forår i forbindelse med det europæiske semester, fremsender de enkelte EU-
medlemslande årlige nationale reformprogrammer, som redegør for landenes strukturrefor-
mer. Der fremsendes ydermere de årlige nationale stabilitets- og konvergensprogrammer,
der redegør for finanspolitikken.
Danmarks nationale reformprogram redegør for de tiltag, som Danmark har taget for at efter-
leve de landespecifikke anbefalinger som opfølgning på det nationale reformprogram og kon-
vergensprogrammet 2014. Der beskrives også den danske udmøntning af EU’s vækststrategi
(Europa 2020). Desuden præsenteres den overordnede økonomiske ramme for den danske
økonomi, som er baseret på konvergensprogrammet for 2015. I dette års nationale reform-
program er der særligt fokus på implementeringen og foreløbige effektvurderinger af de se-
neste års reformindsats.
Strukturen i det nationale reformprogram for Danmark 2015 er som følger;
Kapitel 2 beskriver den overordnede økonomiske ramme for Danmark, herunder den
samfundsøkonomiske udvikling og finanspolitikken.
Kapitel 3 redegør for de tiltag, som Danmark har taget og vil tage for at efterleve EU’s
landespecifikke anbefalinger til Danmark fra 2014.
Kapitel 4 omhandler de tiltag, som Danmark har taget og vil tage for at bidrage til opfyl-
delsen af Europa 2020-strategiens fem overordnede mål.
Kapitel 5 beskriver den danske strategi for grøn, økonomisk og social bæredygtighed.
Kapitel 6 redegør for inddragelsen af Folketinget og interesseorganisationer.
Danmarks nationale reformprogram 2015
·
Marts 2015
3
PDF to HTML - Convert PDF files to HTML files
1513514_0005.png
Kapitel 1
1
PDF to HTML - Convert PDF files to HTML files
1513514_0006.png
Kapitel 2
2.
Nyt kapitel
Den økonomiske ramme
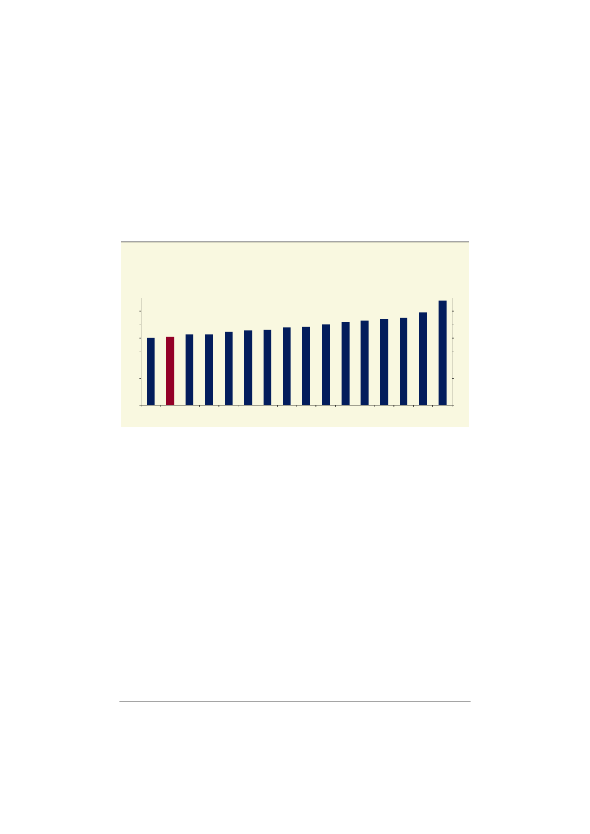
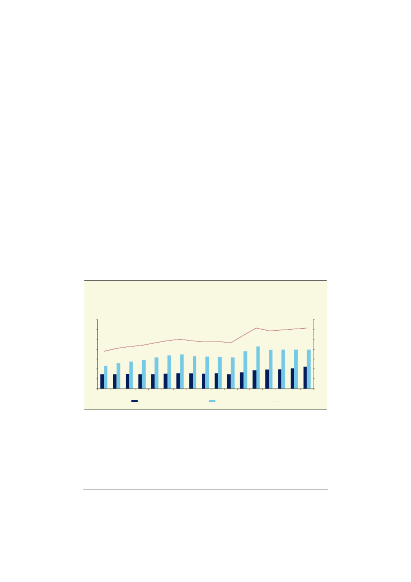
Konjunkturgenopretningen af dansk økonomi er godt undervejs med fremgang i BNP i over
1�½ år. Produktionen steg støt i løbet af 2014, og for året som helhed var der en BNP-vækst
på 1 pct.,
jf. figur 2.1.
Fremgangen har været stærkere i den private sektor (ekskl. råstofud-
vinding), hvor BVT steg med 1,4 pct. i 2014. Det har skabt tydelig fremgang på arbejdsmar-
kedet. I den private sektor var der flere end 38.000 flere beskæftigede i 4. kvartal 2014 end i
2. kvartal 2013, hvor udviklingen vendte,
jf. figur 2.2.
Det svarer til en stigning på 2 pct. Le-
digheden er endvidere reduceret fra 5,8 pct. i midten af 2013 til 4,9 pct. i starten af 2015.
Figur 2.1
BNP og privat BVT ekskl. råstofudvinding i
Danmark
Indeks (2009K2=100)
110
108
106
104
102
100
98
07
08
BNP
09
10
11
12
13
14
Indeks (2009K2=100)
110
108
106
104
Figur 2.2
Privat beskæftigelse
1.000 personer
1.970
1.960
1.950
1.940
1.930
1.000 personer
1.970
1.960
1.950
1.940
1.930
1.920
1.910
1.900
102
1.920
100
98
1.910
1.900
13K1 13K2 13K3 13K4 14K1 14K2 14K3 14K4
Privat BVT ekskl. råstofudvinding
Anm.: Beskæftigelsen i figur 1 er opgjort ekskl. orlov.
Kilde: Danmarks Statistik og egne beregninger.
Genopretningen ventes at få mere fart i år og næste år. Henover årsskiftet og ind i 2015 er
olieprisen og renterne faldet ekstraordinært, hvilket især kan styrke forbruget og dermed
grundlaget for fremgang i dansk økonomi. Samlet set skønnes BNP-væksten at blive 1,6 pct.
i år og 2,0 pct. næste år,
jf. figur 2.3.
Det er en opjustering på 0,2 pct. i år i forhold til vækst-
prognosen i
Økonomisk Redegørelse, december 2014.
Dansk økonomi er i høj grad påvirket af udviklingen i udlandet. Udsigterne for dansk økonomi
skal derfor ses i lyset af, at der er en bedring undervejs i den globale økonomi generelt, og
særligt at genopretningen i euroområdet fortsætter. Afdæmpede lønstigninger og en gunstig
produktivitetsudvikling i de seneste år understøtter desuden de danske virksomheders kon-
kurrenceevne. Virksomhedernes konkurrenceevne understøttes også af skatte- og afgiftslet-
telser og andre initiativer, der forbedrer virksomhedernes rammevilkår, herunder
Vækstplan
DK
og
Vækstpakke 2014.
Danmarks nationale reformprogram 2015
·
Marts 2015
5
PDF to HTML - Convert PDF files to HTML files
1513514_0007.png
Kapitel 2
Den økonomiske ramme
Figur 2.3
BNP vækst i Danmark
Pct.
3,0
2,5
2,0
1,5
1,0
0,5
0,0
-0,5
-1,0
11
12
13
14
15
16
17
18
19
20
Pct.
3,0
2,5
2,0
1,5
1,0
Figur 2.4
Faktisk og strukturel beskæftigelse
1.000 personer
2.950
2.900
2.850
2.800
2.750
1.000 personer
2.950
2.900
2.850
2.800
2.750
2.700
2.650
2.600
00
02
04
06
08
10
12
14
16
18
20
0,5
2.700
0,0
-0,5
-1,0
2.650
2.600
Beskæftigelse
Strukturel beskæftigelse
Anm.: Den strukturelle beskæftigelse er et beregnet skøn for beskæftigelsesniveauet i en normal konjunk-
tursituation.
Kilde: Danmarks Statistik og egne beregninger.
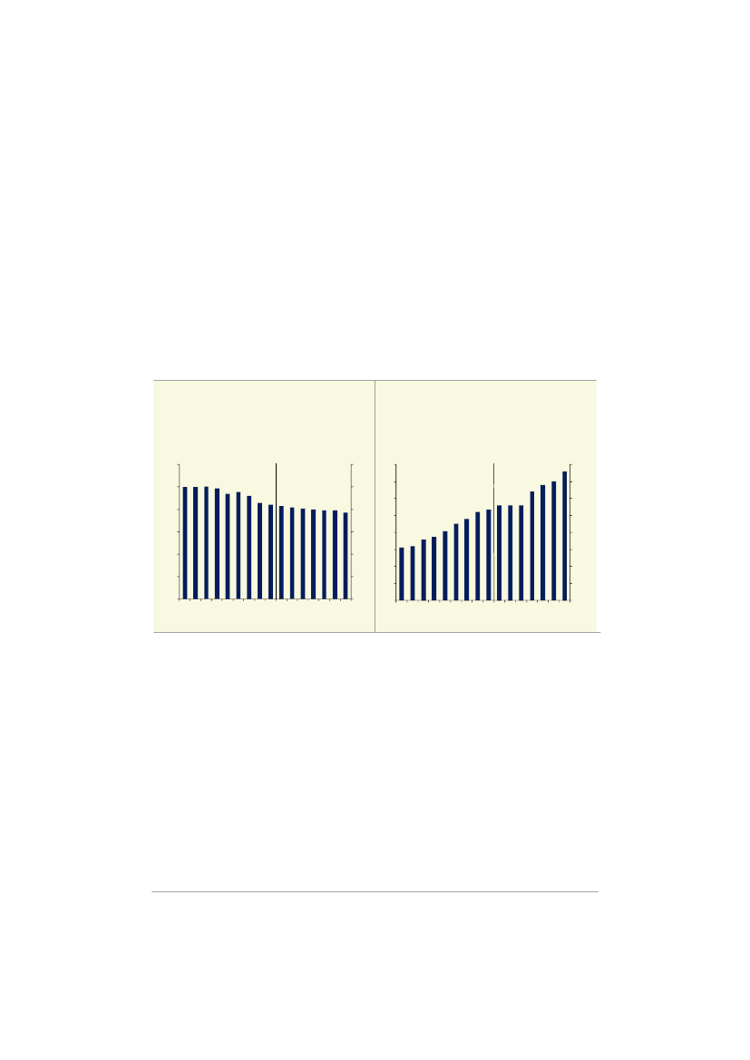
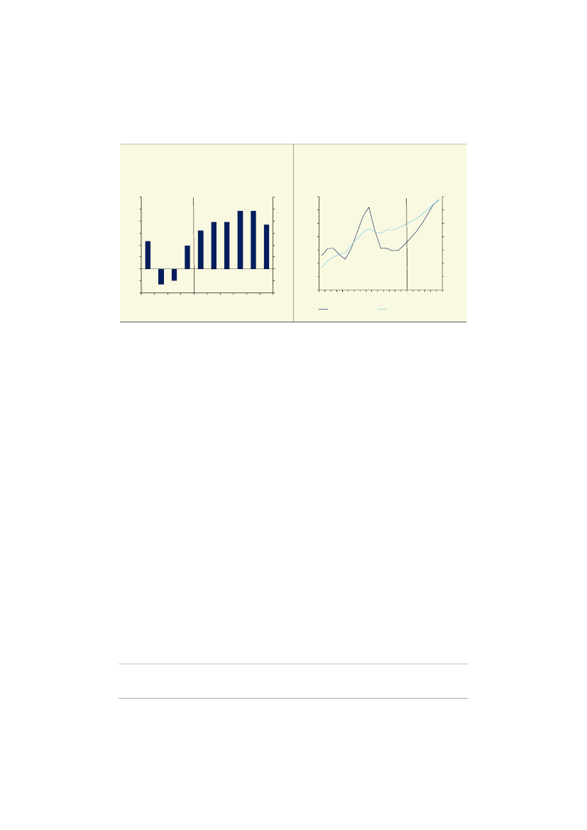
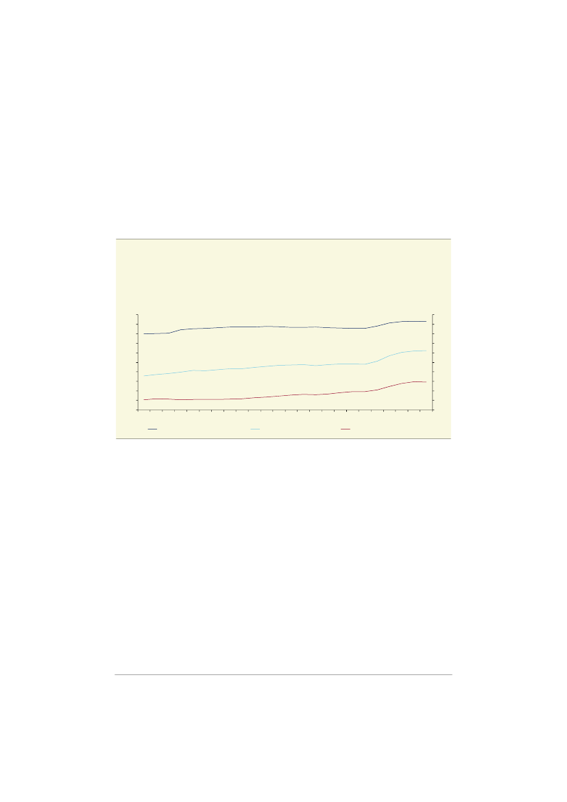
Der er dog fortsat ledige ressourcer i økonomien, og for 2015 skønnes et outputgab på om-
kring 2 pct. af BNP. I 2016 skønnes outputgabet at udgøre 1�½ pct. af BNP. Fremskrivningen i
Danmarks Konvergensprogram 2015 er baseret på en gradvis genopretning af økonomien,
således at outputgabet lukkes omkring 2019. Den langstrakte periode med et negativt out-
putgab skal ses i lyset af, at genopretningsperioder efter finansielle kriser typisk tager længe-
re tid. Samlet skønnes konjunkturnormaliseringen, den underliggende demografiske udvikling
samt indfasningen af reformer at hæve beskæftigelsen med ca. 190.000 personer fra 2013 til
2020, hvoraf ca. 105.000 skyldes en stigning i den strukturelle beskæftigelse,
jf. figur 2.4.
1
Det skal ses i lyset af reformindsatsen,
jf. afsnit 4.1.
Den økonomiske politik tilrettelægges inden for rammerne af budgetloven og overholder EU’s
fælles regler, herunder Stabilitets- og Vækstpagtens underskudsgrænse for den faktiske sal-
do på 3 pct. af BNP. Danmark har nationalt fastsat sit mellemfristede mål for de offentlige fi-
nanser (MTO) til -�½ pct. af BNP svarende til budgetlovens underskudsgrænse på �½ pct. af
BNP. Budgetlovens grænse er fastlagt ud fra, at underskudsgrænsen som udgangspunkt sik-
rer, at den faktiske saldo i en normal lavkonjunktur med høj sandsynlighed kan overholde
grænsen på 3 pct. af BNP.
De centrale mellemfristede mål for finanspolitikken er, at der skal være mindst strukturel ba-
lance på de offentlige finanser i 2020, samt at den offentlige gæld skal holde en sikkerheds-
afstand til grænsen på 60 pct. af BNP i Stabilitets- og Vækstpagten. I takt med at den øko-
nomiske fremgang tager fart, vil der i de kommende år være behov for gradvist at trække den
1
Stigningen i beskæftigelsen på 190.000 personer fra 2013-20 er opgjort som antal personer. Omregnet til fuld-
tidspersoner drejer det sig om 166.000 personer, heraf 159.000 personer i privat beskæftigelse, jf. afsnit 4.1.
6
Danmarks nationale reformprogram 2015
·
Marts 2015
PDF to HTML - Convert PDF files to HTML files
1513514_0008.png
Kapitel 2
Den økonomiske ramme
lempelige finanspolitik tilbage og dermed sikre, at finanspolitikken er symmetrisk henover
konjunkturcyklen. Finanspolitikken tilrettelægges så afstanden til budgetlovens underskuds-
grænse gradvist øges frem mod målet om strukturel balance i 2020..
Inden for den finanspolitiske ramme sikres en balanceret vækst i ressourcerne til den offentli-
ge sektor, og de gennemførte reformer giver mulighed for, at udgifterne til offentligt forbrug
og forskning og udvikling kan vokse med 3 mia. kr. årligt i 2014-20,
jf. figur 2.5.
Det offentlige
investeringsniveau har været ekstraordinært højt under den økonomiske krise, hvilket isoleret
har bidraget til at understøtte vækst og beskæftigelse. Der er frem mod 2020 planlagt et fort-
sat højt investeringsniveau, selvom dette gradvist reduceres som andel af BNP i takt med at
den økonomiske vækst tager til,
jf. figur 2.6.
Udgiftslofter understøtter, at de overordnede finanspolitiske mål indfries. Lofterne fastsættes
af Folketinget og sætter bindende rammer for udgifterne i stat, kommuner og regioner. Tiltag
til bedre økonomistyring og økonomiske sanktionsmekanismer skal sikre overholdelse af ud-
giftslofterne. De Økonomiske Råd vurderer løbende, om den økonomiske politik overholder
målet for den strukturelle saldo, og om udgiftslofterne overholdes og er afstemt med de mel-
lemfristede udsigter.
Figur 2.5
Realvækst i ressourcerne til offentligt forbrug
og forskning og udvikling mv.
Mia. kr. (2015-priser)
7
6
5
4
3
2
1
0
08-13
14
15
16
17
18
19
20
Mia. kr. (2015-priser)
7
6
5
4
3
2
1
Figur 2.6
Offentlige investeringer i bygninger og anlæg
m.m.
Pct. af BNP
3,0
Pct. af BNP
3,0
2,5
2,5
2,0
Gennemsnit 1990‐2013
2,0
1,5
0
1,5
90 92 94 96 98 00 02 04 06 08 10 12 14 16 18 20
Kilde: Danmarks Statistik og egne beregninger.
Ud over at sikre langsigtet finanspolitisk holdbarhed har den økonomiske politik fokus på at
øge produktivitet og privat beskæftigelse gennem bedre rammevilkår for den private sektor
og styrket konkurrence. På den baggrund blev der i Vækstplan DK udmeldt en målsætning
om, at væksten frem mod 2020 via politiske initiativer skal forøges med i alt 40 mia. kr. sva-
rende til et løft i BNP på 2 pct. Dertil kommer en målsætning om modernisering af den offent-
lige sektor, og derigennem at frigøre 12 mia. kr. (svarende til 0,6 pct. af BNP) frem mod 2020
til udvikling af den offentlige service. Regeringen er med de allerede gennemførte reformer
godt i gang med at indfri vækstmålsætningen,
jf. Danmarks Konvergensprogram 2015.
Der
følges løbende op på de opnåede mål, og reformarbejdet vil fortsætte i de kommende år.
Danmarks nationale reformprogram 2015
·
Marts 2015
7
PDF to HTML - Convert PDF files to HTML files
1513514_0009.png
Kapitel 1
1
PDF to HTML - Convert PDF files to HTML files
1513514_0010.png
Kapitel 3
3.
Nyt kapitel
De landespecifikke
anbefalinger
Danmark modtog den 8. juli 2014, som led i det europæiske semester, Rådets udtalelse om
Danmarks økonomiske politik på baggrund af konvergensprogrammet og det nationale re-
formprogram 2014. Danmark modtog i alt tre anbefalinger,
jf. boks 3.1.
Boks 3.1
De landespecifikke anbefalinger for Danmark
Rådet anbefaler, at Danmark i perioden 2014-15 træffer foranstaltninger med henblik på at:
1.
Efter korrektionen af det uforholdsmæssigt store underskud fortsætte med at føre en vækstfrem-
mende finanspolitik og bevare en sund budgetstilling samt sikre fortsat opfyldelse af den mellemfri-
stede budgetmålsætning i hele konvergensprogrammets løbetid.
Træffe yderligere foranstaltninger for at fremme beskæftigelsesegnetheden for de personer, der be-
finder sig på kanten af arbejdsmarkedet. Forbedre uddannelsesresultaterne, navnlig hos de unge
med indvandrerbaggrund, og effektivisere erhvervsuddannelserne. Lette overgangen fra uddannelse
til arbejdsliv, herunder gennem mere udbredt arbejdspladslæring og flere praktikpladser.
Øge indsatsen for at fjerne adgangsbarriererne og reducere de lovgivningsmæssige krav med hen-
blik på at øge konkurrencen i den indenlandske servicesektor, navnlig inden for detailhandel og
bygge- og anlæg, som anbefalet af Produktivitetskommissionen.
2.
3.
Danmark har samlet set gjort fremskridt i forhold til at følge op på anbefalingerne. Det be-
kræftes af EU-kommissionens landerapport for Danmark offentliggjort i februar 2015. Heraf
fremgår det, at Kommissionen vurderer, at Danmark fører en ansvarlig finanspolitik. Samtidig
vurderer de, der er gjort nogle fremskridt i forhold til at forbedre beskæftigelsesegnetheden
for personer på kanten af arbejdsmarkedet. På den tredje anbefaling vurderer Kommissionen
derimod kun at der er blevet gjort begrænset med fremskridt.
Anbefalinger er i stort omfang i overensstemmelse med målene for regeringens politik. Rege-
ringen fører en ansvarlig økonomisk politik, som sikrer sunde offentlige finanser inden for
rammerne af budgetloven. Reformer af arbejdsmarkedet og initiativer på uddannelsesområ-
det sigter blandt andet på at forbedre beskæftigelsesmulighederne for personer på kanten af
arbejdsmarkedet, og på at få mere afkast af uddannelsessystemet. Og en række konkrete ini-
tiativer er taget for at øge konkurrencen i servicesektoren.
Danmarks nationale reformprogram 2015
·
Marts 2015
9
PDF to HTML - Convert PDF files to HTML files
1513514_0011.png
Kapitel 3
De landespecifikke anbefalinger
3.1
Finanspolitik og udgiftsstyring
Finanspolitikken har under krisen været tilrettelagt med henblik på at understøtte vækst og
beskæftigelse mest muligt inden for de rammer, der er givet ved Stabilitets- og Vækstpagten,
Finanspagten og den danske budgetlov. Den ansvarlige og balancerede linje i den økonomi-
ske politik bidrager til den høje grad af tillid til den danske økonomi og dermed også til at un-
derstøtte det lave renteniveau.
Efter at have konsolideret de offentlige finanser i 2011-13 blev Danmarks EU-henstilling op-
hævet på ECOFIN-mødet i juni 2014. Danmark modtog henstillingen i juli 2010 som følge af
udsigten til ”uforholdsmæssigt store underskud”. Ophævelsen afspejler, at EU-Kommissionen
i forårsprognosen (2014) vurderede, at Danmark har bragt det offentlige underskud holdbart
under grænsen på 3 pct. af BNP i 2013, hvilket var hovedkravet i henstillingen.
I Rådets udtalelse på baggrund af Danmarks Nationale Reformprogram for 2014 og Dan-
marks Konvergensprogram 2014 anbefales det, at
”Efter korrektionen af det uforholdsmæs-
sigt store underskud [at] fortsætte med at føre en vækstfremmende finanspolitik og bevare en
sund budgetstilling samt sikre fortsat opfyldelse af den mellemfristede budgetmålsætning i
hele konvergensprogrammets løbetid.”
Finanspolitikken er afstemt konjunktursituationen
Selvom dansk økonomi er i fremgang, er der fortsat ledige ressourcer. Finans- og udgiftspoli-
tikken har under den økonomiske krise været lempelig i et historisk perspektiv. Det gælder
fortsat med den planlagte politik for 2015, som er tilrettelagt med henblik på at understøtte
økonomien mest muligt inden for de finanspolitiske rammer. I takt med at den økonomiske
fremgang ventes at tage yderligere fart, vil der være behov for gradvist at normalisere den
lempelige finanspolitik. Det er navnlig i kraft af gennemførte reformer og en gradvis normali-
sering af det høje niveau for de offentlige investeringer, at der gøres fremskridt mod kravet
om mindst strukturel balance i 2020, som er foreneligt med finanspolitisk holdbarhed.
Udviklingen i den faktiske saldo
Baseret på seneste skøn vurderes Danmark også i de kommende år at opfylde Stabilitet- og
Vækstpagtens krav om faktiske offentlige underskud på højst 3 pct. af BNP,
jf. tabel 3.1 og
Danmarks Konvergensprogram, marts
2015.
Tabel 3.1
Faktisk og strukturel offentlig saldo, 2011-16
Pct. af BNP
Faktisk saldo
Faktisk saldo ekskl. midlertidige forhold
Strukturel saldo
1)
2011
-2,1
-2,1
-0,4
2012
-3,7
-2,1
-0,8
2013
-1,1
-3,0
-0,3
2014
1,3
-2,1
-0,8
2015
-1,6
-2,3
-0,7
2016
-2,6
-2,5
-0,5
1)
De midlertidige forhold vedrører tilbagebetalingen af efterlønsbidrag i 2012 og særlige midlertidige
indtægter i 2013-15 primært afledt af omlægningen af kapitalpensioner.
Kilde:
Danmarks Konvergensprogram,
marts 2015.
10
Danmarks nationale reformprogram 2015
·
Marts 2015
PDF to HTML - Convert PDF files to HTML files
1513514_0012.png
Kapitel 3
De landespecifikke anbefalinger
Danmarks Statistik har foreløbigt opgjort et faktisk offentligt overskud på 1,3 pct. af BNP i
2014, mens der forventes underskud på ca. 1¾ pct. af BNP i 2015 og ca. 2�½ pct. af BNP i
2016. De skønnede offentlige underskud i 2015 og 2016 holder dermed en vis afstand til
Stabilitets- og Vækstpagtens grænse på 3 pct. af BNP. Den faktiske offentlige saldo er i
2013-15 påvirket af en række midlertidige indtægter, herunder indtægter afledt af rabatord-
ningen i forbindelse med omlægningen af eksisterende kapitalpensionsordninger. De forud-
satte midlertidige indtægter forbedrer isoleret set de offentlige finanser med 1,9 pct. af BNP i
2013, 3,4 pct. i 2014 og 0,7 pct. af BNP i 2015.
2
Med finanslovforslaget for 2015 blev råderummet i finanspolitikken udnyttet fuldt ud med et
strukturelt underskud på �½ pct. af BNP svarende til grænsen i budgetloven, der er sammen-
faldende med Danmarks nationalt fastsatte mellemfristede strukturelle saldomål (MTO). Det
faktiske underskud blev samtidig skønnet til 3 pct. af BNP i 2015. Efter fremlæggelsen af fi-
nanslovforslaget (i august 2014) pegede en række nøgletal i retning af svækkede vækstud-
sigter og dermed større faktisk underskud. Med henblik på at sikre en vis afstand til Stabili-
tets- og Vækstpagtens underskudsgrænse indgik regeringen derfor i oktober 2014 en aftale
om pensionspakken, der isoleret set skønnes at forbedre den faktiske saldo med ca. 15 mia.
kr. i 2015 (svarende til ¾ pct. af BNP), og som samtidig ikke dæmper den økonomiske aktivi-
tet. De midlertidige indtægter fra pensionspakken kan henføres til, at muligheden for at om-
lægge kapitalpensioner forlænges til at omfatte 2015, og at alle over 60 år kan få deres pen-
sionsopsparing i Lønmodtagernes Dyrtidsfond (LD) udbetalt i 2015 med en skatterabat.
I 2016 – hvor der skønnes et underskud på 2,6 pct. af BNP – er den faktiske offentlige saldo
stort set ikke påvirket af engangsforhold. Finanspolitikken i 2016 fastlægges først endeligt i
forbindelse med finansloven for 2016. Vurderingen af de offentlige finanser i 2016 er derfor i
et vist omfang baseret på beregningstekniske antagelser.
Udviklingen i den strukturelle saldo og det mellemfristede saldomål
I 2014 skønnes det strukturelle underskud at udgøre 0,8 pct. af BNP, mens de aktuelle skøn
for 2015 og 2016 indebærer strukturelle underskud på henholdsvis 0,7 og 0,5 pct. af BNP.
Finanspolitikken planlægges inden for rammerne af budgetloven, herunder den strukturelle
underskudsgrænse på �½ pct. af BNP. Underskudsgrænsen gælder i udgangspunktet for det
skønnede strukturelle underskud i forbindelse med fremsættelsen af finanslovforslaget for et
givet finansår. Det betyder dog ikke, at der i perioden efter fremlæggelsen af finanslovforsla-
get kan gennemføres politiske beslutninger, som svækker den strukturelle saldo ud over
budgetlovens underskudsgrænse.
2
Den faktiske saldo er i 2013-15 påvirket af visse ekstraordinære indtægter, som udgøres af midlertidige indtægter
fra omlægning af indestående på kapitalpensionsordninger (28�½ mia. kr. i 2013, 60 mia. kr. i 2014 og 6 mia. kr. i
2015) samt fremrykkede ordinære indtægter fra kapitalpensionsafgiften (5¼ mia. kr. i 2013 og 2¼ mia. kr. i 2014),
som følge af at personer over 60 år i højere grad vælger at få udbetalt kapitalpensionen i 2014 og 2015, hvor skat-
tebetalingen er lavere. Fremrykningen forudsættes at ske ligeligt fra 2015-19. Hertil kommer forventede indtægter
fra beskatningen af udbetalte midler fra LD på knap 9 mia. kr. i 2015. I 2013 og 2014 forventes desuden midler-
tidige indtægter fra pensionsafkastskatten på 2 mia. kr. knyttet til omtegning af gennemsnitsrenteprodukter.
Danmarks nationale reformprogram 2015
·
Marts 2015
11
PDF to HTML - Convert PDF files to HTML files
1513514_0013.png
Kapitel 3
De landespecifikke anbefalinger
Ved fremsættelsen af finanslovforslaget for 2015 (i august 2014) var den strukturelle saldo i
2015 på linje med rammerne i budgetloven. Det aktuelt lidt højere skøn for de strukturelle un-
derskud i 2015 er ikke udtryk for diskretionære politikændringer siden finanslovforslaget for
2015, idet opjusteringen afspejler ændrede skøn og ikke er en følge af politiske beslutninger,
og desuden skal ses i lyset af den usikkerhed, der er forbundet med opgørelse af den struk-
turelle saldo.
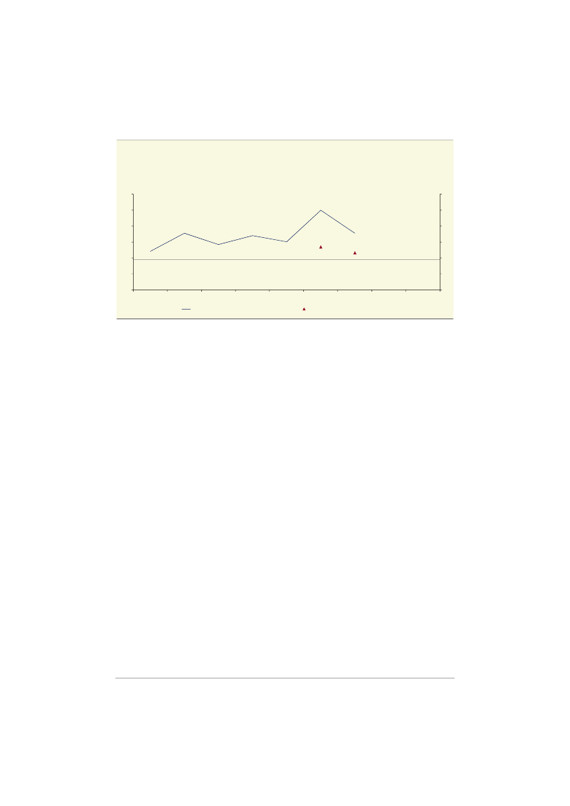
I perioden 2017-20 indebærer den mellemfristede fremskrivning en vis margin i forhold til
budgetlovens grænse for strukturelle underskud,
jf. Danmarks Konvergensprogram 2015.
Samtidig ventes den forudsatte normalisering af konjunkturerne gradvist at reducere det fak-
tiske underskud frem mod 2020,
jf. figur 3.1.
Den forudsatte finanspolitik indebærer desuden, at ØMU-gælden holder en bred sikkerheds-
margen til Stabilitets-og Vækstpagtens gældsgrænse på 60 pct. af BNP,
jf. figur 3.2.
Figur 3.1
Faktisk og strukturel offentlig saldo, 2000-20
Pct. af BNP
6
5
4
3
2
1
0
-1
-2
-3
-4
-5
00
02
04
06
08
10
12
14
16
18
20
Faktisk Saldo
Strukturel saldo
Figur 3.2
Nettogæld og ØMU-gæld, 2000-20
Pct. af BNP
80
70
60
50
40
30
20
10
0
-10
00
02
04
06
08
10
12
14
16
18
20
Pct. af BNP
80
70
60
50
40
30
20
10
0
-10
Pct. af BNP
6
5
4
3
2
1
0
-1
-2
-3
-4
-5
Offentlig nettogæld
ØMU-gæld
Anm: De vandrette stiplede linjer i figur 3.1 viser budgetlovens grænse på �½ pct. af BNP for det struk-
turelle underskud ifølge budgetloven (der er sammenfaldende med Danmarks MTO) og Stabilitets-
og Vækstpagtens grænse for det faktiske underskud på 3 pct. af BNP. Den stiplede linje i figur 3.2
angiver Stabilitets- og Vækstpagtens grænse for ØMU-gælden på 60 pct. af BNP.
Kilde:
Danmarks Konvergensprogram,
marts 2015.
Budgetlov og udgiftslofter
En ansvarlig økonomisk politik er afgørende for at fastholde tilliden til finanspolitikken og ska-
be grundlag for balance og fremtidig vækst i dansk økonomi. Med den budgetlov, som blev
vedtaget af et meget bredt flertal i Folketinget i 2012, er de finanspolitiske rammer i Danmark
styrket.
Med budgetloven er der indført en budgetbalanceregel, som indebærer, at det årlige struktu-
relle offentlige underskud højst må udgøre �½ pct. af BNP, som er sammenfaldende med
Danmarks MTO. Budgetlovens underskudsgrænse gælder i udgangspunktet ved fremsættel-
sen af finanslovforslaget for et givet år. På baggrund af de hensyn, der ligger bag bestem-
12
Danmarks nationale reformprogram 2015
·
Marts 2015
PDF to HTML - Convert PDF files to HTML files
1513514_0014.png
Kapitel 3
De landespecifikke anbefalinger
melserne i budgetloven, må der i perioden efter fremsættelsen af finanslovforslaget ikke gen-
nemføres tiltag med væsentlige negative konsekvenser for den strukturelle saldo i det på-
gældende finansår.
Budgetloven indebærer også en styrkelse af udgiftsstyringen, idet der med virkning fra 2014
indføres bindende og flerårige udgiftslofter for stat, kommuner og regioner. Det bidrager til at
sikre, at der grundlæggende er troværdig finansiering af de offentlige udgifter. For nuværen-
de er der ved lov fastsat udgiftslofter for perioden 2014-18.
Overholdelse af udgiftslofterne understøttes af økonomiske sanktioner, der for kommuner og
regioner omfatter en reduktion af det statslige bloktilskud, hvis de indgåede økonomiaftaler
og vedtagne budgetter ikke overholdes. Samtidig gælder, at hvis det statslige udgiftsloft
overskrides i et givet år, så skal udgiftsloftet for det efterfølgende år som udgangspunkt redu-
ceres tilsvarende,
jf. også Danmarks Konvergensprogram 2014 (boks 6.2).
Udgiftsskred på det kommunale område var en af de væsentligste årsager til, at væksten i
det offentlige forbrug i 90’erne og 00’erne blev højere end planlagt. De senere års brud med
tendensen til overforbrug i kommunerne tyder på, at de nye styringsmekanismer – med mu-
lighed for økonomiske sanktioner – har haft en understøttende effekt for budgetoverholdel-
sen.
På baggrund af de seneste skøn for de statslige udgifter i 2014 og foreløbige regnskabsop-
lysninger om udgifterne i kommuner og regioner vurderes udgiftslofterne at kunne overholdes
i 2014.
Udgiftslofterne i 2015 vurderes ligeledes overholdt med udgangspunkt i den statslige budget-
tering på finansloven for 2015 og de nuværende oplysninger om de kommunale og regionale
budgetter i 2015.
3.2
Øge inklusionen på arbejdsmarkedet og
uddannelsesreformer
I Rådets udtalelse om Danmarks nationale reformprogram for 2014 og konvergensprogram
for 2014 anbefales det, at Danmark i perioden 2014-15
”træffer yderligere foranstaltninger for
at fremme beskæftigelsesegnetheden for de personer, der befinder sig på kanten af ar-
bejdsmarkedet. Forbedre uddannelsesresultaterne, navnlig hos de unge med indvandrer-
baggrund, og effektivisere erhvervsuddannelserne. Lette overgangen fra uddannelse til ar-
bejdsliv, herunder gennem mere udbredt arbejdspladslæring og flere praktikpladser.”
Beskæftigelsesindsatsen skal understøtte, at Danmark har et velfungerende og fleksibelt ar-
bejdsmarked med lav strukturel arbejdsløshed og høj beskæftigelse. Udgangspunktet for re-
geringens beskæftigelsespolitik er derfor, at ledige skal møde et beskæftigelsessystem, der
sætter den enkelte i centrum og ruster dem bedre til job og varig beskæftigelse. Samtidig skal
virksomhederne sikres adgang til kvalificerede medarbejdere, idet beskæftigelsessystemet
skal have fokus på virksomhedernes behov for arbejdskraft og reel jobformidling.
Danmarks nationale reformprogram 2015
·
Marts 2015
13
PDF to HTML - Convert PDF files to HTML files
1513514_0015.png
Kapitel 3
De landespecifikke anbefalinger
Viden og uddannelse er grundlag for fremtidens velstand, og det går fremad med at nå mål-
sætningerne om et højt uddannelsesniveau. Regeringen arbejder for at sikre fagligt stærke
uddannelser af høj kvalitet og relevans i forhold til beskæftigelse, så uddannelserne bidrager
aktivt til vækst, produktivitet og velstand i Danmark. Derfor har regeringen iværksat en reform
af folkeskolen, der skal sikre et fagligt løft af alle elever, og igangsat en reform af erhvervs-
uddannelserne, der skal sikre, at flere unge tager en erhvervsuddannelse, blandt andet ved
at styrke kvaliteten i erhvervsuddannelser. Regeringen har ydermere præsenteret et udspil
om de gymnasiale uddannelser, som skal gøre gymnasiet endnu bedre til at klæde de unge
på til at tage en videregående uddannelse.
3.2.1
Regeringens tiltag på beskæftigelsesområdet
Reformen af førtidspension og fleksjob
Det grundlæggende formål med reformen af førtidspension og fleksjobordningen er, at flest
muligt skal i arbejde og forsørge sig selv. Adgangen til førtidspension begrænses for perso-
ner under 40 år, og der er fokus på, at borgere får hjælp til at få et liv med uddannelse og be-
skæftigelse frem for at få tilkendt førtidspension.
Målgruppen for reformen er mennesker med komplekse problemer, hvor sociale, beskæfti-
gelses- og sundhedsmæssige udfordringer skaber barrierer i forhold til arbejdsmarkedet, og
hvor en manglende tværfaglig indsats betyder, at de er i risiko for at ende på førtidspension.
Der etableres med reformen rehabiliteringsteams i hver af landets kommuner bestående af
en tværfaglig gruppe af sagsbehandlere, som skal sikre, at borgere med risiko for at ende på
førtidspension får en individuel og helhedsorienteret indsats i form af et ressourceforløb. Der
er i et ressourceforløb fokus på at udvikle arbejdsevnen hos den enkelte borger samt at un-
derstøtte borgeren i at håndtere evt. sociale, beskæftigelses- eller helbredsmæssige udfor-
dringer, med det sigte, at borgeren kommer i arbejde.
Samtidig er fleksjobordningen med reformen gjort mere rummelig og målrettet til personer
med en meget begrænset arbejdsevne. Det offentlige tilskud til ordningen er lagt om, og
fleksjob er som udgangspunkt blevet midlertidige.
Reform af førtidspension og fleksjob trådte i kraft d. 1. januar 2013. Kommunerne arbejder
efter reformen og har i vid udstrækning taget intentionerne bag reformen til sig. Reformens
organisatoriske rammer er således på plads, og der er oprettet rehabiliteringsteams i alle
kommuner. Herudover synes samarbejdet mellem kommuner og det regionale sundhedssy-
stem om sundhedsfaglig vurdering og rådgivning i relation til rehabiliteringsteamet at være
forholdsvist velfungerende. Fra centralt hold er der fokus på at understøtte kommunernes ar-
bejde med at udvikle det tværfaglige samarbejde, som er afgørende for indsatsen i ressour-
ceforløb.
Tilgangen til førtidspension er faldet markant, siden reformen af førtidspension og fleksjob
trådte i kraft, og antallet af nye tilkendelser ligger nu på ca. 450 personer om måneden, hvil-
ket er godt en halvering af tilgangen før reformen.
Tilgangen til fleksjobordningen er marginalt større, end før reformen trådte i kraft, og har i an-
det halvår af 2014 ligget på godt 500 personer om måneden. Tilgangen til ressourceforløb
14
Danmarks nationale reformprogram 2015
·
Marts 2015
PDF to HTML - Convert PDF files to HTML files
1513514_0016.png
Kapitel 3
De landespecifikke anbefalinger
har således været stigende, siden reformen trådte i kraft. I september 2014 blev der påbe-
gyndt 924 ressourceforløb. Der har siden reformens ikrafttræden således været en jævn be-
vægelse væk fra passiv forsørgelse på førtidspension over mod mere aktive indsatser i form
af fleksjob og ressourceforløb.
 
Figur 3.3
Udvikling i tilgangen til førtidspension, fleksjobordningen og ressourceforløb
Personer
3.500
3.000
2.500
2.000
1.500
1.000
500
0
jul
aug
sep
okt
nov
dec
jan
feb
mar
apr
maj
jun
jul
aug
sep
okt
nov
dec
jan
feb
mar
apr
maj
jun
jul
aug
sep
okt
nov
dec
jan
feb
mar
apr
maj
jun
jul
aug
sep
Personer
Reformindførsel
3.500
3.000
2.500
2.000
1.500
1.000
500
0
2011
Førtidspension
2012
2013
Fleksjobordningen
2014
Ressourceforløb
Kilde: Jobindsats.dk.
Der var i september 2014 knap 17.000 personer ansat i fleksjob efter den nye ordning. Re-
formen har bevirket, at der bliver oprettet mange fleksjob på få timer om ugen. 6 ud af 10
fleksjob, som er oprettet, efter reformen er trådt i kraft, er på 10 timer om ugen eller derunder.
Der er således omkring 10.000 personer ansat i de nye mini-fleksjob. Siden januar 2013 er
der kommet omkring 5.000 flere fuldtidspersoner i fleksjob. Mange mennesker, der tidligere
var henvist til passiv offentlig forsørgelse, er nu i gang på arbejdsmarkedet.
Med reformen af førtidspension og fleksjob er der indført mange nye fleksjob på få timer, som
særligt giver flere personer med en lille arbejdsevne, herunder personer med handicap, bed-
re muligheder end tidligere for at finde plads på arbejdsmarkedet,
jf. boks 3.2.
Samtidig er der indført en bedre aktiv indsats i form af en koordineret tværfaglig sagsbehand-
ling til personer, der har udfordringer ud over ledighed, som vanskeliggør deres vej i job eller
uddannelse. Det er bl.a. sket ved indførelsen af koordinerende sagsbehandlere og via en sy-
stematisk tværfaglig afklaring af borgeren i de nye rehabiliteringsteams, som også indstiller,
hvilken indsats borgeren skal tilbydes. Fælles for reformerne er endvidere øget brug af men-
torstøtte i indsatsen.
Danmarks nationale reformprogram 2015
·
Marts 2015
15
PDF to HTML - Convert PDF files to HTML files
1513514_0017.png
Kapitel 3
De landespecifikke anbefalinger
Boks 3.2
Indsatsten vedrørende personer med handicap
Beskæftigelsesandelen for personer med handicap ligger væsentligt under niveauet for personer uden han-
dicap. Knap 43 pct. af personer med handicap (16-64 årige) var således i beskæftigelse i 2014, mens over
75 pct. af den samlede befolkning (20-64 år) var i beskæftigelse, jf. også afsnit 4.1. Beskæftigelsesandelen
er særligt lav blandt personer med større handicap og blandt personer med en psykisk lidelse som væsent-
ligste handicap. Denne forskel i beskæftigelsesandel har været nogenlunde konstant i en årrække. Mellem
2002 og 2014 har der således ikke været nogen klar forskel på udviklingen i beskæftigelsesandelen mellem
personer med og uden handicap, jf. SFI,
Handicap og Beskæftigelse,
februar 2015.
I regeringens handicappolitiske handlingsplan fra 2013 er udgangspunktet, at et aktivt arbejdsliv er med til at
understøtte inklusion, ligeværd og selvbestemmelse for alle mennesker. Samtidig er et mangfoldigt og rum-
meligt arbejdsmarked med til at skabe ligeværdige fællesskaber og dermed understøtte respekt for forskel-
lighed og ligebehandling i samfundet. For personer med handicap vil beskæftigelse ofte være en vigtig vej til
at deltage i og bidrage til samfundslivet på lige fod med andre. Det gælder også, hvis arbejdsevnen af den
ene eller den anden grund er begrænset - for selv en begrænset arbejdsevne er af stor værdi, både for sam-
fundet og for den enkelte. Derfor ønsker regeringen at øge arbejdsmarkedstilknytningen for personer med
handicap.
Denne målsætning understøttes af regeringens reformer af beskæftigelsesområdet. Som en del af reformen
om fleksjob og førtidspension er der oprettet kommunale rehabiliteringsteams, der skal sikre en bedre koor-
dinering af den kommunale indsats, hvilket særligt vil komme personer med komplekse problemer til gode,
herunder personer med handicap. Samtidig er det med reformen blevet muligt at oprette fleksjob på få timer
om ugen. Ydermere er der afsat puljemidler til at understøtte arbejdsmarkedstilknytning til personer med
handicap, blandt andet til at udvikle og afprøve metoder, der skal hjælpe personer med læse- og skrivevan-
skeligheder i beskæftigelse.
Kilde: SFI,
Handicap og Beskæftigelse,
februar 2015 og Regeringens handicappolitiske handelingsplan, 2013.
Reform af kontanthjælpssystemet
Målet med kontanthjælpsreformen er, at unge under 30 år uden en erhvervskompetencegi-
vende uddannelse, som modtager offentlig forsørgelsesydelse, hurtigst muligt kommer i ud-
dannelse, og at unge med en erhvervskompetencegivende uddannelse og voksne (personer
fyldt 30 år), som modtager kontanthjælp, kommer i job. Unge skal med reformen ikke længe-
re modtage kontanthjælp, men derimod en lavere ydelse – uddannelseshjælp - som er på ni-
veau med SU (Statens Uddannelsesstøtte). Det understøtter målet om uddannelse.
Med kontanthjælpsreformen skal indsatsen igangsættes tidligt, den skal være kontinuerlig og
tage udgangspunkt i den enkeltes udfordringer og ressourcer. For ressourcestærke uddan-
nelseshjælpsmodtagere og kontanthjælpsmodtagere indføres således en nytteindsats, hvor
der skal udføres samfundsnyttige opgaver hos offentlige arbejdsgivere. Uddannelsesparate
unge kan fx få tilbud om for-forløb på en uddannelsesinstitution (Brobygning til uddannelse),
løntilskud eller virksomhedspraktik. De mere udsatte unge og voksne (dvs. de, der ikke
umiddelbart kan påbegynde en uddannelse eller et job på grund af fx helbredsproblemer mv.)
skal have en helhedsorienteret indsats, der kan bringe dem tættere på uddannelse og/eller
job. Indsatsen skal koordineres på tværs af forvaltninger og tage udgangspunkt i den enkel-
tes behov. Alle udsatte får ret til en koordinerende sagsbehandler, og indsatsen kan fx inde-
holde tilbud om virksomhedspraktik eller mentorstøtte.
16
Danmarks nationale reformprogram 2015
·
Marts 2015
PDF to HTML - Convert PDF files to HTML files
1513514_0018.png
Kapitel 3
De landespecifikke anbefalinger
Kontanthjælpsreformen trådte delvist i kraft den 1. januar 2014. Kommunerne arbejder efter
reformens intentioner og er i gang med at etablere tilbud, der understøtter en målrettet, tidlig
og kontinuerlig indsats for den enkelte. Beskæftigelsesministeriet har igangsat flere forsøg og
projekter, der skal understøtte implementeringen af kontanthjælpsreformen i kommunerne.
Kommunerne viser generelt interesse i at ansøge om midler til at deltage i forsøg og projek-
ter, der kan udvikle de rette tilbud til uddannelses- og kontanthjælpsmodtagere.
Der foreligger endnu ikke deciderede effektmålinger af kontanthjælpsreformen. Beskæftigel-
sesministeriet har igangsat en evaluering af implementeringen af reformen, der forventes
færdig april 2015.
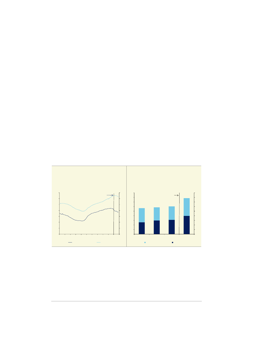
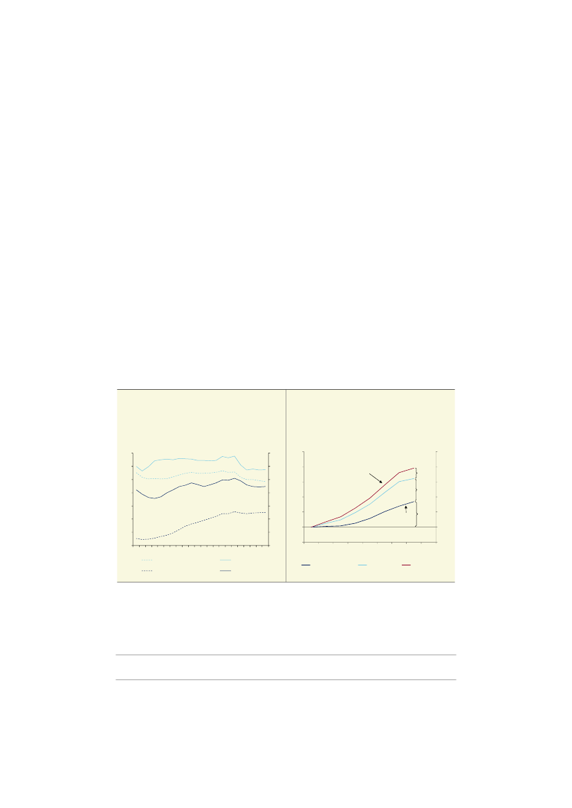
Antallet af kontanthjælpsmodtagere og uddannelseshjælpsmodtagere er stagneret og siden
faldet i perioden efter reformens ikrafttræden,
jf. figur 3.4.
Sammenlignes, hvor mange der var i uddannelse eller beskæftigelse i uge 25 blandt dem,
der var på kontanthjælp i den sidste uge af året før, dvs. i hhv. 2011, 2012 og 2013, lader det
til, der er kommet flere i uddannelse og job efter reformens indførelse,
jf. figur 3.5.
Der er i
sammenligningen ikke taget højde for konjunktursituationen i de pågældende år. Det tegner
et foreløbigt billede af, at den helt centrale politiske intention med reformen, nemlig at unge
skal i uddannelse eller arbejde frem for passiv forsørgelse, er lykkedes.
Figur 3.4
Antal kontanthjælps- og uddannelseshjælps-
modtagere
1.000 personer
1.000 personer
70
Reformindførsel
60
50
40
30
20
10
0
04
05
06
07
08
09
10
11
12
13
14
60
50
40
30
20
10
0
Figur 3.5
Andel unge jobparate kontanthjælpsmodtagere
i job og uddannelse i uge 17
Pct.
45
40
35
30
25
20
15
10
5
0
2011
2012
Beskæftiget
2013
2014
Reformindførsel
Pct.
45
40
35
30
25
20
15
10
5
0
Tusinde
70
Under 30 år
Over 30 år
Studerende
Anm.: Figur 3.5 viser den andel af ledige 16-29-årige arbejdsmarkedsparate kontanthjælpsmodtagere, som
er kommet i beskæftigelse eller uddannelse frem mod uge 17 (april måned) i det pågældende år, men
som var ledige i december året før. Der knytter sig en vis usikkerhed til opgørelsen blandt andet på
grund af usikkerhed i dateringen af lønmodtagerbeskæftigelsen inden for de enkelte måneder. Opgø-
relsen er baseret på arbejdsmarkedsstatus i en specifik uge i april måned. Anvendes et mere restrik-
tivt afgangskriterium, der kræver 5 ugers sammenhængende SU eller beskæftigelse, er det lidt færre,
der overgår til SU eller beskæftigelse, men der er fortsat klare tegn på, at afgangsraten i 2014 er høje-
re end i de forudgående år.
Kilde: Jobbindsats.dk og egne beregninger på DREAM- databasen.
Danmarks nationale reformprogram 2015
·
Marts 2015
17
PDF to HTML - Convert PDF files to HTML files
1513514_0019.png
Kapitel 3
De landespecifikke anbefalinger
Beskæftigelsesministeriet har udarbejdet en foreløbig effektevaluering af ungeinitiativerne i
kontanthjælpsreformen på baggrund af data fra indfasningsperioden januar 2014 til maj
2014. Resultaterne indikerer, at kontanthjælpsreformen har øget tilgangen til uddannelse og
beskæftigelse for unge under 30 år,
jf. boks 3.3.
Boks 3.3
Foreløbig effektanalyse af kontanthjælpsreformen for unge under 30 år
Den foreløbige effektanalyse af nye kontanthjælpsmodtagere i januar 2013 sammenlignet med nye unge
uddannelseshjælps- og kontanthjælpsmodtagere i januar 2014 peger på, at kontanthjælpsreformen har haft
en positiv, signifikant effekt på både uddannelses- og beskæftigelsesgraden for unge 25-29 årige, der er til-
gået uddannelses- og kontanthjælp i januar 2014,
jf. tabel a.
Disse effektestimater tager højde for eventuel-
le konjunkturudsving, der har været i perioden, og forskelle i baggrundsvariable blandt ydelsesmodtagerne.
Effektanalysen viser desuden, at der er en positiv signifikant effekt på både uddannelses- og beskæftigel-
sesgraden for samtlige (dvs. både nye og nuværende) unge uddannelseshjælps- og kontanthjælpsmodta-
gere i januar 2014,
jf. tabel a.
Analysen viser bl.a., at som følge af reformen øges beskæftigelsesgraden
med 3,38 pct.point og uddannelsesgraden med 4,67 pct.point for nye ydelsesmodtagere 5 måneder efter
starten på ydelsen. Det skal ses i forhold til, at både uddannelsesgraden og beskæftigelsesgraden begge
var 13 pct. for personer mellem 25 og 29 år der er tilgået kontanthjælp januar 2014. Med andre ord viser
analysen, at den gennemsnitlige uddannelses- og beskæftigelsesgrad for unge kontant- og uddannelses-
hjælpsmodtagere er omkring 1/3 højere alene som følge af reformen.
Tabel a
Reformeffekter af kontanthjælpsreformen på baggrund af unge kontant- og uddannelseshjælpsmod-
tagere i januar 2014
Beskæftigelsesgrad
pct.
Nye modtagere
Alle unge modtagere
3,38
1,85
4,67
4,08
0,93
0,99
Uddannelsesgrad Selvforsørgelsesgrad
Anm.: Signifikante variable er markeret med kursiv. Graderne er beregnet fra tilgangen til kontanthjælp
frem til og med førstkommende maj.
Kilde: DREAM, UNI-C og egne beregninger.
Reform af sygedagpengesystemet
Det er hovedformålet med sygedagpengereformen, at sygemeldte skal hurtigere tilbage på
arbejdsmarkedet ved hjælp af en tidligere og mere virksomhedsrettet indsats og derved und-
gå langvarigt fravær og ledighed. Det er samtidig centralt i reformen, at ingen sygemeldte må
risikere at stå uden offentlig forsørgelse.
Sygedagpengereformen er trådt i kraft i to faser.
Første fase
trådte i kraft pr. 1. juli 2014. Heri indgår følgende elementer: Tidspunktet for vur-
dering af, om sygedagpengene kan forlænges, er fremrykket til efter 22 uger, mod 52 uger
hidtil. Sygemeldte, som ikke kan få forlænget deres sygedagpenge, har med sygedagpenge-
18
Danmarks nationale reformprogram 2015
·
Marts 2015
PDF to HTML - Convert PDF files to HTML files
1513514_0020.png
Kapitel 3
De landespecifikke anbefalinger
reformen fået mulighed for at komme i et jobafklaringsforløb med en tværfaglig indsats. I et
jobafklaringsforløb får den sygemeldte en ydelse (ressourceforløbsydelse), der er lavere end
sygedagpenge. Der er i første del af reformen desuden indført en ny forlængelsesregel ved
livstruende, alvorlig sygdom.
Anden fase
af reformen er trådt i kraft 5. januar 2015. Heri indgår en væsentlig omlægning af
indsatsen på sygedagpengeområdet. Der indføres en ny model for visitation af og opfølgning
på sygemeldte. Det betyder bl.a., at sygemeldte med komplekse problemer og behov for en
tværfaglig indsats skal have deres sag behandlet i det kommunale rehabiliteringsteam. Der
indgår i reformens anden fase desuden en styrkelse af den virksomhedsrettede indsats for
sygedagpengemodtagere. Der indføres i den forbindelse bl.a. mulighed for fast track, hvor
virksomheder og sygemeldte kan anmode kommunen om at iværksætte en ekstraordinær
tidlig indsats i sygefraværssager med et forventet sygefravær på over 8 uger. Det er desuden
et vigtigt element i reformen, at der i alle sager med et forventet fravær på over 8 uger skal
ske en tidlig og systematisk inddragelse af sygemeldtes egen læge.
Sygedagpengereformen er fortsat under indfasning. Det er endnu for tidligt at sige noget om
reformens effekter.
I februar 2015 blev der desuden indgået aftale om en refusionsomlægning. Denne behandles
i afsnit 4.1.
Beskæftigelsesreformen
Formålet med beskæftigelsesreformen er at sikre, at ressourcerne bruges på en bedre og
mere effektiv måde, så flere ledige kommer hurtigst muligt i varig beskæftigelse. Reformens
sigte er, at indsatsen i højere grad end i dag skal tage udgangspunkt i den enkeltes behov og
give plads til, at ledige er forskellige og dermed har forskellige behov for hjælp og vejledning
til at opnå varig beskæftigelse. Derfor får kommunerne og a-kasserne flere frihedsgrader til at
tilrettelægge en individuelt tilpasset indsats for ledige. Samtidig får den ledige større medind-
flydelse og ansvar for indsatsen, fordi det kan være med til at højne den lediges ejerskab og
dermed øge mulighederne for, at den ledige finder tilbage til arbejdsmarkedet.
Reformen har særligt fokus på at sikre et generelt uddannelsesløft af ledige med færrest
kompetencer via en række målrettede indsatser. Eksempelvis får ufaglærte ledige og ledige
med en forældet uddannelse bedre mulighed for et reelt uddannelsesløft. Samtidig styrkes
mulighederne for, at ledige med mindst uddannelse allerede tidligt i ledighedsperioden kan
tage korte uddannelser, der er målrettet arbejdsmarkedets behov.
Reformen sikrer også støtte til ledige, som er i risiko for at have en svagere tilknytning til ar-
bejdsmarkedet. Det følger af reformen, at unge og seniorer får et tidligere ret og pligt tilbud,
mens nyuddannede fra en videregående uddannelse får styrkede muligheder for at få fodfæ-
ste på arbejdsmarkedet, eksempelvis via mulighed for en længere virksomhedspraktik. Sam-
tidig får langtidsledige en mere intensiv og individuelt tilrettelagt indsats, og der gennemføres
et udviklingsarbejde, som styrker kvaliteten i indsatsen for ledige med risiko for langtidsledig-
hed.
Danmarks nationale reformprogram 2015
·
Marts 2015
19
PDF to HTML - Convert PDF files to HTML files
1513514_0021.png
Kapitel 3
De landespecifikke anbefalinger
Reformen ændrer beskæftigelsesindsatsen for alle ledige, herunder også ledige med handi-
cap eller funktionsnedsættelse.
Hovedparten af beskæftigelsesreformen træder i kraft d. 1. juli 2015, dog med undtagelse af
nogle elementer, som allerede er trådt i kraft d. 1. januar 2015. Derudover træder en række
it-værktøjer først i kraft fra 2016 og frem.
Boks 3.4
Effekter for indvandrere af ikke-vestlig baggrund af førtidspension/fleksjob-, sygedagpenge- og kon-
tanthjælpsreformen
Arbejdsmarkedsreformerne er væsentlige initiativer ift. at øge beskæftigelsesfrekvensen for indvandrere og
efterkommere, idet indvandrere af ikke-vestlig oprindelse er overrepræsenterede i gruppen af kontant-
hjælpsmodtagere og førtidspensionister.
Flere ledige flygtninge og indvandrere har komplekse problemstillinger, som kræver støtte fra forskellige
forvaltninger i kommunen og kan derfor have glæde af en sammenhængende og tværfaglig indsats, som
fremmes gennem
reformen af førtidspensions- og fleksjobordningen.
Således udgjorde ikke-vestlige ind-
vandrere 13 pct. af alle førtidspensionister i 2013. Der er dermed næsten dobbelt så mange ikke-vestlige
indvandrere, der modtager førtidspension sammenlignet med deres andel af befolkningen i den arbejdsdyg-
tige alder.
Kontanthjælpsreformen
understøtter ligeledes en tværfaglig, helhedsorienteret og individuel indsats, der
kan hjælpe de ledige videre. Ikke-vestlige indvandrere udgjorde i 2013 knap 7 pct. af befolkningen i den ar-
bejdsdygtige alder, men udgjorde 22 pct. af de 147.000 fuldtidsmodtagere af kontanthjælp, der var i 2013.
Og blandt kvinder er andelen endnu højere. Kvinder med ikke-vestlig indvandrerbaggrund udgjorde ¼ af al-
le kvindelige kontanthjælpsmodtagere i 2013. Ikke-vestlige indvandrere er altså massivt overrepræsentere-
de i kontanthjælpssystemet.
Reformen af sygedagpengesystemet
bidrager ligesom reformen af førtidspension og fleksjobordningen
samt kontanthjælpssystemet også til at nå målet om en øget beskæftigelsesfrekvens for indvandrere og ef-
terkommere. Personer med komplekse problemer samt sygemeldte, der efter 5 måneder på sygedagpenge
ikke kan forlænges efter de gældende forlængelsesregler, skal fremover have en helhedsorienteret, indivi-
duel tilpasset indsats, der skal understøtte udviklingen af arbejdsevnen. Samlet set skal dette sikre, at flere
sygemeldte, herunder indvandrere, vender tilbage til arbejdsmarkedet. I 2013 modtog ca. 2,5 pct. (ca. 6.000
fuldtidsmodtagere) af alle ikke-vestlige indvandrere sygedagpenge, mens andelen af personer med dansk
oprindelse, som modtog sygedagpenge, var 2 pct. (75.600 fuldtidsmodtagere) ud af den samlede andel af
befolkningen i den arbejdsdygtige alder.
Carsten Koch II og det særlige fokus på personer med udenlandsk baggrund
Regeringen nedsatte i februar 2013 en uafhængig ekspertgruppe, under ledelse af tidligere
skatteminister Carsten Koch, der fik til opgave at udrede den aktive beskæftigelsesindsats og
komme med anbefalinger til en ny og bedre indsats, der varigt løfter beskæftigelsen. Udred-
ningsarbejdet bestod af to faser: Udredning af den aktive beskæftigelsesindsats for de forsik-
rede ledige samt udredning af den aktive beskæftigelsesindsats for de ikke-
arbejdsmarkedsparate ledige.
20
Danmarks nationale reformprogram 2015
·
Marts 2015
PDF to HTML - Convert PDF files to HTML files
1513514_0022.png
Kapitel 3
De landespecifikke anbefalinger
I februar 2014 offentliggjorde ekspertgruppen sin første udredning og kom med en række an-
befalinger vedrørende indsatsen for de forsikrede ledige. Regeringen tog udgangspunkt i det-
te arbejde i forbindelse med den gennemførte beskæftigelsesreform, der er omtalt ovenfor.
I januar 2015 offentliggjorde ekspertgruppen første delrapport i anden fase af sin udredning
og anbefalinger vedrørende integrationsprogrammet for nyankomne flygtninge og familie-
sammenførte. Dette har indgået i regeringens arbejde med udformningen af et nyt integrati-
onsudspil, jf. nedenfor.
Ekspertgruppen har i marts 2015 offentliggjort sin sidste delrapport i anden fase af udrednin-
gen om den øvrige aktive beskæftigelsesindsats, som omhandler de ikke-
arbejdsmarkedsparate ledige. Rapporten kommer med anbefalinger til indsatsen for borgere
på offentlig forsørgelse, der ofte har andre problemer end ledighed og dermed er længere
væk fra arbejdsmarkedet. Ekspertgruppen lægger med sine anbefalinger op til en ny og langt
mere virksomhedsrettet indsats. Samtidig peger ekspertgruppen på, at der er behov for mere
kvalitet og indhold i den tværfaglige indsats samt større fokus på at sikre, at også udsatte
borgere får mere uddannelse.
Ekspertgruppens arbejde lægger sig i direkte forlængelse af de tre store reformer, regeringen
har gennemført for udsatte borgere - reformerne af førtidspension og fleksjob, kontanthjælp
samt sygedagpenge – der gjorde op med silotænkningen i kommunerne og indførte ressour-
ceforløb, jobafklaringsforløb og rehabiliteringsteam. Reformerne har dermed skabt rammerne
for en tværfaglig og sammenhængende indsats, som ofte er nødvendig for at hjælpe de mest
udsatte borgere tættere på arbejdsmarkedet. Regeringen er enig med eksperterne i, at et vig-
tigt punkt i det videre arbejde skal være et større virksomhedsrettet fokus, hvor udsatte bor-
gere hjælpes i gang med træningsforløb på arbejdspladserne. Der skal også arbejdes videre
med at styrke og skabe mere kvalitet i den tværfaglige indsats.
Nyt integrationsudspil
Regeringen præsenterede den 18. marts 2015 et nyt integrationsudspil. Hovedsigtet med ud-
spillet er, at flygtninge og indvandrere hurtigst muligt skal i arbejde. Et jobrettet integrations-
program skal derfor erstatte det nuværende integrationsprogram, hvor effekterne ikke har
været gode nok. Fremover skal der som et led i programmet stilles klare krav om, at nytil-
komne flygtninge og familiesammenførte skal tage et arbejde, hvis det er muligt, og at de el-
lers skal yde mere for den ydelse, de modtager,
ved
løbende
at
deltage i en jobrettet indsats
på en arbejdsplads.
Indsatsen skal altid kombineres med danskundervisning, og den skal så vidt muligt tilrette-
lægges med udgangspunkt i den enkeltes uddannelse og erfaringer fra hjemlandet.
Regeringen vil desuden gøre noget ekstra for de flygtninge og indvandrere, der har været i
landet gennem flere år, men som stadig er på kontanthjælp og ikke forsørger sig selv. I ud-
spillet foreslår regeringen, at alle tredjelandsstatsborgere, som har modtaget kontanthjælp i
mindst seks måneder, skal i gang med at arbejde. Det kan være i virksomhedspraktik, ansæt-
telse med løntilskud eller nyttejob. Målet er at få et rigtigt job.
Danmarks nationale reformprogram 2015
·
Marts 2015
21
PDF to HTML - Convert PDF files to HTML files
1513514_0023.png
Kapitel 3
De landespecifikke anbefalinger
3.2.2. Regeringens tiltag på uddannelsesområdet
Et fagligt løft af folkeskolen
En reform af folkeskolen trådte i kraft fra skoleårets start i august 2014. Reformen har tre
overordnede mål: (1) Folkeskolen skal udfordre alle elever, så de bliver så dygtige, de kan,
(2) folkeskolen skal mindske betydningen af social baggrund i forhold til faglige resultater og
(3) tilliden til og trivslen i folkeskolen skal styrkes blandt andet gennem respekt for professio-
nel viden og praksis. En længere og mere varieret skoledag med alsidige og inspirerende
undervisningsformer, styrket undervisning i fagene samt ny tid til understøttende undervis-
ning skal forbedre rammerne for, at alle elever bliver så dygtige, som de kan.
Alle elever i folkeskolen har krav på at få en undervisning, der imødekommer deres forud-
sætninger og behov. Hvis f.eks. unge med indvandrerbaggrund har behov for særlig støtte, er
kommuner og skoler derfor forpligtet til en række indsatser, der i omfang og varighed mod-
svarer behovene. Implementeringen af folkeskolereformen forløber som planlagt, men virke-
liggørelsen af en reform af denne størrelse tager tid. Det er på nuværende tidspunkt for tidligt
at konkludere på reformens effekter. Undervisningsministeriet understøtter og følger imple-
menteringen gennem en række initiativer,
jf. boks 3.5.
Boks 3.5
Eksempler på initiativer til understøttelse af, evaluering af og opfølgning på implementeringen af
folkeskolereformen
Understøttende initiativer:
Læringskonsulentkorps: Læringskonsulenterne tilbyder individuel vejledning til kommuner og
skoler samt landsdækkende vejledning. Undervisningsministeriets Tosprogs-Taskforce, der er et
tidsbegrænset projekt (2009-15), som bidrager til at klæde lærere på til at inkludere tosprogede
elever i deres undervisning, er integreret i Læringskonsulentkorpset.
Ressourcecenter for folkeskolen; Ressourcecenteret er oprettet i forbindelse med reformen og
understøtter Undervisningsministeriets arbejde med at udvikle ny viden, bringe viden i spil og
styrke samspillet mellem vidensaktørerne på folkeskoleområdet.
Modernisering og udvidelse af Vidensportalen (EMU.dk): Vidensportalen skal give et overblik
over den viden samt de metoder og redskaber, der er dokumentation for, virker.
Evaluerings- og opfølgningsinitiativer:
Evaluering af elevernes læring og trivsel: Evalueringen af reformens overordnede mål følges år-
ligt via nationale faglige test og en ny trivselsmåling.
Årlig statusredegørelse: Undervisningsministeriet offentliggør årligt en redegørelse for folkesko-
lens udvikling, som skal danne udgangspunkt for drøftelser med folkeskolens centrale interes-
senter. Den første statusredegørelse offentliggøres i foråret 2015.
Evaluerings- og følgeforskningsprogram: Programmet skal bidrage til at dokumentere status på
implementeringen og effekterne af folkeskolereformen. Herigennem sikres øget viden om skole-
ledelse, undervisning og læring samt om erfaringer og resultater fra folkeskolereformen.
Partnerskab for folkeskolen, der er et partnerskab om skolens udvikling med de centrale inte-
ressenter på området.
Redegørelse til Folketinget: Undervisningsministeren vil senest fem år efter lovens ikrafttræden
give Folketinget en redegørelse om lovens virkning og eventuelle behov for ændringer.
Kilde: Undervisningsministeriet.
22
Danmarks nationale reformprogram 2015
·
Marts 2015
PDF to HTML - Convert PDF files to HTML files
1513514_0024.png
Kapitel 3
De landespecifikke anbefalinger
Aftale om bedre erhvervsuddannelser og styrket uddannelsesgaranti
Som led i Aftalen om finansloven for 2013 indgik regeringen en
aftale om bedre erhvervsud-
dannelse og styrket uddannelsesgaranti.
Aftalen skal bl.a. bidrage til at reducere frafaldet i
erhvervsuddannelserne og forøge antallet af elever, der kommer i virksomhedspraktik. Med
aftalen blev der prioriteret 3,1 mia. kr. over perioden 2013-16. Aftalens initiativer er nærmere
beskrevet i Danmarks nationale reformprogram 2013. Aftalen var første led i indsatsen for
bedre erhvervsuddannelser.
Implementeringen af initiativerne er som forudsat gennemført i 2013, herunder bl.a. med op-
rettelsen af 50 praktikcentre på landsplan. Disse er ansvarlige for samarbejdet med det lokale
erhvervsliv om at oprette praktikpladser samt tilbyde en skolebaseret praktisk uddannelse for
studerende, som ikke opnår en uddannelsesaftale med en virksomhed. To initiativer indgår i
regeringens reform af erhvervsuddannelserne, jf. nedenfor, og får derfor først virkning fra og
med august 2015. Der gennemføres løbende opfølgning og status på initiativerne.
Det er på nuværende tidspunkt for tidligt at vurdere effekterne af de nye tiltag i forhold til bl.a.
frafald og unges mulighed for praktikpladser. Samtidig påvirker en række andre forhold også
udbuddet af praktikpladser. Statistiske oplysninger for udviklingen fra 2013 til 2014 (baseret
på 3. kvartal 2013/2014) viser, at antallet af praktikpladsaftaler er uændret, og antallet af ele-
ver i skolepraktik er steget. Det indikerer, at flere forventes at gennemføre en erhvervsud-
dannelse. Der foreligger ikke på nuværende tidspunkt tal for frafald/fuldførelsesprocenter for
2014.
Bedre og mere attraktive erhvervsuddannelser
Regeringen har i juni 2014 på baggrund af en bred politisk aftale om erhvervsuddannelserne
(februar 2014) og i forlængelse af aftalen
bedre erhvervsuddannelser og styrket uddannel-
sesgaranti
fået vedtaget en reform af erhvervsuddannelserne i Folketinget. Reformen, som
træder i kraft august 2015, har fire konkrete mål: (1) Flere elever skal vælge en erhvervsud-
dannelse direkte efter 9. eller 10. klasse, (2) flere skal fuldføre en erhvervsuddannelse, (3)
erhvervsuddannelserne skal udfordre alle elever, så de bliver så dygtige, de kan, (4) tilliden til
og trivslen på erhvervsskolerne skal styrkes.
Reformens mål skal opnås gennem bl.a. et nyt etårigt grundforløb for de helt unge, fokus på
attraktiv ungdomsuddannelsesmiljøer, en ny erhvervsrettet 10. klasse i grundsskolen, ad-
gangskrav i dansk og matematik for at blive optaget, bedre muligheder for at tage fag på hø-
jere niveauer samt flere uddannelser, der giver både studiekompetence og erhvervskompe-
tence (eux). Med reformen styrkes undervisning i dansk, og eleverne sikres minimum 26 ti-
mers undervisning om ugen på grundforløb fra 2016 svarende til knap 35 lektioner om ugen.
Desuden etableres en ny kombineret toårig ungdomsuddannelse for unge under 25 år, der
ikke har forudsætninger for at gennemføre en erhvervsuddannelse eller en gymnasial ung-
domsuddannelse. Uddannelsen retter sig imod beskæftigelse og fortsat uddannelse. Herud-
over prioriteres bl.a. efteruddannelse af underviserne for at styrke undervisningens kvalitet.
Se også beskrivelsen i Danmarks nationale reformprogram 2014.
Reformen vil sammen med de allerede iværksatte initiativer i 2013 om
bedre erhvervsuddan-
nelser og styrket uddannelsesgaranti
bidrage til et mere effektivt erhvervsuddannelsessy-
stem. Det gælder bl.a. i forhold til at reducere frafald og øget gennemførelsen på erhvervs-
Danmarks nationale reformprogram 2015
·
Marts 2015
23
PDF to HTML - Convert PDF files to HTML files
1513514_0025.png
Kapitel 3
De landespecifikke anbefalinger
uddannelserne. Implementering af reformen forløber som planlagt og forventes fuldt imple-
menteret i perioden 2015-16. Opfyldelse af reformens konkrete mål vil blive fulgt tæt gennem
løbende opfølgning, måling og evaluering af fremdrift og resultater.
Boks 3.6
Væsentlige igangsatte initiativer til understøttelse af erhvervsuddannelsesreformen
Læringskonsulentkorps: Læringskonsulenterne bidrager med vejledning og støtte til erhvervs-
skolernes arbejde med implementering af erhvervsuddannelsesreformen.
Efteruddannelse af lærere og ledere: Udmøntning af 400 mio. kr. til strategisk kompetenceløft,
samt kursusforløb om ”Skoleudvikling i praksis” på alle erhvervsskoler, der understøtter kvali-
tetsudvikling og et mere attraktivt læringsmiljø.
Udvikling af fag og uddannelser: Undervisningsministeriet og de faglige udvalg udarbejder ram-
mer og indhold for uddannelserne samt vejledninger og inspirationsmaterialer.
Overvågning af reformens mål: Der udvikles nye indikator- og evalueringsredskaber, som sam-
men med eksisterende opfølgningsredskaber skal give informationer om opfyldelse af reformens
mål.
Kilde: Undervisningsministeriet.
Regeringens tiltag på uddannelsesområdet forventes generelt at understøtte den positive ud-
vikling, hvor flere unge med udenlandsk herkomst opnår bedre uddannelsesresultater, her-
under en større andel af unge med udenlandsk herkomst, som opnår mindst en ungdomsud-
dannelse,
jf. figur 3.6.
Figur 3.6
Andel af en 9. klasses årgang, der forventes at gennemføre mindst en ungdomsuddannelse
Pct.
100
Pct.
100
90
90
80
80
70
70
60
60
50
90
91
92
93
94
95
96
97
98
99
00
01
02
03
04
05
06
07
08
09
10
11
12
13
50
Mindst en ungdomsudd. - Dansk herkomst
Mindst en ungdomsudd. - Udenlandsk herkomst
Kilde: Undervisningsministeriet,
profilmodel 2013.
24
Danmarks nationale reformprogram 2015
·
Marts 2015
PDF to HTML - Convert PDF files to HTML files
1513514_0026.png
Kapitel 3
De landespecifikke anbefalinger
3.3
Fjerne barrierer for konkurrencen og reducere
lovgivningsmæssige krav
Rådet har anbefalet Danmark i perioden 2014-15 at ”øge
indsatsen for at fjerne adgangsbar-
rierer og reducere de lovgivningsmæssige krav med henblik på at øge konkurrencen i den in-
denlandske servicesektor, navnlig inden for detailhandel og bygge- og anlæg, som anbefalet
af Produktivitetskommissionen”.
Reducere lovgivningsmæssige krav
For at reducere de lovgivningsmæssige krav har regeringen nedsat Virksomhedsforum for
enklere regler, som har fået til opgave at stille konkrete forslag til forenklinger af regler, der
kan lette byrderne for virksomhederne og dermed frigøre ressourcer.
Fjerne barrierer for konkurrencen
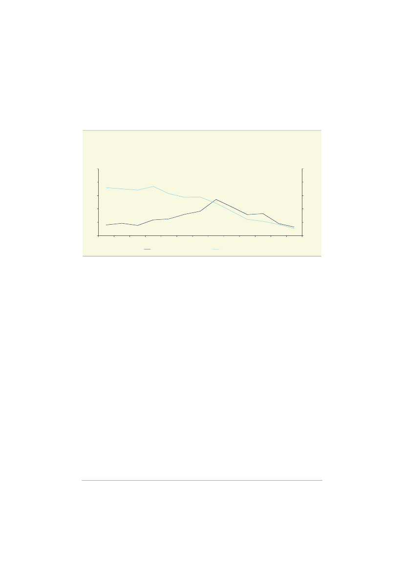
Et velfungerende marked præget af konkurrence mellem virksomhederne sikrer en effektiv
udnyttelse af ressourcerne og øger velstanden. På en række markeder i Danmark er konkur-
rencen ikke tilstrækkeligt skarp, hvilket både EU og OECD har peget på. De danske priser
ligger væsentligt over OECD-gennemsnittet, også når der korrigeres for forskelle i skatter, af-
gifter og velstand. Særligt inden for hjemmemarkedsorienterede erhverv, såsom bygge- og
anlægssektoren og detailbranchen, har produktivitetsvæksten igennem en længere årrække
været lav i Danmark. For så vidt angår produktivitetsvæksten i de hjemmemarkedsorientere-
de serviceerhverv, er det både den interne vækst og virksomhedsdynamikken, der har været
lav i forhold til andre erhverv,
jf. figur 3.7.
Figur 3.7
Produktivitetsvækst og virksomhedsdynamik 2001-09
Pct.
4
3
2
1
0
-1
Samlet
Industri
Service,
international
Dynamik
Service,
hjemmemarked
I alt
Pct.
4
3
2
1
0
-1
Intern vækst
Anm.: Den gennemsnitlige reale vækst i værditilvæksten per beskæftiget er her opdelt i to dele: (i) intern
vækst, der er produktivitetsvækst inden for virksomheden, og (ii) virksomhedsdynamik, der er den
produktivitetsvækst som følger af, at ressourcerne flytter mellem lav- og højproduktive virksomhe-
der.
Kilde: Produktivitetskommissionen.
Danmarks nationale reformprogram 2015
·
Marts 2015
25
PDF to HTML - Convert PDF files to HTML files
1513514_0027.png
Kapitel 3
De landespecifikke anbefalinger
For at imødegå produktivitetsudfordringen fremlagde regeringen i februar 2013
Vækstplan
DK,
som er en samlet plan frem mod 2020 med fokus på øget produktivitet i den private sek-
tor. Ifølge planen skal BNP blandt andet øges med 20 mia. kr. frem mod 2020 gennem re-
former af vilkår for private virksomheder og øget konkurrence.
Som led i at indfri dette mål indgik regeringen i juni 2014
Aftale om en vækstpakke
sammen
med flere af folketingets partier. Aftalen følger op på Produktivitetskommissionens anbefalin-
ger, og fokuserer blandt andet på at øge konkurrencen og produktiviteten i visse hjemme-
markedsorienterede erhverv, herunder særligt bygge- og anlægsbranchen, forsyningssekto-
ren og øvrige hjemmemarkedsorienterede erhverv.
Sammen med aftale om
Vækstplan DK
fra foråret 2013 har regeringen dermed foreløbigt ind-
friet 11�½ mia. kr. ud af den samlede målsætning på 20 mia. kr. Regeringen arbejder løbende
med denne dagsorden og med at indfri den resterende del af målsætningen.
Regeringen har således gennem det seneste år gennemført en lang række initiativer, der
styrker konkurrenceevnen inden for hjemmemarkedsorienterede erhverv. I nedenstående af-
snit redegøres for de relevante initiativer.
Øget konkurrence i byggeriet
Med lanceringen af regeringens byggepolitiske strategi
Vejen til et styrket byggeri i Danmark
fra november 2014 og
Vækstpakke 2014
er der blandt andet igangsat en række initiativer,
der understøtter konkurrencen inden for byggeriet til gavn for forbrugere og virksomheder i
hele økonomien.
Regeringens byggepolitiske strategi har blandt andet fokus på at fremme konkurrencen og
effektiviteten i den danske byggebranche. Strategien indeholder 34 initiativer fordelt på fem
overordnede indsatsområder; (1) kvalitet i reguleringen af byggeriet, (2) styrket konkurrence i
byggeriet, (3) effektivt offentligt byggeri, (4) vækst på tværs af værdikæden og (5) bæredyg-
tigt byggeri.
Strategien indeholder en række initiativer, som skal sikre regelforenkling og fremme en mere
hensigtsmæssig lovgivning, blandt andet ved at fjerne uhensigtsmæssig dobbeltregulering i
de minimum 22 lovgivninger, som kommunerne skal påse i forbindelse med byggesagsbe-
handlingen. Strategien indeholder også en række initiativer, som skal optimere offentlige ud-
budsprocesser.
Strategien har endvidere fokus på at øge samhandlen og konkurrencen både for byggeopga-
ver og byggematerialer. Der gennemføres således en harmonisering i forhold til internationa-
le standarder på flere områder for at lette adgangsbarriererne til det danske bygge- og an-
lægsmarked, ligesom det undersøges, hvordan samhandlen både med udlandet og i bygge-
riets værdikæde kan styrkes. På markedet for elinstallationer og elforsyningsanlæg indføres
internationale stærkstrømsregler og standarder for arbejdspladsbelysning. Desuden bringes
brandkravene til højlagre i overensstemmelse med kravene i Danmarks nabolande, hvilket
kan bidrage til at gøre det billigere at bygge i Danmark.
26
Danmarks nationale reformprogram 2015
·
Marts 2015
PDF to HTML - Convert PDF files to HTML files
1513514_0028.png
Kapitel 3
De landespecifikke anbefalinger
Det er aftalt at iværksætte en gennemgribende gennemgang af reglerne på brandområdet for
at få en bedre og mere sammenhængende brandregulering.
En af de afgørende forudsætninger for en stigning i byggeriets produktivitet og konkurrence-
evne er et velfungerende, effektivt og gennemsigtigt aftalesystem. Som en del af byggepoli-
tisk strategi gennemføres derfor en revision af de frivillige standardaftaledokumenter. Revisi-
onsarbejdet forventes at kunne gennemføres på tre år, og målet er at sikre et tidssvarende
aftalesystem, der muliggør en gennemsigtig, billig og effektiv konflikthåndtering, der mindsker
byggeriets parters transaktionsomkostninger og samtidig åbner for en øget tilgang af uden-
landske aktører via et mere internationalt genkendeligt aftalesystem.
Byggepolitisk strategi indeholder også en række undersøgelser og analyser, der alle har til
formål at øge konkurrencen i byggeriet enten via regelforenkling, billiggørelse af gældende
ordninger, lettere adgang til markedet eller via et mere effektivt offentligt byggeri. Det under-
søges blandt andet, hvordan danske særkrav kan fjernes og brugen af internationale stan-
darder øges, hvordan kommunernes byggeopgaver kan koordineres og effektiviseres, hvor-
dan anerkendelsesordningen for statikere kan forenkles, hvordan byggeskadeforsikringsord-
ningen og godkendelsesordningen for byggevarer i kontakt med drikkevand kan modernise-
res samt hvilke potentialer, der er for yderligere samling af bygherreopgaven i staten. Der
gennemføres endvidere en evaluering af lov om offentlig byggevirksomhed, ligesom der gen-
nemføres initiativer med henblik på at sikre et overblik over større byggeopgaver og test af
fleksible udbudsformer.
Sagsbehandlingstiden for byggetilladelser skal reduceres med en tredjedel i 2016. For at sik-
re at byggebranchen får en kompetent og ensartet teknisk byggesagsbehandling, der kan
fremme mulighederne for, at innovative og standardiserede løsninger i højere grad godken-
des, vil der blive udarbejdet forskellige modeller for professionalisering af den tekniske byg-
gesagsbehandling. Desuden forkortes en række centrale, offentlige sagsbehandlingstider,
herunder sagsbehandlingstiderne for autorisationsansøgninger til el, vvs og kloak, der redu-
ceres med 15 pct. frem mod 2016. Det sker i forlængelse af indførelsen af delautorisationer
på el-, vvs- og kloakinstallationsområdet fra april 2014, der øgede konkurrencen ved at lette
adgangen til markedet.
Øget konkurrence i detailhandlen
Der har igennem de senere år været et øget fokus på de udfordringer, som detailhandlen står
over for i de kommende år. Blandt andet er lukkeloven blevet liberaliseret ad flere omgange
og senest i 2012, og effekten heraf forventes at slå igennem over en årrække. Der planlæg-
ges desuden en ændring af lukkeloven i 2015, som skal gøre det nemmere at få adgang til
dispensation for lukkedage i tilfælde af særlige begivenheder.
I december 2014 offentliggjorde regeringen
Vækstplanen for digitalisering i Danmark.
Et af
initiativerne herunder etablerer et partnerskab for e-handel og digitalisering af detailhandlen.
Initiativet skal styrke e-handlen både nationalt og over grænserne. Udbredelsen af e-handel
vil styrke konkurrencen og bidrage til, at forbrugerne får adgang til et bredere udvalg af varer.
I forbindelse med Aftale om den kommunale økonomi for 2015 har regeringen og KL igangsat
et udvalgsarbejde om rammerne for kommunernes fysiske planlægning. Udvalgsarbejdet ta-
Danmarks nationale reformprogram 2015
·
Marts 2015
27
PDF to HTML - Convert PDF files to HTML files
1513514_0029.png
Kapitel 3
De landespecifikke anbefalinger
ger udgangspunkt i et katalog over barrierer for vækst i planloven, som KL har fremlagt, og
afsluttes i foråret 2015. Udvalget ser på, om ændringer af planloven og ændringer af praksis i
afgørelser kan bidrage til vækst, uden det går ud over beskyttelsen af natur og miljø. Det ud-
gør således en første opfølgning på Produktivitetskommissionens anbefalinger på området.
Øget konkurrence inden for øvrige serviceerhverv
For at sikre en større grad af uafhængighed og en mere effektiv behandling af konkurrence-
sager omlægges det nuværende konkurrenceråd fra 1. juli 2015 til en professionel bestyrelse
for Konkurrence- og Forbrugerstyrelsens administration af konkurrenceloven. Bestyrelsen vil
bestå af syv personer med ansvar for håndhævelse af konkurrenceloven. Det sker i forlæn-
gelse af den styrkede konkurrencelov fra 2013, hvor der blev indført mulighed for højere bø-
der og fængselsstraf ved overtrædelse af konkurrenceloven. For at sikre en større grad af
uafhængighed omkring Konkurrence- og Forbrugerstyrelsens analyser på konkurrenceområ-
det, kan styrelsen – ligeledes fra den 1. juli 2015 – referere til den nye bestyrelse i stedet for
til erhvervs- og vækstministeren.
Der er også gennemført regelforenklinger inden for en række andre private serviceerhverv,
ligesom der er taget initiativer, der sænker adgangsbarriererne. Med
Vækstpakke 2014
skal
fødevarevirksomheder ikke længere skal have næringsbrev for lovpligtigt at kunne drive virk-
somhed. Desuden indeholdt aftalen enkelte ophævelser af danske særregler på fødevareom-
rådet, fx krav om hygiejneuddannelse og en række danske mærkninger af fødevarer.
På transportområdet forhøjes totalvægten for 7-akslede vogntog. Ligeså forlænges forsøgs-
ordningen med modulvogntog, og vejnettet til kørsel med modulvogntog udvides.
For at understøtte arbejdskraftens mobilitet mellem virksomheder ændres reguleringen af an-
sættelsesklausuler, med henblik på at begrænse brugen heraf. Med få undtagelser forbydes
jobklausuler, og reglerne om brugen af kunde- og konkurrenceklausuler justeres.
28
Danmarks nationale reformprogram 2015
·
Marts 2015
PDF to HTML - Convert PDF files to HTML files
 
PDF to HTML - Convert PDF files to HTML files
1513514_0031.png
Kapitel 1
1
PDF to HTML - Convert PDF files to HTML files
1513514_0032.png
Kapitel 4
4.
Nyt kapitel
De nationale mål i
Europa 2020-strategien
Der er i de senere år gennemført en række reformer og initiativer, der bidrager til at opfylde
de overordnede mål i EU 2020-strategien.
Strukturerne på det danske arbejdsmarked er generelt sund og regeringens ambition er at
fastholde en høj beskæftigelse og at forbedre mulighederne for, at personer på offentlig for-
sørgelse kommer tilbage i beskæftigelse eller i uddannelse. Det er gennem en bred social,
arbejdsmarkeds- og uddannelsesrettet indsat, at målsætningen om social inklusion bedst kan
blive opnået. Med de gennemførte reformer ventes det ambitiøse danske mål om en struktu-
rel beskæftigelsesfrekvens på 80 pct. af kunne nås i 2020.
På forskningsområdet har Danmark nået målsætningen i EU 2020-strategien. På det klima-
og energipolitiske område er der gennemført initiativer, så de ambitiøse målsætninger i stra-
tegien om reduktion af udledning af drivhusgasser og forøgelse af andelen af vedvarende
energi kan blive opnået. På uddannelsesområdet er der gennemført initiativer, som øger an-
delen af en ungdomsårgang, der får en uddannelse.
Målene i det nationale reformprogram for 2015 fremgår af tabel 4.1.
Tabel 4.1
Danske nationale mål
Mål i 2020
Det nationale mål for beskæftigelse
Det nationale mål for forskning og udvikling
Det nationale mål for klima og energi
Strukturel beskæftigelsesfrekvens på 80 pct.
3 pct. af BNP
Vedvarende energi skal udgøre mindst 30 pct. af det endeli-
ge energiforbrug. Vedvarende energi i transportsektoren skal
være på 10 pct. Udledningerne i de ikke-kvoteregulerede
sektorer skal gradvist reduceres op til 20 pct. frem mod 2020
i forhold til 2005.
Reducere skolefrafaldet til mindre end 10 pct. for de 18-24-
årige og øge den andel af de 30-34-årige, der har afsluttet en
videregående eller tilsvarende uddannelse til mindst 40 pct.
Mindske antallet af personer i husstande med lav beskæfti-
gelse med 22.000 frem mod 2020
Det nationale mål for uddannelse
Det nationale mål for social inklusion
Danmarks nationale reformprogram 2015
·
Marts 2015
31
PDF to HTML - Convert PDF files to HTML files
1513514_0033.png
Kapitel 4
De nationale mål i Europa 2020-strategien
4.1
Det nationale mål for beskæftigelse
Der er tydelige tegn på bedring på det danske arbejdsmarked. Beskæftigelsen er steget det
seneste halvandet år som følge af fremgang i den private sektor, og ledigheden er faldet.
Samlet set er den private beskæftigelse steget med over 30.000 personer siden midten af
2013. Den udvikling forventes at fortsætte i takt med, at genopretningen i dansk økonomi ta-
ger fart.
Strukturerne på det danske arbejdsmarked er generelt sunde, og der er ikke tegn på, at kon-
junkturtilbageslaget i kølvandet på finanskrisen har sat varige spor på arbejdsmarkedet.
3
Det
afspejler sig blandt andet i, at den strukturelle ledighed ikke er højere i dag, end før krisen,
jf.
Økonomisk Redegørelse,
december 2014. Fleksibiliteten på det danske arbejdsmarked er
fortsat stor, og bruttoledigheden ligger på et lavt niveau sammenlignet med tidligere tilbage-
slag.
Beskæftigelsesfrekvensen i Danmark for de 20-64-årige på ca. 75�½ pct. i 2013 er væsentlig
højere end gennemsnittet for EU. Den højere erhvervsfrekvens er især tydelig blandt de dan-
ske kvinder,
jf. figur 4.1.
Det danske mål er en strukturel beskæftigelsesfrekvens for de 20-
64-årige på 80 pct. i 2020. Udviklingen i beskæftigelsen frem mod 2020 svarer til en stigning i
beskæftigelsesfrekvensen for de 20-64-årige på ca. 4 pct.-point. Således ventes det danske
mål for den strukturelle beskæftigelsesfrekvens at kunne nås i 2020,
jf. figur 4.2.
Figur 4.1
Beskæftigelsesfrekvens i Danmark og EU for
de 20-64-årige mænd og kvinder
Pct.
85
80
75
70
65
60
55
50
92
94
96
98
00
02
04
06
08
10
12
EU - mænd
EU - kvinder
DK - mænd
Pct.
85
80
75
70
65
Figur 4.2
Udvikling i beskæftigelsesfrekvensen frem
mod 2020
Pct.
5
4
3
Inkl. konjunktur
1,5%
Samlet 2020-forløb
inkl. nye refomer
Pct.
5
4
0,7%
3
-genopretning
2
1
2
1,7%
1
0
-1
60
Strukturelt forløb
uden nye reformer
0
55
50
-1
13
14
15
16
17
18
19
20
Strukturelt forløb
Konjunktur
Samlet forløb
DK - kvinder
Anm: Beskæftigelsesfrekvensen i figur 4.1 er baseret på EU’s ”Labour force Survey”.
Kilde: Eurostat, Danmarks Statistik, DREAM og egne beregninger.
3
Se
Finansredegørelse 2014,
Januar 2014, Finansministeriet.
32
Danmarks nationale reformprogram 2015
·
Marts 2015
PDF to HTML - Convert PDF files to HTML files
1513514_0034.png
Kapitel 4
De nationale mål i Europa 2020-strategien
Det er regeringens ambition at fastholde en høj beskæftigelse og forbedre mulighederne for,
at personer på offentlig forsørgelse kommer tilbage i beskæftigelse eller i uddannelse. Re-
formstrategien i
Vækstplan DK
har i den forbindelse sat nye mål for vækst og privat beskæf-
tigelse. Det sker gennem øget uddannelse og gennem reformer, der øger arbejdsudbuddet.
De gennemførte reformer og tiltag, der medgår til indfrielsen af vækstmålsætningen i
Vækst-
plan DK,
herunder reformer af skat, førtidspension og fleksjob, kontanthjælp og SU, skønnes
at øge beskæftigelsen med ca. 28.000 fuldtidspersoner. Sammenholdt med den demografi-
ske udvikling og virkningen fra tidligere reformer skønnes den strukturelle beskæftigelse at
vokse med omtrent 95.000 fuldtidspersoner frem mod 2020,
jf. tabel 4.2.
Tabel 4.2
Bidrag til ændringerne i arbejdsudbud og beskæftigelse, 2013-20
Virkning
i antal personer
1.000 personer
Demografisk bidrag (alder, køn, herkomst) mv.
Skønnet bidrag fra tidligere reformer
1
Gennemførte reformer siden 2012
4
Heraf:
- Skatteaftale 2012
2
- Reform af førtidspension og fleksjob
- Konkrete initiativer i Vækstplan DK
3
Virkning i fuld-
tidspersoner
(inkl. arbejdstid)
8
74
23
1
66
28
5
8
7
105
85
190
11
5
10
95
71
166
159
Samlet ændring i strukturel beskæftigelse
Konjunkturbidrag
Samlet ændring i faktisk beskæftigelse
Heraf privat beskæftigelse
Anm.: Forskellen mellem virkningen opgjort i fuldtidspersoner og antal personer afspejler ikke alene ændret
gennemsnitlig arbejdstid af de forskellige initiativer, men også forskellen mellem den gennemsnitlige
arbejdstid og normalarbejdstiden. På grund af afrunding kan summen afvige fra totalen.
1)
Inkl. initiativer i genopretningsaftalen, skatteaftaler 2007 og 2009, tilbagetrækningsreformen samt ud-
dannelsesmålsætningerne mv.
2)
Inkl. skønnet virkning i 2013.
3)
Inkl. reform af SU og kontanthjælp.
Kilde: Opdateret 2020-forløb, august 2014 og egne beregninger.
Det forudsættes, at konjunkturerne normaliseres frem mod 2020, hvilket skønnes at løfte be-
skæftigelsen med ca. 70.000 fuldtidspersoner,
jf. tabel 4.2.
Samlet skønnes konjunkturnor-
maliseringen, den underliggende demografiske udvikling samt tidligere og nye reformer at
hæve beskæftigelsen medgodt 165.000 personer frem mod 2020,
jf. tabel 4.2.
Herunder kan
den private beskæftigelse stige medknap 160.000 fuldtidspersoner.
Danmarks nationale reformprogram 2015
·
Marts 2015
33
PDF to HTML - Convert PDF files to HTML files
1513514_0035.png
Kapitel 4
De nationale mål i Europa 2020-strategien
Gennemførte reformer, herunder Tilbagetrækningsreformen fra 2011 samt reformer af skat,
førtidspension og fleksjob, kontanthjælp og SU, vurderes at bidrage til et væsentligt løft af ar-
bejdsudbuddet frem mod 2020.
Skattereformen
fra juni 2012 sikrer, at det bedre kan betale sig at arbejde, og på lang sigt
skønnes reformen at bidrage til en stigning i beskæftigelsen på ca. 16.000 personer inkl. bi-
drag fra højere arbejdstid. Frem mod 2020 skønnes reformen at øge beskæftigelsen med ca.
11.000 personer,
jf. tabel 4.2.
Stigningen i arbejdsudbuddet kan især henføres til en forhøjel-
se af beskæftigelsesfradraget, særligt beskæftigelsesfradrag for enlige forsørgere, forhøjelse
af indkomstgrænsen for topskat samt afdæmpet regulering af overførselsindkomster i perio-
den 2016-23, som bidrager til, at det bedre kan betale sig at arbejde.
Reform af førtidspension og fleksjobordningen
bidrager til at øge arbejdsudbuddet med ca.
5.000 fuldtidspersoner i 2020 (og godt 12.000 fuldtidspersoner omkring 2030). Reformen
trådte i kraft 1. januar 2013, og er beskrevet mere detaljeret i afsnit 3.2.1. Målet med refor-
men er at fastholde flest muligt på arbejdsmarkedet. Adgangen til førtidspension begrænses
for personer under 40 år, som i stedet tilbydes nyoprettede ressourceforløb. Reformen med-
fører endvidere, at fleksjobordningen målrettes personer med lille arbejdsevne, samt at til-
skuddet omlægges.
Regeringen indgik i april 2013 aftale om
reformer af kontanthjælp og SU-systemet
(en del af
Vækstplan DK),
som til sammen øger beskæftigelsen med ca. 9.000 personer frem mod
2020. SU-reformen indeholder initiativer, der fremmer tidligere færdiggørelse af studiet. Kon-
tanthjælpsreformen medfører blandt andet en stærkere tilskyndelse til at komme i beskæfti-
gelse og tage en uddannelse for uddannelsesparate og jobparate kontanthjælpsmodtagere
under 30 år. Ved indgåelse af finansloven for 2015 blev det besluttet at afskaffe den gensidi-
ge forsørgerpligt for samlevende. Dette skønnes isoleret set at mindske beskæftigelseseffek-
ten af kontanthjælpsreformen med ca. 1.000 personer.
Dertil kommer et løft i beskæftigelsen på ca. 1.000 personer i 2020, som er afledt af den pro-
duktivitetsforøgelse via større kapitalapparat, som følger af initiativerne i
Vækstplan DK.
Vækstpakke 2014
(juni 2014) indeholder en række initiativer, der primært har til formål at øge
produktiviteten. Initiativerne ventes at øge beskæftigelsen med ca. 1.500 personer frem mod
2020, blandt andet som følge af en lempelse af forskerskatteordningen.
Endelig ventes
reformen af sygedagpengesystemet
(december 2013) og reformen af beskæf-
tigelsesindsatsten (juni 2014) at øge beskæftigelsen i 2020 med i alt knap 1.500 personer.
I forbindelse med
reformen af beskæftigelsesindsatsen
er det besluttet at foretage en om-
lægning af det såkaldte refusionssystem, der består af statslige refusioner til delvis dækning
af de kommunale udgifter til indkomstoverførsler. Refusionsomlægningen skal understøtte en
effektiv beskæftigelsesindsats, og sikre at det for kommunerne bedst kan betale sig at vælge
en indsats, der er målrettet at hjælpe den enkelte arbejdsløse i job eller uddannelse. Der er i
februar 2015 indgået en politisk aftale om den konkrete udformning af refusionsomlægnin-
gen. Det skønnes, at refusionsomlægningen frem mod 2020 kan øge beskæftigelsen med
yderligere 3.000 personer. Den endelige tilpasning af tilskuds- og udligningssystemet, som
34
Danmarks nationale reformprogram 2015
·
Marts 2015
PDF to HTML - Convert PDF files to HTML files
1513514_0036.png
Kapitel 4
De nationale mål i Europa 2020-strategien
foretages i forbindelse med refusionsomlægningen, er imidlertid ikke fastlagt. Effekten af re-
fusionsomlægningen er derfor, i henhold til forsigtighedsprincippet, ikke indregnet i de mel-
lemfristede fremskrivninger.
4.2
Det nationale mål for forskning og udvikling
Den danske regering har et mål om, at de offentlige investeringer i forskning og udvikling skal
udgøre mindst 1 pct. af BNP. Derudover har Danmark tilsluttet sig EU’s målsætning om, at de
samlede offentlige og private investeringer i forskning og udvikling skal udgøre 3 pct. af BNP.
Forskning og udvikling er grundlag for ny viden, produktivitetsudvikling i økonomien samt nye
produkter, tjenesteydelser, produktionsprocesser og andre typer innovationer, som alt sam-
men skal bidrage til at øge produktivitetsvæksten i fremtiden.
De samlede offentlige og private investeringer i forskning og udvikling er steget fra 2 pct. af
BNP i 1997 til over 3 pct. af BNP i 2012,
jf. figur 4.3.
Således har Danmark nået målsætnin-
gen i EU’s vækststrategi, Europa 2020. Det offentlige forskningsbudget har generelt været
stigende siden 2005 og ligger på et relativt højt niveau sammenlignet med andre lande. Den
offentligt finansierede forskning udgjorde 20,9 mia. kr. svarende til 1,1 pct. af BNP i 2013,
mens erhvervslivet bidrog med 37,3 mia. kr. svarende til knap 2 pct. af BNP i 2013,
jf. figur
4.3.
2
Figur 4.3
Private og offentlige investeringer i forskning og udvikling
Pct. af BNP
3,5
3,0
2,5
2,0
1,5
1,0
0,5
0,0
1997 1998 1999 2000 2001 2002 2003 2004 2005 2006 2007 2008 2009 2010 2011 2012 2013
Den offentlige sektor
Erhvervslivet
I alt
Pct. af BNP
3,5
3,0
2,5
2,0
1,5
1,0
0,5
0,0
Anm.: Tallene i figuren er regnskabstal.
Kilde: Danmarks Statistik.
Godt en tredjedel af de offentlige udgifter til forskning og udvikling går til forskning i sund-
hedsvidenskab mens naturvidenskab står for 19 pct.,
jf. figur 4.4.
I det private står industrien
for over halvdelen af virksomhedernes samlede investeringer i forskning og udvikling,
jf. figur
4.5.
Industrien for farmaceutiske råvarer og medicinalvareindustri afholder alene 23 pct. af
virksomhedernes samlede investeringer svarende til 8,3 mia. kr.
Danmarks nationale reformprogram 2015
·
Marts 2015
35
PDF to HTML - Convert PDF files to HTML files
1513514_0037.png
Kapitel 4
De nationale mål i Europa 2020-strategien
Figur 4.4
Offentlige udgifter til forskning og udvikling
fordelt på hovedområder, 2013
7%
19%
16%
Figur 4.5
Virksomhedernes investeringer i forskning og
udvikling fordelt på brancher, 2013
16%
11%
6%
15%
58%
11%
3%
Natur
Sundhed
Samfund
37%
Teknisk
Jordbrug og veterinær
Humaniora
Industri
Information og kommunikation
Erhvervsservice
Handel
Finansiering og forsikring
Anm.: Transport, hotel, restauration og øvrige brancher indgår ikke i figur 4.5, da de udgør en meget lille
andel af de totale investeringer i forskning og udvikling.
Kilde: Danmarks Statistik.
Dansk forskning klarer sig godt i internationale sammenligninger. Danske forskere publicere-
de mere end 60.000 videnskabelige publikationer i perioden 2008-12, hvilket i relation til ind-
byggertal kun er overgået af Schweiz og Island. Samtidig er danske forskere blandt de mest
citerede. Internationalt ligger Danmark nummer tre målt i forhold til citationer per publikation.
Danske forskeres andel af de 10 pct. oftest citerede artikler i verden er steget markant og lig-
ger i dag 40 pct. over verdensgennemsnittet og væsentligt over de andre nordiske lande.
Danmark klarer sig også relativt godt på innovationsområdet. Innovation forstås som viden og
ideer, som omsættes til produkter og processer, der skaber forretningsmæssig og sam-
fundsmæssig værdi. Danmark er nr. 2 i EU efter Sverige på EU’s Innovation Union Score-
board 2014, som sammenligner EU-landenes innovationsevne. Innovation opdeles traditio-
nelt i produkt- og/eller procesinnovation samt organisations- og/eller markedsføringsinnovati-
on. Ser man på de to typer af innovation hver for sig, ligger Danmark ifølge tal fra Eurostat
over OECD-gennemsnittet for begge typer.
4
Med innovationsstrategien
Danmark – løsningernes land
fra december 2012 har regeringen
fastlagt tre nationale mål for områder, hvor Danmark i 2020 skal være i top fem blandt
OECD-landene. Dette gælder i forhold til (1) andelen af innovative virksomheder (2) private
investeringer i forskning og udvikling og (3) andelen af højtuddannede i den private sektor.
5
Endvidere har regeringen fastlagt en målsætning om, at antallet af licens-, salgs- og options-
aftaler fra 2011 til 2020 mere end fordobles.
4
5
Se regeringens publikation
Danmark i arbejde – Redegørelse om vækst og konkurrenceevne,
september 2013.
Punkt (1) og (3) gælder kun europæiske OECD-lande.
36
Danmarks nationale reformprogram 2015
·
Marts 2015
PDF to HTML - Convert PDF files to HTML files
1513514_0038.png
Kapitel 4
De nationale mål i Europa 2020-strategien
De fire mål er vigtige sigtelinjer for at styrke Danmarks vækstpotentiale. Det vil på længere
sigt være muligt at måle fremdriften i forhold til de fire mål fra Innovationsstrategien.
Regeringen har desuden i 2014 iværksat en række ambitiøse initiativer for at fremme forsk-
ning, udvikling og innovation. Nye større regeringsinitiativer inden for forskning, udvikling og
innovation, der er implementeret i 2014 eller er under implementering, fremgår af boks 4.1.
Boks 4.1
Regeringens initiativer til fremme af forskning, udvikling og innovation.
Danmarks Innovationsfond:
Den 1. april 2014 blev Danmarks Innovationsfond etableret med et sam-
let uddelingsniveau på ca. 1,6 mia. kr. årligt til strategisk og udfordringsdrevet forskning, teknologiudvik-
ling og innovation til gavn for vækst og beskæftigelse i Danmark.
Danmarks Grundforskningsfond:
Danmarks Grundforskningsfond blev med Vækstpakke 2014 fra juni
2014 tilført en kapitaltilførsel på 3 mia. kr. Kapitaltilførslen skal sikre, at fonden kan fortsætte sit nuvæ-
rende høje aktivitetsniveau og igangsætte nye forskningscentre i yderligere 10 år frem til 2026.
Øget internationalisering af innovationsnetværkene:
I 2014 er der givet støtte til 28 internationale
samarbejdsprojekter mellem danske og udenlandske netværk og klynger, som forventes at involvere
mere end 700 små og mellemstore virksomheder.
Evaluering af Det Frie Forskningsråd:
Det Frie Forskningsråd (DFF) blev evalueret i 2014. Evaluerin-
gen viste, at DFF spiller en vigtig rolle i det danske forskningssystem især i forhold til udviklingen af den
danske forskningstalentmasse. En række anbefalinger er i gang med at blive implementeret.
Indsats for flere kvinder i forskning:
Det Frie Forskningsråd har i 2014 igangsat et forskningsprojekt
(YDUN), som skal styrke talent- og idéudnyttelsen i dansk forskning gennem en forbedret kønssam-
mensætning i forskningsmiljøet. Der er uddelt 17 bevillinger til kvinder for i alt ca. 110 mio. kr. Der er li-
geledes nedsat en taskforce om kvinder og køn i forskning, der forventes at komme med anbefalinger til
fremme af ligestilling og en bedre kønsbalance i forskning ved udgangen af første kvartal 2015.
EUopSTART – styrket hjemtag fra Horizon 2020:
EUopSTART yder tilskud til danske virksomheders
og videninstitutioners forberedende arbejde med at udarbejde ansøgninger til en række udvalgte euro-
pæiske forskningsprogrammer under Horizon 2020.
Fælleseuropæisk forskningsfacilitet European Spallation Source (ESS):
I september 2014 blev
første spadestik til byggeriet af en af verdens største og mest avancerede forskningsfaciliteter, Euro-
pean Spallation Source (ESS), taget. Det forventes, at der i løbet af 2015 udarbejdes en national ESS-
strategi, som kan sætte pejlemærkerne for den fremtidige udvikling og indsats på området.
Open Access:
Uddannelses- og Forskningsministeriet offentliggjorde i juni 2014 en ny strategi, der
fremover skal sikre gratis digital adgang for alle til videnskabelige artikler.
ESOF:
Konferencen EuroScience Open Forum 2014 og den sideløbende forskningsfestival Science in
the City blev afholdt den 21.-26. juni 2014 i Carlsberg Byen, København. Begivenheden afholdes hvert
andet år i skiftende europæiske byer og er Europas største forskningsformidlende og forskningspolitiske
begivenhed. I København deltog 4.000 i konferencen og mere end 38.000 besøgte festivalen.
Innovation i produktionserhvervene:
Med Vækstpakke 2014 fra juni 2014 er det besluttet at styrke
vilkårene for innovation i produktionserhvervene bl.a. gennem et vækstprogram for små og mellemstore
produktionsvirksomheder, træningsforløb inden for ressourceeffektivitet for medarbejdere beskæftiget i
produktionserhverv samt to nye samfundspartnerskaber om innovation i regi af Danmarks Innovations-
fond, samfundspartnerskab om big data og samfundspartnerskab om avancerede materialer.
ter til forskning og udvikling, der kan give anledning til kontant udbetaling gennem skattekreditten forhøjet.
Grænsen er blevet hævet fra 5 mio. kr. til 25 mio. kr., svarende til en udbetaling på 5,5 mio. kr., når nedsæt-
telsen af selskabsskattesatsen er fuldt indfaset i 2016.
Skattekredit for forsknings- og udviklingsaktiviteter:
I 2014 blev den øvre grænse for, hvor store udgif-
Danmarks nationale reformprogram 2015
·
Marts 2015
37
PDF to HTML - Convert PDF files to HTML files
1513514_0039.png
Kapitel 4
De nationale mål i Europa 2020-strategien
4.3
Det nationale mål for klima og energi
Danmark er bl.a. omfattet af følgende EU-mål på klima- og energiområdet:
En række årlige forpligtelser i perioden 2013-20 for ikke-kvoteomfattede udledninger af
drivhusgasser. Målet skærpes frem mod 2020, hvor Danmarks udledning skal være re-
duceret med 20 pct. i forhold til niveauet i 2005,
jf. figur 4.6.
Andelen af vedvarende energikilder i det endelige energiforbrug skal øges til at udgøre
30 pct. i 2020,
jf. figur 4.7.
Andelen af vedvarende energi i landtransporten skal være 10 pct. i 2020.
Målene uddybes kort nedenfor.
Figur 4.6
Ikke-kvoteomfattede CO2-emmissioner fra
energiforbrug
Indeks, 2005=100
120
100
80
60
40
20
0
05 06 07 08 09 10 11 12 13 14 15 16 17 18 19 20
Indeks, 2005=100
120
100
80
60
40
20
Figur 4.7
Vedvarende energi som andel af endeligt
energiforbrug
Pct.
40
35
30
25
20
15
10
5
0
0
05 06 07 08 09 10 11 12 13 14 15 16 17 18 19 20
Pct.
40
35
30
25
20
15
10
5
0
Anm.: I begge figurer er der tale om en fremskrivning fra og med 2014.
Kilde: Energistyrelsen (2014),
Energistatistik 2013,
december 2014.
Klima og energipolitiske mål
EU’s stats- og regeringschefer bekræftede i oktober 2009, at de industrialiserede lande skal
reducere deres drivhusgasudledninger med 80-95 pct. i 2050 i forhold til niveauet i 1990. Må-
let er endnu ikke præciseret, juridisk bindende eller fordelt mellem medlemslandene.
Herudover blev EU’s stats- og regeringschefer i oktober 2014 enige om, at den samlede
CO2-udledning skal reduceres med mindst 40 pct. i 2030 i forhold til 1990. Der er endnu ikke
fastsat rammer for fordelingen af, hvor meget de enkelte lande skal levere for at nå den del,
der ikke allerede er omfattet af EU’s kvotesystem.
Danmark har endvidere som led i EU’s i Klima- og Energipakke fra 2008 påtaget sig at redu-
cere de ikke-kvoteomfattede udledninger med 20 pct. i 2020 i forhold til niveauet i 2005. Der
er årlige reduktionsforpligtelser i perioden 2013-20, og der er mulighed for at overføre over-
38
Danmarks nationale reformprogram 2015
·
Marts 2015
PDF to HTML - Convert PDF files to HTML files
1513514_0040.png
Kapitel 4
De nationale mål i Europa 2020-strategien
opfyldelse til efterfølgende år. Den seneste fremskrivning fra oktober 2014 viser, at der vil ske
en overopfyldelse for hele perioden 2013-20 på i alt 19 mio. ton CO2-ækvivalenter. Samlet
forventes de ikke-kvoteomfattede udledninger reduceret med 23 pct. i 2020 i forhold til 2005-
niveauet. Det svarer til en overopfyldelse på 0,6 mio. ton CO2-ækvivalenter i 2020.
Danmark har ligeledes i forbindelse med EU's Klima- og Energipakke fra 2008 påtaget sig at
øge den andel af det endelige energiforbrug, der stammer fra vedvarende energikilder (VE) til
30 pct. i 2020. I følge den seneste fremskrivning forventes målet overopfyldt med en andel af
VE i det endelige energiforbrug på 37-39 pct. i 2020,
jf. figur 4.7.
Af den seneste fremskrivning fremgår ligeledes, at det totale bruttoenergiforbrug i 2020 for-
ventes at være 753 PJ, hvilket betyder, at bruttoenergiforbruget er reduceret med 12 pct. i
forhold til 2006. Hermed opfyldes det nationale mål om energieffektivitet i energiaftalen fra
2008, hvor bruttoenergiforbruget skulle reduceres med 4 pct. i 2020 i forhold til 2006.
Danmark skal endvidere, som en del af Klima- og Energipakken, leve op til et krav om, at
mindst 10 pct. af energiforbruget i landtransportsektoren skal dækkes af VE i 2020. Med im-
plementeringen af de aftalte transportinitiativer i energiaftalen ventes dette mål opfyldt. Ifølge
den seneste fremskrivning vil 10,7 pct. af landtransportens energiforbrug i 2020 komme fra
biobrændstoffer,
jf. figur 4.8.
Figur 4.8
Andel af biobrændstoffer i landtransportens energiforbrug
Pct.
12
10
8
6
4
2
0
2005
2006
2007
2008
2009
2010
2011
2012
2013
2020
Pct.
12
10
8
6
4
2
0
Kilde: Energistyrelsen,
Energistatistik 2013,
december 2014 og Energistyrelsen,
Danmarks Energi- og Klimafrem-
skrivning,
oktober 2014.
I oktober 2014 satte EU’s stats- og regeringschefer yderligere mål for andelen af vedvarende
energikilder i 2030, hvor 27 pct. af energiforbruget skal komme fra vedvarende energi. Målet
er bindende, men det fordeles ikke på de enkelte lande. Derudover blev der sat et vejledende
mål om at forbedre energieffektiviteten med 27 pct.
Danmarks nationale reformprogram 2015
·
Marts 2015
39
PDF to HTML - Convert PDF files to HTML files
1513514_0041.png
Kapitel 4
De nationale mål i Europa 2020-strategien
Der er i de senere år gennemført en række aftaler, der understøtter de klima- og energipoliti-
ske mål. De væsentligste er
Energiaftalen, Klimaloven
og
Vækstpakke 2014.
Energiaftale 2012-20
Med energiaftalen er en lang række initiativer besluttet for at understøtte og udbygge den
danske position på klima- og energiområdet, jf. Danmarks nationale reformprogram 2013. Af-
talen indebærer omfattende investeringer i vedvarende energi og energieffektivitet. Samtidig
tages vigtige skridt på vejen mod 100 pct. vedvarende energi i den danske energi- og trans-
portsektor i 2050.
Som opfølgning på energiaftalen er flere tiltag blevet gennemført. Blandt andet er en strategi
for energirenovering af den eksisterende bygningsmasse blevet formuleret. Strategien fast-
lægger, hvilke initiativer der skal gennemføres for at sikre, at energiforbruget i bygninger re-
duceres på vejen til et grønt energisystem. En Smart Grid Strategi
6
, en energisparepakke og
et eftersyn af den danske elregulering er andre tiltag.
Klimalov
Klimaloven blev vedtaget i juni 2014. Med loven har Danmark fået en overordnet strategisk
ramme for klimapolitikken, så der sikres gennemsigtighed og offentlighed om status, retning
og fremdrift for klimapolitikken. I forbindelse med klimaloven er der etableret et nyt uaf-
hængigt, fagligt baseret klimaråd. Rådet består af uafhængige eksperter, som blandt andet
skal rådgive regeringen om, hvordan omstillingen til et lavemissionssamfund i 2050 kan reali-
seres på en omkostningseffektiv måde under hensyntagen til vækst, konkurrenceevne og
sunde offentlige finanser. Professor Peter Birch Sørensen – tidligere formand for De Økono-
miske Råd og Produktivitetskommissionen – er udpeget som formand for Klimarådet.
Klimaloven lovfæster, at klima-, energi- og bygningsministeren hvert år skal sende en klima-
politisk redegørelse til Folketinget, som giver en status for udledningen af drivhusgasser, og
hvordan Danmark overholder de internationale klimaaftaler.
Endelig pålægger Klimaloven den til enhver tid siddende klima-, energi- og bygningsminister
at fremsætte nationale klimamålsætninger mindst hvert femte år. Klimamålsætningerne skal
have et tiårigt perspektiv.
Vækstpakke 2014 mv.
Der blev, som led i en samlet aftale om
Vækstpakke 2014,
indgået en delaftale om tilbage-
rulning af forsyningssikkerhedsafgiften mv. og lempelser af PSO
7
. Delaftalen har blandt andet
betydning for den aftalte udbygning af vindenergi i Energiaftalen. For at imødegå dele af kli-
maeffekten af aftalen blev det besluttet at gennemføre klimatiltag i form af udtag af lavbunds-
jorde, etablering af biocovers og oprettelsen af et energisparesekretariat. Derudover er der
Smart Grid bruges som en samlebetegnelse for styring af hele elsystemet, dvs. en samtænkning af produktion,
transmission, distribution og styring af forbrug.
7
Public Service Obligation der blandt andet dækker tilskud til vedvarende energi og decentrale kraftvarmeværker
mv.
6
40
Danmarks nationale reformprogram 2015
·
Marts 2015
PDF to HTML - Convert PDF files to HTML files
1513514_0042.png
Kapitel 4
De nationale mål i Europa 2020-strategien
afsat yderligere midler i 2018 og 2019 til klimatiltag. Det kommende uafhængige Klimaråd vil
blive bedt om at komme med anbefalinger til, hvordan disse midler bedst udmøntes. Anbefa-
lingerne skal foreligge primo 2016.
Der blev med finanslovsaftalen for 2015 blandt andet afsat midler til store varmepumper og
en pulje til fremme af geotermi. Derudover er der afsat en pulje til klimatiltag for perioden
2015-17, som blev udmøntet på konkrete klimatiltag inden for primært landbrug og transport i
februar 2015
Den fremadrettede klimapolitik og vurdering af klimaeffekt
Regeringen arbejder for, at klimahensynet også fremadrettet skal integreres i politikudviklin-
gen inden for alle de sektorer, der udleder drivhusgasser. Regeringens klimapolitik bygger på
en række principper, blandt andet at indsatsen tilrettelægges omkostningseffektivt, så de kli-
ma- og energipolitiske mål nås med så begrænsede samfundsøkonomiske omkostninger
som muligt. Parallelt med regeringens klimaplan fra august 2013 er der udarbejdet et virke-
middelkatalog, hvori forskellige virkemidler til at opnå yderligere reduktioner i udledningen af
drivhusgasser, er analyseret. Virkemiddelkataloget danner sammen med klimaplanen og den
nye klimalov udgangspunktet for den videre politiske dialog om, hvordan det nationale mål for
2020 om en reduktion på 40 pct. i forhold til 1990 nås.
Der gennemføres årligt en samlet vurdering af effekten af den samlede danske indsats. Den
næste vurdering (Danmarks energi- og basisfremskrivning) forventes offentliggjort ultimo
2015. Der foretages derudover løbende evalueringer af enkelte tiltag fx energiselskabernes
energispareindsats og tilskudsordningen VE til proces. Den næste evaluering af energisel-
skabernes energispareindsats vil blive offentliggjort i første halvår af 2015.
På det energipolitiske område vil parterne fra energiaftale 2012-20 mødes i 2015 med henblik
på at se på videreførelsen af aftalens initiativer. Senest inden udgangen af 2018 skal parter-
ne drøfte konkrete supplerende initiativer for perioden efter 2020.
4.4
Det nationale mål for uddannelse
Regeringen har tiltrådt de overordnede EU-mål på uddannelsesområdet i Europa 2020-
strategien om at reducere uddannelsesfrafaldet til 10 pct. for de 18-24-årige samt øge den
andel af de 30-34-årige, der har afsluttet en videregående eller tilsvarende uddannelse, til
mindst 40 pct.
Danmark bidrager til opfyldelse af EU-målene gennem de nationale mål, som imidlertid opgø-
res efter andre metoder end EU-målene. De danske nationale mål er, at 95 pct. af en ung-
domsårgang skal gennemføre mindst en ungdomsuddannelse i 2015, at 60 pct. af en ung-
domsårgang skal gennemføre en videregående uddannelse i 2020, og at mindst 25 pct. skal
gennemføre en lang videregående uddannelse.
Den seneste opgørelse for 2013-årgangen viser, at 93 pct. af en ungdomsårgang skønnes at
gennemføre mindst en ungdomsuddannelse, 62 pct. at gennemføre en videregående uddan-
nelse og 29 pct. at gennemføre en lang videregående uddannelse,
jf. figur 4.9.
Danmarks nationale reformprogram 2015
·
Marts 2015
41
PDF to HTML - Convert PDF files to HTML files
1513514_0043.png
Kapitel 4
De nationale mål i Europa 2020-strategien
Det er et helt centralt mål for regeringen at styrke faglighed og kvalitet i folkeskolen, på ung-
domsuddannelserne og på de videregående uddannelser. Samtidig er det regeringens mål,
at mindst 25 pct. af eleverne vælger en erhvervsuddannelse direkte efter 9. eller 10. klasse,
at flere gennemfører en erhvervsuddannelse, og at de danske unge kommer hurtigere igen-
nem deres uddannelser. Det er endvidere regeringens mål at styrke kvalitet og relevans for
efterfølgende beskæftigelse i de videregående uddannelser, og at voksen- og efteruddannel-
serne styrkes markant frem mod 2020. Indsatsen vil samlet set bidrage til at forbedre udbud-
det af veluddannet arbejdskraft og bidrage til øget vækst og beskæftigelse.
Figur 4.9
Andel af en 9.klasses årgang, der forventes at opnå mindst en ungdomsuddannelse, en videre-
gående uddannelse og en lang videregående uddannelse
Pct.
100
90
80
70
60
50
40
30
20
10
0
90
91
92
93
94
95
96
97
98
99
00
01
02
03
04
05
06
07
08
09
10
11
12
13
Pct.
100
90
80
70
60
50
40
30
20
10
0
Mindst en ungdomsuddannelse
Videregående uddannelse
Lang videregående uddannelse
Anm: Regeringen har tre målsætninger på mindst en ungdomsuddannelse (95 pct.), en videregående ud-
dannelse (60 pct.) og en lang videregående uddannelse (25 pct.).
Kilde: Undervisningsministeriet,
profilmodellen 2013.
Et fagligt løft af folkeskolen
Folkeskolereformen trådte i kraft ved skoleårets begyndelse i august 2014, jf. afsnit 3.2.2.
Reformens mål er, at alle elever skal blive så dygtige, de kan, at folkeskolen skal mindske
betydningen af social baggrund i forhold til faglige resultater, samt at tilliden til og trivslen i
folkeskolen skal styrkes. Implementeringen forløber som planlagt og understøttes og følges
af Undervisningsministeriet. Det er endnu for tidligt at konkludere med hensyn til reformens
effekter.
Evaluerings- og opfølgningsindsatsen består bl.a. af årlige nationale test af elevernes faglig-
hed og måling af trivslen. Implementeringsarbejdet følges derudover gennem et evaluerings-
og følgeforskningsprojekt, der skal dokumentere status på reformens implementering, skabe
grundlag for læring på baggrund af erfaringer og resultater fra implementeringen samt styrke
den empiriske forskning på folkeskoleområdet.
42
Danmarks nationale reformprogram 2015
·
Marts 2015
PDF to HTML - Convert PDF files to HTML files
1513514_0044.png
Kapitel 4
De nationale mål i Europa 2020-strategien
Bedre og mere attraktive erhvervsuddannelser
Regeringen har i juni 2014 fået vedtaget en omfattende reform af erhvervsuddannelserne, jf.
afsnit 3.2.2. Reformen, som træder i kraft august 2015, skal bidrage til, at flere unge vælger
en erhvervsuddannelse, og at kvaliteten højnes. Reformen indebærer bl.a. et nyt etårigt
grundforløb for helt unge, fokus på at styrke attraktive ungdomsuddannelsesmiljøer, en mere
fokuseret vejledning i overgangen fra grundskolen, hvor der også indføres en ny erhvervsret-
tet 10. klasse, indførelse af adgangskrav for at blive optaget, flere muligheder for at tage fag
på højere niveau og bedre videreuddannelsesmuligheder. Med reformen bliver eleverne sik-
ret minimum 26 timers undervisning om ugen på grundforløb fra 2016 svarende til knap 35
lektioner om ugen. Implementeringen forløber som planlagt, og reformens konkrete mål vil
blive fulgt tæt gennem løbende opfølgning, måling og evaluering af fremdrift og resultater.
Gymnasier til fremtiden
Regeringen har i december 2014 fremlagt et udspil om de gymnasiale uddannelsers rammer
og indhold, som skal bidrage til et kvalitetsløft af de gymnasiale uddannelser. Med udspillet
vil regeringen indrette de gymnasiale uddannelser mere enkelt og overskueligt. De unge skal
i højere grad have de fag, som de skal bruge for at starte på en videregående uddannelse.
Det faglige niveau skal styrkes, og eleverne skal opleve en højere faglig kvalitet i undervis-
ningen, mere målrettede og moderne undervisningsformer, bedre trivsel og et mere aktivt
samspil mellem lærerne og den enkelte elev.
Bedre voksen- og efteruddannelse for ufaglærte og faglærte
Regeringen har med
Vækstplan DK
fra april 2013 afsat 1 mia. kr. i perioden 2014-20 til mere
og bedre voksen- og efteruddannelse for ufaglærte og faglærte, der er udmøntet på bag-
grund af aftale med LO og DA i Vækstpakke 2014 fra juni 2014. Målet er, at flere ufaglærte
opkvalificeres, og at flere faglærte skal løftes til videregående niveau. Det er samtidig målet,
at kvaliteten og fleksibiliteten styrkes. De igangsatte initiativer skal bidrage til et løft i aktivite-
ten på op til 180.000 flere kursister inden for især arbejdsmarkedsuddannelser og akademi-
uddannelser, herunder 20.000 studerende på videregående uddannelsesniveau.
Dimensionering
Regeringen lancerede med
Vækstpakke 2014
fra juni 2014 lancerede en øget dimensione-
ring på de videregående uddannelser. Målet er at flytte optaget på uddannelser med syste-
matisk og markant overledighed til uddannelser med bedre jobudsigter. Det samlede dimen-
sioneringsomfang er ca. 3.500 pladser, svarende til 6 pct. af optaget i 2013.
Samtidig etableres et digitalt overblik, så kommende studerende får nem adgang til sammen-
lignelige informationer om bl.a. uddannelsernes ledighed, beskæftigelsesmuligheder og time-
tal samt studerendes og færdiguddannedes vurderinger af uddannelsernes kvalitet og rele-
vans for efterfølgende job.
Udvalg for Kvalitet og Relevans i de Videregående Uddannelser (Kvalitetsudvalget)
Regeringen ønsker at styrke kvalitet og relevans for efterfølgende beskæftigelse i de videre-
gående uddannelser. Derfor nedsatte regeringen i oktober 2013 Kvalitetsudvalget, der med
to delrapporter i henholdsvis april og november 2014 samt en opsamlende rapport i januar
2015 har præsenteret en række anbefalinger til styrkelse af kvalitet og relevans i de videre-
gående uddannelser. Anbefalingerne omfatter blandt andet forslag til ændring af strukturen
Danmarks nationale reformprogram 2015
·
Marts 2015
43
PDF to HTML - Convert PDF files to HTML files
1513514_0045.png
Kapitel 4
De nationale mål i Europa 2020-strategien
på de videregående uddannelser, øget dimensionering, gennemsigtighed i den enkeltes ud-
dannelsesvalg, øget åbenhed og gennemsigtighed om kvalitet og relevans, studieintensitet,
optagelsessystemet, censorområdet, god undervisning mv.
Med
Vækstpakke 2014
fra juni 2014 er der taget initiativer til at følge op på nogle af anbefa-
lingerne. Regeringen vil i foråret 2015 tage stilling til eventuelt yderligere initiativer, bl.a. i
samarbejde med uddannelsesinstitutionerne.
Reform af SU-systemet og rammerne for studiegennemførelse
Der blev i april 2013 indgået en politisk aftale om en reform af SU-systemet og rammerne for
studiegennemførelse. Reformen bygger på en præmis om et fortsat velfungerende og effek-
tivt SU-system, som sikrer unges mulighed for at få en uddannelse, uanset social baggrund.
Reformen styrker samtidig de offentlige finanser med 2,2 mia. kr. i 2020, jf. kapitel 3.1.
En central del af reformen er at sikre en hurtigere studiegennemførelse. I international sam-
menhæng er danske unge blandt de ældste, inden de færdiggør en kompetencegivende ud-
dannelse. I gennemsnit forventes de at bruge næsten fire år i mertid efter afsluttet grundskole
indtil en bestået lang videregående uddannelse på grund af uddannelsespauser og studie-
tidsforlængelser,
jf. figur 4.10.
Figur 4.10
Forventet gennemsnitligt mertidsforbrug i måneder fra afsluttet 9. klasse til første erhvervskompe-
tencegivende uddannelse, 9. klasse årgang 2011
Lange videregående uddannelser
6
1
21
5
12
Mellemlange videregående uddannelser
6
1
22
4
1
Korte videregående uddannelser
6
1
24
6
2
Erhvervsuddannelser
6
0
7
10
20
28
30
Studieskift
40
5
1
50
10. klasse
Dobbelt ungdomuddannelse
Uddannelsespause
Resttid
Kilde: Undervisningsministeriet baseret på Danmarks Statistiks registre.
Per 1. januar 2015 er en række af de initiativer, der skal understøtte tidligere studiestart og
sikre en hurtigere studiegennemførelse, implementeret. Eksempelvis kan studerende modta-
ge SU i 12 måneder udover uddannelsens normerede tid, hvis de starter på deres første vi-
deregående uddannelse senest to år efter adgangsgivende uddannelse. Studerende, der
starter senere, kan få SU til uddannelsens normerede studietid. Der er indført et loft på højst
5 ungdomsuddannelser med SU. Endelig er der indført bedre rammer for merit ved studieop-
hold på anden institution eller studieskift, øget brug af vinterstart samt bedre overgange mel-
44
Danmarks nationale reformprogram 2015
·
Marts 2015
PDF to HTML - Convert PDF files to HTML files
1513514_0046.png
Kapitel 4
De nationale mål i Europa 2020-strategien
lem bachelor- og kandidatuddannelser. Endvidere stilles der krav til universiteterne om at
nedbringe den gennemsnitlige studietid med 4,3 måneder frem mod 2020.
Udviklingskontrakter 2015-17
Der er for de videregående uddannelser indgået udviklingskontrakter for alle 37 institutioner
for 2015-17. Udviklingskontrakterne skal fremme institutionens strategiske udvikling samt
skabe synlighed om institutionens arbejde med at opfylde samfundsmæssige udfordringer.
Internationaliseringshandlingsplan
Regeringen lancerede i april 2014 en Internationaliseringshandlingsplan med fokus på til-
trækning til og fastholdelse af internationale studerende i Danmark og øge internationalise-
ringen af de videregående uddannelser. Med
Vækstpakke 2014
fra juni 2014 blev det bl.a.
besluttet at igangsætte et forsøg med et nyt stipendieprogram målrettet særligt talentfulde
studerende udenfor EU/EØS. Der er afsat 25 mio. kr. i alt i 2015-17, som skal finansiere, at
60-65 særligt talentfulde studerende får tildelt et stipendium, som dækker studieafgift og le-
veomkostninger.
4.5
Det nationale mål for social inklusion
Det er vigtigt for regeringen, at alle borgere får reelt lige muligheder for at bidrage aktivt til
samfundet. Med reformer af kontanthjælp, førtidspension, fleksjob og ungdomsuddannelser-
ne er der skabt rammerne for, at flere får muligheden for at blive en aktiv del af samfundet og
af arbejdsmarkedet. Det er både til gavn for den enkelte og for det danske samfund.
Den danske regering har som led i EU-2020 strategien et mål for social inklusion, som hand-
ler om at reducere antallet af personer i husstande med lav beskæftigelse med 22.000 per-
soner frem mod 2020. Det danske mål afspejler, at social inklusion bedst opnås gennem en
bred social, arbejdsmarkeds- og uddannelsesrettet indsats.
Frem mod 2013 er der kommet flere personer i husstande med lav beskæftigelse, og i 2013
er tallet ifølge Eurostat på 522.000 personer, jf. figur 4.11. Det skal ses i lyset af det betydeli-
ge økonomiske tilbageslag i 2008-09 og den efterfølgende periode med svag økonomisk ud-
vikling. Tallet for 2013 dækker over den selvrapporterede beskæftigelse i 2012 (rapporterin-
gen finder sted i starten af 2013). Således afspejler tallet ikke den vending, der generelt er
sket på arbejdsmarkedet siden midten af 2013 med faldende ledighed og stigende beskæfti-
gelse.
Danmarks nationale reformprogram 2015
·
Marts 2015
45
PDF to HTML - Convert PDF files to HTML files
1513514_0047.png
Kapitel 4
De nationale mål i Europa 2020-strategien
Figur 4.11
Personer i husstande med lav beskæftigelse
1.000 personer
600
500
400
300
200
100
0
03
04
05
06
07
08
09
10
11
12
13
1.000 personer
600
500
400
300
200
100
0
Anm.: Eurostats 2020-indikator: ’People living in households with very low work intensity’. Oplysninger i
EU-SILC vedrører foregående år, hvorfor fx 2013 vedrører oplysninger for 2012. Beskæftigelses-
grad under 20 pct. i året.
Kilde: Eurostat.
Personer i husstande med lav beskæftigelsesgrad udgøres i vid udstrækning af ledige, efter-
lønsmodtagere, førtidspensionister, sygedagpengemodtagere og ledige i støttet beskæftigel-
se. Det er en del af den danske social- og beskæftigelsespolitik, at har man varigt eller i en
periode en funktionsnedsættelse, eller af andre årsager ikke mulighed for at arbejde, så skal
man via en overførselsindkomst sikres et indkomsterstattende forsørgelsesgrundlag
Der er tegn på en sammenhæng mellem social inklusion og tilknytning til arbejdsmarkedet.
Det er således særligt væsentligt, at personer fastholder forbindelsen med arbejdsmarkedet,
frem for at være på langvarig offentlig forsørgelse
8
. Undersøgelser viser, at dette antal er fal-
det over de seneste år. Medio 2014 er der godt 475.000 langvarigt offentligt forsørgede 18-
64-årige, mod omkring �½ mio. personer i midten af 00’erne. Hovedparten af denne gruppe
har trukket sig permanent tilbage fra arbejdsmarkedet og modtager førtidspension eller efter-
løn. Men der er også 141.000 bruttoledige og (øvrige) kontanthjælpsmodtagere samt modta-
gere af sygedagpenge, der har været offentligt forsørget i mindst 80 pct. af tiden i de foregå-
ende 3 år.
Antallet af langvarigt offentligt forsørgede er aftaget i de seneste par år og ligger aktuelt på et
niveau, der er lavere end for 9-10 år siden, hvor omkring 530.000 personer var langvarigt of-
fentligt forsørget,
jf. figur 4.12.
I opgørelsen er personer på fleksjob medregnet i gruppen af
offentligt forsørgede. Regnes disse ikke med, er faldet i antallet af langvarigt offentligt forsør-
Personer i langvarig forsørgelse er personer, der i mindst 80 pct. af tiden i de foregående 3 år har været offent-
ligt forsørget (idet der ses bort fra modtagere af SU).
8
46
Danmarks nationale reformprogram 2015
·
Marts 2015
PDF to HTML - Convert PDF files to HTML files
1513514_0048.png
Kapitel 4
De nationale mål i Europa 2020-strategien
gede over de seneste 10 år endnu større. Faldet i antallet af langvarigt offentligt forsørgede i
de senere år skyldes hovedsageligt, at tilgangen til gruppen er faldet (siden 2010).
Figur 4.12
Langvarigt offentligt forsørgede opdelt på typen af overførselsindkomst
1.000 personer
600
500
400
300
200
100
0
03
Fleksjob
04
05
06
07
08
09
10
11
12
Kontanthjælp
13
14
Bruttoledige
1.000 personer
600
500
400
300
200
100
0
Førtidspension
Efterløn mv.
Sygedagpenge mv.
Anm.: Opgjort som et gennemsnit for månederne i første halvår. Den underliggende månedlige opgørelse
er baseret på arbejdsmarkedsstatus i den sidste hele uge i de enkelte måneder. Personer, der står regi-
streret med korterevarende ”pause” fra offentligt forsørgelse (op til 3 uger), regnes for offentligt for-
sørgede i disse uger. Typen af overførselsindkomst angiver overførselsindkomst på opgørelsestids-
punktet. På grund af den 3-årige opgørelsesperiode er de konjunkturbetingede udsving lidt forsinke-
de i forhold til udviklingen i antal overførselsmodtagere generelt.
Kilde: Egne beregninger på lovmodellens datagrundlag.
Frem mod 2020 er der udsigt til, at antallet af (langvarigt) offentligt forsørgede vil falde yderli-
gere – i takt med at konjunkturerne normaliseres, og virkningen af reformerne gradvist øges.
De første foreløbige erfaringer fra virkningen af kontanthjælpsreformen tyder på, at flere unge
nu vælger uddannelse eller beskæftigelse fremfor kontanthjælp. Regeringen følger udviklin-
gen tæt og vil følge effekterne af de initiativer og reformer, som er iværksat for at styrke ud-
dannelse og beskæftigelse.
Initiativer til understøttelse af social inklusion
Regeringen har løbende gennemført initiativer, herunder for at understøtte de nationale soci-
ale 2020-mål, som skal styrke udsatte grupper, og hvis formål er at skabe social inklusion
samt forebygge eksklusion. Med midler fra finansloven og satspuljen 2014/15 er der på en
bred vifte af områder igangsat initiativer, som skal styrke inklusionen af børn, voksne og æl-
dre samt flygtninge og indvandrere i samfundet,
jf. boks 4.2.
Initiativerne understøttes af den generelle indsats for at øge beskæftigelsen og styrke uddan-
nelsesniveauet.
Danmarks nationale reformprogram 2015
·
Marts 2015
47
PDF to HTML - Convert PDF files to HTML files
1513514_0049.png
Kapitel 4
De nationale mål i Europa 2020-strategien
Boks 4.2
Initiativer til understøttelse af social inklusion
Forebyggelsespakken.
Forebyggelsespakken ”Tidlig Indsats – Livslang Effekt” blev lanceret i efteråret
2014. Der er med finansloven 2014 afsat 70 mio. kr. årligt i årene 2014-17 til initiativet, herunder til initia-
tiver på dagtilbudsområdet, jf. nedenfor. Der er i alt fire delinitiativer, som alle har fokus på det tidlige, fo-
rebyggende arbejde, der på både kort og lang sigt bidrager til øget social inklusion.
Fattigdomsredegørelse.
Regeringen har i maj 2014 udarbejdet den første årlige fattigdomsredegørel-
se, der viser udviklingen i antallet og beskriver sammensætningen af økonomisk fattige i Danmark. Re-
degørelsen belyser desuden sociale risikofaktorer for økonomisk fattigdom. Redegørelse viser, at der
var ca. 39.200 økonomisk fattige i Danmark i 2012.
Afsavnsundersøgelse.
Regeringen har i gangsat en undersøgelse af, hvilke materielle og sociale af-
savn mennesker i økonomisk fattigdom oplever som konsekvens af få økonomiske ressourcer. Denne
undersøgelse kan give viden om de konkrete konsekvenser af økonomisk fattigdom og viden om, hvor
der kan sættes ind.
Dagtilbud initiativer.
Der er i forbindelse med forebyggelsespakken ”Tidlig Indsats – Livslang Effekt”
med finansloven for 2014 afsat 55 mio. kr. i alt i årene 2014-2017 til en styrkelse af den tidlige indsats
overfor børn, der er vokset op i udsatte familier, i dagtilbud. Formålet er at sikre, at børnene på sigt vil
klare sig bedre på uddannelses- og arbejdsmarkedet. Derudover er der med satspuljeaftalen 2015 afsat
10,6 mio. kr. til et initiativ, der skal styrke udsatte børns overgang fra skole til dagtilbud. I finansloven for
2015 er der ydermere afsat 250 mio. kroner til mere pædagogisk personale i dagtilbud.
Antidiskriminationsenhed.
I oktober 2013 blev der lanceret en national antidiskriminationsenhed, der
skal modvirke diskrimination på baggrund af etnicitet og handicap. Enheden blev oprettet i 2014 og har
bl.a til opgave at undersøge omfang og karakter af diskrimination og derefter tilrettelægge indsatser, der
kan virke forebyggende.
Aftale om fremtidens hjemmehjælp.
I aftalen er der afsat 38 mio. kr. til et stort udviklingsprojekt, hvor
10-15 kommuner i samarbejde med frivillige organisationer skal blandt andet arbejde med at støtte en-
somme ældre i at deltage i forebyggende og sociale aktiviteter.
Styrket modtagelse af nyankomne flygtninge og familiesammenførte.
Modtageindsatsen for ny-
ankomne flygtninge og familiesammenførte til flygtninge er bl.a. blevet styrket, ved at kommunerne siden
1. juli 2013 skal tilbyde helbredsmæssige vurderinger hos en læge. På baggrund af den nuværende eks-
traordinære situation med et stærkt stigende antal flygtninge har regeringen og KL indgået en forståelse
om integrationsområdet. Regeringen har som følge heraf iværksat en række konkrete initiativer, som
skal understøtte kommunernes modtagelse af nytilkomne flygtninge og familiesammenførte.
Stofmisbrugsbehandling.
Som led i udmøntningen af satspuljen 2014 blev der fremsat et lovforslag
om anonym, ambulant stofmisbrugsbehandling. Målgruppen er personer med et stofmisbrug, som har en
relativt tæt tilknytning til arbejdsmarkedet eller uddannelsessystemet, og som ellers ikke kan forventes at
ville have opsøgt behandlingssystemet. Formålet er således at forebygge, at denne gruppe borgere på
sigt udvikler sociale problemstillinger udover stofmisbruget.
48
Danmarks nationale reformprogram 2015
·
Marts 2015
PDF to HTML - Convert PDF files to HTML files
1513514_0050.png
Kapitel 4
De nationale mål i Europa 2020-strategien
Boks 4.2 (fortsat)
Initiativer til understøttelse af social inklusion
Ny hjemløsestrategi.
Udbredelse og forankring af erfaringer fra Hjemløsestrategien 2013-15 samt lan-
ceringen af en ny Hjemløsestrategi (2014-17) med fokus på at styrke den forebyggende og tidlige ind-
sats til udsatte unge.
Bæredygtighedsstrategi.
De sociale 2020-mål indgår på lige fod med mål for den økonomiske udvik-
ling og miljømæssige mål, jf. kapitel 5.
Brug for alle unge.
Støtte til de ikke uddannelsesparate unge, så en større andel påbegynder og gen-
nemfører en ungdomsuddannelse. I alt afsættes 28,0 mio. kr. over fire år i satspuljen 2015-18.
Inklusion og stærke børnefællesskaber.
Som led i de i satspuljefinansierede midler har Under-
visningsministeriets Læringskonsulentkorps en særlig inklusionsindsats.
Danmarks nationale reformprogram 2015
·
Marts 2015
49
PDF to HTML - Convert PDF files to HTML files
1513514_0051.png
Kapitel 1
1
PDF to HTML - Convert PDF files to HTML files
1513514_0052.png
Kapitel 5
5.
Nyt kapitel
Grøn, økonomisk og
social bæredygtighed
Regeringen har med strategien
Et bæredygtigt Danmark,
oktober 2014, opstillet 23 ambitiøse
mål for udviklingen i Danmark på det økonomiske, grønne og sociale område. Udviklingen vil
blive overvåget tæt, og der vil løbende blive fulgt op med konkrete reformer og initiativer, så
der sikres en bæredygtig udvikling i Danmark.
En stærk og sund økonomi med et højt velstandsniveau er grundlaget for, at der kan investe-
res i velfærd, uddannelse og sundhed og tages hånd om de mest udsatte i samfundet. En
bred arbejdsmarkedsdeltagelse er både en forudsætning for velstand og velfærd, men det er
også vigtigt i et socialt perspektiv. Et samfund uden store sociale skel er samtidig med til at
forebygge marginalisering og kriminalitet. Lige muligheder for uddannelse og et højt uddan-
nelsesniveau understøtter produktivitet og velstand og bidrager til at nedbryde negativ social
arv. Social bæredygtighed er derfor også vigtig for den økonomiske bæredygtighed.
En rig og mangfoldig natur og et rent miljø uden giftstoffer eller luftforurening bidrager til fol-
kesundheden og livskvaliteten i Danmark. Samtidig er naturen og miljøet en afgørende ram-
mebetingelse for vigtige erhverv som fx landbrug og fiskeri. Velstand gør det muligt at inve-
stere i beskyttelse af miljø, klima og natur, men respekt for naturgrundlag, miljø og klima er
også vigtig for den økonomiske udvikling på lang sigt,
jf. figur 5.1.
Figur 5.1
Grøn, økonomisk og social bæredygtighed
Danmarks nationale reformprogram 2015
·
Marts 2015
51
PDF to HTML - Convert PDF files to HTML files
1513514_0053.png
Kapitel 5
Grøn, økonomisk og social bæredygtighed
I dette kapitel redegøres for indholdet i strategien
Et Bæredygtigt Danmark
samt initiativer
med et hovedfokus på grøn bæredygtighed. Økonomisk og social bæredygtighed er behand-
les ligeledes i nedenstående, og er samtidig i vid udstrækning behandlet i forudgående kapit-
ler.
5.1
Grøn bæredygtighed
Der er opstillet ambitiøse mål på det grønne område og igangsat en lang række forskellige
indsatser for at sikre en grøn omstilling og skabe et bæredygtigt Danmark,
jf. boks 5.1.
På klimaområdet er Danmark internationalt i front med en målsætning om at reducere driv-
husgasudledningen med 40 pct. i 2020 og en energiaftale, der sikrer massive investeringer i
grøn omstilling af energiforsyningen i de kommende år. Samtidig er der fremlagt en klima-
plan, der peger frem mod indfrielsen af klimamålsætningen, jf. afsnit 4.3.
På miljøområdet skal en ambitiøs kurs sikre, at Danmark også fremadrettet har ren luft og
rent drikkevand, beskyttes mod skadelige kemikalier og er forberedt på klimaforandringer.
Den grønne omstilling skal også understøttes af en bedre evne til at genanvende og udnytte
ressourcer i affald. På vandmiljø- og naturområdet er der indgået en aftale med private fonde
om at etablere Den Danske Naturfond.
Der er med finansloven for 2014 afsat 800 mio. kr. i perioden 2014-17 til den grønne omstil-
ling mv. Sortering og genanvendelse af affald, sekretariatet for Den Danske Naturfond og
styrkelse af rådgivningen om PCB prioriteres med i alt 263 mio. kr. Herudover er der i forbin-
delse med
Vækstpakke 2014
udmøntet midler til klimakompenserende tiltag.
Med aftale om Finansloven for 2015 afsættes der 400 mio. kr. over fire år til bl.a. en styrket
miljø- og økologiindsats, udvikling af bæredygtigt byggeri og udvikling af et grønt national-
regnskab.
52
Danmarks nationale reformprogram 2015
·
Marts 2015
PDF to HTML - Convert PDF files to HTML files
1513514_0054.png
Kapitel 5
Grøn, økonomisk og social bæredygtighed
Boks 5.1
Målsætninger for grøn bæredygtighed
Udledningen af drivhusgasser skal i 2020 være reduceret med 40 pct. ift. udledningen i 1990.
9
El- og varmeforsyningen skal være dækket af 100 pct. vedvarende energi i 2035. Hele Danmarks
energiforsyning, herunder transport, skal være dækket 100 pct. af vedvarende energi i 2050.
1
Genanvendelsen af husholdningsaffald skal øges til 50 pct. i 2022.
Ressourcestrategien for affaldshåndtering lægger retning og virkemidler ud for en omstilling til større
genanvendelse.
Genanvendelsen af husholdningsaffald øges. I alt skal 50 pct. genanvendes i 2022. Øget udsortering af
det organiske husholdningsaffald skal føre til, at dette anvendes til biogasproduktion.
Belastningen fra sprøjtemidler skal være reduceret med 40 pct. ved udgangen af 2015 ift. 2011.
Belastningen måles ift. både sundhed, påvirkning af natur og risiko for nedsivning til drikkevandet.
Sprøjtemiddelstrategien angiver virkemidler, der supplerer afgiften for at beskytte natur og sundhed mv.
Pesticidafgiften er omlagt, så den nu afhænger af det enkelte sprøjtemiddels belastning og hæves for
væsentligt at reducere belastningen fra sprøjtemidler.
Ren luft og regulering af problematiske kemikalier. Internationale aftaler og mål skal efterleves.
I 2013 blev indgået en aftale med alle Folketingets partier om en ny kemikaliehandlingsplan for 2014-17.
Med en aktiv indsats i EU har regeringen desuden fremmet indsatsen vedrørende problematiske kemika-
lier og lav luftforurening. EU-kommissionen har fremlagt en europæisk ren-luft pakke med forslag til mål
for 2020 og 2030.
I 2014 besluttede regeringen at bruge 149 mio.kr. over tre år på at reducere særligt partikelforureningen
og sikre overholdelse af NO2-grænseværdien i København.
Danmark skal bevare en mangfoldig natur og beskytte dyr og planters levesteder i det åbne land og i
skovene. Der skal på længere sigt sikres gunstig bevaringsstatus for arterne og naturtyperne omfat-
tet af naturplanerne.
Den Danske Naturfond vil med en samlet startkapital på 875 mio. kr. bidrage til naturens mangfoldighed
mv.
Regeringen gør brug af muligheden for at omlægge en del af den direkte landbrugsstøtte til Landdi-
striktsprogrammets ordninger, der bl.a. bidrager til at forbedre natur og miljø.
Regeringen har desuden lanceret en Naturplan Danmark, der er under udmøntning. De centrale naturpo-
litiske tiltag i Naturplan Danmark er vedtaget ved lov d. 19. februar 2015. Naturplan Danmark er samtidig
Danmarks biodiversitetsstrategi, der følger op på FN’s og EU's mål for biodiversitet i 2020.
Fjorde, kystvande, søer og vandløb samt grundvandet skal leve op til vandrammedirektivets krav,
og havområder til havstrategirammedirektivets krav.
I forbindelse med forberedelsen af de udkast til vandplaner for perioden 2016-21, som er i offentlig hø-
ring, er tilstanden og indsatsbehovet i de danske vandområder blevet kortlagt. Det danner grundlaget for
de konkrete målsætninger og indsatser, som indgår i udkastene til vandplaner for perioden 2016-21.
I 2012 udarbejdedes en havstrategi, der sætter mål og retning for de kommende års arbejde for forbed-
ring af miljøtilstanden i de danske havområder. I 2014 etableredes et overvågningsprogram, og i 2015
opstilles et indsatsprogram, der skal sikre, at Danmark lever op til målene i havstrategien.
9
Klima- og energimålsætningerne er afhandlet i afsnit 4.3.
Danmarks nationale reformprogram 2015
·
Marts 2015
53
PDF to HTML - Convert PDF files to HTML files
1513514_0055.png
Kapitel 5
Grøn, økonomisk og social bæredygtighed
Ressourcestrategien for affaldshåndtering
Fremstillingen og anvendelsen af produkter resulterer ofte i et stort forbrug af ressourcer i
værdikæden og efterfølgende produktion af affald. Dansk økonomi brugte 119 mio. tons res-
sourcer (DMC) i 2012 – en reduktion fra 131 mio. tons i 2000. Materialeforbruget fordeler sig
på 23 pct. biomasse, 51 pct. ikke-metalliske mineraler, 24 pct. fossile brændsler og 1 pct.
metaller. Ressourceproduktiviteten i Danmark er steget med 17 pct. fra 2000-12. Det betyder,
at der opnås 17 pct. mere økonomisk værdi ud af hvert kilo materiale end tidligere. Affalds-
produktionen har i samme periode stort set fulgt den økonomiske udvikling. Det betyder, at
der genereres omtrent den samme mængde affald i forhold til BNP i dag som i 2000.
Danmark har en høj udnyttelse af energien i affald til varme og el. I et europæisk perspektiv
deponeres der meget lidt affald, nemlig 6 pct. i Danmark, mens der til gengæld afbrændes 29
pct. og genanvendes 63 pct. Affald fra virksomheder og husholdninger indeholder imidlertid
materialer og værdier, hvoraf der med fordel kan genanvendes endnu mere frem for depone-
ring og afbrænding. Genanvendelsen af husholdningernes affald er eksempelvis lav,
jf. figur
5.2.
I 2013 blev
Danmark uden affald - Ressourcestrategien for affaldshåndtering
fremlagt for at
fremme genanvendelse af husholdningsaffald. Målet er at genanvende 50 pct. af hushold-
ningsaffaldet i 2022,
jf. figur 5.2.
Det betyder mindst en fordobling af genanvendelsen af hus-
holdningsaffaldet, hvilket skal ske på en omkostningseffektiv måde og i et tæt samarbejde
med kommuner og virksomheder.
Figur 5.2
Behandling af husholdningsaffald
Pct.
100
Genanvendelse
80
Forbrænding
60
Forbrænding
60
Genanvendelse
80
Pct.
100
40
40
20
20
0
I dag
Målsætning 2022
0
Anm.: Husholdningsaffald med genanvendelsespotentiale.
Kilde: Miljøstyrelsens affaldsstatistik og fremskrivning.
Regeringen lancerede i februar 2015
Danmark uden affald II – udkast til Strategi for affaldsfo-
rebyggelse,
som ligger i forlængelse af regeringens
Ressourcestrategi for affaldshåndtering –
Danmark uden affald.
Regeringen vil med denne strategi reducere spild og undgå, at værdi-
fulde ressourcer bliver til affald.
Danmark uden affald II
indeholder to tværgående temaer;
omstilling i danske virksomheder og grønt forbrug.
54
Danmarks nationale reformprogram 2015
·
Marts 2015
PDF to HTML - Convert PDF files to HTML files
1513514_0056.png
Kapitel 5
Grøn, økonomisk og social bæredygtighed
Virksomhedernes og forbrugernes indsats er afgørende for at reducere mængden af affald og
er derfor det naturlige omdrejningspunkt for de to tværgående temaer.
Det er regeringens målsætning, at danske virksomheder skal øge ressourceeffektiviteten. For
at understøtte målsætningen bidrager regeringen til at styrke virksomhedernes strategiske
miljøarbejde og ressourceeffektivitet gennem blandt andet målrettede støtteordninger. Rege-
ringen prioriterer blandt andet nye lånemuligheder for virksomheder i Danmarks Grønne In-
vesteringsfond med en udlånskapacitet på 2 mia. kr., hvor virksomheder kan søge fonden om
at medfinansiere grønne projekter, herunder til ressourceeffektivitet.
Det er regeringens målsætning, at det skal være nemmere for forbrugere at købe produkter
og tjenesteydelser, som har mindre ressourcetræk, har færre problematiske stoffer og gene-
rerer mindre affald. Det skal bl.a. gøres ved at stimulere efterspørgslen efter miljørigtige varer
og tjenesteydelser samt understøtte udbredelsen af mere ressourceeffektive forretningsmo-
deller.
Med strategien
Danmark uden affald II
udkast til Strategi for affaldsforebyggelse
fokuseres
der på fem forskellige indsatsområder,
jf. boks 5.2.
Indsatsområderne er udvalgt på baggrund
af en vurdering af, hvor der er et stort potentiale for affaldsforebyggelse samt en omfattende
interessentinddragelse.
Boks 5.2
Indsatsområder i
Danmark uden affald II – udkast til Strategi for affaldsforebyggelse
Madspild:
Regeringens målsætning er, at madspild reduceres i alle led af værdikæden for fødevarer.
Bygge & anlæg:
Regeringens målsætning er at gøre det lettere for bygge- og anlægsbranchen at agere
mere ressourceeffektivt, at problematiske stoffer skal kunne håndteres sundheds- og miljømæssigt forsvar-
ligt samt at sikre en bedre vidensdeling på tværs af sektoren.
Tekstiler:
Regeringens målsætning er at gøre det lettere for tekstilvirksomhederne at reducere miljøbelast-
ningen i produktionsfasen og gøre det nemmere at genbruge og genanvende tekstiler, bl.a. ved at mindske
brugen af problematiske stoffer i tekstilerne.
Elektronik:
Regeringens målsætning er at gøre det nemmere at genbruge og genanvende elektronik og
elektronikaffald, så levetiden på produkterne forlænges, og de i højere grad kan indgå i cirkulære kredsløb.
Emballage:
Regeringens målsætning er, at den samlede miljøbelastning fra emballage mindskes.
Kilde: Danmark uden affald II – udkast til Strategi for affaldsforebyggelse.
Sprøjtemidler og kemikalier
Der er på miljøområdet udstukket en ambitiøs kurs, der fremadrettet skal medvirke til beskyt-
telse af drikkevand, naturen og menneskers helbred mod sprøjtemidler. Der arbejdes for en
bæredygtig anvendelse af sprøjtemidler, og forbruget skal reduceres de steder, hvor det er
muligt. Det skal samtidig sikres, at de anvendte sprøjtemidler belaster sundhed, natur og
grundvand mindst muligt. Målsætningen er, at belastningen fra sprøjtemidler ved udgangen
af 2015 skal være 40 pct. lavere end beregnet i 2011,
jf. figur 5.3.
Danmarks nationale reformprogram 2015
·
Marts 2015
55
PDF to HTML - Convert PDF files to HTML files
1513514_0057.png
Kapitel 5
Grøn, økonomisk og social bæredygtighed
Figur 5.3
Udviklingen i belastningen med sprøjtemidler i perioden 2007-13 og målsætning i 2015
Pesticidbelastningsindikator
6
5
4
3
2
1
0
07
08
09
10
11
12
13
14
15
Målsætning om 40 pct. reduktion i belastning ved
udgangen af 2015 sammenlignet med 2011
Pesticidbelastningsindikator
6
5
4
3
2
1
0
Pesticidbelastning (salg)
Pesticidbelastning (sprøjtejournaler)
Anm.: Den nye afgift medførte hamstring og derfor et midlertidigt større salg af sprøjtemidler i 2012. Det
faktiske forbrug i 2012 opgjort på baggrund af sprøjtejournaler er væsentligt lavere.
Kilde: Miljøstyrelsens bekæmpelsesmiddelstatistik 2013.
I februar 2013 blev der indgået en bred aftale om en ny sprøjtemiddelstrategi med konkrete
indsatser og værktøjer for at nå dette mål – herunder særligt den nye og højere afgift på pe-
sticider. Den nye og mere intelligente afgift betyder, at det bliver dyrere at anvende sprøjte-
midler, der belaster natur, sundhed og grundvand meget, mens mindre belastende sprøjte-
midler bliver relativt billigere.
Problematiske kemikalier skal også undgås. Der findes kemikalier i mange produkter som tøj,
legetøj mv. Nogle af disse kan skade menneskers sundhed og livskvalitet og påvirke naturen.
Det er kemikalier og produkter, som produceres mange steder i verden, og som handles på
tværs af landegrænser. Håndteringen af kemikalier kræver derfor især en international ind-
sats. Der er indgået en bred
Aftale om ny kemikalieindsats 2014-2017
med alle Folketingets
partier. Aftalen skal sikre mere viden om kemiske stoffers farlighed og er en fortsættelse af
Danmarks aktive deltagelse i internationale samarbejder for at forhindre, at problematiske
stoffer skader mennesker og miljøet og hindrer genanvendelse. Desuden sætter aftalen fokus
på alternativer til problematiske stoffer i blandt andet forbrugerprodukter, ligesom kontrollen
med problematiske stoffer styrkes.
Luftforurening
Luftforureningen i Danmark kommer fra mange forskellige kilder. De fleste kilder til
luftforurening er menneskeskabt, og kommer blandt andet fra afbrænding af kul, olie, gas og
træ. 70-80 pct. af luftforureningen kommer til Danmark fra udlandet og den internationale
skibsfart. Danmark kan derfor ikke løse hele problemet med luftforureningen og arbejder der-
for internationalt for at reducere luftforureningen. Det sker for eksempel i den internationale
søfartsorganisation,
IMO,
hvor man aftaler krav til den internationale skibstrafik.
Luftforureningen består af en række forskellige partikler, gasser og kemiske forbindelser, som
især stammer fra afbrænding af blandt andet kul og olie fra trafikken og fra brændeovne.
Transport og brændeovne er de dominerende kilder. Knap 70 pct. af partikelforureningen
56
Danmarks nationale reformprogram 2015
·
Marts 2015
PDF to HTML - Convert PDF files to HTML files
1513514_0058.png
Kapitel 5
Grøn, økonomisk og social bæredygtighed
(PM2,5) kommer fra brændefyring, og mere end 70 pct. af kvælstofforureningen (NOx) kom-
mer fra transportsektoren. Både partikel- og kvælstofforureningen har udvist en faldende
trend de senere år,
figur 5.4.
Figur 5.4
Partikel- og kvælstofforurening
1000 tons
40
1000 tons
250
36
220
32
190
28
160
24
130
20
00
01
02
03
Partikler
04
05
06
07
08
09
10
11
12
100
Nitrogenoxider (højre akse)
Kilde: European Environment Agency.
Derfor er det over for busser, skibsfart og brændeovne, at indsatsen mod luftforurening er
målrettet. Der er afsat 74 mio. kr. til renere busser i København og 75 mio. kr. til mindre foru-
rening fra brændeovne, øget kontrol af forurening fra skibe og udvikling af ren-luft-teknologi
og bysamarbejder,
jf. boks 5.3. Ren luft til danskerne
skal have fuld effekt i 2016. Der er alle-
rede skrappe udledningskrav til nye brændeovne. De bliver snart yderligere skærpet med en
ny brændeovnsbekendtgørelse. Vurderingen er, at nye krav vil medføre en gennemsnitlig år-
lig reduktion i partikeludledningen fra brændefyring på cirka 5 pct. frem til år 2035.
Danmarks nationale reformprogram 2015
·
Marts 2015
57
PDF to HTML - Convert PDF files to HTML files
1513514_0059.png
Kapitel 5
Grøn, økonomisk og social bæredygtighed
Boks 5.3
Ren luft til danskerne
Renere busser i København:
Busserne i København får nye, forbedrede rensesystemer (såkaldte SCR-
systemer), der vil reducere 80 procent af deres forurening. Med denne løsning vil Danmark overholde EU’s
krav til luftkvalitet i 2015.
Mindre forurening fra brændeovne:
Brændeovne står for knap 70 procent af den danske partikeludled-
ning. Regeringen vil sammen med kommunerne og andre interessenter finde løsninger, der kan sikre min-
dre forurening fra brændeovne.
Øget kontrol med forurening fra skibe:
Regeringen vil skærpe kontrollen med, at skibene overholder
nye internationale krav, der betyder, at skibe i Nord- og Østersøen skal sejle på rent brændstof næsten
uden svovl fra 2015. Øget kontrol skal sikre, at de nye svovlregler får størst mulig effekt.
Udvikling af ren-luft-teknologi og bysamarbejder:
Regeringen vil styrke samarbejdet mellem byer og
udvikling af ny teknologi, som kan reducere forureningen yderligere i Danmark og eksporteres til andre
lande, der har udfordringer med luftkvaliteten.
Et rigt dyre- og planteliv og et rent vandmiljø
Beskyttelsen af naturtyper og levesteder for dyr og planter er nødvendig for at opretholde et
rigt dyre- og planteliv. Naturen skal have tilstrækkelig plads og sammenhæng for at kunne
bevares. På samme vis er et rent vandmiljø uden for mange næringsstoffer også af central
betydning for den biologiske mangfoldighed i vandløb, søer, fjorde, kystvande og havene
omkring Danmark.
Der skal sikres en stor biodiversitet i Danmark, et rent vandmiljø og rige muligheder for re-
kreative oplevelser i den danske natur. Grundlaget for landbrug og fiskeri og for alle de andre
aktiviteter, hvor der drages nytte af naturen, skal bevares. Det forudsætter, at der tages hånd
om naturværdierne, og at udledningen af næringsstoffer er i balance med omgivelserne.
Danmark skal bevare en mangfoldig natur og beskytte dyr og planters levesteder i det åbne
land og i skovene. De seneste årtiers indsats for naturen viser heldigvis resultater, og for
nogle naturtyper og arter er der positive tendenser at spore. Det er imidlertid over to tredjede-
le af naturtyperne omfattet af Habitatdirektivet, der har en stærkt ugunstig bevaringsstatus,
jf.
figur 5.5.
Godt en fjerdedel af arterne omfattet af Habitatdirektivet har en stærkt ugunstig be-
varingsstatus,
jf. figur 5.6.
58
Danmarks nationale reformprogram 2015
·
Marts 2015
PDF to HTML - Convert PDF files to HTML files
1513514_0060.png
Kapitel 5
Grøn, økonomisk og social bæredygtighed
Figur 5.5
Bevaringsstatus for naturtyper
5%
5%
Figur 5.6
Bevaringsstatus for arter
22%
31%
30%
12%
68%
27%
Gunstig
Moderat gunstig
Stærkt ugunstig
Ukendt
Gunstig
Moderat gunstig
Stærkt ugunstig
Ukendt
Anm.: Figur 5.5 og 5.6 indeholder
hhv. en vurdering af bevaringsstatus for de 60 naturtyper og 82 arter
som i Danmark er omfattet af Habitatdirektivets bilag (Bilag I+II+IV+V).
Kilde: Aarhus Universitet - DCE – Nationalt Center for Miljø og energi 2014. Bevaringsstatus for naturty-
per og arter - Habitatdirektivets Artikel 17 rapportering. Videnskabelig rapport fra DCE – Nationalt
Center for Miljø og Energi nr. 98.
Der er derfor fortsat brug for en stor, samlet og målrettet indsats, der kan sikre levedygtige
bestande af plante- og dyrearter og varierede og robuste naturområder.
Regeringen har lanceret en Naturplan Danmark, der er under udmøntning.
Naturplan Dan-
mark - Vores fælles natur
fra oktober 2014 er en langsigtet, strategisk og samlet plan for,
hvordan Danmark får en rigere og mere sammenhængende natur. Naturplan Danmark er
samtidig Danmarks biodiversitetsstrategi, der følger op på FN's og EU's mål for biodiversitet i
2020. Regeringen vil arbejde for, at tilbagegangen i naturens mangfoldighed standses inden
2020. Initiativerne i Naturplan Danmark bidrager til at standse denne tilbagegang. Naturplan
Danmark indeholder tre indsatsområder: (1) Mere plads og bedre sammenhæng i naturen,
(2) styrket indsats for vilde dyr og planter og (3) bedre muligheder for fællesskab gennem na-
turoplevelser og friluftsliv. Centrale naturpolitiske tiltag i Naturplan Danmark er vedtaget ved
lov d. 19. februar 2015. Der er taget initiativ til et nybrud i dansk natur- og miljøpolitik med lov
om Den Danske Naturfond fra december 2014. Den Danske Naturfond vil bidrage til naturens
mangfoldighed, beskyttelse af truede arter, renere vandmiljø og lavere udledning af drivhus-
gasser. Desuden skal fonden styrke den folkelige forankring og opbakning til naturgenopret-
ning og naturbeskyttelse. Fondens startkapital er 875 mio. kr., hvoraf Villum Fonden bidrager
med 250 mio. kr. og Aage V. Jensen Naturfond med 125 mio. Sigtet er, at Den Danske Na-
turfond inden 2016 skal råde over 1 mia. kr. til naturformål.
De kommende vand- og naturplaner udgør et centralt element i arbejdet for at forbedre til-
standen i vandmiljøet og bevare biodiversiteten i Danmark. Med naturplanerne gøres en aktiv
indsats for at bevare og udvikle naturtyper og levesteder for dyr og planter på en måde, der
lever op til EU’s direktivkrav. Tilsvarende er det målsætningen, at vandmiljøet skal være i ba-
lance. Det betyder, at kravene i EU’s vandrammedirektiv om, at alle fjorde, kystvande, søer
og vandløb som udgangspunkt skal være i god økologisk tilstand, skal efterleves. De danske
Danmarks nationale reformprogram 2015
·
Marts 2015
59
PDF to HTML - Convert PDF files to HTML files
1513514_0061.png
Kapitel 5
Grøn, økonomisk og social bæredygtighed
havområder vil blive beskyttet med havstrategien fra 2012, der sikrer, at Danmark lever op til
EU’s havstrategidirektiv.
For at sikre et solidt fagligt grundlag for de kommende års vand- og naturindsatser er der
igangsat et omfattende udredningsarbejde, hvor tilstanden i det danske vandmiljø, på natur-
arealer og i arternes levesteder kortlægges.
5.2
Økonomisk bæredygtighed
Økonomisk bæredygtighed indebærer en økonomisk politik, der understøtter vækst, høj be-
skæftigelse og lav ledighed inden for rammerne af en holdbar og troværdig finanspolitik. Re-
geringen har afstemt sin politik og de seks økonomiske målsætninger for en holdbar og tro-
værdig finanspolitik herefter,
jf. boks 5.4.
Boks 5.4
Målsætninger for økonomisk bæredygtighed
1.
2.
3.
4.
5.
6.
Finanspolitikken skal være holdbar.
Der skal mindst være balance på den strukturelle offentlige saldo i 2020.
Den strukturelle offentlige saldo må årligt højst udvise et underskud på �½ pct. af BNP på budgette-
ringstidspunktet.
Danmark skal opfylde konvergenskravene.
Reformer og initiativer skal løfte væksten i dansk økonomi med ekstra 40 mia. kr. frem mod 2020.
Der skal frigøres 12 mia. kr. til målrettet forbedring af den offentlige service gennem modernisering af
den offentlige sektor.
I de senere år er de offentlige finanser konsolideret for at nedbringe underskuddet på den
faktiske offentlige saldo og forbedre den strukturelle offentlige saldo i overensstemmelse med
regeringens planer og EU’s henstilling til Danmark.
Finanspolitikken føres inden for rammerne af budgetloven, der blandt andet indebærer, at det
strukturelle underskud på de offentlige finanser ikke må overstige �½ pct. af BNP på budgette-
ringstidspunktet.
Med
Vækstplan DK
har regeringen fremlagt tre langsigtede reformspor med det sigte, at der
samlet skabes 150.000 nye private arbejdspladser frem mod 2020 og grundlag for en gen-
nemsnitlig økonomisk vækst på mindst 2 pct. årligt. Reformerne skal bidrage til at løfte væk-
sten i dansk økonomi med ekstra 40 mia. kr. i 2020. Af de 40 mia. kr. skal 20 mia. kr. komme
fra reformer, der forbedrer vilkårene for private virksomheder, og andre 20 mia. kr. skal kom-
me fra reformer, som øger beskæftigelse og uddannelsesniveau. Hertil kommer reformer, der
gennem modernisering af den offentlige sektor kan frigøre 12 mia. kr. til målrettede forbed-
ringer af den offentlige service.
Der er detaljeret redegjort for finanspolitikken i afsnit 3.1 og
Danmarks Konvergensprogram
2015.
60
Danmarks nationale reformprogram 2015
·
Marts 2015
PDF to HTML - Convert PDF files to HTML files
1513514_0062.png
Kapitel 5
Grøn, økonomisk og social bæredygtighed
5.3
Social bæredygtighed
Det danske samfund er kendetegnet ved et højt niveau for offentlig service, herunder fri og
lige adgang til uddannelse og sundhed, og relativt gunstige indkomstoverførsler til familier,
der ikke har mulighed for at forsørge sig selv. Det er blandt andet baggrunden for, at Dan-
mark har små indkomstforskelle, og at den enkeltes udfoldelsesmuligheder i mindre grad end
i mange andre lande er afhængige af forældres indkomst og sociale status,
jf. figur 5.7.
Figur 5.7
Indkomstforskelle i udvalgte OECD-lande
Gini-koefficent, pct.
40
35
30
25
20
15
10
5
0
NOR
DK
BEL
FIN
SWE
NLD
AUT
CHE
DEU
IRL
FRA
CAN
ITA
AUS
UK
USA
Gini-koefficent, pct.
40
35
30
25
20
15
10
5
0
Anm.: Fordeling af disponible indkomster. Jo mindre indkomstforskelle, jo lavere Gini-koefficient. Gini-
koefficienten er opgjort per 2011. For BEL er den imidlertid opgjort per 2010, og for DK, CHE og
AUS per 2012.
Kilde: OECD Statistics.
Gini-koefficienten, der omregner de samlede indkomstforskelle til ét enkelt tal, er i Danmark
steget fra ca. 20 pct. i 1994 til 25�½ pct. i 2012. En af hovedforklaringerne på stigende
indkomstforskelle er udviklingen i kapitalindkomsterne, som blandt andet er påvirket af bolig-
priserne. Hvis man ser bort fra kapitalindkomsterne, har indkomstforskellene kun været svagt
stigende igennem perioden.
Når Danmark i dag er kendetegnet ved små indkomstforskelle og små sociale skel, skyldes
det blandt andet reformer, der har styrket dansk økonomi og øget beskæftigelsen samt styr-
ket uddannelsesniveauet. Desuden er der en lang tradition for at tage hånd om socialt udsat-
te. Den danske flexicurity model har sammen med en velfungerende offentlig sektor ligeledes
– ved at levere en række vigtige offentlige velfærdsydelser som børnepasning, uddannelse
og syge- og ældrepleje – bidraget til et mere lige samfund.
Selv i velstillede lande med små indkomstforskelle vil der altid være personer med relativt lav
indkomst og færre muligheder i forhold til resten af befolkningen. Som led i indsatsen for at
skabe bedre vilkår for udsatte og sårbare offentliggjorde regeringen den 12. september 2013
en række sociale 2020-mål. De sociale 2020-mål omfatter mål for en styrkelse af udsatte
børn og unges uddannelse, reduktion af kriminaliteten blandt udsatte børn og unge samt
Danmarks nationale reformprogram 2015
·
Marts 2015
61
PDF to HTML - Convert PDF files to HTML files
1513514_0063.png
Kapitel 5
Grøn, økonomisk og social bæredygtighed
større kontinuitet i anbringelser. For udsatte voksne omfatter de sociale 2020-mål målsæt-
ninger vedrørende hjemløshed, kvinder på krisecentre, stofmisbrugsbehandling og narkorela-
terede dødsfald,
jf. boks 5.5.
Herudover har regeringen opstillet et mål om, at anvendelsen af
tvang i psykiatrien skal nedbringes med 50 pct. frem mod 2020.
Boks 5.5
Målsætninger for social bæredygtighed – sociale 2020 mål mv.
1.
2.
3.
4.
5.
6.
7.
8.
9.
Mindst 50 pct. af udsatte børn og unge har som 25-årige gennemført en ungdomsuddannelse
De udsatte børns faglige niveau i læsning og matematik skal forbedres.
Andelen af 15-17-årige udsatte unge, der begår kriminalitet og får en fældende strafferetlig afgørelse,
skal falde med mindst 25 pct. Det svarer til en andel på 9 pct.
Andelen af anbringelser, der bryder sammen, skal falde med mindst 30 pct. Det svarer til, at andelen
af sammenbrud højst må udgøre 4 pct.
Antallet af hjemløse i Danmark reduceres med mindst 25 pct. Det svarer til et niveau på højst 4.000
personer.
Andelen af borgere, der vender tilbage til et herberg eller et forsorgshjem inden for det første år efter
udskrivning til egen bolig, må højst udgøre 20 pct.
Andelen af kvinder på kvindekrisecentre, der har behov for mere end ét ophold, reduceres med
mindst 30 pct. Det svarer til en andel på højst 25 pct.
Andelen af borgere, som afslutter et behandlingsforløb for stofmisbrug som stoffri eller med reduktion
i misbruget, øges til mindst 50 pct.
Antallet af narkorelaterede dødsfald skal frem mod 2020 reduceres og fastholdes på et niveau på
højst 200 personer. Det svarer til en reduktion på mindst 30 pct.
Udsatte børn skal have lige muligheder
Udsatte børn og unge klarer sig i dag ikke nær så godt i skolen som andre børn. De får
sjældnere en ungdomsuddannelse og begår oftere kriminalitet. Det har også betydning for
trivslen i det daglige og muligheden for at blive selvforsørgende og få et velfungerende vok-
senliv. Folkeskolen har afgørende betydning for, at den negative sociale arv brydes, og derfor
er et af de tre overordene mål for folkeskolereformen, at folkeskolen skal mindske betydnin-
gen af social baggrund i forhold til faglige resultater. Derfor fokuserer fire af regeringens soci-
ale 2020 mål på udsatte børn og unge.
Unge, der på et tidspunkt i deres liv har været anbragt eller fået en forebyggende foranstalt-
ning efter serviceloven, får i mindre grad end ikke-udsatte unge en
ungdomsuddannelse.
Derfor har regeringen sat et 2020-mål om, at 50 pct. af de udsatte børn skal gennemføre en
ungdomsuddannelse i 2020. I 2013 var andelen knap 37 pct. Regeringen vil også de kom-
mende år understøtte, at flere unge gennemfører en ungdomsuddannelse og klarer sig bedre
i folkeskolen, jf. afsnit 3.2.2.
Udsatte børn klarer sig desuden dårligere i de nationale tests i
læsning og matematik
end
andre børn. Derfor har regeringen sammen med KL aftalt at sætte fokus på udsatte børns
undervisning samt aftalt, at andelen af udsatte børn, der klarer sig dårligt i de nationale tests,
skal reduceres år for år. Regeringen vil i 2015 opstille et konkret mål for udviklingen i det fag-
lige niveau.
62
Danmarks nationale reformprogram 2015
·
Marts 2015
PDF to HTML - Convert PDF files to HTML files
1513514_0064.png
Kapitel 5
Grøn, økonomisk og social bæredygtighed
Regeringen vil desuden gøre en indsats for at få nedbragt
kriminaliteten
hos udsatte unge. I
2011 var andelen af udsatte unge, der fik en fældende strafferetlig afgørelse, knap 12 pct.
mod 2 pct. blandt ikke-udsatte unge. I 2013 udgjorde andelen 9,5 pct. 2020-målet er, at ned-
bringe andelen til 9 pct. af de udsatte unge. I
Aftale om udmøntning af satspuljen
for 2014
indgår initiativer til styrkelse af kommunernes tidlige og målrettede indsats mod ungdomskri-
minalitet, herunder en ny indsats mod asocial adfærd samt en forlængelse af de kriminalpræ-
ventive indsatser mv.
I 2011 var andelen af
anbringelser,
der brød sammen, 5,4 pct. – enten fordi barnet eller den
unge forlod anbringelsesstedet, eller fordi anbringelsesstedet gav op over for barnet eller den
unge. I 2013 var dette tal ca. 4,7 pct. 2020-målet er, at nedbringe andelen til 4 pct. Sammen-
brud i anbringelsen skaber endnu en voldsom ændring i barnets eller den unges liv, og der-
med mindskes mulighederne for at lykkes med indsatsen, ligesom det har store menneskeli-
ge konsekvenser for den enkelte. Regeringen har derfor med flere initiativer haft fokus på at
sikre udsatte børn en stabil barndom. Det gælder blandt andet
Tilsynsreformen
og en task
force, der rådgiver kommunerne om sagsbehandlingen i sager om særlig støtte til udsatte
børn og unge.
Bedre hjælp til udsatte voksne
Der gøres i dag et stort arbejde for at hjælpe mennesker, der har det svært og bevæger sig
på kanten af samfundet. Det er blandt andet mennesker med misbrug og mennesker ramt af
hjemløshed. Regeringen arbejder for at fremme den forebyggende indsats og sikre, at hjælp
og støtte til den enkelte borger i højere grad betyder en forbedring i livsvilkårene og dermed
hjælper den enkelte videre i livet. Regeringens sociale 2020-mål omfatter blandt andet derfor
også mål for indsatsen til udsatte voksne.
Antallet af
hjemløse
har i de senere år været stigende på trods af gode erfaringer i
Hjemløse-
strategien.
Stigningen udgøres ikke mindst af en markant stigning i antallet af unge hjemløse.
I 2013 er antallet af hjemløse opgjort til 5.820 personer. Erfaringerne fra
Hjemløsestrategien
viser, at det kan lade sig gøre at hjælpe borgere ud af hjemløshed ved tidligt at etablere en
permanent boligløsning (Housing First). Regeringen har iværksat flere initiativer for at redu-
cere antallet af hjemløse. I aftalen om udmøntningen af satspuljen for 2014 indgår initiativer
vedrørende en målrettet indsats for at forebygge hjemløshed blandt unge, ligesom regerin-
gen vil arbejde for at forankre de gode resultater fra Hjemløsestrategien i flere kommuner. I
satspuljeaftalen for 2015 blev der endvidere afsat midler til afprøvning af midlertidige over-
gangsboliger til de mest udsatte unge hjemløse. Samtidig er der i
Aftale om finansloven for
2014
afsat en ramme på 20 mio. kr. årligt i 2014-17 til en indsats mod hjemløshed blandt un-
ge.
Mange har svært ved at fastholde deres bolig og vender derfor
tilbage til forsorgshjem
inden
for det første år. I 2013 vendte 30 pct. af dem, der blev udskrevet til egen bolig, tilbage til et
forsorgshjem året efter. Regeringen vil sætte fokus på kommunernes mulighed for at give
hjemløse og borgere på forsorgshjem en sammenhængende og rehabiliterende hjælp, der
skaber grundlaget for en god overgang til et liv i egen bolig. På den baggrund er der i februar
2015 fremsat et lovforslag, der skal sikre et bedre samarbejde mellem kommune og bofor-
mer, så de hjemløse med ophold på et forsorgshjem kan få kontakt med kommunen tidligt.
Lovforslaget indebærer, at alle boformer får pligt til at orientere kommunen senest tre hver-
dage efter indskrivning og udskrivning af en borger.
Danmarks nationale reformprogram 2015
·
Marts 2015
63
PDF to HTML - Convert PDF files to HTML files
1513514_0065.png
Kapitel 5
Grøn, økonomisk og social bæredygtighed
Effekten af den sociale
stofmisbrugsbehandling
er ikke god nok i dag. Af de personer, der i
2012 gennemførte et behandlingsforløb, blev 34 pct. enten stoffri eller fik reduceret deres
stofmisbrug. Regeringen har fokus på stofmisbrugsområdet og blandt andet lanceret
Stof-
misbrugspakken,
der skal løfte kvaliteten i den sociale stofmisbrugsbehandling blandt andet
gennem øget brug af viden og afprøvning af metoder med dokumenteret effekt.
Mennesker med stofmisbrug har en væsentlig højere dødelighed end den øvrige befolkning. I
2011 var der 285 narko-relaterede dødsfald. Antallet har i de foregående år svinget mellem
240 og 285 dødsfald. Andre faktorer end kun behandling og skadesreduktion har betydning
for antallet af narkorelaterede dødsfald. Det er derfor svært at opnå og fastholde et lavt ni-
veau. I 2012 var antallet af
narkorelaterede dødsfald
210 personer. Antallet er således fal-
dende, og det er regeringens ambition at fastholde den udvikling. Regeringen har blandt an-
det skabt mulighed for at oprette og drive stofindtagelsesrum (såkaldte fixerum), iværksat for-
søg med udlevering af naloxon til forebyggelse af overdosis samt udvidet ordningen om læ-
geordineret heroin.
En stor del af de kvinder, der tager ophold på
kvindekrisecentre
på grund af vold i hjemmet,
vender senere i deres liv tilbage. I 2013 var andelen af kvinder på kvindekrisecentrene med
tidligere ophold 35 pct. Dette tal er omgivet med usikkerhed, da en stor andel af kvinderne på
kvindekrisecentre ikke ønsker at oplyse om tidligere ophold. Med satspuljeaftalen for 2012
blev der igangsat flere initiativer til bekæmpelse af vold i nære relationer. Med
Aftale om fi-
nansloven for 2014
er der endvidere afsat midler til en ny handlingsplan for vold i familien og
nære relationer. Med satspuljeaftalen for 2015 er indgået aftale om blandt andet at udvide
den rådgivning, som kommunerne skal tilbyde kvinder med børn på krisecenter, til også at
omfatte kvinder uden børn samt styrke indsatsen ved at iværksætte rådgivningen tidligere.
Anvendelse af tvang i psykiatrien
er et voldsomt indgreb i den enkelte patients frihed. Trods
mange gode intentioner og erfaringer fra forsøgsprojekter har der i det seneste årti ikke været
et varigt fald i anvendelsen af tvang i psykiatrien. Nedbringelse og forebyggelse af tvang
kræver en bred og målrettet indsats, blandt andet i forhold til patientinddragelse, kompeten-
ceudvikling, ledelsesfokus, kultur og fysiske rammer. Der er med
Aftale om finansloven for
2014
afsat 50 mio. kr. årligt fra 2014 til at indgå partnerskaber med regionerne til opnåelse af
målsætningen om en halvering af tvang frem mod 2020. Samtidig er der afsat 100 mio. kr. til
et anlægsløft i 2014, som skal understøtte nedbringelsen af tvang i psykiatrien. Endvidere er
der med
Aftale om udmøntning af satspuljen for 2014
afsat i alt 74 mio. kr. i perioden 2014-
17 til forsøg med bæltefri- og tvangsfri afdelinger i psykiatrien. Med satspuljeaftalen på psyki-
atriområdet for 2015-18 er der i alt afsat 2,2 mia. kr. Midlerne skal blandt andet anvendes til
at sikre mere kapacitet af høj kvalitet, flere og bedre kompetencer hos medarbejdere i psyki-
atrien samt bedre fysiske faciliteter og rammer, hvilket tilsammen vil være medvirkende til at
forebygge og nedbringe brugen af tvang i behandlingen.
64
Danmarks nationale reformprogram 2015
·
Marts 2015
PDF to HTML - Convert PDF files to HTML files
 
PDF to HTML - Convert PDF files to HTML files
1513514_0067.png
Kapitel 1
1
PDF to HTML - Convert PDF files to HTML files
1513514_0068.png
Kapitel 6
6.
Nyt kapitel
Institutionelle spørgsmål
og interessentinddragelse
Der er i Danmark en fast procedure for Folketingets inddragelse i den danske og europæiske
vækst- og beskæftigelsesdagsorden. Det sker som en prioriteret del af den danske EU-
beslutningsprocedure, når Europa 2020-strategien og det Europæiske Semester er på dags-
ordenen i EU, i de enkelte rådsformationer og i Det Europæiske Råd.
Regeringen og Folketinget har aftalt en øget inddragelse af Folketingets Europaudvalg og Fi-
nansudvalg i forhold til drøftelserne om det Europæiske Semester og det nationale reform-
program. Dette indebærer, at regeringen (i tillæg til de løbende drøftelser af den europæiske
vækst- og beskæftigelsesdagsorden) orienterer og drøfter de vigtigste spørgsmål med Folke-
tingets Europaudvalg og Finansudvalg. Alt i alt afholdes tre årlige fælles samråd i løbet af det
Europæiske Semester.
Proceduren er følgende: I efteråret, efter offentliggørelsen af Kommissionens årlige vækstun-
dersøgelse, orienterer regeringen Europaudvalget og Finansudvalget om indholdet af vækst-
undersøgelsen. I løbet af foråret orienterer regeringen på et fælles samråd de to folketings-
udvalg om, hvordan regeringen forventer at afspejle de overordnede økonomisk-politiske ret-
ningslinjer fra Det Europæiske Råd i marts i Danmarks nationale reformprogram og konver-
gensprogram.
Dertil orienterer regeringen - efter fremlæggelsen af Kommissionens landespecifikke anbefa-
linger - på et fælles samråd folketingsudvalgene om Kommissionens udkast til landespecifik-
ke anbefalinger.
De tre samråd betegnes som ”det nationale semester” og er i lyset af den tættere koordinati-
on af den økonomiske politik i EU et eksempel på en styrket rolle for de nationale parlamen-
ter i EU.
Kontaktudvalget for Europa 2020-strategien
er omdrejningspunkt for den nationale forankring
af Europa 2020-strategien og det europæiske semester i Danmark. Udvalget blev nedsat al-
lerede i 2001 i forbindelse med vedtagelsen af Lissabon-strategien og består af ca. 30 regio-
nale og lokale myndigheder samt en bred vifte af organisationer med interesse for den euro-
pæiske vækst- og beskæftigelsesdagsorden. De regionale og lokale myndigheder er centrale
i forhold til den nationale udmøntning af vækst- og beskæftigelsespolitikken.
Kontaktudvalget træder ikke i stedet for de forskellige EU-specialudvalg inden for rammerne
af den danske EU-beslutningsprocedure, men fungerer som et parallelt hørings- og konsulta-
tionsled på vækst- og beskæftigelsesområdet. Udvalget er et vigtigt forum for dialog mellem
beslutningstagere og interesseorganisationerne om den europæiske vækst- og beskæftigel-
Danmarks nationale reformprogram 2015
·
Marts 2015
67
PDF to HTML - Convert PDF files to HTML files
1513514_0069.png
Kapitel 6
Institutionelle spørgsmål og interessentinddragelse
sesdagsorden og er central i forhold til at skabe konsensus om danske prioriteter på vækst-
og beskæftigelsesområdet.
Udvalget mødes typisk fire gange om året, hvoraf to af møderne foregår på embedsmandsni-
veau og to på ministerniveau. I første halvår holdes kontaktudvalget informeret om forløbet af
det europæiske semester, den aktuelle europæiske vækst- og beskæftigelsesdagsorden
samt udarbejdelsen af det nationale reformprogram. I andet halvår afholdes temadrøftelser
med fokus på elementer af vækst- og beskæftigelsesdagsordenen, f.eks. blev der i november
2014 afholdt et møde ledet af udenrigsministeren med fokus på energi og vækst i forlængel-
se af Det Europæiske Råd i oktober 2014, hvor EU’s klima- og energipakke blev vedtaget.
Udkastet til Danmarks nationale reformprogram 2015 blev sendt i høring i kontaktudvalget og
drøftet på et møde i udvalget den 4. marts 2015 med efterfølgende mulighed for udvalget til
at afgive skriftlige bemærkninger. Udvalgets bemærkninger er så vidt muligt søgt afspejlet og
indarbejdet i det nationale reformprogram.
Boks 6.1
Regeringens orientering af Folketinget om det europæiske semester og det nationale reformpro-
gram (”det nationale semester”)
5. december 2014: Fælles samråd i Folketingets Europaudvalg og Finansudvalg om Kommissionens Årlige
Vækstundersøgelse 2014 og Kommissionens varslingsrapport 2014 under proceduren for makroøkonomi-
ske ubalancer.
19. marts 2015: Fælles samråd i Folketingets Europaudvalg og Finansudvalg om Danmarks nationale re-
formprogram samt konvergensprogram og de økonomiske-politiske retningslinjer fra Det Europæiske Råd.
Juni 2015: Fælles samråd i Folketingets Europaudvalg og Finansudvalg om Kommissionens udkast til lan-
despecifikke anbefalinger.
68
Danmarks nationale reformprogram 2015
·
Marts 2015
PDF to HTML - Convert PDF files to HTML files
Det nationale reformprogram
Danmark 2015
2014/2015 : 18
I tabeller kan afrunding medføre,
at tallene ikke summer til totalen
Henvendelse om udgivelsen kan i øvrigt ske til
Økonomi- og Indenrigsministeriet
Slotsholmsgade 10-12
1216 København K
E-mail: [email protected]
Tlf. : 72 28 24 00
Elektronisk publikation
978-87-93214-56-9
Design af omslag
e-Types & e-Types Daily
Web
Publikationen kan hentes på
www.oim.dk