Forsvarsudvalget 2014-15 (1. samling)
FOU Alm.del Bilag 13
Offentligt
1411318_0001.png
ERHVERVSSTYRELSEN
Dahlerups Pakhus
Årlig status for industrisamarbejde med udenlandske leverandører til
forsvaret 2013
1. Resumé
Udenlandske leverandører af forsvarsmateriel blev i 2013 pålagt nye for-
pligtelser til at indgå i industrisamarbejde med danske virksomheder på
forsvarsområdet for 1,6 mia. kr. Ved udgangen af 2013 var den samlede
udestående forpligtelse for udenlandske leverandører dermed på 6,4 mia.
kr.
I 2013 afviklede udenlandske leverandører forpligtelser til industrisam-
arbejde hos danske virksomheder for 1,2 mia. kr. Afviklingen vedrørte i
alt 177 danske virksomheder. 92 pct. af afviklingen er koncentreret på 25
danske virksomheder.
De udenlandske leverandører har gennemsnitligt 10 år til at afvikle deres
forpligtelser til industrisamarbejde. Ud af den samlede udestående for-
pligtelse til industrisamarbejde på 6,4 mia. kr. har de udenlandske leve-
randører hos Erhvervsstyrelsen fået forhåndsgodkendt udviklingsprojek-
ter med danske virksomheder for ca. 3 mia. kr., som vil blive afviklet over
de kommende år.
Generelt foregår de udenlandske leverandørers afvikling af forpligtelser
til industrisamarbejde i overensstemmelse med de aftaler om industri-
samarbejde, de udenlandske leverandører har indgået med Erhvervssty-
relsen.
Siden sidste årlig rapport for industrisamarbejde til Folketinget er lov-
givningen på området blevet ophævet med vedtagelsen af ændring af Lov
om erhvervsfremme og regional udvikling den 2. april 2014 og erstattet
af administrative retningslinjer, som trådte i kraft den 1. juli 2014. Æn-
dringen af reglerne er en konsekvens af Kommissionens gentagne kritik
af de danske regler for industrisamarbejde, som efter Kommissionens op-
fattelse ikke var i overensstemmelse med EU-retten.
2. Baggrund
De kontrakter, som udenlandske leverandører indgik med forsvaret i 2013
om leverance af forsvarsmateriel, er indgået efter det daværende regelsæt
for industrisamarbejde. Efter de daværende regler skulle den udenlandske
Langelinie Allé 17
2100 København Ø
Tlf
Fax
CVR-nr.
[email protected]
www.erst.dk
35 29 10 00
35 46 60 01
10 15 08 17
PDF to HTML - Convert PDF files to HTML files
2/5
leverandør som udgangspunkt indgå en industrisamarbejdsaftale med Er-
hvervsstyrelsen. Industrisamarbejdsaftalerne skulle styrke danske for-
svarsrelaterede virksomheders teknologiske niveau, markedsadgang og
sikre samarbejde med udenlandske leverandører af forsvarsmateriel bl.a.
som underleverandør.
3. Reglerne for indgåelse af industrisamarbejdsaftaler
Reglerne for industrisamarbejde havde i 2013 hjemmel i erhvervsfrem-
meloven (lov nr. 602 af den 24. juni 2005) og fremgik af bekendtgørelse
nr. 992 af den 4. oktober 2006 og cirkulære om industrisamarbejde ved
køb af forsvarsmateriel (nr. 88 af 27. oktober 2010) samt administrativt
udstedte retningslinjer af 1. november 2010.
De daværende danske regler for industrisamarbejde betød, at udenlandske
leverandører af forsvarsmateriel skulle etablere et samarbejde med eller
lægge forsvarsrelaterede ordrer hos danske virksomheder, som fremstiller
produkter til forsvarsindustrien for en værdi svarende til kontrakten med
forsvaret.
Kommissionen indskærpede efter vedtagelsen af direktiv 2009/81/EF om
anskaffelser af forsvarsmateriel m.v. over for medlemsstaterne, at vilkår
om industrisamarbejde ikke er i overensstemmelse med direktiv
2009/81/EF, og i hvert enkelt tilfælde skal begrundes med en af de trak-
tatbaserede undtagelsesbestemmelser, navnlig artikel 346 TEUF om for-
anstaltninger vedrørende forsvarsmateriel, som anses for nødvendige til
beskyttelse af væsentlige sikkerhedsinteresser.
På baggrund af Kommissionens kritik af Danmark iværksatte regeringen i
2011 en gennemgang af de danske regler for industrisamarbejde med
hjemmel i § 18 i lov om erhvervsfremme og regional udvikling og en
analyse af industriens betydning for varetagelsen af Danmarks sikker-
hedsinteresser. Analysen førte til udarbejdelsen af ”Den nationale for-
svarsindustrielle strategi” som grundlag for det fremtidige industrisamar-
bejde. Strategien forventes opdateret cirka hvert andet år.
Gennemgangen viste, at det er nødvendigt for varetagelsen af Danmarks
væsentlige sikkerhedsinteresser, at der i Danmark eksisterer en bred vifte
af forsvarsindustrielle kompetencer og kapaciteter på højt internationalt
niveau inden for strategiske områder. Der er imidlertid ikke sikkerhed
for, at de danske underleverandører og nicheproducenter af forsvarsmate-
riel kan opnå den nødvendige adgang til at samarbejde med de udenland-
ske leverandører. Derfor kan det være nødvendigt at forpligte udenland-
ske leverandører af forsvarsmateriel og forsvarstjenesteydelser til indu-
strisamarbejde.
De øvrige medlemsstater, der praktiserer industrisamarbejde, har efterføl-
gende tilpasset deres regler eller er i færd hermed, således at eventuelle
forpligtelser til industrisamarbejde baseres på en konkret vurdering i hen-
hold til EU-retten, særligt artikel 346 TEUF.
Lovgivningen blev ophævet den 2. april 2014 og erstattet af administrati-
ve retningslinjer, som trådte i kraft den 1. juli 2014.
PDF to HTML - Convert PDF files to HTML files
1411318_0003.png
3/5
De nye regler har været i anvendelse i forbindelse tre konkrete anskaffel-
ser, og der er i alle tre tilfælde vurderet at være behov for at stille krav om
industrisamarbejde af hensyn til varetagelsen af Danmarks væsentligste
sikkerhedsinteresser.
4. Status for indgåelse af industrisamarbejdsaftaler og gennemført
industrisamarbejde
Erhvervsstyrelsen har i 2013 indgået nye industrisamarbejdsaftaler med
udenlandske leverandører for et samlet beløb på ca. 1,6 mia. kr. Til sam-
menligning blev der i 2012 indgået nye industrisamarbejdsaftaler for ca.
5,2 mia. kr. Det væsentligt højere beløb i 2012 skyldes forsvarets anskaf-
felse af skibsbaserede helikoptere.
Figur 1: Indgåede industrisamarbejdsaftaler og gennemført industrisam-
arbejde, 2004-2013 (mia. kr.)
Pr. 31. december 2013 var der 31 aktive industrisamarbejdsaftaler mod
33 pr. 31. december 2012.
På baggrund af de årlige indrapporteringer fra de udenlandske virksom-
heder har Erhvervsstyrelsen opgjort, at der i 2013 blev gennemført indu-
strisamarbejde hos danske virksomheder for ca. 1,2 mia. kr. mod ca. 1,3
mia. kr. i 2012. Figur 1 ovenfor viser værdien af de indgåede aftaler om
industrisamarbejde i perioden 2004-2013 sammenholdt med afviklingen
af industrisamarbejdsaftaler. Afviklingen opgøres som værdien af ordrer
og andet industrisamarbejde placeret hos danske virksomheder i de på-
gældende år.
Det bemærkes, at udviklingen i indgåede industrisamarbejdsaftaler og af-
viklingen af industrisamarbejde ikke nødvendigvis følger hinanden år for
år. De udenlandske leverandører har gennemsnitligt 10 år til at afvikle de-
res forpligtelse, og da det ofte tager lang tid at forberede og igangsætte
udviklingsprojekter, er det naturligt med en forsinkelse på nogle år mel-
lem udviklingen i indgåede aftaler og udviklingen i afviklet industrisam-
PDF to HTML - Convert PDF files to HTML files
1411318_0004.png
4/5
arbejde. Den ekstraordinært store nye forpligtelse i 2012 må derfor for-
ventes at medføre en større afvikling i løbet af de kommende år.
Status for afvikling gennem købsordrer
De udenlandske leverandører afvikler overvejende deres forpligtelser i
Danmark via forsvarsrelaterede købsordrer placeret hos danske virksom-
heder.
I 2013 blev der gennemført industrisamarbejde for 711 mio. kr. som
købsordrer svarende til ca. 60 pct. af den samlede afvikling og fordelt hos
173 danske virksomheder.
Status for afvikling gennem udviklingsprojekter
En del af den udestående forpligtelse afvikles som udviklingsprojekter
mellem udenlandske leverandører og danske virksomheder, hvor uden-
landske leverandører medvirker til at udvikle nye kapaciteter og kompe-
tencer hos danske virksomheder.
I 2013 blev der gennemført udviklingsprojekter for ca. 484 mio. kr. sva-
rende til ca. 40 pct. af den samlede afvikling og fordelt hos 14 danske
virksomheder.
Berørte danske virksomheder
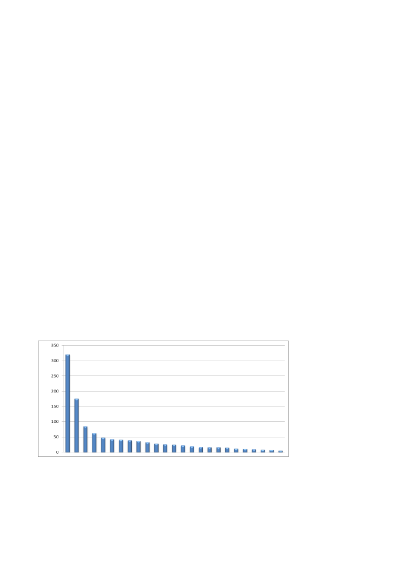
Der blev i 2013 afviklet industrisamarbejde hos 177 danske virksomheder
mod 166 danske virksomheder i 2012. 25 virksomheder tegnede sig i
2013 for 92 pct. af afviklingen. 57 pct. af afviklingen var koncentreret
hos fem virksomheder.
Figur 2: Afviklingen hos de 25 danske virksomheder, hvor der er gen-
nemført mest industrisamarbejde i 2013 (mio. kr.)
5. Status for udenlandske leverandørers samlede industrisamarbejds-
forpligtelse i Danmark
Erhvervsstyrelsen overvåger nøje, at de udenlandske leverandører lægger
ordrer eller afvikler projekter i henhold til deres forpligtelser. Dette sker
for at sikre, at afviklingen sker inden for de fastsatte frister i industrisa-
marbejdskontrakterne.
PDF to HTML - Convert PDF files to HTML files
1411318_0005.png
5/5
Afviklingen af industrisamarbejdsaftaler mellem Erhvervsstyrelsen og de
udenlandske leverandører forløb generelt tilfredsstillende i 2013. Nogle
leverandører er dog forsinkede i henhold til deres individuelle afviklings-
planer, men som hovedregel ender de udenlandske leverandører med at
opfylde deres samlede forpligtelse. Med udgangen af 2013 var den sam-
lede udestående forpligtelse på ca. 6,4 mia. kr. Til sammenligning lå den
samlede udestående forpligtelse på et tilsvarende niveau, ca. 6,25 mia.
kr., med udgangen af 2012.
Figur 3: Udviklingen i den samlede udestående industrisamarbejdsfor-
pligtelse 2004-2013 (mia. kr.)
Erhvervsstyrelsen forhåndsgodkender udviklingsprojekter mellem danske
virksomheder og udenlandske leverandører. De forhåndsgodkendte pro-
jekter afskrives i takt med, at projekterne gennemføres, eller annulleres,
hvis et projekt ikke gennemføres eller i øvrigt bliver nødlidende.
Det aktuelle forhåndsgodkendte beløb udgjorde pr. 31. december 2013
ca. 3 mia. kr.
6. Status for indgåelse af bankingaftaler
Når udenlandske leverandører har opfyldt deres industrisamarbejdsfor-
pligtelse i Danmark havde de i 2013 mulighed for at fortsætte deres sam-
arbejde med danske virksomheder og indgå en bankingaftale med Er-
hvervsstyrelsen. I bankingaftalen godkendte Erhvervsstyrelsen, at det in-
dustrisamarbejde, der gennemførtes i en periode på maksimalt 5 år kunne
anvendes som afvikling i forhold til fremtidige forpligtelser om industri-
samarbejde.
Erhvervsstyrelsen havde pr. 31. december 2013 indgået bankingaftaler
med i alt 19 udenlandske leverandører. Indeståendet på disse aftaler ud-
gjorde knap 1,2 mia. kr. Til sammenligning udgjorde bankingaftaler pr.
31. december 2012 ca. 745 mio. kr. fordelt på 12 udenlandske leverandø-
rer.
De nye administrative retningslinjer, der trådte i kraft den 1. juli 2014, til-
lader ikke indgåelse af nye bankingaftaler.