Uddannelses- og Forskningsudvalget 2014-15 (1. samling)
FIV Alm.del Bilag 82
Offentligt
1437777_0001.png
Tal om danske
universiteter 2014
PDF to HTML - Convert PDF files to HTML files
1437777_0002.png
2
Indhold
Forord
Uddannelse
Forskning
Arbejdsmarkedet
Studiemobilitet og
internationalisering
Økonomi og personale
3
4
10
15
19
21
Udgivet af:
Danske Universiteter
Fiolstræde 44, 1. th.
1171 København K
www.dkuni.dk
Oplag: 1.000
Redaktion: Peter Dalby Larsen
ISBN: 978-87-90470-62-3
December 2014
Forside og bagside:
Jan Oksbøl Callesen
Denne publikation kan ved tydelig kil-
deangivelse frit kopieres.
PDF to HTML - Convert PDF files to HTML files
1437777_0003.png
3
Forord
Kære læser
Du sidder nu med den niende udgave
af “Tal om de danske universiteter” i
hånden. Der er stigende forventninger
til gennemskuelighed i universiteternes
aktiviteter, vilkår og resultater. Det er
forståeligt. Vi bliver betroet store men-
neskelige og økonomiske ressourcer for
at bidrage til at skabe viden, forståelse
og vækst i samfundet, og vi skal selvføl-
gelig kunne vise, at vi bruger de ressour-
cer godt og skaber resultater for dem.
Denne publikation samler dokumen-
tation om universiteterne og Danmark
som vidensnation. Den illustrerer en
række tendenser indenfor uddannelse,
forskning, beskæftigelse, studiemobili-
tet og universiteterne som institutioner.
Publikationen samler tal fra en række
forskellige kilder. For eksempel fra
Danske Universiteters eget Statistiske
Beredskab, OECD, fra Akademikerne og
fra Uddannelses- og Forskningsmini-
steriet.
“Tal om de danske universiteter” er der-
med blot et udvalg af det omfattende,
statistiske materiale, der eksisterer om
universiteterne som institutioner og om
deres virke. Det er en god start til at for-
stå sektoren og dens rammebetingelser
– og vi håber, at publikationen vil vække
læserens nysgerrighed.
Ralf Hemmingsen
Formand for Rektorkollegiet
PDF to HTML - Convert PDF files to HTML files
1437777_0004.png
4
Uddannelse
Bacheloroptag
Efter en række år med stigninger, sta-
biliserede universiteternes optag sig i
2014. Det samlede optag på universi-
teterne igennem den koordinerede til-
melding var på godt 31.600 - det samme
som i 2013. Heraf blev 28.819 optaget på
bacheloruddannelser
1
og de øvrige på
professionsbacheloruddannelser.
De stabile tal dækker over enkelte
udviklinger. I 2014 var der for eksempel
et markant fald i antallet af optagne på
humanistiske uddannelser, således at
der i 2014 blev optaget 421 færre stude-
rende på humanistiske bacheloruddan-
nelser end i 2013. Det svarer til et fald
på 5% indenfor humaniora.
Stigningen i optaget har over de sid-
ste mange år hovedsageligt fundet
sted indenfor naturvidenskab og tek-
nisk videnskab. I 2006 udgjorde disse
to fagområder tilsammen 20,2% af de
optagne, mens de i 2014 udgjorde 26,7%.
Alle andre fagområder udgør i dag en
forholdsmæssigt mindre andel af opta-
get end i 2006.
Samfundsvidenskab står dog stadig for
den største andel af optaget med 36,2%
i 2014.
Ifølge Uddannelses- og Forskningsmi-
nisteriet blev 3.898 kvalificerede ansø-
gere afvist ved deres ansøgning til en
bacheloruddannelse på et universitet
over den koordinerede tilmelding. Der
afvises forholdsmæssigt flest ansøgere
på de sundhedsvidenskabelige studier,
mens der afvises meget få på de tekni-
ske uddannelser (3%)
2
.
Fig. 1. 30. juli-optag på universiteternes bacheloruddannelser, 2007-2014
Humaniora
Teknisk Videnskab
35.000
30.000
25.000
20.000
15.000
10.000
5.000
0
2007
2008
2009
2010
2011
2012
2013
2014
Kilde: Den Koordinerede Tilmelding (ekskl. universiteternes professionsbacheloruddannelser)
Samfundsvidenskab
Sundhedsvidenskab
Naturvidenskab
PDF to HTML - Convert PDF files to HTML files
1437777_0005.png
5
Fig. 2. Optagne på universiteternes kandidatuddannelser, 2007-2013
Humaniora
Teknik og Naturvidenskab
30.000
25.000
20.000
15.000
10.000
5.000
-
2007
2008
2009
2010
2011
2012
2013
Kilde: Universiteternes Statistiske Beredskab (tabel F)
Samfundsvidenskab
Sundhedsvidenskab
Kandidatoptag
Sideløbende med et øget optag på bache-
loruddannelserne er optaget på kandi-
datuddannelserne steget tilsvarende
med tre til fire års forskydning. I 2013
blev der optaget 24.128 studerende på
universiteternes kandidatuddannelser.
Hovedområdernes andel af kandidato-
ptaget afspejler generelt set fordelingen
i bacheloroptaget
3
.
Siden 2013 har universiteterne opgjort
uddannelsesbaggrunden for de optag-
ne på kandidatuddannelserne. Det
er blandt andet sket for at tilgodese
den øgede interesse for mobiliteten i
uddannelsessystemet og for at belyse
Fig. 3. Rekruttering til universiteternes kandidatuddannelser, 2013
100%
90%
80%
70%
60%
50%
40%
30%
20%
10%
0%
Humaniora Samfund
Sundhed
Tek/Nat
I alt
Kilde: Universiteternes Statistiske Beredskab (tabel F)
Andet
Bachelorer fra udlandet
Andres
professionsbachelorer
Andres
universitetsbachelorer
Egne
professionsbachelorer
Egne
universitetsbachelorer
PDF to HTML - Convert PDF files to HTML files
1437777_0006.png
6
Fig. 4. Universitetsbachelorernes overgang til kandidatuddannelse,
dimittendårgang 2012
14.000
12.000
10.000
8.000
6.000
4.000
2.000
0,9 %
0
Igang med en
kandidatuddannelse
Har afbrudt en
kandidatuddannelse
0,1 %
Har fuldført en
kandidatuddannelse
Ej påbegyndt en
kandidatuddannelse
14 %
85 %
Kilde: Danmarks Statistik
overgangsmulighederne mellem bache-
lor- og kandidatstudierne i Danmark.
Tallene viser, at 40% af de optagne
kommer fra en bachelor- eller profes-
sionsbacheloruddannelse på en anden
institution end den, hvor kandidatud-
dannelsen finder sted. Næsten 11% af
de optagne på en kandidatuddannelse
havde baggrund i en professionsbache-
loruddannelse. Andelen er dog større
på humaniora og på teknik- og natur-
videnskab. Derudover blev 18% optaget
på baggrund af en udenlandsk bache-
lorgrad.
Langt de fleste bachelorer fortsætter
på en kandidatuddannelse. 85% af de
studerende, der fuldførte deres bache-
lorgrad i 2012, var i gang med en kan-
didatuddannelse i 2013, mens knap én
procent havde påbegyndt en kandidat-
uddannelse og var stoppet igen.
Den store overgang til kandidatud-
dannelserne kan hænge sammen med,
at der ikke er tradition for at ansætte
bachelorer på det danske arbejdsmar-
ked.
I forhold til uddannelsernes forløb er
gennemførselsprocenter en vigtig fak-
tor for at vurdere uddannelsernes evne
til at fastholde de studerende igennem
et helt forløb. Af figur 5 fremgår, at både
bachelor- og kandidatuddannelser gene-
relt har pæne gennemførelsesprocenter.
Generelt har vi set en lille stigning siden
2003, dog har gennemførselsprocenten
været stabil siden 2008.
Et øget optag og stabile gennemførsels-
procenter betyder også et øget antal
færdiguddannede bachelorer og kan-
didater. Efter et mindre fald i bache-
lorproduktionen i 2011 (som følge af
fald i bacheloroptaget i 2008), blev der i
2013 uddannet i alt 17.412 bachelorer og
16.040 kandidater fra de danske univer-
siteter. Det største hovedområde, set i
forhold til bachelor- og kandidatproduk-
PDF to HTML - Convert PDF files to HTML files
1437777_0007.png
7
Fig. 5. Gennemførselsprocenter på universiteternes bachelor- og kandidatud-
dannelser, 2003-2013
Bachelor
90%
85%
80%
75%
70%
65%
60%
55%
50%
2003
2004
2005
2006
2007
2008
2009
2010
2011
2012
2013
Kilde: Undervisningsministeriets databank (akademiske bacheloruddannelser og delte kandidat-
uddannelser)
Kandidat
Fig. 6. Bachelor- og kandidatproduktion fordelt på hovedområder
Samfundsvidenskab
20.000
18.000
16.000
14.000
12.000
10.000
8.000
6.000
4.000
2.000
-
Humaniora
Teknik og Naturvidenskab
Sundhedsvidenskab
2007 2008 2009 2010 2011 2012 2013
Bachelorproduktion
2007 2008 2009 2010 2011 2012 2013
Kandidatproduktion
Kilde: Universiteternes Statistiske Beredskab (tabel F)
PDF to HTML - Convert PDF files to HTML files
1437777_0008.png
8
Fig. 7. Gennemsnitlig studietid (mdr.) for bachelor- og kandidatdimittender,
2003-2013
Bachelor
44
42
40
38
36
34
32
30
2003
2004
2005
2006
2007
2008
2009
2010
2011
2012
2013
Kandidat
Kilde: Undervisningsministeriets databank (akademiske bachelorer og delte kandidater)
tion, er samfundsvidenskab. I 2013 kom
40,3% af de nyuddannede kandidater fra
samfundsvidenskabelige studier.
Det efterspørges fra flere sider, at stu-
derende bliver hurtigere færdige. Det
har blandt andet ført til tiltag som
ændringer i SU-systemet og til en stu-
diefremdriftsreform. Figur 7 viser, at
der i mange år har været en tendens til
et fald i færdiggørelsestiderne. Siden
2003 er gennemførselstiden for bache-
lorer således faldet ca. fire måneder og
for kandidater ca. seks måneder, som
følge af universiteternes fokus på områ-
det. Dette er sket inden implemtering af
fremdriftsreformen.
I regeringsgrundlaget fra 2011 blev der
fastsat en politisk målsætning om, at
60% af en ungdomsårgang skal have
en videregående uddannelse og 25% en
Fig. 8. Forventet uddannelsesniveau 25 år efter 9. klasse, pct. af årgang 1990-
2012
Kort videregående
30%
25%
20%
15%
10%
5%
0%
Mellemlang videregående
Lang videregående
Kilde: Profilmodellen, Undervisningsministeriets databank
PDF to HTML - Convert PDF files to HTML files
1437777_0009.png
9
Fig. 9. Tilgang og tildelte ph.d.-grader fordelt på hovedområder, 2007-2013
Teknik og Naturvidenskab
3.000
2.500
2.000
1.500
1.000
500
-
2007
2008
2009
2010
2011
2012
2013
2007
2008
2009
2010
2011
2012
2013
Tilgang
Tildelte ph.d.-grader
Sundhedsvidenskab
Samfundsvidenskab
Humaniora
Kilde: Universiteternes Statistiske Beredskab (tabel I)
lang videregående uddannelse. Dette
måles igennem den såkaldte profilmo-
del. Den målsætning har indebåret et
pres på universiteterne for at optage
flere studerende. Dette er lykkes og
ved sidste kørsel viste profilmodellen,
at 29% forventes af få en lang videregå-
ende uddannelse og i alt 62% forventes
af få en videregående uddannelse.
De sidste syv år har der vist sig en
markant stigning i tilgangen til ph.d.-
uddannelserne. Det skyldes især Glo-
baliseringsaftalen fra 2006, hvor det
blev aftalt at fordoble tilgangen til
ph.d.-uddannelsen til et årligt optag på
ca. 2.400 i 2010. Den målsætning blev
indfriet, og tilgangen har i både 2012 og
2013 ligget over de 2.400 optagne.
Som et resultatet af stigningen i optaget
har der de sidste år også være en stig-
ning i antallet af tildelte ph.d.-grader,
som er steget fra 1.036 grader i 2007 til
1.898 grader i 2013.
I modsætning til bachelor- og kandidat-
uddannelserne, hvor samfundsviden-
skab er det dominerende hovedområde,
er teknik og naturvidenskab langt det
største område indenfor ph.d.-uddan-
nelser. Ca. halvdelen af alle tildelte
ph.d.-grader i 2013 lå indenfor dette
hovedområde. De traditionelt “våde”
områder (teknik, naturvidenskab og
sundhedsvidenskab) stod for i alt 82%
af de tildelte ph.d.-grader i 2013, mens
samfundsvidenskab og humaniora til
sammen stod for de sidste 18%.
1:
Udover universiteterne udbyder en række kunstneriske institutioner bacheloruddannelser. Disse optog i 2014
558 studerende.
2:
Ved Den Koordinerede Tilmelding skelnes imellem “afmeldte” og “afviste” ansøgere. Afmeldte ansøgere dækker
over ansøgere, som ikke ville være blevet optaget uanset antallet af uddannelsespladser – for eksempel fordi de
ikke lever op til de formelle krav eller har indsendt en ufuldstændig ansøgning. “Afviste” ansøgere lever op til de
formelle krav, men afvises fordi deres adgangsgivende eksamen ikke havde et tilstrækkligt højt gennemsnit til at
sikre optagelse på en af de søgte uddannelser.
3:
Bemærk at stigningen i kandidatoptaget på sundhedsvidenskabelige uddannelser i 2014 til en hvis grad skyl-
des omstruktureringer på Københavns Universitet, hvor en række uddannelser er skiftet fra naturvidenskab til
sundhedsvidenskab.
PDF to HTML - Convert PDF files to HTML files
1437777_0010.png
10
Forskning
Fig. 10. Forskningsinvesteringer i pct. af BNP, 2011 eller senest tilgængelige år
5%
5%
4%
4%
3%
3%
2%
2%
1%
1%
0%
0%
Schweiz
Schweiz
USA
USA
Slovenien
Slovenien
Estland
Estland
Tjekkiet
Tjekkiet
Storbritan…
Storbritannien
Sverige
Sverige
Kilde: Forskningsbarometer 2013 (figuren inkluderer lande, der investerer mere end 1,5 pct. af
BNP i forskning og udvikling)
I 2006 blev der indgået en politisk aftale
om at øge de offentlige investeringer i
forskning til mindst 1% af BNP. Aftalen
hang sammen med en fælles europæ-
isk målsætning om, at landene i EU i
2010 skulle investere mindst 3% af BNP
i forskning og udvikling, heraf en tred-
jedel via offentlige investeringer.
Målsætningen har haft stor betydning
for udviklingen over de seneste år. Den
har ført til, at Danmark er det EU-land,
som investerer tredjemest i forskning -
kun overgået af Finland og Sverige. Som
det kan ses af figuren, er det ikke kun
inden for EU, at Danmark ligger godt –
også i sammenligning med de øvrige
OECD-lande har Danmark har et højt
niveau af investeringer i forskning.
Uddannelses- og Forskningsministeri-
ets tal for 2011 viser, at Danmark brugte
3,04% af BNP på forskning og udvikling.
Sammenligner vi os med forsknings-
tunge regioner i stedet for lande, er der
et gab i forhold til forskningsinveste-
ringerne, blandt andet fordi der er stor
forskel på investeringerne mellem regi-
oner internt i en række af de lande, vi
normalt sammenligner os med. Disse
interne regioner er ofte på størrelse
med – eller større end – Danmark, og
hvis Danmark skal være godt place-
ret i det globale videnkapløb, bør man
også sammenligne os med de førende
regioner i for eksempel USA, Tyskland
og Asien.
Af figur 11 fremgår det, at de danske
forskningsinvesteringer halter et stykke
efter de førende forskningsregioner.
Hvis vi alene ser på de danske univer-
siteter, beløber forskningsindtægterne
sig til cirka 15,8 mia. kroner, hvilket er
en stigning på ca. 3,3 mia. siden 2008.
Belgien
Belgien
Nederland…
Nederlandene
Frankrig
Frankrig
Australien
Australien
Israel
Israel
Sydkorea
Sydkorea
Finland
Finland
Japan
Japan
Island
Island
Danmark
Danmark
Tyskland
Tyskland
Canada
Canada
Irland
Irland
Norge
Norge
Østrig
Østrig
PDF to HTML - Convert PDF files to HTML files
1437777_0011.png
11
Fig. 11. Udvalgte regioners investeringer i forskning og udvikling som pct. af
BNP, senest tilgængelige år
7%
6%
5%
4%
3%
2%
1%
0%
Kilde: OECD Stat
Fig. 12. Udvikling i universiteternes forskningsindtægter, opgjort i mio. kr.,
2008-2013
Basismidler
9.000
8.000
7.000
6.000
5.000
4.000
3.000
2.000
1.000
-
2008
2009
2010
2011
2012
2013
Eksterne midler
Forskningsbaseret myndighedsbetjening
Kilde: Universiteternes Statistiske Beredskab. Forskningsbaseret myndighedsbetjening består af
nøgletal A.2.1.B og A.4
PDF to HTML - Convert PDF files to HTML files
1437777_0012.png
12
Fig. 13. Tilskud fra EU’s 7. rammeprogram (euro pr. indbygger), 2007-2014
250
200
150
100
50
0
Kilde: Forsknings- og Innovationsstyrelsen
Det er især et produkt af den førnævnte
politiske aftale i 2006. Næsten 42% af
indtægterne til forskning i 2013 var af
eksterne midler til forskning – det vil
sige forskningsmidler hentet fra danske
forskningsråd, danske virksomheder
eller EU’s forskningsprogrammer.
Generelt er de danske forskere gode
til at hente midler hjem fra EU’s forsk-
ningsprogrammer. Der er endnu ikke
tal for Horizon 2020-programmet, der
fra 2014 erstatter det hidtidige 7. ram-
meprogram. Men fra 2007-14 har Dan-
mark været det tredjebedste land til at
tiltrække tilskud i EU’s 7. rammepro-
gram set i forhold til landets størrelse
– kun overgået af Schweiz og Holland. I
alt har Danmark tiltrukket 971 mill euro
over perioden.
Horizon 2020 kommer til at uddele i alt
592 mia. kroner over årene 2014-2020.
Styrelsen for Forskning og Innovation
udarbejder hvert år et forskningsbaro-
meter, hvor antallet af publikationer og
citationer bliver sammenlignet på tværs
af lande. Opgørelsen viser, at danske
forskere står stærkt, både hvad angår
antallet af publikationer per indbyg-
ger og antallet af citationer per publi-
kation. De danske forskere publicerer
altså meget – og får deres publikationer
citeret andre steder. I 2013 lå Danmark
således nr. 3 ud af OECD- og BRIK-lande-
ne. I 2008-12 skrev danske forskere i alt
62.177 publikationer, svarende til over
11.000 per million indbyggere – det tal
blev kun overgået af Schweiz og Island.
Derudover bliver publikationerne meget
ofte citeret. I 2008-12 blev publikatio-
nerne citeret 8,42 gange per publikation,
hvilket igen bringer Danmark ind på en
tredjeplads, hvis man måler antallet af
citationer per publikation. Kort sagt:
Forskerne producerer et stort antal pub-
likationer og disse bliver i høj grad brugt
af andre forskere.
Forskningssamarbejde med eksterne
partnere er et vigtigt aspekt ved forsk-
ningsaktiviteterne. I 2013 indgik univer-
siteterne 4334 forskningssamarbejds-
aftaler - en væsentlig stigning over de
sidste fire år. Stigningen er især drevet
PDF to HTML - Convert PDF files to HTML files
1437777_0013.png
13
Fig. 14. Antal videnskabelige publikationer pr. mio indbyggere, top 25 af OECD-
og BRIK-lande, 2008-2012
Slovenien
New Zealand
Storbritannien
Holland
USA
Canada
Estland
Sverige
Belgien
Irland
Grækenland
Grækenland
Luxembourg
Australien
Schweiz
Danmark
Tyskland
Frankrig
Spanien
Kilde: Forsknings- og Innovationsstyrelsen, Forskningsbarometer 2013
Fig. 15. Antal citationer pr. videnskabelig publikation, top 25 af OECD- og BRIK-
lande, 2008-2012
12
10
8
6
4
2
Storbritannien
Holland
USA
New Zealand
Canada
Australien
Estland
Sverige
Belgien
Irland
Luxembourg
Schweiz
Danmark
Tyskland
Finland
Frankrig
Italien
Norge
Portugal
Island
Østrig
Spanien
Ungarn
Israel
0
Kilde: Forsknings- og Innovationsstyrelsen, Forskningsbarometer 2013
Portugal
Tjekkiet
Norge
Finland
Island
Østrig
Israel
16.000
14.000
12.000
10.000
8.000
6.000
4.000
2.000
0
PDF to HTML - Convert PDF files to HTML files
1437777_0014.png
14
af en vækst i samarbejdsaftaler med
private virksomheder.
Et andet element i samarbejdet med
erhvervslivet er kommercialiseringen
af forskningsresultateter. Den årlige
kommercialiseringsstatistik fra Uddan-
nelses- og Forskningsministeriet måler
udviklingen i offentlige forskningsin-
stitutioners indsats og resultater med
teknologioverførsel. Den illustrerer der-
med universiteternes evne til at under-
støtte nyttiggørelsen af institutionernes
forskningsresultater. Derudover afspej-
ler statistikken, at forskerne får adgang
til viden om praksis og problemstillin-
ger i et samarbejde med potentielle afta-
gere til en opfindelse. Over de seneste år
er antallet af licens-, salgs og options-
aftaler steget markant – og 110 aftaler i
2013 er et foreløbigt højdepunkt.
Fig. 17. Antal licens, salgs og
optionsaftaler, 2007-2013
120
100
80
60
40
20
0
2007
2008
2009
Fig. 16. Universiteternes forsknings-
samarbejdsaftaler, 2010-2013
Samarbejdsaftaler med private
virksomheder
Samarbejdsaftaler med forskningsråd mv.
med inddragelse af private virksomheder
Samarbejdsaftaler med offentlige
myndigheder
5.000
4.000
3.000
2.000
1.000
-
2010
2011
2012
2013
2010
2011
2012
2013
Fig. 18. Antal spin-out virksomheder, 2007-2013
20
15
10
5
0
2007
2008
2009
2010
2011
2012
2013
Kilde figur 16, 17 og 18: Kommercialiseringsstatistikken
PDF to HTML - Convert PDF files to HTML files
1437777_0015.png
15
Arbejdsmarkedet
Arbejdsmarkedet har de sidste mange
år været præget af krisen. Det gælder
også arbejdsmarkedet for højtuddan-
nede.
Men på trods af, at arbejdsløsheden steg
i kølvandet på krisens start i 2008-09, er
den gennemsnitlige bruttoledighed for
akademikere stadig et stykke under den
samlede gennemsnitlige bruttoledig-
hed. Så selvom alle er ramt, har krisen
været mere nænsom ved akademikerne.
Ledigheden for akademikere var i 2014
på niveau med ledigheden i starten af
2007.
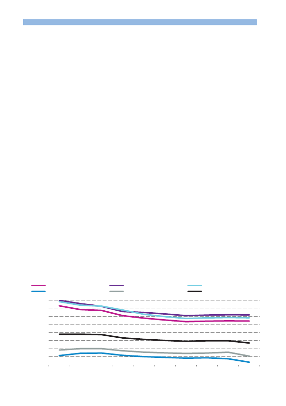
Internationale sammenligninger viser,
at højtuddannede er markant bedre
stillet på arbejdsmarkedet i kriseti-
der. Figur 20 viser, at det for alle lande
gælder, at personer med en lang- eller
mellemlang videregående uddannelse
er markant bedre stillet i forhold til
beskæftigelse, end tilsvarende perso-
ner med en kortere eller ingen videregå-
ende uddannelse. Internationalt er der
altså tale om samme tendens, uanset
hvordan uddannelsessystemet i øvrigt
er indrettet.
I Danmark er der en stigning i antallet af
akademikere ansat i den private sektor
– særligt efter 2004, selvom tendensen
stagnerede en kende i begyndelsen af
finanskrisen.
Fig. 19. Udvikling på arbejdsmarkedet 2008-2014
Gns. bruttoledighed for akademikere
7%
6%
5%
4%
3%
2%
1%
0%
1. januar
2008
Gns. bruttoledighed for alle
1. januar
2009
1. januar
2010
1. januar
2011
1. januar
2012
1. januar
2013
1. januar
2014
Kilde: Akademikernes ledighedsstatistik
PDF to HTML - Convert PDF files to HTML files
1437777_0016.png
16
Fig. 20. Beskæftigelsesrater for 25-64-årige, 2012
Mellemlang og lange videregående uddannelser samt ph.d.-uddannelser
Lavere sekundære uddannelser
100%
90%
80%
70%
60%
50%
40%
30%
20%
10%
0%
Island
Norge
Schweiz
Sverige
Tyskland
Holland
Østrig
Danmark
Letland
Brasilien
Slovenien
Israel
Luxembourg
Polen
Belgien
Australien
Finland
Frankrig
UK
New Zealand
Tjekkiet
Rusland
Estland
Portugal
Canada
Mexico
USA
Slovakiet
Irland
Ungarn
Italien
Spanien
Korea
Tyrkiet
Grækenland
Kilde: Education at a Glance 2014
Tal fra Arbejderbevægelsens Erhvervs-
råd viser, at akademikere klarer sig
bedre end øvrige ansatte i den private
sektor. Her er andelen af akademikere
i forhold til andre ansatte fortsat sti-
gende.
Finanskrisen har ikke ramt alle aka-
demikere lige meget. Det er særligt
de nyuddannede kandidater, som har
været ramt af besparelserne i både den
offentlige og den private sektor.
Fig. 21. Akademikernes beskæftigelse fordelt på sektor, 2000-2010
Offentlig
130.000
120.000
110.000
100.000
90.000
80.000
70.000
2000
2001
2002
2003
2004
2005
2006
2007
2008
2009
2010
Privat
Kilde: Beregninger på tal fra Danmarks Statistik
PDF to HTML - Convert PDF files to HTML files
1437777_0017.png
17
Fig. 22. Indekseret udvikling i antal fuldtidsstillinger i
den private sektor, 2008-2012
Øvrige ansatte
115
110
105
100
95
90
85
80
2008
2009
2010
2011
2012
Kilde: DeFactos analyse over tal fra AE-rådet, september 2013
Akademikere
Siden 2008 er ledigheden blandt dimit-
tendersteget. Det kan ses på ”indfasnin-
genskurven” i figur 23, som beskriver
ledighedsgraden for dimittenderne for
kvartalerne efter deres dimission. I 2007
var indfasningen på arbejdsmarkedet
væsentligt hurtigere og det ses tydeligt,
hvordan krisen har betydet en længe-
re indfasningen for de efterfølgende
årgange, men de ender også på omkring
5% ledighed.
Fig. 23. Udviklingen i ledighedsgraden for kandidatårgangene fra 2007-2013 i
hvert kvartal efter dimission
2007
40%
35%
30%
25%
20%
15%
10%
5%
0%
1
2
3
4
5
6
7
8
9
10 11 12 13 14 15 16 17 18 19 20
Kvartaler efter dimission
Kilde: Uddannelses- og Forskningsministeriet
2008
2009
2010
2011
2012
2013
PDF to HTML - Convert PDF files to HTML files
1437777_0018.png
18
Fig. 24. Mangel på arbejdskraft i 2020, fordelt på uddannelse (i 1000 personer)
60
40
20
0
-20
-40
-60
-80
-100
Ufaglært
Gymnasialt
Faglært
KVU
MVU
LVU
Kilde: AE-rådet, 2013: Danmark i krisetid - Velstand kræver uddannelse
Generelt er tendensen også, at der bli-
ver et større behov for personer med en
videregående uddannelse, herunder en
lang, videregående uddannelse. Analy-
ser fra for eksempel Arbejderbevægel-
sens Erhvervsråd viser, at allerede i 2020
vil der mangle højtuddannet arbejds-
kraft, og særligt den private sektor vil
efterspørge flere højtuddannede.
PDF to HTML - Convert PDF files to HTML files
1437777_0019.png
19
Studiemobilitet og
internationalisering
Studiemobilitet på tværs af landegræn-
ser har været et stigende fokusområde
for mange parter. Ikke mindst sættes
som mål, at danske studerende skal
have international erfaring for at øge
udbyttet af deres studieforløb og deres
arbejdsmarkedsparathed.
Ved seneste opgørelse fra Uddannelses-
og Forskningsministeriet var mobili-
tetsfrekvensen for universiteterne på
27,9% - det vil sige, at mindst 27,9% af
de universitetsstuderende har været på
studieophold i udlandet i løbet af deres
studietid. Tallet er reelt højere, da det
ikke inkluderer for eksempel praktik-
ophold i udlandet.
Den udgående studentermobilitet er
generelt steget siden 2007. Da var 3.662
studerende på udlandsopholds, men
tallet i 2013 var på 7.017 – en stigning
på næsten 92% over seks år. Det domi-
nerende område, samfundsvidenskab,
stod for 45% af den udgående studie-
mobilitet i 2013. Dette er mere end sam-
fundsvidenskabs andel af indskrevne
studerende, som i samme år var på 36%.
Set i forhold til de andre videregående
uddannelser er universitetsstuderende
dem, der er mest rejselystne. Ifølge den
senere opgørelse fra Uddannelses- og
Forskningsministeriet havde professi-
onsbachelorerne en mobilitetsfrekvens
på 7,6% og erhvervsakademiuddannel-
serne havede en på 4,1%.
De danske universiteter har traditionelt
været populære blandt internationale
studerende, men over de sidste to år er
universiteterne blevet mødt med krav
om at begrænse den indgående studie-
mobilitet - det såkaldte balancekrav.
Fig. 25. Udgående studiemobilitet på universiteterne, 2007-2013
Samfundsvidenskab
Teknik og Naturvidenskab
8.000
7.000
6.000
5.000
4.000
3.000
2.000
1.000
-
2007
2008
2009
2010
2011
2012
2013
Udenfor hovedområde
Sundhedsvidenskab
Humaniora
Kilde: Universiteternes Statistiske Beredskab (tabel H). Kategorien ’udenfor hovedområde’ i 2007-
11 dækker over studerende på CBS inden for samfundsvidenskab og humaniora. I 2013 dækker
den over, at KU ikke fordeler 516 udlandsstipendier på hovedområder
PDF to HTML - Convert PDF files to HTML files
1437777_0020.png
20
Fig. 26. Indgående studiemobilitet på universiteterne, 2007-2013
Samfundsvidenskab
Teknik og Naturvidenskab
8.000
7.000
6.000
5.000
4.000
3.000
2.000
1.000
-
2007
2008
2009
2010
2011
2012
2013
Uden for hovedområde
Sundhedsvidenskab
Humaniora
Kilde: Universiteternes Statistiske Beredskab (tabel H). Kategorien ’udenfor hovedområde’ dæk-
ker over studerende på CBS inden for samfundsvidenskab og humaniora. Det er årsagen til faldet
på disse hovedområder mellem 2007 og 2008
Dette afspejler sig i, at den indgående
studiemobilitet nu er faldet over to år,
og i 2013 er på det laveste niveau siden
2008 med 5.812 studerende.
Langt de fleste udvekslingsstuderende
i Danmark kommer for at tage fag på
kandidatuddannelserne. I 2013 var over
90% af de udvekslingsstuderende i Dan-
mark indskrevet på kandidatuddannel-
ser. Derudover kom to tredjedele af det
samlede antal udvekslingsstuderende
fra Norden eller det øvrige Europa.
Ligeledes er der en del udenlandske full-
degree studerende på især de danske
kandidatuddannelser. Dette dækker
over studerende, som er indskrevet som
normale studerende ved institutionen.
I 2013 blev der optaget 4.349 studerende
på kandidatuddannelser i Danmark på
baggrund af en bachelor fra udlandet –
dette kan dog også dække over danske
studerende, som har taget en bachelor
i udlandet. Tilsvarende blev der optaget
1.182 bachelorstuderende på baggrund
af en adgangsgivende eksamen fra
udlandet (ud af 31.000 optagne).
Fig. 27. Udvekslingsstuderende i Danmark efter område og uddannelsesniveau,
2013
Kandidat
Afrika
Latinamerika & Caribien
Australien, New Zealand & Stillehavsøerne
Asien
USA & Canada
Øvrige Europa
Norden
0
500
1.000
1.500
2.000
2.500
3.000
3.500
4.000
Bachelor
Kilde: Danmarks Statistik
PDF to HTML - Convert PDF files to HTML files
1437777_0021.png
21
Økonomi og personale
Indtægter
Universiteternes indtægter kan opdeles
i seks kategorier:
Forskning: Basistilskud samt bevil-
linger til universiteternes forskning
fra sektorministeriet
Uddannelse: Taxametertilskud til
heltids- og deltidsuddannelse
Eksterne midler: Hovedsageligt
tilskudsfinansieret forskningsvirk-
somhed, for eksempel fra de danske
forskningsråd
Myndighedsbetjening: Tilskud til
forskningsbaseret myndighedsbe-
tjening
Øvrige tilskud: Tilskud til blandt
andet museer, biblioteker, samlin-
ger, haver mv.
Øvrige indtægter: Finansielle
indtægter, lejeindtægter, mindre,
supplerende virksomhed mv.
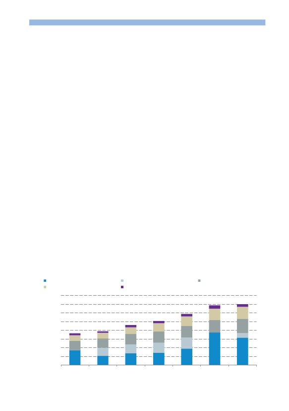
Universiteternes samlede indtægter i
faste priser er steget fra ca. 21,3 mia. kr.
i 2007 til godt 26,7 mia. kr. i 2013. Tilvæk-
sten har især været et resultat af Globa-
liseringsaftalen fra 2006, af de midler
der blev afsat til at videreføre globali-
seringsindsatsen fra 2013 og frem, samt
af et stigende antal studerende på uni-
versiteterne.
Universiteterne finansieres hoved-
sagligt af offentlige midler. I 2013
udgjorde de direkte offentlige tilskud
til uddannelse og forskning 62% af uni-
versitetssektorens samlede indtægter.
Herudover blev de eksterne midler til
forskning, svarende til 29% af de sam-
lede indtægter i 2013, vundet i konkur-
rence med andre forskningsinstitutio-
ner. Disse midler stammer fra blandt
andet private virksomheder, de danske
forskningsråd og EU’s forskningspro-
grammer.
Fig. 28. Universiteternes indtægter i mio. kr., opgjort i faste priser
2007
10.000
9.000
8.000
7.000
6.000
5.000
4.000
3.000
2.000
1.000
-
2008
2009
2010
2011
2012
2013
Kilde: Universiteternes Statististiske Beredskab (tabel A)
PDF to HTML - Convert PDF files to HTML files
1437777_0022.png
22
Samlet set stod forskning for 62% af uni-
versiteternes samlede indtægter i 2013,
og uddannelse for godt 29%.
Af figur 28 fremgår det, at de tre store
indtægtskategorier er steget jævnt siden
2007, hvor stigningen er størst indenfor
begge kategorier for forskning.
Stigningen i indtægterne for uddan-
nelse afspejler først og fremmest en
øget aktivitet – det vil sige flere aktive
studerende, der optjener ECTS-point,
hvilket udløser taxameterbevillinger
til universiteterne. Dette billede dæk-
ker dog over, at universiteterne i praksis
oplever et fald i taxametertilskuddene
for den enkelte studerende - altså at
enhedsbevillingerne per studenterårs-
værk er aftagende. Det skyldes til dels
en besparelse, som hvert år flytter 2% af
taksterne over i en omstillingsreserve,
som eventuelt senere vil blive udmøntet
i sektoren.
Figur 29 viser, at bevillingen for hver
studerende, der gennemfører fag på
universiteterne svarende til 60 ECTS-
point, er faldet 10% på 5 år. Mens den
gennemsnitlige enhedsbevilling i 2009
var på 77.900 kr., er den i 2014 faldet til
70.200 kr., når vi tager højde prisudvik-
linger. Fra 2015 forventes denne udvik-
ling at stabilisere sig. Dog vil vi se et dyk
i enhedsbevillingerne for samfundsvi-
denskab og humaniora i 2018, hvis ikke
man fra politisk hånd forlænger taxa-
meterløftet.
Faldet i enhedsbevillingerne er blandt
andet sket fordi den førnævnte omstil-
lingsreserve er gået til at finansiere
den øgede studieaktivitet på univer-
siteterne. Det har betydet en de facto
takstnedsættelse, eftersom den større
aktivitet finansieres ved at nedsætte
taksterne for alle. Derudover blev der i
2012 indført administrative besparelser
på heltidsuddannelse, som fuldt indfa-
set sparer 260 mio. kr. om året.
Fig. 29. Enhedsbevillinger pr. studenterårsværk i kr.
Naturvidenskab
Samfundsvidenskab
120.000
110.000
100.000
90.000
80.000
70.000
60.000
50.000
40.000
2009
2010
2011
2012
2013
2014
2015
2016
2017
2018
Kilde: Forslag til finanslov 2015 og egne beregninger
Teknisk videnskab
Humaniora
Sundhedsvidenskab
Gennemsnit
PDF to HTML - Convert PDF files to HTML files
1437777_0023.png
23
Fig. 30. Omkostninger fordelt på formål i mia. kr., 2013
16
14
12
10
8
6
4
2
0
4,1 %
3,9 %
7,4 %
30 %
55 %
Kilde: Universiteternes indberetninger til Uddannelsesministeriet
Hvad figurerne ikke viser er effekterne
af studiefremdriftsreformen, som vil
kunne straffe universiteterne økono-
misk. Der varsles et potentielt bortfald
af bevillinger på op til 943,6 mio. kr. i
2020, hvis de studerendes gennemfør-
selstid ikke reduceres i overensstem-
melse med de politiske målsætninger.
Da opgørelsesmetoden for udgifter
blev ændret i 2012, er det endnu ikke
meningsfuldt at vise fordelingen af
omkostninger over tid. Dog kan der
knyttes nogle enkelte kommentarer
hertil.
Langt størstedelen af universiteternes
omkostninger går til aktiviteter inden-
for forskning og uddannelse. I 2013 gik
22,7 mia. kr. til disse formål, hvilket sva-
rer til 85 pct. af de samlede omkostnin-
ger. Det er udtryk for en mindre stigning
i forhold til 2012. Udgifter til generel
ledelse, administration og service er
faldet en smule til 7,4 pct. af omkost-
ningerne i 2013.
Det skal bemærkes, at de formålsfor-
delte omkostninger ikke kan sammen-
holdes med universiteternes indtægter,
da der for eksempel ikke gives særskilte
tilskud til bygningsdrift eller til generel
Omkostninger
Udgiftssiden fordeler sig som det ses på
figur 30. Hvert år indberetter universite-
terne årets omkostninger til ministeriet,
fordelt på de fem hovedformål: uddan-
nelse, forskning, formidling og viden-
udveksling, forskningsbaseret myn-
dighedsbetjening og generel ledelse,
administration og service. De samlede
udgifter beløb sig på 26,8 mia. i 2013.
PDF to HTML - Convert PDF files to HTML files
1437777_0024.png
24
ledelse og administration. Samtidig er
der modregnet lejeindtægter og refusio-
ner vedr. bygningsvedligehold i omkost-
ningsopgørelsen, så den er ikke direkte
sammenlignelig med indtægtssiden.
Figur 31 viser omkostningernes forde-
ling på hovedområder, og at de tradi-
tionelle ’våde’ områder trækker flest
ressourcer. Udgifter til sundhedsviden-
skab, naturvidenskab og teknik udgør
knap 65% af de samlede omkostninger,
og de traditionelle ’tørre’ samfundsvi-
denskabelige og humanistiske områder
udgør 25%. Den resterende del er opgjort
udenfor hovedområde (UFH) og dækker
hovedsagligt over fællesomkostninger
til bygninger og administration.
Indenfor de tørre områder svarer de
samlede uddannelsesudgifter omtrent
til de samlede udgifter til forskning. På
de våde områder er det særligt forsk-
ningen, der fylder. Samlet set trækker
de våde områder 75% af forskningsom-
kostningerne i sektoren, og teknik- og
naturvidenskab står for størstedelen
heraf.
Af de samlede udgifter til uddannelse
er det ligeledes det teknisk/naturvi-
denskabelige område, der trækker den
største andel. Omvendt udgør det sund-
hedsvidenskabelige område den mind-
ste andel heraf, hvilket kan henføres til,
at optaget på medicinuddannelserne er
underlagt ministerielle begrænsninger.
Fig. 31. Omkostninger fordelt på formål og hovedområde i mio. kr., 2013
100%
90%
80%
70%
60%
50%
40%
30%
20%
10%
0%
Ledelse af administration
Myndighedsbetjening
Formidling og vudenudveksling
Uddannelse
Forskning
Tek/nat
576
645
495
2.734
7.815
Sund
201
338
65
1.241
3.201
Hum
148
21
83
1.334
1.376
Samf
195
11
103
1.756
1.690
UFH
867
42
359
901
628
Kilde: Universiteternes indberetninger til Uddannelsesministeriet
PDF to HTML - Convert PDF files to HTML files
1437777_0025.png
25
Fig. 32. Udviklingern i universiteternes personaleårsværk, 2007-2013
1. VIP
35.000
30.000
25.000
20.000
15.000
10.000
5.000
-
2007
2008
2009
2010
2011
2012
2013
Kilde: Universiteternes Statistiske Beredskab (tabel C) - ét studenterårsværk svarer til 1924
timer.- ét studenterårsværk svarer til 1924 timer.
2. DVIP
3. TAP
Figur 31 viser også, at størstedelen af
den forskningsbaserede myndigheds-
betjening foregår ved de våde områder.
Personale
De universitetsansatte kan opdeles i
tre overordnede grupper:
’VIP’ er det fuldtidsansatte, viden-
skabelige personale , dvs. forskere
og undervisere. Kategorien dækker
for eksempel ph.d.-stipendiater,
post.doc., adjunkter, lektorer og
professorer. Kategorien udgør lidt
over 50% af universiteternes sam-
lede årsværk, svarende til 17.000
fuldtidsansatte forskere i 2013.
’DVIP’ er det deltidsansatte, viden-
skabelige personale, for eksempel
eksterne lektorer, undervisningsas-
sistenter mv. Denne kategori udgør
ca. 5%. af universiteternes samlede
årsværk.
’TAP’ er det tekniske og
administrative personale,
som blandt andet udgøres af
laboranter, studievejledere,
økonomimedarbejdere mv.. Denne
kategori udgør lige under 44% af
universiteternes samledes årsværk.
Antallet af ansatte på universite-
terne måles i årsværk - det vil sige
1924 arbejdstimer svarende til ét års
fuldtidsansættelse. I alt er antallet af
ansatte steget fra 25.207 i 2007 til 33.450
i 2013, hovedsageligt med en stigning
indenfor VIP.
PDF to HTML - Convert PDF files to HTML files
1437777_0026.png
26
Siden 2007 er antallet af VIP-årsværk
steget med 5218, hvilket er en stigning
på over 44%, mens antallet af TAP-års-
værk i samme tidsrum er steget med
21,8%. Størstedelen af væksten i univer-
sitetssektorens personale, svarende til
63% af den samlede tilvækst, er sket
indenfor de fuldtidsansatte forskere,
som udfører selve forskningen og den
forskningsbaserede undervisning.
Ved at fordele universitetspersonalets
indsats i seks faglige formål, viser Uni-
versiteternes Statistiske Beredskab,
hvordan universiteternes aktiviteter
understøttes af personalesiden.
I figur 33 er vidensformidling og myn-
dighedsbetjening slået sammen, og
ligeledes er bygningsdrift slået sammen
med generel ledelse og administration,
da der henføres relativt få årsværk til
disse formål.
Figuren viser, at det fuldtidsansatte
videnskabelige personale næsten ude-
lukkende beskæftiger sig med forskning
og uddannelse, mens det deltidsansatte
videnskabelige personale hovedsageligt
varetager uddannelse. Indsatsen for det
tekniske og administrative personale
fordeler sig mere mere ligeligt imellem
en række formål. Dog ses også her en
overvægt indenfor uddannelse og forsk-
ning.
Ud af de samlede personaleårsværk
henføres 51% til forskning, 31% til
undervisning, 10% til administration
og 7,5% til formidling og myndigheds-
betjening.
Fig. 33. Universiteternes formåslfordelte personaleårsværk i 2013
100%
90%
80%
70%
60%
50%
40%
30%
20%
10%
0%
Bygninger, ledelse & administration
Formidling & myndighedsbetjening
Uddannelse
Forskning
VIP
83
675
4704
11598
DVIP
16
21
1453
291
TAP
3264
1831
4236
5278
Kilde: Universiteternes Statistiske Beredskab (tabel C)
PDF to HTML - Convert PDF files to HTML files
1437777_0027.png
27
Danske Universiteter er de otte danske
universiteters interesseorganisation.
På Danske Universiteters hjemmeside
www.dkuni.dk
kan du blandt andet
finde Universiteternes Statistiske
Beredskab, samt en elektronisk udga-
ve af “Tal om de danske universiteter
2014”, samt den tilsvarende publika-
tion fra tidligere år.
Ved eventuelle spørgsmål er du vel-
kommen til at rette henvendelse til
Danske Universiteters sekretariat:
Danske Universiteter
Fiolstræde 44, 1.th.
1171 København K
Tel. +45 33 36 98 00
E-mail:
[email protected]
www.dkuni.dk
Du kan læse mere om de otte danske
universiteter på nedenstående hjem-
mesider:
Københavns Universitet
www.ku.dk
Aarhus Universitet
www.au.dk
Syddansk Universitet
www.sdu.dk
Roskilde Universitet
www.ruc.dk
Aalborg Universitet
www.aau.dk
Danmarks Tekniske Universitet
www.dtu.dk
Copenhagen Business School
www.cbs.dk
IT-Universitetet I København
www.itu.dk
PDF to HTML - Convert PDF files to HTML files
1437777_0028.png
Danske Universiteter er
de danske universiteters
interesseorganisation.
Organisationen fremmer
universiteternes indbyrdes
samarbejde og universitets-
sektorens synlighed og
gennemslagskraft i ind- og
udland.
Danske Universiteter
Fiolstræde 44
DK-1171 København K
www.dkuni.dk
December 2014