Finansudvalget 2014-15 (1. samling)
FIU Alm.del Bilag 71
Offentligt
1506671_0001.png
Internt
Sundheds- og Forebyggelsesudvalget
Folketingets Økonomiske Konsulent
Til:
Dato:
Udvalgets medlemmer
11. december 2014
Oversigt over udviklingen i danske offentlige sundhedsudgifter
Sammenfatning
I notatet gennemgås de mange forskellige bud, der er på udviklingen
og niveauet i de danske sundhedsudgifter, primært i perioden 1998-
2014.
Professor Jes Søgaard har udarbejdet en analyse, der viser at danske
sundhedsudgifter i realiteten er langt mindre end de officielle tal viser.
Danske Regioner er enige heri.
I notatet gennemgås de mange forskellige opgørelser for danske
sundhedsudgifter fra OECD, Danmarks Statistik, Finansministeriet,
Danske Regioner m.v.
Tallene viser, at de årlige sygehus- og sundhedsudgifter i 2013 er i in-
tervallet ca. 105 mia. kr. (Danske Regioner) til ca.165 mia. kr. (Dan-
marks Statistik). Det er et meget stort interval, der primært udgøres af
de kommunale udgifter til sundhedsvæsen og pleje.
Nok så vigtigt: I perioden 1998-2008 steg udgifterne til sygehuse og
sundhed m.v. kraftigt. Så kom finanskrisen, og udgifterne er siden
stagneret (2009-2014)
På side 12 i notatet er vist en oversigt over de forskellige opgørelser.
1/19
PDF to HTML - Convert PDF files to HTML files
1506671_0002.png
1. Indledning
De
samlede
danske offentlige sundhedsudgifter er ved internationale sam-
menligninger (OECD) normalt meget høje. For 2011 ligger vi således på en 7.
plads blandt OECD’s 34 lande. De danske sundhedsudgifter (private og of-
fentlige) udgør ca. 10,9 pct. af BNP, og det er også over gennemsnittet af
OECD, der er på 10,6 pct. af BNP.
Men i februar 2014 udsendte professor i sundhedsøkonomi
Jes Søgaard
en
1
analyse af de danske sundhedsudgifter sammenlignet med andre lande efter
aftale med Danske Regioner.
Han mener at danske sundhedsudgifter er
lave, og vi falder fra en 7. plads og helt ned til en 19. plads ved OECD-
sammenligninger. Spørgsmålet er nemlig hvordan man opgør sundhedsudgif-
terne. Hvis man tager udgifter til ”langtidssygepleje” med, så ligger Danmark
højt. Uden ”langtidssygepleje” ligger vi derimod lavt! (som vi skal se senere).
Og det ser nu ud til at være Danske Regioners officielle holdning, at vores
sundhedsudgifter ligger lavt, jf.
bilag 1.
Også pressen havde fat i historien. Politiken havde den 19. marts 2014 en ar-
tikel (skrevet af Søgaard) med overskriften ”Sundhed. Myten om vores dyre
lægevæsen”. Og BT skrev ”Danmark ligger i bund med sundhedsudgifter” (19.
marts 2014). Se
bilag 2
og
bilag 3.
I notatet tages der ikke stilling til Søgaards analyse
I forbindelse med notatets udarbejdelse er der dels fundet andre tal for sund-
hedsudgifterne i Danmark, og dels stillet en række vigtige spørgsmål i Sund-
heds- og Forebyggelsesudvalget til Sundhedsministeren om sundhedsudgif-
ternes udvikling i Danmark. Det sidste svar herpå blev oversendt til udvalget
den
6. oktober 2014.
I notatet vil vi derfor supplere Søgaards analyse, der er interessant, med an-
dre tal for udviklingen med henblik på at give et samlet overblik over sund-
hedsudgifternes udvikling. Og der er mange forskellige tal at holde rede på,
som det vil fremgå!
Der tages i notatet ikke stilling til hverken Søgaards analyse eller de andre tal
for sundhedsudgifterne.
1
Rapport fra
Søgaard Advice:
”Hvor
høje er sundhedsudgifterne i Danmark?”,
Februar 2014.
2/19
PDF to HTML - Convert PDF files to HTML files
1506671_0003.png
2. Søgaards og Danske Regioners analyse
I
figur 1
nedenfor er vist hovedresultaterne af Søgaards analyse.
Figur 1.
Sundhedsudgifter (offentlige og private) med udgifter til langtidssy-
geplejepleje, pct. af BNP
18
16
14
12
10
8
6
4
2
0
United States
Netherlands
France
Germany
Canada
Switzerland
Denmark
Austria
Belgium
Portugal
New Zealand
Japan
Sweden
Spain
Norway
United Kingdom
Italy
Average
Greece
Iceland
Finland
Australia
Ireland
Slovenia
Hungary
Slovak Republic
Israel
Czech Republic
Korea
Chile
Poland
Mexico
Turkey
Estonia
Luxembourg
Sundhed excl. langtidssygepleje
Langtidssygepleje
Kilde: Søgaard
Det ses at med ”langtidssygepleje” ligger Danmark fint på en 7. plads svaren-
de til 10,9 pct. af BNP i 2011. Hvis vi trækker ”langtidssygepleje” fra i
samtli-
ge lande,
fordi der er meget stor usikkerhed om tallet, så ryger vi ned på en
19. plads svarende til 8,3 pct. af BNP.
Figur 2.
Sundhedsudgifter(offentlige og private)
uden
udgifter til langtidssy-
gepleje, pct. af BNP
18
16
14
12
10
8
6
4
2
0
United States
France
Portugal
Germany
Canada
United Kingdom
Austria
Netherlands
Italy
Greece
Ireland
Australia
Sweden
Switzerland
Japan
New Zealand
Spain
Belgium
Average
Denmark
Finland
Slovenia
Slovak Republic
Hungary
Chile
Iceland
Czech Republic
Israel
Norway
Korea
Poland
Mexico
Turkey
Estonia
Luxembourg
Kilde: Søgaard
3/19
PDF to HTML - Convert PDF files to HTML files
1506671_0004.png
OECD’s definition er uklar
Ifølge Søgaard er problemet, at der de forskellige lande imellem er
meget
stor forskel på,
hvor stor en del af udgifterne til pleje- og omsorgssektoren,
der inkluderes i sundhedsudgifterne (se evt.
bilag 2
hvor Søgaard redegør for
sine synspunkter).
OECD opdeler udgifterne til pleje- og omsorgssektoren i to dele. Den ene
hedder langtidssygepleje og den anden hedder social langtidspleje. Ifølge
OECD’s definition er det
kun
udgifterne til den første del, langtidssygepleje,
der hører hjemme som udgift på sundhedsområdet (den anden del hører til
under socialområdet).
Problemet opstår, da OECD’s afgrænsning af hvornår en ydelse er langtids-
sygepleje er
uklar og tvetydig.
Landene fortolker derfor afgrænsningen me-
get forskelligt, hvilket resulterer i at nogle lande medtager en større andel af
udgifter til pleje- og omsorgssektoren i deres sundhedsudgifter end andre.
For eksempel lægger Danmark i definitionen af langtidssygepleje vægt på, at
OECD somme tider nævner ordet personlig pleje. Danmark medregner derfor
alle plejeudgifter og den personlige plejedel af hjemmehjælpsudgifterne.
Danmarks indberettede udgifter til langtidssygepleje lå i 2011 på ikke mindre
2
end
2,5
pct. af BNP .
Modsat lægger Sverige vægt på at OECD somme tider i definitionen af lang-
tidssygepleje understreger ord som medicinsk behandling, og Sverige inklu-
derer derfor kun udgifter til egentlig sygepleje. De svenske udgifter til lang-
tidssygepleje udgjorde i 2011 derfor kun
0,7
pct. af BNP. UK angiver slet ikke
udgiften i deres opgørelse.
Søgaard understreger, at fordi Danmark benytter en meget bred definition af
langtidssygepleje i forhold til mange af de andre OECD medlemslande, vil de
danske sundhedsudgifter fremstå overdrevet høje.
Ifølge Søgaards rapport er det derfor alt i alt mere retvisende at sammenligne
3
sundhedsudgifter for
alle
lande
uden
de usikre udgifter til langtidssygepleje ,
for at få et bedre billede af syge- eller sundhedssektorens ”egentlige” størrel-
se.
2
Det er vigtigt at påpege, at udgifter til langtidssygepleje næsten udelukkende er
kommunale
udgifter i Danmark. Mere herom senere.
3
Det bør dog understreges, at Søgaard forsøger at teste om der fås et bedre mål for sundheds-
udgifterne ved at udelade udgifterne til langtidssygepleje. Han finder intet bevis for at dette er
sandt.
4/19
PDF to HTML - Convert PDF files to HTML files
1506671_0005.png
Offentlige sundhedsudgifter opgjort i milliarder kroner
Danske Regioner refererer derfor i kølvandet på rapporten til sundhedsudgif-
terne uden udgifter til langtidssygepleje, som er illustreret i
figur 3
nedenfor
(orange graf). Dette betyder som nævnt, at Danmark ligger nede på en 19.
plads ud af de 22 gamle OECD-lande, når udgifterne opgøres i pct. af BNP.
Figur 3.
Årlige offentlige sundhedsudgifter i Danmark (med og uden udgifter
til langtidssygepleje). 2012-priser.
Mia. kr.
170
160
150
140
130
120
110
100
90
80
70
90 91 92 93 94 95 96 97 98 99 00 01 02 03 04 05 06 07 08 09 10 11 12 13 14
Kilde: OECD, Søgaard, Regionernes regnskaber og egne beregninger. Kun offentlige udgifter.
Note: Bemærk at figuren starter ved 70 mia. kr. Finanskrisen er vist med den stiplede linje. End-
videre er tallene for Regionernes udgifter fra 2001-2007 taget fra Finansministeriets Budgetrede-
gørelse 2011.
OECD (med
langtidssygepleje)
Søgaard, Danske
Regioner (uden
langtidssygepleje)
Regionernes regnskaber
(sygehuse m.v.)
Det ses af
figur 3,
at de
offentlige
sundhedsudgifter (opgjort af OECD)
med
langtidssygepleje er på ca. 165 mia. kr. årligt i 2012. Endvidere ses, at der har
været en meget stor stigning i udgifterne i perioden 1998-2008, lige indtil
fi-
nanskrisen
satte ind i 2008/2009. Herefter er udgifterne nærmest stagneret.
Endvidere er tal for udgifter til det ”egentlige” sygehusvæsen, dvs. hospitaler,
praksislæger og medicintilskud m.v. også vist i
figur 3.
Det er regionernes
regnskaber og budgetter. Udgifterne ligger her på ca. 105 mia. kr. årligt i 2014
(2012-priser). Udgifterne indeholder
ikke
plejeudgifter.
Opgøres sundhedsudgifterne efter Søgaards metode, hvor udgifterne til lang-
tidssygepleje trækkes ud af OECD’s tal, er sundhedsudgifterne ”kun” på ca.
130 mia. kr. Dette tal ligger midt imellem de
rene regionale
udgifter til syge-
husvæsenet på ca. 105 mia. kr. og de
totale udgifter
til sundhedsvæsenet,
5/19
PDF to HTML - Convert PDF files to HTML files
1506671_0006.png
der
inkluderer
alle de kommunale plejeudgifter til sundhed m.v. Her er udgif-
terne ca. 165 mia. kr.
Så man kan sige, at Søgaards tal også inkluderer (visse) kommunale udgifter.
3. Andre mål for sundhedsudgifterne (Finansministeriet og Dan-
marks Statistik)
Det er centralt, om det er sundhedsudgifterne med eller uden de primært
kommunale udgifter til omsorg og pleje, som bliver sammenlignet. Det handler
i sidste ende om, hvorvidt Danmark ligger højt eller lavt i internationale sam-
menligninger. Og det kan i mange tilfælde spille en vigtig rolle.
Som supplement til OECD’s tal og Søgaards analyse er, som nævnt indled-
ningsvist, også suppleret med tal for sundhedsudgifterne fra andre betyd-
ningsfulde kilder.
Finansministeriets opgørelse af sundhedsudgifterne
I et spørgsmål stillet af
Finansudvalget
til Finansministeren 20. februar 2014
(svar 7. april 2014) anfører Finansministeriet, at de danske offentlige sund-
4
hedsudgifter udgør 7,5 pct. af BNP i 2012 .
Det svarer til ca. 137,5 mia. kr.
(2012-priser).
Dette tal ligger betydeligt under OECD’s tal for danske sund-
hedsudgifter på ca. 165 mia. kr. for 2012.
Finansministeriets tal ligger oven i købet nærmere Søgaards tal end OECD’s
opgørelser.
Danmarks Statistiks tal
Et andet tal for offentlige udgifter til sundhedsvæsenet er opgjort af
Dan-
marks Statistik.
Her var de oprindelige udgifter (frem til midten af september
2014, inden den såkaldte hovedrevision af tallene, se nedenfor) på
155 mia.
kr. i 2012.
Så frem til midten af september 2014 havde man ikke mindre end fem forskel-
lige tal for sundhedsudgifternes størrelse i Danmark, jf.
tabel 1
nedenfor.
4
http://www.ft.dk/samling/20131/almdel/fiu/spm/181/svar/1126981/1355701.pdf
6/19
PDF to HTML - Convert PDF files to HTML files
1506671_0007.png
Tabel 1.
Offentlige sundhedsudgifter i mia. kr.,
løbende priser.
(pct. af BNP i parentes)
2011
2012
158,9
(8,9)
164,8
(9,0)
OECD (og Sundhedsministeriet)
147,3
(8,2)
155,0
(8,5)
Danmarks Statistik
133,7
(7,5)
137,5
(7,5)
Finansministeriet
123,9
(6,9)
128,9
(7,1)
Danske Regioner, Søgaard
99,2
(5,5)
105,0
(5,8)
Regionernes regnskab
beregninger
2013
-
155,4
(8,4)
138,8
(7,5)
-
104,2
(5,6)
Kilde: OECD, Danmarks Statistik, Finansministeriet, Søgaard, Regionernes regnskaber og egne
Det ses at udgifterne spænder fra ca. 105 mia. kr. årligt til de ”rene sygehus-
udgifter” og helt op til ca. 165 mia. kr. årligt for de samlede offentlige sund-
hedsudgifter opgjort af OECD.
Sundhedsministeriets opgørelse og Danmarks Statistiks revision af tallene
Den 30. juni 2014 stillede
Sundheds- og Forebyggelsesudvalget
et
spørgsmål til Sundhedsministeriet om bl.a. udviklingen i de offentlige sund-
hedsudgifter og fordelingen på regioner, stat og kommune. Svaret kom i to
6
dele.
Første svar
kom den 29. august 2014 og man brugte
OECD’s opgø-
relse
over udviklingen i sundhedsudgifterne. Tallene fremgår af
figur 3
(sort
graf, side 5 i notatet) og
tabel 1
ovenfor. Det vil sige at udgifterne var 165
7
mia. kr. i 2012-priser .
Det næste svar kom først 6. oktober 2014 , idet ministeriet afventede
Dan-
marks Statistiks hovedrevision af nationalregnskabet,
der først blev of-
fentligt tilgængeligt den 18. september 2014. Og her fremgik de samlede of-
fentlige sundhedsudgifter fordelt på regioner og kommuner, jf.
figur 4
neden-
for.
8
5
5
6
Den korrekte betegnelse er Ministeriet for Sundhed og Forebyggelse
http://www.ft.dk/samling/20131/almdel/suu/spm/944/svar/1152562/1394915.pdf
7
Sundhedsministeriets svar var i 2005-priser, og vi har omregnet til 2012-priser for at kunne
sammenligne.
8
http://www.ft.dk/samling/20131/almdel/suu/spm/943/svar/1159827/1405370.pdf
7/19
PDF to HTML - Convert PDF files to HTML files
1506671_0008.png
Figur 4.
Offentlige sundhedsudgifter (offentligt forbrug) fordelt på Region,
Kommune og Stat,
2012-priser
160
140
120
100
80
60
40
20
0
99
00
01
02
03
04
05
06
07
08
09
10
11
12
13
Stat
Kommune
Region (amter)
I alt
Kilde: Sundhedsministeriet, Danmarks Statistik og egne beregninger
Note: I svaret fra Sundhedsministeriet er tallene opgjort i
2015-priser. I figur 4 er tallene omreg-
net til 2012-priser.
Finanskrisen er vist med den stiplede linje.
Det samlede tal for de offentlige sundhedsudgifter er. jf.
figur 4,
ca. 150 mia.
kr. i 2012. Og det er noget
under udgifterne
som opgjort i svaret fra august
2014, hvor tallet var på 165 mia. kr. i 2012 (begge omregnet til 2012-priser).
Af de 150 mia. kr. udgør de
kommunale udgifter
til sundhedsvæsenet ca. 40
mia. kr. og de statslige udgifter er på ca. 1 mia. kr.
Regionernes udgifter er i dette svar på ca. 110 mia. kr. i 2012, og det passer
nogenlunde med de tidligere nævnte tal fra Regionernes regnskaber (her er
tallet på 105 mia. kr. i 2012)
Ovennævnte hovedrevision af nationalregnskabet har i øvrigt haft den konse-
kvens at det tidligere tal fra Danmarks Statistik og Finansministeriet, jf.
tabel 1
på side 7, er blevet hævet
betydeligt,
som det senere vil fremgå.
4. Hvad bruger Regionerne pengene til?
Ifølge Regionernes budget for 2014 bruges Regionernes udgifter på i alt ca.
108 mia. kr. i 2014 (løbende priser) til følgende formål:
8/19
PDF to HTML - Convert PDF files to HTML files
1506671_0009.png
Tabel 2.
Nettodriftsudgifter og anlægsudgifter på sygehusområdet m.v., mia.
kr. (løbende priser)
2014
(budget)
Sygehusvæsen
77,4
Praksis sektor ekskl. medicin
15,2
Medicintilskud
5,5
Diverse omkostninger og indtægter
2,3
Andel af fælles formål og administration
2,3
Bruttoanlægsudgifter
5,1
Sundhed i alt - med anlægsudgifter
107,7
Kilde: Regionernes regnskab
Omregnes tallene til faste priser (2012-priser) fås følgende billede af udviklin-
gen:
Figur 5.
Regionernes regnskaber, 2012-priser
Mia. kr.
120
110
100
90
80
70
60
50
40
30
20
10
0
07
08
09
10
11
12
13
14
Praksis sektor ekskl.
medicin
Sygehusvæsen
Medicintilskud
Administration og diverse
Bruttoanlægsudgifter
Kilde: Regionernes regnskab (kun tal tilbage til 2007)
Af figuren ses, at de samlede udgifter til sygehuse m.v. er nogenlunde kon-
stante i faste priser på ca. 105 mia. kr. (2012-priser) fra 2009 og frem. Det
samme gælder praksissektoren, der koster ca. 15 mia. kr. årligt i perioden.
Derimod er der et stort fald i udgifterne til medicintilskud, der er faldet fra 8,3
mia. kr. i 2003 til 5,5 mia. kr. i 2014 (2012-priser). Udgifterne til sygehuse er
også nogenlunde konstante på ca. 74 mia. kr. årligt i perioden 2009-2014.
9/19
PDF to HTML - Convert PDF files to HTML files
1506671_0010.png
5. Hvordan er de samlede offentlige udgifter til sundhedsvæsen
fordelt?
Som nævnt tidligere, betød hovedrevisionen af nationalregnskabet i septem-
ber 2014, at
Danmarks Statistiks
tal for de samlede sundhedsudgifter blev
hævet betydeligt. Hvor tallet tidligere var på 155 mia. kr. er det nu hævet til
163 mia. kr.
Hvis man ser på de
samlede sundhedsudgifter på 163 mia. kr.
inkl. kom-
munale plejeudgifter m.v. som opgjort af
Danmarks Statistik
efter hovedrevi-
sionen af nationalregnskabet, ser billedet således ud i 2013:
Tabel 3.
Samlede udgifter til offentligt sundhedsvæsen, funktionel fordeling,
mia. kr. (løbende priser)
2013
Hospitalstjenester
114,8
(sygehuse og plejehjem)
Ambulant behandling
(læge, tandlæge, hjemmepleje m.v.)
Medicinske produkter, apparater og udstyr
(medicin, proteser m.v.)
Offentligt sundhedsvæsen
(blodbanker, administration, information)
F &U inden for sundhedsvæsen
(tilskud og sundhedsrelevant forskning)
Sundhedsvæsen i.a.n.
(administration, forvaltning m.v.)
Sundhedsvæsen i alt
Kilde: Danmarks Statistik
22,9
12,6
2,7
3,8
6,5
163,3
Det ses, at sygehuse og de kommunale plejehjem koster ca. 115 mia. kr. i
2013. Herefter følger udgifter på ca. 23 mia. kr. til læge, tandlæge og (kom-
munal) hjemmepleje. De samlede udgifter til medicin udgør ca. 12,6 mia. kr.
Og herefter følger 3,8 mia. kr. til forskning indenfor sundhedsområdet.
De samlede udgifter til administration m.v. kan opgøres til ca. 6,5 mia. kr. i
2013.
10/19
PDF to HTML - Convert PDF files to HTML files
1506671_0011.png
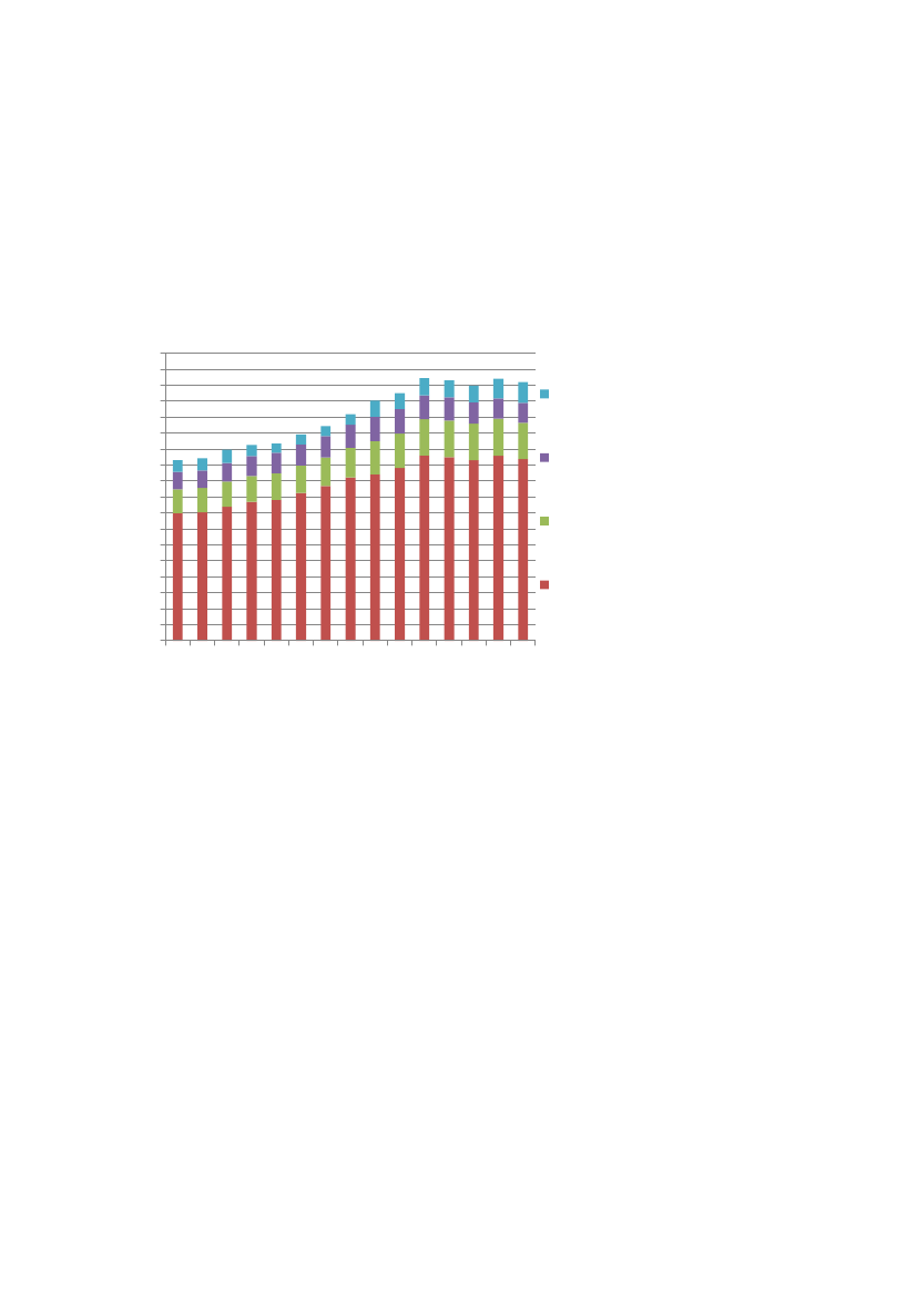
Hvis man ser på
udviklingen
i de samlede offentlige sundhedsudgifter (faste
2012-priser) ser billedet således ud:
Figur 5.
Offentlig forvaltning og service, funktionel fordeling, mia. kr., 2012-
priser.
Mia. kr.
180
170
160
150
140
130
120
110
100
90
80
70
60
50
40
30
20
10
0
99 00 01 02 03 04 05 06 07 08 09 10 11 12 13
Kilde: Danmarks Statistik
Offentligt
sundhedsvæsen, F&U og
diverse
Medicinske produkter,
apparater og udstyr
Ambulant behandling
Hospitalstjenester
Det ses, at udgifterne til hospitalstjenester (dvs. sygehuse og plejehjem) steg
pænt i perioden 1999-2009 fra ca. 80 mia. kr. i 1999 til ca. 115 mia. kr. i 2009
(2012-priser). Herefter er udgifterne stagneret. Den samme udvikling har gjort
sig gældende for de andre kategorier.
6. Sammenfatning af de forskellige opgørelser
Hvis man sammenfatter alle de forskellige tal der har været om sundhedsud-
gifter i en grafisk fremstilling fås følgende figur:
11/19
PDF to HTML - Convert PDF files to HTML files
1506671_0012.png
Figur 6.
Sammenfatning af de forskellige opgørelser over offentlige sund-
9
hedsudgifter. (2012-priser)
Kilde: Egne beregninger og tidligere nævnte kilder
Note: Finanskrisen er vist med den stiplede linje. SUM=Sundhedsministeriet,
FM=Finansministeriet, DST=Danmarks Statistik.
Der er mange bud på, hvor store de offentlige sundhedsudgifter er. Som det
ses af
figur 6
ovenfor er der otte forskellige bud på sundhedsudgifternes stør-
relse (inkl. hovedrevisionen af nationalregnskabet)
Regionernes
udgifter til sygehusvæsenets ”kerneudgifter” beløber sig til ca.
110 mia. kr. årligt i 2012-priser. Det tal ligger meget fast.
Danmarks Statistiks
tal og
OECD’s
opgørelser er efter hovedrevisionen af
nationalregnskabet stort set enslydende, og de totale offentlige sundhedsud-
gifter er her på ca. 165 mia. kr. (2012-priser).
Forskellen mellem de to opgørelser fra Regionerne og Danmarks Statistik, der
beløber sig til ca. 55 mia. kr. årligt, udgøres næsten udelukkende af de kom-
munale udgifter til pleje og omsorg primært af den ældre generation. Og de
udgifter kan være svære at opgøre.
9
I bilag 4, 5 og 6 er vist omregningen til 2012-priser for så vidt angår Sundhedsministeriet og Fi-
nansministeriet.
12/19
PDF to HTML - Convert PDF files to HTML files
Det seneste svar fra Sundhedsministeriet viser, at tallet for kommunale sund-
hedsudgifter (opgjort som offentligt forbrug) er ca. 38 mia. kr. årligt (2012-
priser). Nationalregnskabstallene synes at vise, at tallet er noget større.
Et andet forhold der tydeligt fremgår af
figur 6
er, at alle udgiftskurverne
”knækker” i 2008/2009. Det falder sammen med finanskrisen, der i Danmark
medførte et større underskud på de offentlige finanser. Herefter er alle sund-
hedsudgifterne stort set stagneret (i faste priser).
Det kan dog tilføjes, at sundhedsudgifterne fik et ordentligt løft i perioden
1998-2008, som det tydeligt ses.
Med venlig hilsen
Niels Hoffmeyer (3602) / Agnete Nielsen
13/19
PDF to HTML - Convert PDF files to HTML files
1506671_0014.png
Bilag 1
Regionernes resultater 2. udgave 2014
14/19
PDF to HTML - Convert PDF files to HTML files
1506671_0015.png
Bilag 2
Avisartikel i Politikken 19. marts 2014
15/19
PDF to HTML - Convert PDF files to HTML files
1506671_0016.png
Bilag 3
Avisartikel i BT 6. marts 2014
16/19
PDF to HTML - Convert PDF files to HTML files
1506671_0017.png
Bilag 4
Svar fra Sundhedsudvalget 29. august 2014
Mia. kr.
180
160
140
120
100
Udviklingen i de offentlige sundhedsudgifter
2012-priser
80
60
40
20
0
90 91 92 93 94 95 96 97 98 99 00 01 02 03 04 05 06 07 08 09 10 11 12
Omregning fra 2005-priser, som opgivet i svaret, og til 2012-priser.
2005-priser
17/19
PDF to HTML - Convert PDF files to HTML files
1506671_0018.png
Bilag 5
Svar fra Sundhedsudvalget 6. oktober 2014
Mia. kr.
180
160
I alt, 2015-priser
140
120
100
80
60
40
20
0
99 00 01 02 03 04 05 06 07 08 09 10 11 12 13
Stat, 2015-priser og
2012-priser
I alt, 2012-priser
Region (amter), 2015-
priser
Region (amter), 2012-
priser
Kommune, 2015-priser
Kommune, 2012-priser
Udviklingen i sundhedsudgifterne (offentligt forbrug)
Sammenligning af de to svar fra Sundhedsudvalget
Mia. kr.
180
160
140
120
100
80
60
40
20
0
99 00 01 02 03 04 05 06 07 08 09 10 11 12 13
Svar 29. august
Svar 6. oktober
(offentligt forbrug)
Udviklingen i sundhedsudgifter, 2012-priser
18/19
PDF to HTML - Convert PDF files to HTML files
1506671_0019.png
Bilag 6
Svar fra Finansministeriet 7. april 2014
Mia. kr.
160
140
120
100
80
60
40
20
0
00
01
02
03
04
05
06
07
08
09
10
11
12
13
2012-priser
Løbende priser
Udviklingen i offentlige sundhedsudgifter
19/19