Miljøudvalget 2013-14
MIU Alm.del Bilag 503
Offentligt
1403748_0001.png
Notat om bælgplanter og biodiversitet med mere i miljøfokusområder 
 
Udarbejdet af cand. agro. Bente Andersen for Foreningen for reduceret Jordbearbejdning i DanmarK 
  
Den enkelte planteart har sin helt egen specifikke signatur 
Enhver planteart er forskellig fra andre plantearter i den måde, den påvirker rhizosfæren (det biologiske liv 
omkring plantens rod). Hver enkelt planteart udskiller specifikke stoffer (kulhydrater, aminosyrer, organiske 
syrer med flere), som tiltrækker forskellige organismer og frastøder andre.  
  Når målet er at skabe så stor biodiversitet som muligt i jorden, drejer det sig derfor om at variere mest 
muligt mellem plantearterne, idet der så samtidig skabes større biologisk diversitet i jorden og på dens 
overflade.  
  Ved dyrkning i monokultur, hvor samme planteart og plantearter i nært slægtskab dyrkes fortløbende, 
bliver det biologiske liv i jorden derfor indsnævret. 
 
Figur 1 illustrerer, hvordan en planterod lever i symbiose med mikroorganismer som eksempelvis
mykorrhiza-svampe og rhizobium-bakterier. Roden udskiller forskellige stoffer, der fremmer andre planters
eller andre organismers vækst eller modsat hæmmer deres vækst. Planteroden optager vand og næring,
mens andre stoffer fra planteroden siver ud i rhizosfæren og kan udnyttes af andre organismer. De enkelte
plantearter er forskellige fra andre plantearter i forhold til denne påvirkning i jorden. Desværre er det sådan,
at der er alt for lidt viden om dette samspil i det biologiske liv i jorden. Der er derfor et stort behov for at få
undersøgt dette vigtige område meget mere. (Kilde: Dr. Ph.d. Jill Clapperton, Principal Scientist, Rhizoterra
Inc.)
 
 
Alle planteavlere ved godt, at for eksempel 1. års hvede ‐ i sammenligning med flerårs hvede ‐ giver et 
højere udbytte efter raps, markært, hestebønner, spinat og kartofler med flere. Årsagen kan ikke alene 
forklares med en kvælstofeffekt. Den beror også på andre biologiske forhold i jorden. Det betyder, at 
initiativer, der fremmer landbrugets anvendelse af så mange forskellige plantearter i sædskiftet som muligt, 
uvægerligt vil fremme biodiversiteten og dermed vedligeholde jordens frugtbarhed. Derfor vil mellem‐ og 
efterafgrøder ‐ med de ”rigtige”, kombinerede artsvalg ‐ fremme den biologiske mangfoldighed i jorden. 
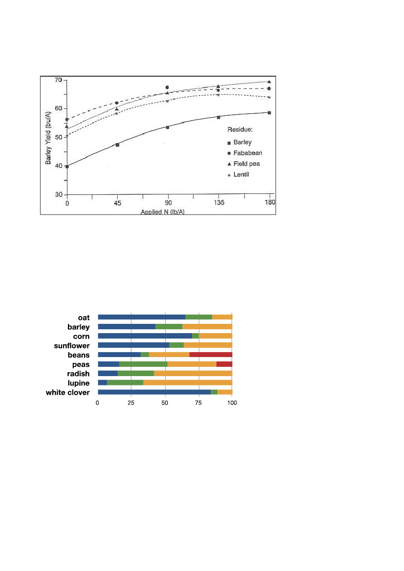
Det gode sædskifte er således en hjørnesten i godt landmandsskab. Det er illustreret i figur 2, som viser, at 
effekten af gode forfrugter er uafhængig af kvælstofniveauet i vårbyg. 
 
 
PDF to HTML - Convert PDF files to HTML files
1403748_0002.png
 
 
Kilde: AT Wright, Can. J. Plant Sci, Volume 70: 1023-1032 (1990)
 
Figur 2. Gennemsnitligt udbytte af vårbyg efter forfrugterne hestebønner, markært og linser i det nordøstlige
Saskatchewan i Canada.
 
 
Figur 3 viser hvor stor forskel, der er med hensyn til de kvælstofforbindelser, som er i planterødderne i 
arter af landbrugsplanter. Nogle af disse kvælstofforbindelser siver også fra rødderne ud i de nære 
rodomgivelser (rhizosfæren). Bemærk den store forskel, der er imellem hvidkløver og bønner, ærter og 
lupiner i forhold til eksempelvis kornarterne. Det illustrerer, hvorfor det er en fordel for biodiversiteten at 
anvende så mange forskellige plantearter som muligt. 
Figur 3. Andelen af N eksporteret fra rødderne til stængler og blade som nitrat (blå), aminosyrer (grøn),
amider (gul) og ureider (rød). Jo større mangfoldighed i N-forbindelser i rødderne desto større
mangfoldighed i de mikroorganismer, der lever i og omkring rødderne, fordi nogle af disse
kvælstofforbindelser siver ud i rhizosfæren.
 
 
Biodiversitet er højt prioriteret i EU 
I 2010 udgav EU‐Kommissionen ”European Atlas of Soil Biodiversity”, som sætter fokus på værdien af 
jordens biodiversitet i EU, og som beskriver, hvordan biodiversiteten i jorden er truet. Det fremgår tydeligt, 
hvordan EU i sine forordninger tager hensyn til blandt andet konklusionerne i dette vigtige atlas. Det 
gælder eksempelvis i Europa‐Parlamentets og Rådets forordning (EU) nr. 1307/2013 af 17. december 2013. 
Heri står blandt andet: Forpligtigelserne vedrørende afgrødediversificering bør anvendes på en måde, der 
PDF to HTML - Convert PDF files to HTML files
1403748_0003.png
tager hensyn til vanskeligheden for mindre landbrug ved at diversificere samtidig med, at der gøres 
fremskridt henimod øget miljømæssige fordele og især forbedring af jordkvaliteten. 
  
 
 
Nøglebudskaberne (her på engelsk som i det originale atlas) i ”European Atlas of Soil Biodiversity” er i 
øvrigt: 
 
Key Message 1: Biodiversity loss and climate change are two of the most pressing challenges of or time. Soil 
biodiversity is part of the solution to both. 
 
Key Message 2: The main goal of the atlas is to inform the general public, policy makers, land managers, 
teachers and the general scientific community of the unique characteristics of life in soil and raise 
awareness of its environmental importance and global significance.  
 
Key Message 3: Soil contains at least one quarter to one third of all living organisms on the planet yet only 
around 1% of soil microorganisms have been identified compared to 80% of plants. 
 
Key Message 4: Most terrestrial ecosystem processes that sustain life on the planet (e.g. soil fertility, 
nutrient cycles, greenhouse gas fluxes, pollution control, antibiotics, etc.) are in fact all driven by soil 
biology. However, life within the soil is complex to observe (i.e. small scale and mostly hidden away) and 
suffers greatly by being ‘out of sight and out of mind’.  
 
Key Message 5: However, as identified in the EU Thematic Strategy for Soil Protection, land degradation 
and associated pressures are threatening soil biodiversity and, hence, the ability of the soil to perform its 
basic ecosystem functions and services. 
 
Key Message 6: In addition, taking steps to protect soil biodiversity may be doubly useful as efforts to 
protect soil communities are very likely to help above ground habitats. 
 
Bælgplanter kontra korsblomstrede 
I årene 2012‐2014 udgjorde de gennemsnitlige arealer med: 
raps 156.000 ha. 
PDF to HTML - Convert PDF files to HTML files
1403748_0004.png
korn 1.457.000 ha 
bælgplanter (i renbestand 2013‐2014) 23.396 ha 
 
På stadigt flere arealer er der stigende problemer med kålbrok, som reducerer udbytterne i raps. Problemet 
med kålbrok skyldes først og fremmest en stigende anvendelse af efterafgrøderne gul sennep og 
olieræddike samt anstrengte rapssædskifter. Det er i forbindelse med reglerne for pligtige efterafgrøder og 
MFO‐efterafgrøder vigtigt at være opmærksom på denne problematik. Set i det perspektiv er brug af 
bælgplanter i blanding med andre planterarter som MFO‐efterafgrødearealer en god løsning på et problem, 
som kan blive alvorligt på sigt. Det tager omkring 10‐12 år, før jorden igen er fri for kålbrok‐bakterien, så 
der igen kan dyrkes raps andre korsblomstrede afgrøder. Det er desuden vigtigt i denne forbindelse at være 
opmærksom på, at olieræddike og gul sennep heller ikke med succes kan dyrkes eksempelvis som MFO‐
afgrøder på arealer inficeret med kålbrok.  
  I figur 4 er vist, hvordan kålbrok angriber forskellige typer af korsblomstrede planter.
Figur 4. Figuren viser resultater af screeningsforsøg i potter i drivhus ved DJF, hvor der i potterne har været 
en stigende andel jord (0‐75 procent) inficeret med kålbrok, og hvor der er sået forskellige korsblomstrede 
afgrøder i potterne. Det fremgår, at olieræddike blev mindst angrebet, mens der ikke var forskel på de 
øvrige arter. Typhoon er en krydsning mellem turnips og kinakål. (Kilde Planteavlsorientering nr. 09‐778, 
Landskontoret for Planteavl). 
 
Det er også central at fremhæve, at korsblomstrede arter ikke har symbiose med mykorrhiza‐svampe i 
jorden, hvilket bælgplanter har. Mykorrhiza‐svampe øger i betragtelig grad planternes muligheder for at få 
vand samt fosfor og flere andre essentielle næringsstoffer fra jorden. Derfor bør man ikke placere 
korsblomstrede arter forud for arter, der har et stort behov for fosfor.  
  Jill Clapperton (personlig kommunikation) har fortalt, at det specielt er godt at underså eksempelvis ærter 
i majs, idet de to arter benytter det samme netværk af mykorrhiza‐svampe.  
 
Bælgplanter og jordens indhold af organisk stof 
Bælgplanter er endvidere værdifulde til at begrænse faldet i indhold af organisk stof i langt den 
overvejende del af den danske landbrugsjord.  
PDF to HTML - Convert PDF files to HTML files
1403748_0005.png
  Når organisk stof forsvinder fra jorden, falder dens frugtbarhed. Det kulstof, der frigives fra jorden, ender 
desuden som CO
2
 i atmosfæren. 
  Kvadratnettet for nitratundersøgelser i Danmark viser, at der på jordtyperne JB 5‐7 over de seneste 20 år 
er tabt 0,5‐1,2 ton kulstof pr. ha årligt i 0‐100 centimeters dybde. Ved et C:N på 10‐12:1 svarer det til et tab 
af 50‐100 kg kvælstof pr. ha årligt – hvilket er et ganske betydeligt tab. (Kilde: European Journal of Soil 
Science, September 2014, 65, 730–740 doi: 10.1111/ejss.12169 Changes in carbon stocks of Danish 
agricultural mineral soils between 1986 and 2009). 
  
  I de tyske regler for krydsoverensstemmelse skal alle landmænd hver især beregne humusbalancen for 
deres marker ‐ eller alternativt skal de udtage analyser til bestemmelse af humusindholdet, som 
dokumenterer, at der ikke tæres på jordens indhold af organisk stof.  
  I tabellen herunder er værdier for forskellige afgrøders påvirkning af kg humus‐kulstof pr. ha pr. år. I de 
viste værdier er der for roer, majs, korn, raps og efterafgrøder ikke taget højde for planterester som halm, 
roetop og grønmasse fra efterafgrøden. Hvis eksempelvis efterafgrøden ikke bliver høstet, men efterladt på 
marken, skal der tillægges den anførte værdi i tabellen. Disse værdier beregnes på følgende måde, som 
også fremgår af det vedlagte bilag 1 (Humusbilanz‐Mthode für Ackerland in Bayern). Et ton halm med 14 % 
vand svarer til 100 kg humus‐C. pr. hektar, et ton roeblad eller grønmasse fra efterafgrøde tæller otte kg 
humus‐C ved 10 % tørstof. 
  Af tabellen fremgår det klart, at ærter og hestebønner og efterafgrøder har et særdeles positivt bidrag til 
den vigtige lagring af kulstof i jorden, som er vigtig for jordens frugtbarhed og i forhold til 
klimapåvirkningen. 
 
Humus balance beregning som del af den tyske krydsoverensstemmelse. (Kilde: 
http://www.lfl.bayern.de/iab/boden/031164/). I tabellen er vist den effekt, hovedafgrøden har på 
humusbalancen i jorden. Såfremt halmen, roetoppen eller efterafgrøden bliver efterladt i marken, 
tillægges en yderligere værdi herfor. 
Værdier for forskellige afgrøder 
Humus ækvivalenter  
Kg humus – C pr. ha pr. år 
Hovedafgrøder 
 
Sukkerroer 
‐760 
Kartofler 
‐760 
Majs 
‐560 
Korn, vintersæd og vårsæd 
‐280 
Vinterraps 
‐280 
Bælgplanter herunder hestebønner og markært 
+160 
 
 
Efterafgrøder 
 
 
Udlæg: 
+200 
Honningurt, Inkaranatkløver, serradel, hvidkløver, 
rødkløver m.fl. 
Udlæg: 
 
Alexandrinekløver, boghvede, rajgræs m.fl.  
+200 
Efteragrøder sået efter høst: 
 
Honningurt, vikker, inkarnatkløver m.fl. 
+80 
Efterafgrøder sået efter høst: Ærter/solsikker, gul 
+80 
sennep m.fl. 
Efterafgrøder sået efter høst, som kan overvintre 
+120 
 
PDF to HTML - Convert PDF files to HTML files
1403748_0006.png
Overjordisk biodiversitet er et spejlbillede af den underjordiske biodiversitet 
I forhold til bier, humlebier og andre pollensamlende insekter er det meget vigtigt, at de kan skaffe sig 
pollen i en lang, sammenhængende periode. I rapsens blomstringstid er der masser af pollen.  
  Men hvad er der efterfølgende?  
  Her vil blandt andet ærter og hestebønner samt blomstrende efterafgrøder være en fordel for bier, der 
ellers har svært ved at finde føde. Tabellen nedenfor viser blomstringstiden for de forskellige arter. Ud fra 
indholdet af protein i pollen kan man se hvilke, der bedst gavner biernes ernæring. Planter med pollen 
under 20 procent protein har bierne sandsynligvis ikke gavn af at indsamle fra.  
  Bemærk, at hestebønner blomstrer i juli‐august og er en en velegnet pollenkilde. Det må formodes, at 
markært også er en lige så god pollenkilde. Markært blomstrer tidligere i forhold til hestebønner. Bemærk 
også, at andre arter er interessante som mellem‐ og efterafgrøder.  
 
(Kilde. Rapport 2011, Per Kryger, Annie Enkegaard, Beate Strandberg, Jørgen Aagaard Axelsen: Biel og 
blomster – honningbiens fødegrundlag i Danmark). 
 
Fugle har klare præferencer med hensyn til afgrøder 
En engelsk undersøgelse viser, at fugle har klare præferencer i forhold til hvilke afgrøder, de helst vil være i. 
Det er vist i tabellen nedenfor. 
  Det fremgår af optællingerne, at antal fugle alene pr. acre er højest i hestebønner og antal fugle i flok pr. 
acre er højest i ærter. 
 
 
PDF to HTML - Convert PDF files to HTML files
1403748_0007.png
Optællinger over tre måneder 
Fugle 
Hestebønner Raps 
Markært 
Hvede 
Græsmark  Rabatter 
I alt 
alene 
Test areal  14 
30 
17 
26 
‐ 
‐ 
(acres) 
Solsort 
16 
31 
14 
80 
Bogfinke 
11 
18 
Jernspurv  9 
21 
Tornirisk 
32 
18 
72 
Agerhøne  2 
21 
28 
Lærke 
40 
60 
16 
10 
134 
Tornsanger  29 
25 
65 
Gulspurv 
17 
20 
11 
64 
Andre 
28 
22 
101 
Total 
125 
204 
115 
31 
40 
40 
555 
Total pr. 
8,9 
6,8 
6,8 
1,2 
8,0 
‐ 
 
acre 
Fugle i 
 
 
 
 
 
 
 
flokke 
Viber 
16 
16 
Spurve 
22 
43 
133 
24 
13 
235 
Stære 
291 
63 
360 
Ringduer 
81 
82 
Total 
23 
129 
440 
24 
63 
14 
693 
Total pr. 
1,6 
4,3 
25,8 
0,9 
12,6 
‐ 
‐ 
acre 
(Kilde: B.N.K. Davis (1967). Bird feeding preferences among different crops in an area near Huntingdon, Bird 
Study). 
 
Pesticidforbruget er lavt i ært og hestebønne 
Pesticidforbruget i ært og hestebønne er typisk lavere end til både vintersæd og vinterraps (se blandt andet 
dyrkningsvejledningerne fra Videncenter for Landbrug, Planteproduktion). I hestebønne og markært bliver 
der under normale forhold nemlig kun sprøjtet mod ukrudt en gang om foråret. Herudover bliver der 
måske sprøjtet en gang mod svampesygdomme og en gang mod skadedyr. 
  I vinterhvede bliver der sprøjtet mod ukrudt både efterår og forår. Der bliver typisk sprøjtet to‐fem gange 
mod svampesygdomme og en gang mod skadedyr. I vinterraps bliver der typisk sprøjtet mod ukrudt efterår 
og forår, vækstreguleret efterår og forår samt sprøjtet mod glimmerbøsser med flere insekter to‐tre gange 
og imod svampesygdomme en‐to gange.  
  Sammenlignet med vårbyg, bliver der sprøjtet nogenlunde på samme niveau i ært og hestebønne. I 
lucerne, kløver og lupiner er forbruget af pesticid lavere end i kornafgrøder og raps. 
 
Jordbearbejdning i bælgplanter er som i de øvrige afgrøder 
Alle de i Danmark dyrkede bælgplanter (markært, hestebønner, lucerne, lupiner, kløver, vikke med flere) 
har de samme krav til jordbearbejdning som alle øvrige afgrøder. Det vil sige, at de kan dyrkes i pløjede 
systemer, i harvede systemer og med direkte såning uden forudgående jordbearbejdning. 
Det er ikke nødvendigt at foretage særlig intensiv jordbearbejdning på nogen som helst måde for at opnå 
samme udbytter og kvalitet af bælgplanter. Desværre foreligger der ikke danske forsøg, som dokumenterer 
dette ‐ men det er erfaringen fra praksis.