Miljøudvalget 2013-14
MIU Alm.del Bilag 375
Offentligt
1375913_0001.png
MILJØREDEGØRELSE
Grønt regnskab og arbejdsmiljø
2013
PDF to HTML - Convert PDF files to HTML files
1375913_0002.png
PDF to HTML - Convert PDF files to HTML files
1375913_0003.png
MILJØREDEGØRELSE 2013
INDHOLD
2
MILJØ, ENERGI OG ARBEJDSMILJØ I 2013
4
GENERELLE OPLYSNINGER
5
MILJØVISION, MILJØ- OG ENERGIPOLITIK
6
FREMSTILLING AF CEMENT
7
AALBORG PORTLANDS PRODUKTER
8
MILJØ- OG ENERGILEDELSE
10
DET RESSOURCEEFFEKTIVE SAMARBEJDE
11
RÅMATERIALER
12
ENERGI
14
EMISSION TIL LUFTEN
16
STØJ
17
VAND
18
AFFALD OG RESTPRODUKTER
19
AREALFORBRUG OG BIODIVERSITET
22
STOFSTRØMMEN – NØGLEINDIKATORER OG STATUS 2013
24
INVESTERINGER I KLIMA- OG MILJØFORBEDRINGER
26
MILJØ- OG ENERGIMÅL – INDSATS OG RESULTATER
28
BEREDSKAB – NÅR UHELDET ER UDE
30
MILJØDIALOG
31
MILJØBEVIDST DISTRIBUTION
32
ARBEJDSMILJØ
38
MÅLEMETODER OG BEREGNINGSGRUNDLAG
39
REGNSKABSTAL OG SAMFUNDSBIDRAG
40
DEN UAFHÆNGIGE REVISORS ERKLÆRING
40
EMAS-REGISTRERING
41
ORDFORKLARING
MILJØREDEGØRELSE 2013 – MÅLGRUPPE
Aalborg Portlands Miljøredegørelse 2013 er tænkt som en let adgang for interessegrupper til
at sætte sig ind i virksomhedens væsentligste miljøpåvirkninger og arbejdsmiljøarbejde samt
i de tiltag, der gøres for at gennemføre løbende forbedringer.
Samtidig gives også et indtryk af, hvordan systemet for miljøledelse benyttes og udvikler sig.
Miljøredegørelse 2013 opfylder kravene i lovgivningen om grønne regnskaber.
Interessegrupperne er:
Kunder, medarbejdere, leverandører, nuværende og fremtidige investorer, pengeinstitutter,
forsikringsselskaber, myndigheder, naboer, politiske grupper og interesseorganisationer
(såkaldte NGO´er: Non Governmental Organisations).
1
PDF to HTML - Convert PDF files to HTML files
AALBORG PORTLAND – NORDIC CEMENT
Miljø, energi og arbejdsmiljø i 2013
Miljøredegørelsen 2013 er ledelsens rapportering af
de væsentligste aktiviteter og den fortsatte indsats
på miljø-, energi- og arbejdsmiljøområdet for Aal-
borg Portlands danske cementproduktion og siloan-
læg i Danmark.
2013 blev et godt år for Aalborg Portland, selvom
cementproduktionen også i 2013 har ligget på et
lavt niveau i forhold til fabrikkens samlede produk-
tionskapacitet. Produktion og salg ligger på samme
niveau som i 2012, hvorimod udledningen af NO
X
de seneste fem år er faldet med 64% sammenlig-
net med 2009. Faldet skyldes den målrettede inve-
stering i udstyr til NO
X
-rensning og større brug af
biobrændsel som alternativt brændsel, der substi-
tuerer fossilt brændsel som kul og petcoke.
Aalborg Portland har i mange år haft stor fokus på
at anvende alternative brændsler og råmaterialer.
Der er i 2013 anvendt 97.250 tons alternativt brænd-
sel, bl.a. industriaffald, kød- og benmel samt tørret
spildevandsslam fra Aalborg Kommune.
Målene er igennem årene hævet successivt for at
opnå større anvendelse af alternativt brændsel
fremstillet af industriaffald. Affaldet nyttiggøres der-
med i fin overensstemmelse med regeringens ønske
om et ressourceeffektivt samfund og at gøre affald
til en ressource. Senest har Aalborg Portlands le-
delse godkendt en investering på DKK 40 mio., som
skal gøre det muligt at anvende endnu mere alter-
nativt brændsel.
Som alternative råmaterialer er der i 2013 anvendt
417.000 tons i form af bl.a. flyveaske fra kraftvær-
ker og sand fra uddybning af Limfjorden ved Hals
Barre og Løgstør Rende. Den etablerede symbiose
med Nordjyllandsværket om levering af kridtslam
til kraftværkets afsvovlingsanlæg har givet 29.000
tons afsvovlingsgips retur, som genanvendes sam-
men med 30.000 tons afsvovlingsgips fra fabrikkens
egne anlæg.
De senere års indsats med at effektivisere energi-
forbruget i det eksisterende produktionsanlæg har
bevirket, at der i perioden 2009-2013 er gennemført
projekter, som sikrer en årlig energibesparelse af
elektricitet og brændsel på 245 mio. kWh, svarende
til 61.000 husstandes årlige elforbrug. I 2013 er der
bl.a. gennemført og afsluttet følgende projekter: Ny
klinkerkøler til ovn 87, omlægning af el-varme til in-
tern fjernvarme og reduktion af trykluftforbrug.
Fremadrettet vil der fortsat være fokus på at redu-
cere energiforbruget ved at udnytte elektricitet og
brændsel mere effektivt, hvorved Aalborg Portland
bidrager til at nå regeringens øgede mål – via afta-
len mellem Klima- og energiministeren og net- og
distributionsselskaberne – om Danmarks fremti-
dige indsats for at spare energi.
Med baggrund i den gennemførte VVM-redegørelse
(Vurdering af Virkning på Miljøet) og miljøgodkendel-
se til at nyttiggøre restproduktet microfiller til mo-
dulering af landskabet i forbindelse med gravning af
kridt, er denne nyttiggørelse sat i gang i 2013, hvilket
betyder, at produktet nu anvendes som en ressource
og at fabrikkens behov for deponi er væsentligt re-
duceret. Et miljømæssigt godt tiltag, der sikrer, at
råstofgraven efterbehandles til at udgøre et bynært
rekreativt område – Rørdal Søpark – som giver Aal-
borgs borgere mulighed for, når råstofindvindingen
er afsluttet, at dyrke vandsport på søen og rekreativ
anvendelse af det omkringliggende terræn.
I tråd med regeringens ønsker om at omlægge til
mere vedvarende energiformer (VE) er Aalborg Port-
land i gang med at gennemføre en VVM-redegørelse
for opstilling af vindmøller på virksomhedens area-
ler ved Bredhage. Projektet er en del af Aalborg
Kommunes plan for opstilling af vindmøller i kom-
munen. Målet er, at vindmøllerne på sigt kan frem-
stille 40% af fabrikkens årlige elforbrug, svarende til
ca. 25.000 husstandes årlige elforbrug.
Den mangeårige miljømæssige udnyttelse af spild-
varme fra cementproduktionen til fremstilling af
fjernvarme til Aalborgs borgere har i 2013 betydet
leverance af varme, svarende til 21.500 husstandes
årlige varmeforbrug og der arbejdes i øjeblikket
med at udvikle nye muligheder for, at denne nyttig-
gørelse kan udbygges i fremtiden.
Vi har i virksomheden et uformelt miljø, hvor med-
arbejderne føler ansvar og lægger energi i at få tin-
gene til at fungere. Den til tider hektiske hverdag
og de stadige forandringer, er fortsat en udfordring.
Derfor er det af allerstørste betydning, at vi fortsat
bruger de tilgængelige ressourcer og viden til at få
vedligeholdt og udviklet eksisterende arbejdsrutiner
– det er en løbende proces.
2
PDF to HTML - Convert PDF files to HTML files
1375913_0005.png
MILJØREDEGØRELSE 2013
Her har Arbejdsmiljøorganisationen en vigtig rolle
i hverdagen, hvor medarbejderne inddrages aktivt i
løbende forbedringer af arbejdsmiljøet. Mange ulyk-
ker og arbejdsskader kan forhindres ved at planlæg-
ge og indrette arbejdspladsen på en sikker måde,
men det farligste element er den enkelte medarbej-
ders adfærd.
Derfor har der i 2013 været øget fokus på forbedring
af vores adfærds- og sikkerhedskultur – bl.a. gen-
nem et undervisningsforløb for alle medarbejdere,
øget risikovurdering og adfærdsændringer – afgø-
rende faktorer for, at vi fortsat kan gøre en indsats
for at nedbringe antallet og alvorligheden af ulykker
på vores arbejdsplads.
Igennem en langsigtet fremadrettet stabil afgiftspo-
litik, hvor politikerne vil sikre imod konkurrencefor-
vridende grønne afgifter i Danmark, kan vi i Aalborg
Portland fortsætte vores grønne investeringer, som
sender et klart signal om virksomhedens store en-
gagement i energieffektivisering, miljø, klima og ar-
bejdsmiljø til gavn for virksomheden og medarbej-
derne – helt i tråd med regeringens og samfundets
ønsker til et bæredygtigt samfund.
Michael Lundgaard Thomsen
Direktør, Nordic Cement
April 2014
HKH KRONPRINS FREDERIK
OG MILJØMINISTER IDA AUKEN
BESØGTE AALBORG PORTLAND
Mandag d. 16. september besøgte HKH Kronprins Frederik
og daværende Miljøminister Ida Auken virksomheder i
Nordjylland. Anledningen var et ønske om at fremhæve virk-
somheder, der har været særligt engagerede i at tage hensyn
til miljøet i deres produktion.
Cementfabrikken i Rørdal blev udvalgt, fordi Aalborg Portland
gennem flere år har leveret en solid og dedikeret indsats for
miljøet med en mere bæredygtig produktion og med fokus på
at spare energi.
3
PDF to HTML - Convert PDF files to HTML files
1375913_0006.png
PDF to HTML - Convert PDF files to HTML files
1375913_0007.png
MILJØREDEGØRELSE 2013
MILJØVISION, MILJØ- OG ENERGIPOLITIK
Miljøvision:
Aalborg Portland skal være en ansvarlig virksomhed,
der fremmer en bæredygtig udvikling
Politikken gælder for cementfabrikken i Aalborg og
siloanlæg i Danmark.
Politikken er at:
• Overholde gældende lovkrav og relevante myndig-
hedskrav. Hvis en overskridelse konstateres, vil vi
underrette myndighederne og udarbejde hand-
lingsplaner for afhjælpning.
• Fremme en bæredygtig udvikling og renere teknolo-
gi under hensyntagen til det økonomisk ansvarlige.
• Sætte offensive mål for den fremtidige indsats og
revurdere vores mål en gang om året på ledelsens
målsætningsseminar.
• Sikre at vores produkter bidrager til, at vores kun-
der kan nå deres miljømål, bl.a. ved at gennemføre
og medvirke til udvikling af miljørigtige cement- og
betonprodukter, som forbedrer betons livscyklus.
• Beskytte miljøet, herunder reducere emissioner
og forbrug af energi og råstoffer pr. ton cement
for de enkelte cementtyper ved bl.a. energieffekti-
visering og -styring.
• Informere vores leverandører og underleverandø-
rer om relevante fremgangsmåder og krav.
• Indtage en aktiv og åben holdning til information,
viden og dialog med kunder, medarbejdere, myn-
digheder, naboer, organisationer og andre samar-
bejdspartnere.
• Uddanne og motivere medarbejderne for at sikre,
at vi lever op til kravene i politik, mål og hand-
lingsplaner.
• Undgå yderligere konkurrenceforvridende grønne
afgifter og reducere det eksisterende afgiftstryk.
For at sikre ovenstående forpligter vi os til at:
• Opretholde og udvikle et system til procesledelse,
der omfatter eksternt miljø, energi og CO
2
. Syste-
met er certificeret efter ISO 14001, ISO 50001 og
Energistyrelsens tillægskrav hertil samt registre-
ret efter EMAS-forordningen.
• Synliggøre vores politik, mål, handlingsplaner og
resultater på området ved årligt at udarbejde og of-
fentliggøre en Miljøredegørelse og Grønt regnskab.
• Udarbejde og bruge indikatorer som styringsred-
skab til at nå fastsatte mål.
• Vurdere vores produkter, anlæg og større ombyg-
ninger i relation til politikkens område, herunder
understøtte energieffektivt indkøb og miljø- og
energirigtig projektering.
• Være en aktiv samarbejdspartner i den danske
miljø- og energipolitik ved at udnytte alternative
råmaterialer og brændsler.
BÆREDYGTIG UDVIKLING
Aalborg Portland ønsker at fremme en
bæredygtig udvikling ud fra følgende:
• Miljø skal være en integreret del af udviklingen i
virksomhedens aktiviteter, herunder reduktion af
det miljømæssige fodaftryk.
• Miljøindsatsen skal forankres gennem deltagelse
af alle medarbejdere og i dialog med omverdenen.
• Produktion og økonomisk fremgang skal ske uden
relativ stigning i energiforbrug, emission, kemika-
lieforbrug, affald og øvrigt ressourceforbrug for de
enkelte produkter.
• Miljøindikatorer skal synliggøre en bæredygtig
udvikling.
• Ressourceeffektivitet skal fremmes ved bl.a.
substitution af ikke-fornyelige ressourcer og
indførelse af nye teknologier.
• Det globale perspektiv inddrages – bl.a. ved handel
med CO
2
-kvoter for emission, Joint Implementation
og Clean Development Mechanism.
5
PDF to HTML - Convert PDF files to HTML files
1375913_0008.png
FREMSTILLING AF CEMENT
Grundlæggende er fremstilling af grå og hvid ce-
ment ens med variation i ovnenes opbygning. I afsnit
om ovnproces nedenfor er det grå semi-tør proces,
der er beskrevet.
INDVINDING AF RÅMATERIALER
Cement fremstilles ved brug af bl.a. kridt og sand,
der udgør de centrale råstoffer i produktionen af alle
cementtyper hos Aalborg Portland. Disse to natur-
lige råstoffer indvindes i henholdsvis virksomhedens
kridtgrav og ved Hals Barre og Løgstør Rende, hvor
sandsugningen samtidig tjener til at holde Limfjor-
dens sejlrender farbare, samt ved indvinding af sand
i Sandmosen.
FORBEHANDLING AF RÅMATERIALER
I første del af processen slemmes kridtet op i en
slemmetromle, mens sandet males i en sandmølle.
Herefter blandes materialerne til færdig ovnslam.
OVNPROCES (GRÅ)
Ovnslammen sprøjtes ind i tørreknuseren og tilsæt-
tes flyveaske. Med varm røggas forvandler tørreknu-
seren materialet til råmel, der via udskillecyklonen
transporteres til cyklonforvarmerne, som varmer
råmelet op til 750° C.
I kalcinatorerne varmes materialet yderligere op til
900° C, og derved udskilles kuldioxiden, før turen
går til den 74 meter lange rotérovn. Her sker der en
gradvis opvarmning til 1.500° C, hvorved materialet
brændes til cementklinker, der efterfølgende afkø-
les i klinkerkøleren.
Procesvarme til ovnen kommer fra kul, petcoke
samt alternativt brændsel, herunder affaldsproduk-
ter, tørret spildevandslam og kød- og benmel.
VARMEGENVINDING
Ved produktion af hvid cement er der i 2013 fra hvid
ovnproces genvundet varme, som er leveret til Aal-
borg Kommune, svarende til 21.500 husstandes år-
lige varmeforbrug.
FORMALING I CEMENTMØLLERI
Efter opbevaring i klinkerladen finmales klinkerne i
cementmølleriet med tilsætning af nogle få procent
gips for at fremstille de ønskede cementtyper.
PAKNING OG DISTRIBUTION
Cement bliver distribueret i sække eller som løs
vægt med tankbiler eller skibe.
ET KVALITETSPRODUKT
Det færdige resultat er cement, der er klar til at
indgå i store og små byggeprojekter i Danmark og
udlandet. Et kvalitetsprodukt, som anvendes i be-
ton, mørtel mv., og som overalt tilfører bygninger og
konstruktioner styrke, stabilitet og lang holdbarhed.
FRA RÅMATERIALER TIL CEMENT
1. Kridtgravemaskine
2. Sandsuger
3. Slemmetromle
4. Kridtslam
5. Sandmølle
6. Færdigslam
7. Cyklontårn
8. Elektrofilter
9. Rotérovn
10. Klinkerkøler
11. Elektrofilter
12. Klinkerlade
13. Gipslade
14. Cementmøller
15. Cementsiloer
1
3
4
6
2
5
7
10
9
8
11
12
13
14
15
6
PDF to HTML - Convert PDF files to HTML files
1375913_0009.png
PDF to HTML - Convert PDF files to HTML files
MILJØ- OG ENERGILEDELSE
På Aalborg Portland har vi et integreret system for
Procesledelse, som beskriver flowet og arbejds-
gangene i alle virksomhedens processer. Systemet
lever op til kravene i de standarder, som virksom-
heden er certificeret efter. Det drejer sig i øjeblik-
ket om følgende:
ISO 14001, EMAS III, ISO 50001, OHSAS 18001 og
Arbejdstilsynets bekendtgørelse nr. 87 , ISO 9001,
Søfartsstyrelsens tekniske forskrift nr. 6 af 9. ok-
tober 2002 vedr. bulkskibe, Sikkerhedsstyrelsens
retningslinjer for SikkerhedsKvalitetsStyring vedr.
elarbejde og -installation, Terrorsikring af havnefa-
ciliteter ISPS og DS/EN 197-1/-2 vedr. produktkvali-
tet af cement.
At systemet er et integreret system har betydning
for den enkelte medarbejder, idet der tænkes og
handles i ”processer”, uanset om det er miljø, ener-
gi, kvalitet eller arbejdsmiljø, det drejer sig om.
De gennemgående og bærende ledelsesmæssige
elementer i systemet er vision, politik, mål og hand-
lingsplaner.
LEDELSENS EVALUERING
Miljø- og energigruppen foretager løbende ledelses-
opfølgning på systemet for miljø- og energiledelse,
herunder fremdrift for aktiviteterne i den overord-
nede handlingsplan.
Evaluering af arbejdsmiljø er omtalt på side 32 un-
der afsnittet Arbejdsmiljø.
I oktober 2013 blev der afholdt målsætningssemi-
nar for 2014, hvor politik, mål og handlingsplaner for
miljø, klima og energi blev revurderet og fastsat.
Af væsentlige emner fra ledelsens evaluering i
marts 2014 kan følgende nævnes:
• Eksterne og interne auditorer har gennemført
audit og intern kontrol af den af Energistyrelsen
godkendte overvågningsplan 2013-2020 for CO
2
.
• Fabrikkens udledning af CO
2
for 2013 er verifice-
ret af Bureau Veritas Certification og dermed klar
til indberetning til kvoteregistret i marts 2014, så
kvoter svarende til udledningen kan returneres til
kvoteregistret senest ved udgangen af april 2014.
• I marts 2013 blev der gennemført ekstern verifika-
tion af EMAS-redegørelsen og i maj ekstern audit
af miljø- og energiledelsessystemet.
• Der er som led i opfølgningen på miljøledelses-
systemet afholdt tre møder i Miljø- og energigrup-
pen, inkl. to opfølgninger med status for de over-
ordnede mål for miljø og energi.
• Opfølgning og status for klima- og miljømål 2013
i den overordnede miljøhandlingsplan blev gen-
nemgået.
• Gennemgang af evaluering for afsluttet aftale om
energieffektivisering med Energistyrelsen for pe-
rioden 2013. Ny aftalemodel fra Energistyrelsen
afventes vedr. energieffektivisering og eventuelt
tilskud til betaling af PSO-afgiften.
INTERN AUDIT
At være certificeret forpligter. En af forpligtelserne
er at gennemføre intern audit af Procesledelse. Der
lægges vægt på, at auditprocessen og resultaterne
skal have værdi for virksomheden.
Forløbet af en audit er et samspil mellem Aalborg
Portlands enkelte afdelinger og det interne audit-
korps, som består af syv auditorer med forskellige
kompetencebaggrunde.
Årsplanen for intern audit sikrer, at vi med jævne og
planlagte intervaller gennemfører audit af, at Pro-
cesledelse:
• Er i overensstemmelse med det planlagte og aftalte.
• Lever op til kravene i standarderne.
• Er effektivt implementeret.
• Er vedligeholdt på alle niveauer i organisationen.
For alle gennemførte audits gælder, at afvigelser og
forbedringsforslag bliver fastholdt i handlingsplan,
og afvigelser registreres for videre behandling.
I 2013 har der ud over intern audit af CO
2
-overvåg-
ningsplanen og energiledelse været områdefokus
på virksomhedens vilkår i miljøgodkendelser, tilla-
delser og andre krav i afgørelser fra myndigheder.
Det drejer sig bl.a. om kontrol med lagerpladser for
råmaterialer og brændsler, fabrikkens deponi og
kridtgraven, herunder nyttiggørelsesanlæg i forbind-
else med efterbehandling.
De tre auditrunder i 2013 med fokus på specielt mil-
jøvilkår har givet god respons for at behandle rejste
afvigelser og sikre løbende forbedringer.
8
PDF to HTML - Convert PDF files to HTML files
1375913_0011.png
MILJØREDEGØRELSE 2013
DE VÆSENTLIGSTE MILJØPÅVIRKNINGER
Cementfremstilling er forbundet med et stort for-
brug af energi og råmaterialer. Produktionen giver
dermed anledning til en række direkte miljøpåvirk-
ninger i form af udledning af røggasser, affald, støj,
spildevand, mv. Herudover er der indirekte miljø-
påvirkninger uden for fabrikken fra transport samt
indvinding og oparbejdning af brændsler og råmate-
rialer samt elproduktion fra kraftværker.
Væsentlighedskriterier
Der er taget udgangspunkt i PRTR-forordningens li-
ste over forurenende stoffer og udledningstærskler
for rapportering til det europæiske register over
udledning og overførsel af forureningsstoffer (PR-
TR-registret). I arbejdet med miljø og energi er de
væsentligste direkte og indirekte miljøpåvirkninger
kortlagt og udvalgt efter følgende kriterier:
• Spredning af stoffer samt klima- og miljøeffekt.
• Store mængder og udgifter.
• Vilkår i miljøgodkendelser og hensyn til naboer.
• Ressourceoptimering af råstoffer.
• Aftage affaldsprodukter fra andre industrier.
• Potentiale for energibesparelser.
• Transport til og fra frabrikken.
• Produktudvikling – forskning i bæredygtig
produktion af cement og beton.
Aalborg Portland anser ikke lugt relevant for miljø-
rapporteringen pga. produktionsprocessens karak-
ter samt det faktum, at fabrikken er beliggende i
stor afstand fra de nærmeste naboer. Der foregår
ikke udledning til jorden.
Miljøgodkendelse
Miljøpåvirkningerne er reguleret i Aalborg Portlands
miljøgodkendelser og tilladelser, der omfatter vilkår
til driften, herunder:
• Emissionsvilkår for alle væsentlige kilder til
luftforurening, der omfatter ovne, cement- og
kulmøller, kølerskorsten samt kedelcentral.
• Vilkår for støj fra fabrikken.
• Krav til håndtering og indberetning af alvorlige
driftsforstyrrelser og uheld.
• Krav til drift af oplagspladser for råmaterialer
og brændsler.
• Krav til drift af fabrikkens deponi og
nyttiggørelsesanlæg.
• Udledning af processpildevand, kølevand,
regnvand, mv.
Overholdelse af kravene i godkendelsen samt det
daglige miljøarbejde på fabrikken er med til at sikre,
at der ikke er væsentlige gener forbundet med at
være nabo til fabrikken.
Miljø- og energiperformance
Som opfølgning på arbejdet med miljø og energi er
der bl.a. udvalgt væsentlige nøgleindikatorer for
grå og hvid produktion. Nøgleindikatorer er relative
tal, hvor forbrug og udledning er sat i forhold til
produktion.
Der henvises desuden til de relative tal i Stofstrøm-
men – nøgleindikatorer og status 2013, på side 22-
23, hvor udviklingen de seneste fem år er vist.
NØGLEINDIKATORER
Grå produktion
Energi
CO
2
NO
X
Hvid produktion
Energi
*
CO
2
*
NO
X
*
Enhed
2009
2010
2011
2012
2013
GJ/tTCE
Kg/tTCE
Kg/tTCE
4,43
745
2,14
5,07
809
0,97
4,61
792
0,64
4,29
764
0,63
4,28
760
0,58
GJ/tTCE
Kg/tTCE
Kg/tTCE
6,86
1.133
2,74
7,12
1.124
2,42
6,96
1.154
2,11
6,59
1.139
1,54
6,48
1.124
1,25
* Korrigeret for genvinding af varme, der fremstilles til Aalborg Kommunes fjernvarmenet.
Korrektion vedr. CO
2
og NO
X
er beregnet efter varmevirkningsgradsmetoden med 125% for fjernvarme.
9
PDF to HTML - Convert PDF files to HTML files
1375913_0012.png
DET RESSOURCEEFFEKTIVE SAMARBEJDE
Aalborg Portland omdanner affald og restproduk-
ter til cement og fjernvarme. Virksomheden arbej-
der på at fremme en bæredygtig udvikling ved at
basere store dele af cementproduktionen på gen-
anvendelse af stofstrømme fra samfund og industri
i et ressourceeffektivt samarbejde.
Affald og homogene biprodukter fra anden produk-
tion kan således genanvendes og nyttiggøres som
brændsel og råmaterialer ved fremstilling af cement.
Endvidere genvindes spildvarme fra røggassen til
Aalborg Kommunes fjernvarmenet, inden røggasen
ledes ud gennem skorstenene. Herved reduceres
den samlede miljøpåvirkning væsentligt.
Ved at genanvende og nyttiggøre brændsler og al-
ternative råmaterialer i cementproduktionen bliver
affald og biprodukter udnyttet fuldt ud. Alle bestand-
dele bruges, og der dannes ikke nye reststoffer. Høje
temperaturer og særlige procesforhold bevirker, at
cementovne er velegnede til at anvende alternative
brændsler og råmaterialer. Røggassen renses sam-
tidig effektivt i ovnsystemet, i røggasfiltre og røggas-
scrubbere, således at anvendelsen ikke øger forure-
ningen fra fabrikken.
Aalborg Portland har i 2013 anvendt 514.000 tons
alternative brændsler og råmaterialer til produk-
tion af 1,8 mio. tons cement, som erstatter en til-
svarende mængde råmaterialer og brændsler, som
ellers skulle have været indvundet i Danmark eller
i udlandet. Aalborg Portland har en årlig kapacitet
til at anvende 700.000 tons alternative brændsler og
råmaterialer.
Samfund og industri
Restprodukt
Cementfabrik
Cement og fjernvarme med
klima- og miljøforbedringer
• Genanvendelse af alternative
brændsler og råmaterialer
• Nyttiggøre affald fra anden
industriel produktion
• Lavere udledning af CO
2
og NO
X
• Færre endelige reststoffer og
mindre mængder af disse
• Lavere samlet miljøpåvirkning
Kraftværk
Sejlrender
Svovlsyre – fabrik
Genbrugspapir – fabrik
Genbrugsaluminium – fabrik
Biomassefyrede anlæg
Indsamlingsordninger
Daka Bio-Industries
Rensningsanlæg
Flyveaske og afsvovlingsgips
Sand
Kisaske
Papirslam
Aluminiumholdige biprodukter
Slagge
Industriaffald
Kød- og benmel
Tørret spildevandsslam
Forbrug af alternative
brændsler og råstoffer
10
PDF to HTML - Convert PDF files to HTML files
1375913_0013.png
MILJØREDEGØRELSE 2013
RÅMATERIALER
Ved fremstilling af cement anvendes råmaterialer
fra naturlige ressourcer, bl.a. kridt, sand og gips.
For at begrænse påvirkningen på de naturlige fore-
komster er der i 2013 erstattet 12% med alternative
råmaterialer, som udgør restprodukter og affald fra
anden industri og samfund, og som dermed bliver
nyttiggjort som en ressource.
Allerede for mere end 30 år siden begyndte Aalborg
Portland at bruge restproduktet flyveaske fra kraft-
værker. Siden er en række yderligere alternative rå-
materialer taget ind i produktionen.
SAND FRA SEJLRENDER
Sandsugere holder sejlrender ved Hals Barre og Løg-
stør Rende i Limfjorden fri til skibspassage, hvilket
er en samfundsinteresse, som cementfabrikken bi-
drager til løsningen af. Det oppumpede sand erstatter
sand fra grusgrave og skal ikke klappes i Kattegat,
hvorved det undgås at påvirke landskabelige interes-
ser og det marine miljø. Cementfabrikkens placering
ved Limfjorden giver samtidig en effektiv logistikløs-
ning, hvor sandsugerskibe lægger til og pumper san-
det i land i sættebassiner, hvor sandet afvandes.
AFSVOVLINGSGIPS
Ved fremstilling af cement tilsættes afsvovlings-
gips fra rensning af SO
2
i røggasser. Afsvovlingsgips
kommer fra egen og lokal produktion hos Nordjyl-
landsværket og erstatter udvinding af naturgips og
anhydrit fra Marokko og Canada. Herved begrænses
antallet af lange skibstransporter.
Det lokale samarbejde mellem Aalborg Portland og
Nordjyllandsværket er et godt eksempel på indu-
striel symbiose. Aalborg Portland leverer kridtslam
til svovlrensning på kraftværket og modtager efter-
følgende den producerede afsvovlingsgips.
Der er udviklet en speciel vogn til transporten, hvor-
ved en lastbil kan levere flydende kridtslam og have
gips med retur til cementfabrikken. Herved er antal-
let af kørte ture halveret.
FLYVEASKE
Siden 1970’erne har Aalborg Portland nyttiggjort
flyveaske, der fremkommer som et mineralprodukt
ved fremstilling af el- og varmeproduktion på kulfy-
rede kraftværker.
Ved fremstilling af cement erstatter flyveasken na-
turligt forekommende ler, der ellers skulle graves
op af den danske undergrund.
PAPIRSLAM
Restprodukt fra fremstilling af genbrugspapir. Der
har i 2013 været en nedgang i forbruget af pa-
pirslam, da Dalum Papir er lukket i Maglemølle ved
Næstved, hvor afsværtningen af returpapir foregik.
JERNOXID
Er et restprodukt fra fremstilling af svovlsyre. Pro-
duktet udgør en nødvendig jernkilde til fremstilling
af grå cement.
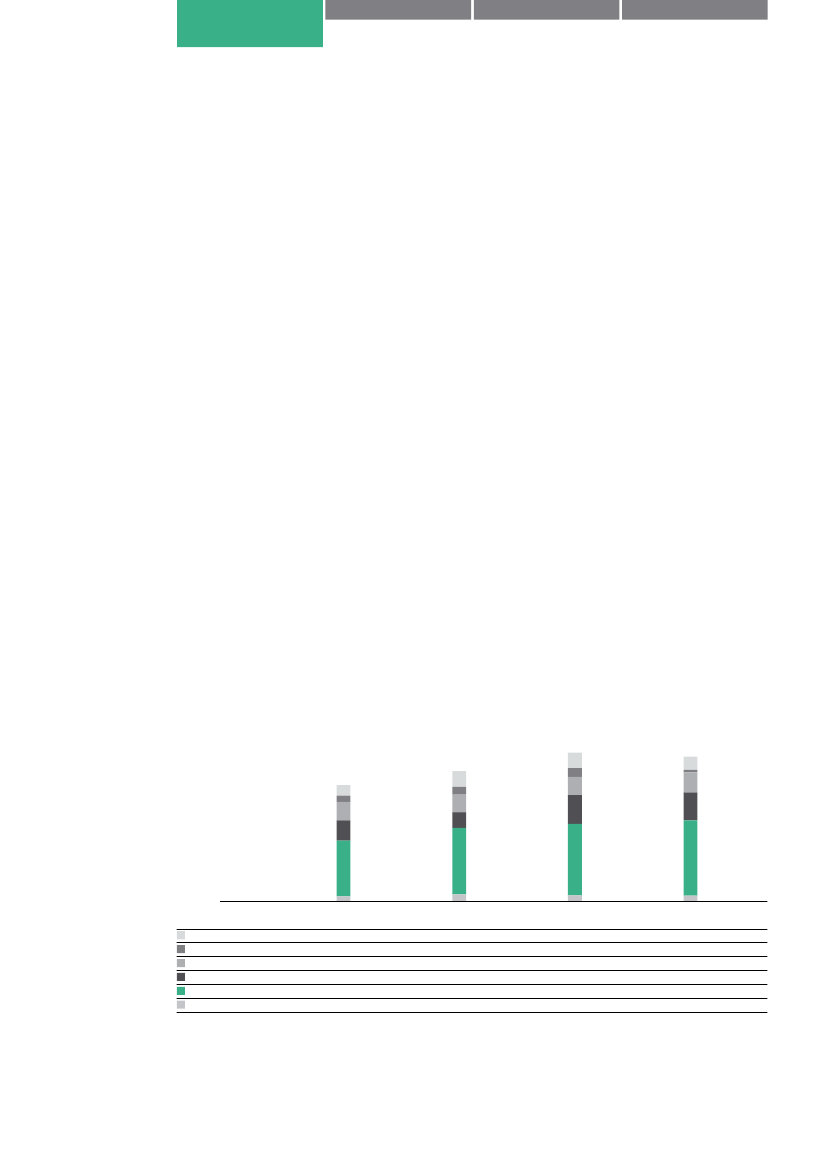
Alternative råmaterialer / tons - 2010-2013
400.000 –
300.000 –
200.000 –
100.000 –
0 –
2010
Jernoxid
Papirslam
Afsvovlingsgips
Sand
Flyveaske
Andet
30.182
17.897
52.407
57.728
158.949
15.318
2011
45.331
22.186
52.853
43.489
189.990
20.541
2012
44.728
24.845
55.022
81.311
204.148
18.027
2013
41.769
5.492
58.680
79.980
213.176
17.592
I 2013 er det hovedsageligt et mindre forbrug af papirslam, der har medvirket til, at det samlede forbrug af alternative råmaterialer er faldet.
Dalum Papir er lukket, og der forbruges fra det tilbageværende lager af papirslam hos Aalborg Portland.
11
PDF to HTML - Convert PDF files to HTML files
ENERGI
For at fremstille cement kræves en stor mængde
brændsel og elektricitet, som udgør energien i
fremstillingsprocessen.
Erstatning af fossilt brændsel, som kul og petcoke,
med alternativt brændsel er et indsatsområde, som
startede i begyndelsen af 1990’erne. I 2013 udgjorde
forbrug af de alternative brændsler energimæs-
sigt 32% i den grå cementproduktion og omfatter
brændbare affaldsprodukter.
AFFALD ER ENERGI
Nyttiggørelse af affald bidrager til et ressourceef-
fektivt samfund, hvor værdifuldt affaldsbrændsel
ikke går tabt i et deponi. I stedet nyttiggøres affaldet
som en ressource ved at erstatte kul og petcoke ved
cementfremstilling.
Der opstår ikke reststoffer i form af slagger som ved
forbrænding i et affaldsforbrændingsanlæg, da alle
inputmaterialer indgår i cementkemien og i det fær-
dige cementprodukt.
Affaldsbrændsel medvirker endvidere til, at udled-
ning af CO
2
, NO
X
, SO
2
, mv. i røggasserne reduceres,
og indhold af biomasse nyttiggøres og er til gavn for
den globale klimaindsats. Som eksempel regnes
kød- og benmel fuldt ud CO
2
-neutralt, og i blandet
industriaffald udgør andelen af biomasse-kulstof ty-
pisk 30-40% ved erstatning af de fossile brændsler.
TØRRET SPILDEVANDSSLAM
OG BILLIG FJERNVARME
Fra Aalborg Kommunes rensningsanlæg, modtages
tørret spildevandsslam som CO
2
-neutralt biobrænd-
sel til erstatning for fossilt kul og råmaterialer, og
cementfabrikken returnerer genvunden spildvarme
fra produktionen som billig fjernvarme til borgerne.
Spildvarmen udgør et væsentligt bidrag til fjern-
varmenettet, der svarer til det årlige forbrug i ca.
36.000 husstande ved maksimal cementproduktion.
Endvidere reduceres transport på motorvejen mel-
lem Renseanlæg Øst i Aalborg og Nordtyskland fra
800 km til 8 km, efter at Aalborg Portland igen har
opnået kontrakt fra 2012 på at aftage det tørrede
spildevandsslam fra Aalborg Kommune.
BRÆNDSELSFORBRUG
Der er sket et fald i det totale relative brændselsfor-
brug (GJ pr. tTCE) på over 9% i forhold til 2011, som
skyldes en række målrettede energitiltag i løbet af
2012 og 2013, hvilket giver årlige brændselsbespa-
relser på over 178 mio. kWh, der svarer til 44.500
husstandes årlige elforbrug.
Projekterne omfatter overgang til miniraliseret drift
på de hvide ovne med lettere brændelighed af råma-
terialer og mere stabil ovndrift til følge.
Endvidere er der i 2013 gennemført flg. brændsels-
besparende projekter på ovn 87:
• Udskiftning af køler har givet en mere effektiv
køling af cementklinkerne med en energibespa-
relse til følge.
• Reduceret energitab ved Avanceret proces-
kontrol-system.
• Optimering af startbrænder.
• Overskudsluft fra køler til kulmølle 4 og 5.
ELEKTRICITET
El er en forudsætning for at kunne drive en cement-
fabriks anlæg. I 2013 er der anvendt 241.742 MWh.
Elforbruget fordeler sig som vist i grafen på næste side.
De største forbrugssteder er ovne og cementmølleri.
Forbrug af elektricitet omfatter el til grundlast for
anlæggene, og et variabelt elforbrug, der afhænger
af størrelsen af produktion på hovedanlæg.
I 2009, hvor krisen for alvor satte sine spor, faldt pro-
duktionen og det variable elforbrug, men grundla-
sten til anlæggene faldt ikke tilsvarende, hvorfor det
samlede relative elforbrug begyndte at stige med et
maksimum i 2010.
Med en svagt stigende produktion i 2011, men også
ved en effektivisering og reduktion af både grundla-
sten og det variable forbrug, er det relative elforbrug
faldet 11% siden 2010.
BESPARELSE AF ENERGI
Aalborg Portland har i mange år arbejdet vedvaren-
de med at finde energibesparelser i cementfabrik-
kens el- og brændselsforbrug.
De seneste års indsats med ekstra fokus på energi-
effektivisering i det eksisterende produktionsanlæg
har bevirket, at der i perioden 2009 til 2013 er gen-
nemført projekter, som sikrer en energibesparelse
af elektricitet og brændsel på over 245 mio. kWh,
der svarer til det årlige elforbrug i 61.000 hustan-
de med fire personer, svarende til indbyggertallet i
Danmarks næststørste by Aarhus.
Besparelsesprojekter fra 2013 giver 76 mio. kWh som
årlige energibesparelser. Disse er oplistet som status
på side 26-27 under Miljø- og energimål – indsats og
resultater.
Et af projekterne omtales nærmere i det følgende. Det
blev gennemført i 2012 og er endeligt afsluttet i 2013
med dokumentation af en stor energibesparelse.
12
PDF to HTML - Convert PDF files to HTML files
1375913_0015.png
PDF to HTML - Convert PDF files to HTML files
1375913_0016.png
EMISSION TIL LUFTEN
På Aalborg Portland er der en del emissionskilder,
lige fra de store skorstene til mindre afkast som ud-
sug fra værksteder.
Samlet set er der omkring 400 afkast på virksomhe-
den, hvor det er nødvendigt at rense luften, hvilket
sker i forskellige typer filtre.
Der sker løbende registrering af indholdet i de stør-
ste af skorstene, idet der findes målere, der hele ti-
den måler indholdet af de pågældende stoffer.
Derudover udtages med jævne mellemrum stikprø-
ver af en række afkast. Disse stikprøver analyseres
for yderligere at dokumentere indholdet i afkastene.
Prøverne udtages og analyseres af et uvildigt akkre-
diteret laboratorium.
RØGGASSER
CO
2
Den relative CO
2
-udledning er faldet 1% i forhold til
2012 og 7,5% i forhold til 2010 primært som følge
af et mindre forbrug af brændsel ved gennemførsel
af forbedringsprojekter på ovn 87 og de hvide ovne.
NO
X
I perioden fra 2004-2007 er der udviklet og etableret
rensningsudstyr på alle ovne pga. skærpede emis-
sionskrav.
Som følge heraf er den relative udledning faldet 76%
i forhold til 2003. Alene i 2013 er der sket et fald på
11% ved kombination af optimeret NO
X
-rensning og
større forbrug af alternativt brændsel, der har en
NO
X
-reducerende virkning.
På de grå ovne reduceres NO
X
ved indsprøjtning af
ammoniakvand. Dette har siden 2011 medført en
stigning i udledningen af ammoniak (NH
3
). Græn-
seværdien i miljøgodkendelsen er fortsat overholdt.
SO
2
Den relative emission er faldet gennem årene, dog
er der sket en stigning i 2013. Dette skyldes primært,
at skrubberanlægget på ovn 76 har haft havari på to
ud af fem skrubberpumper på skift i løbet af 2013.
CO
Etablering af mixing air-anlæg til reduktion af NO
X
-
emission fra de hvide ovne betyder, at der køres tæt-
tere på grænsen for dannelse af CO, hvilket er årsag
til, at det relative CO-niveau er steget.
Støv
Den relative emission er steget i forhold til 2012 og
kan som hovedkilde henføres til støvemission fra
ovn 87’s køler, hvor støvkoncentrationen som gen-
nemsnitligt døgnniveau over året lå lavt på 0,01 mg/
Nm
3
i 2012 stigende til 4,4 mg/Nm
3
i 2013. Grænse-
værdikravet for kølerskorstenen er 30 mg/Nm
3
.
Henvendelser vedr. støvudslip pga. driftsforstyrrel-
ser er beskrevet på side 30.
EMISSIONSKRAV
Miljøgodkendelsen fra 2009, der senest er ændret i
oktober 2012 i forhold til BAT-krav med skærpede
emissionskrav til ovne, indeholder bl.a. krav til drift
og grænseværdier.
I løbet af 2013 har der været 14 overskridelser af
døgnmiddelkravene for NO
X
, CO og støv. Disse er
indberettet via månedlig rapportering til Miljøstyrel-
sen – Virksomheder, Aarhus.
Af tabellen på næste side fremgår de fem væsent-
ligste kilder til luftforurening, kravene til dem samt
Aalborg Portlands nuværende gennemsnitlige
emissionsniveau.
NO
X
-, SO
2
- og støvemission opgøres ved et gennem-
snit af kontinuerlige registreringer.
Aalborg Portlands krav er gældende som døgnmid-
delværdier.
Der er for overskuelighedens skyld i præsentationen
angivet gennemsnitligt døgnniveau over året.
14
PDF to HTML - Convert PDF files to HTML files
1375913_0017.png
MILJØREDEGØRELSE 2013
Luftemissioner - CO
2
og NO
X
CO
2
- absolutte tal - tons
2.000.000 –
NO
X
- absolutte tal - tons
4.000 –
1.500.000 –
3.000 –
CO
2
2009
1.513.917
1.420.067
1.683.864
1.658.029
1.647.199
NO
X
3.881
2.153
1.945
1.621
1.401
1.000.000 –
2.000 –
2010
2011
500.000 –
1.000 –
2012
2013
0 –
0 –
2009
2010
2011
2012
2013
2009
2010
2011
2012
2013
CO
2
- relative tal - kg pr. ton TCE
1.000 –
NO
X
- relative tal - kg pr. ton TCE
3,0 –
2,5 –
950 –
2,0 –
900 –
1,5 –
1,0 –
850 –
0,5 –
800 –
0 –
CO
2
2009
2010
2011
2012
2013
910,3
976,6
953,2
911,9
902,5
NO
X
2,3
1,5
1,1
0,9
0,8
2009
2010
2011
2012
2013
2009
2010
2011
2012
2013
Krav og emissioner under drift – de fem væsentligste kilder
Alle værdier er angivet som mg/Nm
3
tør røggas ved 10% iltindhold
NO
X
Krav
*
Varmegenvinding ovn 73/79
Varmegenvinding ovn 74/78
Varmegenvinding ovn 76
Ovn 85
Ovn 87
*
SO
2
Krav
*
375
425
250
500
10
Gennemsnitligt
niveau 2013
**
14
210
126
71
***
0,15
Krav
*
25
25
25
35
25
Støv
Gennemsnitligt
niveau 2013
**
0,06
3,00
0,11
11
***
10
Gennemsnitligt
niveau 2013
**
270
230
95
797
***
168
550
650
500
750
400
Døgnmiddelværdi i henhold til gældende miljøgodkendelse 2012
Gennemsnitlig døgnmiddelværdi over året
***
Data vedrører 2009. For NO
X
var grænseværdikravet 800 mg/Nm
3
**
15
PDF to HTML - Convert PDF files to HTML files
1375913_0018.png
STØJ
Støjen fra Aalborg Portland stammer fra en lang
række stationære støjkilder, der er placeret både in-
ternt i bygninger og eksternt på virksomhedens om-
råde samt fra intern trafik på virksomheden.
Støjkilderne omfatter eksempelvis skorstene, ovne,
cement- og kulmøller, transportbånd, ventilatorer,
skibe ved kaj, lastbiler og aktiviteter i forbindelse med
indvinding og efterbehandling i kridtgraven.
Der blev i 2006 gennemført en kortlægning af den
eksterne støj fra Aalborg Portland. Alle støjkilders
placering er bestemt ved hjælp af GPS-udstyr, hvilket
har forbedret datagrundlaget bag støjberegningerne.
Den seneste opdatering af støjkortlægningen er fra
2012 i forbindelse med VVM af fabrik og kridtgrav.
Resultatet af støjberegningen med samtidig fuld drift
på alle anlæg (worst case situation) viser, at grænse-
værdier for støj er overholdt i alle omkringliggende
målepunkter i henhold til miljøgodkendelsen.
Støjbidraget fra fabrikken er vurderet reelt til at være
mindre end det maksimalt beregnede pga. sjældent
sammenfald af drift på alle maskiner og fortsat lavt
produktionsniveau siden krisens start i 2009.
I 2013 er etablering af en støjvold påbegyndt i det
sydøstlige hjørne af kridtgraven i retning mod nord,
således at aktiviteterne i kridtgraven afskærmes mod
landsbyen Øster Uttrup.
På dybdegravemaskinen har der været gjort forsøg
med dæmpning af støj fra spandekæden ved afkast
af opgravet kridt til transportbånd. Den endelige løs-
ning er endnu ikke fundet og implementeret, da der
er store kræfter på spil, som stiller krav til holdbar-
heden af dæmpningsmateriale, som påvirkes kraftigt
ved kridtafkast.
Støjudbredelsen i dB(A), beregnet for forholdene om aftenen
52 dB(A)
50 dB(A)
48 dB(A)
35 dB(A)
40 dB(A)
46 dB(A)
STØJ I BYOMRÅDER
I juni 2013 har Miljøstyrelsen Aarhus afsluttet støj-
kortlægning og støjhandlingsplan for Aalborg Port-
land i relation til det nærtliggende byområde Sølyst.
Miljøstyrelsen vurderer, at den hidtidige strategi for
reduktion af støj fra virksomheden skal fortsætte.
Det vil sige, at støjgrænserne ikke umiddelbart skal
skærpes, men at der fortsat skal være fokus på mu-
ligheder for reduktion af støjen.
Aalborg Portland arbejder løbende med at finde nye
muligheder for at reducere støj fra anlæggene.
Etablering af støjvold i kridtgraven ved Øster Uttrup
16
PDF to HTML - Convert PDF files to HTML files
1375913_0019.png
MILJØREDEGØRELSE 2013
VAND
Ved fremstilling af cement indgår vand i de forskel-
lige processer og til køling af produktionsanlæg.
Aalborg Portland får teknisk vand til produktionsfor-
mål fra egne boringer i et kalkmagasin, der ligger
uden for områder med særlige drikkevandsinteres-
ser. En række løsninger for ledningsnettet og for at
begrænse vandforbruget er gennemført igennem
årene og er omtalt nedenfor.
Aalborg Portland har tilladelse til samlet at indvinde
5,2 mio. m
3
om året. I 2013 blev der indvundet 3,8
mio. m
3
som ækvivalent belastning af vandressour-
cen. Heri indgår 1,2 mio. m
3
vand fra udgravet kridt
under vandspejlet med dybdegravemaskine i kridt-
graven.
Af de resterende mængder på 2,6 mio. m
3
kommer
1,7 mio. m
3
fra femten boringer på eget område tæt
ved cementfabrikken og 0,9 mio. m
3
fra grundvands-
sænkning omkring ovn 76 og ovn 85.
Det relative vandforbrug er faldet 9% i forhold til
2012, hvilket primært skyldes et mindre behov for
grundvandssænkning.
KØLING FRA GRUNDVANDSSÆNKNING
Den lokale sænkning af grundvandsspejlet har
gennem årene vist sig at være en effektiv løsning
for at holde underjordiske kældre, gange og trans-
portsystemer tørre i fabriksområdet. Samtidig gen-
anvendes mere end 800.000 m
3
af vandet til køling
af fabrikkens kompressorcentral, som ellers skulle
have tilført kølevand i form af grundvand udeluk-
kende til formålet.
OPDELT VANDSYSTEM
Efter en forurening af drikkevandet med bakterier
i 1998 blev ledningsnettet opdelt i et drikkevands-
og et teknisk vandsystem. Teknisk vand bruges til
produktionsformål. I 2013 er drikkevandsnettet for-
synet fra Aalborg Kommune, da der blev konstate-
ret rest af sprøjtemiddel i to af Aalborg Portlands
drikkevandsboringer. I begge boringer ses faldende
tendens mod drikkevandskravet på max. 0,1 μg/liter.
RECIRKULATION AF FILTRATVAND
Filtratvand opstår i varmegenvindings- og afsvov-
lingsanlægget ved produktion af gips for at rense for
SO
2
i røggasserne. Til og med 2004 blev filtratvand
bortledt til Limfjorden.
Samtidig var grænsen for indvinding af vand på 5,2
mio. m
3
ved at være nået pga. højt produktionsniveau.
Den effektive løsning blev og er fortsat, at filtrat-
vand recirkuleres til forbrugssteder i cementpro-
duktionen. Herved blev der i 2005 erstattet 460.000
m
3
teknisk vand, som ellers skulle pumpes op fra
vandressourcen, og samtidig ophørte den tilsvaren-
de bortledning til fjorden. En god win-win situation,
som i 2007 nåede op på 520.000 m
3
med høj pro-
duktion, men som er faldet til 249.000 m
3
ved lavere
produktion i 2013.
AFVÆRGEBORINGER MOD FORURENING
Der blev i 2007 etableret tre afværgeboringer til sik-
ring af fabrikkens vandforsyning mod vand forure-
net med tri- og tetrachlormethan, der stammer fra
de arealer, som Forsvaret har haft lejet af Aalborg
Portland. Det forurenede vand anvendes til teknisk
vandforbrug på fabrikken. Allerede i 2008 kunne en
stor effekt af afværgeboringerne ses.
I 2013 fortsætter afværgepumpningen, da tetra-
chlormethan i afværgeboringerne stadig ligger over
drikkevandskravet på 1 μg/liter,
OVERFLADEVAND OPSAMLES
Der blev i 2013 opsamlet ca. 10.000 m
3
overflade-
vand fra lagerplads ved slemmeriet, som indgik
i fremstilling af slam. Herved blev indvindingen af
teknisk vand tilsvarende aflastet.
OVERVÅGNINGSPROGRAM
Siden 1991 har et eksternt firma hvert år gennem-
ført en række hydrogeologiske målinger og analyser
af vandkvaliteten. Løbende rapportering giver over-
blik over udviklingen. Herved opnås en effektiv sik-
ring og udnyttelse af vandressourcen.
OVERFLADEVAND OG SPILDEVAND
Aalborg Portland udleder spildevand til den offentli-
ge kloak. Overfladevand og kølevand udledes direkte
til Limfjorden. Spildevand afledt til den offentlige
kloak passerer det offentlige rensningsanlæg forin-
den udledning til Limfjorden.
Spildevand og overfladevand, der kan indeholde mi-
neralske olier og sand, passerer sandfang og olie-
udskilleranlæg på fabrikkens område.
17
PDF to HTML - Convert PDF files to HTML files
1375913_0020.png
AFFALD OG RESTPRODUKTER
Affald sorteres tæt på kilden i containere samt olie-
og kemikaliestationer rundt om på fabrikken. Affaldet
nyttiggøres til genanvendelse og forbrænding i hen-
hold til Aalborg Kommunes affaldsregulativer eller
bortskaffes til deponering på fabrikkens deponi.
Mere end 98% er ikke-farligt affald, og resten er ka-
rakteriseret som farligt i form af olie- og kemikalie-
affald og blandet affald til eksternt deponi.
AFFALDSSTRATEGI FØRT UD I LIVET
I 2013 er der hos Aalborg Portland sket et markant
skift fra deponering til mere genanvendelse. Affald
til eget deponi er således reduceret med 69%. Den-
ne udvikling er beskrevet på side 20.
Affald - fra deponering til genanvendelse - tons
30.000 –
25.000 –
20.000 –
15.000 –
10.000 –
5.000 –
0 –
2011
Genanvendelse
Deponering
2.732
27.230
2012
2.209
23.117
2013
20.113
7.683
AFFALD
– mængde i tons
TOTAL AFFALD
NYTTIGGØRELSE AF IKKE-FARLIGT
AFFALD
Genanvendelse
Mikcrofiller fra ovne
Opfejningsmateriale
Sand og ristestof
Bygge- og anlægsaffald
Jern og metal
Papir og pap
Glas
Plast
Elektronikskrot
Andet genanvendeligt
Forbrænding
Blandet brændbart
Dagrenovation
NYTTIGGØRELSE AF FARLIGT AFFALD
Olie
Kemikalier
BORTSKAFFELSE AF IKKE-FARLIGT AFFALD
Fabrikkens deponi
BORTSKAFFELSE AF FARLIGT AFFALD
Eksternt deponi
2009
23.714
4.297
3.800
-
-
2.441
499
634
4
-
-
3
219
497
471
26
274
271
3
2010
28.937
4.250
3.670
-
-
2.366
222
662
11
-
-
5
404
580
561
19
125
124,3
0,4
2011
30.256
2.888
2.732
-
-
1.187
173
1.148
4
0,5
23
0,02
196
156
141
16
138
134
4
2012
25.655
2.432
2.209
-
-
1.079
37
610
15
-
4
6
458
223
209
14
106
102,5
3,5
2013
28.052
20.307
20.113
16.235
1.403
235
92
555
13
0,2
703
0
876
194
180
14
62
55,2
7,0
19.109
24.464
27.221
23.094
7.210
34
98
9
23
473
18
PDF to HTML - Convert PDF files to HTML files
1375913_0021.png
MILJØREDEGØRELSE 2013
AREALFORBRUG OG BIODIVERSITET
Biodiversitet betyder variation eller mangfoldighed
i naturen.
Arealer, der er anvendt til produktions- og bygnings-
anlæg samt til lagre og deponi, har således betyd-
ning for biodiversiteten på de arealer, som Aalborg
Portland ejer i Rørdal-området.
Arealanvendelsen fordeler sig således:
Ud af 1.200 ha i området er 197 ha anvendt i forbindel-
se med fremstilling af cement. De resterende arealer
på 1.003 ha omfatter en mosaik af søer, skove, enge,
strandsumpe samt brak- og landbrugsarealer, hvilket
svarer til, at der på 84% af Aalborg Portlands arealer
er god forudsætning for mangfoldighed i naturen.
Kridtgraven
Tegnforklaring
Gravegrænse
Råstofgraveområde
Aalborg
Portland
Aalborg Portland ejer i Rørdal-området (ha)
Fabrikkens område
Kridtgrav – aktivt brud
Deponi
Kisaskeanlæg
Arealforbrug i alt
1.200
120
61
12
4
197
FOKUS PÅ KRIDTGRAVEN
– RÅSTOFTILLADELSE
Kridtgraven er beliggende tæt ved fabrikken og vil
efter fuld udnyttelse have et areal på ca. 240 ha. En
væsentlig del af kridtgraven vil være søen med den
specielle azurblå farve, som kendetegner søer ud-
gravet i kridtholdige materialer.
Aalborg Portland har tilladelse til at grave kridt i
Rørdal-området inden for det udlagte råstofgrave-
område i Råstofplan for Region Nordjylland. Indvin-
ding er tilladt de næste 38 år indtil 2052, hvor grav-
ning i kridtgraven forventes at være afsluttet.
Aalborg Kommune har den 8. november 2012 med-
delt fortsat råstoftilladelse efter endt offentlig høring
uden indsigelse og efter forudgående VVM-proces.
EFTERBEHANDLINGSPLAN FOR KRIDTGRAVEN
Ideen med efterbehandlingsplanen er, at kridtgra-
ven skal udvikle sig til et rekreativt område, hvor
der kan dyrkes en række rekreative og sportslige
aktiviteter. Her tænkes på, at søen kan udnyttes til
sejlads, vandski, sportsdykning og badning. Områ-
derne omkring søen kan tænkes at blive anvendt til
hanggliding, kørsel med mountainbike, løb, vandre-
ture og lignende aktiviteter.
Grundprincippet i efterbehandlingen er, at de stej-
le skråninger i yderområderne af kridtgraven mod
især vest og nord samt arealerne tæt ved søen vil
henstå uden yderligere behandling. Kalken vil derfor
stå blottet, hvorfor der med tiden vil indvandre en
speciel vegetation, som er karakteristisk for kalk-
holdige områder.
I to afgrænsede områder (etape 1 og etape 2) kan
der etableres volde og terrasser som såkaldte nyt-
tiggørelsesanlæg i kridtgraven – læs mere herom på
side 20-21.
19
PDF to HTML - Convert PDF files to HTML files
1375913_0022.png
NYTTIGGØRELSE I KRIDTGRAVEN
– GENANVENDELSE AF RESTPRODUKT
I 2013 er projektet med at bruge restproduktet mi-
crofilller fra ovnene til efterbehandling i kridtgraven
kommet godt fra start. Aalborg Portlands affalds-
statistik viser, at udviklingen i affaldsmængderne
til deponering er faldet markant, og tilsvarende er
nyttiggørelse steget med næsten 18.000 tons i 2013.
At genanvende affald er i overensstemmelse med
Regeringens ressourcepolitik, hvorved naturlige rå-
varer erstattes af nyttigt affald. Samtidig bliver be-
hovet for at finde kapacitet til nye offentlige deponier
mindre.
Med tiden vil kridtgraven fremstå mere spændende
med volde og terrasser, hvor den lokale befolkning
i et bynært rekreativt område med kridtsøen, ”Rør-
dal Søpark”, vil kunne udøve en række fritids- og
sportsaktiviteter.
Projektet er i overensstemmelse med kommune-
plantillæg med VVM-redegørelse og efterbehand-
lingsplan for kridtgraven, og giver mulighed for at
etablere volde og terrasser med indbygget mikrofill-
er som såkaldte nyttiggørelsesanlæg (etaper 1 og 2).
Miljøstyrelsen har udstedt en miljøgodkendelse for
begge etaper, og da betingelserne i godkendelsen er
opfyldt, er projektet nu startet.
Etape 1 af efterbehandlingen består af en vold i den
nordlige del af kridtgraven, hvor mikrofiller indbyg-
ges bag afgrænsende jordvolde i seks lag, jf. figur
på side 21.
Når mikrofilleren er udlagt (60.000 m
3
) slutafdæk-
kes med muld, og der sås græs. Træer kan også
plantes for at skabe variation i det rekreative om-
råde. Sammen med etape 2 (200.000 m
3
) vil mikro-
filler kunne nyttiggøres til landskabsmodulering i de
næste 10 år.
I samme VVM-proces har Aalborg Portland fået ind-
vindingstilladelse til at grave kridt fra den eksiste-
rende kridtgrav indtil 2052.
20
PDF to HTML - Convert PDF files to HTML files
1375913_0023.png
PDF to HTML - Convert PDF files to HTML files
1375913_0024.png
STOFSTRØMMEN
Nøgleindikatorer og status 2013 – Cementfabrikken i Aalborg
Stofstrømmen er angivet både med absolutte tal og
relative værdier som nøgleindikatorer.
De absolutte mængder er opgjort som ton i våd til-
stand. Ved de relative værdier er der taget udgangs-
punkt i materialer i våd tilstand (kg) til produktion af
1 ton Total Cement Equivalent – forkortet tTCE, som
er en standardenhed for produktion. Denne frem-
kommer ved beregning af den ækvivalente cement-
tonnage, hvis alle klinker var forarbejdet til cement.
De relative værdier giver således mulighed for at
sammenligne stofstrømmen år for år uafhængigt af
eventuelle variationer i cementproduktionens stør-
relse, bevægelser i klinkerlager og salg af klinker.
IND
FORBRÆNDINGSLUFT
(O2, N mv.)
RÅMATERIALER
Kridt
Vand
Sand
Gips
Andet
Emballage
Absolutte tal – tons
*
2009
2010
2011
2012
2013
2009
Relative tal – kg
*
/ tTCE
2010
2011
2012
2013
539.210
454.032
570.452
557.128
543.819
324,2
312,3
322,9
306,4
298,0
2.615.372
2.664.025
111.416
32.951
24.568
1.169
2.400.904
2.688.259
110.626
21.646
31.253
1.091
2.937.540
3.057.496
128.047
31.469
29.885
1.101
2.939.060
3.052.623
106.838
32.769
39.442
1.003
2.963.408
2.782.798
107.246
29.778
27.013
1.027
1.572,6
1.601,8
67,0
19,8
14,8
0,7
1.651,2
1.848,8
76,1
14,9
21,5
0,8
1.662,9
1.730,8
72,5
17,8
16,9
0,6
1.616,4
1.678,8
58,8
18,0
21,7
0,6
1.623,7
1.524,7
58,8
16,3
14,8
0,6
GENANVENDELSESMATERIALER
Flyveaske
186.721
**
62.742
Sand
Afsvovlingsgips
25.201
Papirslam
25.619
Jernoxid
32.374
Andet
33.143
Total
365.800
BRÆNDSLER
Kul
Petcoke
Fuelolie
Alternative
Total
158.949
57.728
52.407
17.897
30.182
15.318
332.481
189.990
43.489
52.853
22.186
45.331
20.541
374.390
204.148
81.311
55.022
24.845
44.728
18.027
428.081
213.176
79.980
58.680
5.492
41.769
17.592
416.689
112,3
37,7
15,2
15,4
19,5
19,9
220,0
109,3
39,7
36,0
12,3
20,8
10,5
228,6
107,5
24,6
29,9
12,6
25,7
11,6
211,9
112,3
44,7
30,3
13,7
24,6
9,9
235,5
116,8
43,8
32,2
3,0
22,9
9,6
228,3
45.713
186.145
6.239
88.552
326.649
(MWh)
78.285
161.393
8.435
68.080
316.193
(MWh)
54.679
204.211
7.222
83.022
349.133
(MWh)
36.150
213.894
5.615
81.899
337.558
(MWh)
46.265
191.767
4.689
97.250
339.972
(MWh)
27,5
111,9
3,8
53,2
196,4
(kWh/tTCE)
53,8
111,0
5,8
46,8
217,4
(kWh/tTCE)
31,0
115,6
4,1
47,0
197,7
(kWh/tTCE)
19,9
117,6
3,1
45,0
185,6
(kWh/tTCE)
25,3
105,1
2,6
53,3
186,3
(kWh/tTCE)
EL
224.528
216.419
249.188
247.241
241.742
135,0
148,8
141,1
136,0
132,5
INTERN RECIRKULATION
Microfiller
Vand
Egen afsvovlingsgips
Genbrug af klinker/råmel
Genbrug af cement
fra silorensning
Fjernvarme fra
varmegenvinding
122.810
332.336
24.366
33.229
736
26.779
(GJ)
95.768
301.468
29.947
14.715
1.311
28.992
(GJ)
110.453
323.654
22.969
30.749
609
21.055
(GJ)
107.376
242.299
27.190
17.253
268
24.278
(GJ)
115.816
249.433
29.641
21.287
753
21.197
(GJ)
73,8
199,8
14,7
20,0
0,4
(MJ/tTCE)
65,9
207,3
20,6
10,1
0,9
(MJ/tTCE)
62,5
183,2
13,0
17,4
0,3
(MJ/tTCE)
59,1
133,3
15,0
9,5
0,1
(MJ/tTCE)
63,5
136,7
16,2
11,7
0,4
(MJ/tTCE)
16,1
19,9
11,9
13,4
11,6
* Opgjort med materialers indhold af vand. ** Genanvendt sand er rettet til våde tons, da tidligere års værdier var anført i tør tilstand.
22
PDF to HTML - Convert PDF files to HTML files
1375913_0025.png
MILJØREDEGØRELSE 2013
UD
RØGGASSER
CO
2
NO
X
SO
2
CO
Støv
NH
3
HCl
Hg
PRODUKTER
Cement
Klinker
***
Filler
***
Kridtslam til
Nordjyllandsværket
Total
Korrektion
Total Cement Equivalent
Emballage
VAND
Vanddamp
Kølevand, inkl.
ovn 85-grundvand
Grundvandssænkning
(ovn 76)
Spildevand
VARMEGENVINDING
TIL FJERNVARME
AFFALD
****
Genanvendelse
Forbrænding
Deponering
Olie- og kemikalieaffald
Total
*** Omfatter salg og lagerforskydning.
Absolutte tal – tons
*
2009
2010
2011
2012
2013
2009
Relative tal – kg
*
/ tTCE
2010
2011
2012
2013
1.513.917
3.881
877
1.244
69
-
10
0,07
1.420.067
2.153
680
1.113
35
-
13
0,03
1.683.864
1.945
620
1.068
52
18
5
0,02
1.658.029
1.621
504
1.372
62
28
2
0,01
1.647.199
1.401
587
1.678
81
38
2
0,04
910,3
2,3
0,53
0,75
0,04
-
0,006
0,000045
976,6
1,5
0,47
0,77
0,02
-
0,009
0,000022
953,2
1,1
0,35
0,60
0,03
0,01
0,003
0,000010
911,9
0,9
0,28
0,75
0,03
0,02
0,001
0,000004
902,5
0,8
0,32
0,92
0,04
0,02
0,001
0,000020
1.575.211
76.267
1.881
13.847
1.667.206
-
1.663.126
1.169
1.553.003
-87.935
-149
16.203
1.481.122
-
1.454.043
1.091
1.810.647
-32.514
2.373
10.230
1.790.736
-
1.766.561
1.101
1.798.013
19.591
2.016
4.358
1.823.978
-
1.818.293
1.003
1.796.553
12.839
1.026
10.109
1.820.528
-
1.825.146
1.027
947,1
45,9
1,1
8,3
1.002,4
-2,4
1.000,0
0,7
1.068,1
-60,5
-0,1
11,1
1.018,6
-18,6
1.000,0
0,8
1.025,0
-18,4
1,3
5,8
1.013,7
-13,7
1.000,0
0,6
988,8
10,8
1,1
2,4
1.003,1
-3,1
1.000,0
0,6
984,3
7,0
0,6
5,5
997,4
2,6
1.000,0
0,6
984.264
2.311.365
135.067
38.377
(GJ)
1.149.406
2.086.319
157.937
27.612
(GJ)
1.361.524
2.256.291
313.446
38.588
(GJ)
1.317.884
2.358.260
272.284
33.820
(GJ)
1.371.187
2.216.054
96.102
27.813
(GJ)
591,8
1.389,8
81,2
23,1
(MJ/tTCE)
790,5
1.434,8
108,6
19,0
(MJ/tTCE)
770,7
1.277,2
177,4
21,8
(MJ/tTCE)
724,8
1.297,0
149,7
18,6
(MJ/tTCE)
751,3
1.214,2
52,7
15,2
(MJ/tTCE)
1.139.729
1.177.344
1.204.501
1.045.751
1.072.975
685,3
809,7
681,8
575,1
587,9
3.800
497
19.143
274
23.714
3.670
580
24.562
125
28.937
2.732
156
27.230
138
30.256
2.209
223
23.117
106
25.655
20.113
194
7.683
62
28.052
2,3
0,3
11,5
0,2
14,3
2,5
0,4
16,9
0,1
19,9
1,5
0,1
15,4
0,1
17,1
1,2
0,1
12,7
0,1
14,1
11,0
0,1
4,2
0
15,3
**** Affaldsmængder er fordelt som farligt og ikke-farligt affald på side 18, med angivelse af om affaldet nyttiggøres eller bortskaffes.
23
PDF to HTML - Convert PDF files to HTML files
1375913_0026.png
INVESTERINGER I KLIMA-
OG MILJØFORBEDRINGER
Aalborg Portland har løbende foretaget store in-
vesteringer i klima- og miljøforbedringer samt i
arbejdsmiljø. I perioden fra 2009-2013 er der i alt
investeret DKK 153,3 mio. i mange forskellige mil-
jøteknologiske forbedringsprojekter.
I 2013 har Aalborg Portland i alt investeret DKK 45,1
mio. i klima- og miljøforbedringer, herunder ener-
gibesparende projekter samt i forebyggende sikker-
hed og arbejdsmiljø.
Investeringsprojekter i 2013 er bl.a.:
• Afslutning af udskiftning til mere energieffektiv
klinkerkøler for ovn 87.
• Udskiftning til energieffektive røggasventilatorer
på ovn 87.
• Reduktion af trykluftforbrug – bl.a. ved at erstatte
opluftning i siloer med mekanisk omrøring.
• Udskiftning til LED-belysning på havnen og i
slemmeri.
• Omlægning af el-varme til intern fjernvarme
på havnen.
• Minimering af dampforbrug til intern
varmeproduktion.
• Opstart af Avanceret proceskontrol-system
for cementmølle 7/10 og cementmølle 2.
• Forebyggende sikkerhed ved gennemgang
og udskiftning af gelændere og riste.
Herudover omfatter investering i miljøteknologiske
forbedringer også:
• Nye forbrugsmaterialer i form af alternative
råmaterialer og brændsler, som er nærmere
omtalt på side 11-13.
• Mere miljøvenlige produkter, som indgår i forsk-
ningsprojekter for at udvikle fremtidens cement,
hvilket sker i samarbejde med universiteter og
andre vidensinstitutioner – læs mere herom på
side 7.
Aalborg Portland planlægger fortsat tiltag, som vil
reducere forbrugs- og emissionsniveauerne, og
som vil have en afsmittende positiv miljøeffekt. Dis-
se tiltag styres af miljøhandlingsplanen, hvor mål,
indsats og resultater er vist på side 26-27.
FOREBYGGENDE VEDLIGEHOLDELSE
Vedligeholdelse af produktionsanlæg beløb sig i
2013 til i alt DKK 23,9 mio. Forebyggende vedlige-
holdelse har effekt på fx støvemission ved at filtre
udskiftes, og på energiforbrug ved at indtrængen af
falsk luft fra utætheder i ovnsystemet begrænses.
Endvidere er der stor fokus på produktionssikker-
hed for at nå de fastlagte mål – fx ved at foringssten
i ovne bliver udskiftet efter behov, så der opstår fær-
rest mulige uplanlagte ovnstop.
Indsatsen medfører en stabil og optimal drift af pro-
duktionsanlæg og renseforanstaltninger, hvorved
også miljøpåvirkningerne minimeres.
Investeringer i klima- og miljøforbedringer - DKK mio.
50 –
40 –
30 –
20 –
10 –
0 –
2009
2010
2011
2012
2013
24
PDF to HTML - Convert PDF files to HTML files
1375913_0027.png
PDF to HTML - Convert PDF files to HTML files
1375913_0028.png
MILJØ-
OG ENERGIMÅL – INDSATS OG RESULTATER
MÅL 2013
ELBESPARELSE
– strategi 2011-2015
Fortsat fokus på at reducere elgrundlast og på
elbesparende tiltag.
Fortsat fokus på at reducere elgrundlast og på
elbesparende tiltag.
STATUS 2013
MÅL 2014
I 2013 er målet at gennemføre elbesparende til-
tag herunder for udstyr, der er grundlastbaseret,
for at opnå årlige elbesparelser på 2.500 MWh.
Målet er nået. Der er gennemført følgende pro-
jekter, der giver årlige elbesparelser på 3.421
MWh:
• 450 MWh – Udskiftning til energieffektive røg-
gasventilatorer på ovn 87.
• 1.193 MWh – Reduktion af trykluftforbrug til fire
forskellige forbrugssteder – bl.a. ved at erstatte
opluftning i siloer med mekaniske omrøring.
• 377 MWh – Udskiftning til LED-belysning på
havnen og i slemmeri.
• 1.401 MWh – Omlægning af el-varme til fjern-
varme på havnen.
I 2014 er målet at gennemføre elbesparende tiltag,
herunder for udstyr, der er grundlastbaseret for at
opnå årlige elbesparelser på 3.100 MWh.
Følgende projekter gennemføres:
• Avanceret proces-kontrolsystem for cement-
møllerne CM 2 og CM 7/10.
• To-strengsdrift ved SK7-produktion i stedet for
en-strengsdrift.
Målsætningen i 2015 er at reducere det specifikke
variable elforbrug med 7% i forhold til 118 kWh/
ton TCE i 2010.
Målet er nået, da det specifikke variable elforbrug
er reduceret til 108 kWh/ton TCE, svarende til en
reduktion på 8,5% i forhold til 2010.
Målsætning om i 2015 at reducere det specifikke
variable elforbrug fastholdes på 8% i forhold til
118 kWh/ton TCE i 2010, da der forventes etableret
elforbrugende nyanlæg i 2014, der betyder reduk-
tion af CO
2
-udledningen.
Elgrundlasten skal i 2015 reduceres med 5% i
forhold til 45.856 MWh i 2011.
Elgrundlasten skal i 2015 reduceres med 5% i
forhold til 45.856 MWh i 2011.
Målet skal nås i 2015. Elgrundlasten for 2013 blev
44.600 MWh, svarende til 2,7% fald i forhold til 2011.
VINDMØLLER
På sigt skal 40% af elforbruget erstattes med
vedvarende energi fra vindmøller, der opstilles på
Aalborg Portlands arealer.
Aalborg Portlands arealer er omfattet af vindmøl-
leplan for Aalborg Kommune, som blev godkendt
af Byrådet den 7. oktober 2013 med et kommu-
neplantillæg. Det konktete projekt skal igennem
VVM-proces og have myndighedstilladelse inden
etablering af vindmølleparken.
På sigt skal 40% af elforbruget produceres med
vindmøller, der opstilles på Aaalborg Portlands
arealer.
I 2014 er målet, at VVM-processen, detail-projekte-
ring af vindmølleparken og indhentning af myndig-
hedstilladelse til etableringen er sat igang.
ALTERNATIVT BRÆNDSEL
Målsætningen er på sigt, at minimum 40% af
brændselsenergien til grå produktion (ovn 87)
erstattes af alternativt brændsel, som reducerer
CO
2
-udledningen.
I 2013 er målet at erstatte 35% af brændsels-
energien for ovn 87.
Der er erstattet 32% i 2013. Målet er ikke nået fuldt
ud pga. problem i 1. kvartal af 2013 med transport-
båndsystem for alternativt brændsel og dermed
indfødning til ovn 87.
Der har været arbejdet med udformning af ”Projekt
for anvendelse af mere alternativt brændsel til ovn
87”. Se mål 2014.
Målsætningen er på sigt, at brændselsenergien til
grå (ovn 87) og hvid produktion (ovn 74/78 og 76)
erstattes af minimum hhv. 60% og 20% alternativt
brændsel, som reducerer CO
2
-udledningen.
I 2014 er målet at erstatte 42% af brændselsener-
gien for ovn 87 og 4% for hvide ovne.
For ovn 87 etableres transportsystem for alternativ
brændsel både til ovnens to kalcinatorer og hoved-
brænder. Der er opnået tilskud fra VE-puljen, som
støtter konvertering af anlæg fra fossile brændsler
til vedvarende energi. Effekten vil først være fuldt
implementeret fra 2015.
BRANDSLUKNINGSVAND
Gennemføre projekt for opsamling af slukningsvand
fra brandrisikoområder i tilfælde af brand.
Målet er nået. Der er etableret opsamlingsbassin
og beredskabsplan opdateres.
Målet er nået
Målet er ikke nået
26
PDF to HTML - Convert PDF files to HTML files
1375913_0029.png
MILJØREDEGØRELSE 2013
I 2013 er seks ud af ni miljø- og energimål nået.
MÅL 2013
BRÆNDSELSBESPARELSE
I 2013 er målet at gennemføre tiltag for at opnå
en årlig besparelse af brændsel, der svarer til
60.000 MWh.
STATUS 2013
MÅL 2014
Målet er nået. Der er gennemført følgende pro-
jekter, der giver årlige besparelser af brændsel
på 72.656 MWh:
• 72.500 MWh – Udskiftning af ovn 87’s klinkerkøler.
• 156 MWh – Minimering af dampforbrug til intern
varmeproduktion.
I 2014 er målet at gennemføre tiltag for at opnå
årlige besparelser af brændsel, der svarer til
4.800 MWh ved at producere med to-strengsdrift
ved SK7-produktion i stedet for en-strengsdrift.
CO
2
-REDUKTION
Fortsat fokus på at reducere CO
2
-udledning via
øget forbrug af biobrændsel og på sigt udvikling
af nye cementtyper*.
CO
2
-udledning fra grå produktion reduceres med
3% i forhold til 765 kg CO
2
/tTCE i 2012.
CO
2
-udledning fra grå produktion er reduceret til
760 kg CO
2
/tTCE. Målet er ikke nået fuldt ud, da
faldet blev på 0,6% i forhold i 2012 pga. mindre
biomasseandel i alternativt brændsel og problem
med indfødning til ovn 87 i 1. kvartal 2013.
CO
2
-udledning** fra hvid produktion er reduceret
til 1.124 kg CO
2
/tTCE. Målet er ikke nået fuldt ud,
da faldet blev på 1,3% i forhold til 2012 pga. min-
dre genvundet varme til fjernvarme end planlagt.
Fortsat fokus på at reducere CO
2
-udledning via
øget forbrug af biobrændsel og på sigt udvikling
af nye cementtyper*.
Målet er fortsat at reducere CO
2
-udledning fra
grå produktion med 3% i forhold til 765 kg CO
2
/
tTCE i 2012.
CO
2
-udledning** fra hvid produktion reduceres
med 2% i forhold til 1.139 kg CO
2
/tTCE i 2012.
Målet er fortsat at reducere CO
2
-udledning** fra
hvid produktion med 2% i forhold til 1.139 kg CO
2
/
tTCE i 2012.
NO
X
-REDUKTION
Den specifikke NO
X
-emission reduceres med 4%
i forhold til 2012 på 0,89 kg/tTCE ved fortsat opti-
meret NO
X
-rensning og fra øget forbrug af alter-
nativt brændsel, der har en NO
X
-reducerende
virkning.
Målet er nået. Den specifikke NO
X
-emission er
faldet til 0,77 kg/tTCE – et fald på 14% ved fuld
overgang til produktion af miniraliseret hvide
klinker og optimeret NO
X
-rensning.
Den specifikke NO
X
-emission reduceres med 2%
i forhold til 2013 på 0,77 kg/tTCE ved fortsat opti-
meret NO
X
-rensning og fra øget forbrug af alter-
nativt brændsel, der har en NO
X
-reducerende
virkning.
AFFALD
Ved at anvende fillermaterialer til anlægsarbejde
og videreudvikle produktsortimentet øges anven-
delse af fillermateriale.
Dermed reduceres mængden til deponi med
12.000 ton i forhold til 2012 deponering (23.094
ton), svarende til en reduktion på 52%.
Målet er nået. Der er deponeret 7.210 ton affald
til eget deponi. Et fald på 69% i forhold til 2012,
som skyldes, at fillermaterialer er nyttiggjort til
efterbehandling i kridtgraven.
Ved fortsat at nyttiggøre fillermaterialer til
anlægsarbejde og genanvende forskellige
affaldsfraktioner reduceres mængden til deponi
med 3.700 ton i forhold til 2013 deponering (7.210
ton), svarende til en reduktion på 51%.
*
Forskningsprojekter,
der fremmer klimavenlig og bæredygtig udvikling, er beskrevet på side 7 under ”Bæredygtig produktion af cement og beton”.
** Korrigeret med CO
2
-andel, der vedrører varme fra genvinding til Aalborg Kommunes fjernvarmenet og er beregnet efter varmevirkningsgradsmetoden med 125% for fjernvarme.
27
PDF to HTML - Convert PDF files to HTML files
BEREDSKAB
– NÅR UHELDET ER UDE
Aalborg Portlands beredskab kom i brug den 18. sep-
tember 2013, da der skete udslip til Limfjorden af olie
fra et tankanlæg på havnen. Når uheldet er ude har
det vist sig, at en plan for hvem, der gør hvad, er afgø-
rende for at begrænse og undgå større skader.
Udslippet skete som følge af en række uheldige for-
hold. Først og fremmest på grund af en formodet
korrosion i kondensatsystemet, hvorved olien kunne
løbe til kondensatventilen, som ved en fejl stod åben.
For at opsamle et udslip, som fx det netop beskrevne,
står olietanken i en såkaldt tankgård med tæt befæst-
ning af beton. Det uheldige var, at en drænventil til
bortledning af regnvand i tankgården stod åben ved
en fejl. Olien kunne herefter løbe ud i fjorden.
Man fristes til at citere Murphys lov ”hvad der kan gå
galt, vil gå galt”. Hertil kan føjes, at olietanken netop
stod til at blive tømt og sløjfet sammen med tre andre
tanke på havnen. Denne sløjfning af tanken er nu gen-
nemført og meddelt myndighederne primo januar 2014.
HÆNDELSESFORLØB
Ved inspektion af en skibslast flyveaske den 18. sep-
tember 2013 fra Italien blev en olielækage observe-
ret kl. 11 i Limfjorden mellem skibet og havnekajen
hos Aalborg Portland. Ifølge gældende beredskabs-
procedure blev portvagten kontaktet, som umiddel-
bart herefter rettede henvendelse til Beredskabs-
center Aalborg.
Beredskabet ankom straks og indsatte flydespær-
ringer i vandet for at inddæmme olien og for at for-
hindre olieudslippet i at sprede sig yderligere i Lim-
fjorden.
Aalborg Portland rekvirerede i alt tre slamsugere for
at suge olie op fra Limfjorden.
Beredskabet informerede Søværnets Operative
Kommando (SOK) om hændelsen. SOK sendte en af
deres overvågningsfly, som observerede en oliefilm
med en længde på 2,5 km i fjorden. SOK sendte også
deres skib METTE MILJØ til overvågning i Limfjorden.
I samarbejde med Beredskabet blev en undersøgel-
se af kilden til udslippet indledt, hvor både skibets
og Aalborg Portlands afløb blev undersøgt. I første
omgang blev ingen kilde fundet. Yderligere undersø-
gelser ved Aalborg Portlands olietanke 1, 2, 3 og 4 til
fuelolie viste, at tank 4 havde den beskrevne lækage
og en ventil, der stod åben.
Olien blev observeret uden for tank 4 på betongulvet
i den fælles tankgård for tank 3 og 4. Afløbsdræn i
tankgården fører til en afløbsventil, som var åben, så
regnvand kan afledes til fjorden. Denne ventil skal
normalt være lukket og åbnes kun under opsyn for
at tømme tankgården for regnvand.
Miljøstyrelsen Aarhus blev informeret om hændel-
sen samme dag i henhold til Aalborg Portlands vil-
kår og procedurer.
Aalborg Portland rekvirerede yderligere en slamsu-
ger til at opsamle olieudslippet i tankgården og for
at tømme og rengøre afløbsledningen.
Opsuget olie fra fjorden, tankgården og afløbslednin-
gen blev sendt til den lokale olieopsamlingsstation.
Olieprøver blev taget fra olien i Limfjorden og tank-
gården af Miljøvagten fra Aalborg Kommune for at
bekræfte kilden til olieudslippet. Resultatet forelå
dagen efter torsdag den 19. september om formid-
dagen og viste signifikant overensstemmelse mel-
lem de to prøver.
Lokale nyheder (TV2 Nord og 24NORDJYSKE) fik
adgang til havneområdet og fik informationer fra
Beredskabets indsatsleder og fra Aalborg Portlands
miljø- og energichef.
På baggrund af information fra SOK har Beredskabs-
center Aalborg efterfølgende oplyst, at oprydningen i
Limfjorden er tilendebragt.
TILTAG FOR AT HINDRE LIGNENDE
UHELD PÅ KORT SIGT
• Fortsat løbende opsyn med tankgårdene, og
der gennemføres en ekstraordinær udvendig
inspektion af alle tankene – ud over de regel-
mæssige inspektioner.
• Ventil fra kondensatsystem afspærres, så den
ikke utilsigtet kan åbnes.
• Afløbsventil til dræn af befæstet tankgård sikres
mod utilsigtet åbning ved at hindre adgang til
ventilen.
Tiltagene gennemføres, indtil alle fire olietanke er
tømt, renset og sløjfet.
RISIKOVURDERING
Uheldet og aktivering af beredskab gav anledning til
at vurdere om lignende udslip af væske kunne ske
andre steder på fabrikken, og om beredskabet fun-
gerede hurtigt og effektivt. Beredskabet på fabrik-
ken var tilfredsstillende.
Fokus ved gennemførelse af intern audit i 2014 vil
fortsat omfatte vurdering af risiko for kritiske uheld
med miljøforurening til følge.
28
PDF to HTML - Convert PDF files to HTML files
1375913_0031.png
MILJØREDEGØRELSE 2013
Olieudslip fra tank 4
Olieudslip set fra luften
Flydespærring ved havnen
29
PDF to HTML - Convert PDF files to HTML files
1375913_0032.png
MILJØDIALOG
For at sikre og styrke den løbende miljødialog med
interessegrupper har Aalborg Portland følgende
væsentlige aktiviteter i gang:
• Løbende kontakt med centrale og decentrale
miljømyndigheder i Danmark og EU, idet der hele
tiden foregår udvikling af lovforslag og regler,
som vil påvirke virksomheden.
• Inddragelse af miljøoplysninger fra leverandører
via leveringskontrakter, der omfatter miljø.
• Miljøredegørelse 2013 udsendes medio april
2014.
• I 2013 havde Aalborg Portland 100 besøg og i alt
1.268 gæster, som bl.a. fik orientering om miljø
og havde lejlighed til at stille spørgsmål.
• Aalborg Portlands medarbejdere holder indlæg
på eksterne kurser og møder.
• Miljøredegørelse 2013 og tidligere års udgaver
ligger på Aalborg Portlands hjemmeside.
De dansk- og engelsksprogede udgaver for
2012 er downloadet 534 gange i 2013.
• Medarbejdere i afdelingerne deltager i energi-
og miljøfokusgrupper.
Miljøredegørelsen sendes til en lang række inte-
ressenter i ind- og udland, bl.a. naboer, ejere, myn-
digheder, politikere, Danmarks Naturfredningsfor-
ening, kunder og leverandører.
Miljøredegørelsen ligger også tilgængelig for alle
medarbejdere på fabrikken samt elektronisk på
hjemmesiden.
For at sikre den bedst mulige motivation og dialog
med vores eksterne og interne interessenter om den
indsats, vi gør på miljøområdet, vil vi gerne opfordre
alle til at komme med synspunkter og forslag til for-
bedringer af vores rapportering.
DRIFTSFORSTYRRELSER
Aalborg Portlands håndtering af driftsforstyrrelser
og uheld er beskrevet i procesledelsessystemet og
i miljøgodkendelsens vilkår. Ved denne fremgangs-
måde er det sikret, at alle relevante myndigheder
bliver involveret ved løsning af driftsforstyrrelser og
uheld, der kan medføre forurening af omgivelserne
eller indebærer risiko for det.
Antallet af støvudslip fra Aalborg Portland, der har med-
ført henvendelser fra berørte parter, er steget fra 9 til
i alt 19, som hovedsageligt skyldes driftsforstyrrelser
på ovn 87, hvor et elektrofilter har haft flere kortvarige
udfald. Diffust støv fra klinkerladen i kombination med
hård vind har også givet anledning til henvendelser.
Der er i 2013 sket et olieudslip til Limfjorden, se nær-
mere på side 28-29.
Antal af udslip, der har medført henvendelser
2009
Støv
Støj
Limfjorden
Andet
14
1
0
0
2010
14
2
1
0
2011
11
0
1
0
2012
9
1
0
0
2013
19
0
2
0
KRAV TIL LEVERANDØRER
I de generelle kontrakter med leverandører er der
tilføjet et punkt, der beskriver Aalborg Portlands
systematiske indsats med miljø, energi og arbejds-
miljø, herunder de certificerede ledelsessystemer.
Samtidig gør Aalborg Portland det klart, at der læg-
ges vægt på samarbejde med leverandører, der er
certificerede samt er miljø- og socialt bevidste. Aal-
borg Portland forbeholder sig ret til at gennemføre
audit af relevante miljø- og arbejdsmiljømæssige
forhold, der relaterer til samarbejdet. I 2014 er der
planlagt tre leverandøraudits.
Inden kontraktindgåelse vurderes nye leverandører.
30
PDF to HTML - Convert PDF files to HTML files
1375913_0033.png
MILJØREDEGØRELSE 2013
MILJØBEVIDST DISTRIBUTION
Distributionen af cement omfatter i 2013 håndtering
af ca. 1,8 mio. tons cement, der udgør en stor vo-
lumen, der skal transporteres til eksport- og hjem-
memarkedet.
Vores indflydelse på transporten til eksportmarke-
derne er hovedsageligt afgrænset til valget af skibs-
transport, og denne del af transporten kan dermed
betegnes som en indirekte miljøpåvirkning.
På hjemmemarkedet har vi derimod bedre mulighe-
der for at øve indflydelse på transportpåvirkningerne
på miljøet i form af emissioner af røggasser, belast-
ning af veje mv. Vi har derfor også et ansvar for at
gennemføre vores transporter miljøbevidst.
I 2013 blev 71% af cementen transporteret med skib
og 29% med tank- og lastbil.
Al cementfremstilling foregår i Aalborg, og herfra
udskibes den største del af produktionen til virk-
somhedens 8 siloanlæg, som er strategisk placeret
rundt om i landet. Fra siloanlæggene køres cemen-
ten ud til kunderne i de forskellige områder.
Vi undgår dermed meget lange vejtransporter med
tunge cementtankvogne og har en gennemsnitlig
transportafstand fra siloanlæggene til kunderne på
65 km.
Denne strategi blev også fulgt i 2011 ved etablering
af siloer for hvid cement på Siloanlæg Aabenraa til
videreeksport på det europæiske marked. Herved
undgås to gange 270 km pr. tankbil på de jyske mo-
torveje, da cementen nu transporteres til Aabenraa
med skib, der er en mere miljøvenlig transportform.
Aalborg Portland har aftaler med eksterne vogn-
mænd om tankvognskørsel. I Nordjylland forsynes
kunderne direkte fra Aalborg. Distribution af al pak-
ket cement foregår også fra Aalborg.
Aalborg Portlands satsning på brug af alternativt
brændsel indebærer en indirekte CO
2
-gevinst, idet
det alternative brændsel kommer fra nærområder-
ne og dermed har en langt kortere transportvej end
kul, petcoke og olie.
Cementfabrik i Aalborg
Siloanlæg i Danmark
Cement transporteret
med tank- og lastbil
29%
71%
Cement transporteret
med skib
31
PDF to HTML - Convert PDF files to HTML files
1375913_0034.png
ARBEJDSMILJØ
HVAD ER ET GODT ARBEJDSMILJØ?
Arbejdsmiljø er et samspil af de vilkår, relationer
og påvirkninger, som vi mennesker arbejder under,
herunder også den tekniske og sociale udvikling af
arbejdspladsen. Det bidrager alt sammen til den en-
kelte medarbejders sikkerhed, fysiske og psykiske
sundhed på kort og på længere sigt.
Et godt arbejdsmiljø styrker virksomhedens produk-
tivitet og er nøglen til en stærk konkurrenceevne i
form af lavt sygefravær, arbejdsglæde, trivsel og
stor fleksibilitet. Det betyder tilfredse medarbejdere,
kunder og aktionærer.
I arbejdsmiljølovgivningen stilles der krav til, at
arbejdet skal kunne udføres sikkerheds- og sund-
hedsmæssigt fuldt forsvarligt. Der skal skabes:
• Et sikkert og sundt arbejdsmiljø, der til enhver
tid er i overensstemmelse med den tekniske og
sociale udvikling i samfundet.
• Grundlag for, at virksomhederne selv kan løse
sikkerheds- og sundhedsspørgsmål med vej-
ledning fra arbejdsmarkedets organisationer og
vejledning og kontrol fra Arbejdstilsynet.
De påvirkninger, vi som medarbejdere, kan blive ud-
sat for eller påføre andre under udførelsen af arbej-
det, kan være:
• Fysiske, kemiske, ergonomiske, biologiske,
sociale, psykiske, ulykker m.fl.
Såvel ledelse som Arbejdsmiljøorganisationen har
en aktiv rolle – og dermed også et stort ansvar –
for at sikre et godt arbejdsmiljø. Det er en løbende
proces, hvor også den enkelte medarbejders enga-
gement og ansvarlighed er et væsentligt bidrag til
processen. Derfor prioriterer vi høj grad af medar-
bejderinvolvering i processen.
LEDELSENS EVALUERING
Den 27. februar 2014 blev ledelsens evaluering for
QHS (Quality, Health and Safety) afholdt. Her blev der
gjort status på 2013, og retningen for det kommende
år blev sat, herunder arbejdsmiljømål for 2014.
ARBEJDSMILJØORGANISATIONEN
I foråret 2013 var der valg til Arbejdsmiljøorganisa-
tionen – valget blev for første gang gennemført elek-
tronisk.
Hele Arbejdsmiljøorganisationen samles som min.
2 gange årligt – omkring sommerferien og ved års-
mødet/den årlige arbejdsmiljødrøftelse, som bliver
afholdt i december. Her evalueres året, og der ar-
bejdes med input til mål og forbedringsforslag for
det kommende år.
Arbejdsmiljøudvalget afholder møder hvert kvartal.
På det første møde i kalenderåret fastlægges mål
for det kommende år. Det sker ud fra de input, der er
kommet op under den årlige arbejdsmiljødrøftelse.
De enkelte arbejdsmiljøgrupper afholder løbende
hen over året ad hoc-møder.
På årsmødet blev statistikker over ulykkesårsag,
-typer og -tidspunkt samt anciennitet for skadeslid-
te gennemgået, herunder en generel status på året,
der gik. Der blev arbejdet i grupper hele dagen, som
i øvrigt havde to temaer: Oplæg til arbejdsmiljømål
2014 og ”Fra lov til lyst – vejen til et mere proaktivt
arbejdsmiljøarbejde”. En udbytterig dag med mange
konstruktive input til det kommende samarbejde i
arbejdsmiljøorganisationen.
ARBEJDSMILJØPOLITIK
Aalborg Portland har fokus på produktion af kvalitetsprodukter,
der lever op til kundernes krav og forventninger. Arbejdsmiljø
og sikkerhed er en integreret del af hverdagen, og der arbejdes
løbende på at forbedre arbejdsmiljøet og sikkerheden.
Retningslinjer
Alle aktiviteter skal til enhver tid udføres i overensstem-
melse med relevant lovgivning og i overensstemmelse med
virksomhedens interne retningslinjer, der sikrer et fortsat
sikkert og sundt arbejdsmiljø.
Vore medarbejdere
Aalborg Portland vil, hvor det er teknisk og økonomisk muligt,
skabe de bedst mulige rammer for et godt fysisk og sundheds-
mæssigt arbejdsmiljø ved at anvende de bedst mulige løsnin-
ger og hjælpemidler.
Aalborg Portland vil sikre, at alle medarbejdere uddannes og
motiveres til aktivt at arbejde for at forbedre arbejdsmiljøet.
Det er enhver medarbejders pligt at medvirke til at forbedre arbejds-
miljøet og sikkerheden i og omkring udførelse af eget arbejde.
Fremmede firmaer
Aalborg Portland erkender det ansvar og de forpligtelser
virksomheden har over for de forskellige aktører, der udfører
arbejde på produktionsstedet.
Samfundet
Aalborg Portland indtager en åben og aktiv rolle i samspil med
medarbejdere, myndigheder, kunder, leverandører, organisa-
tioner og andre samarbejdspartnere.
Politik, mål og målsætning
På den årlige arbejdsmiljødrøftelse opstiller arbejdsmiljøorgani-
sationen mål for det kommende år. Forslag til arbejdsmiljømål
indgår i Ledelsens evaluering, hvor de endelige mål for perioden
fastlægges.
Arbejdsmiljøpolitikken opdateres løbende og som min. hvert 2. år.
32
PDF to HTML - Convert PDF files to HTML files
1375913_0035.png
MILJØREDEGØRELSE 2013
I 2013 er seks ud af ni arbejdsmiljømål nået.
MÅL 2013
ARBEJDSULYKKER
For 2013 er målet < 10 anmeldte ulykker.
Max. 18 arbejdsulykker pr. 1 mio. arbejdstimer.
STATUS 2013
MÅL 2014
ARBEJDSULYKKER
Målet er nået. Der er anmeldt 9 arbejdsulykker
og ulykkesfrekvensen (antal arbejdsulykker pr. 1
mio. arbejdstimer) ligger på 15,7.
For 2014 er målet < 8 anmeldte ulykker.
Max. 14 arbejdsulykker pr. 1 mio. arbejdstimer.
PSYKISK ARBEJDSMILJØ
At få oprettet et beredskab og procedurer,
der tager hånd om den enkelte medarbejder.
Målet er nået. Trivselspolitik og understøttende
værktøjer er udarbejdet og implementeret.
Forebyggende aktiviteter har stor fokus.
PSYKISK ARBEJDSMILJØ
Forbedre det psykiske arbejdsmiljø gennem en
forebyggende indsats.
Mål: Færre stressramte end i 2013.
SKILTNING
Samtlige skilte på hele fabriksområdet opdateret
for at højne sikkerheden på arbejdspladsen.
Målet er nået. Samtlige skilte på fabrikken er
rengjorte/udskiftet.
OPMÆRKSOMHED PÅ SIKKERHED
SAMT BEVIDSTHED OG EFTERLEVELSE
AF SIKKERHEDSREGLER
Øge opmærksomheden på sikkerhed/arbejdsmiljø.
Mål: Forbedre scoren fra målingen
”Sikkerhedskulturen 2013” med 10%.
SIKKERHEDSKURSUS
Højne sikkerhedskulturen gennem internt
sikkerhedskursus afholdt for alle medarbejdere
(100% deltagelse).
Målet er nået. Der er gennemført internt sik-
kerhedskursus for alle medarbejdere. Kurset
gennemføres fremover hvert år med skiftende
fokusområder.
SIKKERHEDSKURSUS
Højne sikkerhedskulturen gennem internt sikker-
hedskursus afholdt for alle medarbejdere.
Mål: 100% deltagelse.
APV
System for rullende APV indført.
Målet er ikke nået. Planen var at få indført
rullende APV med udgangspunkt i virksom-
hedens processer. Grundet anden prioritering er
opgaven udsat til 2014.
RULLENDE APV
Plan for APV i de enkelte processer.
Mål: Metode fastlagt og implementeret.
SIKKERHEDSINSTRUKTIONER
Alle sikkerhedsinstruktioner opdateret i SAP
(100%).
Målet er ikke nået. Planen var, at alle sikker-
hedsinstruktioner skulle være opdateret ved
udgangen af 2013. Det har imidlertid vist sig at
være en mere kompleks opgave end antaget –
især omkring sikkerhedsaflåsning. Derfor er
deadline ændret til uge 12/2014.
SIKKERHEDSINSTRUKTIONER
Alle sikkerhedsinstruktioner opdateret i SAP.
Plan for løbende opdatering fastlagt.
Mål: 100% gennemførelse.
ERGONOMI
To seancer om professionel assistance ved
indretning af kontorarbejdspladser gennemført.
Målet er nået. Tilbud om ergonomisk rådgivning
blev givet i foråret og i efteråret. Begge gange
var der fuldt hus, hvorfor det overvejes at tilbyde
gennemgang i 2014.
TUNGE LØFT
(Muskel- og skeletbesvær)
Internt team uddannet til at kunne gennemføre/
vejlede ved APV-kortlægning inden for området.
Mål: Team uddannet.
SIKKERHED PÅ KØREVEJE OG PLADSER
Køreveje vedligeholdt (iht. plan) for optimal og
sikker færdsel på alle udendørs områder (veje
og pladser).
Rullende plan for 2013, 2014 og 2015 fastlagt.
Målet er ikke nået. Planen er udarbejdet, men
der er ikke igangsat aktivitet i 2013.
Målet er nået.
SIKKERHED PÅ KØREVEJE OG PLADSER
Køreveje vedligeholdt (iht. plan) for optimal og
sikker færdsel på alle udendørs områder (veje
og pladser).
Mål: Igangsætte projekt således, at rullende
plan implementeres fra 2015-2020.
Målet er nået
Målet er ikke nået
33
PDF to HTML - Convert PDF files to HTML files
1375913_0036.png
ARBEJDSULYKKER OG FOREBYGGELSE
I 2013 blev der anmeldt 9 arbejdsulykker – altså
ulykker med mere end 1 dags fravær, svarende til
en reduktion på 10%. Det relativt lave antal ulykker
skyldes stor opmærksomhed fra både arbejdsmiljø-
organisationen og den enkelte medarbejder samt en
intensivering af det forbyggende arbejde – en udvik-
ling, der forventes at fortsætte. I alt er der registre-
ret 13 ulykker uden fravær – altså ulykker af mindre
alvorlig karakter, og uden fravær.
Ulykkesfrekvens (antal arbejdsulykker pr. 1 mio. ar-
bejdstimer) ligger på 15,7 set som gennemsnit for
hele året, og i gennemsnit 3,3 tabte arbejdsdage pr.
arbejdsulykke.
Niveauet for antal skader i vinterhalvåret er stort set
det samme som året før, og tilskrives hovedsageligt
glat føre på adgangsvejene.
Forandringer og det relativt høje tempo i hverdagen
påvirker i høj grad stadig det psykiske arbejdsmiljø.
Der er derfor i 2013 udarbejdet en Trivselspolitik
med understøttende værktøjer. Formålet er at blive i
stand til at sætte ind med forebyggelse så tidligt som
muligt, og forbedre mulighederne for at tage hånd
om både egen person og kollegaer.
Der er i 2013 givet tilbud om ergonomiske gennem-
gange af arbejdspladser på såvel kontor som fabrik.
En proaktiv handling for at forebygge muskel-skelet-
besvær for den enkelte.
En motivations- og trivselsmåling blev gennemført i
2013, og der følges op med en ny måling i 2014.
Opgørelse over skader
Hoved, undtagen øjne
Øjne
Ryg, herunder hvirvelsøjle og ryghvirvler
Omfattende dele af legemet
Overkroppens lemmer
Underkroppens lemmer
Anden skade
I alt 2013
Antal
1
3
3
1
7
4
3
22
%
4,5
13,6
13,6
4,5
31,8
18,2
13,6
100
2009
Arbejdsulykker anmeldt til Arbejdstilsynet
Antal anmeldte ulykker til Arbejdstilsynet
Antal fraværsdage
Ulykkesfrekvens / Ulykkesfravær – Timelønnede og funktionærer
Ulykkesfrekvens – ulykker pr. 1. mio. arbejdstimer
Ulykkesfravær – fraværstimer pr. 1.000 arbejdstimer
Ulykkesfrekvens / Ulykkesfravær – Timelønnede medarbejdere
Ulykkesfrekvens – ulykker pr. 1. mio. arbejdstimer
Ulykkesfrekvens – ulykker pr. 1. mio. arbejdstimer – Sten, ler og glasindustri
Ulykkesfravær – fraværstimer pr. 1.000 arbejdstimer
56,0
27,8
5,9
26,9
2,9
17
244
2010
2011
2012
2013
13
87
14
52
10
47
9
30
20,8
1
22,1
0,6
17,9
0,6
15,7
0,4
44,4
29,6
2,3
48,8
24,0
1,3
32,2
19,2
1,3
36,5
*
0,9
* Data ikke tilgængelige
Arbejdsulykker anmeldt til
Arbejdstilsynet / Antal fraværsdage
20 –
– 350
– 300
15 –
– 250
– 200
10 –
– 150
5 –
– 100
– 50
0 –
– 0
Ulykkesfrekvens / Ulykkesfravær
Timelønnede og funktionærer
30 –
25 –
– 3
20 –
15 –
10 –
– 1
5 –
0 –
– 0
– 2
– 4
Ulykkesfrekvens / Ulykkesfravær
Timelønnede medarbejdere
60 –
50 –
40 –
30 –
– 3
20 –
10 –
0 –
– 2
– 1
– 0
– 7
– 6
– 5
– 4
2009 2010
2011
2012 2013
2009 2010
2011
2012
2013
2009 2010 2011 2012 2013
Ulykkesfrekvens - ulykker pr. 1 mio. arbejdstimer
Ulykkesfrekvens - sten, ler og glasindustrien
Ulykkesfravær - fraværstimer pr. 1.000 arbejdstimer
Antal anmeldte arbejdsulykker til Arbejdstilsynet
Antal fraværsdage
Ulykkesfrekvens - ulykker pr. 1 mio. arbejdstimer
Ulykkesfravær - fraværstimer pr. 1.000 arbejdstimer
34
PDF to HTML - Convert PDF files to HTML files
1375913_0037.png
MILJØREDEGØRELSE 2013
TRIVSELSPOLITIK
Formålet med trivselspolitikken er at fremme triv-
sel, sundhed og arbejdsglæde og dermed forebygge
arbejdsrelateret stress.
På Aalborg Portland anerkender vi, at der skal være
balance mellem arbejds- og privatliv, da tilfredse
medarbejdere arbejder mere effektivitet, har mindre
sygefravær og leverer gode resultater af høj kvalitet
til gavn for både virksomhed og kolleger.
Aalborg Portlands målsætning er at sikre et godt fy-
sisk og psykisk arbejdsmiljø og en arbejdsplads, hvor
den enkelte medarbejder til enhver tid kan føle sig
tryg og trives – også i en travl og omskiftelig hverdag.
Målet er, at alle medarbejdere føler sig som en del
af holdet med en fælles opgave og fælles ansvar for
hinanden og de resultater, vi skal skabe.
Værdigrundlag
Det forventes, at alle ansatte omgås hinanden med
et sprog og en adfærd, som viser respekt og omsorg
for andre og er udtryk for den måde, man selv øn-
sker at blive behandlet på.
Udgangspunktet er Aalborg Portlands 5 værdier:
Passioneret effektivitet
Respektfuldt samarbejde
Værdiskabende enkelhed
Kompromisløs fleksibilitet
Smittende ansvarlighed
• Blomsterhilsen til sygdomsramte medarbejdere
• Stresshåndtering (beredskab og plan for tilbage-
venden til arbejdet)
• Mulighed for deltidsarbejde efter en individuel
vurdering
Medarbejdere i Aalborg Portland opfordres ved an-
sættelsen til at tegne en Mølholm Behandlingsfor-
sikring, der blandt andet omfatter psykologsamtaler
og behandling for alkoholmisbrug.
Chikane og mobning
Ledelsen tager klar afstand fra alle former for mob-
ning og chikane. En sådan adfærd er ikke forenelig
med Aalborg Portlands værdier og kan derfor få kon-
sekvens for den/de pågældendes ansættelsesforhold.
Der er tale om mobning, når en eller flere personer
regelmæssigt og over længere tid – eller gentagne
gange på grov vis – udsætter en eller flere andre
personer for krænkende handlinger, som vedkom-
mende opfatter som sårende eller nedværdigende.
De krænkende handlinger bliver dog først til mob-
ning, når de personer, som de rettes imod, ikke er
i stand til at forsvare sig effektivt imod dem. Det er
derfor vigtigt, at medarbejderen siger fra eller even-
tuelt søger hjælp til at sige fra.
Drillerier, der af begge parter opfattes som godsind-
ede eller enkeltstående konflikter er ikke mobning
eller chikane.
Deltidsarbejde
Der kan for nogle medarbejdere opstå behov for i en
periode at gå ned i arbejdstid med tilsvarende løn-
reduktion. Muligheden for deltidsarbejde vurderes
individuelt og drøftes med nærmeste leder.
Rygning og alkohol
Arbejdsmiljøet på Aalborg Portland er røgfrit. Der
må kun ryges udendørs på steder, hvor der ikke er
skiltet med rygeforbud på grund af brandfare. Der
henvises til Rygepolitikken.
For at sikre professionalisme og trivsel er alkohol
ikke en naturlig del af hverdagen på Aalborg Port-
land, så der kan kun købes lys øl i Aalborg Portlands
kantiner.
Opfølgning
Her følger vi op på trivsel i virksomheden:
• MUS
• Motivationsmåling
• Sygefraværsstatistik
Antal medarbejdere med aftale om gradvis tilbage-
venden til arbejde indgår også i trivselsopfølgningen.
Trivselsfremmende aktiviteter
Det er lederens ansvar at sikre, at arbejdsopgaver
og ressourcer er i balance, således at både fysisk
og psykisk arbejdsmiljø samt andre forhold af betyd-
ning for den enkelte medarbejders arbejdssituation
indgår i en løbende dialog med medarbejderen.
Aalborg Portland har en række værtøjer til rådighed,
som medvirker til at understøtte trivsel, eksempelvis:
• Kompetenceudvikling
• Årlige medarbejderudviklingssamtaler (MUS)
• APV – kortlægning af fysisk og psykisk
arbejdsmiljø
• Pension & Sundhedsforsikring
• Diverse informationskanaler
• Samarbejdsudvalg, Arbejdsmiljøudvalg m.fl.
• Sygefraværs- og fastholdelsespolitik
• Alkohol- og rygepolitik
• Motivationsmåling
• Støtte til personaleforening, interne klubber
og foreninger
35
PDF to HTML - Convert PDF files to HTML files
1375913_0038.png
BEDRIFTVÆRN
Den 3-årige øvelsesplan for Bedriftværnet følges fort-
sat. Der har i 2013 været gennemført en evakuerings-
øvelse, en beredskabsøvelse og 2-dages intensiv efter-
uddannelse for bedriftværnet. Efteruddannelsen var
en kombination af teori og praktisk øvelse, og vi er så-
ledes i stand til at opretholde et effektivt bedriftværn.
ONLINE-RISIKOSTYRING
2013 blev året, hvor vi i samarbejde med ekstern le-
verandør gik i gang med et større projekt – Online-
risikostyring, som skal ende op med en opdateret
beredskabsplan for både fabrik og siloanlæg. En
proaktiv handling, der består af følgende faser: Ana-
lyse, Prioritering/Planlægning og Implementering.
Analysefasen (kortlægningen) blev afsluttet i 2013,
og plan for de to øvrige faser er fastlagt.
SIKKERHEDSINSTRUKTIONER OG
ARBEJDSPLADSBRUGSANVISNINGER
For at kunne løse opgaver som betjening, vedlige-
hold, reparation og rengøring af vores produkti-
onsudstyr på en sundheds- og sikkerhedsmæssig
forsvarlig måde har vi en lang række sikkerhedsin-
struktioner. En opdatering af samtlige sikkerhedsin-
struktioner blev igangsat i 2013 og forventes at være
gennemført primo 2014. Sikkerhedsinstruktionerne
er tilgængelige for både medarbejdere og fremme-
de firmaer, og det er et ultimativt krav, at de følges.
Opdateringer i KEMI-databasen sker løbende. Data-
basen er det onlinesystem, som sikrer, at alle kemi-
ske stoffer er registreret på baggrund af leverandør-
brugsanvisninger. På baggrund af disse oplysninger
bliver der udarbejdet arbejdspladsbrugsanvisninger
(APB). Det sikrer:
• At vi kun anvender stoffer og materialer, som er
vurderet og godkendt.
• At brugerne har de nødvendige, fyldestgørende
arbejdspladsbrugsanvisninger (APB) og dermed
også har de rigtige værnemidler.
• At vi har overblik over anvendelsen af de enkelte
stoffer og materialer.
BYGGEVAREFORORDNINGEN
Byggevaredirektivet (89/106/EØF1), som pr. 1. juli
2013 blev erstattet af Byggevareforordningen (305/
2011/EF), stiller krav om Ydeevnedeklaration
(DoP) for vore cementer. Det gav anledning til at
sikre, at opdateringen af Aalborg Portlands egne
sikkerhedsdatablade iht. REACH og CLP (ny fa-
resymbolmærkning) er i overensstemmelse med
lovgivningen.
UNDERVISNING – SIKKERHEDSKULTUREN 2013
2013 blev året, hvor vi for første gang gennemførte
et internt Arbejdsmiljø- og sikkerhedskursus for
alle medarbejdere i produktionen – ”Sikkerhed og
arbejdsmiljø i hverdagen”. Formålet er at højne sik-
kerheden, påvirke og øge motivationen for at arbejde
for et bedre arbejdsmiljø. Kurset er obligatorisk for
alle medarbejdere i produktionen, og det er beslut-
tet at gennemføre kurset hvert år. Kurset var en
succes, og evalueringen viser, at der er god plads til
forbedringer i dagligdagen.
FREMMEDE FIRMAER
Der afholdes kvartalsmøder med fremmede firma-
er. Det er vigtigt fortsat at holde fokus på indlejet
arbejdskraft (fremmede firmaer), have en tæt dialog
og sammen skabe forbedringer.
I forbindelse med større opgaver, herunder ovnstop
er der tæt kontakt til fremmede firmaer omkring
koordineringen af arbejdsmiljø- og sikkerhedsar-
bejdet. Mange situationer tages i opløbet, så de ikke
udvikler sig til ulykke eller tilløb til ulykke – et for-
hold, som mange fremmede firmaer udtrykker stor
tilfredshed med. Gennem den tætte dialog kommer
der ofte forbedringsforslag op – forslag, der kan ud-
mønte sig i konkrete tiltag, som begge parter efter-
følgende kan have glæde af.
36
PDF to HTML - Convert PDF files to HTML files
1375913_0039.png
MILJØREDEGØRELSE 2013
SIKKERHEDSFILM OG VELKOMSTFOLDER
Sikkerhedsfilmen kan fortsat ses på YouTube i for-
skellige sprogudgaver (dansk, engelsk og tysk). Vore
leverandører har dermed adgang til filmen hjemme i
egen virksomhed, og kan se den, før de ankommer til
arbejdsstedet. Der udleveres også en velkomstfolder
med de vigtigste oplysninger om arbejdspladsen.
HELBREDSUNDERSØGELSE
– VAGTGÅENDE
Der blev i 2013 tilbudt en helbredsundersøgelse
(Sundhedsprofil) til alle vagtgående medarbejdere.
Resultatet af helbredsundersøgelsen viser, at der
er behov for at fokusere på stress-situationer, for
stort arbejdspres, sundere kost, rygestop og mere
motion. Der er udarbejdet en handlingsplan for de
tiltag, der vil blive igangsat i 2014.
EUROPÆISK HJERTESTARTERDAG
Den 7. oktober 2013 deltog ca. 80 medarbejdere i
et hjertestarterkursus, afholdt på fabrikken. Anled-
ningen var den Europæiske hjertestarterdag – og de
mange kursusdeltagere fik – ud over lejlighed til at
afprøve egne færdigheder – også et kursusbevis for
deltagelse.
MOTION
Motionscentret benyttes fortsat af mange medar-
bejdere og deres familier, og der er stadig mulighed
for at få vejledning af en instruktør. Derudover er der
badmintonbaner, som også benyttes af mange med-
arbejdere.
Aalborg Portlands medarbejdere deltog, ligesom
tidligere år, i DHL-stafetten i 2013.
KOST
Kantinekonceptet med sund buffet, hvor den enkelte
medarbejder selv sammensætter en god og sund
kost er fortsat en succes. Der køres desuden kam-
pagner med forskellige temaer af 1-3 dages varig-
hed. Der har i 2013 fortsat været fokus på fedtfattige
produkter i kantinen.
RYGNING
Aalborg Portlands rygepolitik tillader ikke rygning
eller E-cigaretter indendørs.
Der tilbydes rygestopkursus til de medarbejdere,
der ønsker at stoppe.
DET RUMMELIGE ARBEJDSMARKED
Aalborg Portlands politik for fraværs- og fasthol-
delsessamtaler bliver nøje overholdt. Herigennem
sikrer vi, at der tages kontakt til medarbejdere med
langvarigt eller hyppigt fravær og fastholdelse af
medarbejdere, som af en eller anden grund udsæt-
tes for længere fravær.
Også i 2013 blev der gennemført medarbejderud-
viklingssamtaler for både funktionærer og timeløn-
nede medarbejdere. Ved samtalerne drøftes blandt
andet trivsel, psykisk arbejdsmiljø og medarbejder-
nes behov for kompetencegivende efteruddannelse.
Samarbejdet mellem HR-funktionen og Arbejds-
miljøorganisationen bliver fortsat intensiveret. Der
er mange ”snitflader”, især når vi taler psykisk
arbejdsmiljø. Der er en god koordination, ligesom
sygefraværspolitikken er et fælles anliggende, der
sikrer, at der tages hånd om den enkelte medar-
bejder så tidligt som muligt – og dermed sikrer et
positivt forløb hele vejen igennem.
37
PDF to HTML - Convert PDF files to HTML files
1375913_0040.png
MÅLEMETODER OG BEREGNINGSGRUNDLAG
Oplysninger til brug for miljøredegørelsen er frem-
kommet fra MiljøInfoSystem, hvortil forskellige data-
typer indlæses fra systemer til registrering af rådata.
Nedenfor er der redegjort for målemetoder i forbind-
else med registrering af rådata.
• Råmaterialer, genanvendelsesmaterialer og brænd-
sler er opgjort efter målepunkter i fremstillingspro-
cessen i form af flowmålere og vægte.
• Vandforbrug er målt med vandure.
• Elforbrug er målt med kWh-målere.
• Emballage er beregnet ud fra lageropgørelser.
• CO
2
-udledningen er i 2009-2013 beregnet i over-
ensstemmelse med den godkendte CO
2
-overvåg-
ningsplan og verificeret af ekstern CO
2
-verifikator.
• NO
X
, SO
2
, CO, HCl, NH
3
og støv fra ovne er opgjort
ved kontinuerlig måling i skorstenene. Det samme
gælder støvkoncentrationer i afkast fra cement-
mølleri og kulmølleri, hvorimod luftmængde her-
fra er beregnet på baggrund af stikprøvemålinger.
• Mængden af Hg er beregnet ud fra kontinuerlig
måling af luftmængder fra ovne og Hg-koncen-
trationer, der er stikprøvemåling fra årlige præ-
stationsmålinger.
• Produkter er opgjort ved vejning og beregning. Pro-
duktion af fjernvarme er målt med kaloriemåler.
• Affald er opgjort ved vejning på brovægt samt års-
opgørelser fra eksterne affaldsmodtagere.
• Kølevand er beregnet ud fra princippet om vand-
balance, hvor målt vandforbrug, grundvandssænk-
ning samt vandindhold i materialer og brændsler
på ind-siden fratrækkes følgende flowmålte ud-
ledninger på ud-siden: Vanddamp og grundvands-
sænkning ved ovn 76 samt spildevand (sanitært og
vaskevand).
• Mængden af forbrændingsluft er beregnet indirekte
ved at trække stofstrømmens ind-side fra ud-siden.
• Arbejdsulykker og ulykkesfravær opgøres ud fra
anmeldelser til Arbejdstilsynet.
• Støjberegning er udført af eksternt akkrediteret
firma ud fra kildestyrkemålinger og efterfølgende
beregning.
Kontinuerte emissions- og flowmålere samt bro-
vægte er underlagt regelmæssig kontrol og kalibre-
ret af DANAK-akkrediterede firmaer.
38
PDF to HTML - Convert PDF files to HTML files
1375913_0041.png
MILJØREDEGØRELSE 2013
REGNSKABSTAL OG SAMFUNDSBIDRAG
MILJØAFGIFTER
Miljøafgifterne er steget fra DKK 42,6 mio. i 2011 til
DKK 76,0 mio. i 2013. En betydelig stigning på 78%,
som skyldes forhøjelse af NO
X
- og PSO-afgifter.
Der synes nu at være fastlagt et justeret bundfradrag
for den såkaldte NO
X
-afgift i Danmark, som blev for-
højet kraftigt i 2011. Aalborg Portland forventer en
delvis tilbagebetaling af NOx-afgiften vedrørende pe-
rioden 1. juli 2012 til 31. december 2013.
Afgørelsen om bundfradraget er således positiv for
virksomheden, men tilbage står fortsat de ekstra om-
kostninger, som forhøjelsen af NO
X
-afgiften indebærer.
Hertil kommer en betydelig belastning fra PSO-afgif-
ten. Disse særlige danske afgifter er således fortsat en
betydelig belastning i konkurrencen med europæiske
selskaber, der ikke er pålagt disse afgifter.
ØKONOMISK BIDRAG TIL SAMFUNDET
Aalborg Portlands cementproduktion i Danmark har
væsentlig økonomisk betydning for landet.
Værditilvæksten i 2013 er opgjort til DKK 607 mio.
Heraf gik DKK 254 mio. (42%) til samfundet i form af
moms, afgifter, selskabsskat og kildeskat vedrøren-
de medarbejdernes løn. DKK 136 mio. (22%) gik til
medarbejderne i form af løn og pension (efter skat).
DKK 187 mio. henlægges til selskabets egenkapital.
Derudover skabes der en værditilvækst via vores un-
derleverandører, som har beskæftigelse på Aalborg
Portland – bl.a. inden for transport, vedligeholdelse
og facility management.
stigning i Aalborg Portlands
miljøafgifter fra 2011-2013
Selskabet har afholdt følgende direkte miljøafgifter:
DKK mio.
PSO-afgift
NO
X
-afgift
Affaldsafgift
Elafgift
Energiafgift
Råstofafgift
Svovlafgift
I alt
2011
12
2
13
4
5
4
2
42
2012
24
16
11
8
4
4
1
68
2013
26
29
3
5
7
4
2
76
78%
DKK 254 mio.
Fordeling af værditilvæksten
DKK mio.
Nettoomsætning
Materialeforbrug, tjeneste-
ydelser, afskrivninger mv.
Værditilvækst
Samfundet
Medarbejderne
Renter af fremmedkapital
Overført til egenkapital
Udbytte til ejeren
I alt
2011
1.339
777
562
217
140
11
3
191
562
af værditilvæksten gik til samfundet i
2013, svarende til en stigning på 7%
2012
1.375
698
677
238
123
15
301
0
677
2013
1.405
798
607
254
136
30
187
0
607
MILJØ OG ARBEJDSMILJØ
Ud over investeringer i miljøforbedringer, driftsom-
kostninger, miljøafgifter og omkostninger til drift af
arbejdsmiljøorganisationen afholder Aalborg Port-
land omkostninger til drift af afdelingerne Miljø &
Energi og Arbejdsmiljø & Sikkerhed. Driftsomkost-
ninger hertil var på i alt DKK 3,7 mio. i 2013.
42%
31%
Overført til
egenkapital
Samfundet
5%
Renter af
fremmedkapital
22%
Medarbejdere
39
PDF to HTML - Convert PDF files to HTML files
1375913_0042.png
DEN UAFHÆNGIGE REVISORS ERKLÆRING
TIL AALBORG PORTLAND A/S’ INTERESSENTER
Vi har foretaget en vurdering af den af ledelsen ud-
arbejdede Miljøredegørelse – Grønt Regnskab og
Arbejdsmiljø for 2013 for Aalborg Portland A/S’ akti-
viteter i Aalborg, der udarbejdes efter reglerne i lov-
givningen om grønne regnskaber samt de beskrevne
målemetoder og beregningsgrundlag.
Aalborg Portland A/S’ ledelse er ansvarlig for Miljø-
redegørelse 2013 – Grønt Regnskab og Arbejdsmiljø.
Vores ansvar er på grundlag af vores vurdering at
udtrykke en konklusion om Miljøredegørelsen 2013 –
Grønt Regnskab og Arbejdsmiljø.
DET UDFØRTE ARBEJDE
Vi har udført vores arbejde i overensstemmelse med
den internationale standard om andre erklæringsop-
gaver med sikkerhed og yderligere krav ifølge dansk
revisorlovgivning. Arbejdet er udført med henblik på
at opnå høj grad af sikkerhed for vores konklusion.
Vores arbejde har ud fra en vurdering af væsentlighed
og risiko omfattet analyser, forespørgsler til ledelse
og akkrediteret certificeringsfirma, stikprøvevis test
af systemer, data og underliggende dokumentation
samt kontrol af, om de anførte retningslinjer for re-
gistrering og måling af data er fulgt. Vi har herunder
vurderet om den af ledelsen valgte regnskabspraksis
er passende, om de af ledelsen udøvede skøn er ri-
melige samt en vurdering af den samlede præsen-
tation af miljøredegørelsen og det grønne regnskab,
herunder hvorvidt regnskabet overholder reglerne i
lovgivningen om grønne regnskaber.
Vi har anvendt både revisions- og miljøfaglige spe-
cialister ved udførelsen af arbejdet. Det er vores op-
fattelse, at det udførte arbejde giver et tilstrækkeligt
grundlag for vores konklusion.
KONKLUSION
Efter vores opfattelse er Miljøredegørelse 2013 –
Grønt Regnskab og Arbejdsmiljø for Aalborg Portland
A/S’ aktiviteter i Aalborg udarbejdet i overensstem-
melse med reglerne i lovgivningen om grønne regn-
skaber og i overensstemmelse med de beskrevne
målemetoder og beregningsgrundlag.
Aalborg, den 2. april 2014
KPMG
Statsautoriseret Revisionspartnerselskab
Hans B. Vistisen
Statsaut. revisor
Steffen S. Hansen
Statsaut. revisor
EMAS-REGISTRERING
Verifikator
Bureau Veritas Certification
Akkrediteringsnr.
DANAK DK-V Reg. 6002
Dato for verifikation og
validering af redegørelsen
19. marts 2014
40
PDF to HTML - Convert PDF files to HTML files
1375913_0043.png
MILJØREDEGØRELSE 2013
ORDFORKLARING
Afsvovlingsgips
Gips dannet ved afsvovling af røggasser.
Alkali
På Aalborg Portland drejer det sig om natrium og kaliumforbin-
delser.
Alternative brændsler
Brændbare affaldsprodukter, der erstatter fossile brændsler og som
består af et oparbejdet brændselsprodukt, kød- og benmel, tørret
spildevandsslam og neddelte dæk.
APV
ArbejdsPladsVurdering.
BAT
Best Available Technique. EU-dokumenter der beskriver den bedst
tilgængelige teknik inden for forskellige brancher. Bruges som
grundlag for miljøgodkendelser.
Cementklinker
Mellemprodukt efter brænding af slam i ovnene som formales til
færdig cement.
Cementmølle
Formaler cementklinker til cement.
CO
Kulilte. Fremkommer ved ufuldstændig forbrænding af fossilt
brændsel. Omdannes i atmosfæren til CO
2
.
CO
2
Kuldioxid. Dannes ved afbrænding af brændsel og calcinering af kridt.
CO
2
beregnes efter EU´s retningslinjer for opgørelse af CO
2
-
emission.
dB(A)
Støj måles i decibel dB(A), som er en logaritmisk skala. Som eksem-
pler kan nævnes, at støjen fra blade, der rasler i vinden, er omkring
20 dB(A). Støjen i en normal opholdsstue er omkring 40 dB(A), på
kontorer 60-65 dB(A), en vej med normal trafik 80-85 dB(A), og et
trykluftbor udsender ca. 100 dB(A).
EGA
Ensidigt Gentaget Arbejde (EGA) er arbejde, hvor den samme arbejds-
operation gentages med få sekunders eller minutters mellemrum.
EGA kan give anledning til fysiske og psykiske arbejdsmiljøproblemer.
EMAS
Den europæiske forordning til registrering af miljøledelsessystemer.
Emission
Udledning af støj eller stof. Ved udledning af røggasser måles
mængderne kontinuerligt med måleudstyr, bortset fra CO
2
.
Se herom under CO
2
.
Filtratvand
Overskudsvand, der dannes i varmegenvindingens kedler ved
udkondensering af vand fra røggasserne.
Flyveaske
Materiale, der fremkommer ved rensning af røggasser med et
elektrofilter.
Fossilt brændsel
Kul, petcoke, olie og naturgas.
GJ
Energienhed. Giga Joule = 1.000 MJ.
HCl
Hydrogenchlorid.
Hg
Kviksølv.
Husstands energiforbrug
Der er regnet med følgende gennemsnitlig forbrug pr. husstand.
El: 4.000 kWh pr. år. Rumvarme: 50 GJ pr. år.
IPL
System til håndtering af Aalborg Portlands ArbejdsPladsVurderinger
(APV).
ISO 14001
Den Internationale StandardiseringsOrganisations standard
omhandlende retningslinjer for opbygning og vedligeholdelse
af miljøstyringssystemer.
ISO 50001
Standard, der omhandler retningslinjer for opbygning af energiledel-
sessystemer.
Jernoxid
Jernholdige restprodukter fra fremstilling af svovlsyre.
Kisaske
Se Jernoxid.
Livscyklusanalyse (LCA)
En metode til vurdering af et produkts miljømæssige og andre
påvirkninger af omgivelserne i tidsrummet fra indvinding af råstoffer
til og med bortskaffelse af produktet.
Microfiller
Fillermateriale med kornstørrelse < 50 µm.
NH
3
Ammoniak.
NO
X
Kvælstofilter. Dannes ved forbrænding af brændsel. Medvirker til
dannelse af syreregn.
OHSAS 18001
International retningslinje for opbygning og vedligeholdelse af
arbejdsmiljøstyringssystemer.
Petcoke
En koksrest fra raffinering af råolie til benzin. Petcoke har et lavt
askeindhold.
Procesledelsessystem
Aalborg Portlands system, der sikrer, at håndteringen af kvalitets-,
miljø-, energi- og arbejdsmiljøforhold på virksomheden foregår
ensartet og i overensstemmelse med politik, mål, givne retnings-
linjer og regler.
PRTR
Pollutant Release and Transfer Register. Det europæiske register
over udledning og overførsel af forurenende stoffer.
PSO-afgift
Afgift der forpligter til indkøb af grøn el.
Råmel
Cementklinker og råmaterialer, der ikke er brændt færdig.
Råmel opstår eksempelvis ved ovnstop.
SO
2
Svovldioxid. Dannes ved forbrænding af brændsel. Medvirker til
dannelse af syreregn.
Stofstrømmen
Beskrivelse af hvilke ressourcer Aalborg Portland anvender i
produktionen af cement, hvor meget der produceres, samt hvilke
udledninger produktionen medfører – se side 22-23.
Substitution
Erstatning. Her brugt i forbindelse med erstatning af et råstof
med et restprodukt, eksempelvis ler erstattet med flyveaske.
tTCE
ton Total Cement Equivalent. En standardenhed for produktionen,
som fremkommer ved beregning af den ækvivalente cementton-
nage, hvis salg og lagerforskydning af klinker var forarbejdet til
cement. Hver klinkertype ganges således med en faktor, der udtryk-
ker tilsætning af øvrige materialer for fremstilling af cementen.
VVM
Vurdering af Virkninger på Miljøet. EU-direktiv, der indebærer, at
anlæg, der antages at kunne påvirke miljøet væsentligt, først kan
etableres, når direktivets procedure er gennemført, herunder at der
udarbejdes en VVM-redegørelse, gennemføres offentlig høring mv.
41
PDF to HTML - Convert PDF files to HTML files
1375913_0044.png
Miljøredegørelse 2013
Grønt regnskab og arbejdsmiljø
Redigeret og udgivet af
Aalborg Portland A/S
Miljø & Energi
Ansvarshavende redaktør
Miljø- og energichef Preben Andreasen
Tlf. +45 99 33 79 33
Design og produktion
www.hegnet.dk og www.prcsrl.com
Aalborg Portland A/S
Rørdalsvej 44
Postboks 165
9100 Aalborg
Telefon +45 98 16 77 77
[email protected]
www.aalborgportland.dk