Socialudvalget 2013-14, By- og Boligudvalget 2013-14
SOU Alm.del Bilag 327, BYB Alm.del Bilag 90
Offentligt
1396469_0001.png
Til
Ministeriet for By, Bolig og Landdistrikter
Dato
Januar 2012
Version
1.0
EVALUERING AF LOV OM
FRIPLEJEBOLIGER
PDF to HTML - Convert PDF files to HTML files
EVALUERING AF LOV OM FRIPLEJEBOLIGER
Rambøll
Hannemanns Allé 53
DK-2300 København S
T +45 5161 1000
F +45 5161 1001
www.ramboll-management.dk
PDF to HTML - Convert PDF files to HTML files
EVALUERING AF LOV OM FRIPLEJEBOLIGER
INDHOLD
1.
1.1
1.2
1.3
2.
2.1
2.2
2.3
2.4
3.
3.1
3.2
3.2.1
3.2.2
3.2.3
3.2.4
3.2.5
4.
4.1
4.2
4.2.1
4.2.2
4.2.3
4.3
4.3.1
4.3.2
4.3.3
4.4
4.5
4.6
5.
5.1
5.2
5.3
5.4
5.5
5.6
5.7
5.8
5.9
6.
6.1
6.2
6.2.1
6.2.2
6.2.3
6.3
Indledning
Formål
Evalueringsdesign
Rapportens struktur og læsevejledning
Resumé
Lovgivningens indretning
Borgernes anvendelse af det frie valg
Konkurrencesituationen
Kommunernes administration
Lovgivningens formål og indhold
Lovens formål
Lovens indhold
Certificering
Etablering
Drift og afregning af service og pleje
Tilsyn
Udbud og afhændelse
Implementeringen af loven
Udnyttelse af kvoter
Leverandørerne af friplejeboliger
Certificering
Målgrupper
Baggrunden for etablering
Beboerne i friplejeboligerne
Geografi
Sundhedsydelser
Ægtefæller
Årsager til valg af plejebolig
Kommunernes stillingtagen
Interessen for at etablere nye friplejeboliger
Erfaringer med etablering
Lovgivningen generelt
Certificerings- og godkendelsesprocessen
Kvotetildeling og forældelsesfrister
Finansiering og krav til kapitalstillelse
Takstsystemet
Adgangen til borgerne
Konkurrenceudsættelse
Krav til ejerform
Kommunernes vurdering
Erfaringer med drift
Samarbejde mellem kommuner og leverandører
Borgernes adgang til friplejeboliger
Borgerens kontaktflader til leverandørerne
Kommunernes information til borgerne
Leverandørens anvisning af borgeren
Leverandørernes forretningsmodel
1
1
1
3
5
5
6
6
7
9
9
9
10
10
11
12
13
14
14
14
15
16
17
18
21
22
23
23
24
25
27
27
28
28
28
29
29
30
30
30
32
32
33
33
34
35
36
PDF to HTML - Convert PDF files to HTML files
EVALUERING AF LOV OM FRIPLEJEBOLIGER
6.3.1
6.3.2
6.3.3
6.3.4
6.4
7.
7.1
7.1.1
7.1.2
7.2
7.3
7.3.1
7.3.2
7.3.3
7.3.4
7.3.5
7.3.6
7.3.7
8.
8.1
8.2
Det takstbaserede modulsystem
Salg af tilkøbsydelser
Håndtering af serviceydelser
Håndtering af sygeplejeydelser
Forhold vedrørende borgere med psykiske og fysiske
handicap
Analyse af lovens effekter
Borgerens anvendelse af det frie valg
Oplevelse og vægtning af valgfrihed
Barrierer og drivkræfter for det frie valg
Etablering af en konkurrencesituation
Kommunernes udgifter
Dialog med leverandører
Visitation af borgere
Effekter knyttet til serviceloven
Effekter knyttet til sundhedsloven
Administration og forvaltning
Kapacitetstilpasning
Samlet vurdering af konsekvenserne for kommunerne
Bilag
Evelueringsdesign
Lov om friplejeboliger
36
39
41
42
43
45
45
45
46
48
50
51
51
53
54
55
57
59
61
61
70
PDF to HTML - Convert PDF files to HTML files
1396469_0005.png
1
1.
1.1
INDLEDNING
Formål
Formålet med evalueringen er at tilvejebringe et grundlag for, at Ministeriet for By, Bolig og
Landdistrikter i samarbejde med Social- og Integrationsministeriet kan udarbejde en redegø-
relse til Folketinget om effekterne af lov om friplejeboliger.
Målet med evalueringen er at tilvejebringe en overordnet vurdering af, om friplejeboligord-
ningen indfrier de fastsatte mål. Hvorvidt det måtte give anledning til ændringer i den eksi-
sterende lovgivning, er således ikke en del af formålet.
Evalueringen er blevet tilrettelagt og gennemført med fokus på at afdække følgende temaer:
Borgernes anvendelse af det frie valg
Etablering af en konkurrencesituation hvor leverandørerne har muligheder for at etablere
friplejeboliger og levere service herfra
Konsekvenserne for kommunerne i forhold til kapacitetstilpasning, administration og ser-
viceudgifter
Temaerne afspejler samtidig de målgrupper, som evalueringen er centreret omkring:
1.2
Borgere (beboere i friplejebolig og kommunale plejeboliger og beboere på venteliste til
friplejebolig)
Eksisterende og potentielle leverandører af friplejeboliger
Kommunerne (beliggenheds- og oprindelseskommuner)
Evalueringsdesign
Evalueringen er tilrettelagt med afsæt i en teoribaseret tilgang, som er operationaliseret med
en eksplicit forandringsteori og eksplicitte antagelser om mulige drivkræfter og barrierer i im-
plementeringen af lov om friplejeboliger. Med denne tilgang er det muligt at gå i dybden og
undersøge hvordan, for hvem og under hvilke omstændigheder lovgivningen virker
1
.
Tilgangen medfører, at Rambøll i samspil med det daværende Socialministerium først har
identificeret og ekspliciteret de centrale virkningsspørgsmål og forandringsteorien bag indsat-
sen, som derefter har dannet grundlag for at udlede hypoteser om programinterne og pro-
grameksterne forhold til en empirisk afprøvning med brug af dokumentation.
Nedenstående figur viser en grafisk illustration af forandringsteorien bag etablering af friple-
jeboligordningen:
1
Tilgangen er inspireret af Contribution Analysis
PDF to HTML - Convert PDF files to HTML files
1396469_0006.png
2
B: Hypoteser om drivkræfter og barrierer for
effekten
B
A
Vedtagelse af
lov om
friplejeboliger
Levendører
certificeres til at
etablere friplejebolig
Leverandører vælger
at ansøge om
etablering af
friplejeboliger
Borgerne oplever
øget udbud af
valgm uligheder
Borgerne oplever et
øget frit valg
Der etableres
friplejeboliger
Der tilbydes
tilkøbsydelser
Øget konkurrence
Mere tilfredse
borgere
Større effektivitet i
opgaveløsning
Risiko for øget
administration
Risiko for øget
ulighed
Risiko for ledige
plejeboliger hos
komm unerne
Risiko for øgede
serviceudgifter og
sundhedsudgifter hos
komm unerne
A
C
A: Hypoteser om drivkræfter og barrierer
for implementeringen af loven (dvs. etableringen
af friplejeboliger)
C: Hypoteser om drivkræfter og barrierer
for utilsigtede effekter
På baggrund af de forskellige intentioner og forventninger til lovgivningen, som er eksplicite-
ret i forandringsteorien, har vi udledt en række hypoteser om anvendelsen og effekterne af
loven. Evalueringen søger systematisk at be- eller afkræfte de opstillede hypoteser om friple-
jeboliglovens anvendelse samt både tilsigtede og utilsigtede effekter.
For at kunne tilvejebringe en nuanceret viden om, hvordan og under hvilke omstændigheder
loven virker, har evalueringen fokus på at teste hypoteser om såvel eksterne som interne
drivkræfter og barrierer for lovens implementering, anvendelse og effekt.
De interne hypoteser omhandler forhold/instrumenter i selve loven, som kan udgøre driv-
kræfter eller barrierer for dels etableringen og anvendelsen af friplejeboligordningen, dels de
forventede effekter af loven.
De eksterne hypoteser omhandler de drivkræfter og barrierer i konteksten, som påvirker im-
plementeringen af reglerne om friplejeboliger. Således vedrører implementeringen af reglerne
en række aktører i forskellige kontekster: De boligsøgende ældre og deres pårørende, kom-
munerne og eksisterende eller potentielle leverandører. Implementeringen af friplejeboligord-
ningen må derfor ses som betinget af forskellige interesser i og mellem disse kontekster.
Den gennemførte dataindsamling har været hypoteseafprøvende med henblik på at afprøve
hypoteser om de virkende mekanismer i forandringsteorien og de kontekstuelle drivkræfter
og barrierer i forhold til lovgivningen.
For at styrke evalueringsgrundlaget har vi genereret en række operationelle underspørgsmål
med afsæt i ovennævnte hypoteser. For at sikre en grundig belysning af de forskellige per-
spektiver i evalueringen er underspørgsmålene udarbejdet specifikt for de enkelte målgrupper
(borgere, pårørende, leverandører og kommuner).
Datagrundlag
Som led i evalueringen er der gennemført en bredt funderet afdækning af den kreds af aktø-
rer, som udgør målgruppen. Dataindsamling har omfattet i alt 202 aktører.
PDF to HTML - Convert PDF files to HTML files
1396469_0007.png
3
De datakilder og dataindsamlingsmetoder, der er blevet bragt i spil i med henblik på at sikre
en fyldestgørende besvarelse af evalueringsspørgsmålene samt teste de opstillede hypoteser,
fremgår af nedenstående tabel.
Tabel 1: Datakilder og grundlag
Borgere
Pårørende
Leverandører
Kommuner
Embedslæger
Survey
Besøgsinterview
Gruppeinterview
Telefoninterview
Registreringsskema
36
14
35
14
91
8
4
Ud af de i alt 71 interview blandt borgere og pårørende omfattede de 18 af dem fysisk eller
psykisk handikappede eller deres pårørende.
For en uddybende gennemgang af evalueringsdesignet og tilgangen til og håndteringen af da-
taindsamlingen i målgrupperne samt fordelingen af dem henvises til bilag 1.
1.3
Rapportens struktur og læsevejledning
Evalueringens formål og det grundlag, den er etableret på, er sammenfattet i nærværende
kapitel. Herefter følger i
kapitel to
et resume af evalueringen og dens hovedresultater.
I
kapitel tre
gennemgås lovgivningens målsætninger og indhold med henblik på at etablere
og afgrænse grundlaget for selve evalueringen.
Herefter etableres der i
kapitel fire
et samlet overblik over de nuværende leverandører, her-
under deres placering, deres beboere og ydelser. Kapitlet afsluttes med en overordnet vurde-
ring af fremadrettede tendenser.
I
kapitel fem og seks
sammenfattes de hidtidige erfaringer med og vurderinger af vilkårene
for at etablere og drive friplejeboliger. Herunder tilstedeværelsen af barrierer og drivkræfter
for etablering.
I
kapitel syv
foretages analysen af effekterne af loven på baggrund af det samlede data-
grundlag. Effekter opgøres og analyseres igennem afdækning af, hvorvidt der er skabt øget
konkurrence, samt hvad betydningen af frit valg har været, og hvad betydningen har været
for kommunernes udgifter.
Læsevejledning
I evalueringen anvendes en række begreber som for forståelighedens skyld er konkretiseret
nedenfor. Disse er:
Friplejeboligleverandører benævnes i det efterfølgende blot leverandører. Potentielle
friplejeboligleverandører benævnes potentielle leverandører
Når det omhandler boligerne og deres placering benævnes det friplejeboligbebyggelsen
Hvor udtrykket friplejehjem forekommer i citater, skal dette ikke forstås som plejehjem i
servicelovens forstand men som friplejeboligbebyggelsen.
Kommuner som har friplejeboliger beliggende i kommunen omtales beliggenhedskommu-
ner.
Kommuner som har visiterede borgere i friplejeboliger i en anden (beliggenheds)kom-
mune omtales oprindelseskommuner.
PDF to HTML - Convert PDF files to HTML files
4
Alle kommuner har fået mulighed for at besvare en landsdækkende survey. 91 ud af 98
kommuner har svaret. For at sikre et dyberegående indblik i kommunerne, er der derud-
over blevet gennemført besøg hos otte kommuner fordelt på fire beliggenheds- og fire
oprindelseskommuner. Når disse behandles samlet, omtales disse som casekommuner.
PDF to HTML - Convert PDF files to HTML files
5
2.
RESUMÉ
Formålet med evalueringen er at tilvejebringe et grundlag for, at Ministeriet for By, Bolig og
Landdistrikter i samarbejde med Social- og Integrationsministeriet kan udarbejde en redegø-
relse til Folketinget om effekterne af lov om friplejeboliger.
Udover at afdække barrierer og drivkræfter i selve lovgivningen, er evalueringen derfor blevet
tilrettelagt og gennemført med fokus på at afdække:
Borgernes anvendelse af det frie valg
Konkurrencesituationen
Konsekvenserne for kommunerne
Den gennemførte kortlægning viser, at der medio 2011 var 379 beboere i friplejeboliger i
Danmark. Evalueringen og dens konklusioner hviler derfor på den grundlægende præmis, at
antallet af både leverandører og friplejeboliger på nuværende tidspunkt er beskedent.
Den begrænsede udbredelse har ikke betydning for vurderingen af loven som sådan. Men det
er vurderingen, at en del af ikke mindst de økonomiske effekter med fordel kvalificeres yder-
ligere, når ordningen er blevet mere udbredt.
De væsentligste pointer og konklusioner er opsummeret i nedenstående afsnit.
2.1
Lovgivningens indretning
På tværs af eksisterende og potentielle leverandører samt kommuner fremhæves det, at lov-
givningen er tolkningsmæssig svær. Det gennemgående budskab er, at loven forståelses-
mæssigt er så kompleks, at den i sig selv udgør en barriere for friplejeboligordningens udbre-
delse.
For eksisterende og potentielle leverandører er det primært følgende elementer i lovgivnin-
gen, der udgør en barriere:
Højt dokumentationskrav i forbindelse med etablering
Krav til kapitalstillelse herunder særligt belåning af servicearealer
Manglende fleksibilitet i takstsystemet grundet dets inddeling i tre moduler og sprednin-
gen af timesatserne mellem dem
Krav om konkurrenceudsættelse og deraf risiko for at miste ejendom
Krav om at ejendommen skal være ejet
Det er vurderingen, at ovenstående områder tilsammen har medvirket til, at antallet af leve-
randører er på det nuværende niveau.
Det er leverandørernes ansvar at sikre etableringen af en bæredygtig forretningsmodel. På
baggrund af analysen er det imidlertid vurderingen, at kombinationen af ovenstående emner
samt det forhold, at kommunerne spiller en central rolle i adgangen til borgerne, tilsammen
har udfordret muligheden for sikring af kapitalgrundlag via bank- og realkreditinstitutter.
For kommunernes vedkommende er det primært følgende forhold i indretningen af loven, der
giver anledning til udfordringer:
Takstsystemets statsligt fastsatte takster
Omsætning af takstsystemet moduler til kommunens egen visitationsmodel
Derudover er det vurderingen, at kompleksiteten i lovgivningen har medført, at særligt belig-
genhedskommunerne har haft flere udfordringer med implementeringen af den sammenlignet
med øvrig lovgivning.
PDF to HTML - Convert PDF files to HTML files
6
I forhold til borgere og pårørende har lovgivningens indretning alt andet lige haft begrænset
betydning.
2.2
Borgernes anvendelse af det frie valg
Men etableringen af friplejeboliger er der etableret mulighed for, at der i højere grad end tid-
ligere kan foretages et valg mellem forskellige typer plejeboligleverandører.
Det er et gennemgående træk hos hovedparten af de interviewede beboere og pårørende, at
de oplever, at have haft valgmuligheder i forbindelse med valg af plejebolig. Derudover væg-
tes tilstedeværelsen af et (frit) valg højt. Endelig er det et gennemgående træk, at det ikke er
typen af plejeboligleverandør, som er afgørende for valget.
Det er vurderingen, at følgende faktorer påvirker udfaldet af valget:
Geografi og renommé
er de væsentligste faktorer i borgerens valg og betinger således
groft sagt valgfriheden for den enkelte. Dermed synes der særligt at være grundlag for
øget valgfrihed i beliggenhedskommuner, da beboere i nærheden kan vælge friplejeboli-
gen som lokalt alternativ.
Kommunens information om valgmuligheder
har betydning for borgernes oplevelse af
valgfrihed, idet det er her de og/eller deres pårørende oplyses om muligheder for fripleje-
boliger. Analysen har påvist, at det kommunale informationsniveau alt i alt er meget vari-
erende.
Beboeres og pårørendes profil og tilgang
har betydning, idet viden om muligheder i
friplejeboliger ofte er drevet af borgerne selv. De, der vælger friplejeboliger, lader til i hø-
jere grad at have taget aktivt stilling til, hvor de gerne vil hen og afsøgt deres mulighe-
der. Borgernes personlige ressourcer og omstændighederne omkring det valg, som skal
træffes, er således en væsentlig faktor, som i givet fald kan hæmme eller fremme valg-
friheden.
2.3
Konkurrencesituationen
Med vedtagelsen af loven er det blevet skabt et grundlag for etablering af en ny type leve-
randør af og dermed konkurrence på plejeydelser i Danmark. Grundtanken er, at flere typer
plejeboligtilbud vil skabe et marked blandt leverandørerne, der kan konkurrere særligt på
kvaliteten til gavn for borgerne og i nogen udstrækning også på pris.
Konkurrencesituationen på landsplan bør i høj grad ses i lyset af, at ordningen fortsat er i sin
vorden. Ud af de 33 certificerede leverandører er de 14 i drift med i alt 379 beboere. På
landsplan er der således tale om, at under 1 pct. af målgruppen er bosiddende i en friplejebo-
lig. Der er derfor endnu ikke etableret tilstrækkelig volumen til, at der er tale om et egentlig
marked med dertil hørende konkurrence mellem leverandører og/eller kommunale plejehjem.
Det er vurderingen, at følgende faktorer har betydning for konkurrencesituationen:
De udbudte kvoter er endnu ikke blevet fuldt udnyttet.
Blandt de leverandører, der har
budt på kvoterne, har der ikke har været noget incitament til at reducere priserne til un-
der den maksimale pris, der kan gives. Det er således endnu ikke skabt en situation,
hvor der konkurreres på pris på kvoterne. Dermed er forudsætning for national konkur-
rence på denne dimension endnu ikke blevet tilvejebragt.
Konkurrencen og differentieringen på ydelser er begrænset.
Dels fordi omfanget og bred-
den i antallet af tilkøbsydelser er behersket, dels fordi bevidstheden omkring dem blandt
borgere/pårørende er lav. I takt med at leverandørerne bliver mere etablerede, er der in-
dikationer på, at fokus på forretningsudvikling øges. Dermed kan det forventes at palet-
ten af ydelser og dermed differentieringen øges.
PDF to HTML - Convert PDF files to HTML files
7
Begrænset geografisk spredning.
Placeringen af de enkelte friplejeboligbebyggelser er i
dag koncentreret til bestemte områder af Danmark. Kortlægningen har vist, at bevidst-
heden om forskel mellem de kommunale og private tilbud er relativt set større her – både
blandt kommuner, borgere og deres pårørende. Der er derfor indikationer på, at meka-
nismerne i et lokalt eller regionalt marked er under etablering. Den gryende konkurrence
er hovedsageligt begrænset til de 11 beliggenhedskommuner.
Sammenholdt med at borgernes valg af bolig kun i begrænset omfang er knyttet til de tilkøb-
sydelser, som ellers ville kunne differentiere friplejeboligerne fra de kommunale plejeboliger,
er det vurderingen, at der endnu ikke er skabt en konkurrencesituation på landsplan.
Det er vurderingen, at interessen for etablering af nye friplejeboliger fremadrettet er til stede.
Men stigningstakten i antallet af leverandører vil også fremover forblive relativt lav. Sammen-
lignet med det samlede udbud af plejeboliger, vil den volumen som leverandørerne vil udgøre
i markedet derfor fortsat være lille. Dermed er grundlaget for etablering af en reel national
konkurrence indenfor en kort tidshorisont behersket. Det afgørende parameter i denne sam-
menhæng vil være, at hvor de nye leverandører placerer sig, er der grundlag for øget regio-
nal konkurrence.
2.4
Kommunernes administration
Med vedtagelsen af loven har kommunerne fået tilføjet en ny dimension i deres forvaltning og
administration af plejeområdet.
Hovedparten af kommunerne har valgt at anlægge en pragmatisk tilgang til håndteringen af
leverandørerne, der i vid udstrækning er styret af, hvorvidt der er etableret og frem for alt
idriftsat leverandører i kommunen eller ej. Vurderingen af effekten af loven er derfor knyttet
til de nuværende 31 beliggenheds- og oprindelseskommuner.
Kortlægningen har vist, at ordningen kan medføre driftsomkostninger i kommunerne knyttet
til:
Tidsforbrug på dialog med leverandører – både i forbindelse med opstart og drift
Tidsforbrug på kobling til egen visitationsmodel
Øgede driftsomkostninger til borgere i friplejeboliger sammenlignet med borgere i kom-
munale plejeboliger
Øgede omkostninger til sygeplejeydelser i beliggenhedskommunerne
Omfanget af ordningen er som påpeget behersket. De driftsomkostnigner der er identificeret,
er derfor knyttet til et realtivt begrænset antal aktiviteter set i forhold til den samlede
kommunale aktivitet på plejeområdet i de casekommuner, der har indgået i kortlægningen.
På tværs af casekommunerne er det vurderingen, at der er betydelig forskel på den
gennemsnitlige pris for borgere i hhv. fripleje- og kommunale plejeboliger. En prisforskel som
kommunerne forventer kan blive øget i takt med, at kommunerne som led i generel
effektivisering reducerer omkostningerne til deres egne plejeboliger.
Antallet af nuværende leverandører betyder, at deres effekt på den samlede kapacitetsplan-
lægning i kommunerne endnu er begrænset. Dertil er volumen i antallet af beboere for lavt.
På tværs af kommunerne er der imdilertid en klar forventning om, at såvel økonomi- som
kapacitetsstyringen på plejeområdet vil blive udfordret, såfremt ordningen vinder større
udbredelse.
Særligt begliggenhedskommunerne kan blive udfordret. Dels fordi de er pålagt at afholde
udgifterne til sygeplejeydelser for alle beboere. Dels fordi de, hvis antallet af leverandørerne
undergår en positiv udvikling i deres kommune, vil kunne få relativt flere plejekrævende
beboere, end hvis de ikke havde været beliggende i kommunen.
PDF to HTML - Convert PDF files to HTML files
8
Det ligger udenfor formålet med evalueringen at foretage en driftsøkonomisk analyse i kom-
munerne. På baggrund af den kortlægning, der er gennemført, og de data der indhentet kan
der derfor ikke drages konklusioner om de driftsøkonomiske konsekvenser af loven
.
PDF to HTML - Convert PDF files to HTML files
1396469_0013.png
9
3.
LOVGIVNINGENS FORMÅL OG INDHOLD
Formålet med dette kapitel er at redegøre for lovgivningens målsætninger og indhold. Det
skal understreges, at der er tale om et ekstrakt af lovgivningen med henblik på at tydeliggøre
de for evalueringen væsentligste elementer i loven. For en egentlig specificering af lovens
indhold henvises til bilag 2.
3.1
Lovens formål
Lov om friplejeboliger blev udarbejdet på baggrund af regeringsgrundlaget fra 2005, hvoraf
det fremgik, at regeringen ville arbejde for at øge borgernes valgmuligheder og skabe et me-
re varieret udbud af botilbud i form af plejehjem, plejeboliger mv. (herefter benævnt plejebo-
liger). Heraf fremgik det også, at regeringen ville foreslå frit valg mellem kommunale plejebo-
liger, selvejende institutioner og private plejeboliger
2
.
Lov om friplejeboliger blev vedtaget den 27. januar 2007 og trådte i kraft den 1. februar
2007. Lovens målsætning var først og fremmest at udbygge den øgede valgfrihed for borgere
på plejeboligområdet (jf. det frie valg af plejeboliger over kommunegrænser indført pr. 1. juli
2002), således at borgerne får flere valgmuligheder mellem plejeboliger.
Samtidig var det hensigten, at borgerne skulle kunne opnå et mere varieret udbud af plejebo-
liger ved at få frit valg mellem kommunale plejeboliger, selvejende institutioner og private
plejeboliger. Dermed gives fonde, herunder selvejende institutioner og andre private leveran-
dører, mulighed for at etablere og drive friplejeboliger i konkurrence med kommunernes ple-
jeboligtilbud.
Målet med loven var således at skabe grundlaget for at:
Borgerne får flere muligheder for tilbud tilpasset deres individuelle behov
Der skabes konkurrence mellem forskellige plejeboligudbydere
3.2
Lovens indhold
En friplejebolig er en udlejningsbolig til personer med behov for omfattende service og pleje
efter servicelovens bestemmelser. Boligerne er ikke en del af den kommunale boligforsyning.
Det vil sige, at friplejeboligleverandøren har anvisningsretten og ikke kan indgå en aftale med
kommunen, om at denne aftager et fast antal pladser.
§
35 i friplejeboligloven:
Friplejeboliger kan kun udlejes til personer, der er visiteret til en plejebolig
eller lignende boligform af kommunen.
Bebyggelsen skal indeholde servicearealer, hvorfra service og pleje af borgerne kan udføres
efter lov om social service, jf. §§ 43 og 45 i bekendtgørelse nr. 753 af 3. juli 2008 (etable-
ringsbekendtgørelsen).
Loven omfatter personer, der er visiteret til en plejebolig, og som har indgået lejeaftale med
en friplejeboligleverandør. Det er opholdskommunen, der visiterer borgeren til en plejebolig.
Retten til frit at vælge en friplejebolig er dog betinget af, at friplejeboligleverandøren er certi-
ficeret til at yde den service og pleje, som borgeren er visiteret til.
§
3, stk. 2, i friplejeboligloven:
Retten til frit at vælge at indgå lejeaftale med en friplejeboligleveran-
dør er uafhængig af, om friplejeboligen ligger i opholdskommunen eller i en anden kommune.
Ved valg af friplejebolig i en anden kommune end den oprindelige bopælskommune, er der
ikke et krav om dobbeltvisitation. Borgeren skal således kun visiteres i oprindelseskommu-
nen. Hvis der senere bliver behov for ændringer i visitationen, er det beliggenhedskommu-
nen, der foretager en revisitation.
2
Under tema vedrørende ”Frit valg af plejehjem” i ”Nye Mål”, Regeringsgrundlag, 2005
PDF to HTML - Convert PDF files to HTML files
10
Sygeplejeydelser er ikke omfattet af friplejeboligloven. Der er dog ikke noget til hinder for, at
der indgås aftale mellem kommunen og leverandøren om levering heraf, ligesom der kan ind-
gås aftale om andre ydelser efter serviceloven.
3.2.1 Certificering
En friplejeboligbebyggelse kan kun ejes og drives af den samme certificerede friplejeboligle-
verandør.
Leverandører skal være certificerede af Servicestyrelsen for at kunne etablere og drive friple-
jeboliger. Dette skyldes, at målgruppen for friplejeboliger er plejekrævende borgere, og gen-
nem certificeringskravet sikres kvaliteten af plejen i forhold til borgeren.
Certificeringen sker under hensyntagen til bl.a. ansøgerens økonomi, organisation, faglighed,
mv., jf. bekendtgørelse nr. 986 af 3. august 2007 om certificering af friplejeboligleverandø-
rer.
Følgende ydelser efter serviceloven kan være omfattet af certificeringen:
§§ 83 og 87: Personlig og praktisk hjælp
§ 85: Socialpædagogisk bistand
§ 86: Genoptræning mv.
§ 97: Ledsagelse
§ 98: Særlige kontaktpersoner for personer, som er døvblinde
§ 102: Behandlingsmæssige tilbud
Beliggenhedskommunen har leveringsforpligtelsen for beboere i friplejeboliger i forhold til de
ydelser, som leverandøren ikke kan levere.
3.2.2 Etablering
Når leverandøren er certificeret, kan Ministeriet for By, Bolig og Landdistrikter ansøges om
del i de årlige kvoter. Der er to kvoter, som udmeldes en gang årligt:
A: Nybyggeri eller ombygning med statslig støtte (225 boliger årligt i kvote A)
B: Omdannelse af eksisterende byggeri eller nybyggeri eller ombygning uden statslig støtte
(275 boliger årligt i kvote B).
Tildeling af kvoter sker med afsæt i den tilbudte pris på ydelse af personlig og praktisk hjælp
efter servicelovens §§ 83 og 87. Hvis flere byder samme pris, og der i alt søges mere end
årets kvote, sker tildelingen efter supplerende kriterier.
Hovedelementerne i de to kvoter er opsummeret i nedenstående afsnit.
Tilsagn (kvote A)
Potentielle friplejeboligleverandører kan ansøge om støtte til etablering af friplejeboliger ved
nybyggeri eller ombygning med offentlig støtte.
Ministeriet for By, Bolig og Landdistrikter giver i første omgang betinget tilsagn om andel i
kvote A til de ansøgere, som tilbyder at levere personlig og praktisk hjælp efter §§ 83 og 87 i
lov om social service, og hvor antallet af boliger kan rummes inden for bevillingskvoten (§ 28
i friplejeboligloven).
Det betingede tilsagn bliver endeligt, når ansøgeren senest 6 uger efter det betingede tilsagn
dokumenterer at eje eller have indgået en aftale om køb af den grund eller den ejendom,
hvor friplejeboligerne skal etableres. Der må desuden ikke være tilbagekøbsklausul på grun-
den eller ejendommen. Endvidere skal ansøger indsende projektmateriale med dispositions-
forslag for etableringen af friplejeboligerne – uanset om det er i form af nybyggeri eller om-
bygning af den eksisterende bygning (§ 29 i friplejeboligloven). Boligerne skal med hensyn til
udstyr og udformning opfylde de krav, der gælder for almene ældreboliger, jf. friplejeboliglo-
vens § 25.
PDF to HTML - Convert PDF files to HTML files
11
Ansøgere, der modtager afslag i kvote A, kan søge i kvote B, hvis begrundelsen for afslaget
er, at kvote A er opbrugt.
Ved etablering af boliger bevilget under kvote A skal leverandøren selv indskyde 14 procent
af anskaffelsessummen. Herudover sker finansieringen med 84 procent lån (realkreditlån) og
2 procent beboerindskud (§ 12 i friplejeboligloven).
Staten giver ydelsesstøtte til lånet i forhold til den anskaffelsessum, som kommunalbestyrel-
sen godkender efter byggeriets afslutning. Støtten udgør forskellen mellem de samlede ydel-
ser på lånet og friplejeboligleverandørens betaling på realkreditlånet (§ 13 i friplejeboliglo-
ven). Desuden stiller Staten garanti for den del af lånet, der ved låneoptagelsen har pante-
sikkerhed ud over 60 procent af ejendommens værdi (§ 20 i friplejeboligloven).
Godkendelse (kvote B)
Ministeriet for By, Bolig og Landdistrikter kan godkende, at en certificeret friplejeboligleve-
randør etablerer friplejeboliger ved nybyggeri og ombygning uden statslig ydelsesstøtte(§ 11
i friplejeboligloven).
Herudover kan ministeriet godkende omdannelse til friplejeboliger af eksisterende:
1. Plejehjem efter servicelovens § 192
2. Botilbud efter servicelovens § 108
3. Almene plejeboliger tilhørende selvejende institutioner
4. Ældreboliger efter ældreboligloven, som tilhører selvejende institutioner
5. Lette kollektivboliger m.v.
6. Andre tilsvarende boliger målrettet personer med behov for en plejebolig
Den årlige kvote på 275 boliger omfatter både omdannelser og ustøttet nybyggeri eller om-
bygning.
Ved etablering af boliger efter kvote B ved ustøttet nybyggeri eller ombygning, skal beboerne
betale et indskud, hvis beregning afhænger af grundlaget for etableringen af boligerne.
Når en eksisterende bebyggelse omdannes til friplejeboliger, skal lejerne opsiges og have ny
lejekontrakt på de vilkår, der følger af friplejeboligloven, jf. lovens § 60. Beboerne kan ikke
blive pålagt at udføre eller afholde udgifterne til udførelse af istandsættelsesarbejder.
Friplejeboliger etableret ved nybyggeri eller ombygning skal opfylde de krav til udstyr og ud-
formning, der gælder for almene ældreboliger (§ 25 i friplejeboligloven). Etableres boligerne
ved omdannelse, skal de være egnede som friplejeboliger. De skal desuden være forsvarligt
vedligeholdt, og brand-, arbejdsmiljø- og veterinærkrav og lignende vilkår skal være over-
holdt.
3.2.3 Drift og afregning af service og pleje
I forbindelse med levering af ydelser efter serviceloven i friplejeboliger er der fra Social- og
Integrationsministeriets side fastsat takster til brug for afregning mellem kommunerne og
friplejeboligleverandørerne.
Taksterne er fastsat i bekendtgørelse nr. 751 af 3. juli 2008 om afregning mellem friplejebo-
ligleverandøren og kommunalbestyrelsen og om procedurer for velfærdsministerens medde-
lelse af tilsagn om kvotetildeling.
I taksterne er der indregnet et generelt momstillæg. Momstillægget kompenserer for moms-
udgifterne i de direkte udgifter til plejen og til bygningerne (varekøb og tjenesteydelser) samt
momsudgifterne i de indirekte udgifter ved afskrivninger på bygninger og driftsmateriel samt
administration. Endvidere er taksterne korrigeret for belægningsprocenten.
PDF to HTML - Convert PDF files to HTML files
1396469_0016.png
12
For personlig og praktisk hjælp efter servicelovens §§ 83 og 87 er der tale om maksimaltak-
ster for 3 plejemoduler samt for indirekte omkostninger.
Afregningstakster for de tre plejemoduler (personlig og praktisk hjælp) 2011 ni-
veau:
Modul A: ≤ 274 kr. pr døgn (for lejere der modtager < 35 timers hjælp pr. 4 uger)
Modul B: ≤ 837 kr. pr. døgn (for lejere der modtager 35 – 106 timers hjælp pr. 4 uger)
Modul C: ≤ 1808 kr. pr. døgn (for lejere der modtagere > 106 timers hjælp pr. 4 uger)
Indirekte omkostninger pr. lejer: 167 kr. pr. døgn
Leverandørerne skal for levering af personlig og praktisk hjælp afregnes til de priser, som de
byder ind med i forbindelse med kvotetildeling.
For de øvrige ydelser (tillægsydelser), som leverandøren kan certificeres til, er der tale om
timetakster.
Kommunalbestyrelsens afregningstakster for øvrige ydelser leveret af friplejebo-
ligleverandøren 2011 niveau:
Levering af socialpædagogisk bistand afregnes, jf. § 85 i lov om social service, med 325
kr. pr. time
Levering af træning afregnes, jf. § 86 i lov om social service, med 326 kr. pr. time
Levering af ledsagelse afregnes, jf. § 97 i lov om social service, med 321 kr. pr. time
Levering af støtte og kontaktpersonordning afregnes, jf. § 98 i lov om social service,
med 273 kr. pr. time
Levering af behandling afregnes, jf. § 102 i lov om social service, med 380 kr. pr. time
Taksterne reguleres én gang årligt med satsreguleringsprocenten, jf. bekendtgørelsens § 3.
Som det fremgår af nedenstående boks skal den kommunalbestyrelse, der har visiteret en
borger til en friplejebolig, omsætte afgørelsen af sin visitation til et timeforbrug fordelt på de
enkelte ydelser borgeren har krav på.
Bekendtgørelse nr. 751 af 03. juli 2008 - Afregning mellem friplejeboligleverandø-
ren og kommunalbestyrelsen mv.
§ 2. Til brug for afregning mellem kommunalbestyrelsen og friplejeboligleverandøren skal
den kommunalbestyrelse, der har visiteret borgeren til en friplejebolig, omsætte sin afgørel-
se efter lov om social service til et timeforbrug fordelt på hver enkelt ydelse, jf. § 1, som le-
jeren er visiteret til.
Friplejeboligleverandøren opgør krav om betaling en gang månedligt.
Beliggenhedskommunen har adgang til mellemkommunal refusion fra borgerens tidligere op-
holdskommune, jf. retssikkerhedslovens regler om mellemkommunal refusion
(bekendtgørelse
nr. 1635 af 22. december 2010 om retssikkerhed og administration på det sociale område).
3.2.4 Tilsyn
Der skal ifølge friplejeboliglovens §§ 89 og 91 føres tilsyn med friplejeboligernes etablering,
drift og økonomi samt regnskab, revision mv.
PDF to HTML - Convert PDF files to HTML files
13
Det er beliggenhedskommunen, der skal føre tilsyn med friplejeboligerne i kommunen, (jf.
servicelovens §§ 151a og 151b) og således sikre, at leverandøren leverer hjælpen i overens-
stemmelse med kommunens afgørelse. Som led i tilsynsforpligtelsen skal kommunalbestyrel-
sen hvert år foretage mindst ét uanmeldt tilsynsbesøg i friplejeboligerne. Som led i hvert til-
synsbesøg skal kommunalbestyrelsen sikre, at den service, der generelt leveres i friplejebo-
ligbebyggelsen, er i overensstemmelse med friplejeboligleverandørens certifikation
Beliggenhedskommunen skal endvidere føre tilsyn med byggeriet i anlægsfasen og føre tilsyn
med, at boliger og serviceareal holdes forsvarligt ved lige. Endelig påhviler det kommunen at
gennemgå årsregnskabet for boligerne kritisk.
3.2.5 Udbud og afhændelse
Der gælder særlige udbudsregler for friplejeboliger, som er nærmere fastsat i bekendtgørelse
nr. 1244 af 15. december 2008 om drift, udbud og afhændelse af friplejeboliger (driftsbe-
kendtgørelsen). For så vidt angår udbud og afhændelse af friplejeboliger gælder, at;
§
66. i friplejeboligloven.
Socialministeren skal hvert 10. år sætte friplejeboligerne i udbud.
Tilbudsgiver skal som minimum være certificeret til at levere de ydelser, som den hidtidige
friplejeboligleverandør var certificeret til (§ 28, stk. 3, driftsbekendtgørelsen).
Hvis der ikke afgives nogen bud i udbudsrunden på serviceydelserne i friplejeboligbebyggel-
sen, kan ejendommen ikke fortsætte som friplejeboliger (§ 31 i driftsbekendtgørelsen).
Ved afhændelse udarbejdes en refusionsopgørelse, jf. § 35 i driftsbekendtgørelsen.
Hvis der er tale om frivillig afhændelse, skal Ministeriet for By, Bolig og Landdistrikter god-
kende den nye leverandør, der som minimum skal være certificeret til samme ydelser som
den hidtidige friplejeboligleverandør (§ 37 i driftsbekendtgørelsen).
§
40 i driftsbekendtgørelsen.
Frivillig afhændelse af ejendommen til fortsat anvendelse som friplejeboli-
ger udskyder ikke det tidspunkt, hvor plejen og omsorgen i friplejeboligerne skal i udbud…
PDF to HTML - Convert PDF files to HTML files
1396469_0018.png
14
4.
IMPLEMENTERINGEN AF LOVEN
Formålet med dette kapitel er at afdække, i hvilket omfang mulighederne for at etablere
friplejeboliger anvendes i dag, og hvad der karakteriserer de nuværende og potentielle leve-
randører, beboerne i friplejeboligerne og kommunernes fokus på friplejeboligordningen.
Hensigten med kapitlet at etablere et faktuelt overblik over leverandørernes profil, organise-
ring og geografiske placering samt beboerprofilen og de typiske årsager til, at beboerne bor i
friplejebolig. I forhold til kommunerne belyses, hvordan og i hvilken grad man har forholdt sig
til friplejeboligordningen. Endelig ses der afslutningsvis nærmere på tendenser i potentielle
leverandørers interesse for friplejeboligordningen.
4.1
Udnyttelse af kvoter
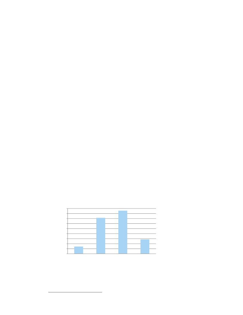
Af loven fremgår, at der er mulighed for at etablere friplejeboliger inden for en årlig kvote på
i alt 500 friplejeboliger (fordelt på 225 i kvote A og 275 i kvote B). I 2008 var kvote B dog på
550 boliger. Medio 2011 var der 33 certificerede friplejeboligleverandører, hvoraf de 14 var
drift med i alt 441 boliger.
De årlige kvoter er foreløbig ikke blevet udnyttet fuldt ud, jf. tabellen nedenfor.
Figur 2: Forholdet mellem kvote og tilsagn
600
500
400
300
200
100
0
Kvote A:
2008
Kvote B:
2008
Kvote A:
2009
Kvote B:
2009
Kvote A:
2010
Kvote B:
2010
275
225
144
98
56
4
231
225
193
225
275
550
Kvote
Tilsagn
Kilde: Socialministeriet, marts 2011
4.2
Leverandørerne af friplejeboliger
De nuværende leverandører i drift er primært placeret i Jylland (størstedelen i Midt, Vest- og
Sydjylland). Derudover er en enkelt leverandør etableret på hhv. Sjælland og Fyn.
PDF to HTML - Convert PDF files to HTML files
1396469_0019.png
15
Figur 3: Geografisk fordeling af friplejeboligleverandør
Kilde: Registreringsskemaer, 2011
Størstedelen af leverandørerne er selvstændige uden organisatorisk tilknytning til andre. Fle-
re af disse har dog indgået administrationsaftaler med en paraplyorganisation, så de får ad-
ministrativ hjælp til lønninger mv. Således har syv leverandører indgået administrationsaftale
med Danske Diakonhjem, og en leverandør har indgået administrations- og samarbejdsaftale
med Fonden Mariehjemmene.
Fem leverandører har valgt at etablere sig med organisatorisk forankring i en paraplyorgani-
sation. Den mest markante af disse er Danske Diakonhjem, som 4 leverandører agerer under.
4.2.1 Certificering
Ud over de obligatoriske §§ 83 og 87 er hovedparten af leverandørernes typisk certificeret til
socialpædagogisk bistand (§ 85), genoptræning mv. (§ 86) og ledsagelse (§ 97). Enkelte er
(eller er ved at blive) certificeret til behandlingsmæssige tilbud (§ 102). Der er ingen leveran-
dør i drift på nuværende tidspunkt, som er certificeret til særlige kontaktpersoner for døvblin-
de (§ 98).
Tabellen nedenfor giver et overblik med afsæt i de enkelte friplejeboliger.
Tabel 4: Leverandørernes certificering udover §§ 83 og 87
Friplejeboliger
Kildehaven
Friplejehjemmet Lillebælt
Strandhjem
Friplejehjemmet Stauning
Riis Friplejehjem
Filskov Plejehjem
Bo- og Levestedet Horskær
Friplejehjemmet Skovbakkehjemmet
Friplejehjemmet Nordstjernen
Klejtrup Friplejehjem
Havglimt
Liselund Friplejeboliger
Plejehjemmet Klokkebjerg
Vikarbureauet PUS A/S
Kilde: Registreringsskemaer, 2011
Certificering
§§ 85, 86, 97
§§ 85, 86, 97
§§ 85, 86, 97
§§ 85, 86
§§ 85, 86, 97
§§ 85, 86
§§ 85, 86, 97
§§ 85, 86, 97
§§ 86
§§ 85, 86, 97
§§ 85, 97
§§ 85, 86, 97
§§ 85, 86, 97
§§ 85, 102
PDF to HTML - Convert PDF files to HTML files
1396469_0020.png
16
Ud over de certificerede ydelser leverer størstedelen af leverandørerne også sygeplejeydelser
til deres beboere og har således indgået aftale med beliggenhedskommunen om at varetage
denne kommunale opgave.
4.2.2 Målgrupper
Der kan identificeres to primære målgrupper for de eksisterende leverandører:
Borgere med psykiske handicap (psykiske lidelser) og/eller fysiske handicap
Borgere med somatiske problematikker
Ni leverandører kan kategoriseres som somatiske friplejeboliger med primært ældre beboere.
Flere af disse favner i lighed med kommunale tilbud bredt og har også plads til andre typer
borgere, herunder personer med varigt nedsat fysisk og/eller psykisk funktionsevne.
Fem af leverandørerne kan kategoriseres inden for gruppen, der er målrettet fysisk og psy-
kisk handicappede. Inden for denne gruppe kan der med fordel sondres mellem friplejeboliger
med beboere fra det psykiatriske felt (fire stk.) og friplejeboliger for beboere med fysiske og
psykiske handicap (én leverandør).
Flere leverandører fremhæver, at de kan tage nogle af de borgere, som kommunerne ikke
har særskilte tilbud til, og at de dermed udfylder et behov, som ikke ellers opfyldes af kom-
munerne. Enten fordi deres målgruppe er specifik (fx yngre handicappede mellem 18 – 40
år), eller fordi den type borgere, som leverandøren kan håndtere, anses for at være svært
rummelige inden for det kommunale. Særligt leverandører med yngre handicappede som
målgruppe fremhæver, at årsagen til at etablere sig er, at denne målgruppe ikke har andre
lignende steder at vælge imellem.
Der synes at være en tendens til, at de omdannede friplejeboliger fortsætter med den mål-
gruppe, de havde før omdannelsen, mens der er blandt de nybyggede friplejeboliger er indi-
kationer på en større spredning. Årsagen hertil er, at sidstnævnte i højere grad har haft mu-
lighed for aktivt at definere deres målgruppe.
Hovedparten af leverandørerne har 40 beboere eller derunder
3
. Af figuren nedenfor ses forde-
lingen af de nuværende beboere i friplejeboliger. To leverandører har ikke fuld belægning.
Figur 5: Antal beboere pr. friplejeboligleverandør
45%
43%
36%
Andel af leverandører
40%
35%
30%
25%
20%
15%
10%
5%
0%
Under 6
7%
14%
7-20
21-40
Over 41
Antal beboere
Kilde: Registreringsskemaer, 2011
3
Til sammenligning er der i gennemsnit ca. 47 beboere i de ca. 900 kommunale plejehjem. Kilde: Servicestyrelsen, 2010.
PDF to HTML - Convert PDF files to HTML files
17
Profilen på leverandørerne, som kan tegnes ud fra deres målgrupper, gør det også muligt at
etablere en profil på leverandørerne set i forhold til deres formål og den type forretning, de
ønsker at drive.
Flere leverandører er eksplicitte omkring, at de driver deres friplejeboliger som et non-profit
foretagende og således ikke med et økonomisk sigte. Mange leverandører er endvidere eks-
plicitte om deres værdisæt og de tanker og menneskesyn, de ønsker gennemsyrer deres fo-
retagende. Fokus på anerkendelse, ligeværdighed og fællesskab fremhæves af flere. Nogle
leverandører hviler specifikt på kristne værdier.
Tanker om at etablere et fællesskab for sine beboere fylder i beskrivelserne hos flere leve-
randører. Endvidere fremhæver flere, at personalet skal udstråle samme fællesskabsfrem-
mende og anerkendende holdning til beboerne.
Endelig er der klare indikationer på, at flere leverandører har en stærk lokal forankring i det
omliggende samfund. Enten som følge af at have en historisk beliggenhed i lokalsamfundet,
der går ud over perioden som leverandør. Eller fordi friplejeboligbebyggelsen er blevet etable-
ret ud fra et lokalt ønske om at drive et sted for lokale beboere.
Alt i alt fremstår leverandørgruppen, som en gruppe, der ikke overvejende driver friplejeboli-
ger som en del af en lukrativ forretning, men derimod i højere grad som en gruppe leveran-
dører, ofte med rødder i lokalsamfundet, hvor beboerne og det omkringliggende miljø er i fo-
kus.
4.2.3 Baggrunden for etablering
Der er forskellige bevæggrunde bag leverandørernes etablering. Kortlægningen viser dog et
ret entydigt billede af, at få er helt nystartede, og at størstedelen typisk er omdannede selv-
ejende institutioner med eller uden kommunal driftsoverenskomst.
PDF to HTML - Convert PDF files to HTML files
1396469_0022.png
18
Tabel 6: Baggrund for etablering
Nyetab-
leret
Selvejende in-
stitution med
kommunal
driftsoverens-
komst
Selvejende in-
stitution med
opsagt/udløbet
kommunal
driftsoverens-
komst
Selvejende in-
stitution uden
kommunal
driftsoverens-
komst
Nedlagt
kommu-
nalt ple-
jehjem
Andet
Kildehaven
Friplejehjem-
met Lillebælt
Strandhjem
Friplejehjem-
met Stauning
Riis Fripleje-
hjem
Filskov Friple-
jehjem
Bo- og Leveste-
det Horskær
Friplejehjem-
met Skovbak-
kehjemmet
Friplejehjem-
met Nordstjer-
nen
Klejtrup Friple-
jehjem
Havglimt
Liselund Friple-
jeboliger
Plejehjemmet
Klokkebjerg
Vikarbureauet
PUS A/S
x
x
x
x
x
X
x
x
x
x
X
x
x
x
x
x
X
x
Kilde: Registreringsskemaer, 2011
Enkelte tidligere selvejende institutioner valgte bevidst at etablere sig som leverandører på
baggrund af et ønske om mere selvstændighed (uden driftsoverenskomst med kommunen).
Andre leverandører stod over for en opsigelse af deres kommunale driftsaftaler (eller den ud-
løb uden mulighed for forlængelse), hvorfor valget om at blive leverandør mere ultimativt
handlede om at undgå lukning. Endelig etablerede en lille gruppe leverandører sig som kon-
sekvens af at være kommunale plejehjem, som blev nedlagt. Det er således kun i alt 10 af
de nuværende leverandører, der er blevet etableret, efter lovgivningens ikrafttræden.
4.3
Beboerne i friplejeboligerne
Antallet af beboere i friplejeboliger er beskedent. Medio 2011 var der således 379 borgere,
der var bosiddende i friplejeboliger ud af 38.714 beboere i plejeboliger i alt
4
.
Ses der på kønsfordelingen er 60 pct. kvinder og 40 pct. mænd. Sammenholdt med lands-
gennemsnittet i almene plejeboliger er det en lidt højere andel mænd.
4
. Kilde: Statistikbanken, Danmarks Statistik, september 2011.
PDF to HTML - Convert PDF files to HTML files
1396469_0023.png
19
Figur 7: Beboernes køn
100%
80%
60%
60%
40%
20%
0%
Kønsfordeling - Beboere National kønsfordeling -
(n=379)
Plejehjem/plejebolig
(n=38.714)
Kilde: Registreringsskemaer, 2011
Statistikbanken, Danmarks Statistik, september 2011.
70%
kvinde
40%
30%
Mand
Beboere i friplejeboliger er hovedsagligt ældre borgere, idet 55 pct. af alle beboerne er 81 år
eller derover. Knap 73 pct. er 70 år eller derover.
Ser man på de to grupperinger inden for hhv. somatiske friplejeboliger og friplejeboliger for
fysisk/psykisk handicappede, er billedet mere opdelt. Det er i højere grad i friplejeboliger for
fysisk/psykisk handicappede, man finder de yngre beboere, og omvendt findes en stor andel
ældre beboere i friplejeboliger med mere somatisk sigte.
Figur 8: Beboernes alder
60%
0%
50%
40%
30%
20%
3%
10%
0%
7%
4%
5%
15%
Psykisk/fysisk handicap
(n=79)
55%
Somatisk (n=300)
7%
4%
1%
25-40 år. 41-60 år. 61-70 år. 71-80 år. 81- år.
Kilde: Registreringsskemaer, 2011 Note: n=379
Ses der på beboernes plejebehov og placering i takstsystemets moduler, fremgår det tydeligt
af nedenstående figur, at modul B, som forventet, er det modul af de tre moduler, hvor der
er flest visiterede borgere. Billedet er dog anderledes, hvis man skelner mellem typerne af
friplejeboliger. Således er der flest beboere i modul A blandt friplejeboliger af typen for psy-
kisk/fysisk handicappede.
PDF to HTML - Convert PDF files to HTML files
1396469_0024.png
20
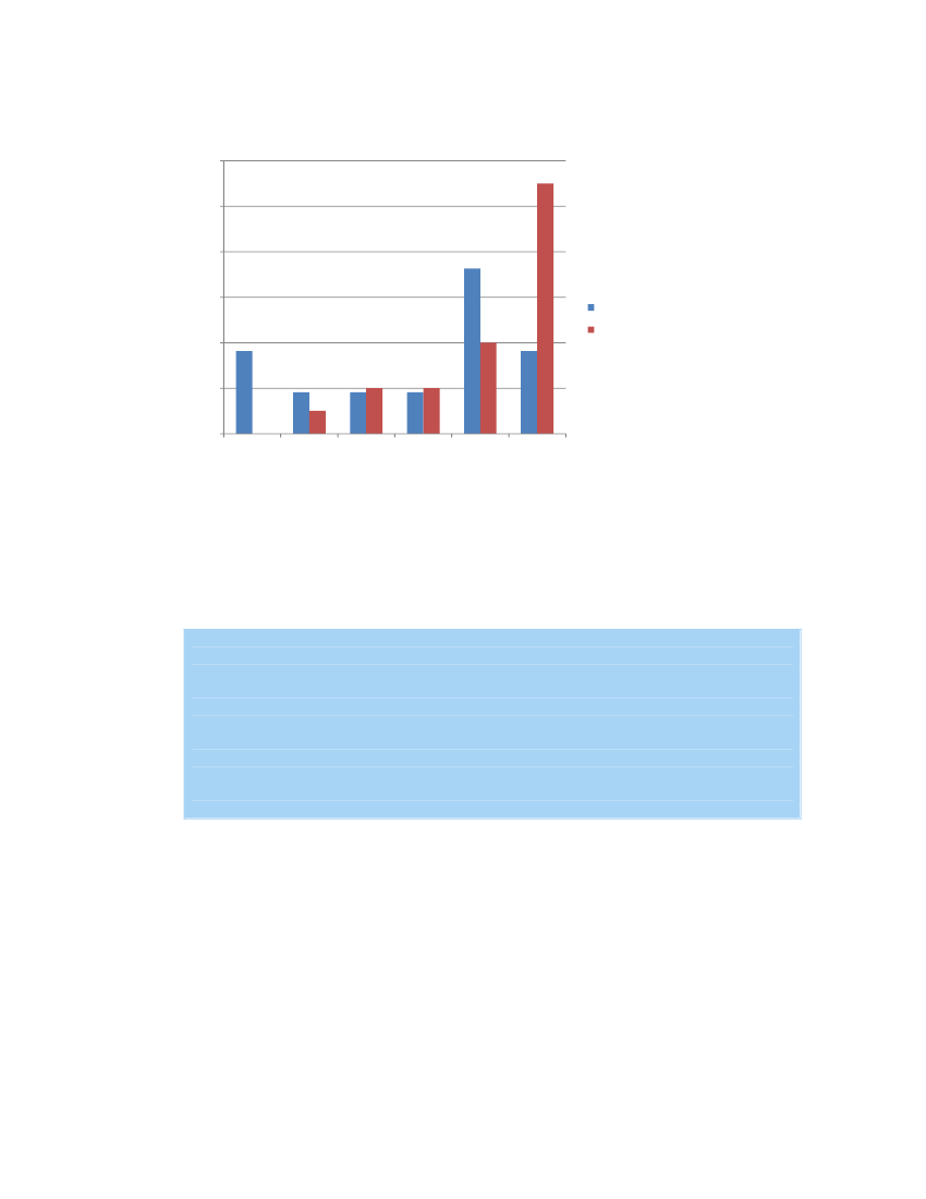
Figur 9: Beboernes placering i takstsystemets moduler
60%
50%
40%
30%
52%
20%
10%
0%
A
B
Moduler
Kilde: Registreringsskemaer 2011 Note: n=325. Årsagen til, at n er lavere end 379, er, at enklete borgere ikke er blevet
indplaceret af leverandørerne.
1%
0%
25%
Psykisk/fysisk handicap
(n=67)
Somatisk (n=258)
7%
15%
C
Der er forskel på, hvilke ydelser beboere i de to overordnede friplejeboligtyper er visiteret til.
Beboere i de somatiske friplejeboliger er oftere udelukkende visiteret til ydelser efter §§ 83
og 87. Øvrige visiterede ydelser er sjældnere forekommende og består typisk af genoptræ-
ning (§ 86).
Som det ses af figuren nedenfor, er det i højere grad borgere inden for friplejeboliger for fy-
sisk/psykisk handicappede, som er visiteret til ydelserne socialpædagogisk bistand (§ 85, vi-
siteret til 30 pct. af beboerne) og ledsagelse (§ 97, visiteret til 15 pct. af beboerne). Det ses
også, at visiterede ydelser ud over § 83 og 87 er oftere forekommende i denne gruppe.
Figur 10: Fordeling af visiterede serviceydelser udover grundtaksten
0% 5% 10% 15% 20% 25% 30% 35%
(n=253)
social pædagogisk bistand (SL §
2%
85)
30%
(n=242)
træning og genoptræning (SL
§86)
9%
3%
(n=251)
Somatisk
ledsagelse (§ 97)
2%
15%
Psykisk/fysisk handicap
(n=212)
særlige kontaktpersoner for
0%
døvblinde (SL § 98)
(n=212)
behandlingsmæssige tilbud (SL
1% 1%
§ 102)
Kilde: Registreringsskemaer, 2011
PDF to HTML - Convert PDF files to HTML files
1396469_0025.png
21
4.3.1 Geografi
Som led i evalueringen er der foretaget en kortlægning af den geografiske fordeling af beboe-
re i friplejeboliger set ud fra deres hjemkommune.
Af kortlægningen fremgår det, at ca. 70 pct. af beboerne i friplejeboliger kommer fra samme
kommune som den kommune, som boligen er beliggende i. Der er således relativt begrænset
geografisk mobilitet blandt beboere i friplejeboliger generelt.
Figur 11: Fordeling af borgere
Beliggenhedskommune
Navn
Filskov Friplejehjem
Friplejehjemmet Stau-
ning
Havglimt
Bo- og levestedet
Horskær
Klejtrup Friplejehjem
Klokkebjerg Friplejehjem
Liselund
Nordstjernen Fripleje-
hjem
PUS
Riis Friplejehjem
Skovbakkehjemmet
Strandhjem
Friplejehjem Lillebælt
Kildehaven
Total
Antal
11
10
11
9
13
45
40
13
0
30
31
10
34
10
267
Andel
73 pct.
83 pct.
69 pct.
43 pct.
54 pct.
65 pct.
85 pct.
65 pct.
0 pct.
75 pct.
91 pct.
63 pct.
87 pct.
45 pct.
70 pct.
Anden kommune
Antal
4
2
5
12
11
24
7
7
4
10
3
6
5
12
112
Andel
27 pct.
17 pct.
31 pct.
57 pct.
46 pct.
35 pct.
15 pct.
35 pct.
100 pct.
25 pct.
9 pct.
38 pct.
13 pct.
55 pct.
30 pct.
Total
15
12
16
21
24
69
47
20
4
40
34
16
39
22
379
Kilde: Registreringsskemaer, 2011
Ses der nærmere på målgrupperne, synes der at være højere geografisk mobilitet blandt
psykisk/fysisk handicappede, idet det er inden for denne gruppe, at nogle leverandører har
mere end 50 pct. beboere fra anden kommune end beliggenhedskommunen.
På kortet nedenfor er det illustreret, hvilke kommuner der enten er beliggenhedskommune,
oprindelseskommune eller begge dele for friplejeboliger.
PDF to HTML - Convert PDF files to HTML files
1396469_0026.png
22
Figur 12: Oversigt over beliggenheds- og oprindelseskommuner samt begge dele
Kilde: Registreringsskemaer, 2011 Note: Indplacering på kort er udarbejdet af Rambøll. De røde markeringer viser den
faktiske placering af leverandørerne.
At mobiliteten alt andet lige er begrænset, understreges endvidere af, at det for hovedparten
(73 pct.) af de kommuner, der har borgere i friplejeboliger uden for kommunegrænsen drejer
sig om 1-2 borgere.
Figur 13: Kommuner med borgere i friplejebolig i anden kommune fordelt på antal borgere i procent
80%
70%
60%
50%
40%
30%
20%
10%
0%
1-2 borgere
3-4 borgere
Over 5 borgere
18%
9%
73%
Kilde: Registreringsskemaer, 2011
4.3.2 Sundhedsydelser
Sundhedsydelser er, som tidligere nævnt, ikke underlagt lov om friplejeboliger. Udgifterne
skal derfor afholdes af beliggenhedskommunen i det tilfælde, hvor beboere har behov for så-
danne ydelser.
Af leverandørernes registreringer fremgår det, at størstedelen af borgerne modtager denne
slags ydelser.
PDF to HTML - Convert PDF files to HTML files
1396469_0027.png
23
Tabel 14: Fordeling af sundhedsydelser efter beliggenhedskommune
Antal beboere fra anden
kommune, som modtager
sundhedsydelser
Andel af beboere, som
modtager sundhedsydel-
ser, som er fra anden
kommune
Antal friplejeboligbeboere
i kommunen i alt, der
modtager sundhedsydel-
ser
Billund
Ringkøbing-
Skjern
Hjørring
Kolding
Viborg
Aalborg
Vejle
Odder
Sønderborg
Middelfart
Holbæk
Total
4
26
0
12
18
7
9
3
0
1
11
91
100 pct.
100 pct.
0 pct.
75 pct.
100 pct.
100 pct.
90 pct.
100 pct.
0 pct.
20 pct.
92 pct.
81 pct.
15
81
1
21
43
47
37
34
0
7
15
301
Kilde: Registreringsskemaer, 2011
4.3.3 Ægtefæller
Medflyttende ægtefæller til friplejeboligbeboeren ikke er omfattet af lov om friplejeboliger.
Det fremgår af registreringen fra leverandørerne, at fire beboere medio 2011 har deres ægte-
fælle boende i friplejeboligen.
4.4
Årsager til valg af plejebolig
Pårørende og borgere i såvel friplejeboliger som kommunale plejeboliger fremhæver, at den
typiske årsag til valg af plejebolig er den geografiske placering og stedets renommé. Det kan
enten være for at være i nærheden af sin(e) pårørende eller for at blive i den egn, man boe-
de i tidligere.
De typiske årsager for valg af hhv. friplejebolig og kommunal plejebolig fremgår af nedenstå-
ende tabel.
Tabel 15: Typiske årsager til valg af plejebolig
Friplejebolig
Geografi
Renommé/ry
Atmosfære/omgivelser/personale
Værdisæt
Boligens indretning
Eneste mulighed
Bevidst ønske om det private
Aktiviteterne på stedet
Ledelsen
Boede der før omdannelse
Tilkøb
Kommunal plejebolig
Geografi
Renommé
Personalet/pleje og omsorg
Tilfældigt valgt
Eneste mulighed
Aktiviteter på stedet
Kilde: Interview med beboere og pårørende, 2011
For beboere og pårørende i friplejeboliger har friplejeboligens atmosfære og omgivelserne i
øvrigt samt renommé stor betydning for valget af plejebolig. Enkelte fremhæver, at fripleje-
boligen var et bevidst valg grundet den private ejerform, men omvendt er der også mange
adspurgte, som svarer, at det ikke har haft betydning. Betydningen af, at boligen er en privat
plejebolig, muligheder for tilkøb mv. er ikke noget, som fylder i særlig grad hos de adspurgte
beboere og pårørende.
For beboere i kommunale plejeboliger er geografi den årsag, som fremhæves af flest. Andre
peger på betydningen af, at stedet har et godt ry i lokalsamfundet. Endelig peger både bebo-
ere og pårørende på tilfældigheder og en presset beslutningsproces pga. borgerens situation
som influerende på valget. Altså at der ikke var tid til at vente på øvrige ledige boliger, og at
PDF to HTML - Convert PDF files to HTML files
1396469_0028.png
24
den ledige kommunale bolig derfor blev valgt.
Sammenholdes ovenstående med surveyen blandt kommunerne, fremgår det, at det også
herfra er vurderingen, at geografien og værdigrundlaget i friplejeboliger er det, som er det
centrale i borgernes valg.
Figur 16: Hvilke forhold har betydning borgernes tilvalg af friplejeboliger
70%
65%
60%
50%
40%
30%
23%
20%
13%
10%
10%
6%
10%
10%
16%
0%
Geografisk
Tilbud om Værdigrundlag Manglende
beliggenhed tilkøbsydelser
kommunalt
tilbud
Boligens
indretning
Ikke tale om
tilvalg ved
omdannelse
Andet
Ved ikke
Kilde: Survey, 2011. Note: Procenterne summer ikke til 100 pct., da det var muligt at give op til 2 svar.
Der synes således ikke på baggrund af hverken interviewene eller surveyen at kunne drages
vidtrækkende konklusioner om særlige begrundelser for at vælge en friplejebolig frem for en
kommunal plejebolig.
Dog ses det af interviewene med pårørende og beboere i friplejeboliger, at de ofte kan sætte
mange beskrivende ord på værdisættet, atmosfæren, ”ånden” på stedet og således er meget
bevidste omkring betydningen af dette for deres valg. Og dette fremstår at være tilfældet of-
tere end blandt de pårørende og beboere, som er interviewet fra kommunale plejehjem.
4.5
Kommunernes stillingtagen
Kommunerne har ingen formel indflydelse på leverandørernes etableringsmuligheder. Men da
de i praksis udgør hovedindgangen for borgerne til offentlige ydelser, og har en central rolle
qua deres visitering, er det som led i analysen blevet afdækket, hvorvidt vedtagelsen af loven
og dernæst etableringen af friplejeboliger har medført, at kommunen har taget eksplicit stil-
ling til, hvordan eventuelle eller eksisterende leverandører skal håndteres.
Som det fremgår af nedenstående figur, har det i høj grad betydning, hvorvidt der er fripleje-
boliger i kommunen, i forhold til hvorvidt kommunen har gjort sig overvejelser om friplejebo-
liger eller ej. 56 pct. af kommuner uden friplejeboliger har ikke gjort sig overvejelser, hvor-
imod 18 pct. af beliggenhedskommunerne har formuleret en egentlig strategi.
PDF to HTML - Convert PDF files to HTML files
1396469_0029.png
25
Figur 17: Kommunernes overvejelser om og tilgang til etablering af friplejeboliger
60%
56%
50%
40%
30%
27%
Beliggenhedskommuner (n=11)
Øvrige (n=80)
20%
18%
11%
18%
15%
18%
10%
3%
0%
Formuleret en Drøftet på
Drøftet i
strategi
politisk niveau ledergruppen
Kilde: Survey, 2011 Note: n=91
9%
5%
9% 10%
Ikke været
overvejelser
Andet
Ved ikke
Den tilgang til leverandørerne, der er blevet afdækket via surveyen, har kunnet genfindes i
casekommunerne. Fælles for kommunerne er, at de har valgt en pragmatisk tilgang, der i høj
grad har været og er determineret af, at der er tale om relativt få borgere og leverandører.
4.6
Interessen for at etablere nye friplejeboliger
Som det fremgår af ovenstående, har der siden lovens vedtagelse været tale om en beher-
sket udvikling, idet antallet af såvel leverandører som beboere i dag er relativt begrænset.
Med henblik på at få et indblik i, hvorvidt interessen rækker bredere ud end de allerede etab-
lerede leverandører, er der som led i analysen blevet foretaget en kortlægning og vurdering
af, hvordan den fremadrettede interesse for at etablere flere friplejeboliger tegner sig
5
.
På tværs af hovedparten af aktørerne er det vurderingen, at der er interesse for friplejeboli-
gordningen og de muligheder, der ligger i den. Det er samlet set vurderingen, at interessen
primært stammer fra følgende aktører:
Eksisterende selvejende institutioner
som har - eller forventer at få - samarbejdsproble-
mer med kommunerne omkring deres driftsoverenskomst. I lighed med en del af de nu-
værende leverandører er de først og fremmest interesseret at undersøge mulighederne
for at forblive, som de er, men under en ny driftsform.
Græsrødder og ildsjæle
uden for branchen som typisk gerne vil sikre, at der forsat er et
lokalt forankret tilbud i deres nærområde. Her er den direkte anledning typisk, at kom-
munen er ved eller har besluttet at nedlægge kommunale boliger. Alternativt er de båret
af en idé eller et koncept for en særlig målgruppe, som de gerne vil føre ud i livet.
Forældre og/eller andre pårørende
til primært psykisk eller fysisk handicappede i alliance
med andre etablerede aktører eller administratorer om etablering af et specialiseret til-
bud. Her er bevæggrunden ofte, at det kommunale tilbud ikke er tilstrækkeligt, eller at
afstanden til eksisterende tilbud er for lang.
5
Vurderingen er baseret på interview med kommuner, nuværende og potentielle leverandører, fonde samt Organisationen af
Selvejende Institutioner (OSI).
PDF to HTML - Convert PDF files to HTML files
1396469_0030.png
26
Eksisterende leverandører
der – efter en række mere eller mindre dyrekøbte erfaringer
med loven og dens virkemidler – mener at have fundet en rentabel forretningsmodel, der
for dem at se er plejefagligt holdbar, og som har skabt en organisering derefter.
Det er ikke muligt på baggrund af den gennemførte kortlægning at give et kvalificeret bud
på, hvor mange leverandører der er tale om. Kortlægningen viser, at det kun er tre ud af de
14 eksisterende leverandører, der er nyetablerede. Derudover viser den, at etableringsperio-
den er forholdsvis lang. Det tilsiger alt andet lige, at det vil tage tid, og at etableringstakten
også fremover vil være behersket.
Omvendt er der aktører, som tilkendegiver, at de nu er ved at være igennem den relativt
markante omstilling af forretningsmodel og deraf følgende drifts- som ledelsesformer, som
overgangen til friplejebolig udgør. De fremhæver fleksibiliteten og de muligheder for udvikling
i tilkøbsydelser, som loven giver. Derudover ser de en stigende tendens til, at (nogle) kom-
muner begynder at betragte friplejeboligerne som en buffer i deres egen planlægning inden
for en stadig strammere økonomisk ramme. Det tilsiger, at etableringstakten fremover vil bli-
ve øget. Men selv hvis det måtte blive tilfældet, skal man være opmærksom på, at det vil ske
fra et meget lavt niveau.
Kommunerne har, som tidligere påpeget, ikke nogen direkte andel i eller formel indflydelse
på leverandørernes etablering. Da kommunerne ofte har et udmærket indblik i, hvad der er
på vej, kan deres vurdering ses som en af flere pejlinger på udviklingen. Som det fremgår af
figuren nedenfor, er det en meget begrænset andel af kommunerne, der er bekendt med pla-
ner om friplejeboliger de kommende år.
Figur 18: Er der planer om etablering af friplejeboliger i kommunen inden for de næste 1-2 år
Ved ikke
8%
Ja
15%
Nej
77%
Kilde: Survey, 2011 Note: n=19
Det marked, der er under etablering, synes ikke at tiltale alle typer af leverandører. Frem for
alt er der meget få kommercielle aktører, som har vist og udviser interesse for ordningen.
Den primære årsag hertil er, at der i deres øjne på nuværende tidspunkt ikke er tale om et
marked, hvor der kan etableres en forretningsmodel, der giver et tilstrækkeligt økonomisk
afkast af den investerende kapital. Det er samlet set vurderingen, at der inden for rammerne
af den nuværende lovgivning ikke vil blive taget initiativer til etablering af boliger fra kom-
mercielle aktører.
Endelig lader det til, at der er forhold i lovgivningen, som giver udfordringer for særligt græs-
rødder og ildsjæle. Dels er loven så kompleks, at den afholder uerfarne fra at gå i gang. Men
frem for alt medfører kravene til ejerform og kapital, at der med det nuværende investe-
ringsklima som følge af finanskrisen er så store udfordringer med at opnå finansiering i bank-
og realkreditinstitutter, at antallet af projekter fra den kant vil forblive lavt. I den sammen-
hæng er det vigtigt at være opmærksom på, at de fleste nuværende leverandører var etable-
rede forud for lovens vedtagelse – og har fokus på andet end profit.
PDF to HTML - Convert PDF files to HTML files
1396469_0031.png
27
5.
ERFARINGER MED ETABLERING
Formålet med dette kapitel er at sammenfatte de hidtidige erfaringer med og vurderinger af
vilkårene for at etablere friplejeboliger.
Den grundlæggende antagelse bag lov om friplejeboliger er, at hvis der lovgivningsmæssigt
etableres en mulighed, så vil private leverandører søge om certificering og gå ind på marke-
det. Formålet er i forlængelse heraf at indkredse, hvordan og under hvilke omstændigheder
lov om friplejeboliger virker i praksis med det sigte at udlede drivkræfter og barrierer for at
realisere lovens intention om etablering af friplejeboliger.
Der sættes både fokus på, hvordan instrumenterne i selve loven virker og på hvilke forhold i
konteksten, der spiller ind på implementeringen og anvendelsen af loven. Denne viden er
central for, at det i det efterfølgende kapitel bliver muligt ikke alene at analysere tilsigtede og
utilsigtede effekter af loven, men også at pege på, hvilke forhold der fremmer og hæmmer
opfyldelsen af lovens formål.
Vilkårene for at etablere og drive friplejeboliger afdækkes ud fra en række perspektiver, her-
under udvalgte beliggenhedskommuner, udvalgte oprindelseskommuner, de nuværende leve-
randører samt borgere i friplejeboliger og deres pårørende. Endelige inddrages også potenti-
elle leverandører, eftersom dette perspektiv er centralt i forhold til at afdække, hvorvidt der
er forhold i drifts- og etableringsvilkårene, som afholder disse aktører fra at gå ind på marke-
det for plejeboliger, eller det er andre, dvs. programeksterne forhold, der er afgørende for
deres beslutning.
Der vil være en række kontekstuelle drivkræfter og barrierer, som har betydning for, om lov
om friplejeboliger virker efter intentionerne. Det er antagelsen, at leverandørernes vurdering
af etableringsvilkårene er én af de faktorer, som har betydning for, om mulighederne i loven
anvendes. I evalueringen har der derfor været fokus på at belyse både nuværende og poten-
tielle leverandørers vurderinger af håndteringen af kravene i forbindelse med certificeringen,
finansieringsmuligheder ved hhv. nybyggeri og omdannelse samt eventuelle risici forbundet
med etableringen.
Først fremlægges de fund, som vedrører lovgivningen direkte. Derefter følger de fund, som
tilskrives betydning for etableringen af friplejeboliger, men som kun i mindre/ringe grad kan
tilskrives selve de af lovgivningen etablerede rammer. Disse fremhæves i anerkendelsen af,
at konteksten (de programeksterne drivkræfter og barrierer) også har stor betydning for vil-
kårene for etablering.
5.1
Lovgivningen generelt
Både af eksisterende og potentielle leverandører fremhæves det entydigt, at lovgivningen er
vanskelig at tolke. Flere potentielle leverandører fremhæver, at loven er så kompleks, at den
i sig selv udgør en barriere.
Tendensen hos de adspurgte leverandører er dog samtidig, at det ikke alene er lovgivningen,
som besværliggør etablering, men derimod også omgivelsernes og i særlig grad kommuner-
nes manglende kendskab til den. Det er samtidig driften frem for etableringen, som i høj grad
fylder i bevidstheden hos leverandørerne i interviewsituationen. Etableringen er for flere af
disse et (vel)overstået kapitel.
6
For nogle leverandører har loven muliggjort en mere fri og ubunden model. Drivkræften i
etableringen synes i forhold til lovgivningen at handle om, at leverandørerne ser en mulighed
for at blive mere frie og uafhængige. Flere leverandører fremhæver friheden til at styre for-
retningen selv og at have kort vej fra tanke til handling uden kringlede beslutningssystemer
som noget positivt og drivende i at vælge at etablere sig under denne ejerform. Det er samti-
dig væsentligt at holde for øje, at flere af disse i praksis (jf. fundene vedrørende tidligere
6
Erfaringerne med drift af friplejeboliger følger i kapitel 6.
PDF to HTML - Convert PDF files to HTML files
28
driftsform i kapitel 4) har været truet på deres eksistens og derfor i høj grad har været pres-
set ud i at finde et alternativ. Sat på spidsen synes omkostningerne ved at skulle sætte sig
ind i en kompleks lovgivning ikke at have fremstået ligeså problematisk for disse aktører som
en potentiel lukning af deres institution.
For potentielle leverandører fremhæves den manglende mulighed for driftsoverenskomst - og
således den friere model - netop i nogle tilfælde som en barriere (hvilket uddybes yderligere i
afsnit 5.6).
Fra de mere generelle kommentarer om lovgivningens kompleksitet omhandler de følgende
afsnit mere specifikt delelementer, der ifølge de forskellige aktører påvirker lyst og mulighed
for etablering – enten som direkte konsekvens af lovgivningens formuleringer eller af den
kontekst lovgivningen virker i.
5.2
Certificerings- og godkendelsesprocessen
Hovedparten af leverandørerne oplever, at processen omkring certificeringen fungerer. Nogle
leverandører oplever i forlængelse heraf, at der i processen var god hjælp at hente fra de of-
fentlige instanser, hvorimod andre oplever, at det går mere trægt og med lang sagsbehand-
ling fra Servicestyrelsens side. En leverandør udtaler:
”Jeg synes, at certificeringsprocessen var ret nem (…) Men jeg vil sige, at hvis du skal til at
etablere et sted fra bunden, herunder beskrive alt på forhånd inden man får en beboer, det
kan jeg forestille mig ville være problematisk (…) At vi var veletablerede var bestemt en for-
del.”(leverandør)
Også de potentielle leverandører tilkendegiver, at de vurderer, at der er tale om rimelige
lovmæssige krav vedrørende certificeringen.
Fælles for begge aktørtyper gælder det, at der også på dette område er fordele forbundet
med at være etableret. Flere i gruppen af omdannede plejeboliger fremhæver således, at det
formodes at være en fordel for processen allerede at være etableret. Dels i forhold til certifi-
ceringen, men også i høj grad i forhold til finansieringen, hvilket uddybes nedenfor.
5.3
Kvotetildeling og forældelsesfrister
Der er tendens til, at processen og særligt tidsplanen omkring kvotetildelingen af såvel etab-
lerede som potentielle leverandører opleves som værende presset.
I praksis er det særligt de seks ugers frist fra betinget tilsagn til endeligt tilsagn (jf. lovens §
29 stk. 1), der opleves som en udfordring. Særligt kravene til at indhente dokumentation for
alle de aspekter, som lovgivningen kræver, giver anledning til problemer. En potentiel leve-
randør formulerer det på følgende måde
”Kvoteansøgning fungerer ikke normalt. Der er en række krav om, at man skal have alt på
plads, inden man ansøger om kvoter og har 6 ugers frist til at etablere sig, når man er blevet
godkendt. Hvorfor vender man det ikke om, sådan at man først søger en kvote og efter god-
kendelse etablerer sig. Man kunne så deponere et indskud, som kunne modregnes, hvis man
ikke får kvote eller kommer på plads.” (potentiel leverandør)
Den efterfølgende frist 9 måneder fra tilsagn til byggeriets påbegyndelse på opleves også
som presset. Her anser hovedparten af de adspurgte dog ikke tidsfristen i sig selv som den
væsentligste hindring, idet det typisk er overordnede problemer med finansieringen, som
medfører, at tilsagn er blevet forældede.
5.4
Finansiering og krav til kapitalstillelse
Flere leverandører fremhæver at have oplevet udfordringer i etableringsfasen i forhold til fi-
nansieringen af selve friplejeboligprojektet.
PDF to HTML - Convert PDF files to HTML files
29
Både de eksisterende og potentielle leverandører fremhæver særligt udfordringer omkring lo-
vens regler vedrørende belåningen af servicearealer. Flere fremhæver således, at særligt dis-
se arealer er meget svære at belåne. Dette forhold i den forretningsmodel, som lovgivningens
rammer muliggør, opleves som en udfordring i sig selv.
Flere potentielle såvel som nuværende leverandører fremhæver, at bank- og realkreditinsti-
tutter helt grundlæggende ikke ser etableringen af friplejeboliger som en god investering.
”Økonomien er væsentlig. Der står en flok mennesker, som gerne vil i gang, men de kan ikke
gå i gang på grund af økonomien. De skal betale moms af byggeri. Det skal man ikke i det of-
fentlige. Kreditforeninger vil ikke yde det sidste lån til servicearealerne. Det giver dem pro-
blemer. (…) Det er klart, at det er en stor beslutning at springe ud i det, og man skal tænke
sig godt om, inden man etablerer sig.” (potentiel leverandør)
Der synes at være en klar tendens til, at der er forskel på at være en etableret aktør med en
ejendom, der overgår fra anden driftsform, og en, der skal i gang med nybyggeri.
En del af de selvejende institutioner, som er blevet omdannet, havde en høj friværdi, hvorfor
de ikke har haft samme udfordringer med finansieringen. Eksempelvis fremhæver en leve-
randør fordelen i, at de allerede havde gældfrie servicearealer, hvilket denne leverandør vur-
derer som en vigtig forudsætning for at kunne drive en sund forretning.
Vanskelighederne ved at skulle etablere sig med nybyggeri er primært knyttet til at overbevi-
se bank- og realkreditinstitutter om, at der kan opnås en tilstrækkelig solid, stabil og vedva-
rende forretningsmodel.
Som påpeget i ovenstående afsnit, er der eksempler på, at potentielle leverandører er faldet
for lovgivningens 9 måneders frist grundet manglende tilsagn fra realkreditinstitutter om at
kunne låne penge og således stille kapital. Denne barriere går ikke direkte på selve lovgivnin-
gen. Den handler dels om de finansielle forhold på låne- og realkreditmarkedet. Dels om ev-
nen til at overbevise finansielle parter om bæredygtigheden i det pågældende friplejebolig-
projekt samt troen på, at det er en god investering.
5.5
Takstsystemet
Hovedparten af eksisterende og potentielle leverandører fremhæver, at takstsystemet
med dets opdeling i de tre moduler (A, B og C) stiller store krav til planlægning og budget-
lægning. Derudover har det for både etablerede og potentielle leverandører store økonomiske
konsekvenser, hvis en borger skifter fra et modul til et andet.
Størstedelen af de adspurgte leverandører oplever endvidere, at der er for stort timemæssigt
spring i modulerne. Således udgør det begrænsede antal moduler både et problem, når der
skal etableres en forretningsplan og model, som bank og realkreditinstitut kan tilslutte sig, og
når der skal budgetteres og planlægges ordinær drift hos den etablerede leverandør.
Endelig udtrykker flere potentielle leverandører endvidere en forventning til, at det er svært
at opnå tilstrækkelig solid driftsøkonomi på grund af for lave takster. Enkelte fremhæver i
den sammenhæng en geografisk vinkel på dette grundet forskel i lønniveauer, grundpriser
mv. i Jylland og på Sjælland samt nær de større byer.
Takstsystemets indretning fremstår dog ikke blot som en barriere i etableringen (indgangen
til markedet), men derimod i også i høj grad i driften. Det belyses yderligere i kapitel 6.
5.6
Adgangen til borgerne
Adgangen til borgerne samt kommunens rolle i forbindelse med at sikre et kundegrundlag in-
den for friplejeboligordningen spiller også i ind i overvejelserne om etablering.
PDF to HTML - Convert PDF files to HTML files
30
Flere potentielle leverandører fremhæver, at de oplever en manglende mulighed for afklaring
af driftsgrundlag på grund af manglende efterspørgsel fra kommunens side, hvilket i sidste
instans mindsker incitamentet for etablering. Det er vurderingen, at de uden en driftsover-
enskomst med kommunen ikke er sikret et tilstrækkeligt kundegrundlag, hvilket i sidste in-
stans gør det vanskeligt at drive forretning, idet leverandørerne er afhængige af, at kommu-
nerne henviser og informerer borgerne om muligheden.
”Den største barriere er i forhold til at skabe et fornuftigt forretningsgrundlag (…) mange
kommuner vil med vold og magt vil være selvforsynende.” (potentiel leverandør)
Flere potentielle leverandører fremhæver endvidere, at idet kommunen indirekte kan spille en
central rolle for sikringen af, at markedet fungerer (da det kan afhænge af kommunens villig-
hed til at henvise videre frem for at fastholde at være selvforsynende), kan det også udgøre
en barriere for finansiering.
” (…) det faglige og markedsmæssige grundlag har kreditforeningerne og banker ikke. Samti-
dig kan der være usikkerhed på grund af det politiske system og den politiske prioritering,
der er i forhold til håndtering af de ældre, som nogle banker og kreditforeninger er usikre på
og derfor afholder sig fra at investere i.” (potentiel leverandør)
5.7
Konkurrenceudsættelse
En gennemgående bekymring blandt eksisterende og potentielle leverandører er risikoen for
på sigt at miste den ejendom, som de etablerer deres friplejeboliger i.
Alle adspurgte fremhæver risikoen ved at overgå til denne ejerform; at virksomheden sættes
i udbud efter 10 år. Det udtrykkes enstemmigt, at dette krav fremstår som en central barrie-
re:
”Det store og springende punkt er, at det skal i udbud hvert 10. år. Jeg har en stor formod-
ning om, at denne regel bliver ændret (…) Vi havde en stor diskussion om, hvorvidt vi over-
hovedet skulle søge pga. reglerne om det 10-årige udbud.” (leverandør)
Også potentielle leverandører fremhæver, at udbuddet efter 10 år svækker mulighederne:
”Den [10-årige kontrakt] giver mening i en udlicitering, men det giver ikke mening for pleje-
hjem. Det ville svare til, at også friskolerne skulle udbydes igen”. (potentiel leverandør)
”Hele forudsætningen omkring genudbud er en fuldstændig pudsig ting. Det har været et
skidt forhold, at man skal genudbyde det hele efter 10 år. Tænk, hvis man bød private virk-
somheder det forhold”. (potentiel leverandør)
Det er vurderingen, at flere potentielle leverandører har valgt ikke at etablere sig, fordi de ik-
ke ønsker at tage den grundlæggende risiko at skulle miste forretningen og den ejendom,
som de enten allerede ejer eller skal opføre.
5.8
Krav til ejerform
Blandt en del af de potentielle leverandører fremhæves det, at kravet om at skulle eje de
bygninger, som friplejeboligerne skal drives i, har udgjort en etableringsbarriere.
Fælles for dem er, at de i udgangspunktet har haft adgang til et for dem attraktivt lejemål,
der har passet ind i deres etableringsplaner. Lovens krav om ejerskab af den ejendom, hvor-
fra der skal drives plejeboliger, har medført, at de ikke har kunnet skabe et tilstrækkeligt for-
delagtigt økonomisk grundlag.
5.9
Kommunernes vurdering
Kommunerne har som tidligere påpeget ikke nogen direkte andel i eller formel indflydelse på
leverandørernes etablering. Men da kommunerne i mange tilfælde er i dialog med potentielle
PDF to HTML - Convert PDF files to HTML files
1396469_0035.png
31
leverandører, er deres vurdering af mulige årsager også relevant. Som det fremgår af neden-
stående figur, har der i 15 pct. af kommunerne tidligere været planer om etablering af friple-
jeboliger, som ikke er blevet realiseret.
Figur 19: Planer om etablering af friplejeboliger i kommunen, som ikke er blevet realiseret
Ved ikke
13%
Ja
15%
Nej
72%
Kilde: Survey, 2011 Note: n=19
Der er forskellige årsager til, at planer om etablering ikke er blevet til noget. Kommunerne
havde mulighed for at angive og uddybe årsagen i undersøgelsen. Af de (få), som har, uddy-
bet det, handler det primært om, at potentielle leverandører har henvendt sig, men uden at
deres egne formelle forhold som leverandører var på plads (fx certificering og kvotetildeling).
Andre gange har det egnede areal til friplejeboligerne ikke kunnet fremskaffes, eller finansie-
ringen har ikke kunnet falde på plads. For flere handlede de aflyste planer på forskellig vis om
leverandørernes manglende evne til slutteligt at føre planerne ud i livet.
PDF to HTML - Convert PDF files to HTML files
32
6.
ERFARINGER MED DRIFT
Formålet med dette kapitel er at sammenfatte de hidtidige erfaringer med og vurderinger af
vilkårene for at drive friplejeboliger.
Der er en række forhold, som antages at påvirke driften. Det gælder karakteren af samarbej-
det mellem kommuner og friplejeboligleverandører, processen omkring borgerens adgang til
friplejeboligen – fra visitering til indgåelse af aftale om en friplejebolig, leverandørernes for-
retningsmodel samt håndteringen af serviceydelser og sygeplejeydelser. Disse forhold afdæk-
kes med udgangspunkt i såvel leverandørers som casekommuners perspektiver.
6.1
Samarbejde mellem kommuner og leverandører
Det er kommunerne, der dels skal konvertere ydelsesvisitationen til det nationale behovsrela-
terede takstsystem, dels påtager sig ansvaret for dele af ydelserne til borgere i friplejeboli-
ger. Som følge heraf, er der en række kontaktflader mellem kommuner og leverandører.
Både af leverandører og af kommuner gives der udtryk for, at loven er kompliceret og van-
skelig tilgængelig, hvorfor samarbejdet fra begge parters side har været præget af usikker-
hed om, hvordan loven skulle udmøntes i praksis. Det har affødt en række opstartsvanskelig-
heder i samarbejdet omkring tolkningen af lovens præmisser, herunder parternes ansvar og
rettigheder i forhold til udførelse af serviceydelser og sundhedsydelser samt afregning herfor.
Fra både leverandørernes og særligt beliggenhedskommunernes side gives udtryk for en gen-
sidig oplevelse af, at samarbejdet har været udfordret af, at den modsatte part har haft et
begrænset kendskab til lovens regler.
”Der er mange ting, som har været administrativt tungt. Det skyldes, at kommunen ikke altid
kender reglerne […]; der går ofte et stykke tid, inden vi får svar på henvendelser. Så skal
medarbejderne måske lige spørge deres chefer om vilkår og regler for friplejeboliger” (leve-
randør).
Det har hjulpet gevaldigt, at friplejehjemmene har en administrationsaftale med én, som har
indgående kendskab til loven. Det var meget besværligt før, hvor man skulle mødes med for-
standerne én efter én, og forstanderne samtidig ikke altid kendte loven så godt" (beliggen-
hedskommune).
Der ser ud til at være forskel på, hvordan leverandørerne samarbejder med hhv. beliggen-
hedskommuner og oprindelseskommuner. Blandt leverandører af somatiske friplejeboliger fo-
regår der primært samarbejder med beliggenhedskommunerne, mens dialogen med oprindel-
seskommuner begrænser sig til kontakten i forbindelse med borgerens indflytning i plejeboli-
gen og visiteringen til ydelser. Dette skal samtidig ses i lyset af, at den overvejende andel af
borgerne i friboligerne kommer fra beliggenhedskommunerne.
Blandt leverandørerne målrettet fysiske eller psykiske handicap er der eksempler på, at op-
rindelseskommunerne varetager opfølgningen på borgenes handleplan og foretage eventuelle
revisitationer af borgerens støttebehov, hvorfor disse leverandører har en tættere dialog med
oprindelseskommunerne. Det vil sige, at nogle oprindelseskommuner fastholder de forpligti-
gelser, som er forbundet med at være handlekommune i forhold til borgeren. At samarbejdet
med oprindelseskommuner fylder mere for disse leverandører forstærkes samtidig af, at der i
forhold til borgere med sindslidelser er et større optag fra andre kommuner end beliggen-
hedskommunen.
Samarbejdet mellem beliggenhedskommuner og leverandører er præget af, at man gradvist
er nået frem til en model for, hvordan tildelingen af en friplejebolig, visitering af ydelser og
udførelse og afregning af sundhedsydelser kan foregå i praksis. En enkelt af de deltagende
casekommuner har formaliseret samarbejdet med leverandørerne i en egentlig skriftlig sam-
arbejdsaftale, som beskriver arbejdsgange, roller og ansvar i samarbejdet.
PDF to HTML - Convert PDF files to HTML files
1396469_0037.png
33
Eksempel på samarbejdsaftale
Samarbejdsaftalen specificerer procedurer for den kommunale boligvisitering, samt hvor-
dan hhv. leverandør og kommune efterfølgende adviserer hinanden og borgeren i forbin-
delse med borgerens tildeling af en friplejebolig.
Derudover fremgår regler for betaling af hjælpemidler, ligesom samarbejdet om sundheds-
ydelser er beskrevet, herunder afregning for leverandørens levering af sundhedsydelser og
arbejdsgange i forbindelse med revisitation af borgerens sundhedsydelser.
Uagtet at der er fundet en vis rytme i samarbejdet, viser interviewene et blandet billede af
parternes tilfredshed med samarbejdet. De deltagende beliggenhedskommuner samt enkelte
leverandører tilkendegiver, at der et godt samarbejde, hvor man gensidigt respekterer og er
enige i visitatorernes faglige vurderinger af borgerens støttebehov. At disse leverandører har
et tættere samarbejde med beliggenhedskommunerne illustreres også ved, at man som tidl.
selvejende institution har videreført det gode samarbejde, man havde før omdannelsen. Afta-
len er ikke bindende, hvis der opstår en situation med overkapacitet i kommunen, men den
indikerer, at kommunen indtænker den private leverandør aktivt i sin kapacitetsplanlægning
af plejeboliger.
Heroverfor har størstedelen af de interviewede leverandører imidlertid en oplevelse af, at
nogle kommuner i større eller mindre omfang udfordrer deres mulighed for at sikre en stabil
drift af plejeboligerne. De forklarer, at det politiske og administrative ledelsesniveau er nega-
tivt stemt over for friplejeboligerne, fordi de finder friplejeboligerne for omkostningstunge
sammenlignet med kommunale plejeboliger. Dette kommer ifølge leverandørerne til udtryk
ved en manglende villighed hos kommunerne til at understøtte borgernes frie adgang til
friplejeboligerne.
”Vi oplever et meget blandet billede i kommunens tilgang til os. Det er meget personafhæn-
gigt. Jeg oplever lidt vilkårlighed i kommunens tilgang til os. Det er især hos den øverste le-
delse, at der er modstand mod os” (leverandør)
”Det
er ikke alene loven, der gør det svært at få plejehjemmet til at køre rundt; det er også i
høj grad kommunens villighed til det” (leverandør)
Blandt enkelte leverandører er der dog også eksempler på, at kommunerne understøtter drif-
ten positivt ved, at leverandørerne efter behov kan tilkøbe ressourcer i den kommunale
hjemmepleje i de tilfælde, hvor deres begrænsede volumen ikke tillader finansieringen af fx
tilkaldevagter eller ekstra personale.
I de følgende afsnit uddybes den praktiske udmøntning af lovens regler. Dermed belyses,
hvori de påpegede samarbejdsvanskeligheder mellem nogle leverandører og kommuner kon-
kret består, og hvad der udgør drivkræfterne i samarbejdet om de enkelte borgere.
6.2
Borgernes adgang til friplejeboliger
Leverandørerne driver friplejeboligerne under en given præmis om, at hvis der er mulighed
for frit valg, så vil borgere aktivt kunne tilvælge disse. I lyset heraf ser vi i dette afsnit nær-
mere på, hvordan et visitationsforløb ser ud for en borger, der indskrives i en friplejebolig.
6.2.1 Borgerens kontaktflader til leverandørerne
Borgerens adgang til en friplejebolig forudsætter i første omgang, at borgerens opholdskom-
mune har visiteret denne til en plejebolig. Når opholdskommunen har truffet afgørelse om til-
delingen af en plejebolig, er der typisk følgende veje til en friplejebolig:
PDF to HTML - Convert PDF files to HTML files
1396469_0038.png
34
Direkte:
Borgeren og/eller pårørende henvender sig direkte til leverandø-
rerne for at blive opskrevet på venteliste til en plejebolig. Heref-
ter kontakter leverandøren borgeren, når en bolig er ledig. Leve-
randøren og dennes værdigrundlag er kendt på forhånd, fordi
boligen enten er beliggende i det lokalmiljø, hvorfra borgeren
kommer, eller der hvor borgerens pårørende bor.
Borgeren og/eller pårørende får viden om muligheder for pleje-
bolig og foretager sine eventuelle prioriteringer gennem den vi-
den, som de opnår i den kommunale visitation. Det er i vid ud-
strækning herigennem, at leverandøren vil blive bekendt med in-
teresserede borgere.
Via kommunen:
I de tilfælde, hvor borgeren kommer fra en anden kommune end beliggenhedskommunen, og
borgeren ikke selv har henvendt sig til leverandøren, er proceduren ifølge de interviewede
oprindelseskommuner den samme, som hvis en borger benytter sit frie valg til at komme ind
på et kommunalt tilbud i en anden kommune. Opholdskommunen sender en ansøgning til le-
verandøren med en beskrivelse af borgerens plejebehov. Herefter giver leverandøren besked
om, at borgeren enten er optaget på en venteliste eller har fået en plads.
I forhold til beliggenhedskommunerne, hvorfra hovedparten af borgerne kommer, er der ba-
sis for en mere fast aftale om, hvordan leverandøren får kendskab til de borgere, som er inte-
resserede i en friplejebolig. Der ses da også flere eksempler på, at leverandørerne og kom-
munerne har aftalt, hvordan der udveksles oplysninger om interesserede borgere til fripleje-
boligerne samt informeres om ændringer i borgerens boligsituation.
Således bliver leverandørerne i nogle beliggenhedskommuner informeret om de borgere, hvor
leverandøren indgår på borgerens prioriteringsliste:
”Hvis vi er nummer et på borgerens prioriteringsliste, så får vi listen fra kommunen. Jeg rin-
ger så til borgeren eller de pårørende og fortæller, hvordan situationen ser ud med fx venteli-
ste, plejetilbud osv. Herefter meddeler jeg kommunen, hvad jeg har aftalt med borgeren”
(leverandør)
Andre leverandører adviseres ikke nødvendigvis fra kommunens side om interesserede borge-
re, men har aftalt at de kontakter kommunen, hver gang der er en ledig plejebolig, og inden
plejeboligen annonceres offentligt.
Der peges fra leverandørers side på vigtigheden af, at kommunen videresender interesserede
borgeres visitationspapirer til leverandøren, inden leverandøren anviser borgeren en plejebo-
lig. Ellers er der risiko for, at leverandøren siger ja til en borger, hvis plejebehov ikke kan ho-
noreres med de kompetencer og fysiske rammer, der er til rådighed.
6.2.2 Kommunernes information til borgerne
Der er i loven stillet krav om, at kommunerne skal informere borgerne om deres valgmulig-
heder mellem forskellige ældreboliger mv., som kommunen har til rådighed, samt om mulig-
heden for at flytte på tværs af kommunegrænser
7
.
Der er ikke specificeret særlige formkrav til, hvorledes en kommune skal informere borgerne,
men alene at det skal ske på en let tilgængelig måde, og at det skal være skriftligt. Derfor
formodes kommunens informationsniveau og rådgivning af borgere alt andet lige at have en
vis betydning for borgerens valg samt dermed også leverandørens mulighed for at etablere
sig og sikre et kundegrundlag.
I og med at retningslinjerne for kommunernes informationsforpligtigelse er forholdsvis åbne,
er der blandt kommunerne forskellige tilgange og hensyn i forhold til varetagelse af opgaven.
7
Almenboliglovens kapitel 4 under overskriften ”Frit valg af ældreboliger”. Reglerne om frit valg af botilbud for handicappede fin-
des i Servicelovens § 92, stk. 3 og 4.1.
PDF to HTML - Convert PDF files to HTML files
35
Kortlægningen af praksis i kommunerne viser, at der grundlæggende er to tilgange til infor-
mationsforpligtigelsen:
Kommunen sikrer, at visitatoren informerer overordnet om de forskellige muligheder,
som borgeren har, ligesom der også er praksis for at udlevere brochure for både kommu-
nale plejeboliger og friplejeboliger.
Kommunen informerer borgeren, hvis borgeren specifikt spørger om andre muligheder,
fordi man finder, det er borgerens eget ansvar at indhente information om mulighederne
for forskellige typer af plejeboliger. Derudover peges på, at der er et naturligt og rationelt
hensyn til at sikre driften af de kommunale plejeboliger, når borgere skal tildeles en bolig.
Uanset leverandøren har indgået aftaler med kommunen om henvisningen af interesserede
borgere eller ej, tilkendegiver de fleste leverandører en bekymring for, om kommunerne in-
formerer tilstrækkeligt om mulighederne for at vælge. Dette kommer bl.a. til utryk i følgende
citater:
”Der
har været flere lignende episoder. Der var fx en ældre borger, som gerne ville ud til os,
og vi havde ledige boliger. Pludselig var beboeren så kommet på et andet plejehjem i kom-
munen, og ifølge de pårørende skyldtes det, at kommunen havde fortalt, at det var den ene-
ste mulighed for en plejebolig. De prioriterede med andre ord deres egne boliger først, og lod
vores boliger komme i anden række” (leverandør)
”Vi har fået den melding fra kommunen, at de kun vil bruge os, hvis de ikke selv har pladser i
kommunale botilbud pga. besparelser" (leverandør)
Når man ser på borgernes og de pårørendes oplevelser af den information, de har fået i for-
bindelse med tildeling af plejebolig, ser det ud til, at forhåndskendskab til friplejeboligen har
afgørende betydning for valget, uanset informationsniveauet.
Størstedelen af de pårørende har således allerede inden visitationen gjort sig overvejelser
omkring valg af plejebolig. Dette indikerer samtidig, at borgere, som ikke har kendskab til
mulighederne for frit valg, er afhængige af kommunens information. Det understøttes af ud-
sagnene blandt interviewede pårørende til borgere i kommunale plejeboliger. Her synes be-
vidstheden om valget af plejeboligen langt mindre udpræget, idet man typisk har haft et akut
behov, som har gået forud for valget af en specifik bolig. Desuden oplever de pårørende ikke,
at de blevet informeret hverken generelt eller specifikt om alternative muligheder, men at
den bolig, som familiemedlemmet fik tildelt, var den, som var ledig på det pågældende tids-
punkt.
6.2.3 Leverandørens anvisning af borgeren
Det er leverandøren, som har anvisningsretten til plejeboligerne. Med anvisningsretten kan
leverandøren afgøre, hvilke borgere der indskrives i deres plejeboliger.
Leverandørerne giver udtryk for, at de fleste borgere kan rummes i friplejeboligerne, og at
friplejeboligerne principielt set ikke er målrettet beboere med særlige præferencer eller støt-
tebehov. Der tegner sig et billede af, at der primært et to årsager til, at leverandøren i nogle
tilfælde alligevel afviser borgeres indskrivning i friplejeboligerne. Det gælder i de få tilfælde,
hvor borgeren har en særlig adfærd, som medfører et plejebehov, leverandøren ikke kan til-
byde med de fysiske rammer og/eller faglige kompetencer, denne har til rådighed.
Derudover kan borgerens plejetyngde set i forhold til det visiterede basismodul (A, B eller C)
være en årsag til at leverandøren af og til må sige nej til en borger. Af den venteliste som le-
verandøren får fra kommunen, fremgår borgerens visiterede plejemodul, og leverandøren kan
derudfra vurdere, hvorvidt borgeren set i leverandørens øjne er rentabel, bl.a. set i forhold til
den øvrige sammensætning af stedets beboere.
”Jeg har også nogle gange skrevet til kommunen, at jeg ikke kan tage en borger, hvis ikke
vedkommende flyttes til en anden priskategori. Jeg kan også vende tilbage til kommunen
PDF to HTML - Convert PDF files to HTML files
1396469_0040.png
36
med et afslag på en borger, hvis vi ikke vurderer, vi kan løfte plejeopgaven, fx med udadrea-
gerende demente” (leverandør)
Samlet set indikerer interviewene på tværs af leverandører, kommuner og pårørende, at bor-
gerens adgang til en friplejebolig kan være begrænset af dels kommunens intenderede og
uintenderede mål om at sikre den kommunale drift, dels leverandørernes afvisning af borge-
rens ansøgning pga. for lav placering i takstsystemets moduler.
6.3
Leverandørernes forretningsmodel
Leverandørernes forretningsmodel er grundlæggende baseret på et nationalt plejebehovsrela-
teret takstsystem, som bruges til at konvertere og omkostningsberegne kommunens afgørel-
se om borgens service og pleje. Derudover har leverandørerne til forskel fra kommunale leve-
randører mulighed for at udbyde tilkøbsydelser til beboerne for derigennem at skabe nogle
konkurrencefordele. I det følgende belyses først de hidtidige erfaringer med takstsystemet.
6.3.1 Det takstbaserede modulsystem
Den kommune, der har visiteret borgeren til en plejebolig, omsætter funktionsvurderingen af
borgeren til et grundmodul, når borgeren ansøger om at komme ind i en friplejebolig.
Af ansøgningen til leverandøren fremgår derfor det modul, som borgeren er indplaceret i.
Kortlægningen indikerer, at der blandt leverandørerne er en opfattelse af, at der i nogle
kommuner hersker uklarhed om, hvem der skal fortage vurderingen af borgerens timebehov.
Således fremkommer eksempler på, at oprindelseskommuner lader leverandøren fortage vur-
deringen, ligesom der også ses eksempler på, at beliggenhedskommuner finder, det er deres
opgave at fortage vurderingen på vegne af oprindelseskommunen.
”Normalt accepterer vi bare den kategori, som leverandøren vurderer, er passende” (oprin-
delseskommune)
”Det har juridisk set været uklart for os, hvem der er handlekommune – bl.a. fordi vi på an-
dre områder er i en proces med at overtage handlekommuneforpligtigelsen for egne borgere i
andre kommuner” (beliggenhedskommune)
Dette indikerer, at de interviewede oprindelseskommuner i begrænset omfang forholder sig
til, hvordan takstsystemet anvendes og er sammensat. Det skyldes angiveligt, at det drejer
sig om ganske få borgere, som flytter i en friplejebolig uden for kommunegrænsen
8
. Men det
indikerer også, at der uklarhed om, hvordan loven skal fortolkes.
Leverandører og beliggenhedskommuner har dog generelt større erfaring med takstsystemets
anvendelse og tilkendegiver samstemmende, at takstsystemet er forbundet med en række
udfordringer.
Udfordringerne relaterer sig dels til kommunernes fastsættelse af serviceniveauet i forbindel-
se med visiteringen til grundmoduler og øvrige serviceydelser; dels til grundmodulernes
bredde set i forhold til det timeinterval, som modulerne spænder over. Dertil kommer pro-
blemer med fortolkningen af, hvilke pleje- og støttebehov de forskellige ydelser i serviceloven
adresserer.
Fastsættelse af serviceniveauet
Ser vi først på kommunernes fastsættelse af serviceniveauet i forbindelse med omkostnings-
beregningen for borgerens pleje, tegner interviewene et billede af, at kommuner og leveran-
dører mangler et fælles sprog til at koble funktionsvurderingen med borgerens indplacering i
grundmodulet.
Det kommer til udtryk ved, at der for nogle leverandører ikke er nogen synlig sammenhæng
mellem borgerens plejetyngde og visiteringen til det pågældende grundmodul. Således ken-
der leverandøren ikke nødvendigvis de ydelser og det konkrete timetal, som borgeren forven-
tes at modtage inden for grundmodulet.
8
For specificering af antallet af borgere, der er bosiddende uden for egen kommune, henvises til kap. 4.2
PDF to HTML - Convert PDF files to HTML files
37
For kommunerne opleves det, som et administrativt tungt arbejde at skulle omsætte borge-
rens plejebehov til modulsystemet. Det er således en ny praksis for de interviewede kommu-
ner, som de endnu ikke er øvede i. I kommunerne er der fokus på at sikre, at visiteringen til
kommunale plejeboliger sker ud fra så faste standarder som muligt. Typisk igennem kommu-
nalt definerede servicepakker eller en gennemsnitlig takst, som alle leverandørens ydelser
skal honoreres efter. I forlængelse heraf kan det således også for kommunerne være vanske-
ligt at gennemskue, hvilke ydelser leverandøren skal levere inden for grundmodulerne:
”Det er svært, og vi har endnu ikke fundet rytmen – hverken økonomisk eller praktisk. Lige
nu sidder vi nok lidt med en oplevelse af, at vi reelt ikke ved, hvad der leveres” (beliggen-
heds- og opholdskommune)
Der er eksempler på, at man har søgt at operationalisere borgernes plejebehov i en række
timebaserede ydelsespakker for at skabe større gennemsigtighed og ensartethed i den faglige
vurdering af, hvilket grundmodul borgeren visiteres til:
”Vi
har opfundet nogle servicepakker, som kun retter sig til friboligleverandørerne. Vi bruger
ikke pakkerne på visitationen til de kommunale plejehjem. Vi har måske 15 pakker af natur-
ligt sammenhængende ydelser, som så medfører et vist antal timer. Dette samlede antal ti-
mer kan så konverteres til de tre takster A, B eller C” (…) (beliggenhedskommune)
Derudover finder enkelte leverandører, at der behov for en nærmere beskrivelse af det funk-
tionsniveau, som de enkelte moduler dækker over med henblik på yderligere at understøtte,
at borgerens plejebehov matcher timetallet. Det gælder særligt det psykiske aspekt, som er
vanskeligere at udrede og definere i forhold til plejebehovet sammenlignet med det fysiske
funktionsniveau.
”Det
er svært at indplacere i moduler; der mangler vi stadig det psykiske aspekt, da mange
beboere er demente og har brug for psykisk omsorg (…) det psykiske tæller for lidt (…) og
hertil kommer det, at beboere bliver kategoriseret for lavt, fordi det psykiske er svært at
medregne” (leverandør)
For brede grundmoduler
For det andet peger interviewene og kortlægningen på, at den nuværende opdeling mellem
takstsystemets grundmoduler er en udfordring for kommuner og ikke mindst leverandørernes
driftssikkerhed. Nedenstående figur viser hhv. de adspurgte oprindelseskommuners og belig-
genhedskommuners vurdering af, i hvilken grad opdelingen af plejemoduler er tilstrækkeligt
differentieret i forhold til visitation og betaling.
PDF to HTML - Convert PDF files to HTML files
1396469_0042.png
38
Figur 20: Vurdering af, hvorvidt opdelingen af plejemoduler er tilstrækkelig finmasket i forhold til vi-
sitation og betaling
60%
55%
50%
40%
36%
30%
18%
9%10%
5%
0%
0%
I meget I høj grad Hverken
I
I ringe
Ved ikke
høj grad
eller begrænset grad/slet
grad
ikke
Kilde: Survey, 2011 Note: n=31
Beliggenhedskommuner (n=11)
20%
18%
Oprindelseskommuner (n=20)
20%
10%
9%
9%10%
Figuren tegner et noget blandet billede af kommunernes vurdering af grundmodulerne. Godt
halvdelen af beliggenhedskommunerne og en tredjedel af oprindelseskommunerne tilkende-
giver, at opdelingen af grundmoduler i begrænset grad eller slet ikke er tilstrækkeligt diffe-
rentieret, mens knap en tredjedel af beliggenhedskommunerne og en enkelt oprindelses-
kommune i meget høj grad eller i høj grad vurderer, at dette er tilfældet.
At godt halvdelen af oprindelseskommunerne svarer ’ved ikke’ skyldes formentlig, at disse
kommuner har et meget beskedent erfaringsgrundlag.
I interviewene peger både beliggenhedskommuner og leverandørerne på, at der er for stort
et spring i taksten fra modul B til modul C, ligesom modul B spænder over et for bredt time-
interval. Hvis mange borgere har et plejeniveau tæt på det øvre timeloft inden for det enkelte
modul, har leverandørerne vanskeligt ved at få timerne til at slå til. Der kan med andre ord
være en stor variation i borgernes plejetyngde inden for de enkelte moduler, hvilket skaber
uforudsigelighed i leverandørens kapacitetstilpasning og driftsøkonomi.
Flere leverandører har stor opmærksomhed på, at beboersammensætningen balancerer mel-
lem meget plejekrævende borger i modul C og mindre plejekrævende beboere i modul B for
at kunne få en rentabel drift af plejeboligerne. Det betyder, som beskrevet i tidligere afsnit,
at nogle leverandører eksempelvis ikke anviser borgere i modul A til deres plejeboliger:
”Det
ville være godt for visitatorerne og plejehjemmene, hvis taksttrinene var fordelt på en
mere rimelig måde. Det laveste grundtrin kan ikke hænge sammen; selvom vedkommende
[borgeren] ikke skal have noget hjælp, så dækker taksten slet ikke personale eller andet”
(leverandør)
”Vi har en fælles kommunal venteliste, som jeg går ind og kigger på, når vi har stuer ledige.
Men det er sket mange gange, at jeg har valgt borgere, som ikke står øverst på listen. Der
kigger jeg på, om det er en person, som passer ind på den pågældende stue, samt om der er
plejeopgaver i vedkommende, som vi kan tjene penge på" (leverandør)
De fleste leverandører og kommuner påpeger, at der er behov for, at modul B differentieres
for i højere grad at sikre, at personlig pleje og praktisk bistand prissættes i overensstemmel-
se med borgerens behov.
PDF to HTML - Convert PDF files to HTML files
1396469_0043.png
39
Udover de administrative udfordringer, som grundmodulerne giver, er hovedudfordringen set
fra kommunernes synsvinkel, at de nationalt fastsatte takster er højere end de kommunale
takster og serviceniveauer for plejeboliger
9
.
At både leverandører og kommuner finder, at det er uigennemsigtigt hvilke ydelser, der skal
leveres inden for det visiterede grundmodul, kombineret med at kommunerne finder takster-
ne for høje, skaber incitamenter til at spekulere i, hvilket modul borgeren skal indplaceres i.
Flere af leverandørerne fremhæver eksempler på, at de vurderer at kommunerne visiterer
borgerne til for lavt et grundmodul set i forhold til borgerens plejetyngde.
”Det er alt for nemt for kommunerne at visitere, så niveauet for pleje er i modulet lige under”
(leverandør)
”Det
er næsten umuligt at få tildelt en borger i plejekategori C. I øjeblikket har vi 5-6 stykker
ud af 20, som er i den dyreste kategori. Det hænger ikke sammen, at kommunen fx kan pla-
cere den samme borger i funktionsniveaugruppe 4 [kommunens kategorisering] og i pleje-
modul A. Vi må sige nej til en del borgere, som ligger i modul A, fordi de ikke er profitable.
Vores beboergrundlag er dermed usikkert, hvilket er et vilkår der nødvendiggør, at vi kører
med en stram nettonormering. Det er et meget usikkert grundlag at drive forretning på” (le-
verandør)
Forskel i tolkning i relation til sociale ydelser
Endelig efterlader interviewene indtrykket af, at der mellem kommuner og leverandører kan
være forskel i fortolkningen af, hvorvidt tildeling af ydelser inden for § 83 i et eller andet om-
fang også omfatter andre ydelser. Det betyder, at kommuner og leverandører kan have for-
skelligt syn på, hvorvidt borgerens plejebehov kan understøttes inden for grundmodulerne el-
ler bør suppleres med ydelser i form af fx træning eller socialpædagogisk bistand.
6.3.2 Salg af tilkøbsydelser
Leverandørerne har mulighed for at sælge tilkøbsydelser som en integreret del af deres for-
retningsmodel. Antagelsen er, at udbuddet af tilkøbsydelser vil skabe et mere varieret pleje-
boligtilbud.
Det generelle billede hos leverandørerne er, at der har været et begrænset fokus på udvikling
af tilkøbsydelser. Da de først er ved at finde sin form, har de for nuværende en relativt be-
skeden eller ingen betydning for leverandørerne og beboerne.
De tilkøbsydelser, som leverandørerne har oplyst, at de tilbyder i dag, fremgår af nedenstå-
ende oversigt.
9
Den nærmere specificering af kommunernes vurdering af driftsøkonomiske konsekvenser følger i kapitel 7.
PDF to HTML - Convert PDF files to HTML files
1396469_0044.png
40
Tabel 21: Leverandørernes tilkøbsydelser
Ydelse
Mersalg
Rengøring/hovedrengøring
Ledsagelse (forskellige former for)
Ekstra personaletimer
Leverancer i forbindelse private besøg/arrangementer
Leverancer fra køkkenet /mad til private arrangementer
Begravelseskaffe
Gæsteværelse
Hjælp til praktiske gøremål
Vask af tøj/linned
Vask af gardiner
Reparation af tøj
Pedelhjælp/ophængning af diverse i lejligheden
Terrassevedligeholdelse / pasning af blomster
Julepyntning / hjælp til juletræ på terrasse
Underholdning, udflugter/ture
Aktiviteter og arrangementer/ferieture
Buskørsel/kørsel
Undervisning
Studiekreds med ekstern underviser
Luksus/nydelse
Spa
Massagestol
Antal lev.
10
8
1
1
4
1
1
6
1
4
4
2
1
2
2
1
1
1
Kilde: Registreringsskemaer, 2011. Note: Kategoriseringen af tilløbsydelserne er foretaget af Rambøll.
Som oversigten viser, centrerer tilkøbsydelserne sig om rengøring og ledsagelse for de fleste
leverandørers vedkommende. Også ydelser såsom tøjvask og ekstra leverancer fra køkkenet
bliver udbudt. Det skal bemærkes, at enkelte leverandører ikke har defineret faste tilkøbsy-
delser. Disse leverandører vil i stedet søge at imødekomme de specifikke ønsker, som måtte
opstå hen ad vejen.
På baggrund af interviewene tegner der sig følgende årsager til, at der indtil videre er et be-
grænset salg af tilkøbsydelser.
Manglende efterspørgsel:
De fleste leverandører oplever en beskeden efterspørgsel efter
tilkøbsydelserne. Der peges på, at beboerne ikke er vant til muligheden for at købe sig til
ekstra ydelser og finder det naturligt, at alle ydelser indgår som en del af basisydelsen.
Manglende omstilling og kreativitet:
Nogle leverandører skal omstille sig til at tænke eks-
tra ydelser som potentielle tilkøbsydelser. Enten fordi man endnu ikke er kommet dertil,
eller fordi man i et vist omfang har for vane at levere ekstra ydelser uden betaling.
At tilkøbsydelserne blandt nogle leverandører i mindre omfang anskues som en øget indtje-
ningsmulighed kan ses i lyset af, at plejeboligerne i vid udstrækning drives som ikke-
profiterende virksomheder, jf. den tidligere beskrevne profil, kendetegnet ved ikke-
kommercielle, værdibårne og lokalt funderede aktører.
”Vi
og beboerne skal lære at bruge tilkøbsydelser; den nuværende generation er ikke så vant
til at tænke, at man kan købe sig fra noget, men det vil nye generationer i højere grad gøre”
(leverandør)
”Det er ikke særligt meget, at det bliver brugt af beboerne. Det skyldes måske i virkelighe-
den, at vi faktisk udfører mange tilkøbsydelser gratis” (leverandør)
PDF to HTML - Convert PDF files to HTML files
41
Flere leverandører ser dog salget af tilkøbsydelser som en mulighed for på sigt at understøtte
driften og skabe det fornødne overskud til udviklingsaktiviteter. Samlet set hersker således
en opfattelse af, at tilkøbsydelserne er et område i udvikling, hvilket understøttes af, at flere
påtænker at udvide udbuddet af ydelserne. Tilkøbsydelserne betragtes således som et vigtigt
redskab til at understøtte leverandørernes mål om at tilrettelægge indsatsen i plejeboligerne
så individuelt som muligt.
6.3.3 Håndtering af serviceydelser
Det er beliggenhedskommunen, der skal levere de påkrævede serviceydelser til borgeren,
som friplejeboligleverandøren eventuelt ikke er certificeret til at levere. I disse situationer kan
der derfor være behov for at koordinere leverandørernes indsats over for borgeren med de
ydelser, som borgeren modtager fra kommunen; det være sig ledsagelse, genoptræning eller
andre sociale ydelser.
Erfaringerne med at samarbejde om koordineringen af borgerens serviceydelser er forholdsvis
få. Det skyldes, at leverandørerne i de fleste tilfælde er certificeret til de serviceydelser, som
borgerne har eller måtte få behov for. Interviewene efterlader generelt indtrykket af, at leve-
randørerne i videst muligt omfang selv ønsker at levere de sociale ydelser til borgeren og der-
for vil ansøge om yderligere certificeringer, hvis der viser sig behov for det set i forhold til
brugergruppen. Hermed kan leverandøren selvstændigt sikre sammenhæng og kontinuitet i
indsatsen over for borgeren, ligesom leverandøren kan undgå, at manglende certificeringer
leder til, at man må afvise interesserede borgere.
I de tilfælde, hvor kommunen leverer serviceydelser til borgere i friplejeboliger, drejer det sig
primært om vedligeholdelses-/genoptræning. Dette forklares med, at leverandørerne enten
ikke råder over de fysiske faciliteter til genoptræningsopgaverne eller finder, at det er for om-
fattende/vanskeligt at hyre en ekstern fysioterapeut. Grundlæggende tilkendegiver leveran-
dører og kommuner, at koordineringen af disse ydelser fungerer fint.
Ser man således særskilt på den plejefaglige håndtering af de sociale ydelser, tegner analy-
sen alt i alt et billede af, at selve
udførelsen
af ydelserne fungerer uproblematisk for leveran-
dørerne.
Kortlægningen viser, at den primære udfordring på dette område består i, at kommuner og
leverandører ikke har samme
vurdering
af, hvorvidt borgerens funktionsniveau udløser ser-
viceydelser, der ligger ud over grundmodulet – dvs. personlig og praktisk hjælp.
Vurderingen af behovet for ydelser, som i sidste ende kan have betydning for omkostningsni-
veauet, synes at være afledt af den allerede beskrevne uklarhed om, hvad serviceydelserne
dækker over. Som nævnt har flere kommuner ikke tradition for at visitere til ydelser og på-
peger, at det har været en svær opgave at definere indholdet.
Ifølge leverandørerne opnås der i mange tilfælde enighed om, gennem hvilke serviceydelser
borgerens støttebehov bedst dækkes, og hvad de enkelte serviceydelser omfatter. Men flere
leverandører har oplevet vanskeligheder med at få beboernes plejebehov dækket inden for de
ydelser, som de vurderer relevante, og som typisk ligger ud over takstsystemets grundmodu-
ler:
”I
forhold til socialpædagogisk bistand er det fremmed for en kommune at tænke det som en
særskilt ydelse. De finder, at det er en ydelse, som skal kunne tilbydes inden for de § 83 og §
85”(leverandør)
Der er indikationer på, at det er leverandørerne inden for psykisk handicap, der oplever flest
udfordringer med uklarhederne. Årsagen hertil er bl.a., at kommuner og leverandører finder
det vanskeligt at omsætte takstsystemets moduler til denne gruppe borgeres plejebehov.
Borgere med psykiske handicap har i et lille omfang behov for § 83, bl.a. fordi indsatsen me-
re end praktisk bistand snarere handler om at vejlede og guide beboerne i, hvordan de selv
kan klare opgaverne – dvs. i form af socialpædagogisk bistand.
PDF to HTML - Convert PDF files to HTML files
42
”Det er ikke en oplagt måde at visitere på. - Hvad dækker § 83 over i forhold til borgere med
sindslidelser, hvis det ikke er hjemmehjælp?” (beliggenhedskommune)
Det betyder, at der blandt nogle leverandører og kommuner opstår diskussioner om, hvilke
konkrete ydelser der bør omkostningsberegnes inden for grundmodulets døgntakst, og hvilke
ydelser der skal afregnes efter en timebaseret takst i henhold til servicelovens § 85.
Særligt i forhold til betalingskommuner vurderer nogle leverandører, at kommunen kan være
tilbageholdende i forhold til at ville visitere til andet end det, der indgår i den personlige pleje.
Andre eksempler peger på, at leverandørernes samarbejde med beliggenhedskommuner fun-
gerer bedre end med betalingskommunerne. Enten fordi kommunale sagsbehandlere har haft
et mangeårigt samarbejde med leverandøren under den tidligere ejerform, eller fordi kom-
munen har sammensat et særligt visitatorteam til borgere i friplejeboliger.
6.3.4 Håndtering af sygeplejeydelser
Leveringen af sygeplejeydelser og genoptræning er ikke omfattet af lov om friplejeboliger.
Det påhviler derfor beliggenhedskommunen at levere disse ydelser til borgerne i friplejeboli-
ger.
Kommunen kan vælge at uddelegere opgaven til leverandøren. Kommunen har det sygepleje-
faglige ansvar. Friplejeboligleverandørerne kan via en sygeplejerske påtage sig opgaven, når
sygeplejersken fagligt referer til den kommunalt ansvarlige. Uanset fremgangsmåden indgår
håndteringen af sundhedsydelserne, ligesom serviceydelserne, som en væsentlig del af leve-
randørens driftsvilkår.
De fleste leverandører har eller er ved at indgå en økonomisk aftale med kommunen om selv
at varetage opgaven. Derudover er der leverandører, som ikke har fundet frem til en aftale
med kommunen, men vælger at levere sygeplejeydelserne uden betaling. Endelig er der en
enkelt leverandør, hos hvem beliggenhedskommunen har ansat en sygeplejerske, der alene
udfører opgaver hos leverandøren.
Årsagen til, at stort set alle leverandører - med eller uden betaling - varetager udførelsen af
sygeplejeydelserne, skal findes i, at det blandt kommuner og leverandører rent plejefagligt
vurderes at være den mest hensigtsmæssige løsning. Ydelserne ses som en integreret og
sammenhængende del af den daglige pleje og omsorg, som leverandøren udfører.
Leverandører, som tidligere i en periode har fået sundhedsydelser til borgerne leveret fra
kommunale sygeplejersker, fortæller således, at forskellige sygeplejerskers gang i huset
skabte forvirring hos beboerne, samtidig med det var vanskeligt for de kommunale sygeple-
jersker at følge borgerens forløb. Endelig fremhæver nogle leverandører dilemmaet i, at per-
sonale fra en anden organisation ikke nødvendigvis arbejder efter de samme værdier og hen-
syn:
”Der
ikke noget galt med kommunens hjemmesygeplejersker, men det er for forvirrende for
borgeren at trække andre sygeplejere ind. Derudover er det anden virksomhed, som trækkes
ind. Man kan ikke forestille sig, at et bilværksted skulle lave 90 procent og et andet værksted
de sidste 10 procent. Man laver en kunstig opdeling” (leverandør)
Om end beliggenhedskommunerne peger på vigtigheden af et sammenhængende plejeforløb
for borgeren, oplever de samtidig et dilemma i at skulle betale en særskilt takst til leverandø-
ren ved at uddelegere opgaven, fordi de vurderer, at opgaven kan løses af kommunen for
færre omkostninger. Stigningen i omkostninger forstærkes ifølge beliggenhedskommunerne
desuden af deres lovmæssige forpligtigelse til at afholde udgifter for sundhedsydelser til bor-
gere, som kommer fra andre kommuner.
Det er vurderingen, at det har været en langstrakt og ressourcekrævende proces for de fleste
leverandører og beliggenhedskommuner at finde frem til en økonomisk og sundhedsfaglig
model for, hvordan levering af sundhedsydelser kan administreres. Dette synes samtidig at
være årsagen til, at nogle leverandører og kommuner ikke har fundet frem til en økonomisk
PDF to HTML - Convert PDF files to HTML files
1396469_0047.png
43
aftale endnu. Af disse grunde og fordi leverandører samtidig vurderer, at den takst, de får fra
kommunen er for lav sammenlignet med de udgifter, der forbundet med opgaven, finder de,
at der burde være hjemmel i lov om friplejeboliger til at blive certificeret til levering af sund-
hedsydelser.
På baggrund af interviewene viser der sig forskellige måder at administrere og omkostnings-
beregne leverandørens udgifter til sundhedsydelser på.
Der er eksempler på kommuner, hvor borgerens behov for sygeplejeydelser løbende opgøres
ned til 2 min, hvorfor leverandøren hyppigt skal søge om nye bevillinger, mens andre leve-
randører får et årligt tilskud til ansættelse af egen sygeplejerske. Endelig findes der et ek-
sempel på, at man afregner sundhedsydelserne via modulsystemet som del af den praktiske
bistand.
6.4
Forhold vedrørende borgere med psykiske og fysiske handicap
Ud over de ovenstående udfordringer, oplever leverandører inden for det socialpædagogiske
og socialpsykiatriske område, at der er udfordringer knyttet til borgerens rettigheder som le-
jer og det plejerelaterede takstsystem
10
.
Ligesom en beboer i en almen plejebolig indgår en lejeaftale med boligorganisationen, indgår
den beboer, som vælger en friplejebolig, en lejeaftale med leverandøren af plejeboliger i hen-
hold til lejeloven. Det betyder, at beboeren har ret til permanent ophold i plejeboligen
11
. Dette
synes imidlertid at skabe nogle driftsmæssige udfordringer.
Leverandørerne tilkendegiver således, at de er udfordret af kommunernes mulighed for at til-
byde borgeren med nedsat fysisk eller psykisk funktionsevne et midlertidigt ophold i et botil-
bud efter servicelovens § 107 frem for et længerevarende ophold efter servicelovens § 108
12
.
Når borgeren er visiteret til et midlertidigt ophold i botilbud efter servicelovens § 107, er bor-
geren ikke omfattet af retten til frit valg og har dermed ikke ret til at vælge en friplejebolig.
Leverandørerne oplever, at beboernes ret til permanent ophold i friplejeboligen og botilbud
efter servicelovens § 108 betyder, at kommunerne finder midlertidige ophold i § 107 botilbud
mere attraktive. Til forskel fra friplejeboligerne kan kommunen afbryde borgerens ophold i
botilbuddet, for så vidt det vurderes, at borgeren kan profitere af andre tilbud, samt at det
sker under hensyntagen til gældende ret i øvrigt.
Eftersom de psykiatriske bosteder - til forskel fra somatiske plejeboliger - typisk arbejder
med sigte på rehabilitering, er det målet, at den psykiatriske og socialpædagogiske støtte
med tiden kan drosles ned, og borgeren kan udsluses til andre tilbud eller for nogle borgeres
vedkommende til egen bolig. Heraf følger, at indsatsen er af midlertidig karakter.
Hvis borgen afviser at flytte fra friplejeboligen, kan kommunen ikke ændre tilbuddet, hvorfor
friplejeboligerne ifølge leverandørerne opleves/vurderes som ufleksible og økonomisk risikab-
le blandt nogle kommuner. I tråd hermed peger interviewede kommuner på, at de altid vil
fortage en vurdering af, hvorvidt borgeren har brug for et varigt ophold eller ”kan komme vi-
dere”, og at det ud fra intentionen om at sikre borgeren bedst muligt, kan være en økono-
misk udfordring for borgeren at flytte på kort sigt, fordi borgeren er bundet af et indskud.
Interviewene med leverandørerne af bostederne indikerer samtidig, at borgerens ret til at bli-
ve i sin plejebolig også set fra nogle leverandørers perspektiv passer dårligt overens med det
at drive friplejeboliger med fokus på rehabilitering af borgere. Det skyldes, at i takt med at
borgere tildeles færre støttetimer, fordi borgeren opnår større selvstændighed, kan leveran-
døren principielt set reduceres til en udlejningsfunktion.
Ud af de 14 leverandører driver de fem tilbud til borgere med fysiske og psykiske handicap med hjemmel i lov om friplejeboli-
ger. Tre af disse udbyder plejeboliger til borgere med sindslidelser, mens to er rettet mod borgere med udviklingshæmning og
senhjerneskader.
11
12
10
Jf. § 34 i lov om friplejeboliger reguleres forholdet mellem friplejeboligleverandøren og lejeren af lov om leje.
I henhold til Serviceloven har borgeren ret til at blive visiteret til §108 tilbud, hvis borgeren opfylder betingelserne herfor.
PDF to HTML - Convert PDF files to HTML files
44
De tidligere beskrevne udfordringer i forhold til udmålingen af borgerens støttebehov samt de
begrænsninger, der kan ligge i borgerens rettigheder som lejer, betyder, at en leverandør øn-
sker at ophøre som friplejeboligleverandør og i stedet søge godkendelse som leverandør af
botilbud efter servicelovens § 107.
”Kommunerne
kender dette tilbud og det takstsystem, som består af en grundtakst og time-
baseret omkostningsberegning af behovet for støtte.” (leverandør)
PDF to HTML - Convert PDF files to HTML files
45
7.
ANALYSE AF LOVENS EFFEKTER
Formålet med dette kapitel er at analysere de foreløbige effekter af lov om friplejeboliger
igennem afdækning af følgende temaer:
Borgernes anvendelse af det frie valg
Etablering af en konkurrencesituation hvor leverandørerne har muligheder for at etablere
friplejeboliger og levere service herfra
Konsekvenserne for kommunerne i forhold til kapacitetstilpasning, administration og ser-
viceudgifter
Der sættes således fokus på tilsigtede som utilsigtede effekter af loven. Derudover belyser vi
med udgangspunkt i de beskrevne erfaringer med friplejeboligordningen i de forudgående ka-
pitler de forhold, der fremmer og hæmmer effekterne.
7.1
Borgerens anvendelse af det frie valg
Et af hovedformålene med lov om friplejeboliger er at styrke borgens frie valg.
Én af antagelserne bag lovgivningen er, at hvis der er mulighed for frit valg, og borgeren fin-
der tilbuddet attraktivt, så vil borgerne aktivt vælge friplejeboliger. Nedenfor belyses, hvor-
vidt og hvordan lov om friplejeboliger har påvirket borgerens anvendelse af det frie valg.
7.1.1 Oplevelse og vægtning af valgfrihed
Et centralt spørgsmål i denne sammenhæng er, hvordan borgere og pårørende reelt oplever
deres valgmuligheder inden for plejeboliger, og hvorvidt de er tilfredse hermed.
Der er delte meninger blandt de adspurgte beboere i friplejeboliger og kommunale plejeboli-
ger samt pårørende til beboere i disse plejeboliger om, hvorvidt disse var tilfredse med de
valgmuligheder, de havde haft, og deres mulighed for at vælge. En pårørende til en beboer i
friplejebolig siger:
”Ja, det har jeg. Vi har det godt med, at mor er derovre. Der bliver taget godt hånd om hen-
de. Vi så på et plejehjem i en anden by, men det var ikke noget for mor. Hun var fast beslut-
tet på, at det skulle være” (pårørende)
Samtidig synes der at være en tendens at spore i forhold til pårørende til beboere i forskellige
typer af friplejeboliger. Der var flere adspurgte med pårørende i friplejeboliger for ældre, som
har været godt tilfredse. Derimod fremhævede flere pårørende til handicappede beboere i
friplejeboliger, at de ikke oplevede, at der var nok alternativer at vælge imellem.
"Der er ofte ikke nogen gode alternativer for handicappede som vores søn, så der har reelt
ikke været et valg” (pårørende)
Hovedparten af de adspurgte fremhæver, at de ikke for alvor har gjort brug af andre valgmu-
ligheder, fordi de havde bestemt sig på forhånd:
”Vi var slet ikke ude og afsøge markedet, da vi allerede vidste, at det var der, hun skulle bo”
(pårørende)
Flertallet af pårørende til beboere i kommunale tilbud udtrykker, at de enten ikke er tilfredse
med valgmulighederne inden for plejeboliger eller ikke ved, om de er tilfredse. Flere udtryk-
ker, at de ikke oplever, der reelt har været noget valg.
De adspurgte borgere og pårørende deler sig i to lige stor grupper: Dem, der fremhæver, at
det ingen betydning har – enten fordi de ikke har oplevet, at der var valgmuligheder, eller
fordi de allerede havde besluttet sig for stedet. Og dem, der tillægger det stor betydning.
PDF to HTML - Convert PDF files to HTML files
1396469_0050.png
46
Adspurgt, om det har betydning, at plejeboligen er privat (eller kommunal for de adspurgte i
kommunale plejeboliger), mener størstedelen af borgere og pårørende ikke, at det har haft
betydning. Også flere kommunale repræsentanter vurderer, det ikke har betydning. Flere be-
boere i friplejeboliger nævner, at de ikke var klar over, at det var en privat plejebolig, da de
valgte at ville bo på stedet, og andre fremhæver, at privat eller kommunal ikke har betyd-
ning, så længe renomméet er godt:
”Nej,
det kan jeg ikke rigtig sige. Det må jeg sige nej til. Hvis det var en kommunal bolig, der
havde haft det samme ry, havde jeg måske taget det” (beboer)
Det er således stedet og ikke ejerformen, som fremstår betydningsfuld for langt størstedelen
af de adspurgte.
En mindre andel af de pårørende til beboere i friplejeboliger fremhæver, at ejerformen har
haft betydning. Denne gruppe italesætter en overbevisning om, at det private er bedre end
det offentlige – grunden hertil er dog forskellig; enkelte fremhæver mere medbestemmelse
for beboerne samt ledelsesindflydelse på beboersammensætningen som betydningsfuld, an-
dre fremhæver muligheden for tilkøb og bedre normering i friplejeboligerne. Andre fremhæ-
ver dårlige erfaringer med kommunale plejeboliger som grunden til at vælge et privat sted.
7.1.2 Barrierer og drivkræfter for det frie valg
Med lov om friplejeboliger er der ideelt set skabt grundlag for en ny valgmulighed på plejebo-
ligområdet. På baggrund af analysen af borgeres, pårørendes, leverandørers og kommuners
udsagn er der blevet identificeret en række mekanismer, som på forskellig vis kan virke
fremmende eller hæmmende for effekten af ordningen på borgerens frie valg.
Kortlægningen har vist, at tilkøbsydelser har begrænset effekt på og betydning for borgernes
valg, ligesom betydningen af tilkøbsydelser fremadrettet alt andet lige vurderes at være be-
hersket, idet efterspørgselen efter sådanne ydelser fra borgernes side er relativt svag.
Valget af plejebolig er derimod drevet af borgernes og deres pårørendes kendskab, leveran-
dørernes ry og i særlig grad boligens geografiske placering. Disse uddybes i afsnittene neden-
for.
Figur 22: Mekanismer, der har betydning for borgerens valg
Information
Geografi (nærhed)
Ressourcer
Borgerens valg
af plejebolig
Geografi
Leverandørernes tilknytning til lokalsamfundet og i nogle tilfælde en lang historisk forankring
vidner - sammenholdt med borgernes udsagn om årsager til valg af plejebolig - om, at borge-
rens frie valg i høj grad er betinget geografiske præferencer.
PDF to HTML - Convert PDF files to HTML files
47
Kombinationen af leverandørernes profil, beboernes præferencer og manglende mobilitet på
tværs af kommuner indikerer, at geografi har afgørende betydning for valget af plejebolig.
Også kommuner, både med og uden friplejeboliger inden for kommunegrænsen, oplever i høj
grad, at det er geografi, som har betydning for valget.
Friplejeboligerne fremstår således i høj grad som det lokale alternativ. For borgerens frie valg
betyder dette i praksis, at det primært er for borgere i geografisk nærhed af en friplejebolig,
at der er skabt en øget valgfrihed, mens der derimod ikke er øget valgfrihed for borgere geo-
grafisk langt fra en friplejebolig. Givet, at det er det lokale aspekt og den geografiske nær-
hed, der ofte er central for valget, synes der at være grundlag for at konkludere, at der er
øget valgfrihed (om end i en lille skala) i beliggenhedskommunerne for friplejeboliger.
Information
Information om muligheder og rettigheder er en forudsætning for at kunne træffe et velin-
formeret valg. Som det også fremgår af afsnit 5.2.2, er kommunen ofte mellemled mellem
borger og leverandør. De er dermed en væsentlig kilde til information om friplejeboliger.
Kortlægningen af kommunens information til borgerne vidner om, at kommunernes informa-
tion af borgerne om deres valgmulighed varierer betragteligt og i nogle tilfælde her helt fra-
værende. En pårørende udtrykker således:
"Det er synd, at man skal lave en sådan lovgivning uden at oplyse om den, for ordningen gi-
ver bedre muligheder for forældre til en handicappet søn" (pårørende)
Enkelte pårørende til friplejeboligbeboere oplever endvidere, at kommunen søger at præge
valget i en bestemt retning. De påpeger, at de oplever, at kommunen ønsker borgerne i
kommunale plejeboliger. Begrundelsen er enten økonomi (at friplejeboligen er for dyr), eller
som denne pårørende beskriver:
”Da jeg skrev [friplejeboligen] på ventelisten, blev jeg bedt om at finde et andet ønske i ste-
det, da det ikke var et sted, de havde noget med at gøre” (pårørende)
Flere pårørende til borgere i kommunale tilbud oplever ikke, at kommunen anbefaler noget,
men enkelte fremhæver, at de heller ikke fik information om friplejebolig som en mulighed.
Andre oplever, at kommunale muligheder bliver anbefalet, og nogle udtrykker fornemmelser
af, at man fra kommunens side gerne ville have besat de kommunale boliger først.
I ovenstående tilfælde kan man argumentere for, at borgernes valgfrihed er begrænset, så-
fremt den kommunale vejledningspraksis er så varierende, som det påpeges. Kommunernes
intenderede eller uintenderede præferencer for at sikre den kommunale drift kan dermed i
sidste ende hæmme borgerens valgfrihed. Leverandørens anvisningsret har i princippet sam-
me potentielle begrænsning. På baggrund af kortlægningen vurderes det ikke at være tilfæl-
det.
Ressourcer
Slutteligt er det væsentligt at fremhæve, at borgerens frie valg i høj grad er betinget af den
enkelte borgers (eller pårørendes) situation og mulighed for at vælge. Manglende eller man-
gelfuld information fra andre gør, at det ofte er borgernes og de pårørendes egne ressourcer
og aktive afsøgning af muligheder, der er drivende.
PDF to HTML - Convert PDF files to HTML files
1396469_0052.png
48
Også kommunale repræsentanter er enige i denne betragtning:
”Muligheden er god, hvis borgeren/de pårørende selv undersøger det. Det kræver, at de selv
gør noget” (oprindelseskommune)
Nogle kommuner fremhæver endvidere, at de oplever, at der på den måde også er to forskel-
lige kategorier af borgere. De mere aktive (ofte mere kognitivt velbevarede), som foretager
et konkret valg og tilvælger en (fri)plejebolig af forskellige årsager, og en anden gruppe, hvor
det først og fremmest handler om at finde en plejebolig i nærheden.
Når en borger visiteres til en plejebolig, er det endvidere ofte på baggrund af et akut opstået
behov, som betinger, at der træffes et hurtigt valg, hvilket begrænser muligheden for at af-
søge sine muligheder i god tid, forud for at valget om plejebolig skal træffes.
Det personlige overskud til aktivt at afdække muligheder er således også en afgørende influe-
rende faktor i forhold til, om en øget valgfrihed i givent fald udnyttes.
7.2
Etablering af en konkurrencesituation
Et andet hovedformål med loven er at skabe øget konkurrence om udbuddet af plejeboliger.
Antagelsen er, at flere typer af udbydere, herunder forskellige ejerformer, vil skabe øget kon-
kurrence om kvalitet og omkostningsniveau.
I surveyen er kommunerne blevet spurgt om, hvilken betydning, de vurderer, lov om fripleje-
boliger har haft for konkurrencen på plejeboligområdet (figur 11).
Figur 23: Vurdering af lovens betydning for konkurrencen i kommunerne
100%
9%
90%
80%
70%
60%
73%
50%
40%
30%
20%
10%
0%
Beliggenhedskommuner
(n=11)
Kilde: Survey, 2011 Note: n=31
Andet
100%
Ikke haft betydning for
konkurrencen
Øget variation i den tilbudte
kvalitet
18%
Oprindelseskommuner (n=20)
Figuren viser ikke overraskende, at oprindelseskommunerne vurderer, at loven ingen betyd-
ning har haft, mens enkelte af de adspurgte chefer i beliggenhedskommunerne (18 pct.),
svarende til 2 ud af de 11 kommuner, vurderer, at konkurrencen har medført en øget variati-
on i den tilbudte kvalitet.
At kommunerne ser en begrænset effekt på konkurrencesituationen i kommunen skal grund-
læggende ses i lyset af, at udbuddet af friplejeboliger er beskedent, jf. også ovenfor, hvor det
er konkluderet, at der kun lokalt i beliggenhedskommunerne er skabt øget frit valg. Eftersom
efterspørgselen på kvote har været begrænset, og kvoterne ikke er blevet opbrugt, har de
PDF to HTML - Convert PDF files to HTML files
1396469_0053.png
49
fleste interviewede leverandører fået tildelt kvoter til den højeste pris inden for de gældende
afsatte lofter. Det betyder samtidig ingen eller begrænset konkurrence på prisen for driften af
plejeboliger.
”Man kan tage maksimumprisen, fordi man ved, at kvoten ikke bliver brugt op. Derfor er der
ikke en reel konkurrence” (leverandør)
Om end loven ikke hidtil har skabt et marked, som har medført øget konkurrence internt mel-
lem leverandørerne og mellem leverandører og kommunale tilbud på nationalt plan, er det
vurderingen, at det i et vist omfang er skabt i beliggenhedskommunerne, idet der her er et
tilbud indenfor en rimelig geografisk ramme.
Spørgsmålet er, om de etablerede friplejeboliger er med til at skabe en øget mangfoldighed i
udbuddet af plejeboliger i kommunen? Figuren neden for viser kommunernes vurdering heraf.
Figur 24: Har friplejeboliger skabt en øget mangfoldighed i udbuddet af plejeboliger i kommunen
50%
45%
45%
40%
35%
30%
25%
20%
15%
15%
10%
10%
5%
5%
0%
0%
I meget høj
grad
Hverken eller
I begrænset
grad
I ringe
grad/slet ikke
Ved ikke
0%
27%
25%
Beliggenhedskommuner (n=11)
Oprindelseskommuner (n=20)
27%
45%
Kilde: Survey, 2011 Note: n=31
Det generelle billede er, at kommunerne i begrænset omfang finder, at friplejeboligerne har
påvirket mangfoldigheden: Knap halvdelen (45 pct.) af de adspurgte kommunale chefer fra
beliggenhedskommunerne vurderer, at der i begrænset grad er skabt en øget mangfoldighed,
mens det samme gør sig gældende for 15 pct. af oprindelseskommunerne. 27 pct. af belig-
genhedskommunerne finder, at det i ringe grad eller slet ikke er tilfældet, mens andelen her
er 45 pct. blandt oprindelseskommunerne.
På baggrund af interviewene kan det udledes, at leverandører og kommuner i vid udstræk-
ning søger at tiltrække de samme borgere, hvorfor der er beskedne forskelle på målgrupper
og ydelser. Dette skal også ses i lyset af, at tilkøbsydelser først er under opsejling, og at dis-
se set fra borger- og pårørendeperspektivet ikke har haft betydning for valget af friplejeboli-
gen. Enkelte leverandører oplever på den baggrund, at konkurrencesituationen er hårdere, jo
tættere geografisk placering de har, fordi man konkurrerer om at tiltrække de samme beboe-
re.
Når leverandører vurderer de primære forskelle mellem kommunale plejeboliger og fripleje-
boligerne, lægger de vægt på, at medarbejderne i kraft af korte beslutningsgange og stor
medbestemmelse har et stærkt tilhørsforhold som betyder, at de kan levere højere kvalitet.
Det forhold, at man ikke er underlagt kommunale principper og regler, giver ifølge leverandø-
rerne en frihed til at skabe mere individualiserede tilbud. Nogle kommuner fremhæver, at de
PDF to HTML - Convert PDF files to HTML files
50
vurderer, at der kan være en særlig hjemlig stemning, men at den væsentligste forskel er, at
leverandørerne tilbyder hjemmelavet mad fra eget køkken.
Enkelte leverandører peger dog på, at de konkurrencemæssigt er begunstigede af at differen-
tiere sig fra de tilbud, kommunen har, fordi de tilbyder nogle ydelser, som kommunen ikke
har inden for sin tilbudsvifte. Der ses således enkelte eksempler på, at friplejeboliger til bor-
gere med psykiske og fysiske handicap indebærer et tilbud om en specialisering i forhold til
komplekse problemstillinger, som beliggenhedskommunen eller nabokommuner ikke råder
over:
”Hvis det er et supplement, er det godt. Er det på det dybt specialiserede område for fx døve
og blinde, vil der være folk (leverandører), der vil kunne varetage den slags bedre end os.
Det er en balanceret strategi. Noget klarer vi selv, mens der er områder grundet kommunens
størrelse, som vi kan blive nødt til at købe ude fra” (oprindelseskommune)
Uanset den lokale konkurrencesituation finder både de nuværende leverandører af friplejebo-
liger og de interviewede beliggenhedskommuner, at de nuværende vilkår for at drive fripleje-
boliger afføder en forvredet konkurrencesituation.
Fra leverandørernes side peges på, at en barriere for en lige konkurrence er, at kommunerne
i forbindelse med visitationen af borgeren har mulighed for at præge borgeren til at vælge
kommunale plejeboliger eller ikke informerer om borgerens muligt for frit valg. Som beskre-
vet i kapitel 5 oplever flere leverandører, at kommunerne ikke informerer tilstrækkeligt om
muligheden for at vælge en friplejebolig, og at deres optag af borgere i vid udstrækning er
båret oppe af, at de har eksisteret som plejehjem/botilbud i mange år og derfor er kendte i
lokalområdet. Dette billede understøttes af, at de leverandører, som har vanskeligt ved enten
mere permanent eller periodevis at få fuld belægning af plejeboligerne, er de leverandører,
som er nyetablerede og ikke i forvejen har etableret et ry.
Fra kommunernes side opleves en ulige konkurrence mellem leverandører og kommuner, for-
di de finder, at de takster, som modulsystemet bygger på, er for høje sammenlignet med de
omkostninger, som er forbundet med at drive kommunale plejeboliger.
7.3
Kommunernes udgifter
Som led i evalueringen er der blevet foretaget en kortlægning og analyse af, hvorvidt og i gi-
vet fald hvordan loven har påvirket kommunernes økonomi. Påvirkningen er blevet vurderet
på følgende områder:
Dialog med leverandører ved etablering
Visitation
Effekter knyttet til serviceloven
Effekter knyttet til sundhedsloven
Administration og forvaltning
I vurderingen sondres der mellem hhv. beliggenheds- og oprindelseskommuner. Årsagen her-
til er, at der på en række områder vurderes at være forskel i såvel oplevelsen som vurderin-
gen af konsekvenserne og effekterne af indførelsen af loven.
Omfanget af friplejeboligleverandører i drift er som påpeget behersket. Det datagrundlag som
vurderingen af kommunernes udgifter er baseret på, er deraf begrænset til få kommuner.
Uanset om det er en beliggenheds- eller oprindelseskommune er det således vigtigt at være
opmærksom på, at der endnu er tale et begrænset antal beboere i friplejeboligerne. Derud-
over har friplejeboligleverandørerne alt andet lige været i drift i relativt kort tid. Det medfø-
rer, at de operationelle, organisatoriske og strategiske konsekvenser og erfaringer i kommu-
nerne er tilsvarende begrænsede. Af samme årsag skal de afdækkede omkostninger og vur-
deringer nok så meget ses og læses som et udtryk for, hvilke forventninger der er til konse-
kvenserne af loven, såfremt ordningen vil blive yderligere udbredt de kommende år.
PDF to HTML - Convert PDF files to HTML files
1396469_0055.png
51
Hovedparten af de estimerede effekter af lovgivningen er fokuseret omkring udvikling i tids-
forbrug og omkostningsniveau. I beliggenhedskommuner er der gennemført en nærmere
analyse og identificering af de enkeltaktiviteter, der udføres i forbindelse med håndteringen af
borgere i friplejeboliger sammenholdt med aktiviteter relaterede til borgere i kommunale ple-
jeboliger.
De steder, hvor det har været muligt for kommunerne at angive eller estimere de faktiske
meromkostninger, er disse fremhævet. Det skal dog understreges, at formålet med evalue-
ringen ikke har været at foretage en egentlig driftsøkonomisk analyse, hvorfor der ikke kan
drages konklusioner på disse opgørelser.
Kommuner, der hverken er beliggenheds- eller oprindelseskommune, er ikke berørt af loven,
hvorfor der ikke er kortlagt og opgjort effekter hos disse.
7.3.1 Dialog med leverandører
Opstart af friplejeboliger i kommunen medfører typisk tidsforbrug i kommunen i form af dia-
log med leverandørerne.
Omfanget af dialogen varierer fra kommune til kommune. Det er vurderingen, at den væsent-
ligste forskel er, hvorvidt der er tale om en etableret selvejende plejebolig, der skal omdan-
nes til friplejebolig, eller om der er tale om nyetablering. Hovedelementerne i de to situatio-
ner fremgår af nedenstående.
Etableret selvejende plejebolig, der skal omdannes:
Afholdelse af 1-2 møder mellem
kommunen og den kommende friplejebolig. Herudover skriftlig/telefonisk dialog. At mø-
deaktiviteten kan holdes på to møder forudsætter, at friplejeboligleverandøren trækker
på eget netværk/ekstern bistand ift. rådgivning omkring etableringen, hvilket også er er-
faringen. Herudover kan der være møder og kontakter om den konkrete udmøntning og
tolkning af loven ift. sygeplejeydelserne, hjælpemidler mv.
Nyetablering:
Afholdelse af en møderække med den kommende friplejeboligleverandør.
Møderækken kan involvere mange funktioner i kommunen, afhængigt af om eksisterende
bygninger skal benyttes, eller der er tale om nyetablering, bygningernes stand, leveran-
dørens erfaringer og bagland mv.
Eksempel på dialogproces
En etableret selvejende institution ønsker omdannelse til friplejeboliger. Der er i vidt omfang
tale om videreførelse af det samme værdigrundlag, samme målgruppe, samme ledelse og
samme personalegruppe og dermed minimale ændringer i samarbejdet.
Der afholdes møde i opstartsfasen, hvor kommunen orienteres om planerne. Tæt på om-
dannelsen til friplejeboliger afholdes endnu et møde omkring de praktiske ting set i forhold
til samarbejdet mellem kommunen og leverandøren.
7.3.2 Visitation af borgere
Indførelsen af loven har i varierende grad medført, at der bruges flere ressourcer på visite-
ringen af borgerne. Figuren nedenfor viser kommunernes vurdering af, hvordan deres udgif-
ter til visitation har udviklet sig. Det fremgår, at der særligt i beliggenhedskommunerne er en
oplevelse af, at udgifterne er steget.
PDF to HTML - Convert PDF files to HTML files
1396469_0056.png
52
Figur 25: Udgifter til visitation af borgere i friplejeboliger
100%
90%
80%
70%
60%
50%
40%
30%
20%
10%
0%
Beliggenhedskommuner
(n=11)
Kilde: Survey, 2011 Note: n=31
20%
36%
Ved ikke
75%
64%
Uændret
Steget
5%
Oprindelseskommuner
(n=20)
Den samme vurdering – om end i mindre udtalt grad – kan genfindes i beliggenhedskommu-
nernes vurdering af udviklingen i udgifterne til ydelser som følge af §§ 83 og 87, dvs. det er
også her primært beliggenhedskommunerne, som oplever, at udgifterne er steget.
Figur 26: Udgifter til ydelser ifølge §§ 83 og 87
100%
9%
90%
80%
70%
60%
50%
40%
30%
20%
10%
10%
0%
Beliggenhedskommuner
(n=11)
Kilde: Survey, 2011 Note: n=31
25%
36%
Ved ikke
65%
Uændret
Steget
55%
Oprindelseskommuner
(n=20)
Kommunerne fremhæver, at kilden til udviklingen i udgifterne til visitation primært er knyttet
til kravet om, at der skal visiteres til de tre fastlagte kategorier (A, B og C). Årsagen til, at
det giver udfordringer, er, at disse kategorier afviger fra kommunernes egen visitationsprak-
sis.
Som det fremgår af nedenstående figur, er det i særlig grad beliggenhedskommunerne, som
har oplevet udfordringer hermed – om end billedet ikke er entydigt. Årsagen til, at det netop
er disse, er formentlig, at der endnu ikke er et overblik over merudgifterne.
PDF to HTML - Convert PDF files to HTML files
1396469_0057.png
53
Figur 27: Er opdelingen i funktionsniveau A, B og C tilstrækkelig finmasket til visitation og betaling
60%
55%
50%
40%
36%
30%
20%
Beliggenhedskommuner (n=11)
18%
9%10%
5%
0%
9%10%
18%
Oprindelseskommuner (n=20)
20%
10%
9%
0%
I meget høj I høj grad
grad
Hverken I begrænset I ringe
eller
grad
grad/slet
ikke
Ved ikke
Kilde: Survey, 2011 Note: n=31
På baggrund af kortlægningen i casekommunerne er det vurderingen, at omfanget og ni-
veauet i merforbruget til visitation hovedsageligt afhænger af kommunens eksisterende visi-
tationspraksis. Kortlægningen viser, at mertidsforbruget på visitation varierer mellem 0 og 3
timer, når der sammenlignes med en ordinær visitationsproces. Baggrunden for forskellene er
eksemplificeret i nedenstående cases.
Eksempler på tidsforbrug til visitation
En kommune visiterer ikke til bestemte plejekategorier for borgere i kommunale plejeboli-
ger, da alle borgere i plejeboliger udløser den samme takst. Friplejeboligloven har den kon-
sekvens, at borgere der ønsker friplejebolig skal visiteres til A-B-C kategori. Tidsforbruget
for visitation og revisitation svarer ca. til antallet af friplejeboligpladser x tidsforbruget
pr.visitation, hvilket i denne kommune sidste år svarede til 57 visitationer à 75 minutter.
En anden kommune visiterer ikke borgere i plejeboliger til konkret timeantal. Meromkost-
ning til visitation til friplejebolig udgør 2-3 timer pr. borger for visitatoren, inklusive tid til vi-
sitationen samt efterfølgende dokumentation.
Visitation af borgere i oprindelseskommunerne er typisk knyttet til kontakt med den fripleje-
boligleverandør, som den visiterede borger ønsker at gøre brug af. Også her er den altover-
vejende årsag til merforbrug, at visitationen til A-B-C kategorierne er mere krævende. Er det
en ikke kendt leverandør, tager det lidt længere tid, idet opholdskommunen ofte har brug for
at orientere sig om leverandørens tilbud, deres betingelser og procedurer. Det er vurderin-
gen, at det typisk drejer sig om 5 – 10 minutter pr. sag.
7.3.3 Effekter knyttet til serviceloven
Det forhold i loven, der i ifølge kommunerne medfører flest øgede omkostninger, er, at de
statsligt fastsatte takster pr. borger ifølge kommunerne er højere end kommunernes egne in-
terne takster.
I nogle kommuner er der foretaget egentlige beregninger på meromkostningen, i andre er det
en overordnet vurdering, der er baseret på et skøn. På tværs af kommunerne er det vurde-
PDF to HTML - Convert PDF files to HTML files
1396469_0058.png
54
ringen, at omkostningen pr. plads hos leverandørerne gennemsnitligt er højere end deres eg-
ne.
13
I alle kommunerne er der endvidere en forventning om, at der i takt med udbredelsen af an-
tallet af leverandører vil opstå øgede udfordringer med økonomi- og budgetstyringen på ple-
jeområdet. Særligt i beliggenhedskommunerne er en klar forventning om, at forskellen mel-
lem egne takster og friplejeboligleverandørernes fremadrettet vil være stigende.
I lighed med beliggenhedskommunerne er der også i oprindelseskommunerne en oplevelse
af, at omkostningerne til borgere i friplejebolig har tendens til at være højere. Der er endnu
tale om så relativt få borgere, at de økonomiske konsekvenser er mindre, hvorfor kendskabet
til omkostningerne pr. plads er begrænset.
Endelig er det vurderingen i såvel beliggenheds- som oprindelseskommuner, at etableringen
af friplejeboligerne samlet set svækker styrings- og prioriteringsrammen i kommunen, fordi
de som aktør introducerer en usikkerhed i budgetlægningen. Primært fordi en del af service-
og deraf udgiftsniveauet ikke længere kan reguleres af kommunen selv. Særligt beliggen-
hedskommunerne peger på, at der på sigt vil kunne opstå udfordringer med at opretholde
bevillingsniveauet på kommunens egne plejeboliger, hvis antallet af beboere i friplejeboliger
stiger.
7.3.4 Effekter knyttet til sundhedsloven
Den væsentligste effekt af sundhedsloven er knyttet til de ydelser, der kan leveres som følge
af denne, dvs. udgifter til sygeplejeydelser i friplejeboligerne, udgifter i forbindelse med ind-
læggelser samt udgifter til genoptræning efter indlæggelser mv.
Udgifter til sygeplejeydelserne kan ikke viderefaktureres til opholdskommunen. Derved påta-
ger beliggenhedskommunen sig potentielt set meromkostninger, såfremt der er beboere fra
andre kommuner hos leverandører beliggende i kommunen. Oprindelseskommunen har der-
imod ingen meromkostninger som følge af sundhedsloven. I praksis vil de kunne opnå bespa-
relser. De kommuner, der har indgået i kortlægningen, har dog ikke noget kendskab til, hvil-
ken besparelse de opnår, da de ikke ved, hvilke ydelser efter sundhedsloven den enkelte bor-
ger i friplejebolig i anden kommune modtager.
At det er tilfældet, fremgår af nedenstående figur, idet 73 pct. af beliggenhedskommunerne
vurderer, at udgifterne til disse ydelser er steget.
Figur 28: Udvikling i udgifter til sygeplejeydelser
100%
9%
90%
80%
70%
60%
Ved ikke
50%
Uændret
40%
30%
20%
10%
0%
Beliggenhedskommuner
(n=11)
5%
Oprindelseskommuner
(n=20)
73%
65%
Steget
18%
30%
13
Det ligger udenfor formålet med evalueringen af foretaget en egentlig analyse af udviklingen i de kommunale driftsomkostnin-
ger.
PDF to HTML - Convert PDF files to HTML files
1396469_0059.png
55
Kilde: Survey, 2011 Note: n=31
Kortlægningen af årsagen til stigende udgifter i beliggenhedskommunerne viser ikke et enty-
digt billede. I casekommunerne er der indikationer på, at sygeplejeopgaven organiseres for-
skelligt kommunerne imellem og internt i kommunerne, hvis der er flere friplejeboligleveran-
dører. Det medfører, at der ikke kan etableres et sammenhængende billede af de omkost-
ningsmæssige effekter af sundhedsloven. Variationen er beskrevet i eksemplerne nedenfor.
Eksempler på organisering og betaling i relation til sygeplejeydelser
En kommune har valgt at oprette en halvtidsstilling til at servicere beboere i nyoprettede
friplejeboliger. Samme kommune har aftalt med en anden leverandør, at den afholder udgif-
ten til en sygeplejerske inden for eget budget idet den ikke ønskede, at kommunen løste
opgaven.
I en anden kommune tilføres et samlet beløb til friplejeboligleverandøren til at dække om-
kostninger til sygeplejeydelser. I alt ca. 400.000 kr. pr. år.
En tredje kommune har den fortsat ansvaret for de sygeplejefaglige ydelser. Ansvaret udde-
legeres til social- og sundhedsmedarbejdere hos leverandøren i forhold en konkret ydelse til
en konkret borger. Friplejeboligleverandøren skal have betaling for at levere disse sygeple-
jeydelser. Kommunen fører tilsyn med de uddelegerede sygeplejeydelser og godkender, når
der er leveret ikke-aftalte ydelser (fx ikke-aftalt plaster). I forhold til tilsynsforpligtigelse
vedrørende sygeplejeydelser bruges der lige nu én dag pr. år pr friplejebolig.
På tværs af beliggenhedskommunerne er det forventningen, at omkostningerne til de ydelser,
der er knyttet til sundhedsloven, fremadrettet vil være stigende. Herved vil de styrings- og
budgetlægningsudfordringer, der er blevet påpeget i ovenstående afsnit, kunne blive øget i
takt med, at der enten kommer flere leverandører i kommunen og/eller flere beboere fra an-
dre kommuner hos de eksisterende leverandører.
7.3.5 Administration og forvaltning
Udover de omkostninger, der måtte være knyttet til ovenstående temaer, er det blevet af-
dækket, hvorvidt loven har medført øget administration eller på anden vis påvirket den
kommunale forvaltning på følgende dimensioner:
Tilsyn
Administrative opgaver
Tilsyn
Det er beliggenhedskommunen, som skal føre tilsyn med de friplejeboliger, der er i kommu-
nen, (jf. servicelovens §§ 151 a og 151 b) og således sikre, at leverandøren leverer hjælpen i
overensstemmelse med kommunens afgørelse.
Desuden skal kommunen ifølge friplejeboligloven føre tilsyn med friplejeboligernes etablering,
drift og økonomi samt regnskab, revision mv. En anden indikator på, hvorvidt etableringen af
friplejeboliger har medført øget administration eller ej, kunne derfor være forskel i tilsynsop-
gaven.
Som det fremgår af nedenstående figur, vurderer hovedparten af kommunerne (73 pct.), at
udgifterne til tilsynet er ens.
PDF to HTML - Convert PDF files to HTML files
1396469_0060.png
56
Figur 29: Forskel på udgifter til tilsyn af friplejeboliger sammenlignet med kommunale plejeboliger
80%
70%
60%
50%
40%
30%
20%
10%
0%
Større
Kilde: Survey, 2011 Note: n=31
Ens
Ved ikke
18%
9%
73%
Hovedparten af kommunerne oplever ikke, at der er tale om øgede udgifter til selve tilsynet.
Men det er dog knap halvdelen (45 pct.), der vurderer, at der bruges flere kræfter på at ad-
ministrere refusionen af tilsynet, jf. den følgende figur.
Figur 30: Forskel på udgifter til administration af mellemkommunal refusion af tilsynet for friplejebo-
liger
50%
45%
40%
35%
30%
25%
20%
15%
10%
5%
0%
Større
Kilde: Survey, 2011 Note: n=31
Ens
Ved ikke
9%
45%
45%
Ovenstående billede er blevet bekræftet i casekommunerne. Det er et gennemgående træk,
at kommunerne er i gang med at etablere deres tilsynsrutiner på friplejeboligområdet. Der er
således indikationer på, at kommunernes tilgang til den del af tilsynet, der omfatter økonomi,
regnskab og revision er meget begrænset.
Som led i analysen er der blevet gennemført interview med en række embedslæger for at af-
dække, hvorvidt de vurderer, at tilsynet med leverandørerne har medført øget ressourcefor-
brug. I lighed med kommunerne tilkendegiver de, at deres praksis og tidsforbrug er den
samme, uanset ejer- og driftsform.
Administrative opgaver
Det er samlet set vurderingen i kommunerne, at indførelse af loven alt andet lige har tilført
kommunerne opgaver, som ikke blev udført tidligere. Det drejer sig om:
Orientering:
På lige fod med anden ny lovgivning, anvendes ressourcer på at opnå og
udbrede kendskab til loven til såvel det politiske niveau, til ledelsen samt til medar-
bejderne.
Styring:
Kommunerne udarbejder ikke strategi for friplejeboligområdet særskilt. Først
når kommunen bliver kontaktet af en leverandør, der vil oprette friplejeboliger i
kommunen, fastlægger den sin politik for området. En del af denne opgave omfatter
PDF to HTML - Convert PDF files to HTML files
1396469_0061.png
57
afklaring og afgrænsning af lovgivningen, herunder identifikation og stillingtagen til
snitfladeproblematikker – eksempelvis i forhold til hvad loven omfatter af sygepleje,
træning, hjælpemidler mv.
Proces:
I de konkrete sager kan der være brugt tid og kræfter på administrativt at
håndtere processen. I praksis ved at der rejses sager til kommunalbestyrelsen - ek-
sempelvis foranlediget af eksterne henvendelser - om køb af bygninger mv.
Eksempel på administrative opgaver (etablering)
Det første år med lovgivningen, hvor kommunen fik etableret en friplejeboligbebyggelse,
brugte kommunen mange administrative ressourcer både inden for juridiske og økonomiske
spørgsmål. Kommunen vurderer, at der samlet set er tale om 5-10 pct. af et årsværk ude-
lukkende til at sætte sig ind i den nye lovgivning, bl.a. som følge af at lovgivningen efter
kommunens vurdering ikke var tilstrækkeligt klar, og der måtte bruges mange ressourcer på
at få en tolkning fra Socialministeriet.
Eksempel på administrative opgaver (visitation/tildeling)
Når en borger er visiteret til en plejebolig, skal borgeren vælge plejebolig. Arbejdsgange
vedrørende borgere i kommunale plejeboliger tager 15-20 minutter at håndtere administra-
tivt. Sager vedrørende borgere, der ønsker friplejebolig tager typisk 5-10 minutter længere,
bl.a. fordi der skal sendes brev til leverandøren.
Førstnævnte eksempel gælder naturligvis kun beliggenhedskommunerne.
7.3.6 Kapacitetstilpasning
Kommunernes vurdering af kapacitetsstyringen er også et område der er blevet kortlagt og
vurderet. Som det fremgår af nedenstående figur, er det særligt beliggenhedskommunerne
der tilkendegiver, at indførelsen af loven har ændret betingelserne, idet 45 pct. vurderer, at
etableringen af friplejeboliger påvirker kapacitetsplanlægningen.
Figur 31: Påvirkning af kapacitetsplanlægningen på kommunens plejeboliger
100%
90%
80%
70%
60%
50%
40%
30%
20%
10%
0%
Beliggenhedskommuner
(n=11)
Kilde: Survey, 2011 Note: n=31
18%
10%
10%
Ved ikke
45%
Kapacitetsplanlægning er blevet
vanskeligere
Kapacitetsplanlægning er uændret
36%
80%
Oprindelseskommuner (n=20)
En væsentlig årsag til, at det i altovervejende grad er beliggenhedskommunerne, der oplever
kapacitetsproblemer, er den begrænsede mobilitet; det er således primært beliggenheds-
kommunerne, som oplever en reel ændring i den samlede kapacitet inden for kommunegræn-
sen.
Der er ikke entydige indikationer på, om etableringen af leverandører i kommunerne medfø-
rer en lavere belægningsprocent på de kommunale plejeboliger – om end beliggenheds- og
oprindelseskommunerne har en større andel af plejehjem med lavere belægning.
PDF to HTML - Convert PDF files to HTML files
1396469_0062.png
58
Figur 32: Belægningsprocenten på kommunens plejeboliger
80%
72%
70%
61%
60%
50%
40%
30%
20%
10%
0%
Op til 80%
81-90%
91-95%
96-100%
Ved ikke
6%
6%
3%
26%
14%
6% 6%
Beliggenheds- og
oprindelseskommuner (n=31)
Øvrige (n=36)
Kilde: Survey, 2011 Note: n=67
Som det fremgår af nedenstående figur, er belægningsprocenten på de kommunale plejeboli-
ger faldet 7 pct. mere i beliggenheds- og oprindelseskommunerne end i de øvrige. Der er så-
ledes en svag indikation på, at leverandørerne påvirker belægningen – om end det må anta-
ges at være begrænset, henset til at der igennem de tre år har været tale om under 400 be-
boere på landsplan.
Figur 33: Belægningsprocenten på kommunens plejeboliger de seneste 3 år
70%
64%
60%
52%
50%
Beliggenheds- og
oprindelseskommuner (n=31)
Øvrige (n=36)
30%
19%
14%
10%
3% 3%
0%
Steget
Uændret
Faldet
Ved ikke
26%
19%
40%
20%
Kilde: Survey, 2011 Note: n=67
Udover de effekter, der er knyttet til etablering, visitering og ordinær drift, er det kommuner-
nes vurdering, at der har været og delvist er øget ressourceforbrug på:
Fakturering:
Er typisk tilrettelagt således, at friplejeboligleverandøren fakturerer belig-
genhedskommunen, som så skal fakturere eventuelle oprindelseskommuner. For de be-
PDF to HTML - Convert PDF files to HTML files
1396469_0063.png
59
liggenhedskommuner, hvor friplejeboligerne tiltrækker beboere fra andre kommuner, på-
lægges beliggenhedskommunen en ekstra opgave.
Uddannelse:
Som led i forberedelse og håndteringen af lovgivning, anvendes ressourcer
på at ruste ledelse og medarbejdere til at administrere og forvalte den. I dette tilfælde
flere end normalt pga. lovens kompleksitet.
Sagsbehandling:
Afklaring og afgrænsning af lovgivningen fra sag til sag, stillingtagen til
snitfladeproblematikker – eksempelvis i forhold til, hvad loven omfatter af sygepleje,
træning, hjælpemidler mv. I dette tilfælde mere end normalt pga. lovens kompleksitet.
I visse af beliggenhedskommuner er det vurderingen, at selve afklaringen af, hvilken leve-
randør der er tale om, hvordan de drives, og hvilket udbud de har medført øget information
og dermed ressourceforbrug. Forbruget er dog relativt begrænset. Og som det fremgår af
ovenstående figur, er det en vurdering der kun kan genfindes i ganske få (9 pct.) af belig-
genhedskommunerne.
Figur 34: Udvikling af information til borgerne og leverandører ifbm. ordningen
100%
90%
80%
70%
60%
50%
73%
40%
30%
20%
10%
9%
0%
Beliggenhedskommuner
(n=11)
Oprindelseskommuner
(n=20)
75%
Ved ikke
Samme
Større
18%
25%
Kilde: Survey, 2011 Note: n=31
I oprindelseskommunerne er omkostningerne forbundet med håndtering af borgere bosat i
andre kommuner den samme som til borgere i kommunale plejeboliger. Årsagen hertil er, at
det typisk drejer sig om meget få borgere. De omkostninger til afklaring hos borgere og pårø-
rende samt styring af leverandørerne , som har kunnet identificeres i beliggenhedskommu-
nerne, kan derfor ikke genfindes i oprindelseskommunerne.
7.3.7
Samlet vurdering af konsekvenserne for kommunerne
Kortlægningen har vist, at ordningen kan medføre driftsomkostninger i kommunerne knyttet
til:
Tidsforbrug på dialog med leverandører – både i forbindelse med opstart og drift
Tidsforbrug på kobling til egen visitationsmodel
Øgede driftsomkostninger til borgere i friplejeboliger sammenlignet med borgere i kom-
munale plejeboliger
Øgede omkostninger til sygeplejeydelser i beliggenhedskommunerne
Omfanget af ordningen er som påpeget behersket. De driftsomkostnigner der er identificeret,
er derfor knyttet til et realtivt begrænset antal aktiviteter set i forhold til dem samlede
kommunale aktivitet på plejeområdet i de casekommuner, der har indgået i kortlægningen.
PDF to HTML - Convert PDF files to HTML files
60
På tværs af casekommunerne er det vurderingen, at der er betydelig forskel på den
gennemsnitlige pris for borgere i hhv. fripleje- og kommunale plejeboliger. En prisforskel som
kommunerne forventer kan blive øget i takt med, at kommunerne som led i generel
effektivisering reducerer omkostningerne til deres egne plejeboliger.
Antallet af nuværende leverandører betyder, at deres effekt på den samlede kapacitetsplan-
lægning i kommunerne endnu er begrænset. Dertil er volumen i antallet af beboere for lavt.
På tværs af kommunerne er der imdilertid en klar forventning om, at såvel økonomi- som
kapacitetsstyringen på plejeområdet vil blive udfordret, såfremt ordningen vinder større
udbredelse.
Særligt begliggenhedskommunerne kan blive udfordret. Dels fordi de er pålagt at afholde
udgifterne til sygeplejeydelser for alle beboere. Dels fordi de, hvis antallet af leverandørerne
undergår en positiv udvikling i deres kommune, vil kunne få relativt flere plejekrævende
beboere, end hvis de ikke havde været beliggende i kommunen.
Det skal understreges, at det ligger udenfor formålet med evalueringen at foretage en egent-
lig driftsøkonomisk analyse i kommunerne. På baggrund af den kortlægning, der er gennem-
ført, og de data der indhentet, kan der derfor ikke drages konklusioner om de økonomiske
konsekvenser af loven
.
PDF to HTML - Convert PDF files to HTML files
61
8.
8.1
BILAG
Evalueringsdesign
Formålet med dette kapitel er at beskrive den tilgang, som evalueringen er blevet gennemført
med afsæt i, herunder at konkretisere og klargøre evalueringsgrundlaget samt uddybe valget
af metoder.
Evalueringen er blevet tilrettelagt med afsæt i en teoribaseret tilgang, som er operationalise-
ret med en eksplicit forandringsteori og eksplicitte antagelser om mulige drivkræfter og barri-
erer i implementeringen af lov om friplejeboliger. Designet af evalueringen er blevet til på
baggrund af en uddybende dialog med det daværende Socialministerium, Servicestyrelsen og
KL. I forlængelse heraf er der blevet foretaget tilpasninger og konkretiseringer af evaluerin-
gens hypoteser og afledte underspørgsmål inden for hvert af de tre centrale perspektiver,
som afdækkes i evalueringen, nemlig borgerne/pårørende, leverandørerne og kommunerne.
De enkelte hovedelementer i den valgte tilgang, fremgår af nedenstående afsnit.
Evalueringsteoretisk tilgang
Effektevalueringen er blevet tilrettelagt med afsæt i en teoribaseret tilgang, som er operatio-
naliseret med en eksplicit forandringsteori og eksplicitte antagelser om mulige drivkræfter og
barrierer i implementeringen af lov om friplejeboliger. Med denne tilgang, som er inspireret af
Contribution Analysis, har det været muligt at gå i dybden og undersøge, hvordan, for hvem
og under hvilke omstændigheder lovgivningen virker.
Tilgangen har medført, at der først blev arbejdet med at identificere og eksplicitere de centra-
le virkningsspørgsmål og forandringsteorien bag indsatsen. Disse dannede derefter grundlag
for at udlede hypoteser om programinterne og programeksterne forhold til en empirisk af-
prøvning med brug af dokumentation. Selve dataindsamlingen blev således struktureret om-
kring afprøvning af hypoteser om de virkende mekanismer i forandringsteorien og de kontek-
stuelle drivkræfter og barrierer i forhold til lovgivningen.
Styrken ved tilgangen er, at det dokumenteres, om reglerne har haft de tilsigtede resultater
og effekter, og tilvejebringer viden om, hvordan forskellige elementer i reglerne og imple-
menteringen af reglerne påvirker resultater og effekter. Hermed åbner tilgangen mulighed for
at belyse, om eventuelle begrænsede resultater i form af etablering af friplejeboligpladser el-
ler effekter i form af frit valg skyldes at de grundlæggende antagelser bag lovgivningen ikke
holdt stik (en teorifejl) eller om det skyldes, at loven er implementeret forkert eller utilstræk-
keligt (en implementeringsfejl).
Overordnet forandringsteori
Forandringsteorien har haft fokus på at identificeres hvad der er de formodede kausale sam-
menhænge i loven (dvs. sammenhænge mellem indsats, resultat og virkning).
Nedenstående er en grafisk illustration af forandringsteorien bag etablering af friplejeboli-
gordningen:
PDF to HTML - Convert PDF files to HTML files
1396469_0066.png
62
B: Hypoteser om drivkræfter og barrierer for
effekten
B
A
Vedtagelse af
lov om
friplejeboliger
Levendører
certificeres til at
etablere friplejebolig
Leverandører vælger
at ansøge om
etablering af
friplejeboliger
Borgerne oplever
øget udbud af
valgm uligheder
Borgerne oplever et
øget frit valg
Der etableres
friplejeboliger
Der tilbydes
tilkøbsydelser
Øget konkurrence
Mere tilfredse
borgere
Større effektivitet i
opgaveløsning
Risiko for øget
administration
Risiko for øget
ulighed
Risiko for ledige
plejeboliger hos
komm unerne
Risiko for øgede
serviceudgifter og
sundhedsudgifter hos
komm unerne
A
C
A: Hypoteser om drivkræfter og barrierer
for implementeringen af loven (dvs. etableringen
af friplejeboliger)
C: Hypoteser om drivkræfter og barrierer
for utilsigtede effekter
Som det fremgår af ovenstående var det centralt i gennemførelsen af evalueringen, at den
ikke alene undersøgte de tilsigtede effekter i form af bl.a. et øget frit valg og en deraf følgen-
de øget tilfredshed blandt borgere med behov for en plejebolig, men også ville tilvejebringe
viden om formodede utilsigtede effekter af loven (de stiplede linjer).
Programinterne og programeksterne hypoteser
På baggrund af de forskellige intentioner og forventninger til lovgivningen, som er eksplicite-
ret i forandringsteorien, er der blevet udledt en række hypoteser om anvendelsen og effek-
terne af loven. Evalueringen har dermed på systematisk vis søgt at be- eller afkræfte de op-
stillede hypoteser om friplejeboliglovens anvendelse samt både tilsigtede og utilsigtede effek-
ter.
For at kunne tilvejebringe en nuanceret viden om, hvordan og under hvilke omstændigheder
loven virker, har evalueringen haft fokus på at teste hypoteser om såvel programeksterne
som programinterne drivkræfter og barrierer for lovens implementering, anvendelse og ef-
fekt.
De programinterne hypoteser omhandler forhold/instrumenter i selve loven (jf. forandrings-
teorien) –, som kan udgøre drivkræfter eller barrierer for dels etableringen og anvendelsen af
friplejeboligordningen, dels de forventede effekter af loven.
De programeksterne hypoteser omhandler de drivkræfter og barrierer i konteksten, som på-
virker implementeringen af reglerne om friplejeboliger. Således vedrører implementeringen af
reglerne en række aktører i forskellige kontekster: de boligsøgende ældre og deres pårøren-
de, de kommunale myndigheder samt reelle og potentielle leverandører. Derfor må imple-
menteringen af friplejeboligordningen ses som betinget af forskellige interesser i og mellem
disse kontekster.
Neden for har vi operationaliseret evalueringens temaer i en række evalueringsspørgsmål om
hhv. tilsigtede effekter, utilsigtede effekter samt etableringen og anvendelsen af friplejebolig-
ordningen. For hvert evalueringsspørgsmål er der dannet hypoteser om hhv. programinterne
og programeksterne drivkræfter og barrierer for, hvordan loven virker.
PDF to HTML - Convert PDF files to HTML files
1396469_0067.png
63
Dimension
Evalueringsspørgsmål
Programinterne
hypoteser
Programeksterne
hypoteser
(influerende faktorer)
Kommunens informationsniveau og
rådgivning af borgere har betydning
for borgerens reelle valg
Borgerens samt de pårørendes res-
sourcer og overskud til at afsøge
muligheder
Tilsigtede
effekter
(B)
Har lov om friplejeboli-
ger haft de tilsigtede ef-
fekter i relation til frit
valg?
Hvis der er mulighed for
frit valg, så vil borgere ak-
tivt tilvælge friplejeboliger
Hvis der er mulighed for
frit valg, og borgeren fin-
der tilbuddet attraktivt, så
vil borgeren aktivt tilvæl-
ge friplejeboliger
Borgerens afvejning af de forskellige
tilbud (oplevelse af kvalitet, værdi-
grundlag, økonomi m.m.)
Friplejeboligens geografiske place-
ring
Kommunens praksis i visitationspro-
cessen
Har lov om friplejeboli-
ger haft de tilsigtede ef-
fekter i relation til øget
konkurrence?
Hvis der er flere typer af
udbydere, så vil konkur-
rence på kvalitet øges
Hvis der er flere typer af
leverandører, så bliver der
øget konkurrence på pris
Reel og lige konkurrence mellem for-
skellige leverandører
Reel og lige konkurrence mellem for-
skellige leverandører
Strategi for at fremme konkurrence-
udsættelse i kommunen
Kommunal modenhed: Hvis kommu-
nen ikke har forholdt sig til inddra-
gelsen på forhånd, så bliver det me-
re vanskeligt at sikre et godt samar-
bejde med konkrete friplejeboligle-
verandører
Hvis kommunen ikke har
forholdt sig til inddragel-
sen på forhånd, så bliver
det mere vanskeligt at
sikre et godt samarbejde
med konkrete friplejebo-
ligleverandører
Hvis der er flere typer af
udbydere, så vil borgernes
tilfredshed øges
Borgernes interesse i at kunne væl-
ge
Friplejeboligleverandørernes bevæg-
grunde for etablering - ideologiske
vs. Driftsøkonomiske overvejelser
Bredden i certificeringen
Kommunernes mulighed for at sikre
en smidig håndtering af serviceydel-
ser
Utilsigtede
effekter
(C)
Har lov om friplejeboli-
ger haft utilsigtede ef-
fekter i form af stigning i
serviceudgifter?
Hvis der etableres friple-
jeboliger, så vil de kom-
munale serviceudgifter
stige, fordi der opstår
komplicerede snitflader og
skal leveres mindre ”pak-
ker” hos den enkelte bor-
ger af henholdsvis kom-
mune og leverandør af
friplejebolig
Hvis der etableres friple-
jeboliger, så vil de kom-
munale serviceudgifter
stige, særligt i forhold til
beboere i andre kommu-
ner, fordi betalingskom-
munen har vanskeligere
ved at holde sig tæt på
borgerens behov
Samarbejdet mellem betalingskom-
mune, beliggenhedskommune og
friplejeboligleverandør
Har lov om friplejeboli-
ger haft utilsigtede ef-
fekter i form af stigning i
sundhedsudgifter?
Hvis der etableres friple-
jeboliger, så vil de kom-
munale sundhedsudgifter
stige, fordi kommunen
fortsat skal levere sund-
hedsydelserne, men nu
Bredden i certificeringen
Kommunernes mulighed for at sikre
en smidig håndtering
PDF to HTML - Convert PDF files to HTML files
1396469_0068.png
64
Dimension
Evalueringsspørgsmål
Programinterne
hypoteser
ikke i sammenhæng med
øvrige ydelser, som leve-
res af friplejeboligleveran-
døren
Hvis der etableres friple-
jeboliger, så vil de kom-
munale sundhedsudgifter
stige, særligt i forhold til
beboere i andre kommu-
ner, fordi betalingskom-
munen har vanskeligere
ved at holde sig tæt på
borgerens behov
Programeksterne
hypoteser
(influerende faktorer)
Samarbejdet mellem betalingskom-
mune, oprindelseskommune og
friplejeboligleverandør
Har lov om friplejeboli-
ger haft utilsigtede ef-
fekter i relation til kapa-
citetstilpasninger?
Har lov om friplejeboli-
ger haft utilsigtede ef-
fekter for den kommu-
nale administration?
Hvis borgerne får frit valg,
så vil flere fravælge kom-
munale leverandører, så
der vil blive ledige boliger
i kommunen
Hvis private udbydere kun
vil være certificeret til et
minimum af personlig og
praktisk hjælp, så skal
kommunen tilbyde reste-
rende hjælp, som borge-
ren er visiteret til
Hvis borgeren vælger bo-
lig i anden kommune, så
opstår der ekstra admini-
strative opgaver
Hvis en leverandør ønsker
at etablere sig i en kom-
mune så stiger admini-
strationsomkostninger i
kommunen
Kommunens eksisterede udbud af
plejeboliger samt den demografiske
udvikling i kommunen
Hvilke ydelser, de private leverandø-
rer vælger at blive certificeret til
De private leverandørers modenhed
til at samarbejde med forskellige
kommuner
Modenhed hos leverandører og
kommuner, inkl. administrative ar-
bejdsgange
Har lov om friplejeboli-
ger haft utilsigtede ef-
fekter i forhold til gen-
nemførelse af tilsynet?
Hvis der etableres friple-
jeboliger, så bliver det
vanskeligere at gennemfø-
re et tilsyn med en enty-
dig ansvarsplacering
Hvis kommunerne fortsat
gennemfører tilsyn, så vil
de føre strengere tilsyn
med friplejeboligerne end
med egne plejeboliger
Regler og retningslinjer for det kon-
krete indhold af tilsynet, nationalt
såvel som kommunalt
Regler og retningslinjer for det kon-
krete indhold af tilsynet, nationalt
såvel som kommunalt
Har lov om friplejeboli-
ger haft utilsigtede ef-
fekter i form af øget
ulighed?
Hvis borgerne får frit valg
med mulighed for tilkøb-
sydelser, så vil serviceni-
veauet afhænge af borge-
rens økonomi
Friplejeboligen er et mere attraktivt
tilbud end den kommunale plejebolig
Afregningsmodellen, som skal mod-
virke, at leverandøren bruger anvis-
ningsretten til at vælge de mest res-
sourcestærke (og mindst plejekræ-
vende) borgere
Leverandørens værdisæt
Hvis friplejeboligleveran-
døren selv kan definere og
vælge sine beboere, så vil
nogle borgere blive priori-
teret frem for andre, med
risiko for øget ulighed
PDF to HTML - Convert PDF files to HTML files
1396469_0069.png
65
Dimension
Evalueringsspørgsmål
Programinterne
hypoteser
Hvis der gives mulig for at
etablere friplejeboliger, så
vil det tiltrække et be-
stemt segment af borgere
Programeksterne
hypoteser
(influerende faktorer)
Etablering
og anven-
delse (A)
Hvorvidt anvendes mu-
lighederne for at etable-
re friplejeboliger?
Hvis der lovgivningsmæs-
sigt etableres en mulig-
hed, så vil private leve-
randører søge om certifi-
cering og gå ind på mar-
kedet
Leverandørernes vurdering af drifts-
vilkår
Leverandørernes vurdering og hånd-
tering af krav i certificeringen
Leverandørernes vurdering af den
reelle konkurrencesituation
Leverandørernes vurdering af den
investeringsmæssige usikkerhed ved
konkurrenceudsættelse
Hvis der etableres kvote-
ordning vil antallet af le-
verandører kunne styres,
så der både skabes kon-
kurrence og et for kom-
munerne håndterbart an-
tal
Hvorvidt anvendes mu-
ligheder for at etablere
tilkøbsydelser?
Hvis der gives mulighed
for at tilbyde tilkøbsydel-
ser, så vil leverandører
udvikle tilkøbsydelser til
friplejeboligen
Hvis der gives mulighed
for at etablere friplejebo-
lig, så vil det tiltrække et
bestemt segment af bor-
gere
Kvoternes størrelse og vilkår for til-
deling af kvoter
Hvem bor i friplejebolig?
Borgernes alder, køn, køb og tidlige-
re bolig
Operationalisering af hypoteser
Med henblik på yderligere at operationalisere evalueringsgrundlaget for lov om friplejeboliger
blev der genereret en række operationelle underspørgsmål med afsæt i de programinterne og
programeksterne hypoteser.
For at sikre en grundig belysning af de forskellige perspektiver i evalueringen blev under-
spørgsmålene udarbejdet specifikt for de enkelte målgrupper.
Underspørgsmålene har omfattet de samlede evalueringsmatricer opdelt på hhv. borgere, le-
verandører og kommuner. De fremsendes gerne, hvis det har interesse.
De målgruppespecifikke spørgsmål har dannet afsæt for en udarbejdelse af egentlige data-
indsamlingsredskaber i form af interviewguides, survey og registreringsskema til indsamling
af faktuelle oplysninger om borgere og leverandører.
Evalueringens gennemførelse
Følgende datailder og dataindsamlingsmetoder har indgået i evalueringen med henblik på at
kunne besvare evalueringsspørgsmålene samt teste de opstillede hypoteser:
PDF to HTML - Convert PDF files to HTML files
1396469_0070.png
66
Borgere
Survey
Besøgsinterview
Gruppeinterview
Telefoninterview
Registreringsskema
X
Pårørende
Leverandører
Kommuner
X
X
X
X
X
I de følgende gives en kortfattet beskrivelse af tilrettelæggelsen af enkelte metoder samt
hvordan eventuelle udfordringer håndteres i forbindelse med planlægning og gennemførelse
af dataindsamlingen.
Landsdækkende survey til kommunerne
Der er blevet gennemført en survey sendt til alle landets kommuner – dvs. både beliggen-
hedskommuner, oprindelseskommuner samt kommuner, hvor der hverken er friplejeboliger
eller som har borgere, der flyttet over kommunegrænsen til en friplejebolig.
Surveyen blev gennemført via Rambølls webbaserede SurveyXact-system.
Surveyen var tredelt. Der udarbejdes op til 10 generiske spørgsmål som sendes til alle tre ty-
per af målgrupper blandt kommunerne.
Der blev der udarbejdet målgruppespecifikke spørgsmål til henholdsvis beliggenheds- og be-
talingskommunerne. Nogle af spørgsmålene var identiske mellem beliggenheds- og betalings-
kommunerne, mens andre spørgsmål er specifikke for netop respondentgruppen. Spørge-
skemaet til beliggenhedskommunerne var de mest omfangsrige, idet det bredeste erfarings-
grundlag med friplejeboligordningen er at finde i denne gruppe.
Respondenterne blev identificeret via udtræk fra elektronisk version af den kommunale årbog
2011. Der udsendtes et spørgeskema pr. kommune. I udgangspunktet til den person der var
ansvarlig for ældreområdet, typisk en ældre-chef, idet det var og er forventningen, at der på
dette fagområde er den største erfaring med lov om friplejeboliger givet deres ressortområ-
de. I det omfang der var særlige forhold, som gør sig gældende i forbindelse med friplejeboli-
ger til personer med handicap (jf. afsnit 3.2) blev dette belyst i de kvalitative interview i ud-
valgte kommuner.
Surveyen har været gennemført hen over en ferieperiode. For at sikre en acceptabel svarpro-
cent har Rambøll derfor gennemføre telefonisk opfølgning på de beliggenhedskommuner, der
ikke har besvaret skemaet i løbet af survey-perioden. Herved er det blevet sikret, at de
kommuner, der har størst erfaring med lovgivningen, indgår i besvarelsen af den mest omfat-
tende del af analysen, som omhandler spørgsmålene til beliggenhedskommunerne.
For at understøtte at spørgeskemaet besvares på trods af eventuelt fravær fra ældrechefens
side, er det præciseret i introduktionsteksten, at spørgeskemaet kan videresendes til relevant
kollega.
Interview i udvalgte casekommuner
Der er blevet gennemført interviews i otte udvalgte kommuner. Fire beliggenhedskommuner
og fire opholdskommuner som har hhv. en høj og lav andel af borgere, som har valgt en
friplejebolig i en anden kommune.
Interviewene blev anvendt til at komme i dybden med centrale spørgsmål vedrørende den
kommunale administration af plejeboligområdet og deres praksis på området. Interviewene
var væsentlige i forhold til at perspektivere, triangulere og forklare resultaterne af den lands-
dækkende survey.
Udvælgelsen af beliggenhedskommunerne sker på baggrund af:
PDF to HTML - Convert PDF files to HTML files
67
geografi (både geografisk spredning ift. beliggenhedskommuner samt betalingskommu-
nernes geografiske placering ift. beliggenhedskommuner)
antal friplejeboligleverandører
antal friplejeboliger
leverandørernes bagland/organisationer.
Udvælgelsen af betalingskommuner er sket ud fra en forventning om at nabokommuner til
beliggenhedskommuner har en højere grad af borgere i friplejeboliger end kommuner geogra-
fisk langt fra beliggenhedskommuner.
I de udvalgte casekommuner er der blevet gennemført gruppeinterview med kommunale che-
fer samt udvalgte medarbejdere fra myndighedsfunktioner på både ældre- og handicapområ-
det.
Interviewet er blevet gennemført med henblik på at opnå en mere dybdegående belysning af
de administrative og økonomiske virkninger af lovgivningen, samt evt. redskaber til at hånd-
tere disse påvirkninger. Ved at interviewe chefer for både ældre- og handicapområdet opnås
der mulighed for at afdække evt. forskelligheder ved de økonomiske og administrative virk-
ninger set i forhold til ældre og personer med handicap.
Som en del af interviewene blev det afdækket, om friplejeboligordningen har medført yderli-
gere opgaver i forbindelse med visitationen af borgerne til både bolig og ydelser. Derudover
er eventuelle meropgavers karakter, antal og omfang tidsmæssigt blevet identificeret.
Som supplement til interviewene i de otte udvalgte casekommuner blev der gennemført tele-
foninterviews med embedslægen i fire beliggenhedskommuner med henblik på at afdække
embedslægens opgavevaretagelse i relation til tilsyn med friplejeboliger.
Interview med leverandører
Der er blevet gennemført interview med repræsentanter for nuværende og potentielle leve-
randører med fokus på deres vurderinger af hvilke drivkræfter og barrierer, der har betydning
for en øget konkurrence i forbindelse med friplejeboligordningen samt deres motivation for at
etablere eller ikke etablere sig som leverandører.
I forhold til nuværende leverandører var der så vidt muligt været tale om et personligt inter-
view med forstanderne for friplejeboligerne i forbindelse med besøgsinterviewene med bebo-
erne. Derudover gennemføres enten et personligt interview eller et telefonisk interview med
direktøren/økonomidirektøren for paraplyorganisationerne.
I forhold til potentielle leverandører blev der taget kontakt til de mere kommercielle aktører,
som ikke på markedet i dag. Derudover blev der taget kontakt til selvejende institutioner,
som kunne være interesseret i omdannelse til anden ejerform.
Registreringsskema til leverandører
Udover interviewene med de nuværende leverandører af friplejeboliger, er der blevet udsendt
et registreringsskema til dem. Formålet med det har været både at indhente grunddata om
beboerne, samt indhente faktuelle nøgleoplysninger om leverandørerne.
Indsamlingen af grunddata om beboerne har været med til tegne et billede af borgerprofilen i
friplejeboligerne.
Indsamlingen af de faktuelle oplysninger er forbundet med en vis risiko, da udfyldelsen af
skemaet vil betyde, at leverandøren manuelt har indført grunddata om de enkelte beboere.
For at håndtere denne udfordring blev registreringsskemaet pilottestet grundigt med henblik
på at sikre, at det var anvendeligt.
Interview med beboere
PDF to HTML - Convert PDF files to HTML files
68
Der er blevet gennemført besøgsinterview med følgende fire grupper af borgere:
Gruppe
Gruppe
Gruppe
Gruppe
1:
2:
3:
4:
Beboere i friplejebolig
Beboere i anden plejebolig – samme kommune
Beboere i anden plejebolig – kommuner uden friplejeboliger
Borgere på venteliste til friplejebolig
Kontakt til disse grupper af borgere blev leveret via dels friplejeboligleverandører (for beboe-
re i friplejebolig samt disses pårørende samt borgere på friplejeboligernes ventelister), dels
via kommunale plejeboligcentre (for beboere i anden plejebolig).
Det er Rambølls erfaring, at interview med borgere i plejebolig kræver, at der er trygge ram-
mer om interviewene, samt at interviewene gennemføres med respekt og indlevelse i relation
til den enkelte borger. Interviewene er derfor blevet gennemført som besøgsinterview i de re-
spektive boliger. Det er blevet tilstræbt at får mulighed for at gennemføre interview med flest
mulige beboere i forbindelse med interviewet.
Udvælgelse af borgere fra
gruppe 1
skete via friplejeboligleverandørerne.
For borgere i
gruppe 2
blev der udvalgt to kommunale plejeboligtilbud i to udvalgte kommu-
ner med beliggenheden af friplejeboligbebyggelser. Det var relevant at vælge tilbud, som lig-
ger i geografisk nærhed af en (eller flere) af de givne friplejeboliger, da man dermed reduce-
rer geografiske årsager til at fravælge friplejebolig (der må antages at gøre sig gældende for i
hvert fald nogle af beboere). Udvælgelsen af beboere i anden plejebolig end friplejebolig har
endvidere taget udgangspunkt i beboere, som har valgt plejeboligform inden for perioden,
hvor friplejebolig har været en valgmulighed (fx i perioden fra 2009 og frem).
For borgere i
gruppe 3
blev der udvalgt to kommuner, som ikke har friplejeboliger i kommu-
nen. En kommune, med én (eller flere) nabokommuner, som har friplejeboliger, samt én
kommune, som ikke har nabokommuner med friplejeboliger. I disse to kommuner er to
kommunale plejeboligcentre samt beboere med lignende karakteristika som beskrevet for
gruppe 2 interviews blevet besøgt.
Endelig blev der for borgere i
gruppe 4
blevet udvalgt én friplejeboligbebyggelse med vente-
liste. I forbindelse med besøgsinterviewet med beboere i denne friplejeboligbebyggelse invite-
redes borgere på denne venteliste til at deltage i et gruppeinterview, således at deres overve-
jelser om og begrundelser for at vente på en plads i en friplejebolig også belyses. Alternativt
via telefoninterviews.
Interview med pårørende
Der kan være risiko for, at friplejeboligbeboerne (og de andre type beboere/borgere på ven-
teliste) af forskellige fysiske, psykiske eller sociale årsager ikke vil være i stand til at gen-
nemføre et interview. Erfaringsvist er beboernes valg af friplejebolig desuden influeret og
hjulpet på vej af deres pårørende. For at sikre en tilstrækkelig dybdegående indblik i de over-
vejelser, der har ligget til grund for boligvalget, er de pårørendes stemme derfor væsentlig at
inddrage i evalueringen.
I forbindelse med indhentning af faktuelle oplysninger om beboerne blev der indhentet kon-
taktoplysninger på udvalgte pårørende til borgere med henblik på at gennemføre i alt 15- 20
telefoninterview med repræsentanter for de fire grupper.
Eksisterende registerdata fra ministeriet
Parallelt med dataindsamlingen blandt borgere, leverandører og kommuner blev der indhen-
tet eksisterende data i det daværende Socialministeriet om:
antallet af certifikationer der er udstedt til friplejeboligleverandører
antallet af tilsagn er der givet efter kvote A og B, og hvorledes fordeler det sig for be-
stemmelser for kvote B
antallet af boliger der er i drift under kvote A og B
PDF to HTML - Convert PDF files to HTML files
69
antallet af afslag der er givet efter kvote A og B, og hvad årsagerne er hertil?
Som led i indhentningen af data, blev det igennem interview med relevante medarbejdere af-
dækket hvordan certificeringer, tilsagn og oprettede friplejeboliger er fordelt på hhv. mål-
grupper og ydelser og hvorledes tilsagn og oprettede friplejeboliger fordeler sig geografisk
over landet. Endelig er blev det afdækket, hvor stor en andel af kvoten er uudnyttet indtil vi-
dere (pr. år og i alt fordelt på kvote A og B).
PDF to HTML - Convert PDF files to HTML files
70
8.2
Lov om friplejeboliger
Lov om friplejeboliger
VI MARGRETHE DEN ANDEN, af Guds Nåde Danmarks Dronning, gør vitterligt:
Folketinget har vedtaget og Vi ved Vort samtykke stadfæstet følgende lov:
Kapitel 1
Definition m.v.
§ 1.
Ved en friplejebolig forstås en udlejningsbolig uden for den kommunale boligforsyning, hvor der til den samle-
de bebyggelse hører servicearealer for personer med behov for omfattende service og pleje efter lov om social service.
§ 2.
En friplejebolig kan kun ejes og drives af den samme certificerede friplejeboligleverandør.
Stk. 2.
Friplejeboliger må kun indeholde boliger med sædvanlige fællesfaciliteter til brug for lejerne og servicearea-
ler.
Kapitel 2
Borgerens adgang til friplejeboliger
§ 3.
En person, som kommunalbestyrelsen har visiteret til en plejebolig eller en lignende boligform, har ret til frit at
vælge at indgå lejeaftale med en friplejeboligleverandør.
Stk. 2.
Retten til frit at vælge at indgå lejeaftale med en friplejeboligleverandør er uafhængig af, om friplejeboligen
ligger i opholdskommunen eller i en anden kommune.
Stk. 3.
Retten er dog betinget af, at friplejeboligleverandøren er certificeret til at levere alle de tilbud, som opholds-
kommunen har truffet afgørelse om at personen skal tilbydes.
§ 4.
Kommunalbestyrelsen træffer afgørelse om betingelsen i § 3, stk. 3. Indebærer kommunalbestyrelsens afgørel-
se, at personen ikke kan vælge den ønskede friplejebolig, kan afgørelsen indbringes for det sociale nævn, som op-
holdskommunen hører under.
Kapitel 3
Certificering som friplejeboligleverandør og friplejeboligleverandørens pligter
§ 5.
Styrelsen for Specialrådgivning og Social Service certificerer friplejeboligleverandører.
Stk. 2.
Certifikationen skal omfatte levering af personlig og praktisk hjælp efter §§ 83 og 87 i lov om social service.
Stk. 3.
Certifikationen kan omfatte følgende tilbud efter lov om social service: Socialpædagogisk bistand, jf. § 85,
genoptræning m.v., jf. § 86, ledsagelse, jf. § 97, særlige kontaktpersoner for personer, som er døvblinde, jf. § 98, og
behandlingsmæssige tilbud, jf. § 102.
Stk. 4.
Styrelsen for Specialrådgivning og Social Service kan påbyde friplejeboligleverandøren at overholde vilkå-
rene for certifikationen og meddele vilkår, som friplejeboligleverandøren skal overholde.
§ 6.
Certifikation kan meddeles til fysiske og juridiske personer.
§ 7.
Den, der ansøger om certifikation, skal sandsynliggøre, at den pågældende vil kunne øve friplejeboligvirksom-
hed forsvarligt og i overensstemmelse med kravene om friplejeboligvirksomhed.
Stk. 2.
Styrelsen for Specialrådgivning og Social Service kan fastsætte vilkår for certifikationen, herunder krav til
personalets faglige profil, krav om friplejeboligleverandørens økonomiske soliditet og krav om systematiserede kon-
trolsystemer.
§ 8.
Friplejeboligleverandøren skal levere de tilbud, som kommunalbestyrelsen har truffet afgørelse om, jf. lov om
social service, og skal varetage formålet med den hjælp, som kommunalbestyrelsen har truffet afgørelse om.
Stk. 2.
Friplejeboligleverandøren skal informere kommunalbestyrelsen om forhold, som har betydning for kommu-
nens myndighedsopgaver over for beboerne.
Stk. 3.
Indtræder der nye medlemmer i en bestyrelse eller en direktion efter certifikationens datering, skal selskabet
m.v. inden 7 dage anmelde dette til Styrelsen for Specialrådgivning og Social Service.
§ 9.
Socialministeren fastsætter i en bekendtgørelse regler om certificering af friplejeboligleverandører, herunder
om fremgangsmåden ved ansøgning om og meddelelse af certifikation.
PDF to HTML - Convert PDF files to HTML files
71
Kapitel 4
Etablering af friplejeboliger m.v.
Tilsagn om støtte (kvote A)
§ 10.
Socialministeren kan efter ansøgning meddele tilsagn om ydelsesstøtte til certificerede friplejeboligleverandø-
rer til nybyggeri og til etablering af boliger ved gennemgribende ombygning af eksisterende ejendomme, der ikke er
opført med offentlig støtte.
Stk. 2.
Tilsagn om støtte meddelt efter stk. 1 kan gives inden for en årlig bevillingskvote på 225 boliger.
Stk. 3.
§ 141 i lov om almene boliger m.v. finder anvendelse for servicearealer til friplejeboliger etableret efter stk.
1.
Stk. 4.
Friplejeboliger med sædvanlige fællesfaciliteter til brug for lejerne, som etableres efter stk. 1, skal udgøre en
eller flere selvstændige ejendomme. Det samme gælder for de tilhørende servicearealer.
Godkendelse (kvote B)
§ 11.
Socialministeren kan efter ansøgning godkende, at en certificeret friplejeboligleverandør etablerer friplejebo-
liger ved nybyggeri og ombygning uden statslig ydelsesstøtte.
Stk. 2.
Socialministeren kan efter ansøgning godkende, at en certificeret friplejeboligleverandør omdanner eksiste-
rende ejendomme, der bebos af personer med et plejeboligbehov, til friplejeboliger, hvis ejendommen er ejet og drevet
af private. Der kan meddeles godkendelse af omdannelse af
1) plejehjem, jf. § 192 i lov om social service,
2) længerevarende botilbud, jf. § 108 i lov om social service,
3) almene plejeboliger ejet af selvejende almene institutioner etableret efter lov om almene boliger m.v.,
4) ældreboliger ejet af selvejende institutioner opført efter lov om boliger for ældre og personer med handicap,
5) lette kollektivboliger og boliger og hjem for gamle, syge og svagelige omfattet af bekendtgørelse om drift og tilsyn
med boliger og hjem for gamle, syge og svagelige samt lette kollektivboliger,
6) andre tilsvarende boliger målrettet personer med behov for en plejebolig.
Stk. 3.
Det er en betingelse for godkendelse, at
1) der er serviceareal i tilknytning til boligerne, eller at ansøgeren dokumenterer, at der etableres serviceareal i tilknyt-
ning til boligerne i forbindelse med etableringen eller omdannelsen, og
2) de beboere, der skal være lejere i friplejeboligerne, opfylder betingelserne for at blive visiteret til en plejebolig eller
lignende boligform.
Stk. 4.
Der meddeles godkendelse efter stk. 1 og 2 inden for en årlig kvote på 275 boliger. I det omfang kvoten efter
§ 10, stk. 2, ikke udnyttes, overføres den til kvote B for det samme år.
Finansiering, beboerindskud og kompensation m.v.
§ 12.
Den godkendte anskaffelsessum for boliger etableret efter kvote A finansieres med et kapitalindskud ydet af
friplejeboligleverandøren svarende til den i § 118, stk. 1, i lov om almene boliger m.v. nævnte kommunale grundkapi-
tal, et realkreditlån svarende til det i § 118, stk. 1, i lov om almene boliger m.v. nævnte og 2 pct. beboerindskud.
Stk. 2.
Friplejeboligleverandørens betaling på det realkreditlån, der er nævnt i stk. 1, beregnes første gang 3 måneder
efter låneoptagelsen som et beløb svarende til 3,4 pct. p.a. af byggeriets godkendte anskaffelsessum. Beløbet reguleres
efter reglerne i § 129, stk. 1, i lov om almene boliger m.v.
Stk. 3.
Ud over betaling efter stk. 2 betaler friplejeboligleverandøren løbende bidrag på realkreditlånet.
§ 13.
Ydelsesstøtte efter § 10, stk. 1, beregnes i forhold til den anskaffelsessum, som kommunalbestyrelsen godken-
der efter byggeriets afslutning, og udgør et beløb, som svarer til forskellen mellem de samlede ydelser på lånet og
friplejeboligleverandørens betaling efter § 12, stk. 2 og 3.
Stk. 2.
Der kan ikke ydes statslig ydelsesstøtte til den del af anskaffelsessummen, der overstiger den maksimale an-
skaffelsessum for almene boliger, jf. § 115, stk. 9, i lov om almene boliger m.v.
§ 14.
For friplejeboliger etableret ved nybyggeri og ombygning efter § 11, stk. 1, fastsættes beboerindskuddet som 2
pct. af boligernes andel af anskaffelsessummen, dog højst 2 pct. af den enkelte boligs andel af den maksimale anskaf-
felsessum i § 115, stk. 9, i lov om almene boliger m.v.
Stk. 2.
For friplejeboliger etableret ved omdannelse af boliger efter § 11, stk. 2, hvortil der ikke ydes statslig ydel-
sesstøtte, fastsættes beboerindskuddet som 2 pct. af ejendomsværdien ved seneste vurdering på omdannelsestidspunk-
tet, dog højst 2 pct. af den enkelte boligs andel af den maksimale anskaffelsessum for almene boliger, jf. § 115, stk. 9,
i lov om almene boliger m.v.
Stk. 3.
For friplejeboliger etableret ved omdannelse af boliger efter § 11, stk. 2, hvortil der ydes statslig ydelsesstøt-
te, fastsættes beboerindskuddet som 2 pct. af boligens andel af anskaffelsessummen.
§ 15.
For friplejeboliger, der etableres ved omdannelse efter § 11, stk. 2, kan friplejeboligleverandøren ikke opkræ-
ve beboerindskud af personer, der boede i ejendommen på omdannelsestidspunktet.
Stk. 2.
Til lejere, der allerede har betalt beboerindskud forud for omdannelsen eller ombygningen til friplejeboliger,
skal friplejeboligleverandøren tilbagebetale den andel af beboerindskuddet, der overstiger det beboerindskud, der er
PDF to HTML - Convert PDF files to HTML files
72
nævnt i § 14, stk. 3. Til lejere, der allerede har betalt depositum og forudbetalt leje forud for omdannelsen eller om-
bygningen til friplejeboliger, skal friplejeboligleverandøren kun tilbagebetale depositum og forudbetalt leje, i det om-
fang beløbene overstiger det i § 14, stk. 2, nævnte beboerindskud. Hvis boligtageren har modtaget lån efter lov om in-
dividuel boligstøtte til betaling af beboerindskuddet eller depositum og forudbetalt leje, tilbagebetales differencen dog
til långiver.
§ 16.
Til personer, der på omdannelsestidspunktet bor i en bolig, der omdannes til en friplejebolig uden statslig
ydelsesstøtte, jf. § 11, stk. 2, og hvis nettoboligudgift forøges ved omdannelsen, udbetaler kommunalbestyrelsen en
kompensation. Ved nettoboligudgift forstås boligudgiften efter fradrag af individuel boligstøtte. Kompensationen fort-
sætter i hele lejeperioden.
Stk. 2.
Kompensationen beregnes som differencen mellem den hidtidige nettoboligudgift i måneden umiddelbart
forud for omdannelsen og nettoboligudgiften umiddelbart efter omdannelsen. Kompensationen udbetales månedligt,
så længe den pågældende bebor den pågældende bolig.
Stk. 3.
Staten refunderer kommunens udgifter til kompensation med 75 pct. for pensionister, jf. § 2, stk. 3, i lov om
individuel boligstøtte, og for personer, der er tilkendt førtidspension eller invaliditetsydelse efter lov om højeste, mel-
lemste, forhøjet almindelig og almindelig førtidspension m.v. For andre personer udgør statens refusion 50 pct. af ud-
gifterne.
§ 17.
Lov om individuel boligstøtte § 14, stk. 4 og 5, og § 23, stk. 2 og 3, gælder for personer, der boede i ejen-
dommen før boligernes omdannelse til friplejeboliger, jf. § 11, stk. 2.
§ 18.
For lejere, der forud for omdannelsen, jf. § 11, stk. 2, var omfattet af § 54, stk. 4, i lov om almene boliger m.v.
og § 17, stk. 3, i lov om boliger for ældre og personer med handicap om kommunens garanti for lejerens kontraktmæs-
sige forpligtelser over for ejendommens ejer til at istandsætte boligen ved fraflytning, fortsætter garantien efter, at le-
jemålet er omdannet til friplejebolig.
§ 19.
Kommunalbestyrelsen kan yde et beløb til dækning af det beboerindskud, som en lejer i en udlejningsejen-
dom, der ombygges til en friplejebolig, skal betale, når den pågældende i forvejen bebor den ombyggede bolig.
Stk. 2.
Kommunalbestyrelsen skal yde et beløb til dækning af det beboerindskud, som beboere i plejehjem og be-
skyttede boliger skal betale, når deres boliger nedlægges og ombygges til friplejeboliger og beboerne genhuses i de
pågældende friplejeboliger. Tilsvarende gælder for beboerindskud, når beboere visiteres fra plejehjem eller beskyttet
bolig til almene ældreboliger og de i stedet vælger en friplejebolig.
Stk. 3.
Kommunalbestyrelsen skal yde et beløb til dækning af det beboerindskud, som beboere i plejehjem, beskyt-
tede boliger og boformer efter § 108 i lov om social service skal betale, når deres boliger nedlægges og ombygges til
friplejeboliger og beboerne genhuses i de pågældende friplejeboliger. Tilsvarende gælder for beboerindskud, når be-
boere visiteres fra en boform efter servicelovens § 108 til almene ældreboliger og de i stedet vælger en friplejebolig.
Stk. 4.
De i stk. 1-3 nævnte beløb udbetales til udlejeren. Ved lejemålets ophør tilbagebetaler udlejeren beløbet til
kommunen med fradrag af foretagen modregning for lejerens forpligtelser over for udlejeren. Staten refunderer kom-
munens udbetalinger efter stk. 1 og 2 med to tredjedele. Socialministeren kan i en bekendtgørelse fastsætte nærmere
regler om statsrefusionen, herunder regler om anvisning af statsrefusion, regnskabsaflæggelse og revision vedrørende
de beløb, der er nævnt i stk. 1-3.
Statslige garantiforpligtelser
§ 20.
Statslig garanti for realkreditlån efter § 12, stk. 1, kan ydes for den del af lånet, der på tidspunktet for lånets
optagelse har pantesikkerhed ud over 65 pct. af ejendommens værdi. Ved ejendommens værdi forstås den godkendte
anskaffelsessum for byggeriet. Garantien omfatter så stor en del af lånets restgæld og eventuelt forfaldne terminsydel-
ser, som det oprindelige garantibeløb udgjorde af hovedstolen. Den del af restgælden, der ikke omfattes af garantien,
har panteret forud for den garanterede del af restgælden.
§ 21.
Ved omdannelse til friplejeboliger efter § 11, stk. 2, af almene plejeboliger, der har modtaget tilsagn om of-
fentlig støtte efter § 115, stk. 2, eller §§ 143 a eller 143 c i lov om almene boliger m.v., og som tilhører en selvejende
almen ældreboliginstitution, overtager staten på uændrede vilkår beliggenhedskommunens garantiforpligtelse efter
§ 127 i lov om almene boliger m.v.
Stk. 2.
Ved omdannelse til friplejeboliger efter § 11, stk. 2, af almene plejeboliger, der har modtaget tilsagn om of-
fentlig støtte efter §§ 143 b eller 143 d i lov om almene boliger m.v., opretholdes den statslige garantiforpligtelse efter
§ 143 f i lov om almene boliger m.v. på uændrede vilkår.
§ 22.
Ved omdannelse til friplejeboliger efter § 11, stk. 2, af ældreboliger, der har modtaget tilsagn om offentlig
støtte efter lov om boliger for ældre og personer med handicap i tidsrummet fra den 1. juli 1987 til den 31. december
1996, og som tilhører en selvejende institution, overtager staten på uændrede vilkår beliggenhedskommunens garanti-
forpligtelse efter § 6, jf. § 10, i lov om boliger for ældre og personer med handicap.
Stk. 2.
Ved omdannelse til friplejeboliger efter § 11, stk. 2, af ældreboliger med tilknyttet serviceareal, der har mod-
taget tilsagn om offentlig støtte efter lov om boliger for ældre og personer med handicap i tidsrummet fra den 1. januar
1996 til den 31. december 1996, og som tilhører en selvejende institution, overtager staten på uændrede vilkår belig-
genhedskommunens garantiforpligtelse efter § 6, jf. § 10, i lov om boliger for ældre og personer med handicap.
PDF to HTML - Convert PDF files to HTML files
73
§ 23.
Ved omdannelse til friplejeboliger efter § 11, stk. 2, af boliger og hjem for gamle, syge og svagelige, der har
modtaget tilsagn om offentlig støtte efter § 45, stk. 1, nr. 4, eller § 49, stk. 1, i lov om boligbyggeri, og som tilhører en
selvejende institution, opretholdes den statslige garantiforpligtelse efter § 46, stk. 1, i lov om boligbyggeri på uændre-
de vilkår.
Stk. 2.
Ved omdannelse til friplejeboliger efter § 11, stk. 2, af boliger og hjem for gamle, syge og svagelige, der har
modtaget tilsagn om offentlig støtte efter § 73, stk. 1, nr. 4, eller § 75, stk. 1, i lov om boligbyggeri, og som tilhører en
selvejende institution, opretholdes den statslige garantiforpligtelse efter § 74, stk. 1, i lov om boligbyggeri på uændre-
de vilkår.
Stk. 3.
Ved omdannelse til friplejeboliger efter § 11, stk. 2, af boliger for ældre, syge og svagelige (lette kollektivbo-
liger), der har modtaget tilsagn om offentlig støtte efter § 81, stk. 1, i lov om boligbyggeri, og som tilhører en selv-
ejende institution, overtager staten på uændrede vilkår beliggenhedskommunens garantiforpligtelse efter § 85 i lov om
boligbyggeri.
§ 24.
Ved omdannelse til friplejeboliger efter § 11, stk. 2, af kollektive bofællesskaber efter kapitel 12 a i lov om
boligbyggeri, der i tidsrummet fra den 1. januar 1994 til den 31. december 1996 har modtaget tilsagn om offentlig
støtte efter § 86 a, stk. 1, i lov om boligbyggeri, og som tilhører en selvejende institution, opretholdes den statslige ga-
rantiforpligtelse efter § 86 d i lov om boligbyggeri på uændrede vilkår.
Krav til friplejeboligernes kvalitet og indretning
§ 25.
Friplejeboliger etableret ved nybyggeri eller ombygning skal opfylde kravene til udstyr og udformning gæl-
dende for almene ældreboliger, jf. § 110 i lov om almene boliger m.v.
Stk. 2.
Friplejeboliger etableret ved omdannelse skal være egnede som friplejeboliger. Friplejeboligerne skal være
forsvarligt vedligeholdt, og brand-, arbejdsmiljø- og veterinærkrav og lignende vilkår skal være overholdt.
Stk. 3.
Socialministeren kan i en bekendtgørelse fastsætte regler om krav til byggeriets kvalitet og indretning, her-
under til friplejeboliger etableret ved omdannelse, jf. § 11, stk. 2.
Ansøgning om ydelsesstøtte eller godkendelse m.v.
§ 26.
I forbindelse med tildeling af ydelsesstøtte og tilskud opkræver socialministeren hos friplejeboligleverandøren
et gebyr på 2 promille af de inden påbegyndelsen godkendte anskaffelsessummer eksklusive gebyrer til dækning af
statens administrationsudgifter.
Stk. 2.
Kommunalbestyrelsen i beliggenhedskommunen kan pålægge modtagere af støtte at betale et gebyr maksi-
malt svarende til kommunens faktiske omkostninger ved støttesagsbehandlingen.
§ 27.
Socialministeren kan i en bekendtgørelse fastsætte regler bl.a. om
1) kravene til ansøgningerne,
2) ansøgningsproceduren,
3) tilsagn og de betingelser, der skal være opfyldt for at få andel i kvoterne,
4) regler om overdragelse af tilsagn,
5) omdannelse af eksisterende ejendomme til friplejeboliger,
6) kapitaludgifter, der indgår i lejen,
7) maksimale anskaffelsessummer,
8) realkreditbelåning og
9) statslig ydelsesstøtte for boligerne.
Kapitel 5
Kriterier for tildeling af kvote
§ 28.
Socialministeren meddeler betinget tilsagn om andel i kvote A til de ansøgere, som tilbyder at levere personlig
og praktisk hjælp efter §§ 83 og 87 i lov om social service til den laveste pris, og hvor antallet af boliger kan rummes
inden for bevillingskvoten.
Stk. 2.
Hvis flere ansøgere ved fordeling efter stk. 1 tilbyder at levere personlig og praktisk hjælp efter §§ 83 og 87 i
lov om social service til den samme pris, meddeles der betinget tilsagn til den ansøger, hvis boliger ligger i den kom-
mune, hvor der er etableret eller er givet tilsagn til etablering af det laveste antal friplejeboliger pr. indbygger.
Stk. 3.
Hvis flere ansøgere ved fordeling efter stk. 2 er ligestillede, meddeles betinget tilsagn efter lodtrækning.
§ 29.
Et betinget tilsagn meddelt efter § 28 bliver endeligt, når ansøger
1) dokumenterer at eje eller have indgået en aftale om køb af den grund eller den ejendom, hvor friplejeboligerne skal
etableres,
2) erklærer, at der ikke er tilbagekøbsklausul på den grund eller den ejendom, hvor friplejeboligerne skal etableres, og
3) indsender projektmateriale svarende til et dispositionsforslag for etableringen af friplejeboligerne i form af nybyg-
geri eller ombygning af den eksisterende bygning.
Stk. 2.
En aftale om køb af den grund eller den ejendom, hvor friplejeboligerne skal etableres, må kun være betinget
af, at ansøgeren opnår andel i bevillingskvoten, og at købesummen betales.
PDF to HTML - Convert PDF files to HTML files
74
Stk. 3.
Hvis oplysningerne efter stk. 1, nr. 1-3, og dokumentation for opfyldelse af stk. 2 ikke foreligger inden 6
uger, bortfalder tilsagnet.
§ 30.
Socialministeren meddeler tilsagn om andel i kvote B til de ansøgere, som tilbyder at levere personlig og prak-
tisk hjælp efter §§ 83 og 87 i lov om social service til den laveste pris, og hvor antallet af boliger kan rummes inden
for bevillingskvoten.
Stk. 2.
Hvis flere ansøgere ved fordeling efter stk. 1 tilbyder at levere personlig og praktisk hjælp efter §§ 83 og 87 i
lov om social service til den samme pris, meddeles der tilsagn til den ansøger, hvis boliger ligger i den kommune,
hvor der er etableret eller er givet tilsagn til etablering af det laveste antal friplejeboliger pr. indbygger.
Stk. 3.
Hvis flere ansøgere ved fordeling efter stk. 2 er ligestillede, meddeles tilsagn efter lodtrækning.
§ 31.
Socialministeren fastsætter i en bekendtgørelse regler om beregningen af laveste pris og om fremgangsmåden
ved meddelelse af tilsagn, herunder regler om vægtning af de tilbudte priser i forhold til et nationalt takstsystem for et
landsdækkende plejebehovsrelateret modulsystem.
Kapitel 6
Afregning m.v.
§ 32.
Til afregning mellem kommunen og friplejeboligleverandøren udarbejder socialministeren et landsdækkende
plejebehovsrelateret modulsystem til brug for konvertering af kommunalbestyrelsens afgørelse om service og pleje.
Stk. 2.
Socialministeren fastsætter i en bekendtgørelse regler om det landsdækkende plejebehovsrelaterede modulsy-
stem, herunder om et nationalt takstsystem til afregning mellem kommuner og friplejeboligleverandører, om konverte-
ring af kommunalbestyrelsens afgørelser og om afregningsperioder m.v.
Stk. 3.
Socialministeren fastsætter i en bekendtgørelse regler om takster for friplejeboligbeboeres betaling for tilbud
efter kapitel 16 i lov om social service.
Takster for tilsyn med friplejeboliger
§ 33.
Socialministeren fastsætter i en bekendtgørelse regler om den tidligere opholdskommunes betaling for tilsyn
med service, jf. § 151 a og § 151 b i lov om social service, til den kommune, hvor friplejeboligerne ligger.
Kapitel 7
Lejeforhold m.v.
Lejeaftalen, betaling af leje og indskud, installationsret, henlæggelser og vedligeholdelse
§ 34.
Forholdet mellem friplejeboligleverandøren (udlejeren) og lejeren vedrørende boligen reguleres af lov om leje,
med undtagelse af kapitel I, § 4, stk. 4-7, kapitel IV, § 33, stk. 4, § 34, § 37, stk. 4, § 46 c, stk. 2, § 46 j, stk. 3, kapitel
VIII og VIII A, §§ 58-61, § 62 a, kapitel X A, § 66, stk. 1, litra a, §§ 69-74 a, § 98, stk. 1 og 2, kapitel XVI, § 106 og
kapitel XIX.
Stk. 2.
Bestemmelserne i dette kapitel kan ikke ved aftale fraviges til skade for lejeren.
Stk. 3.
Lejers rettigheder efter denne lov er gyldige mod enhver uden tinglysning.
§ 35.
Friplejeboliger kan kun udlejes til personer, der er visiteret til en plejebolig eller lignende boligform af kom-
munen.
Stk. 2.
Uanset lejelovens § 6 forpligter lejeren sig til at modtage tilbud af friplejeboligleverandøren efter lov om so-
cial service, herunder at betale for serviceydelser omfattet af kapitel 16 i lov om social service.
§ 36.
Friplejeboligleverandøren opkræver ved lejemålets indgåelse et beboerindskud, jf. § 12, stk. 1, og § 14.
§ 37.
Friplejeboligleverandøren kan ved lejeforholdets begyndelse ikke kræve lejen forudbetalt. Ved forudbetalt leje
forstås i denne forbindelse det beløb, der umiddelbart inden de aftalte betalingsterminer henstår som indbetalt hos
friplejeboligleverandøren.
§ 38.
Lejen for friplejeboliger kan ikke kræves betalt for mere end 1 måned ad gangen.
§ 39.
Lejerens ret til installation efter § 29 i lov om leje gælder ikke, hvis friplejeboligleverandøren godtgør, at in-
stallationen vil gøre boligen uegnet til den forudsatte brug.
§ 40.
Friplejeboligleverandøren skal på en særlig henlæggelseskonto foretage passende henlæggelser til fornyelse af
tekniske installationer, hovedistandsættelse, tab ved lejeledighed og fraflytninger.
Stk. 2.
Til tab ved lejeledighed og fraflytninger kan højst henlægges 2 pct. af ejendommens samlede driftsudgifter.
Underskud som følge af, at de faktiske udgifter hertil overstiger de henlagte beløb, kan ikke indgå i lejen.
PDF to HTML - Convert PDF files to HTML files
75
§ 41.
Friplejeboligleverandøren skal holde ejendommen og det lejede forsvarligt vedlige. Alle indretninger til afløb
og til forsyning med lys, gas, vand, varme og kulde skal holdes i god og brugbar stand.
Stk. 2.
Fornyelse af tapet, maling, hvidtning eller anden istandsættelse som følge af forringelse ved slid og ælde skal
foretages så ofte, det er påkrævet under hensyn til ejendommens og det lejedes karakter.
Stk. 3.
Friplejeboligleverandøren skal også sørge for renholdelse og sædvanlig belysning af ejendommen og ad-
gangsvejene til det lejede, ligesom denne skal renholde fortov, gård og andre fælles indretninger.
Stk. 4.
Lejer kan ikke ved aftale pålægges helt eller delvis at overtage friplejeboligleverandørens vedligeholdelses-
pligt.
Lejens størrelse
§ 42.
Lejen fastsættes årligt på grundlag af et driftsbudget for det kommende år. Den samlede leje for boligerne skal
til enhver tid være fastsat således, at den giver friplejeboligleverandøren mulighed for af lejeindtægterne at afholde de
nødvendige udgifter, der er forbundet med driften af boligerne, jf. dog § 40, stk. 2.
Stk. 2.
Ejendommens nødvendige driftsudgifter består af udgifter til skatter, afgifter, forsikringer, renholdelse, ad-
ministration, passende henlæggelser til ud- og indvendig vedligeholdelse, henlæggelser efter § 40 og kapitaludgifter
opgjort efter §§ 43-47.
Stk. 3.
Henlæggelser til vedligeholdelse hensættes på en konto for henholdsvis ud- og indvendig vedligeholdelse.
Stk. 4.
Lejen for boligerne fastsættes efter deres indbyrdes brugsværdi.
Stk. 5.
Ved friplejeboligernes ibrugtagelse skal lejen og fordelingen heraf på de enkelte lejemål fastsættes.
Stk. 6.
Ændringer i lejefordelingen kan ske, når forandringer i den indbyrdes brugsværdi tilsiger det.
§ 43.
Kapitaludgifterne for friplejeboliger, der har fået tilsagn om støtte efter kvote A, består af den betaling, der er
nævnt i § 12, stk. 2, og det bidrag, der er nævnt i § 12, stk. 3.
§ 44.
Kapitaludgifterne eksklusive bidrag for bebyggelser, der er godkendt etableret ved nybyggeri eller ombygning
efter kvote B, kan udgøre 3,4 pct. af den faktiske anskaffelsessum, dog højst 3,4 pct. af et beløb, der svarer til den
maksimale anskaffelsessum for almene boliger, jf. § 115, stk. 9, i lov om almene boliger m.v.
§ 45.
Kapitaludgifterne for bebyggelser, der er godkendt etableret ved omdannelse efter kvote B, og som på omdan-
nelsestidspunktet modtager offentlig støtte til betaling af ydelser på optagne realkreditlån til finansiering af anskaffel-
sessummen, udgør de faktiske ydelser, som friplejeboligleverandøren betaler på de optagne lån inklusive bidrag. Kapi-
taludgifter eksklusive bidrag for andre bebyggelser, der er godkendt etableret ved omdannelse efter kvote B, kan ud-
gøre det højeste beløb af enten de faktiske udgifter eksklusive bidrag på de optagne lån eller 3,4 pct. af ejendomsvær-
dien af friplejeboligerne ved den seneste vurdering på omdannelsestidspunktet, jf. § 14. Kapitaludgifterne eksklusive
bidrag efter 2. pkt. kan ikke overstige 3,4 pct. af anskaffelsessummen beregnet som den maksimale anskaffelsessum
for almene boliger, jf. § 115, stk. 9, i lov om almene boliger m.v.
§ 46.
Kapitaludgifter eksklusive bidrag, der er omfattet af § 44 og § 45, 2. pkt., reguleres på samme måde som kapi-
taludgifter eksklusive bidrag, der er omfattet af § 43.
Stk. 2.
Det bidrag, der kan indgå i kapitaludgifterne efter henholdsvis § 44 og § 45, 2. og 3. pkt., opgøres på grund-
lag af anskaffelsessummen for bebyggelsen i de nævnte bestemmelser. Bidraget udgør et beløb svarende til det løben-
de bidrag på et realkreditlån af en størrelse som anført i § 118, stk. 1, i lov om almene boliger m.v. på det tidspunkt,
hvor friplejeboligerne etableres. Bidraget kan dog ikke overstige et beløb svarende til det løbende bidrag på et realkre-
ditlån til finansiering af 80 pct. af bebyggelsens faktiske anskaffelsessum efter § 44 henholdsvis § 45, 2. og 3. pkt.
§ 47.
Kapitaludgifter i bebyggelser, der er omfattet af § 45, 1. pkt., kan efter realkreditlånenes udamortisation med-
tages i driftsudgifterne i samme omfang som efter de regler, der var gældende for friplejeboligleverandøren forud for
omdannelsen af bebyggelsen til friplejeboliger.
Stk. 2.
I andre bebyggelser end de i stk. 1 nævnte kan kapitaludgifter fra og med det 36. år efter optagelsen af real-
kreditlån eller efter det tidspunkt, hvor realkreditlånene kunne være optaget, medtages i driftsudgifterne efter § 42 i
samme omfang som efter § 44, § 45, 2. pkt., og § 46.
Lejeforhøjelser
§ 48.
Lejeforhøjelser, der er nødvendige til opfyldelse af kravet i § 42, stk. 1, og lejeforhøjelser, der er en følge af
ændringer i lejefordelingen, jf. § 42, stk. 6, kan gennemføres med 3 måneders varsel. Hvis huslejeforhøjelsen er sket
med for kort varsel, er lejeren først forpligtet til at betale forhøjelsen fra det tidspunkt, hvor et tidsmæssigt korrekt af-
givet varsel ville have haft virkning.
Stk. 2.
Lejeforhøjelser som følge af stigninger i driftsudgifterne for boligerne skal fordeles således, at fordelingen af
den samlede leje på de enkelte boliger opretholdes, jf. § 42, stk. 4.
Stk. 3.
Friplejeboligleverandørens udgifter til levering af ydelser i henhold til lejelovens kapitel VII og VII B, der på
grund af dennes forsømmelse ikke kan opkræves efter de nævnte kapitler, kan ikke indeholdes i lejen.
Stk. 4.
Har friplejeboligleverandøren forbedret det lejede, kan denne forlange lejen forhøjet med et beløb, der mod-
svarer forøgelsen af det lejedes værdi.
Stk. 5.
Lejeforhøjelsen skal fordeles således, at fordelingen af den samlede leje på de enkelte boliger opretholdes,
forudsat at arbejderne medfører den samme relative forøgelse af brugsværdien.
PDF to HTML - Convert PDF files to HTML files
76
§ 49.
Krav om forhøjelse af lejen skal varsles skriftligt over for den enkelte lejer med det varsel, der er nævnt i § 48,
stk. 1, og indeholde oplysning om forhøjelsens beregning, grunden til forhøjelsen, forhøjelsens størrelse angivet i kr.
pr. måned og oplysning om lejerens adgang til at gøre indsigelse, jf. § 50, stk. 1.
Stk. 2.
Bliver friplejeboligleverandøren bekendt med, at varslingsskrivelsen ikke opfylder kravene i stk. 1 eller § 48,
stk. 1, skal friplejeboligleverandøren hurtigst muligt skriftligt orientere samtlige berørte lejere herom. Orienteringen
skal samtidig indeholde de påkrævede oplysninger. Hvis forhøjelsen er sket med for kort varsel, skal lejerne oplyses
om virkningen heraf. De i § 48, stk. 4, nævnte lejeforhøjelser kan først varsles til ikrafttræden fra tidspunktet for
ibrugtagelsen.
§ 50.
Vil lejeren ikke godkende kravet om lejeforhøjelse efter § 48, stk. 1, 2, 4 og 5, og § 49, skal lejeren fremsætte
skriftlig indsigelse senest 6 uger efter, at kravet er kommet frem til lejeren. I ejendomme med beboerrepræsentation
kan beboerrepræsentanterne på samtlige lejeres vegne gøre indsigelse mod kravet om lejeforhøjelse, jf. 1. pkt. Friple-
jeboligleverandøren skal da indbringe sagen for huslejenævnet senest 6 uger efter lejerfristens udløb, hvis denne øn-
sker at fastholde kravet om lejeforhøjelse.
Stk. 2.
På lejerens eller beboerrepræsentanternes begæring skal huslejenævnet, medmindre nævnet har truffet afgø-
relse efter stk. 1, afgøre, om friplejeboligleverandøren har krævet højere leje end tilladt efter § 48, stk. 1 og 2. Nedsæt-
tes lejen på baggrund af en sag indbragt af beboerrepræsentanterne, anvendes tilbagebetalingsbeløbet forlods til dæk-
ning af beboerrepræsentanternes udgifter ved sagen.
§ 51.
Udgifter som følge af ændret varmefordeling efter § 37, stk. 2 og 3, i lov om leje og udgifter som følge af
overgang til betaling for vand efter forbrugsmålere efter § 46 j, stk. 1, i lov om leje betragtes som forbedringer.
Stk. 2.
Ved beregning, fordeling og varsling af huslejeforhøjelser som følge af de i stk. 1 nævnte forbedringer finder
§ 48, stk. 4 og 5, og § 49 tilsvarende anvendelse.
Stk. 3.
Har friplejeboligleverandøren efter aftale med lejeren i henhold til kapitel VII A i lov om leje etableret eller
forbedret ejendommens programforsyning eller forsyning med adgang til elektroniske kommunikationstjenester, kan
friplejeboligleverandøren forlange, at lejeren godtgør friplejeboligleverandøren de etablerings- og forbedringsudgifter,
der med rimelighed er afholdt. Friplejeboligleverandøren kan ikke beregne lejeforhøjelse efter § 48, stk. 4, for etable-
ring og forbedring af fællesantenner.
Lejemålets ophør og lejerens fraflytning
§ 52.
Dør lejeren uden at efterlade sig en ægtefælle eller andre, som lejeren har haft fælles husstand med, som anført
i § 75, stk. 2, i lov om leje, kan opsigelsen ske med 1 måneds varsel.
§ 53.
Opsigelse efter § 83, stk. 2, i lov om leje kan kun ske, når friplejeboligleverandøren samtidig anviser lejeren
en anden og passende bolig.
§ 54.
Friplejeboligleverandøren kan hæve lejeaftalen efter § 93 i lov om leje eller opsige lejeaftalen efter § 83 i lov
om leje, hvis lejeren ikke vil modtage den hjælp, som kommunalbestyrelsen har truffet afgørelse om at den pågælden-
de skal tilbydes af friplejeboligleverandøren.
Stk. 2.
Ophævelse eller opsigelse efter stk. 1 kan ikke ske, før friplejeboligleverandøren har underrettet beliggen-
hedskommunen.
Stk. 3.
Ophævelse af et lejeforhold efter § 93, stk. 1, i lov om leje kan kun ske, når lejeren samtidig anvises en anden
og passende bolig.
§ 55.
Lejer kan hæve lejemålet efter § 12 i lov om leje, hvis friplejeboligleverandørens certifikation er tilbagekaldt
på grund af misligholdelse af levering af service og pleje.
§ 56.
Det lejede skal være fraflyttet senest kl. 12.00 på fraflytningsdagen.
§ 57.
Det kan ikke ved fraflytning forlanges, at boligen afleveres i en bedre stand end den, hvori den blev overtaget.
Stk. 2.
Lejeren skal afholde samtlige udgifter som følge af misligholdelse, hvorved det lejede er forringet eller ska-
det som følge af fejlagtig brug eller uforsvarlig adfærd af lejeren, medlemmer af dennes husstand eller andre, som le-
jeren har givet adgang til boligen.
Stk. 3.
Friplejeboligleverandøren kan ikke gøre krav i medfør af stk. 2 gældende, når der er forløbet mere end 2 uger
fra fraflytningsdagen. Dette gælder dog ikke, hvis mangelen ikke kan erkendes ved anvendelse af sædvanlig agtpågi-
venhed eller lejeren har handlet svigagtigt. Hvis friplejeboligleverandøren sammen med lejeren i forbindelse med fra-
flytning foretager gennemgang af en friplejebolig, skal friplejeboligleverandøren i ejendomme med beboerrepræsenta-
tion orientere lejeren om adgangen til at lade beboerrepræsentanter deltage i gennemgangen. På lejerens begæring skal
friplejeboligleverandøren med en rimelig frist skriftligt indkalde beboerrepræsentanterne til at deltage i gennemgan-
gen. Udarbejdes der på grundlag af gennemgangen en fraflytningsrapport, skal beboerrepræsentanterne have tilsendt
kopi deraf.
PDF to HTML - Convert PDF files to HTML files
77
Behandling af tvister
§ 58.
Efter kapitel VI i lov om midlertidig regulering af boligforholdene træffer huslejenævnet afgørelse i følgende
tvister:
1) Tvister om fastsættelse af lejen efter § 42 og lejeregulering efter §§ 48-50.
2) Tvister om varsling af iværksættelsen efter § 55 i lov om leje i forbindelse med gennemførelse af forbedringer i det
lejede og om lejeforhøjelse efter § 51, stk. 2.
3) Tvister om opfyldelse af friplejeboligleverandørens pligt til renholdelse, vedligeholdelse og fornyelse efter § 41.
4) Tvister om opfyldelse af lejerens pligt til istandsættelse efter fraflytning, herunder om tilbagebetaling af beboerind-
skud efter fraflytning.
5) Tvister om lejernes betaling for varme og lign. efter kapitel VII i lov om leje, herunder uenighed om acontobidrag
og om udførelse af arbejder omfattet af § 46 a, stk. 2, i lov om leje, antennebidrag og betaling for adgang til elek-
troniske kommunikationstjenester efter kapitel VII A i lov om leje og om betaling for vand m.v. efter kapitel VII B
i lov om leje, herunder tilfælde, hvor friplejeboligleverandøren modsætter sig installation af vandmålere efter § 46
j, stk. 5, i lov om leje.
6) Tvister om lejerens ret til at installere hjælpemidler efter § 29, stk. 9, i lov om leje og om deposita efter samme lovs
§ 29, stk. 4 og 5, og tvister om, hvorvidt en aftale i henhold til § 66 a i lov om leje om forbedringsarbejder er åben-
bart urimelig.
7) Tvister om en lejers tilsidesættelse af god skik og orden efter §§ 79 a-79 c i lov om leje, som indbringes for husle-
jenævnet efter samme lovs § 79 c, 1. pkt.
§ 59.
Tvister om lejeforhold, der er omfattet af denne lov, kan, hvis spørgsmålet ikke efter loven kan indbringes for
huslejenævnet eller i Københavns Kommune for ankenævnet, i 1. instans indbringes for byretten. Retten benævnes bo-
ligretten.
Stk. 2.
Retten tiltrædes af 2 lægdommere, hvis en af parterne i retssagen begærer det eller retten bestemmer, at læg-
dommere skal medvirke.
Omdannelse af eksisterende lejeboliger til friplejeboliger
§ 60.
Lejere omfattet af lov om leje eller lov om leje af almene boliger, der bor i en ejendom, som skal omdannes til
friplejeboliger, skal opsiges forud for omdannelsen. Friplejeboligleverandøren skal genudleje den opsagte bolig til de
opsagte lejere på vilkår, der er forenelige med denne lov. Lejerne kan ikke som følge af mangler ved eller mangelfuld
vedligeholdelse af boligen efter opsigelsen forud for omdannelsen pålægges at udføre eller afholde udgifter til udfø-
relse af istandsættelsesarbejder i det lejede, som lejerne under normale omstændigheder i forbindelse med afvikling af
lejeforholdet ville kunne pålægges i medfør af generelle eller individuelle vilkår.
Stk. 2.
Beboere, der bliver boende i boliger som nævnt i § 11, stk. 2, nr. 1 og 2, der ombygges eller omdannes til
friplejeboliger efter §§ 10 eller 11, kan ikke i forbindelse med etableringen af friplejeboligerne pålægges at udføre el-
ler afholde udgifterne til udførelse af istandsættelsesarbejder i boligerne, som beboerne under normale omstændighe-
der i forbindelse med fraflytning af boligerne ville kunne pålægges. Friplejeboligleverandøren skal udarbejde en ind-
flytningsrapport over de enkelte friplejeboligers stand ved etableringen af friplejeboligerne.
Stk. 3.
I forbindelse med afviklingen af det oprindelige lejeforhold skal friplejeboligleverandøren påse, at der udbe-
tales godtgørelse til lejere, som har foretaget forbedringsarbejder enten efter § 62 a i lov om leje eller efter § 39 i lov
om almene boliger m.v. I forbindelse med genudlejning af boligen på lejevilkår, der er forenelige med denne lov, kan
friplejeboligleverandøren beregne en forbedringsforhøjelse, jf. § 48, stk. 4, for den del af arbejderne, som friplejebo-
ligleverandøren har betalt godtgørelse for efter § 62 a i lov om leje eller § 39 i lov om almene boliger m.v.
§ 61.
For udlejningsejendomme, som er omfattet af bindingspligten i kapitel X A om konto for forbedringer i
Grundejernes Investeringsfond i lov om leje, eller som er omfattet af kapitel III om vedligeholdelse og opretning i lov
om midlertidig regulering af boligforholdene, ophører bindingspligten ved omdannelse til friplejeboliger, og de bund-
ne midler frigives. Et beløb bundet efter reglerne i lov om leje, der i forbindelse med omdannelsen til friplejeboliger
frigives fra Grundejernes Investeringsfond, skal af friplejeboligleverandøren henlægges og anvendes til fornyelse af
tekniske installationer og hovedistandsættelse, jf. § 40, stk. 1. Et beløb bundet efter reglerne i lov om midlertidig regu-
lering af boligforholdene, der i forbindelse med omdannelse til friplejeboliger frigives fra Grundejernes Investerings-
fond, skal af friplejeboligleverandøren henlægges og anvendes til vedligeholdelse, jf. § 41, stk. 1.
Opgørelse af areal
§ 62.
De regler om arealberegning, som socialministeren fastsætter i medfør af § 115 a i lov om leje, gælder tilsva-
rende for friplejeboliger.
Kapitel 8
Udamortisation m.v.
§ 63.
Til og med det 35. år efter optagelsen af realkreditlån i friplejeboliger, der har fået tilsagn om offentlig støtte
efter § 10, stk. 1, indbetaler friplejeboligleverandøren de likvide midler, der fremkommer i forbindelse med, at lejer-
nes betaling overstiger ydelser på lånet, til Landsbyggefonden.
PDF to HTML - Convert PDF files to HTML files
78
Stk. 2.
Fra og med det 36. år efter optagelsen af realkreditlån i friplejeboliger, der har fået tilsagn om offentlig støtte
efter § 10, stk. 1, indbetaler friplejeboligleverandøren 2/3 af de likvide midler, der fremkommer i forbindelse med le-
jernes betaling, til Landsbyggefonden. 1/3 af de likvide midler skal hensættes på en særlig henlæggelseskonto og an-
vendes til imødegåelse af tab ved friplejeboligbebyggelsens fortsatte virksomhed.
§ 64.
For almene plejeboliger, der har modtaget tilsagn om offentlig støtte efter den 31. december 1998, og som til-
hører selvejende institutioner, herunder almene plejeboliger etableret efter kapitel 9 a i lov om almene boliger m.v., og
som er omdannet til friplejeboliger i medfør af § 11, stk. 2, nr. 3, finder § 30 a, stk. 1, og § 80 c, stk. 1 og 2, i lov om
almene boliger m.v. anvendelse. De i § 30 a, stk. 1, i lov om almene boliger m.v. omtalte likvide midler hensættes på
en særlig henlæggelseskonto.
Stk. 2.
For almene plejeboliger, der har modtaget tilsagn om offentlig støtte før den 1. januar 1999, som tilhører
selvejende institutioner, og som er omdannet til friplejeboliger i medfør af § 11, stk. 2, nr. 3, finder § 30 a, stk. 2, og
§ 80 d i lov om almene boliger m.v. anvendelse. De i § 30 a, stk. 2, i lov om almene boliger m.v. omtalte likvide mid-
ler hensættes på en særlig henlæggelseskonto.
Stk. 3.
For ældreboliger, herunder ældreboliger med tilknyttede servicearealer, der har modtaget tilsagn om offentlig
støtte efter lov om boliger for ældre og personer med handicap i tidsrummet fra den 1. juli 1987 til den 31. december
1996, som tilhører selvejende institutioner, og som er omdannet til friplejeboliger i medfør af § 11, stk. 2, nr. 4, finder
§ 30 a, stk. 3, i lov om almene boliger m.v. anvendelse. De i § 30 a, stk. 3, i lov om almene boliger m.v. omtalte likvi-
de midler hensættes på en særlig henlæggelseskonto.
Stk. 4.
For boliger og hjem for gamle, syge og svagelige, der har modtaget tilsagn om offentlig støtte efter § 45, stk.
1, nr. 4, eller § 49, stk. 1, i lov om boligbyggeri, § 73, stk. 4, eller § 75, stk. 1, i lov om boligbyggeri og for boliger for
ældre, syge og svagelige (lette kollektivboliger), der har modtaget tilsagn om offentlig støtte efter § 81, stk. 1, i lov om
boligbyggeri, som tilhører selvejende institutioner, som er omdannet til friplejeboliger i medfør af denne lovs § 11,
stk. 2, nr. 5, finder § 10 i bekendtgørelse om drift og tilsyn med boliger og hjem for gamle, syge og svagelige samt let-
te kollektivboliger anvendelse.
Stk. 5.
For kollektive bofællesskaber efter kapitel 12 a i lov om boligbyggeri, der har modtaget tilsagn om offentlig
støtte i tidsrummet fra den 1. januar 1994 til den 31. december 1996, og som tilhører selvejende institutioner, som er
omdannet til friplejeboliger i medfør af denne lovs § 11, stk. 2, nr. 6, finder bestemmelserne i § 10 i bekendtgørelse
om drift og tilsyn med boliger og hjem for gamle, syge og svagelige samt lette kollektivboliger tilsvarende anvendel-
se.
§ 65.
Socialministeren kan i en bekendtgørelse fastsætte regler om udamortisation, herunder om udamortisation for
andre tilsvarende boliger målrettet personer med behov for en plejebolig end de i § 64 nævnte.
Kapitel 9
Udbud og afhændelse m.v. af friplejeboliger
Udbud
§ 66.
Socialministeren skal hvert 10. år sætte friplejeboligerne i udbud.
Afhændelse efter udbud
§ 67.
Hvis vinderen af et udbud er en anden friplejeboligleverandør, skal friplejeboligerne afhændes til den nye
friplejeboligleverandør.
Stk. 2.
Socialministeren skal godkende afhændelsen efter udbud.
§ 68.
For friplejeboliger etableret efter § 10, stk. 1, skal afhændelse efter udbud ske til en pris svarende til indestå-
ende belåning med tillæg af friplejeboligleverandørens indskud efter § 12, stk. 1. Indestående belåning omfatter kun
lån til opførelsen eller ombygningen, forbedringer og vedligeholdelse.
Stk. 2.
Prisen i stk. 1 kan fraviges,
1) hvis der er meddelt udgiftskrævende påbud efter § 89, stk. 2 og 3, § 90 og § 91, stk. 3, og hvis påbuddet ikke er ef-
terkommet senest på overtagelsesdagen, eller
2) hvis der er truffet afgørelse om tilbagekaldelse af tilsagnet om ydelsesstøtte efter § 93, stk. 3, og hvis der ikke ydes
ydelsesstøtte efter overtagelsesdagen.
Stk. 3.
Et beløb svarende til prisnedsættelsen fradrages i indskuddet i stk. 1.
Stk. 4.
Tilsagnet om ydelsesstøtte efter § 10, stk. 1, overføres til den nye friplejeboligleverandør fra overtagelsesda-
gen.
Stk. 5.
Servicearealerne skal afhændes til den godkendte anskaffelsessum med fradrag af servicearealtilskuddet efter
§ 141, stk. 1, i lov om almene boliger m.v.
§ 69.
For friplejeboliger etableret ved nybyggeri eller ombygning efter § 11, stk. 1, samt for friplejeboliger etableret
ved omdannelse efter § 11, stk. 2, og hvortil der ikke ydes eller ikke har været ydet offentlig støtte, skal afhændelse ef-
ter udbud ske til en pris, der svarer til ejendomsværdien ved den seneste vurdering.
Stk. 2.
Prisen i stk. 1 kan fraviges, hvis der er meddelt udgiftskrævende påbud efter § 89, stk. 2 og 3, § 90 og § 91,
stk. 3, og hvis påbuddet ikke er efterkommet senest på overtagelsesdagen.
PDF to HTML - Convert PDF files to HTML files
79
§ 70.
For friplejeboliger etableret ved omdannelse efter § 11, stk. 2, hvortil der ydes eller har været ydet offentlig
støtte, skal afhændelse efter udbud ske til en pris svarende til indestående belåning, jf. § 68, stk. 1, 2. pkt., med tillæg
af det beløb, som friplejeboligleverandøren har tilbagebetalt til kommunen eller andre indskydere ved omdannelsen.
Hvis der oprindelig er ydet et indskud til finansiering af anskaffelsessummen, tillægges endvidere indskuddet.
Stk. 2.
Prisen i stk. 1 kan fraviges, hvis der er meddelt udgiftskrævende påbud efter § 89, stk. 2 og 3, § 90 og § 91,
stk. 3, eller hvis påbuddet ikke er efterkommet senest på overtagelsesdagen. Et beløb svarende til prisnedsættelsen
fradrages i det beløb og det eventuelle indskud, som er nævnt i stk. 1.
Stk. 3.
Tilsagn om ydelsesstøtte eller lignende støtte overføres til den nye friplejeboligleverandør fra overtagelses-
dagen.
Stk. 4.
Servicearealerne skal afhændes til den godkendte anskaffelsessum med fradrag af ydet servicearealtilskud.
Foreligger der ikke en godkendt anskaffelsessum, skal afhændelse ske til en pris, der svarer til ejendomsværdien ved
den seneste vurdering.
Frivillig afhændelse til fortsat anvendelse som friplejeboliger
§ 71.
Socialministeren skal godkende afhændelse af friplejeboliger til en anden friplejeboligleverandør.
Stk. 2.
Det er en betingelse for godkendelsen, at den nye friplejeboligleverandør mindst er certificeret til at yde ser-
vice og pleje i samme omfang som den nuværende friplejeboligleverandør, og at prisen for servicen og plejen forbli-
ver den samme.
Stk. 3.
§§ 68-70 finder anvendelse ved frivillig afhændelse. Hvis der ydes løbende støtte til servicearealerne, skal
afhændelse af disse ske til den godkendte anskaffelsessum, og tilsagnet om støtte overføres til den nye friplejeboligle-
verandør fra overtagelsesdagen.
Afhændelse til anden anvendelse end friplejeboliger
§ 72.
Socialministeren skal godkende afhændelse af friplejeboliger til anden anvendelse.
Stk. 2.
Hvis boligerne efter afhændelsen skal anvendes som almene plejeboliger, jf. lov om almene boliger m.v.,
skal servicearealerne afhændes til erhververen eller kommunen.
§ 73.
Ved afhændelse af friplejeboliger etableret efter § 10, stk. 1, med henblik på anvendelse af boligerne som al-
mene ældreboliger finder § 68, stk. 1, anvendelse.
Stk. 2.
Tilsagnet om ydelsesstøtte efter § 10, stk. 1, overføres til erhververen fra overtagelsesdagen, og statsgaranti-
en efter § 20 overtages af kommunen fra samme tidspunkt.
Stk. 3.
Hvis servicearealerne afhændes med henblik på fortsat anvendelse som servicearealer, finder § 68, stk. 5, an-
vendelse.
Stk. 4.
Hvis servicearealerne afhændes til anden anvendelse, skal afhændelsen ske til en pris, der svarer til ejen-
domsværdien ved den seneste vurdering. Friplejeboligleverandøren indbetaler afhændelsessummen til Landsbygge-
fonden efter fradrag af differencen mellem den godkendte anskaffelsessum og servicearealtilskuddet. Et eventuelt un-
derskud dækkes af fonden.
§ 74.
Ved afhændelse af friplejeboliger etableret efter § 10, stk. 1, med henblik på anden anvendelse end den an-
vendelse, som er nævnt i § 73, stk. 1, skal afhændelse ske til en pris, der svarer til ejendomsværdien ved den seneste
vurdering.
Stk. 2.
Friplejeboligleverandøren skal ved afhændelsen tilbagebetale lejerne den del af beboerindskuddene efter
§ 12, stk. 1, som overstiger det beløb, der svarer til det maksimale depositum og den maksimale forudbetalte leje, der
ville kunne være opkrævet efter lov om leje.
Stk. 3.
Hvis prisen efter stk. 1 overstiger indestående belåning, jf. § 68, stk. 1, 2. pkt., med tillæg af de tilbagebetalte
beløb efter stk. 2, indbetaler friplejeboligleverandøren overskuddet til Landsbyggefonden efter fradrag af indskuddet i
§ 12, stk. 1. Et eventuelt underskud dækkes af fonden.
Stk. 4.
Tilsagnet om ydelsesstøtte efter § 10, stk. 1, og statsgarantien efter § 20 bortfalder fra overtagelsesdagen.
Stk. 5.
Realkreditinstituttet kan opsige lånet i forbindelse med bortfald af støttetilsagn efter stk. 4.
Stk. 6.
§ 73, stk. 4, finder anvendelse.
§ 75.
Ved afhændelse af friplejeboliger etableret ved nybyggeri eller ombygning efter § 11, stk. 1, og friplejeboliger
etableret ved omdannelse efter § 11, stk. 2, nr. 1 eller 2, finder § 69, stk. 1, anvendelse for boligerne. Hvis servicearea-
lerne også afhændes, finder § 69, stk. 1, tillige tilsvarende anvendelse for servicearealerne.
§ 76.
Ved afhændelse af friplejeboliger etableret ved omdannelse efter § 11, stk. 2, nr. 3, til en almen boligorganisa-
tion, en selvejende almen ældreboliginstitution eller en kommune med henblik på anvendelse som almene ældreboli-
ger, skal afhændelse ske til et beløb svarende til indestående belåning, jf. § 68, stk. 1, 2. pkt., med tillæg af det beløb,
som friplejeboligleverandøren har tilbagebetalt til kommunen eller andre indskydere ved omdannelsen. Hvis fripleje-
boligbebyggelsen er en tidligere selvejende almen ældreboliginstitution, som modtog tilsagn om støtte efter kapitel 9 a
i lov om almene boliger m.v., tillægges afhændelsesprisen endvidere det indskud, som institutionen betalte til finansie-
ringen af anskaffelsessummen.
Stk. 2.
Ved afhændelse efter stk. 1 overføres tilsagn om ydelsesstøtte til erhververen fra overtagelsesdagen, og ga-
rantien, som er nævnt i § 21, stk. 1, overtages af kommunen fra samme tidspunkt.
PDF to HTML - Convert PDF files to HTML files
80
Stk. 3.
Hvis afhændelse sker til en almen boligorganisation med henblik på ombygning, skal afhændelsen ske til en
pris, der svarer til ejendomsværdien ved den seneste vurdering.
Stk. 4.
Hvis prisen efter stk. 3 overstiger indestående belåning, jf. § 68, stk. 1, 2. pkt., indbetaler friplejeboligleve-
randøren overskuddet til Landsbyggefonden efter fradrag af det beløb, som friplejeboligleverandøren har tilbagebetalt
til kommunen eller andre indskydere ved omdannelsen. Hvis friplejeboligerne er en tidligere selvejende almen ældre-
boliginstitution, som modtog tilsagn om støtte efter kapitel 9 a i lov om almene boliger m.v., har friplejeboligleveran-
døren også ret til at fradrage det indskud, som institutionen betalte til finansieringen af anskaffelsessummen. Et even-
tuelt underskud dækkes af fonden.
Stk. 5.
Ved afhændelse efter stk. 3 bortfalder tilsagnet om ydelsesstøtte og den statslige garantiforpligtelse efter
§ 21, stk. 1 eller 2, fra overtagelsesdagen.
Stk. 6.
Realkreditinstituttet kan opsige lånet i forbindelse med bortfald af støttetilsagn efter stk. 5.
Stk. 7.
Hvis servicearealerne afhændes med henblik på fortsat anvendelse som servicearealer, skal afhændelse ske til
den godkendte anskaffelsessum med fradrag af ydet servicearealtilskud. Hvis der ydes løbende støtte til servicearea-
lerne, skal afhændelsen af arealerne ske til den godkendte anskaffelsessum, og tilsagnet om støtte overføres til erhver-
veren fra overtagelsesdagen.
Stk. 8.
Hvis servicearealerne afhændes til anden anvendelse, skal afhændelsen ske til en pris, der svarer til ejen-
domsværdien ved den seneste vurdering. Friplejeboligleverandøren indbetaler beløbet til Landsbyggefonden efter fra-
drag af et beløb svarende til den godkendte anskaffelsessum fratrukket det ydede servicearealtilskud. Et eventuelt un-
derskud dækkes af fonden. Hvis der ydes løbende støtte til servicearealerne, finder 1. pkt. anvendelse. Friplejeboligle-
verandøren indbetaler afhændelsessummen til Landsbyggefonden efter fradrag af et beløb svarende til den godkendte
anskaffelsessum. Et eventuelt underskud dækkes af fonden. Tilsagnet om støtte bortfalder fra overtagelsesdagen.
§ 77.
Ved afhændelse af friplejeboliger etableret ved omdannelse efter § 11, stk. 2, nr. 3, til kommuner til anden an-
vendelse end efter § 76 og til andre end almene boligorganisationer og selvejende almene ældreboliginstitutioner skal
afhændelse ske til en pris, der svarer til ejendomsværdien ved den seneste vurdering.
Stk. 2.
Hvis prisen efter stk. 1 overstiger indestående belåning, jf. § 68, stk. 1, 2. pkt., indbetaler friplejeboligleve-
randøren overskuddet til Landsbyggefonden med fradrag af det beløb, som friplejeboligleverandøren har tilbagebetalt
til kommunen eller andre indskydere ved omdannelsen. Hvis friplejeboligbebyggelsen er en tidligere selvejende almen
ældreboliginstitution, som modtog tilsagn om støtte efter kapitel 9 a i lov om almene boliger m.v., har friplejeboligle-
verandøren også ret til at fradrage det indskud, som institutionen betalte til finansieringen af anskaffelsessummen. Et
eventuelt underskud dækkes af fonden.
Stk. 3.
Tilsagnet om ydelsesstøtte og den statslige garantiforpligtelse efter § 21, stk. 1 eller 2, bortfalder fra overta-
gelsesdagen.
Stk. 4.
Realkreditinstituttet kan opsige lånet i forbindelse med bortfald af støttetilsagn efter stk. 3.
Stk. 5.
§ 76, stk. 8, finder anvendelse.
§ 78.
Ved afhændelse af friplejeboliger etableret ved omdannelse efter § 11, stk. 2, nr. 4, til almene boligorganisati-
oner med henblik på anvendelse af boligerne som almene ældreboliger skal afhændelse ske til en pris svarende til in-
destående belåning, jf. § 68, stk. 1, 2. pkt., med tillæg af det beløb, som friplejeboligleverandøren har tilbagebetalt til
kommunen eller andre indskydere ved omdannelsen.
Stk. 2.
Tilsagn om ydelsesstøtte eller lignende støtte overføres til boligorganisationen fra overtagelsesdagen, og den
statslige garantiforpligtelse efter § 22, stk. 1 eller 2, overføres til kommunen fra samme tidspunkt.
Stk. 3.
Hvis servicearealerne afhændes med henblik på fortsat anvendelse som servicearealer, skal afhændelse ske til
den godkendte anskaffelsessum. Tilsagn om løbende støtte til etablering af servicearealerne overføres til erhververen
fra overtagelsesdagen. Foreligger der ikke en godkendt anskaffelsessum, skal afhændelse ske til en pris, der svarer til
ejendomsværdien ved den seneste vurdering.
Stk. 4.
Hvis servicearealerne afhændes til anden anvendelse, skal afhændelse ske til en pris, der svarer til ejendoms-
værdien ved den seneste vurdering.
Stk. 5.
Hvis der foreligger en godkendt anskaffelsessum, indbetaler friplejeboligleverandøren salgssummen efter stk.
4 til Landsbyggefonden efter fradrag af et beløb svarende til den godkendte anskaffelsessum. Et eventuelt underskud
dækkes af fonden. Tilsagn om løbende støtte til etablering af servicearealerne bortfalder fra overtagelsesdagen.
§ 79.
Ved afhændelse af friplejeboliger etableret ved omdannelse efter § 11, stk. 2, nr. 4, til anden anvendelse end
nævnt i § 78, stk. 1, skal afhændelse ske til en pris, der svarer til ejendomsværdien ved den seneste vurdering.
Stk. 2.
Hvis prisen efter stk. 1 overstiger indestående belåning, jf. § 68, stk. 1, 2. pkt., indbetaler friplejeboligleve-
randøren overskuddet til Landsbyggefonden efter fradrag af det beløb, som friplejeboligleverandøren har tilbagebetalt
til kommunen eller andre indskydere ved omdannelsen. Et eventuelt underskud dækkes af fonden.
Stk. 3.
Tilsagn om ydelsesstøtte eller lignende støtte og den statslige garantiforpligtelse efter § 22, stk. 1 eller 2,
bortfalder fra overtagelsesdagen.
Stk. 4
Realkreditinstituttet kan opsige lånet i forbindelse med bortfald af støttetilsagn efter stk. 3.
Stk. 5.
§ 78, stk. 4 og 5, finder anvendelse.
§ 80.
Ved afhændelse af friplejeboliger etableret ved omdannelse efter § 11, stk. 2, nr. 5, fra lette kollektivboliger til
almene boligorganisationer med henblik på anvendelse af boligerne som almene ældreboliger skal afhændelse ske ef-
ter § 78, stk. 1. Hvis der oprindelig er ydet et indskud til finansieringen af anskaffelsessummen, lægges indskuddet og-
så til.
PDF to HTML - Convert PDF files to HTML files
81
Stk. 2.
Eventuelt tilsagn om løbende støtte overføres til boligorganisationen fra overtagelsesdagen. Den garanti, som
er nævnt i § 23, stk. 3, overføres til kommunen fra samme tidspunkt.
Stk. 3.
Hvis servicearealerne afhændes, skal afhændelsen ske til en pris, der svarer til ejendomsværdien ved den se-
neste vurdering.
§ 81.
Ved afhændelse af friplejeboliger etableret ved omdannelse efter § 11, stk. 2, nr. 5, til anden anvendelse end
almene ældreboliger skal afhændelse ske efter § 79, stk. 1 og 2. Hvis der oprindelig er ydet et indskud til finansierin-
gen af anskaffelsessummen, har friplejeboligleverandøren også ret til at fradrage indskuddet.
Stk. 2.
Eventuelt tilsagn om løbende støtte og den statslige garantiforpligtelse efter § 23, stk. 1, 2 eller 3, bortfalder
fra overtagelsesdagen.
Stk. 3
Realkreditinstituttet kan opsige lånet i forbindelse med bortfald af støttetilsagn efter stk. 2.
Stk. 4.
§ 80, stk. 3, finder anvendelse.
§ 82.
Ved afhændelse af friplejeboliger etableret ved omdannelse efter § 11, stk. 2, nr. 6, fra kollektive bofællesska-
ber, jf. kapitel 12 a i lov om boligbyggeri, som i perioden fra den 1. januar 1994 til og med den 31. december 1996
modtog tilsagn om offentlig støtte efter § 86 a, stk. 1, i lov om boligbyggeri, jf. lov nr. 441 af 30. juni 1993, og som
tilhørte en selvejende institution, til anden anvendelse end almene ældreboliger skal afhændelse ske efter § 79, stk. 1
og 2. Friplejeboligleverandøren har også ret til at fradrage det oprindelig betalte indskud til finansieringen af anskaf-
felsessummen.
Stk. 2.
Eventuelt tilsagn om løbende støtte og den statslige garantiforpligtelse efter § 24 bortfalder fra overtagelses-
dagen.
Stk. 3
Realkreditinstituttet kan opsige lånet i forbindelse med bortfald af støttetilsagn efter stk. 2.
Stk. 4.
§ 80, stk. 3, finder anvendelse.
Henlæggelser til vedligeholdelse m.v.
§ 83.
Ved enhver afhændelse af friplejeboliger overtager erhververen ubrugte henlæggelser på kontiene i § 40, stk.
1, § 42, stk. 3, § 63, stk. 2, og § 64, stk. 1-3. Det samme gælder ubrugte henlæggelser på kontoen i § 10, stk. 1, i be-
kendtgørelse om drift og tilsyn med boliger og hjem for gamle, syge og svagelige samt lette kollektivboliger.
Ibrugtagelse til anden anvendelse uden afhændelse
§ 84.
Socialministeren skal godkende, at friplejeboliger ibrugtages til anden anvendelse.
Stk. 2.
For friplejeboliger etableret efter § 10, stk. 1, finder § 74 anvendelse.
Stk. 3.
For friplejeboliger etableret ved nybyggeri eller ombygning efter § 11, stk. 1, eller ved omdannelse efter
§ 11, stk. 2, nr. 1 eller 2, finder § 69, stk. 1, anvendelse.
Stk. 4.
For friplejeboliger etableret ved omdannelse efter § 11, stk. 2, nr. 3, finder § 77 anvendelse.
Stk. 5.
For friplejeboliger etableret ved omdannelse efter § 11, stk. 2, nr. 4, finder § 79 anvendelse.
Stk. 6.
For friplejeboliger etableret ved omdannelse efter § 11, stk. 2, nr. 5, finder § 81 anvendelse.
Stk. 7.
For friplejeboliger etableret efter § 11, stk. 2, nr. 6, finder § 82 anvendelse, hvis der er tale om friplejeboliger
omdannet fra kollektive bofællesskaber, jf. kapitel 12 a i lov om boligbyggeri, som i perioden fra den 1. januar 1994
til og med den 31. december 1996 modtog tilsagn om offentlig støtte efter § 86 a, stk. 1, i lov om boligbyggeri, jf. lov
nr. 441 af 30. juni 1993, og som tilhørte en selvejende institution.
Stk. 8.
Hvis der er realkreditlån i ejendommen, kan realkreditinstituttet for ejendomme omfattet af stk. 2 og 4-7 op-
sige lånet i forbindelse med socialministerens godkendelse efter stk. 1.
Henlæggelser til vedligeholdelse m.v.
§ 85.
Ved ibrugtagelse af friplejeboliger til anden anvendelse beholder friplejeboligleverandøren ubrugte henlæg-
gelser på kontiene i § 40, stk. 1, § 42, stk. 3, § 63, stk. 2, og § 64, stk. 1-3. Det samme gælder ubrugte henlæggelser på
kontoen i § 10, stk. 1, i bekendtgørelse om drift og tilsyn med boliger og hjem for gamle, syge og svagelige samt lette
kollektivboliger.
Regulering, dispensation og bemyndigelse
§ 86.
Følgende beløb reguleres efter Danmarks Statistiks totale byggeomkostningsindeks for boliger:
1) Friplejeboligleverandørens indskud, jf. § 68, stk. 1, og § 74, stk. 3.
2) Differencen mellem den godkendte anskaffelsessum og servicearealtilskuddet, jf. § 68, stk. 5, § 70, stk. 4, § 73, stk.
4, § 76, stk. 7, 1. pkt., og § 76, stk. 8, 2. pkt.
3) Det beløb, som friplejeboligleverandøren har tilbagebetalt ved omdannelsen, og det eventuelle indskud, som er ydet
til finansiering af anskaffelsessummen, jf. § 70, stk. 1, § 76, stk. 1 og 4, og § 77, stk. 2.
4) Den godkendte anskaffelsessum, jf. § 71, stk. 3, § 76, stk. 7, 2. pkt., § 76, stk. 8, 5. pkt., og § 78, stk. 3 og 5.
5) Det beløb, som friplejeboligleverandøren har tilbagebetalt ved omdannelsen, jf. § 78, stk. 1, og § 79, stk. 2.
6) Det eventuelle indskud til finansiering af anskaffelsessummen, jf. § 80, stk. 1, og § 81, stk. 1.
7) Indskuddet til finansiering af anskaffelsessummen, jf. § 82, stk. 1.
PDF to HTML - Convert PDF files to HTML files
82
§ 87.
Hvis prisen, der svarer til ejendomsværdien ved den seneste vurdering, overstiger markedsprisen, kan social-
ministeren godkende afhændelse og ibrugtagelse til anden anvendelse til en lavere pris. Dette gælder dog ikke ved af-
hændelse efter udbud.
§ 88.
Socialministeren kan i en bekendtgørelse fastsætte regler om udbud og om afhændelse m.v. af friplejeboliger,
herunder om prisen ved andre afhændelser m.v. end omhandlet i dette kapitel, videreførelse af friplejeboligejendom-
mes forskellige konti ved afhændelse m.v. og indbetaling til Landsbyggefonden.
Kapitel 10
Tilsyn med boligernes etablering, drift og økonomi samt regnskab og revision m.v.
§ 89.
Kommunalbestyrelsen fører tilsyn med friplejeboliger beliggende i kommunen og påser i den forbindelse, at
boligerne udlejes til og bebos af den berettigede personkreds, jf. § 1.
Stk. 2.
Kommunalbestyrelsen kan meddele de påbud, der skønnes at være nødvendige for at sikre friplejeboligernes
forsvarlige drift i overensstemmelse med de regler, der er fastsat herfor.
Stk. 3.
Kommunalbestyrelsen fører tilsyn med byggeriet i anlægsfasen og fører tilsyn med, at boliger og serviceareal
holdes forsvarligt ved lige. Kommunalbestyrelsen kan om fornødent meddele friplejeboligleverandøren pålæg om at
foretage vedligeholdelsesarbejder.
Stk. 4.
Friplejeboligleverandøren skal efter anmodning give socialministeren, kommunalbestyrelsen, Styrelsen for
Specialrådgivning og Social Service samt Landsbyggefonden alle nødvendige oplysninger til belysning af friplejebo-
ligernes økonomiske forhold.
§ 90.
Styrelsen for Specialrådgivning og Social Service kan påbyde friplejeboligleverandøren at overholde betingel-
serne for støttetilsagn og godkendelse. Styrelsen fastsætter en frist for efterlevelse af påbuddet.
Stk. 2.
Styrelsen for Specialrådgivning og Social Service kan meddele påbud om de i § 91, stk. 4, nævnte forhold.
Kommunalbestyrelsen udarbejder indstilling til brug for afgørelser, der træffes af Styrelsen for Specialrådgivning og
Social Service efter denne bestemmelse.
§ 91.
Friplejeboligleverandøren skal for boligerne hvert år udarbejde et årsregnskab, der skal give et retvisende bil-
lede af aktiver og passiver samt resultatet af driften. Årsregnskabet omfatter ikke servicearealet. Overskud skal anven-
des til dækning af underfinansiering eller underskud fra tidligere år. Et driftsunderskud skal i budgettet forudsættes af-
viklet over højst 3 år.
Stk. 2.
Regnskabet revideres af en statsautoriseret eller registreret revisor. Revisionen skal foretages i overensstem-
melse med god offentlig revisionsskik.
Stk. 3.
Årsregnskabet skal inden 6 måneder efter regnskabsårets afslutning sendes til lejerne. Hvis der er beboerre-
præsentation i friplejeboligerne, sendes årsregnskabet dertil. Samtidig indsendes årsregnskabet til kommunalbestyrel-
sen til kritisk gennemgang og til Landsbyggefonden. Hvis regnskabet ikke er korrekt, eller hvis det viser, at driften ik-
ke er forsvarlig, kan kommunalbestyrelsen meddele påbud om at bringe forholdet i orden.
Stk. 4.
Hvis friplejeboligleverandøren ikke efterkommer kommunalbestyrelsens påbud efter stk. 3, eller hvis kom-
munalbestyrelsen konstaterer uregelmæssigheder af væsentlig betydning for friplejeboligernes drift, skal den straks fo-
retage indberetning til Styrelsen for Specialrådgivning og Social Service.
§ 92.
Socialministeren kan i en bekendtgørelse fastsætte regler om de forhold, der er nævnt i dette kapitel.
Kapitel 11
Tilbagekaldelse og bortfald af certifikation, støttetilsagn og godkendelse
§ 93.
En certifikation kan tilbagekaldes af Styrelsen for Specialrådgivning og Social Service, hvis friplejeboligleve-
randøren
1) ikke opfylder betingelserne for certifikation, jf. kapitel 3,
2) groft eller gentagne gange undlader at efterkomme kravene i § 8, stk. 1, og § 9,
3) ikke efterkommer påbud, jf. § 5, stk. 4, § 89, stk. 2 og 3, § 90 og § 91, stk. 3,
4) ikke efterkommer kommunalbestyrelsens påbud, jf. § 151 b, stk. 2, i lov om social service,
5) har optrådt svigagtigt om forhold, der har været bestemmende for meddelelse af certifikationen, eller
6) har betydelig og forfalden gæld, der indebærer, at driftssikkerheden er i fare.
Stk. 2.
Certifikationen kan tilbagekaldes delvis, hvis friplejeboligleverandørens misligholdelse ikke vedrører alle
ydelser eller friplejeboliger omfattet af certifikationen.
Stk. 3.
Styrelsen for Specialrådgivning og Social Service kan tilbagekalde støttetilsagn meddelt efter § 10, stk. 1, og
godkendelse meddelt efter § 11, stk. 1 eller 2, hvis friplejeboligleverandøren ikke efterkommer påbud, jf. § 89, stk. 2
og 3, § 90 og § 91, stk. 3.
Stk. 4.
En afgørelse om tilbagekaldelse af certifikationen skal indeholde oplysning om klageadgangen til Ankesty-
relsen, jf. § 96, og adgangen til at begære domstolsprøvelse, jf. § 97.
Stk. 5.
Realkreditinstituttet kan opsige lånet i forbindelse med tilbagekaldelse af støttetilsagn efter stk. 3.
§ 94.
En certifikation bortfalder, hvis der afsiges konkursdekret vedrørende friplejeboligleverandøren.
PDF to HTML - Convert PDF files to HTML files
83
§ 95.
Ejes friplejeboligerne af en fysisk eller juridisk person, hvor en enkeltperson er eneejer eller har bestemmende
indflydelse, bortfalder certifikationen samtidig med, at den pågældende kommer under værgemål efter værgemålslo-
ven eller dør.
§ 96.
Styrelsen for Specialrådgivning og Social Service træffer afgørelse efter reglerne i dette kapitel. Styrelsens af-
gørelser og klager over sagsbehandlingen i forbindelse hermed kan indbringes for Ankestyrelsen, i det omfang afgø-
relsen vedrører forhold hos leverandøren i egenskab af serviceleverandør.
Stk. 2.
Ved behandling af klager over afgørelser truffet af Styrelsen for Specialrådgivning og Social Service gælder
kapitel 9 og 10 i lov om retssikkerhed og administration på det sociale område med undtagelse af §§ 57, 60-64, 72 og
73.
Stk. 3.
Klage over en afgørelse om tilbagekaldelse af en certifikation har opsættende virkning, medmindre Ankesty-
relsen bestemmer andet.
Stk. 4.
Afgørelser truffet af Ankestyrelsen om tilbagekaldelse af certifikation skal indeholde oplysning om adgangen
til at begære domstolsprøvelse, jf. § 97.
Domstolsprøvelse
§ 97.
Friplejeboligleverandøren kan inden 4 uger efter afgørelsens dato kræve afgørelsen forelagt domstolene, når
afgørelsen vedrører
1) tilbagekaldelse af certifikation, jf. § 93, stk. 1 og 2, eller
2) tilbagekaldelse af støttetilsagn og godkendelse, jf. § 93, stk. 3, vedrørende boliger og servicearealer.
§ 98.
Styrelsen for Specialrådgivning og Social Service eller Ankestyrelsen anlægger sag, jf. § 97, mod friplejebo-
ligleverandøren i den borgerlige retsplejes former.
Stk. 2.
Anmodning om sagsanlæg har opsættende virkning. Retten kan dog bestemme, at friplejeboligleverandøren
under sagens behandling ikke må udøve den virksomhed, som certifikationen vedrører. Ankes den dom, hvorved til-
bagekaldelsen findes lovlig, kan den ret, der har afsagt dommen, eller den ret, hvortil sagen er indbragt, bestemme, at
friplejeboligleverandøren ikke må udøve den virksomhed, som certifikationen vedrører, under ankesagen.
§ 99.
Socialministeren kan i en bekendtgørelse fastsætte regler om tilbagekaldelse af certifikation, støttetilsagn og
godkendelse.
Kapitel 12
Ikrafttræden
§ 100.
Loven træder i kraft den 1. februar 2007.
Stk. 2.
Tilsagn om støtte meddelt efter §§ 143 a-143 d, jf. § 143 g i lov om almene boliger m.v., og efter § 10, jf.
§ 10, stk. 2, i nærværende lov kan gives inden for en samlet bevillingskvote på 225 boliger.
§ 101.
I lov om social service, jf. lovbekendtgørelse nr. 929 af 5. september 2006, som ændret bl.a. ved § 1 i lov nr.
1584 af 20. december 2006 og senest ved § 15 i lov nr. 1587 af 20. december 2006, foretages følgende ændringer:
1.
I
§ 93, stk. 1 ,
indsættes efter »med handicap,«: »lejere og beboere i friplejeboliger, der er omfattet af lov om
friplejeboliger,«.
2.
Efter § 151 indsættes i
kapitel 26:
»§ 151 a.
Pligten til at følge op på enkeltsager og føre tilsyn, jf. § 150 og § 151, stk. 1, påhviler for lejere og beboe-
re i friplejeboliger kommunalbestyrelsen i den kommune, hvor friplejeboligerne ligger.
Stk. 2.
Som led i tilsynsforpligtelsen skal kommunalbestyrelsen hvert år foretage mindst ét anmeldt og ét uanmeldt
tilsynsbesøg i friplejeboligerne. Tilsynet omfatter indsatsen over for de lejere og beboere, der modtager kommunale
serviceydelser. Tilsynet må ikke varetages af friplejeboligleverandører eller personer, der udfører opgaver for den
friplejeboligleverandør, som tilsynet omfatter.
Stk. 3.
Efter hvert tilsynsbesøg udarbejder kommunalbestyrelsen en tilsynsrapport til sikring af, at den service, der
generelt leveres i friplejeboligbebyggelsen, er i overensstemmelse med friplejeboligleverandørens certifikation.
Kommunalbestyrelsen offentliggør tilsynsrapporten.
§ 151 b.
Konstaterer kommunalbestyrelsen ved tilsynsbesøget i friplejeboligerne, at borgeren ikke modtager den
hjælp, som denne efter afgørelsen har krav på, skal kommunalbestyrelsen orientere borgeren og den kommune, der har
truffet afgørelse efter denne lov, hvis denne ikke er identisk med beliggenhedskommunen.
Stk. 2.
Kommunalbestyrelsen kan meddele friplejeboligleverandøren de påbud, som er nødvendige for at sikre, at
hjælpen leveres i overensstemmelse med afgørelsen. Kommunalbestyrelsen skal meddele friplejeboligleverandøren, at
undladelse af at levere hjælpen i overensstemmelse med afgørelsen kan medføre indberetning til Styrelsen for Special-
rådgivning og Social Service. Hvis friplejeboligleverandøren ikke efterkommer påbuddet, indberetter kommunalbesty-
relsen straks forholdet til Styrelsen for Specialrådgivning og Social Service. Kommunalbestyrelsen udarbejder indstil-
ling til brug for afgørelser, der træffes af Styrelsen for Specialrådgivning og Social Service.«
PDF to HTML - Convert PDF files to HTML files
84
§ 102.
I lov om individuel boligstøtte, jf. lovbekendtgørelse nr. 552 af 2. juni 2006, som ændret ved § 3 i lov nr. 574
af 24. juni 2005 og § 16 i lov nr. 1584 og § 2 i lov nr. 1588, begge af 20. december 2006, foretages følgende ændrin-
ger:
1.
Overalt i loven ændres »lov om almene boliger samt støttede private andelsboliger m.v.« til: »lov om almene bo-
liger m.v.«
2.
I
§ 8 a, stk. 1,
udgår »(1998-niveau)«.
3.
§ 9, stk. 2,
affattes således:
»Stk. 2.
Boligstøtte kan ydes til følgende boliger uden selvstændigt køkken:
1) Boliger etableret i medfør af § 4 i den tidligere lov om boliger for ældre og personer med handicap, jf. lovbekendt-
gørelse nr. 316 af 24. april 1996.
2) Boliger etableret i medfør af § 110, stk. 2, i lov om almene boliger m.v.
3) Boliger i kollektive bofællesskaber, jf. kapitel 4 a.
4) Ustøttede almene plejeboliger, jf. § 143 i i lov om almene boliger m.v.
5) Ustøttede private plejeboliger, jf. § 1, stk. 5, i lov om leje.
6) Friplejeboliger.«
4.
Efter § 9 indsættes:
»§ 9 a.
For ophørte friplejeboliger, der fortsat bebos af samme lejer, finder § 9, stk. 2, og § 11, stk. 2, 2. pkt., an-
vendelse i lejeperioden.
Stk. 2.
For personer, der fortsat bor i en bolig, der ophører som friplejebolig, finder § 14, stk. 4 og 5, § 23, stk. 2 og
3, og § 39, stk. 2 og stk. 3, nr. 4, anvendelse i lejeperioden.«
5.
I
§ 11, stk. 2,
ophæves
2. pkt.,
og som
3. pkt.
indsættes:
»For friplejeboliger kan kommunalbestyrelsen indbringe spørgsmålet om lejens størrelse for huslejenævnet efter
§ 58 i lov om friplejeboliger.«
6.
I
§ 12, stk. 6,
indsættes som
2. pkt. :
»Tilsvarende gælder for friplejeboliger, der er omdannet fra plejehjem, jf. § 192 i lov om social service, botilbud, jf.
§ 108 i lov om social service, eller ustøttede private plejeboliger, jf. § 1, stk. 5, i lov om leje.«
7.
I
§ 13, stk. 1, nr. 2,
indsættes efter litra c som nyt litra:
»d) ægtefællens optagelse i en friplejebolig,«.
Litra d-f bliver herefter litra e-g.
8.
§ 14, stk. 4
og
5,
affattes således:
»Stk. 4.
Grænsen i stk. 1 anvendes ikke, hvor en person, der er berettiget til boligydelse, visiteres til en plejebolig af
kommunalbestyrelsen og bliver lejer i en friplejebolig. Grænsen anvendes heller ikke, hvor en person, der er berettiget
til boligydelse, af kommunalbestyrelsen anvises
1) en ældrebolig, jf. den tidligere lov om boliger for ældre og personer med handicap, jf. lovbekendtgørelse nr. 316 af
24. april 1996,
2) en almen bolig, jf. lov om almene boliger m.v., eller
3) en ustøttet privat plejebolig, jf. § 1, stk. 5, i lov om leje.
Stk. 5.
Den grænse, der er nævnt i stk. 1, anvendes ikke, hvor en person, der er stærkt bevægelseshæmmet, som føl-
ge heraf visiteres til en plejebolig af kommunalbestyrelsen og bliver lejer i en egnet friplejebolig. Grænsen anvendes
heller ikke, hvor en person, der er stærkt bevægelseshæmmet, som følge heraf af kommunalbestyrelsen anvises
1) en egnet ældrebolig, jf. den tidligere lov om boliger for ældre og personer med handicap, jf. lovbekendtgørelse nr.
316 af 24. april 1996,
2) en egnet almen bolig, jf. lov om almene boliger m.v., eller
3) en egnet ustøttet privat plejebolig, jf. § 1, stk. 5, i lov om leje.«
9.
§ 23, stk. 2
og
3,
affattes således:
»Stk. 2.
Grænsen i stk. 1 anvendes ikke, hvor en person, der er berettiget til boligydelse, visiteres til en plejebolig af
kommunalbestyrelsen og bliver lejer i en friplejebolig. Grænsen anvendes heller ikke, hvor en person, der er berettiget
til boligydelse, af kommunalbestyrelsen anvises
1) en ældrebolig, jf. den tidligere lov om boliger for ældre og personer med handicap, jf. lovbekendtgørelse nr. 316 af
24. april 1996,
2) en almen bolig, jf. lov om almene boliger m.v., eller
3) en ustøttet privat plejebolig, jf. § 1, stk. 5, i lov om leje.
Stk. 3.
Grænsen i stk. 1 anvendes ikke, hvor en person, der er stærkt bevægelseshæmmet, som følge heraf visiteres
til en plejebolig af kommunalbestyrelsen og bliver lejer i en egnet friplejebolig. Grænsen anvendes heller ikke, hvor
en person, der er stærkt bevægelseshæmmet, som følge heraf af kommunalbestyrelsen anvises
1) en egnet ældrebolig, jf. den tidligere lov om boliger for ældre og personer med handicap, jf. lovbekendtgørelse nr.
316 af 24. april 1996,
PDF to HTML - Convert PDF files to HTML files
85
2) en egnet almen bolig, jf. lov om almene boliger m.v., eller
3) en egnet ustøttet privat plejebolig, jf. § 1, stk. 5, i lov om leje.«
10.
I
§ 24 a, stk. 1, nr. 5,
ændres »§ 3, stk. 2-4, § 5, stk. 3-5, eller § 160 b, stk. 6, i lov om almene boliger samt støt-
tede private andelsboliger m.v.« til: »§ 3, stk. 2-4, eller § 5, stk. 3-5, i lov om almene boliger m.v. eller § 160 b, stk. 6,
i lov om almene boliger samt støttede private andelsboliger m.v., jf. lovbekendtgørelse nr. 106 af 21. februar 2005.«
11.
I
§ 24 b, stk. 1, nr. 2,
ændres »§ 3, stk. 2-4, § 5, stk. 3-5, eller § 160 b, stk. 6, i lov om almene boliger samt støt-
tede private andelsboliger m.v.« til: »§ 3, stk. 2-4, eller § 5, stk. 3-5, i lov om almene boliger m.v. eller § 160 b, stk. 6,
i lov om almene boliger samt støttede private andelsboliger m.v., jf. lovbekendtgørelse nr. 106 af 21. februar 2005«.
12.
§ 39, stk. 2,
affattes således:
»Stk. 2.
Lånebeløbet med påløbne renter forfalder dog først ved ejerskifte eller overdragelse af andelsbeviset, hvis
låntageren dør og ejendommen eller andelsbeviset ejes af en ægtefælle eller et husstandsmedlem. Det samme gælder,
hvis ejendommen eller andelsbeviset ejes af en ægtefælle eller et husstandsmedlem og låntageren optages
1) i en plejebolig efter § 1, stk. 1, 2. pkt., i den tidligere lov om boliger for ældre og personer med handicap, jf. lovbe-
kendtgørelse nr. 316 af 24. april 1996,
2) i en plejebolig efter § 5, stk. 2, i lov om almene boliger m.v.,
3) i en ustøttet almen plejebolig, jf. § 143 i i lov om almene boliger m.v.,
4) i en ustøttet privat plejebolig, jf. § 1, stk. 5, i lov om leje,
5) i en friplejebolig,
6) på plejehjem eller
7) i boformer efter § 108 i lov om social service.«
13.
I
§ 39, stk. 3, nr. 4,
indsættes efter litra d som nyt litra:
»e) i en friplejebolig,«.
Litra e og f bliver herefter litra f og g.
14.
§ 54, stk. 2,
affattes således:
»Stk. 2.
Stk. 1, 1. pkt., finder anvendelse på følgende boliger:
1) Ældreboliger indrettet i henhold til den tidligere lov om boliger for ældre og personer med handicap, jf. lovbe-
kendtgørelse nr. 316 af 24. april 1996.
2) Almene ældreboliger omfattet af lov om almene boliger m.v.
3) Boliger opført med støtte efter kapitel 12 a i lov om boligbyggeri.
4) Friplejeboliger.«
15.
I
§ 54
indsættes som
stk. 4 :
»Stk. 4.
Stk. 1, 1. pkt., finder anvendelse, når en lejer i en udlejningsejendom, der ombygges til friplejeboliger, i
forvejen bebor den ombyggede lejlighed.«
16.
I
§ 56, stk. 3,
ændres »§ 54, stk. 3« til: »§ 54, stk. 3 og 4«.
17.
I
§ 56 a, stk. 1,
ændres »§ 54, stk. 2, nr. 2« til: »§ 54, stk. 2, nr. 3«.
18.
I
§ 59, stk. 3,
indsættes efter »boligbyggeri«: »og friplejeboliger«.
19.
I
§ 61, stk. 3,
indsættes som
2. pkt.:
»1. pkt. finder ikke anvendelse ved lejemålets ophør i forbindelse med omdannelse af en bolig til en friplejebolig,
når lejeren fortsat bor i boligen efter omdannelsen.«
20.
I
§ 62
ændres »§ 71, stk. 3, i lov om almene boliger samt støttede private andelsboliger m.v.« til: »§ 112 i lov
om leje af almene boliger«.
21.
Efter § 62 indsættes:
»§ 62 a.
For personer, der fortsat bor i en bolig, der ophører som friplejebolig, videreføres lån og garanti til betaling
af beboerindskud efter boligstøtteloven på de hidtil fastsatte vilkår.«
§ 103.
I lov om almene boliger m.v., jf. lovbekendtgørelse nr. 857 af 8. august 2006, som ændret ved lov nr. 575 af
24. juni 2005, § 2 i lov nr. 222 af 22. marts 2006, § 10 i lov nr. 539 af 8. juni 2006 og § 6 i lov nr. 1584 og lov nr.
1590, begge af 20. december 2006, foretages følgende ændringer:
1.
I
§ 5, stk. 1 ,
indsættes som
nr. 14 :
»14) Friplejeboliger, som socialministeren efter lov om friplejeboliger godkender afhændet med henblik på anvendel-
se som almene ældreboliger.«
PDF to HTML - Convert PDF files to HTML files
86
2.
I
§ 78
indsættes efter stk. 4 som nyt stykke:
»Stk. 5.
Når midlerne i nybyggerifonden ikke er tilstrækkelige til at dække underskud efter § 73, stk. 4, § 74, stk. 3,
§ 76, stk. 4 og 8, § 77, stk. 2, § 78, stk. 5, og § 79, stk. 2, i lov om friplejeboliger, kan Landsbyggefonden med social-
ministerens godkendelse optage lån til at dække underskuddet. Fondens lån skal afvikles hurtigst muligt.«
Stk. 5-8 bliver herefter stk. 6-9.
3.
I
§ 78, stk. 5 ,
som bliver stk. 6, ændres »stk. 4« til: »stk. 4 og 5«.
4.
§ 89, stk. 2,
affattes således:
»Stk. 2.
Halvdelen af de beløb, der efter denne lovs § 80 a, stk.1, og § 80 c, stk.1, samt efter § 63, stk. 2, i lov om
friplejeboliger indbetales til Landsbyggefonden, overføres til landsdispositionsfonden.«
5.
§ 89 a
affattes således:
»§ 89 a.
Halvdelen af de beløb, der efter denne lovs § 80 a, stk.1, og § 80 c, stk.1, samt efter § 63, stk. 2, i lov om
friplejeboliger indbetales til Landsbyggefonden, overføres til nybyggerifonden.
Stk. 2.
Beløb, der efter denne lovs § 80 a, stk. 2, og § 80 c, stk. 2, samt efter § 63, stk. 1, i lov om friplejeboliger
indbetales til Landsbyggefonden, overføres til nybyggerifonden.
Stk. 3.
Beløb, der efter § 73, stk. 4, § 74, stk. 3, § 76, stk. 4 og 8, § 77, stk. 2, § 78, stk. 5, og § 79, stk. 2, i lov om
friplejeboliger indbetales til Landsbyggefonden, overføres til nybyggerifonden.«
6.
I
§ 89 b
indsættes efter 1. pkt.:
»Fondens formål er endvidere at dække underskud efter § 73, stk. 4, § 74, stk. 3, § 76, stk. 4 og 8, § 77, stk. 2, § 78,
stk. 5, og § 79, stk. 2, i lov om friplejeboliger.«
7.
§ 91, stk. 8,
affattes således:
»Stk. 8.
Landsbyggefonden kan efter tilsvarende regler og til samme formål som nævnt i stk. 1 yde støtte til almene
ungdomsboliger ejet af en selvejende institution, til almene ældreboliger ejet af en selvejende institution, en kommune
eller en region og til friplejeboliger etableret efter § 10, stk. 1, eller § 11, stk. 2, nr. 3, i lov om friplejeboliger.«
8.
§ 92, stk. 3 ,
affattes således:
»Stk. 3.
Landsbyggefonden kan efter tilsvarende regler og til samme formål som nævnt i stk. 1 yde støtte til almene
ungdomsboliger og til almene ældreboliger ejet af en selvejende institution, en kommune eller en region samt til
friplejeboliger etableret efter § 10, stk. 1, eller § 11, stk. 2, nr. 3, i lov om friplejeboliger.«
9.
I
§ 92 a, stk. 1,
indsættes efter »jf. § 130«: »og § 13 i lov om friplejeboliger«, og »og §§ 143 a-d« ændres til: »og
§§ 143 a-143 d samt tilsagn efter § 10, stk. 2, i lov om friplejeboliger«.
10.
I
§ 96, stk. 1,
indsættes som
3. pkt.:
»Landsbyggefonden kan betinge ydelse af støtte til friplejeboliger i henhold til § 92, stk. 3, af, at friplejeboligleve-
randøren medvirker til løsning af de pågældende friplejeboligers økonomiske problemer.«
11.
Kapitel 9 a
ophæves.
12.
I
§ 151, stk. 1 ,
indsættes som
nr. 7
og
8 :
»7) Friplejeboliger, som har modtaget tilsagn om ydelsesstøtte efter § 10, stk. 1, i lov om friplejeboliger.
8) Byggeri, som er godkendt omdannet til friplejeboliger efter § 11, stk. 2, i lov om friplejeboliger, hvis byggeriet var
omfattet af fonden på omdannelsestidspunktet.«
13.
I
§ 157, stk. 3 ,
indsættes efter 1. pkt.:
»For friplejeboliger, jf. § 151, stk. 1, nr. 7, og for byggeri omdannet til friplejeboliger, jf. § 151, stk. 1, nr. 8, kan
staten påtage sig den i 1. pkt. nævnte garanti.«
§ 104.
I lov om retssikkerhed og administration på det sociale område, jf. lovbekendtgørelse nr. 858 af 8. august
2006, som ændret senest ved § 2 i lov nr. 1585 af 20. december 2006, foretages følgende ændringer:
1.
§ 9 c, stk. 4,
affattes således:
»Stk. 4.
Opholdskommunen har ret til refusion efter stk. 1, når en person er flyttet til et tilsvarende tilbud i en anden
kommune efter
1) § 108, stk. 2, og § 192 i lov om social service,
2) § 58 a i lov om almene boliger m.v. eller
3) lov om friplejeboliger.«
2.
I
§ 43, stk. 1 ,
indsættes efter »service«: »og formue, som friplejeboligleverandøren opnår i forbindelse med le-
vering af service og pleje i friplejeboliger«.
PDF to HTML - Convert PDF files to HTML files
87
3.
I
§ 43, stk. 2 ,
indsættes efter »service«: »og for friplejeboliger«.
§ 105.
I lov nr. 454 af 10. juni 2003 om realkreditlån og realkreditobligationer m.v. foretages følgende ændringer:
1.
I
§ 5, stk. 1, nr. 3,
indsættes efter »til udlejning«: », herunder friplejeboliger«.
2.
I
§ 9, stk. 1,
indsættes efter »alment boligbyggeri«: »og friplejeboliger finansieret med realkreditlån med statslig
ydelsesstøtte«.
3.
§ 10, stk. 4, nr. 1,
affattes således:
»1) Den godkendte anskaffelsessum kan anvendes ved værdiansættelsen af ejendomme, som efter lov om almene bo-
liger m.v. realkreditbelånes på baggrund af dette beløb, og af ejendomme, som efter lov om friplejeboliger realkre-
ditbelånes med henblik på at modtage statslig ydelsesstøtte til realkreditlånet. Anvendelsen af det nævnte beløb
forudsætter, at instituttet fra offentlig myndighed opnår garantistillelser, som lov om almene boliger m.v. og lov om
friplejeboliger hjemler.«
§ 106.
I lov om leje, jf. lovbekendtgørelse nr. 395 af 2. maj 2006, som ændret senest ved § 9 i lov nr. 1584 af 20.
december 2006, foretages følgende ændring:
1.
I
§ 76
indsættes efter »jf. § 1, stk. 5, «: »eller i en friplejebolig,«.
§ 107.
I lov om ejerlejligheder, jf. lovbekendtgørelse nr. 53 af 30. januar 2006, foretages følgende ændring:
1.
I
§ 10
indsættes efter stk. 6 som nye stykker:
»Stk. 7.
Ejendomme, hvor der af socialministeren er meddelt godkendelse til etablering af friplejeboliger på en del
af ejendommen, og som ikke er omfattet af en af de øvrige bestemmelser i § 10, kan opdeles i ejerlejligheder, hvis
friplejeboligerne med sædvanlige fællesfaciliteter til brug for lejerne og det til boligerne knyttede serviceareal efter
opdelingen udgør én ejerlejlighed, jf. dog stk. 8. Ejerlejligheden kan ikke videreopdeles. Andre boliger eller lokaler til
andet end beboelse på ejendommen skal efter opdelingen udgøre én ejerlejlighed, medmindre opdeling eller videreop-
deling i ejerlejligheder kan ske efter en af de øvrige bestemmelser i § 10.
Stk. 8.
Friplejeboliger omfattet af stk. 7 og friplejeboliger, som ikke er omfattet af nogen af de øvrige bestemmelser
i § 10, kan dog opdeles i ejerlejligheder således, at friplejeboligerne med sædvanlige fællesfaciliteter til brug for lejer-
ne udgør én ejerlejlighed og det til boligerne knyttede serviceareal udgør én anden ejerlejlighed. De to ejerlejligheder
kan ikke videreopdeles. Stk. 7, 3. pkt., finder anvendelse. «
Stk. 7-9 bliver herefter stk. 9-11.
§ 108.
I lov om påligning af indkomstskat til staten (ligningsloven), jf. lovbekendtgørelse nr. 1061 af 24. oktober
2006, som ændret senest ved § 13 i lov nr. 1587 af 20. december 2006, foretages følgende ændringer:
1.
§ 7 F, stk. 1, nr. 1,
affattes således:
»1) boligstøtte ydet efter lov om individuel boligstøtte samt kompensation efter boliglovgivningen til dækning af en
lejers øgede nettoboligudgifter ved omdannelse af boligen til plejebolig eller friplejebolig,«.
2.
§ 7 F, stk. 3, ophæves.
Stk. 4 bliver herefter stk. 3.
3.
Efter § 8 K indsættes:
»§ 8 L.
Ved opgørelsen af den skattepligtige indkomst kan fradrages beløb, som efter lov om friplejeboliger er ind-
betalt til Landsbyggefonden som følge af, at huslejeindtægterne overstiger udgifterne på bygningerne opgjort efter
reglerne i lov om friplejeboliger.
Stk. 2.
Ved opgørelsen af den skattepligtige indkomst fradrages beløb, som er indbetalt til Landsbyggefonden i for-
bindelse med, at friplejeboliger eller servicearealer tilknyttet friplejeboliger er solgt eller taget i brug til anden anven-
delse efter kapitel 9 i lov om friplejeboliger.«
§ 109.
I lov om indkomstskat for personer m.v. (personskatteloven), jf. lovbekendtgørelse nr. 959 af 19. september
2006, som ændret ved § 4 i lov nr. 1577 af 20. december 2006, foretages følgende ændring:
1.
I
§ 3, stk. 2, nr. 2,
indsættes efter »8 K,«: »8 L,«.
§ 110.
Loven gælder ikke for Færøerne og Grønland.
Givet på Amalienborg, den 31. januar 2007
Under Vor Kongelige Hånd og Segl
Margrethe R.
/Eva Kjer Hansen