Transportudvalget 2012-13
TRU Alm.del Bilag 50
Offentligt
1175606_0001.png
1175606_0002.png
1175606_0003.png
1175606_0004.png
1175606_0005.png
1175606_0006.png
1175606_0007.png
1175606_0008.png
1175606_0009.png
1175606_0010.png
1175606_0011.png
1175606_0012.png
1175606_0013.png
1175606_0014.png
1175606_0015.png
1175606_0016.png
1175606_0017.png
1175606_0018.png
1175606_0019.png
1175606_0020.png
1175606_0021.png
1175606_0022.png
1175606_0023.png
1175606_0024.png
1175606_0025.png
1175606_0026.png
1175606_0027.png
1175606_0028.png
1175606_0029.png
1175606_0030.png
1175606_0031.png
1175606_0032.png
1175606_0033.png
1175606_0034.png
1175606_0035.png
1175606_0036.png
1175606_0037.png
1175606_0038.png
1175606_0039.png
1175606_0040.png
10.12TRAFIKSTYRELSEN
ANALYSE AF POTENTIALETFOR UDBYGNING AFPADBORG KOMBITERMINALENDELIG UDGAVE
ADRESSE
COWI A/SParallelvej 22800 Kongens Lyngby
TLFFAXWWW
+45 56 40 00 00+45 56 40 99 99cowi.dk
10.12TRAFIKSTYRELSEN
ANALYSE AF POTENTIALETFOR UDBYGNING AFPADBORG KOMBITERMINALENDELIG UDGAVE
PROJEKTNR.DOKUMENTNR.VERSIONUDGIVELSESDATOUDARBEJDETKONTROLLERETGODKENDT
A018678-001A018678-001-26.003.10.2012THRDJACHTHRD
ANALYSE AF POTENTIALET FOR UDBYGNING AF PADBORG KOMBITERMINAL
5
INDHOLD11.11.2233.13.23.344.14.24.355.15.25.36Konklusioner og anbefalingerHovedkonklusionerResuméBaggrund og formålBeskrivelse af Padborg kombiterminalTerminalens infrastruktur, udrustning og driftGodsstrømme og kapacitetKapacitetsbetragtningerMarkedsanalyseKonkurrencefladen til Taulov kombiterminalFremskrivning af godsmængderne på Padborgkombiterminal - tre udviklingsscenarierKonsekvenser af udviklingsscenarierneOpgraderingsbehov og anlægsoverslagOpgraderinger i henhold til "Model A"Opgraderinger i henhold til "Model B"Andre opgraderingsmulighederHuslejemæssige konsekvenser7781214151718212222262727303035
6
ANALYSE AF POTENTIALET FOR UDBYGNING AF PADBORG KOMBITERMINAL
BILAGBilag ABilag BBilag CBilag DKort over Padborg kombiterminalFaktaark om Padborg kombiterminalListe over gennemførte interviewsReferencer37383940
P:\Rapport_Padborg kombiterminal_031012_Final.docx
ANALYSE AF POTENTIALET FOR UDBYGNING AF PADBORG KOMBITERMINAL
7
1
Konklusioner og anbefalinger
1.1
Hovedkonklusioner
En markedsanalyse har vist, at der kan forventes stigende godsmængder på kombi-terminalen i Padborg i de kommende år. Markedsanalysen har tillige vist, at denforventede stigning i godsmængderne på jernbane hovedsageligt vil bestå i en over-flytning af internationale transporter, der i dag køres med lastbiler.Analyser af kapaciteten på Padborg-terminalen har vist, at den i dag opererer tæt påkapacitetsgrænsen, og der således er behov for en opgradering af kombiterminalenhvis den skal kunne imødekomme de forventede stigende godsmængder i fremti-den.Der er jf. kommissoriet undersøgt to forskellige modeller. En model A, hvor dersker en mindre udbygning af terminalen og en væsentlig dyrere model B, hvor ter-minalen udbygges med flere spor mv.Det er vurderingen, at model A på kort sigt dækker kapacitetsbehovene. Såfremt dekommende år viser stor vækst i godsmængderne kan det evt. overvejes at udbyggeterminalen yderligere ved f.eks. at inddrage arealer i tilknytning til terminalen.Dette skal ses i lyset af den uafklarede situation omkring de overordnede trafik-strømme efter ibrugtagningen af den faste Femern Bælt-forbindelse samt den usik-kerhed der trods alt gælder i forhold til de faktiske godsmængder på terminalen ifremtiden.Det estimerede investeringsbehov for model A er i størrelsesordenen 10,5 mio. kr.,hvoraf størstedelen anvendes på at muliggøre håndtering af længere tog og at etab-lere belægning på terminalens østlige depotområde. Opgraderingen medvirker så-ledes til både at øge terminalens kapacitet og at optimere de driftsmæssige forhold.Hvilken huslejemodel Banedanmark vælger at anvende overfor terminaloperatørenbør være et forhandlingsanliggende mellem de to parter. Men de driftsøkonomiskeprincipper, som ligger til grund for Banedanmarks huslejemodel, står i denne kon-krete sammenhæng overfor nogle mere samfunds- og markedsøkonomiske interes-ser, og en "tilpasset huslejemodel" bør danne udgangspunktet for forhandlingerne.Det skal i den sammenhæng bemærkes, at TX Logistik, som driver terminalen idag, har oplyst, at selskabet er indstillet på at acceptere en huslejestigning, såfremtterminalen opgraderes.
8
ANALYSE AF POTENTIALET FOR UDBYGNING AF PADBORG KOMBITERMINAL
1.2
Resumé
1.2.1 Baggrunden - Kommissoriet bag arbejdetMed baggrund i kommissoriet for analysen er der gennemført analyser af behovetfor en fremtidig opgradering af kombiterminalen. De konkrete forhold, som er øn-sket belyst omfatter følgende:
I hvilken grad en vil en opgradering af kombiterminalen i Padborg vil styrkejernbanegodstrafikken i regionen?Hvad er behovet for en opgradering af terminalen?Hvilke konkrete løsninger til udvidelse af kapaciteten kan foreslås, og hvad vilanlægsomkostningerne være, idet der beskrives to modeller:
Model A, oprindeligt anslået til 5-7 mio. kr., der omfatter etablering aflængere læssespor og belægning imellem disse, en mindre opgradering afdet kommunale stamspor, inklusive belysning og anlæggelse af en stilangs sporet. Endelig forudsættes udført flere belægningsarbejder på detnuværende areal samt et nyt hegn, videoovervågning og porteModel B oprindeligt anslået til ca. 30 mio. kr., der supplerer model A ogdesuden indebærer en udvidelse af arealet for kombiterminalen i Padborgsamt etablering af flere nye spor og mere plads til parkering af trailere ogcontainere.
Hvad vil de huslejemæssige konsekvenser være for terminaloperatøren?
Derudover er undersøgt, hvordan ændringer i udvalgte rammebetingelser eventueltvil influere på godsstrømmene på terminalen i fremtiden.Analyserne af Padborg kombiterminal indgår i øvrigt delvist i Trafikstyrelsens ar-bejde omkring East West Transport Corridor II.
1.2.2 Udviklingen i godsmængderne på terminalenPå baggrund af en markedsanalyse er der foretaget en vurdering af trafikudviklin-gen på terminalen. Uanset om der anlægges en forsigtig eller optimistisk betragt-ning, vil godsmængderne i de kommende år overstige terminalens nuværende ka-pacitet. Selvom der reelt har fundet en overflytning af gods sted fra Taulov- tilPadborg-terminalen igennem de seneste år, er det ikke COWIs vurdering, at detdrejer sig om betydelige mængder. Endvidere er der med baggrund i markedsana-lysen ikke grundlag for at konkludere, at den forventede vækst i godsmængdernepå Padborg-terminalen i nogen væsentlig udstrækning vil komme til at bestå i over-flyttet gods fra Taulov-terminalen. Der vil hovedsagligt være tale om gods i nyemarkedsrelationer og i markedssegmenter, hvor lastbiltransport er den helt overve-jende transportform. Det er vurderingen, at prisniveauet på de to terminaler er no-genlunde ens i dag, men en overflytning af gods mellem de to terminaler, som iøvrigt deler oplandsområde, kan muligvis finde sted, såfremt der opstår en situationmed en markant prisdifference mellem de to terminaler.
P:\Rapport_Padborg kombiterminal_031012_Final.docx
ANALYSE AF POTENTIALET FOR UDBYGNING AF PADBORG KOMBITERMINAL
9
I relation til ændringer i rammebetingelserne viser markedsanalysen, at det der isidste ende der kommer til at afgøre, hvorvidt jernbanen vil komme til at stå rela-tivt stærkere eller svagere i forhold til vejtransporten i fremtiden, vil være den sam-lede effekt af at dels fjerne miljøtilskuddet til godsbanetransporten, dels indførevejafgifter for lastbilerne og dels størrelsen af jernbaneinfrastrukturafgifterne1. Enforbedring af jernbanens konkurrenceevne i forhold til lastbilerne kan medvirke tilat rykke gods fra Padborg til andre terminaler, som eksempelvis Taulov. Et særligtvigtigt forhold er Padborg-terminalens fremtidige rolle som gateway og hub fortransporter til og fra de Skandinaviske markeder. Med ibrugtagning af den fasteFemernbælt-forbindelse er i risiko for at disse transporter vil blive omlagt til andreruter, og terminalen derfor vil miste disse transit-godsmængder.Det er imidlertid vurderingen, at de relevante rammevilkår for banetransport ikkeindenfor de nærmeste år markant vil ændre konkurrenceforholdet mellem bil og togi Danmark. Derfor forudses den rolle og funktion som Padborg-terminalen har i detoverordnede transport- og logistiksystem at fortsætte frem til den faste Femern-forbindelse er etableret. Derefter er det uklart, hvordan transportmønstrene forkombitransporterne i samt til, fra og igennem Danmark vil komme til at tage sigud.
1.2.3 TerminalkapacitetenDen nuværende udformning af terminalen sætter nogle begrænsninger for en væ-sentlig forøgelse af de håndterede godsmængder. Begrænsningerne skyldes isærdepotkapaciteten og længden af læssesporene. Terminalen opererer i dag tæt pågrænsen af dens maksimumkapacitet og kun en mindre stigning i trafikkerne villede til, at driften ikke kan gennemføres under optimale forhold. En udbygning afterminalens kapacitet må derfor betragtes som en forudsætning for realisering af depotentialer, som markedsanalysen har identificeret, og som findes afspejlet i prog-nosen.
1.2.4 Udbygningsforslag og anlægsomkostningerI relation til de konkret udbygningsforslag er det vurderingen, at Model A som dener skitseret i kommissoriet, vil føre til en kapacitetsforøgelse på ca. 10.000 - 15.000TEU årligt. Dermed vil kapaciteten være tilstrækkelig til at rumme mængderne imiddel-scenariet samtidig med, at driften kan foregå under optimale forhold.Skulle det vise sig, at godsmængderne stiger mere, vil det være muligt at udbyggedepot- og henstillingsarealerne successivt på området øst for terminalen, der allere-de er udlagt af kommunen til den type anvendelse.COWI har foretaget et nyt anlægsskøn, hvor det er vurderet, at en udbygning sva-rende til Model A, vil beløbe sig til ca. 10,5 mio. kr. Tabel 1 herunder angiver,hvilke elementer, der er medtaget udbygning.
1
De fremtidige baneafgifter er aktuelt i høring jf. bekendtgørelse om betaling for brug afstatens banenet og om miljøtilskud til godstransport på jernbane.
10
ANALYSE AF POTENTIALET FOR UDBYGNING AF PADBORG KOMBITERMINAL
InvesteringsanliggendeForøgelse af terminalområdet mellem læsse-sporeneKonvertering af "øen"Belægning på østligt depotområde, inkl. p.t.udlejet områdeSikkerhed (videoovervågning, hegn)I altTabel 1:
Estimeret om-kostning3,2 mio.0,6 mio.5,0 mio.1,7 mio.10,5 mio.
Skønnede anlægsomkostninger til opgradering af Padborg kombiterminal inkl. 50%usikkerhedstillæg.
Porte ved gaten er medtaget som en del af Model A, men operatøren af terminalenhar for nyligt etableret nye sådanne. Ligeledes er belysning langs det kommunalestamspor indeholdt i Model A, men dette er også allerede etableret. For så vidt an-går omkostninger til vedligeholdelse af det "kommunale stamspor" samt etableringaf rangersti langs dette spor bør det afklares, om dette er en omkostning, der påhvi-ler udlejer eller lejer, og om også huslejemodellen bør finde anvendelse i dennesammenhæng, eller om dette er en basisydelse for en infrastrukturforvalter.
1.2.5 Yderligere opgraderingsmulighederEtablering af kørestrøm kan medvirke til at optimere driften på terminalen, mendenne investering er ikke omfattet af Model A i kommissoriet, og derfor heller ikkemedtaget i anlægsoverslaget. Det samme gælder en række andre funktionalitets-fremmende tiltag, herunder photo- og self-gate-system, bomanlæg, energiforsyningtil køleenheder og automatiske bremseprøveanlæg. Investering i disse ekstra funk-tionaliteter vil løseligt anslået beløbe sig til mellem 3 og 5 mio. kr. i alt.Som følge af dels den uafklarede situation omkring de overordnede trafikstrømmeefter ibrugtagningen af den faste Femernbælt-forbindelse, dels den generelle usik-kerhed der er knyttet til prognoserne for de fremtidige godsmængder på terminalenog i lyset af den væsentlige kapacitetsudvidelse som en Model A vil medføre, an-befales det ikke at iværksætte en større ombygning af terminalen, sådan som det erskitseret med kommissoriets Model B. Der er derfor ikke foretaget vurderinger afanlægsomkostninger i relation hertil. Der er dog den helt umiddelbare vurdering afet beløb på de nævnte 30 mio. kr. ikke vil være tilstrækkeligt til både at ombyggeterminalen og at anlægge nye og flere spor.
1.2.6 De huslejemæssige konsekvenserMed hensyn til vurderingerne af de huslejemæssige konsekvenser tages udgangs-punkt i en udbygning svarende til Model A i kommissoriet samt yderligere depot-udvidelse. Det er vurderingen, at der ikke realistisk set vil være mulighed for atopnå fuld omkostningsdækning, endsige en forrentning som svarer til, hvad deralmindeligvis lægges til grund i Banedanmarks huslejemodel gennem den opkræ-vede husleje hos lejer (terminaloperatøren) på kortere eller længere sigt. Søgesdenne model gennemført vil omkostningerne til terminaldriften blive så store, at
P:\Rapport_Padborg kombiterminal_031012_Final.docx
ANALYSE AF POTENTIALET FOR UDBYGNING AF PADBORG KOMBITERMINAL
11
der ikke vil kunne opnås rentabilitet samlet set, og terminaloperatøren sandsynlig-vis vil standse sine aktiviteter på Padborg-terminalen.Hvilken huslejemodel Banedanmark vælger at anvende overfor terminaloperatøren,bør være et forhandlingsanliggende mellem de to parter. Men de driftsøkonomiskeprincipper, som ligger til grund for Banedanmarks huslejemodel, står i denne kon-krete sammenhæng overfor nogle mere samfunds- og markedsøkonomiske interes-ser, og en tilpasset huslejemodel bør danne udgangspunktet for forhandlingerne.Det skal i den sammenhæng bemærkes, at TX Logistik, som driver terminalen idag er indstillet på at acceptere en huslejestigning, såfremt terminalen opgraderes.
12
ANALYSE AF POTENTIALET FOR UDBYGNING AF PADBORG KOMBITERMINAL
2
Baggrund og formål
Baggrunden for nærværende rapport er et kommissorium udarbejdet af Transport-ministeriet vedrørende kombiterminalen i Padborg. Ifølge kommissoriet ønskesafdækket "i hvilken grad en udvidelse af kapaciteten på kombiterminalen i Padborgvil kunne bidrage til mere gods på bane – samt om den evt. nyskabte trafik primærtudgøres af gods, der flyttes fra vej til bane, og som ville kunne overflyttes fra vej tilbane på de øvrige terminaler, der findes og planlægges på det danske jernbanenet".Kommissoriet foreskriver, at der gennemføres en hurtig undersøgelse, der skal ind-befatte en markedsundersøgelse og give svar på, i hvilken grad en opgradering afkombiterminalen i Padborg vil styrke jernbanegodstrafikken i regionen. Analysenskal dels kortlægge behovet for en opgradering af terminalen, dels opstille konkreteløsningsforslag til udvidelse af kapaciteten i Padborg, dels belyse investeringsbe-hov og huslejemæssige konsekvenser.I kommissoriet beskrives to modeller for en eventuel udvidelse af kapaciteten iPadborg. "Model A", der oprindeligt blev anslået at kunne gennemføres for om-kring 5-7 mio. kr., indebærer etablering af længere læssespor og belægning imel-lem disse. Derved muliggøres en forøgelse af toglængden, der vil kunne betjenespå terminalen fra de ca. 650 til 835 meter. Desuden rummer denne model en min-dre opgradering af det kommunale stamspor, inklusive belysning og anlæggelse afen sti langs sporet. Endelig forudsættes udført flere belægningsarbejder på det nu-værende areal, ligesom et nyt hegn, videoovervågning og porte af samme slags sometableret på terminalerne i Høje Taastrup og Taulov i 2011.Den anden model for udvidelse, "Model B", blev oprindelig anslået til at kunnegennemføres for omkring 30 mio. kr. Med denne løsning suppleres Model A- løs-ningen med en udvidelse af arealet for kombiterminalen i Padborg, og der etableresflere nye spor og mere plads til parkering af trailere og containere.Der kan undersøges forskellige forslag til sporlayout, men en fordobling af læsse-sporslængden forventes mulig. Model B forventes at give kapacitet til samtidighåndtering af op til fire tog på terminalen på samme tid. Denne løsning kan ogsåsuppleres med lagerfaciliteter for nye godsformer (eks. stykgods), hvilket vil givemulighed for yderligere vækst for terminalen.
P:\Rapport_Padborg kombiterminal_031012_Final.docx
ANALYSE AF POTENTIALET FOR UDBYGNING AF PADBORG KOMBITERMINAL
13
Udarbejdelsen af rapporten samt de tilhørende analyser er gennemført i løbet afaugust og september 2012. Det skal bemærkes, at alene hovedresultaterne fra mar-kedsanalysen findes gengivet i denne rapport, da den indeholder forretningsmæs-sigt følsomme og dermed fortrolige oplysninger, og deltagerne i undersøgelsen harudtalt sig med et tilsagn om at de er sikret anonymitet.Udover ovennævnte hovedformål har undersøgelsen også haft til hensigt at under-søge betydningen af ændring af udvalgte rammebetingelserne for godstransport.
14
ANALYSE AF POTENTIALET FOR UDBYGNING AF PADBORG KOMBITERMINAL
3
Beskrivelse af Padborg kombiterminal
Kombiterminalen i Padborg er beliggende ca. 2½ km fra den dansk/tyske grænse.For togdriften udgør denne også en teknisk systemgrænse, idet kørestrøm- og tog-kontrolsystemerne er forskellige på hver side af landegrænsen. Afstanden mellemkombiterminalen og Padborg station er ca. 2 km. Der er også kun få kilometersafstand til det overordnede vejnet (E45).Padborg har på grund af den tidligere toldekspedition ved grænsen historisk setudgjort et knudepunkt for godstransport til og fra Danmark. Denne knudepunkts-funktion er opretholdt, og der forefindes en vifte af større og mindre nationalt oginternationalt orienterede transport- og logistikvirksomheder samt vognmænd i om-rådet omkring Padborg.Kombiterminalen i Padborg blev etableret af DSB i 1987. Efter at have været dre-vet af DSB Gods/Railion Danmark lå den en del år ubenyttet hen, men i 2007 gen-optog transportvirksomheden Bring (tidligere Frigoscandia) sammen med togope-ratørselskabet TX Logistik2driften på ny. I 2011 besluttede TX Logistik sig for atovertage terminaldriften i stedet for Bring.Kombiterminalens ejerskab overgik fra DSB til Banedanmark i 2011. Terminalenog driften er omfattet af "Bekendtgørelse om modtagepligt på kombiterminaler"ligesom tilfældet er for de to øvrige - og noget større - statsejede kombiterminaler ihenholdsvis Taulov og Høje Taastrup. Det betyder, at terminaloperatøren er pligtigtil at stille kombiterminalen og tilhørende funktioner og serviceydelser (f.eks. sporklargøringsfaciliteter, løftekapacitet, adgangsveje, henstillingspladser) til rådighedfor jernbanevirksomheder mod betaling på lige og ikke diskriminerende vilkår efterde regler, der er anført i bekendtgørelsen.
2
TX Logistik er ejet af det italienske statsejede jernbaneselskab FS. TX Logistik har dannetet dansk datterselskab (TX Logistik Dänemark), som ejes af det tyske moderselskab TXLogistik AG, hjemhørende i Bad Honnef i delstaten Nordrhein-Westfalen.
P:\Rapport_Padborg kombiterminal_031012_Final.docx
ANALYSE AF POTENTIALET FOR UDBYGNING AF PADBORG KOMBITERMINAL
15
3.1
Terminalens infrastruktur, udrustning og drift
Kombiterminalens overordnede indretning, udrustning og de aktuelle driftsforholdbeskrives kort i det følgende. En oversigt over terminalen er vist i figur 1 nedenfor.Desuden findes et kort over terminalen i bilag A og en mere detaljeret oversigt overterminalens funktionelle områder, størrelser samt udstyr og anslåede kapacitet ervedlagt som bilag B.
Figur 1:
Oversigt over Padborg kombiterminal. (Foto: COWI).
Kombiterminalen er udstyret med to læssespor med en samlet længde på ca. 650meter. Nord for terminalen forefindes et depot/rangerspor ("kommunalt stam-spor")3af ca. 750 meters længde, og umiddelbart vest for terminalen et andet de-
3
Der er i realiteten ikke tale om et kommunalt stamspor i traditionel forstand (dvs. ejet afkommunen og stillet til rådig for bl.a. lokale virksomheder). Sporet er ejet af en gruppe afvirksomheder i området, samt af Banedanmark.
16
ANALYSE AF POTENTIALET FOR UDBYGNING AF PADBORG KOMBITERMINAL
potspor (det såkaldte "militærspor") på omkring 600 meter. Tre forskellige stederer der etableret adgangsvej på tværs af det østlige læssespor for at skabe adgang tildet østlige depotområde.Som følge af læssesporenes begrænsede længde er det nødvendigt at rangere an-komne og afgående tog ind og ud af terminalen i flere operationer. Desuden måvognstammen i det østlige depotspor splittes i tre dele for at holde de tværgåendepassager til depotområdet mod øst åbne. Dette nødvendiggør yderligere et antalrangeringer og bringer den samlede tid forbrugt på rangering af et helt tog mellemPadborg station og terminalen op på ca. 45 minutter. Rangering udføres af en un-derleverandør. Strækningslokomotiverne har ikke mulighed for at køre helt frem tilterminalen i dag, men må til- og frakobles på Padborg station, fordi der ikke fore-findes kørestrøm på de spor, der forbinder terminalen til det øvrige banenet ogPadborg station.Arealerne imellem læssesporene og øst herfor benyttes til midlertidig henstillings-område for lasteenheder4og som intern transportvej for løftegrej (2 reachstackere)og positioneringsmateriel (1 terminaltraktor) samt ind- og udgående lastbiler. Denøstligste del af terminalen, dvs. øst for det østlige læssespor, anvendes i dag til de-pot for (primært) containere. Dette areal er belagt med grus, og som følge heraf kanmobilt løftegrej (især reachstackere) ikke anvendes under alle vejrforhold.Ud fra en overordnet driftsmæssig betragtning og i relation til en eventuel udvidel-se af driftsomfanget er terminalen begrænset af de korte læssespor på terminalen,de vanskelige adgangsforhold til det østlige depotområde og af et forholdsvis lille -og ikke funderet - depotområde øst for det østlige læssespor. I det hele taget er dearealområder, der er til rådighed på terminalen til henstilling af lasteenheder for-holdsvis begrænsede, hvilket medfører, at der i perioder med høj produktivitet måforetages en del ompositionering på - og til tider også udenfor - terminalens områ-de.Selvom den maksimalt tilladte toglængde i Danmark i dag er 835 meter, (lokomo-tiv medregnet og ca. 815 meter uden) udgør læssesporenes samlede længde på ca.650 meter i praksis ikke nogen hindring, bortset fra at togstammer skal sammen-sættes af, henholdsvis opbrydes i, to vognstammer. De tog, der aktuelt opereres påterminalen er typisk mellem 450 og 520 meter. At de ikke er længere skyldes, attogets maksimale vægtgrænse nås ved denne længde, hvilket igen hænger sammenmed de varearter der transporteres og vægten heraf5.Udover ovennævnte består terminalen af en manuel check-in gate, en administrati-ons- og velfærdsbygning samt en depot/lagerbygning. TX Logistik har i dag ansatotte medarbejder til at varetage driften.
45
Begrebet "lasteenheder" dækker over både semitrailere, containere og veksellad.En betydelig del af de varer der transporteres via terminalen i Padborg består af fødevarer,heraf en del kølevarer samt byggematerialer.
P:\Rapport_Padborg kombiterminal_031012_Final.docx
ANALYSE AF POTENTIALET FOR UDBYGNING AF PADBORG KOMBITERMINAL
17
Generelt fremstår terminalen og tilhørende bygninger velholdt og i en god stand.Dog er nogle sveller i læssesporene i dårlig forfatning. TX Logistik oplyser i øv-rigt, at der mangler at blive etableret en sti langs det nordlige depotspor (det"kommunale stamspor") til brug for rangerpersonalet. Der forefindes ingen elek-tronisk overvågning af terminalen i dag og heller ikke mulighed for at forsyne par-kerede lasteenheder med hverken diesel eller el. Der er ingen parkeringsmulighederfor de ankomne lastbiler foran opmarchområdet ved terminalens gate. Det skaberifølge TX Logistik jævnligt problemer med ind- og udkørslen til Istedvej.I relation til terminalens disponible arealer skal det bemærkes, at et mindre areal(ca. 1.500 m2) i den sydlige ende af terminalen er tilvokset, og derfor ikke kan an-vendes til terminalrelaterede formål. Et område på omtrent samme størrelse inden-for terminalens område er udlejet af Banedanmark til 3. part6. Bov Kommune (nuAabenraa Kommune) har reserveret de kommunalt ejede arealer øst for kombiter-minalen til kombiterminal-relaterede formål7.
3.2
Godsstrømme og kapacitet
Siden TX Logistik sammen med Bring overtog driften og trafikkerne til og frakombiterminalen i Padborg, har mængderne været støt stigende, som det ogsåfremgår af tabel 1 herunder. Således blev der i 2007 blot håndteret 1.084 TEU,mens antallet af løftede TEU i 2011 var 23.946. Det er forventningen hos TX Logi-stik, at dette tal vil stige til omkring 34.000 TEU8i 2012.ÅrAntal TEU i altTabel 2:
20071.084
20087.806
200912.685
201021.656
201123.946
2012(34.000)
Antal håndterede TEU på terminalen i Padborg fra 2007-2012. Mængderne i 2012 erbaseret på en prognose (Kilde: TX Logistik - omregnet af COWI).
Langt hovedparten, dvs. ca. 95% af de lasteenheder, der håndteres på terminalen idag, er semitrailere. Kun ca. 5% af enhederne udgøres af containere. Derudoverpasserer et beskedent antal veksellad ind over terminalen.
Der er tale om et lejemål til en lokal transportvirksomhed. Lejemålet er ifølge Banedan-mark omfattet af et opsigelsesvarsel på 1 måned.7Ifølge Bov Kommunes lokalplan 1/14-1 (fra 1987) er området udlagt til terminalområdefor håndtering af kombinerede transporter samt bygninger og anlæg som efter kommunal-bestyrelsens skøn har direkte tilknytning til ovennævnte aktivitet.8TEU (twenty foot equivalent unit) er en måleenhed for skibscontainere, og enheden an-vendes ofte til at angive kapaciteten på terminaler. De forskellige lasteenheder kan omreg-nes til enheden TEU. Således svarer en semitrailer til ca. 1,8 TEU. Med den nuværendesammensætning af trailere og containere, dvs. ca. 95% trailere og 5% containere (30-fod),udgør en gennemsnitlig håndteret lasteenhed på terminalen 1,694 TEU.
6
18
ANALYSE AF POTENTIALET FOR UDBYGNING AF PADBORG KOMBITERMINAL
Togtrafikken til og fra terminalen består i dag af (i alt begge retninger) 12-14 togpr. uge9. Det betyder, at selv mindre udvidelser af togtrafikkerne - f.eks. et enkeltfast ugentligt rundløb med 26 vogne til og fra Padborg-terminalen vil aflede ca.4.250 TEU på årsbasis og således resultere i en stor procentvis stigning i omsæt-ningen, til trods for, at der reelt er tale om forholdsvis små mængder10.
3.3
Kapacitetsbetragtninger
Kapaciteten på en terminal som den i Padborg er reelt bestemt af den af termina-lens enkeltkomponenter (læssespor, depotspor, depot- og henstillingsområder, løf-tekapacitet, mv.), med den laveste kapacitet. Et almindeligt udtryk for kapacitetener den mængde TEU, der maksimalt kan håndteres på terminalen på et år. Der børskelnes mellem den teoretiske og den faktiske kapacitet, idet en maksimal udnyttel-se vil være forbundet med en suboptimal drift, fordi flaskehalsproblemer medføreret relativt set for højt forbrug af ressourcer (f.eks. ompositioneringer, flere løft pr.enhed) samt stor risiko for at der opstår kvalitetsbrist. Den faktiske kapacitet erderfor udtryk for hvor mange enheder, der gennemsnitligt kan håndteres på termi-nalen dagligt under forudsætning om en optimal drift.I praksis vil der være variationer i aktivitetsniveauet bestemt af, med hvilke inter-valler togene afgår og ankommer til læsning. Der vil typisk være tale om periodermed høje henholdsvis lave aktivitetsniveauer, og i nogle tilfælde vil terminalenoperere på et niveau, der overstiger, hvad der betragtes som det gennemsnitligtmaksimale. I Padborg sker dette eksempelvis i weekenderne, hvor der modtages opmod 140-180 trailere11.Det er vurderingen, at det reelle faktiske kapacitetsloft på Padborg-terminalen lig-ger på mellem 35.000 og 45.000 TEU pr. år12. Den teoretiske kapacitet er væsent-ligt højere (antageligt 75.000-100.000 TEU pr. år), men som understreget, vil ensådan kapacitet kun kunne udnyttes over ganske korte perioder.Ifølge TX Logistik er det i praksis muligt at håndtere 2-3 fuldtlastede tog pr. dag påterminalen svarende til ca. 130 TEU, men kun med store ekstraomkostninger (per-sonale og tid) til følge.
9
Togtrafikken i dag udgøres af: 5 afgående og ankomne mellem Padborg og Verona pr.uge, 1 (delvist) transittog mellem Halden (Norge) og Verona pr. uge samt 1 containertog ca.hver 2. uge.10Til sammenligning håndteres der omkring 75.000 TEU på Høje Taastrup-terminalen (i2011).11Oplyst af TX Logistik, der tilføjer, at dette giver betydelige problemer grundet manglen-de depot/henstillingskapacitet.12Kapacitetsloftet på 35.000-45.000 TEU pr. år er vurderet ud fra en antagelse om en ud-nyttelse af depot og henstillingsarealerne på 50-60% af de disponible arealer til henholdsvishenstilling og deponering af trailere og fuld udnyttelse af det eksterne depot samt ca. 1.500m2på det østlige depotområde til containere.
P:\Rapport_Padborg kombiterminal_031012_Final.docx
ANALYSE AF POTENTIALET FOR UDBYGNING AF PADBORG KOMBITERMINAL
19
De overordnede kapacitetsbetragtninger og estimater over maksimal kapacitet påterminalen er summeret i nedenstående tabel.Maksimal terminalkapacitetTeoretisk kapacitetFaktisk kapacitetTabel 3:
Antal TEU pr.år75.000-100.00035.000-45.000
Antal TEUpr. dag225-300105-135
Estimater over teoretisk og faktisk kapacitet på Padborg kombiterminal i dag.(Kilde: COWIs egne beregninger).
Det har ikke været muligt at finde andre detaljerede opgørelser over terminalkapa-citeten på Padborg-terminalen, dog henvises i en rapport fra Erhvervs- og Boligsty-relsen13fra 2003 til en undersøgelse under PACT 2-programmet af danske kombi-terminalers kapacitet. Ifølge denne er den maksimale kapacitet på Padborg-terminalen opgjort til (omregnet) ca. 60.000 TEU årligt. TX Logistiks egen vurde-ring er terminalens kapacitetsloft i underkanten af COWIs estimat, nemlig ca.25.000 - 35.000 TEU årligt.Sammenholdes ovennævnte estimater over den maksimale kapacitet på Padborgkombiterminal med de godsmængder der aktuelt håndteres, og som TX Logistikforventer håndteret i 2012, er det vurderingen, at kapaciteten på Padborg kombi-terminal må betragtes som værende tæt på fuldt udnyttet.
3.3.1 Terminalens oplandsområdeMarkedsanalysen, der er gennemført i sammenhæng med denne rapport, har vist, atPadborg kombiterminals primære oplandsområde strækker sig til hele Danmark,dvs. hele Jylland, men også Fyn og Sjælland. Det er vurderingen ud fra de gennem-førte interviews, at tyngden ligger i det sønderjyske samt i mindre grad i det nord-tyske område.
3.3.2 Terminalens rolle og funktion i det overordnedetransportsystemEn del af de transport- og logistikvirksomheder, som findes i Padborg, er brugereaf kombiterminalen i dag. Men det gods som disse transportører fragter, har hver-ken oprindelse eller destination i Padborg-området. På baggrund af informationerindsamlet gennem interviews med markedsaktører, der benytter terminalen, tegnerder sig et billede af, at den fungerer som omladningspunkt for transporter med op-rindelse eller destination i Norge og Sydsverige samt Island. Noget af dette transit-gods køres med lastbil direkte til og fra Sverige, mens andet går via jyske havne tilog fra Norge. Derudover køres noget gods med tog mellem Norge og Italien viaPadborg. Disse tog udnytter den fordel, der ligger i at kunne kombinere gods mel-
13
I rapporten "Godstransport,Optimering af omladning"er anført 35.000 løft som denmaksimale kapacitet på Padborg-terminalen. Det fremgår dog ikke om der er tale om denteoretiske eller faktiske maksimale kapacitet.
20
ANALYSE AF POTENTIALET FOR UDBYGNING AF PADBORG KOMBITERMINAL
lem forskellige relationer undervejs - f.eks. fra Tyskland (hvor toget også stopper)til Norge eller Danmark til Norge.På den måde fungerer terminalen i realiteten som en såkaldt gateway og hub, hvorgods konsolideres, distribueres og overflyttes mellem tog til og fra forskellige de-stinationer.
P:\Rapport_Padborg kombiterminal_031012_Final.docx
ANALYSE AF POTENTIALET FOR UDBYGNING AF PADBORG KOMBITERMINAL
21
4
Markedsanalyse
I tiden hvor terminalen blev opereret af Bring, var denne virksomhed den enestebruger. Med TX Logistiks overtagelse af driften i 2011 er dette billede ændret mar-kant, og i dag benytter en forholdsvis bred vifte af transportvirksomheder Padborgkombiterminal.Italiens- og Norgestrafikkerne, der opereres i dag er baseret på basismængder franogle enkelte kunder, og togene bliver suppleret med gods fra andre internationaletransportvirksomheder. Derudover betjenes aktuelt 2 andre godsbaneoperatørerstog på terminalen. Det gods, der transporteres i disse tog, består af byggematerialerlastet i containere. TX Logistik udfører for nogle af disse kunder services såsomopbevaring og tilrettelæggelse af distributionen af disse containere.I relation til Padborg-terminalen er TX Logistik både togoperatør og terminalopera-tør14. TX Logistiks egne hovedmarkeder er i denne sammenhæng udover Danmarkogså Italien, Tyskland og Norge. TX kalder deres eget togkoncept for "One Hand",hvilket dækker over, at andre transportvirksomheder typisk ikke er involveret ijernbanetransporten, og hvis de er, har TX Logistik væsentlig grad af kontrol overdisse. Efter TX Logistiks eget udsagn opnås med denne organisering en væsentligbedre kvalitet i transporterne, end der ellers opleves i dette marked15. En høj kvali-tet gør det muligt at konkurrere på markedet for eksempelvis kølegods, der er ka-rakteriseret ved at være underlagt store krav til korte transporttider og høj leve-ringssikkerhed16. Det bemærkes, at de transportkæder som TX Logistik står bagikke involverer noget kombiselskab, hvilket er i modsætning til en større del af detrafikker, der går via kombiterminalerne i Taulov og Høje Taastrup.
Padborg-terminalen er den eneste terminal som TX Logistik selv driver i dag.TX Logistik oplyser en regularitet på 95% i deres internationale trafikker til/fra Padborg.16Transport af fødevarer forudsætter ofte temperaturregulerede forhold, men det gælderogså en lang række andre varer, som eksempelvis medicinalvarer.15
14
22
ANALYSE AF POTENTIALET FOR UDBYGNING AF PADBORG KOMBITERMINAL
4.1
Konkurrencefladen til Taulov kombiterminal
Blandt markedsaktørerne optræder to modsatrettede opfattelser af det nuværendekonkurrenceforhold mellem de to terminaler i hhv. Padborg og Taulov. Et syns-punkt går på, at der eksisterer en ulige konkurrence, som grundlæggende skyldesforskellige huslejeniveauer, og at dette medvirker til, at gods er blevet overflyttetfra Taulov til Padborg. Såfremt forholdene forbliver uændrede, vil dette ogsåkomme til at præge udviklingen fremover. Et andet synspunkt er, at valg af kombi-terminal hænger sammen med de transport- og logistiksystemer samt kvalitet ogservices, som (tog- og terminal)operatørerne leverer, og at kun en markant forskel iprisniveau vil føre til en overflytning af gods fra den ene terminal til den anden.Markedsanalysen har vist, at der reelt har fundet en overflytning af gods sted fraTaulov- til Padborg-terminalen igennem de seneste år. Det er dog ikke indtrykket,at det drejer sig om betydelige mængder, og der er ikke grundlag for at konkludere,at den forventede vækst i godsmængderne på Padborg-terminalen i nogen væsent-lig udstrækning vil komme til at bestå i overflyttet gods fra Taulov-terminalen. Dervil derimod hovedsagligt være tale om gods i nye markedsrelationer (f.eks. Spani-en, Frankrig Sydtyskland, destinationer i Danmark, og gods til/fra Sverige) og altsåikke gods, der i dag transporteres med jernbane, men derimod med lastbil. Derud-over forventes der i de nuværende markedsrelationer at blive vundet markedsande-le fra lastbilerne i det markedssegment, der omfatter kølegodstransporter.Udsagn fra markedsaktører indikerer et nogenlunde ensartet prisniveau på de toterminaler i dag. Skulle der til gengæld opstå en situation med en markant prisdif-ference mellem de to terminaler, finder markedsaktørerne det relevant at overvejeen overflytning af gods fra den dyreste til den billigste af de to terminaler. Særligtto forhold er dog vigtige at bemærke i den sammenhæng. For det første udgør ter-minalerne kun et enkelt led i den (typisk) lange transportkæde, og repræsentererderfor kun en mindre del af de samlede transportomkostninger. For det andet - så-dan som terminaldriften er organiseret i dag - vil et skift af kombiterminal ogsåmedføre et skift af togleverandør og i nogle tilfælde til-/fravalg af et kombiselskab,hvilket betyder, at det samlede transportprodukt, der købes og de aftaleforhold derligger bagved, også vil ændre karakter. Det er altså ikke udelukkende et spørgsmålom, at transportkøberen skal foretage et valg mellem den ene eller anden kombi-terminal i Danmark.
4.2
Fremskrivning af godsmængderne på Padborgkombiterminal - tre udviklingsscenarier
Som grundlag for en vurdering af behovet for en eventuel fremtidig udbygning afkapaciteten på Padborg kombiterminal er der foretaget en analyse af de fremtidigeforventede godsmængder over terminalen. Grundlaget for denne prognose, derrækker frem til 2018, er dels de gennemførte interviews med relevante aktører imarkedet, dels de jernbanekapacitetsansøgninger, der er indløbet til Banedanmarkog DB Netz for togtrafikken til og fra terminalen i 2012 og 2013.Udviklingen på godstransportmarkedet er generelt vanskelig at forudsige, fordimarkederne er særdeles følsomme overfor ændringer, der direkte eller indirekte
P:\Rapport_Padborg kombiterminal_031012_Final.docx
ANALYSE AF POTENTIALET FOR UDBYGNING AF PADBORG KOMBITERMINAL
23
kan påvirke såvel på mikro- som makroniveau. Den udarbejdede godsprognose erderfor forbundet med en del usikkerhed, hvilket er afspejlet gennem opstilling aftre forskellige udviklingsscenarier. Som led i analysen har det været forsøgt at få deforskellige oplysninger om fremtidige transporter og transportkoncepter, som erunder udvikling verificeret på tværs af aktørerne, for derigennem at kunne angiveen grad af sandsynlighed for transporternes faktiske gennemførelse. Disse sandsyn-lighedsvurderinger danner grundlag for de opstillede udviklingsscenarier.Markedsanalysen tegner et overordnet billede af, at udviklingspotentialerne førstog fremmest består i etablering af nye koncepter på nye markeder. De markeder,hvor jernbanen vurderes at kunne få en konkurrencemæssig fordel i forhold til førstog fremmest lastbilerne17, og som dermed rummer et potentiale, er Frankrig ogSpanien. I de bestående markedsrelationer er der generelt set kun mindre forvent-ninger blandt de interviewede om stigende mængder i de kommende år.Blandt de deltagende interviewpersoner, der ikke i dag benytter jernbane somtransportform, er der generelt interesse for at omlægge til banetransport i fremti-den, såfremt de rigtige vilkår er til stede, dvs. konkurrencedygtig pris og kvalitet.Der er opstillet 3 scenarier for udviklingen: Et lavt, et middel og et højt skøn. Sce-narierne bygger på forskellige antagelser om realisering af potentielle godstrans-porter til og fra terminalen jf. ovenfor. Det lave skøn er baseret på en antagelse om,at kun få af de togtransporter og udviklingskoncepter, der aktuelt er under planlæg-ning vil blive realiseret. "Middel-scenariet" tager afsæt i, at nogle, men ikke alle debestilte tog sættes i drift fra og med 2. kvartal 2012 og at en del, men ikke alleplanlagte de projekter, der er planlagt på længere sigt bliver gennemført i periodenindtil 2018. I det "høje" scenario er det forudsat, at alle bestilte tog realiseres og atalle de projekter, der arbejdes med for tiden, bliver gennemført løbende frem til2018.Det gælder for alle tre scenarier, at der er antaget en udlastningsgrad for togene på80%, idet fuld kapacitetsudnyttelse ikke er realistisk i praksis bl.a. på grund afmarkedsmæssige ubalancer. Omvendt vil en meget lavere udnyttelse resultere i, attogene i praksis aldrig vil blive sat i drift, fordi rentabiliteten vil være utilstrække-lig.
17
Konkurrencen til skibstransport er på intet tidspunkt nævnt af interviewpersonerne, menmed implementeringen af EU's svovldirektiv og som følge deraf højere omkostninger forrederierne, vil konkurrenceforholdet mellem bane og sø muligvis kunne ændres til jernba-nens fordel.
24
ANALYSE AF POTENTIALET FOR UDBYGNING AF PADBORG KOMBITERMINAL
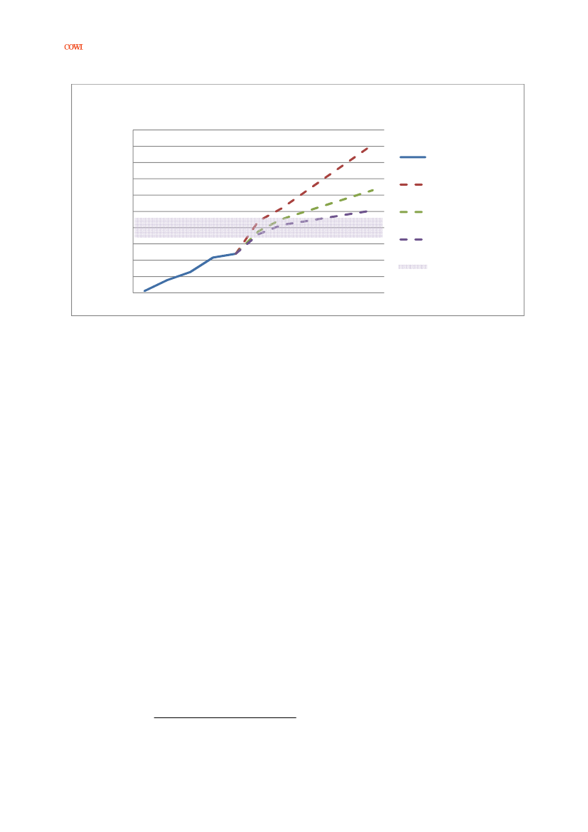
Udvikling og prognose for godsmængder på Padborg kombiterminal -(Antal TEU)1000009000080000Antal håndterede TEU7000060000500004000030000200001000002007 2008 2009 2010 2011 2012 2013 2014 2015 2016 2018Antal TEU - LavtEstimeret kapacitetsloft(interval)Antal TEU - MiddelHistorisk udviklingAntal TEU - Højt
Figur 2:
Historisk udvikling og prognose for godsmængderne på Padborg kombiterminal opgjort i antal TEU.2012 (stiplet) er baseret på TX Logistiks egen fremskrivning (Kilde: COWI).
Som vist i figur 2 vil den prognosticerede udvikling medføre godsmængder, deroverstiger terminalens nuværende estimerede kapacitet, uanset om der anlægges enforsigtig eller en mere optimistisk betragtning omkring realisering af de planlagtetransporter og projekter.
4.2.1 De overordnede tendenser og rammebetingelsernesbetydningMed afsæt i statistiske opgørelser og fremskrivninger af godstransport i, til, fra ogigennem Danmark kan der gøres nogle helt overordnede betragtninger om de merelangsigtede udviklingstendenser for godstransporten på bane med betydning forPadborg kombiterminal18. Disse fremskrivninger indikerer, at væsentlige dele af degodstyper der transporteres via terminalen i dag forventes at ville være i vækstfremover. Det gælder især fødevarer. Andre varegrupper, og det gælder særligtbulk, ventes til gengæld at blive reduceret i omfang fremover, og det kan få betyd-ning for de transporter af cement og kul, som aktuelt foregår på terminalen. Særligtvigtig er terminalens rolle som gateway og hub for transporter til og fra de Skandi-naviske markeder, der med ibrugtagning af den faste Femernbælt-forbindelse er irisiko for at blive omlagt til andre ruter. Der findes ikke opgørelser over omfangetaf transiterende gods på Padborg-terminalen, men skønnet ud fra de gennemførteinterviews med transportører, der benytter terminalen i dag, drejer det sig om i stør-relsesordenen mellem 10 og 20%.
Se notat fra COWI "Padborgintermodal terminal - Current freight transport flows andforecasts".
18
P:\Rapport_Padborg kombiterminal_031012_Final.docx
ANALYSE AF POTENTIALET FOR UDBYGNING AF PADBORG KOMBITERMINAL
25
Markedsanalysen har også søgt at belyse konsekvenserne af forskellige ændringer irammebetingelserne for jernbanegodstransport. Særligt tre forhold har været under-søgt19:
Konsekvenserne af indførelse af øget afgifter for lastbiltransport i DanmarkKonsekvenserne af en afvikling af miljøtilskuddet til godsbanetransport iDanmarkKonsekvenserne af den faste Femernbælt-forbindelse.
Markedsanalysens resultater peger på, at ændringer i ovennævnte rammebetingel-ser hver især vil påvirke godstransportmarkedet i forskellige retninger. Med indfø-relse af vejafgifter for lastbiler forudses principielt en forbedring af jernbanens re-lative konkurrenceevne i forhold til lastbilerne. Dog er det også forventningen, atvejtransportørerne vil søge nye alternativer til at reducere omkostningerne, blandtandet gennem mere carbotagekørsel og øget anvendelse af østeuropæiske vogn-mænd og chauffører. En fjernelse af miljøtilskuddet forventes at ville trække imodsat retning og stille jernbanen relativt ringere i forhold til vejtransport.I sidste ende vil det være et spørgsmål om den samlede effekt af at dels fjerne mil-jøtilskuddet til godsbanetransporten, dels indføre vejafgifter for lastbilerne og delsstørrelsen af de infrastrukturafgifter, som godsoperatørerne opkræves, der kommertil at afgøre, hvorvidt jernbanen vil komme til at stå relativt stærkere eller svagere iforhold til vejtransporten i fremtiden. De omtalte rammebetingelser vil influeredirekte på vej- og banetransporter og disses indbyrdes konkurrenceforhold i Dan-mark, men ikke udover grænserne. Dog vil ændring af de danske rammebetingelserkunne få en indirekte betydning, også for internationale transporter.Med den funktion som Padborg-terminalen har som gateway og som er ensbety-dende med, at en del gods videretransporteres over ofte længere afstande med last-biler, er det ikke usandsynligt, at en relativ forbedring af banens konkurrenceevnevil gøre det mere relevant at benytte andre kombiterminaler - f.eks. i Taulov, HøjeTaastrup og Malmø) end terminalen i Padborg. Det udslagsgivende vil blive, ombanetransport vil kunne konkurrere med lastbilkørsel i Danmark. Det er et genereltindtryk fra de gennemførte interviews blandt markedsaktørerne, at jernbanetrans-port i Danmark er dyrt og ikke kan konkurrere med bil-løsningen i dag. Dette for-hold synes også at være afspejlet i den struktur, der karakteriserer transporterneover Padborg-terminalen.Med afsæt i markedsanalysen synes den faste Femernbælt-forbindelse at kunnekomme til at spille en væsentlig rolle for trafikkerne på Padborg-terminalen i frem-tiden. Det hænger sammen med terminalens rolle som gateway og hub for transpor-ter til og fra Sydsverige og Norge samt Sjælland. Med udgangspunkt i markedsana-lysen tegner der sig et billede af fremtiden, hvor de direkte transporter mellemNorge, Sverige og Kontinentet kommer til at gå via Femern. Men billedet er ikke
Dertil kommer størrelsen af de fremtidige baneafgifter, der aktuelt er i høring jf. be-kendtgørelse om betaling for brug af statens banenet og om miljøtilskud til godstransport påjernbane.
19
26
ANALYSE AF POTENTIALET FOR UDBYGNING AF PADBORG KOMBITERMINAL
entydigt. I de tilfælde hvor mængderne ikke er tilstrækkeligt store til at fylde et helttog med en tilstrækkelig høj ugentlig frekvens, vil det fortsat være et alternativ atsamkøre gods til og fra Danmark med gods til og fra Sverige og Norge. Præcishvor en sådan konsolidering og opsplitning af togene ender med at foregå, er uvist.Interessenterne i markedsanalysen peger på flere muligheder heriblandt Høje Taa-strup, Sydsverige (f.eks. Malmø), Taulov, Padborg eller i Hamburg.Det er vurderingen, at de relevante rammevilkår for banetransport ikke indenfor denærmeste år markant vil ændre konkurrenceforholdet mellem bil og tog i Danmark.Derfor forudses den rolle og funktion, som Padborg-terminalen har i det overord-nede transport- og logistiksystem, at fortsætte frem til den faste Femern-forbindelseer etableret. Derefter er det uklart, hvordan transportmønstrene for kombitranspor-terne i samt til, fra og igennem Danmark vil komme til at tage sig ud.
4.3
Konsekvenser af udviklingsscenarierne
Som det fremgår af figur 2 synes udviklingen i godsmængderne på terminalen atville overstige dens nuværende kapacitetsgrænse på omkring 35.000 - 45.000 TEUårligt inden 2015, hvis udviklingen følger det mest pessimistiske af de tre udvik-lingsscenarier. Hvis det optimistiske "høje" scenario bliver en realitet, vil det skeallerede i år 2013.Med de forudsætninger, der er lagt ind i prognosen omkring realiseringen af defremtidige trafikker, vil det især være udviklingen på de nære markeder - og det vilførst og fremmest sige Tyskland - der vil være bestemmende for, om udviklingenvil følge det "høje" eller "mellem"-scenariet. Det hænger sammen med, at det påbaggrund af de indsamlede oplysninger i markedsanalysen er vurderet, at en reali-sering af de planlagte trafikker i netop disse relationer er omgærdet af den størsteusikkerhed. Det er ikke muligt at sige noget konkret om tidspunktet for realiseringaf de forudsatte transporter, men det er givet, at kapaciteten på terminalen i sig selvkan komme til at udgøre en begrænsning for mulighederne for at udvikle planlagteog projekterede transporter. En udbygning af terminalens kapacitet må derfor be-tragtes som en forudsætning for realisering af de potentialer, som analysen haridentificeret, og som findes afspejlet i prognosen. Et væsentligt spørgsmål er natur-ligvis, hvilket udviklingsniveau der kan forventes realiseret over de kommende år?
P:\Rapport_Padborg kombiterminal_031012_Final.docx
ANALYSE AF POTENTIALET FOR UDBYGNING AF PADBORG KOMBITERMINAL
27
5
Opgraderingsbehov og anlægsoverslag
Med baggrund i analysen af Padborg-terminalens indretning, funktionalitet og deaktuelle driftsmæssige forhold samt i lyset af markedsanalysens og prognosens re-sultater opsummeres i det følgende de identificerede flaskehalse og heraf afledtebehov for opgraderinger af terminalen.Forslagene afspejler således de barrierer for en optimal drift samt forslag til forbed-ringer på terminalen, som et større udpluk af de nuværende brugere har givet ud-tryk for, herunder den tidligere terminaloperatør, Bring (Frigoscandia). Desudenhar forslagene til opgraderinger været drøftet med repræsentanter for TX Logistik,der i dag opererer på terminalen. Nogle forhold udgør en forudsætning for, at derkan finde en udvikling af trafikmængderne på terminalen sted, mens andre vilmedvirke til enten at reducere driftsomkostningerne, forbedre sikkerheden, ellerkvaliteten af produktet. Nogle forhold tjener flere af de nævnte formål.I beskrivelsen af forslag til opgraderinger gennemgås først de elementer, der er in-deholdt i Model A. Derefter følger de andre elementer, som det muligvis vil kunnebliver relevant at gennemføre på sigt.
5.1
Opgraderinger i henhold til "Model A"
Et groft estimat over de forventede anlægsomkostninger er anført under hvert af denævnte forbedringsforslag. Grundlaget for disse omkostningsestimater har bl.a.været de nyligt gennemførte udbygningsprojekter på Banedanmarks kombitermina-ler i Høje Taastrup og Taulov. Der henvises i øvrigt til oversigten over terminalen ifigur 1. I relation til områderne gennemgået nedenfor refereres til et "Areal-id",som angiver arealets beliggenhed på området (se figur 3).Som følge af den begrænsede tid, der har været til rådighed for gennemførelsen afanalysen, har det ikke i alle tilfælde været muligt for COWI at foretage egne over-slag over anlægsomkostningerne, der i øvrigt alle er tilvejebragt på et meget spin-kelt datagrundlag. Det har således i nogle tilfælde været nødvendigt at gengive op-gørelser som stammer fra andre kilder, og i enkelte tilfælde foretage helt simple ogmeget unøjagtige skøn. I anlægsoverslagene er inkluderet et tillæg for faseusikker-hed på 50% jævnfør regler for ny anlægsbudgettering. Generelt er anlægsoversla-
28
ANALYSE AF POTENTIALET FOR UDBYGNING AF PADBORG KOMBITERMINAL
gene ikke gennemført på et niveau, på hvilket der kan anlægsbudgetteres, men dekan danne grundlag for det videre arbejde omkring opgradering af terminalen.
5.1.1 Forøgelse af terminalområdet og belægning på østligtdepotområdeVed at forlænge det befæstede areal mod syd mellem læssesporene (del af arealnummer 8 på figur 3 herunder), hvor der i dag er bevoksning, vil det være muligt atforlænge læssesporene med ca. 2x100 meter. Det vil desuden være en fordel samti-dig at fjerne vegetationen og befæste det lille område umiddelbart nord for detteareal, kaldet "øen" (nummer 7 på figur 3). En forøgelse af læssesporene og fast be-lægning på det nævnte areal vil bevirke, at der vil kunne håndteres et tog (opsplitteti to vognstammer på terminalen) med fuld længde (ca. 815 m) på én gang på termi-nalen, svarende til en forøgelse af kapaciteten på hvert tog med omkring 12 laste-enheder pr. tog.Det skal i den sammenhæng bemærkes, at den maksimale toglængde i nogle af derelationer, der i fremtiden er planer om at etablere togtransporter til, vil blive øget i2013. Det gælder bl.a. det nordlige Tyskland. For transporter internt i Danmark vilen forøgelse af toglængden kunne udnyttes straks.Det er muligt at formere tog af fuld længde i dag, men det kræver en hel del range-ring. Denne opgradering vil derfor dels bidrage til at reducere produktionsomkost-ningerne, idet der spares rangering, men også til at øge terminalens depot/ henstil-lingskapacitet, selvom det dog vil være begrænset på grund af at sporenes forløb.Der er medtaget omkostninger til rydning, dræn og etablering af lys i de anførteoverslag.Terminalens østlige depotområder (nummer 5 på figur 3) er i dag kun belagt medgrus. Dette giver gener og vanskeligheder for betjening med tunge køretøjer særligtreachstackere når underlaget bliver vandmættet. En fast belægning på dette områ-der indgår derfor også som en del af Model A. Det er i øvrigt forudsat, at et mindreområde i umiddelbar forlængelse af det østlige depotområde (nummer 6 på figur3), som i dag udlejes til 3. part, vil blive inddraget som en del af terminalens drifts-område.
Figur 3: Situationsplan over Padborg kombiterminal.
Det vurderes, at en konvertering af områder, der i dag ikke er til rådighed vil bidra-ge med en kapacitetsforøgelse på terminalen på omkring 10.000 - 15.000 TEU pr.år.
P:\Rapport_Padborg kombiterminal_031012_Final.docx
ANALYSE AF POTENTIALET FOR UDBYGNING AF PADBORG KOMBITERMINAL
29
Omkostningerne for konvertering af de tre ovennævnte områder er anført i tabellenherunder20.Omkostningsestimat:Forøgelse af terminalområdet mellem læssesporene("Sporforlængelse")ArealAntal kvm(ca.)2.500Anlægsestimat(DKK)3,2 mio.0,6 mio.
Forøgelse af terminalområdet mellemlæssesporene (Areal-id: 8)Forøgelse af terminalområdet - konver-400tering af "øen" (Areal-id: 7)Belægning på østligt depotområde (Are-al-id: 5) (inkl. 400 m2p.t. udlejet areal)4.000(Areal-id: 6)Kilde: COWIs egne beregninger, inkl. 50% usikkerhedstillæg.
5,0 mio.
5.1.2 SikkerhedMed henblik på at forhindre tyveri af gods fra terminalen anbefales der installeretvideoovervågning af terminalområdet. Desuden mangler der i dag et sikkerheds-hegn til erstatning for det simple hegn, der i dag omgiver terminalen. Endelig er derbehov for etablering af en rangersti langs det "kommunale stamspor" nord for ter-minalen. Det er dog uklart, hvilken part der har ansvaret for disse forhold, og detindgår derfor ikke i anlægsoverslaget. Det er blevet oplyst, at der for nyligt er gen-etableret belysning langs med det "kommunale stamspor"21.Omkostningsestimat: SikkerhedSikkerhedsudstyrAntalAnlægsestimat(DKK)0,8 mio.0,9 mio.Ej vurderet
Videoovervågning1Sikkerhedshegn600 meterRangersti ("Kommunalt stamspor")750 meterOmkostningerne påhviler evt. Ba-nedanmarkKilde: Tilbud indhentet af TX Logistik og COWIs skøn, inkl.50% usikkerhedstillæg.En samlet oversigt over de skønnede anlægsomkostninger for de elementer, der eromfattet af kommissoriets Model A er givet i tabellen herunder.
20
Rydning af vegetationen er medtaget i disse overslag, men ikke evt. bortskaffelse af foru-renet jord samt afvanding og geotekniske undersøgelser.21Oplyst af TX Logistik.
30
ANALYSE AF POTENTIALET FOR UDBYGNING AF PADBORG KOMBITERMINAL
Investeringsanliggende
Forøgelse af terminalområdet mellem læsse-sporeneKonvertering af "øen"0,6 mio.Belægning på østligt depotområde, inkl. p.t.5,0 mio.udlejet områdeSikkerhed (videoovervågning, hegn)1,7 mio.I alt10,5 mio.Samlet investeringsoverslag for Model A, inkl. 50% usikkerhedstillæg.
Estimeret om-kostningLavt skøn3,2 mio.
5.2
Opgraderinger i henhold til "Model B"
I lyset af den uafklarede situation omkring de overordnede trafikstrømme efteribrugtagningen af den faste Femernbælt-forbindelse, og med den usikkerhed dertrods alt gælder i forhold til de faktiske godsmængder på terminalen i fremtiden,anbefales det ikke at iværksætte en større udbygning af terminalen, sådan som deter skitseret med kommissoriets Model B.Med en opgradering svarende til Model A vil der antageligt være sikret en tilstræk-kelig kapacitet i en årrække, og såfremt der skulle opstå et behov derudover, vil dervære yderligere udvidelsesmuligheder på et naboareal, der er reserveret til kombi-terminal-relaterede formål. Dette og andre opgraderingsmuligheder er beskrevet ide følgende afsnit.
5.3
Andre opgraderingsmuligheder
Udover de ovennævnte opgraderingstiltag, er der som nævnt identificeret andreopgraderingsmuligheder på terminalen, som dels vil medvirke til en øget kapacitet,dels til en optimeret terminaldrift. Disse er ikke indeholdt i hverken Model A ellerB, og beskrives derfor separat.
5.3.1 Kørestrøm på rangersporeneDet er forbundet med en tidskrævende og dermed omkostningstung rangering, at fåvognene transporteret det forholdsvis korte stykke mellem Padborg station og ter-minalområdet. En vigtig grund til at denne rangering finder sted, er manglen påkørestrøm på rangersporene, der leder ind til terminalen. Etablering af kørestrømpå disse spor vil kunne medvirke til at reducere tidsforbruget markant. Udover atmedvirke til at reducere produktionsomkostningerne (rangeringen overflødiggøres ihvert fald delvist) vil det også bidrage til en forøgelse af terminalkapaciteten, idetflere tog vil kunne håndteres dagligt. Stort set alle de lokomotiver, der benyttes i
P:\Rapport_Padborg kombiterminal_031012_Final.docx
ANALYSE AF POTENTIALET FOR UDBYGNING AF PADBORG KOMBITERMINAL
31
forbindelse med transporter til og fra kombiterminalen er elektriske, og vil kunneudnytte denne mulighed22.Overslagsmæssigt vil der skulle etableres ca. 150 - 200 meter køreledning23. Be-regning af det grove anlægsoverslag er foretaget af COWI.Omkostningsestimat: Etablering af kørestrøm på rangersporeneKørestrømAnlægsestimatAntal meter(DKK)1501,0 mio.2001,3 mio.Kilde: COWIs egne beregninger inkl. 50% usikkerhedstillæg.
5.3.2 Depotudvidelse mod østEn væsentlig hindring for at håndtere store mængder gods på terminalen vurderesat være depot- og henstillingskapaciteten. Den begrænsede plads udgør allerede idag en barriere for en optimal drift, men en udbygning som nævnt i sammenhængmed Model A vil løse kapacitetsproblemerne indtil videre. Såfremt der finder enbetragtelig vækst i mængderne sted i fremtiden vil kapacitetsproblemerne dog op-stå på ny. Det bemærkes, at en del af de planlagte men endnu ikke realiseredetransporter rummer et potentielt særligt stort behov for depotplads.En mulighed for en eventuel fremtidig kapacitetsudvidelse er derfor at udvide area-let beliggende i terminalens østlige del yderligere mod øst, indover hvad der i dager et ubebygget areal mellem terminalen og Istedvej. Arealets omfang er omkring13.500 m2, og det bør være befæstet, så muligheden for at betjene området medreachstackere er tilstede under alle vejrforhold. Det kunne være relevant også atbefæste det mindre areal (ca. 1.500 m2), der ligger umiddelbart nord for, og somallerede i dag anvendes til deponering af containere. En vigtig følge af at udvide deøstlige depotområder er, at håndtering med reachstackere på det østlige læssesporvil være muligt, samt at behovet for at køre på tværs af læssesporet vil blive elimi-neret. Det forudsætter dog, at der skabes de fornødne adgangsforhold i nord- ogsydenden af læssesporet/depotområdet mod øst. En anden følge af dette er, at kapa-citeten på det østlige læssespor øges med, hvad der svarer til ca. 3 vogne, og at derspares en del rangering, da togstammen i dette spor ikke vil skulle splittes i tre, så-dan som det er tilfældet i dag.
Dette forudsætter dog, at der tillades kørsel med lokomotiver, som ikke er udstyret medet ekstra støjstrømsfilter, hvilket ellers er påkrævet ved kørsel på de danske elektrificeredebanestrækninger. Ifølge Banedanmark, er Padborg station ekstra immuniseret, så der er ikkei den forbindelse tekniske forhold, der forhindrer at disse tog vil kunne til kombiterminalen,såfremt der etableres kørestrøm over de relevante rangerspor.23
22
Oplyst af TX Logistik.
32
ANALYSE AF POTENTIALET FOR UDBYGNING AF PADBORG KOMBITERMINAL
Det er ikke på nuværende tidspunkt muligt at vurdere, hvor stort behovet for udvi-delse af depotområdet reelt vil være, da det i høj grad afhænger af godsmængderneog sammensætningen af lastenheder, der bliver håndteret i fremtiden. Derfor er deropstillet tre forskellige alternativer: En lille udvidelse (7.500 m2), en større udvi-delse (10.000 m2) og en fuld (hele arealet mellem terminalen og Istedvej, svarendetil ca. 18.000 m2).Et relevant forhold i forbindelse med en eventuel udvidelse af terminalens areal er,på hvilke vilkår det kommunalt ejede areal kan overgå til Banedanmarks ejerskab.Dette vil i givet fald skulle afklares. Mulighederne der umiddelbart tegner sig er, atarealet enten overdrages omkostningsfrit af kommunen til Banedanmark, at detudlejes eller sælges. I skemaet herunder er angivet forventede omkostninger vedleje og salg, afhængig af det konkrete arealbehov, baseret på de aktuelle markeds-priser24.Omkostningsestimat: Ny belægning/udvidelseaf østligt depotområde (Areal-id:1334)Udvidelse af østligtdepotområdeAntalkvmAnlægsestimat(DKK)Areal-erhvervelseArealleje(2013-2018)
Lille udvidelse7.5009,3 mio.0,5 mio.0,75 mio.Større udvidelse10.00012,3 mio.0,7 mio.1,0 mio.Fuld udvidelse18.00022,0 mio.1,25 mio.1,8 mio.Kilde: COWIs egne beregninger inkl. 50% usikkerhedstillæg, dog ikke arealer-hvervelse/-leje, som er baseret på aktuelle markedsvurderinger.
5.3.3 Gate-områdetGateområdet udgør i dag en flaskehals på grund af den manuelle kontrol af de ind-komne biler og de manglende parkeringsmuligheder. Etablering af en photo-gate tilautomatisk registrering af lasteenhederne vil bidrage dels til at reducere tidsforbru-get i gaten, dels spare personale og dels sikre de involverede parter juridisk i for-bindelse med skader på gods og lasteenheder.Etablering af en parkeringsplads foran eller omkring gaten, således at de trafikaleproblemer, der hersker i dag, kan blive løst er et andet relevant forhold der kunnekomme i betragtning med henblik på at optimere terminaldriften. Dette antages atvære et anliggende for kommunen, der har det formelle ansvar for Istedvej.Såfremt mængderne på terminalen øges markant vil det være relevant at etablere enself-gate. Det vil spare tid for både chauffører og terminalens personale både i for-bindelse med check-in og ved de efterfølgende administrative procedurer på termi-nalen. Et sådan system må betragtes som et operatør-individuelt administrationssy-stem og forudsættes delvist etableret af terminaloperatøren, ligesom de løbende
24
Kilde: Banedanmark.
P:\Rapport_Padborg kombiterminal_031012_Final.docx
ANALYSE AF POTENTIALET FOR UDBYGNING AF PADBORG KOMBITERMINAL
33
driftsomkostninger (licens mv.) også vil være det, sådan som det også er været til-fældet på kombiterminalen i Høje Taastrup.Terminalen bør også være forsynet med automatisk bom-anlæg ved gaten.Omkostningsestimat: Gate-områdetGate-systemPhoto-/selfgate-systemAnlægsomkostningen påhviler delvist terminalopera-tøren og driftsomkostningerne fuldt udAutomatiske bom-anlægParkeringspladser foran gaten Omkostningen påhvilerkommunenKilde: Banedanmark inkl. 50% usikkerhedstillæg.Antal1 stk.Anlægsestimat(DKK)0,9 mio.
2 stk.5 stk.
0,5 mio.Ej vurderet
5.3.4 Energiforsyning til køleenhederOmkring 60% af de håndterede enheder på Padborg-terminalen er udstyret medkøleaggregat, som har behov for enten strøm eller diesel når de henstår på termina-len eller er læsset på toget. Etablering af stik (reefer-plugs) til forsyning af køleen-hederne med el vil være relevant. Der er i dag ifølge TX Logistik behov for 10-15stk., men behovet kan vise sig større, såfremt specifikke planlagte transporter reali-seres.Under togtransporten er køleenhederne afhængige af diesel. Hvis toget bliver for-sinket er det vigtigt, at der er tilstrækkeligt diesel på tankene til at holde køleaggre-gaterne i gang. Der bør etableres mulighed for, at dieselpåfyldning kan finde stedpå terminalen inden afgang.Omkostningsestimat: Energiforsyning til køleenhederAnlægsestimat(DKK)Reefer-plugs10 stk.0,15 mio.Reefer-plugs20 stk.0,3 mio.Reefer-plugs40 stk.0,6 mio.Diesel tank og påfyldningsanlæg1+10,45 mio.Kilde: Baltic Marine Consult GmbH inkl. 50% usikkerhedstillæg. (Detikke været muligt at indhente konkrete oplysninger om anlægs-omkostninger for tank- og påfyldningsanlæg, som derfor er base-ret på forventede omkostninger).Energiforsyning til køleenhederAntal
5.3.5 Automatisk bremseprøveanlægFør toget kan afgå skal der foretages en obligatorisk bremsetest. I dag foretagesdisse manuelt og kræver, at lokomotivet er koblet på vognene. Det anbefales, atterminalen bliver udstyret med automatiske bremseprøveanlæg, som vil medvirke
34
ANALYSE AF POTENTIALET FOR UDBYGNING AF PADBORG KOMBITERMINAL
til at forkorte vognenes opholdstid på terminalen og samtidig spare materiel- ogpersonaleressourcer.Omkostningsestimat: Automatisk bremseprøveanlægAnlægsestimat(DKK)2 stk. anlæg21,1 mio.Kilde: Estimat fra TX Logistik inkl. 50% usikkerhedstillæg.Automatisk bremseprøveanlægAntal
5.3.6 Andre forholdDet mindre areal i terminalens sydøstlige ende, som i dag er udlejet til 3. part, børindgå som en del af det disponible område. I forbindelse med en opgradering afterminalen bør lejeaftalen med 3. part derfor opsiges af Banedanmark25. Dette arealer omfattet af depotudbygningerne, nævnt under 4.1.1 "Depotudvidelse mod øst".Markedsanalysen har identificeret et behov for at etablere et anlæg til oplagring afbyggematerialer i tilknytning til terminalen. Et ledigt areal syd for terminalen synesat være anvendeligt til et sådan formål. Det er dog ikke umiddelbart klart, om tilve-jebringelse af disse forhold er et anliggende for terminalens ejer, og derfor ikkemedtaget som en del af opgraderingen.Der er tilsyneladende nogle uafklarede forhold omkring den fremtidige brug af det"kommunale stamspor" nord for terminalen. Disse forhold bør afklares, og der børsikres en ubegrænset mulighed for anvendelse af dette spor til terminalens drift,idet det er en forudsætning for at kunne håndtere flere tog indenfor kort tid.
Banedanmark har en opsigelsesfrist af den anden lejer på en måned. (Kilde: Banedan-mark).
25
P:\Rapport_Padborg kombiterminal_031012_Final.docx
ANALYSE AF POTENTIALET FOR UDBYGNING AF PADBORG KOMBITERMINAL
35
6
Huslejemæssige konsekvenser
Et element i nærværende analyse har været at belyse de huslejemæssige konse-kvenser af en eventuel udbygning af kombiterminalen i Padborg. Disse forholdgennemgås og diskuteres i det følgende.Banedanmark opererer almindeligvis med en huslejemodel i forbindelse med leje-mål som fordrer, at investeringer der foretages i Banedanmarks lejemål skal forren-tes med i størrelsesordenen 7,25% årligt.Med udgangspunkt i det estimerede niveau for anlægsomkostninger i forbindelsemed en opgradering af Padborg kombiterminal, omtrent svarende til Model A ikommissoriet, vurderes det ikke som en realistisk mulighed, at der opnås en fuldomkostningsdækning, endsige en forrentning som skitseret gennem den opkrævedehusleje hos lejer (terminaloperatøren), heller ikke over en horisont frem til år 2018,som sandsynligvis vil være lejemålets tidsramme på linje med terminalerne i Tau-lov og Høje Taastrup. Søges denne model gennemført vil omkostningerne til ter-minaldriften blive så store, at der ikke kan opnås rentabilitet samlet set, og termi-naloperatøren vil sandsynligvis standse sine aktiviteter på Padborg-terminalen.Hvilken huslejemodel Banedanmark vælger at anvende overfor terminaloperatørenbør være et forhandlingsanliggende mellem de to parter. Men de driftsøkonomiskeprincipper, som ligger til grund for Banedanmarks huslejemodel, står i denne kon-krete sammenhæng overfor nogle mere samfunds- og markedsøkonomiske interes-ser, og en "tilpasset huslejemodel" bør danne udgangspunktet for forhandlingerne.Det skal i den sammenhæng bemærkes, at TX Logistik, som driver terminalen idag har oplyst, at de er indstillet på at acceptere en huslejestigning, såfremt termi-nalen opgraderes. Det skal også nævnes, at der ved fastsættelse af huslejen diffe-rentieres mellem befæstede og ikke-befæstede arealer.Et andet væsentligt element i den sammenhæng er, om og i givet fald hvordaneventuelle omkostninger for leje eller køb af udvidelsesareal indregnes skal indreg-nes i huslejen, men dette vil kunne indgå i forhandlinger om lejens fremtidige stør-relse.For så vidt angår omkostninger til vedligeholdelse af det "kommunale stamspor"samt etablering af rangersti langs dette spor er det spørgsmålet, om også husleje-
36
ANALYSE AF POTENTIALET FOR UDBYGNING AF PADBORG KOMBITERMINAL
modellen bør finde anvendelse, eller om dette er en basisydelse for en infrastruk-turforvalter. I sidstnævnte tilfælde vil der være tale om en aktivitet, som ikke p.t. erindeholdt i Banedanmarks basisbevilling.
P:\Rapport_Padborg kombiterminal_031012_Final.docx
ANALYSE AF POTENTIALET FOR UDBYGNING AF PADBORG KOMBITERMINAL
37
Bilag A Kort over Padborg kombiterminalKilde: Banedanmark.
38
ANALYSE AF POTENTIALET FOR UDBYGNING AF PADBORG KOMBITERMINAL
Bilag B Faktaark om Padborg kombiterminalNedenstående skema angiver et groft skøn over de nuværende (uden evt. udbyg-ning)faktiskekapacitetsforhold og udrustning på Padborg kombiterminal.OmrådeSamlet terminalområdeLæsseområdeInterne depotområderEksterne depotområderArealCa. 21.500 m2Ca. 11.000 m2Ca. 3.500 m2Ca. 2.500 m2BemærkningerOmråde aktuelt i anvendelseBefæstet areal, ekskl. adgangsvejeTrailer og container depot, delvistgrusbelagtBeliggende udenfor terminalensindhegnede område, primært dedi-keret containeroplagIndenfor terminalens indhegnedeområdeAdministration, lager velfærds-bygninger, mv.Begge læssesporBemærkningerForbindelse til depotspor/ hovedspori begge ender. Der er etableret pas-sagemulighed 3 steder på det østligelæssespor, hvilket reducerer kapaci-tetenBaseret på 9-12 ankomne/ afgåendetog pr. døgn"Militærsporet" er beliggende umid-delbart vest for terminalen: 600 mDet kommunale stamspor er p.t. ik-ke egnet til rangering og muligvisikke til disposition i fremtidenAngående læssesporskapacitet, seovenforVed 50-60% udnyttelse af den sam-lede depot/henstillingskapacitet(inkl. eksternt depot fortrinsvis tilcontainere)Begrænset af depotkapaciteten påterminalenLinde, på leasingaftaleI alt med 2 reachstackereMed licens til at køre på offentligvejDansk og tysk personale
Terminalindkørsel og udkørsel samtinterne adgangsvejBygningerLæssesporUdstyrLæssespor
Ca. 3.000 m2Ca. 650 m2Ca. 850 m2Antal/ Kapacitet-somfang2 læssespor- Vestligt spor: ca.350 m- Østligt spor: ca.300 mCa. 100.000 enheder/170.000 TEU pr. år2 disponible depotspor"Militærsporet": 600mKommunalt stam-spor: 750 mSom læssesporCa. 35.000-50.000TEU/ 20.000 -30.000enheder pr. årCa. 35.000-45.000TEU/ 20.600-26.600enheder pr. år2 reachstackerereCa. 110.000 løft pr.år1 Terberg8 medarbejdere
Læssesporskapacitet
Depotspor
DepotsporskapacitetDepot/henstillingskapacitet
Samlet terminalkapacitet
LøfteudstyrLøftekapacitetTerminal tractorAntal ansatte
P:\Rapport_Padborg kombiterminal_031012_Final.docx
ANALYSE AF POTENTIALET FOR UDBYGNING AF PADBORG KOMBITERMINAL
39
Bilag C Liste over gennemførte interviews
Virksomhed/OrganisationBaneDanmarkTX LogistikBreinholdt/IATBring CargoBring FrigoContinoDB Schenker RailDFDSDHLDSVHupacA/S Lauritzen eftf.Nielsen og SørensenNordland Transport und LogistikRhein-Ruhr TerminalA/S Scan GlobalUdviklingsråd SønderjyllandAabenraa Erhvervsforening
KontaktpersonLasse Toylsbjerg-Petersen/Alex S. NielsenJörg Nowaczyk/Sven HansenFlemming MortensenFrede ThaysenLars NørgaardPeter Frost RasmussenPeter RasmussenKennet AndresenJakob HyttingHanne NøhrClaus Lynge ChristensenLars W. SørensenFrank Leo SørensenOliver-Ulrich KrauseRalf KirionNikolaj RebsdorfClaus SchmidtJohn Christensen
Dato8. August 201224. August 2012Også skriftlig besvarelse14. August 201213. August 201220. August 201214. September 2012Skriftlig besvarelse6. September 20123. September 201214. September 20123. September 201214. August 201220. August 201227. August 201229. August 201216. August 201215. August 201227. August 2012
40
ANALYSE AF POTENTIALET FOR UDBYGNING AF PADBORG KOMBITERMINAL
Bilag D ReferencerBolig- og Erhvervsministeriet (2003): "Godstransport,Optimering af omlastning".Bov Kommune (1987): "Lokalplan1/14-1 - Erhvervsområde ved Østre Viaduktveji Padborg".COWI, notat (2012): "Padborgintermodal terminal - Current freight transportflows and forecasts".Danmarks Statistik - Statistikbanken: Diverse udtræk.DTU Transport (2007) "Langsigtetfremskrivning af vejtrafik - Indikation af frem-tidige problemområder - Baggrundsrapport".Grotmij for Region Syddanmark (2011): "Konsekvenseraf faste forbindelser overFemern Bælt og Kattegat for region Syddanmark".Danmarks Transportforskning (nu: DTU Transport) (2005): "Fremtidensgods-strømme til fra og gennem Danmark".
P:\Rapport_Padborg kombiterminal_031012_Final.docx