Transportudvalget 2012-13
TRU Alm.del Bilag 194
Offentligt
1225233_0001.png
1225233_0002.png
1225233_0003.png
1225233_0004.png
1225233_0005.png
1225233_0006.png
1225233_0007.png
Notat
Afrapportering Fjern- og Regionaltog, 4. kvartal 2012
1.
Antallet af rejser
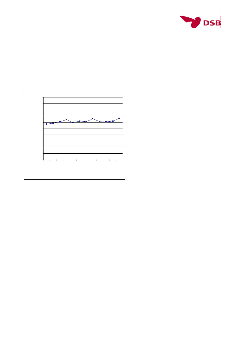
I 4. kvartal 2012 blev der foretaget 13,2 mio. rejser med DSB's fjern- og regionaltoghvilket er en stigning på 0,1 mio. i forhold til 4. kvartal 2011.Figur 1:Antal rejser pr. kvartal i 2010, 2011 og 201220,018,016,0
Koncernsekretariat &Jura
28. februar 201314,0Mio. rejser12,010,08,06,0
DSBSølvgade 40DK-1349 København K
Mobil 24 68 67 764,02,00,0kvarta2.l2kv01ar0ta3.l2kv01ar0ta4.l2kv01ar0ta1.l2kv01ar0ta2.l2kv01ar1ta3.l2kv01ar1ta4.l2kv01ar1ta1.l2kv01ar1ta2.l2kv01ar2ta3.l2kv01ar2ta4.l2kv01ar2tal2012
[email protected]www.dsb.dk
2.
I bilag 1 sammenholdes oplysninger om antallet af kørte tog på de strækningsafsnit,der nævnes i kontrakten mellem Transportministeriet og DSB om fjern- og regio-naltog udført som offentlig servicetrafik i perioden 2005-2014, med trafikerings-planen.En række faktorer påvirkede trafikken i 4. kvartal.Grundet grounding af IC4 materiellet var det i 4. kvartal ikke muligt atgennemføre de planlagte X-lyntog mellem Kastrup og Århus C, hvilketkommer til udtryk på de mellemliggende delstrækninger i bilag 1.KØR projektet har her ud over medført en reduktion af trafikken iefterårsferien.Sporarbejde mellem Ålborg og Hobro i uge 47.Trafikken på strækningen mellem Ålborg og Frederikshavn blev reduceret til 0grundet påsejlingen af Limfjordsbroen.I perioden fra den 30. november og 15. december har togene været erstattetaf togbusser på strækningen mellem Vamdrup og Vojens efter en afsporetgodsvogn ødelagde 7 km spor.Sporarbejde mellem Holstebro og Struer i efterårsferien.Sporarbejde ved KHVinterstorm den 9. december
1.
Antallet af kørte tog på de i trafikkontraktens bilag 1 nævnte stræknings-afsnit i forhold til Trafikeringsplanens krav herom
Side 2/7
3.
Erstatningskørsel med bus28. februar 2013
Erstatningskørsel med bus opdeles i driftsforstyrrelser og planlagte driftsændringer.I figur 2 og 3 er omfanget af erstatningskørsel vist for hvert kvartal i 2009, 2010,2011 og 2012.Omfanget af ikke-planlagt erstatningskørsel i 4. kvartal 2012 fremgår af figur 2nedenfor og udgjorde 6.574 timer. Omfanget af den planlagte buskørsel 41.206timer i 4. kvartal, hvor langt størstedelen skyldes erstatningsbefordring somkonsekvens af påsejlingen af jernbanebroen over Limfjorden.Figur 2:Buskørsel i 2009 til 2012i forbindelse med driftsforstyrrelser35.00030.00025.000200920.00015.00010.0005.00001. kvartal2. kvartal3. kvartal4. kvart al201020112012
Figur 3:Buskørsel i 2009 til 2012i forbindelse med planlagte ændringer10000090000800007000060000500004000030000200001000001. kvartal 2. kvartal3. kvartal 4. kvartal2009201020112012
4.
Regularitet
Regularitet er udtryk for, hvor stor en andel af den afviklede togtrafik, som ankommerrettidigt. Af figur 4 nedenfor fremgår det, at 92,4 pct. af togene i 4. kvartal 2012totalt set var rettidige inden for intervallet 0 - 5.59 minutter. Rettidigheden erberegnet på baggrund af 255.628 ankomster, hvoraf 19.465 var forsinkede.Regulariteten år til dato til og med 4. kvartal 2012 var på 94,4 %.Fjern- og regionaltogs regularitetsmål er for 2012 aftalt til 90,3 % indenfor intervallet0 – 5:59 minutter, hvorfor målsætningen er opfyldt i 4. kvartal 2012. Inden forintervallet 0 - 4.59 minutter var 90,7 pct. af togene rettidige i 4. kvartal 2012, jf. figur5.Figur 4:Regularitet hele landet4. kvartal 2012, 0-5.59 minutter

Fo r si n k e de

a nk om st e r

7,6%

F o r si n k e d e

a n k o m st e r

9,3%

Figur 5:Regularitet hele landet4. kvartal 2012, 0-4.59 minutter

Re t t idige

a nk om st e r

92,4%

Re t t i di ge

a n k o m st e r

90,7%

Side 3/7
I tabel 2 nedenfor fremgår regulariteten opdelt på forskellige dele af landet.Regulariteten i Vesttrafikken var bedst med 95,5 pct.Tabel 2:Regularitet 4. kvartal 2012 (rettidige tog = 0 - 5,59 min)
28. februar 2013
Hele landetFjerntrafikØstVest
Antal ankomster255.628127.20187.96845.638
Heraf forsinkede19.46512.4355.7802.059
Regularitet92,4%90,2%93,4%95,5%
5.
Pålidelighed
Pålideligheden er udtryk for forholdet mellem den planlagte trafik og antallet af aflys-ninger. Pålideligheden i 4. kvartal 2012 var på 98,8 pct. hvilket er et fald på 0,7procent point i forhold til 3. kvartal 2012.Tabel 3:Pålidelighed 4. kvartal 2012
Planlagte ankomsterUdførte ankomsterAflyste ankomster i altRettidige aflysningerUrettidige aflysningerPålidelighed
296.050291.9134.1375313.60698,8%
6.
Andele af forsinkelser
I figur 6 herunder vises forsinkelserne i 4. kvartal 2012 opdelt efter, hvorvidt de erforårsaget af DSB, BaneDanmark eller eksterne forhold.I 4. kvartal 2012 forårsagede DSB 31,7 pct. af forsinkelserne i hele landet hvilket er etfald på 4,5 procent point ift. 3. kvartal 2012. DSB’s andel af forsinkelserne varnogenlunde jævnt geografisk fordelt. DSB forårsagede 28,5 pct. i fjerntrafikken, 31,3pct. i den sjællandske regionaltrafik og 42,2 pct. i den fynsk/jyske regionaltrafik.Figur 6:Andele af forsinkelser i 4. kvartal 2012100%90%80%70%60%Ekster ne f or hol d50%40%30%20%10%0%Banedanmar kDSB
Side 4/7
7.
DSB’s og Banedanmarks andele af forsinkelser i forhold til regulariteten ogopgjort efter stationsankomster 0 - 5.59 min.
28. februar 2013
I figur 7 herunder vises udviklingen i forsinkelsesandele for DSB, BaneDanmark ogeksterne forhold.Det fremgår at der er en nogenlunde stabil fordeling af forsinkelser, og at DSB havdeansvaret for 2,3 procent point af det samlede forsinkelser på 7,6 pct. i 4. kvartal 2012.Figur 7:DSB og Banedanmarks andele i forsinkelser i forhold til regulariteten opgjortefter stationsankomster 0 - 5.59 min.4,0
3,5
3,0
2,51. kvart al 20122. kvart al 20122,03. kvart al 20124. kvart al 20121,5
1,0
0,5
0,0DSBBanedanmarkEkst erne f orhold
8.
Aflysninger
I trafikkontrakten skelnes mellem rettidigt og urettidigt varslede aflysninger. Enaflysning er rettidig, hvis den varsles senest 72 timer før planlagt afgang. I figur 8 visesbåde hel- og delaflysninger.I 4. kvartal 2012 var der i alt 3.161 helaflysninger fordelt på 1.861 varslet senest 72timer før planlagt afgang, og 1.300 varslet mindre end 72 timer før planlagt afgang.Der var i alt 3.292 delaflysninger fordelt på 1.187 varslet senest 72 timer før planlagtafgang, og 2.105 varslet mindre end 72 timer før planlagt afgang.
Figur 8:Aflysninger fordelt på kvartaler i 2011 og 20121600014000120001000080006000400020000RettidigehelaflysningerRettidigedelaflysningerUrettidigehelaflysningerUrettidigedelaflysninger1. kvartal 20112. kvartal 20113. kvartal 20114. kvartal 20111. kvartal 20122. kvartal 20123. kvartal 20124. kvartal 2012
Side 5/7
9.
Belægningsprocent
28. februar 2013
DSB tilrettelægger togproduktionen således, at alle passagerer kan få siddeplads(belægning < 100 pct.) ved 90 pct. af togafgangene i myldretiden og i 95 pct. af deøvrige togafgange i det omfang, at materielbeholdningen tillader det.DSB har indsat det til rådighed værende materiel.I bilag 2 er andelen af togafgange i og uden for myldretiden på defineredestrækningsafsnit med en belægningsprocent over 100 pct. fremhævet. Endviderevises andelen af tog med en belægningsprocent over 100 på henholdsvis DSB 1’,standard og på strækninger hvor både DSB 1´ og standard var overbelagt.Det fremgår af bilag 2 at de væsentligste problemer med belægningen var påstrækningen mellem København og Århus. De primære udfordringer som påvirkedeDSB’s mulighed for at udbyde tilstrækkelig plads var grounding af IC4 togsættene,reduktion af trafikken grundet KØR projektet, og en generel passagerstigning ifjerntrafikken.Mellem Århus H og Hornslet har den anstrengte materielsituation gjort detnødvendigt at nedformere et antal myldretidstog.Mellem Århus H og Skørping blev belægningen påvirket af et sporarbejde i uge 47.
Bilag 1:Antallet af kørte tog pr. strækningsafsnit.4. kvartal 2012StrækningKøbenhavn H - Kbh LufthavnKøbenhavn H - RoskildeRoskilde - KøgeKøge - HaslevHaslev - NæstvedRoskilde - HolbækHolbæk - KalundborgRoskilde - BorupBorup - RingstedRingsted - NæstvedNæstved - VordingborgVordingborg - Nykøbing FNykøbing F - Rødby FRingsted - SlagelseSlagelse - OdenseOdense - MiddelfartMiddelfart - FredericiaFredericia - VejleVejle - Århus HÅrhus H - SkørpingSkørping - AalborgAalborg - LindholmLindholm - HjørringHjørring - FrederikshavnFredericia - KoldingMiddelfart - KoldingKolding - EsbjergKolding - TinglevTinglev - SønderborgTinglev - PadborgVejle - HerningHerning - HolstebroHolstebro - StruerOdense - RingeRinge - SvendborgÅrhus H - HornsletHornslet - RyomgårdRyomgård - GrenaaKøbenhavn H - YstadÅrhus H - StruerStruer - ThistedKøbenhavn - PadborgTrafikkontrakt Realiseret6.75729.4855.2045.2045.2045.7954.05921.72121.6616.2776.2776.2771.51010.81310.78514.49111.34814.97210.8286.5888.3329.3924.1984.1986.7423.2067.0824.0441.9942.1933.4864.1063.9829.1765.6465.8643.4643.4645783963681385.39728.6565.3285.2575.2525.8234.02420.74620.6546.0316.3096.3001.58110.39610.38814.07310.91414.49310.3626.5457.9322.0699739746.6383.2067.0564.5591.9552.0613.4854.0363.6899.0875.5795.6643.4403.395544395357109Realiseretift. plan79,9%97,2%102,4%101,0%100,9%100,5%99,1%95,5%95,4%96,1%100,5%100,4%104,7%96,1%96,3%97,1%96,2%96,8%95,7%99,3%95,2%22,0%23,2%23,2%98,5%100,0%99,6%112,7%98,0%94,0%100,0%98,3%92,6%99,0%98,8%96,6%99,3%98,0%94,1%99,7%97,0%79,0%Trafikkontrakt26.766118.01020.78820.78820.78823.15716.15786.87486.62625.32025.26825.2686.35943.07543.05457.87945.32859.00343.10527.25733.17037.85716.72816.72826.05512.80827.87216.1387.9368.77413.88416.38415.88436.41222.38222.85613.82113.7942.5561.5801.464686År til dato
Side 6/7
28. februar 2013Realiseret
Realiseret22.430108.55620.82020.73520.73418.94715.85580.62180.30724.44725.69024.5776.51141.18441.21055.97443.37657.22841.00726.09732.54912.7147.4827.77326.22812.78828.09316.7027.8118.61913.96416.25715.52636.06322.19822.63913.74113.5972.4739681.418652
ift. plan83,8%92,0%100,2%99,7%99,7%81,8%98,1%92,8%92,7%96,6%101,7%97,3%102,4%95,6%95,7%96,7%95,7%97,0%95,1%95,7%98,1%33,6%44,7%46,5%100,7%99,8%100,8%103,5%98,4%98,2%100,6%99,2%97,7%99,0%99,2%99,1%99,4%98,6%96,8%61,3%96,9%95,0%
Bilag 2:Belægningsprocent i 4. kvartal (andel tog med belægning > 100)Myldretid man-fre 7-9 og 15-18StrækningKbh H - Kbh LufthavnKøbenhavn H - RoskildeRoskilde - KøgeKøge - HaslevHaslev - NæstvedRoskilde - HolbækHolbæk - KalundborgRoskilde - BorupBorup - RingstedRingsted - NæstvedNæstved - VordingborgVordingborg - Nykøbing FNykøbing F - Rødby FRingsted - SlagelseSlagelse - OdenseOdense - MiddelfartMiddelfart - FredericiaFredericia - VejleVejle - Århus HÅrhus H - SkørpingSkørping - AalborgAalborg - LindholmLindholm - HjørringHjørring - FrederikshavnFredericia - KoldingMiddelfart - KoldingKolding - EsbjergKolding - TinglevTinglev - SønderborgTinglev - PadborgVejle - HerningHerning - HolstebroHolstebro - StruerOdense - RingeRinge - SvendborgÅrhus H - HornsletHornslet - RyomgårdRyomgård - GrenaaKøbenhavn H - YstadÅrhus H - StruerStruer - ThistedKøbenhavn - Padborg1'0,00%7,10%0,00%0,00%0,00%0,10%0,10%11,30%11,30%0,10%0,00%0,00%0,00%26,60%23,70%12,60%16,10%9,80%11,00%0,30%0,10%0,00%0,00%0,00%0,10%0,80%0,00%0,20%0,00%0,20%0,00%0,00%0,00%0,00%0,00%0,00%0,00%0,00%0,00%0,00%0,00%0,00%
Side 7/7
Øvrig tid1'0,10%2,30%0,00%0,00%0,00%0,00%0,00%2,30%2,30%0,20%0,10%0,10%0,30%4,10%4,30%2,60%2,60%2,00%4,00%0,20%0,10%0,00%0,00%0,00%0,10%2,20%0,80%0,10%0,20%0,20%0,60%0,00%0,00%0,00%0,00%0,00%0,00%0,00%0,00%0,50%0,40%0,00%
Standard0,60%23,90%5,60%5,30%5,30%4,20%0,40%20,50%20,50%12,70%1,20%1,20%6,50%31,10%20,70%6,90%7,50%5,80%12,00%15,00%8,10%0,30%0,60%0,00%3,30%5,00%5,50%2,40%0,00%0,60%6,70%2,80%0,00%3,50%13,10%19,80%0,00%0,00%0,00%0,00%1,60%0,00%
1'+Standard0,60%20,40%5,60%5,20%5,20%2,90%0,10%19,00%19,00%8,20%0,70%0,70%2,80%31,00%21,10%6,70%7,60%5,40%10,90%10,80%5,70%0,30%0,60%0,00%2,70%4,30%5,00%1,70%0,00%0,20%3,60%1,30%0,00%3,50%13,10%19,80%0,00%0,00%0,00%0,00%0,00%0,00%
Standard
28. februar 20131'+Standard
0,20%9,80%0,70%0,60%0,60%1,50%0,10%9,10%9,10%4,50%1,50%1,50%4,20%12,30%9,60%3,80%3,50%4,80%7,70%4,50%1,10%0,20%0,20%0,00%0,80%3,10%0,70%1,80%0,00%1,00%6,20%1,30%0,00%0,80%0,90%5,80%0,30%0,30%0,20%1,00%0,40%0,80%
0,10%7,20%0,60%0,50%0,50%0,70%0,10%6,70%6,70%2,80%0,80%0,80%2,40%9,50%7,70%2,90%2,50%3,50%5,70%2,80%0,70%0,10%0,10%0,00%0,70%2,60%0,50%1,20%0,00%0,70%4,80%0,90%0,00%0,80%0,90%5,80%0,30%0,30%0,00%1,00%0,40%0,80%