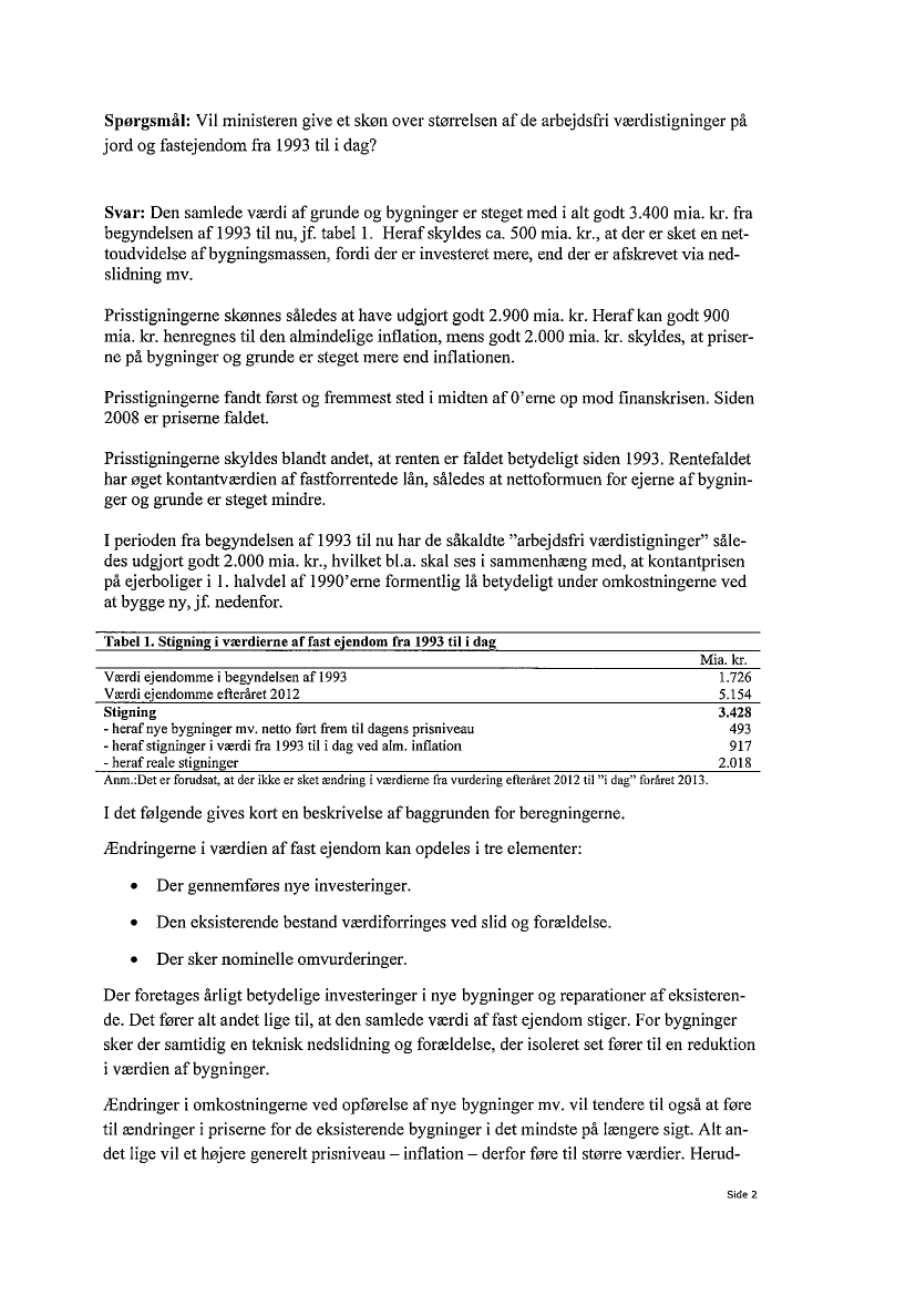
Skatteudvalget 2011-12
SAU Alm.del
Offentligt
1267841_0001.png
1267841_0002.png
1267841_0003.png