Miljøudvalget 2011-12
MIU Alm.del
Offentligt
1158778_0001.png
1158778_0002.png
1158778_0003.png
1158778_0004.png
1158778_0005.png
1158778_0006.png
1158778_0007.png
1158778_0008.png
1158778_0009.png
1158778_0010.png
1158778_0011.png
1158778_0012.png
1158778_0013.png
1158778_0014.png
1158778_0015.png
1158778_0016.png
1158778_0017.png
1158778_0018.png
1158778_0019.png
1158778_0020.png
1158778_0021.png
1158778_0022.png
1158778_0023.png
1158778_0024.png
1158778_0025.png
1158778_0026.png
1158778_0027.png
1158778_0028.png
1158778_0029.png
1158778_0030.png
1158778_0031.png
1158778_0032.png
1158778_0033.png
1158778_0034.png
1158778_0035.png
1158778_0036.png
1158778_0037.png
1158778_0038.png
Miljøstyrelsen10.06.2011tva
Foreløbig status for de danskeoffshorehandlingsplanertil udgangen af 2010
IndholdSide345558131313151618181920212123252627293030OliespildLuftemissionerMiljøledelse og miljørapporteringTilsyn og beredskabMiljøtilstanden i den danske del af NordsøenNye feltudbygningerEvalueringBilag3131333538Bilag 1: Indikatorer for den miljømæssige udvikling på offshoreområdetBilag 2: Offshorehandlingsplan fra december 2005Bilag 3: Offshorehandlingsplan fra august 2008Bilag 4: Offshorehandlingsplan fra marts 2009Bilag 1 (til bilag 3 og 4):Målsætninger i tidligere handlingsplaner som er opfyldt, men fortsat er gældendeIntroduktionKonklusion og samlet national vurderingStatus for de enkelte målsætninger i offshorehandlingsplanerneKemikalierUdfasning af sorte kemikalierUdfasning af røde kemikalierÆndret vurderingsmetodeOlieudledningerOverskridelser af grænse for oliekoncentration for udledt produktionsvandGenerel forbedring gennemReduktion af mængden af produktionsvandForøgelse af den mængde produktionsvand der tilbageførestil undergrundenSkift i målemetode for oliekoncentrationReduktion af oliekoncentration for udledt produktionsvandReduktion af udledt oliemængdeIndividuelle udledningstilladelserAnvendelse af og omkostninger ved ny teknologi
2
IntroduktionSammen med offshore operatørerne i Danmark har Miljøstyrelsen siden 2005 udarbejdet handlingsplanerfor offshore området. Handlingsplanerne skal beskytte miljøet i forbindelse med olie- og gasoperatørernesaktiviteter i den danske del af Nordsøen. Miljøpåvirkningerne skal holdes inden for de grænser, der erafstukket gennem den internationale og nationale regulering.I denne foreløbige redegørelse gives en status for de af handlingsplanernes målsætninger, der skullevære opfyldt i 2010 eller tidligere. Hovedfokus er på opfyldelsen af målsætningerne om at reducere denudledte mængde olie og oliekoncentrationen i det udledte produktionsvand som skulle være nået indenudgangen af 2010.I det omfang det er muligt, sammenlignes den danske indsats med den tilsvarende indsats i de øvrigeNordsø-lande. For disse lande findes der foreløbigt kun data til og med 2008 (der også blev rapporteret iden forrige statusrapport), da de planlagte data for 2009 er blevet forsinket fra OSPAR, der samler dissedata, så de først vil kunne fremlægges i statusrapporten i august-september 2011.Der har i 2010 været en del diskussioner i pressen omkring de påbegyndte olieboringer i Grønland. Detskal på den baggrund understreges, at denne statusrapport ikke omhandler forholdene i Grønland eller påFærøerne.Der har desuden i december 2010 og i januar 2011 på baggrund af indlæg i pressen været diskussionerom overholdelse af grænseværdier og vilkår i udledningstilladelserne for olie med produktionsvand,ligesom problemstillingen har været rejst under et samråd i Folketingets Miljø- og Planlægningsudvalgden 13. januar 2011.I forbindelse med dette har miljøministeren lovet udvalget at give en tilbagemelding om det videre forløb iforbindelse med denne statusrapport. Som det tidligere er meddelt udvalget omfatter initiativerne følgendetiltag:
Hurtigere besked til myndighederne ved risiko for høj oliekoncentrationLøbende kontrol med den samlede olieudledningPrioritering af at sende det olieholdige produktionsvand ned i undergrunden igen i stedet for atlede det ud i havetSynlighed omkring indførelse af ny teknologi
Disse tiltag vil blive nærmere kommenteret i afsnittet om Olieudledninger, mens de nedenståendetiltag vil blive nærmere kommenteret i afsnittet om Tilsyn og beredskab.Øget ekstern kontrol med vandprøver der udtagesPrøvetagning på faste tidspunkter så man ikke selv kan vælge et bedre tidspunktFlere daglige vandprøver ved dårlige resultaterPlan for on-line måleudstyr på alle udledningspunkterHurtig undersøgelse af mulighed for yderligere kontrol på baggrund af nærmere redegørelser fraoperatørerne inden 15. maj 2011.
Miljøindsatsen offshore har i perioden 2005 – 2010 været baseret på en kombination af bindende krav fraMiljøministeriet og operatørenes frivillige indsats. Offshorehandlingsplanerne er frivillige aftaler mellemmiljøministeren og offshoreoperatørene. Med de nye udledningstilladelser er de indsatser, der hidtil harværet omfattet af offshorehandlingsplanerne gjort bindende. Miljøministeriet vil i dialog med operatørerne
3
afklare det fremtidige miljømæssige potentiale af den frivillige miljøindsats offshore. Hertil kommer, at enkommende handlingsplan bør ses i lyset af de kommende mål for miljøtilstanden i det omliggendehavmiljø, som formuleres i forbindelse med 1. generation af ”havmiljøplaner”, der bliver fastsat i løbet af2012, som en udmøntning af havstrategidirektivet.Baggrund og metodeDen første offshorehandlingsplan (jf. bilag 2) blev fremlagt af miljøministeren i 2005. I den førstehandlingsplan var hovedvægten lagt på at reducere udledningen af de mest miljøskadelige kemikaliersamt på at få en årlig miljørapportering fra de danske operatører. For at bringe indsatsen et skridt videreblev der i 2008-2009, i tæt samarbejde med Danish Operators, analyseret yderligere tiltag oghandlemuligheder. Det resulterede i en ny offshorehandlingsplan 2008-2010 (jf. bilag 3) der blev fremlagtaf miljøministeren i 2008. I denne handlingsplan er der i højere grad end i den første handlingsplan lagtvægt på at reducere olieudledning og luftforurening. For at kunne opstille mere konkrete mål blev dersamtidig nedsat en række arbejdsgrupper, der udformede grundlaget for at man i en revideretoffshorehandlingsplan (jf. bilag 4), der blev fremlagt af miljøministeren i 2009, kunne justere målene fremtil udgangen af 2010.Grundlaget for vurderingerne er de rapporter operatørerne i den danske del af Nordsøen årligt indsender1til Miljøstyrelsen, som derefter sammenfatter disse til en samlet rapport for Danmark til OSPAR . Entilsvarende indsamling af data sker årligt i de øvrige Nordsø-lande i OSPAR.Grundlaget kan derfor også genfindes i statistikker på OSPAR’s hjemmeside gennem dette link:http://www.ospar.org/v_publications/browse.asp?menu=01330305830000_000000_000000
Konklusion og samlet national vurderingHandlingsplanerne har haft en betydelig forbedrende effekt på en række af de forhold, der ellers ville havebidraget til forureningen af Nordsøen.De forhold hvor man især har kunnet se den største effekt af handlingsplanerne, når man sammenlignersituationen før og efter 2005, er følgende:KemikalieroFortsat stop for udledning af sorte kemikalier (figur 1)oStop for udledning af 98,4 % af røde kemikalier (figur 2)OlieudledningoReduceret koncentration af den udledte olie (figur 6)oReduceret udledning af mængden af olie (figur 7)Miljøledelse og miljørapporteringoAlle operatører offentliggør nu årligt en miljørapport
Som nævnt i introduktionen er oplysningerne om forholdene i de øvrige Nordsø-lande, der årligtindsamles af OSPAR, i 2011 blevet forsinket. Det har derfor ikke været muligt, at foretage den sædvanligesammenligning af Danmark med de øvrige Nordsø-lande for 2009 på nuværende tidspunkt. Af sammegrund omfatter denne foreløbige statusrapports figurer ikke nye 2009 data for de øvrige lande, men aleneen opdatering af data for Danmark frem til og med 2010.1
OSPAR: Oslo-Paris havmiljøkonventionen for Nordøstatlanten incl. Nordsøen. Omfatter landene:Danmark,Frankrig, Irland,Island,Nederlandene, Norge,Spanien,Storbritannien (UK),Tyskland. De fire lande med fed skrift dækker tæt på 100 % af densamlede produktion af olie og gas i OSPAR.
4
Status for de enkelte målsætninger i offshorehandlingsplanerneKemikalierOperatørerne skal senest med udgangen af 2005 have stoppet udledning af alle sortekemikalier.
Målet er opfyldt.De danske operatører har alle stoppet udledningen af de sorte kemikalier i 2004, dvs. inden for tidsfristen i2offshorehandlingsplanen. Danmark opfylder dermed også havmiljøkonventionen OSPAR s mål omudfasning af de sorte kemikalier inden 1. januar 2010. Da handlingsplanen blev forhandlet i 2005 havdeman endnu ikke gjort sig klart, at målet allerede var opfyldt ved udgangen af 2004.
Figur 1: Udvikling i udledte sorte kemikalier i Nordsøen(2003 = 100)120
100
80DanmarkNederlandeneNorgeUKNordsøen
60
40
20
020012002200320042005DK Mål20062007200820092010OSPARMål2010
5
Hvor mangeoffshore kemikalierbruges derog til hvad?
Offshore kemikalier bruges til mange forskellige formål: smøring, beskyttelse mod korrosion,cementering af brønde, til at fjerne belægninger i rørene, til at adskille vand og olie osv.Størsteparten (ca. 80 %) bruges i forbindelse med efterforskningsboringer efter nye olie/gas-felter.Resten bruges i forbindelse med produktionen de steder, hvor der er fundet olie eller gas.I 2010 blev der i alt i den danske del af Nordsøen brugt ca. 48.000 tons offshore kemikalier. En delendte i undergrunden og en del blev ført i land til videre behandling (genanvendelse eller bortskaffelse).De resterende ca. 12.500 tons blev udledt til havet.Heraf var 7 tons røde, knap 1400 tons gule og ca.11.000 tons grønne.
Offshorekemikalier
I havmiljøkonventionen OSPAR har man indført et særligt system der sikrer, at alle offshore kemikalierregistreres og inden de tages i brug vurderes efter hvor stor risiko de udgør for miljøet.I systemet indgår også, at de mest risikable skal forsøges udskiftet med mindre risikable.I Danmark og Norge er OSPAR’s kemikalie-grupper benævnt med den anførte farveskala.Et kemikalie (produkt) kan bestå af mange forskellige stoffer, og kemikaliet tildeles farve efter det mestrisikable stof. Hvis f.eks. bare et af disse stoffer f.eks. er sort, så betegnes hele kemikaliet som sort.I mængdeopgørelserne over kemikalierne har man f.eks. som ”røde kemikalier” kun medregnet denmængde stoffer der er røde.
Sorte
Sorte kemikalier er de mest skadelige for havmiljøet, og en udskiftning er højt prioriteret.De er optaget på en særlig liste over miljøskadelige stoffer.
Røde
Røde kemikalier giver anledning til bekymring pga. flere miljøskadelige egenskaber (se neden for), ogbør derfor udskiftes.Der findes ingen liste over disse.
Gule
Gule kemikalier har en enkelt miljøskadelig egenskab (se neden for) . På længere sigt bør også deudskiftes med grønne kemikalier.Der findes ingen liste over disse.
Grønne
Grønne kemikalier har ingen eller kun meget begrænset miljøskadelige egenskaber. De benævnesogså som PLONOR stoffer (Pose Little Or No Risk for the Environment).De er optaget på en særlig liste over godkendte stoffer.
6
Miljøskadeligeegenskaber
De miljøskadelige egenskaber omtales ofte som PBT, hvor P står for Persistens, B for Bio-akkumulerbarhed og T for Toxicitet.Sammenhængen mellem disse egenskaber og offshore-kemikaliernes ”farve-kode” (sort, rød, gulog grøn) er lidt forenklet gengivet herunder for organiske stoffer som der er flest af.Den nærmere sammenhæng er gengivet i OSPAR Recommendation 2008/1.
P Persistens
Et stofs modstand mod nedbrydning ved naturlige processer. Persistente stoffer kan skadelevende organismer mange år efter og langt fra de steder, hvor stofferne oprindelig blev anvendt.Måles ved stoffernes biologiske nedbrydelighed (bio-degredation)
B Bio-akkumulerbarhed
Ved et stofs bio-akkumulerbarhed forstås stoffets evne til at ophobes i en organisme.Undersøges ved laboratorieforsøg over 28 dage.Graden af giftighed.Testes ved laboratorieforsøg i forhold til forskellige forsøgsdyr (alger, muslinger, fisk)Stoffer der er optaget på OSPAR’s liste over sorte kemikalier(List of Chemicals for Priority Action)P ”Stærkt” Persistente stoffer, ellerStoffer med 2 af følgende 3 egenskaber:p: ”Let” persistente”B: BioakkumulerbareT: ToxiskeD.v.s. at følgende kombinationer er røde:Pp og Bp og TB og T
T Toxicitet
SorteoffshorekemikalierRødeoffshorekemikalier
Guleoffshorekemikalier
Følgende kombinationer er gule:pBTHverken p, B eller T (men dog ikke optaget på listen over grønne stoffer)
GrønneOffshorekemikalier
Stoffer der er optaget på OSPAR’s liste over PLONOR stoffer(PoseLittle Or No Riskfor the Environment)
7
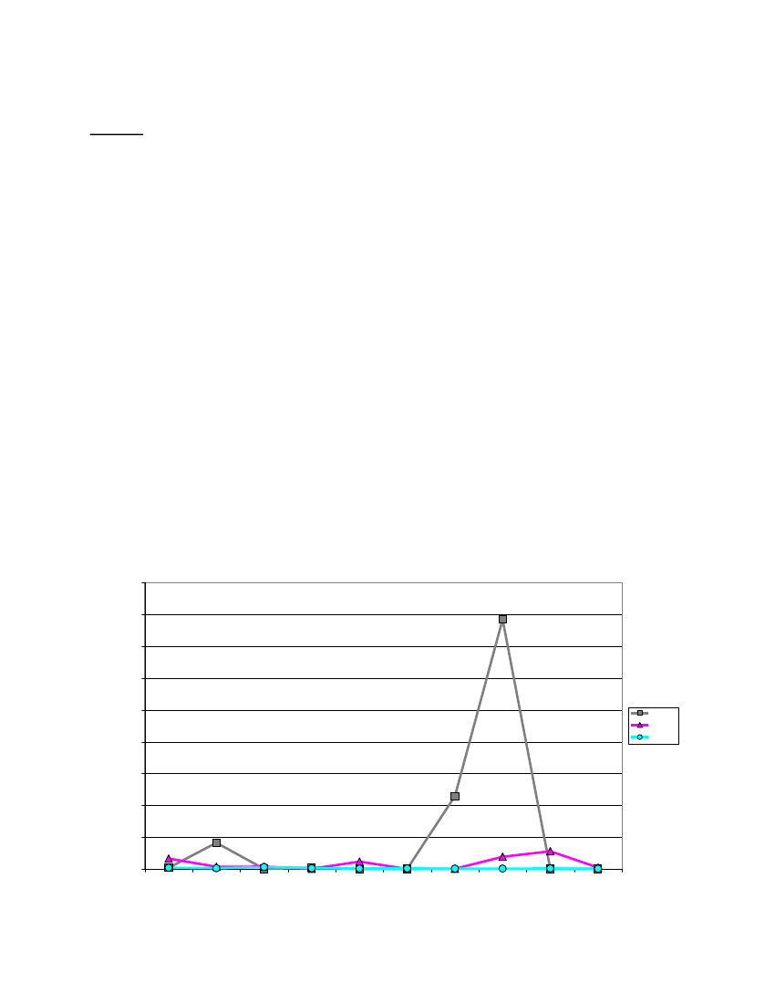
Operatørerne fortsætter den løbende substitution af kemikalier med henblik på, at udledningaf såkaldte ”røde” kemikalier ophører senest med udgangen af 2008, hvor det er realistiskmuligt (”Best Available Technique”), og hvor anvendelsen af alternative kemikalier vil være enmiljømæssig fordel samlet set.Målet er opfyldt.De danske operatører har alle stoppet udledningen af røde kemikalier med udgangen af 2008, hvor detvar realistisk muligt og en miljømæssig fordel samlet set.I alt var der ved udgangen af 2008 hvor målet skulle være nået udfaset 99,7 % af den mængde rødekemikalier der blev udledt før den første offshore-handlingsplan i 2005.Målsætningen i havmiljøkonventionen OSPAR er, at udfasning af udledningen af de røde kemikalier skalske inden 1. januar 2017.Den hidtidige udvikling for udledningen af røde kemikalier hhv. for de danske operatører og for Danmark3sammenlignet med de øvrige Nordsø-lande fremgår af figur 2a og 2b . Udledningen i 2005 udgjorde 425tons. Dette blev i 2007 reduceret til 121 tons og i 2009 til 1,4 tons.Desværre er mængden af røde stoffer i 2010 atter steget til 6,9 tons. Udledningen af de røde kemikaliersker alene hos Mærsk, mens der for de øvrige operatører ikke er sket udledning af røde kemikalier i 2010.Miljøstyrelsen vil inden en ny udledningstilladelse for 2012 skal gives nærmere undersøge baggrunden fordette sammen med Mærsk.De røde kemikalier er blevet erstattet af grønne eller gule kemikalier. Som omtalt på side 6 bør man på langtsigt kun have grønne kemikalier med ingen eller kun meget begrænset skadelige effekter på miljøet.Selv om udfasningen af de røde kemikalier har ført til, at operatørerne anvender en større andel gule kemikalier(11 % i 2010 mod 9 % i 2001) er mængden af gule kemikalier der udledes ikke steget (1396 tons i 2010 mod4860 tons i 2001), da den samlede mængde af udledte kemikalier samtidigt er faldet (fra 55.000 tons i 2001 til12.000 tons i 2010). Hvordan man vurderer små mængder røde kemikalier mod større mængder gulekemikalier er et tema i den nye vurderingsmetode (RBA-metoden) der er under udvikling i OSPAR. (se side 13).
3 UK har endnu ikke udarbejdet en fuldstændig opgørelse over kemikalieudledningen for 2006.
8
Figur 2a: Udvikling i mængden af udledte røde kemikalier i Danmark120
100
80
2002 = 100
Hess
60
DONGMærsk
40
20
0200220032004200520062007200820092010
Figur 2a (detalje af 2008-2010): Udvikling i m ængden af udledte røde kem ikalier i Danm ark25
20
2002 = 100
15
HessDONGMærsk
10
5
0200820092010
9
250200
Figur 2b: Udvikling i mængden af udledte røde kemikalier(2003 = 100)(der foreligger ikke sammenlignelige tal for UK for 2006)
Danmark
150100500
NederlandeneNorgeUKNordsøen
2003
2004
2005
2006
2007
2008
2009
2010
2011
2012
2013
2014
2015
2016OSPAR
Selv hvis der ikke udledes røde kemikalier, så anvendes disse stadig i offshoreindustrien, men bortskaffestypisk ved at blive ledt ned i undergrunden i stedet for at blive udledt til havet.Det er især under boreaktiviteter i forbindelse med efterforskningen efter olie og gas, at der anvendeskemikalier. Derfor er den anvendte mængde af kemikalier også meget afhængig af hvor stor enboreaktivitet der er i gang det pågældende år.I figur 2c er vist udviklingen for de anvendte røde offshorekemikalier i den danske del af Nordsøen. Somdet ses er der også siden den første danske offshorehandlingsplan i 2005 sket en væsentlig reduktion afden anvendte mængde røde kemikalier. Det er dog uklar i hvilket omfang dette skyldes en mindsketboreaktivitet eller andre årsager.En af de danske operatører, Hess , har i samarbejde med en norsk kemikalieleverandør siden 2006 somden første operatør i verden (efter de oplysninger som Miljøstyrelsen har kunnet fremskaffe) foretagetproduktion og boring efter olie helt uden anvendelse (ikke kun uden udledning) af røde kemikalier.DONG har i 2010 anvendt ca. 16 tons røde kemikalier, og Mærsk anvendte 765 tons røde kemikalier.Den senest tilkomne operatør i den danske del af Nordsøen, firmaet Wintershall, der er hjemmehørende iNederlandene, er endnu ikke begyndt at producere olie eller gas, men har i 2009 foretaget boreaktiviteter iNordsøen. Der er i forbindelse med disse aktiviteter anvendt ca. 17 tons røde kemikalier, men kun udledt20 kg.Miljøstyrelsen har i 2011 modtaget en boreansøgning fra en ny operatør, NORECO, hvor man planlæggerstort set kun at anvende grønne offshorekemikalier, dog suppleret med mindre mængder af tre gulekemikalier.4
4 I denne rapport bruges benævnelserne DONG, Hess og Mærsk som forkortelser for de mere officielle navne: DONG Energy E & P(efterforskning og produktion), Hess Danmark ApS og Mærsk Olie og Gas AS.
10
M
ål2017
Dette kan skyldes særligt gunstige forhold i undergrunden, men må dog ses som et klart signal om, atudviklingen går i retning af, at efterforskningen efter og produktionen af olie og gas sker med anvendelseaf stadigt mindre mængder af miljøskadelige kemikalier.I havmiljøkonventionen OSPAR pågår en drøftelse af, om man skal vurdere en bestemt gruppe offshorekemikalier (overfladeaktive stoffer) som røde eller gule kemikalier. Den nærmere afklaring af dette kanændre på de ovennævnte tal, da nogle af de røde kemikalier kan blive ændret til gule og omvendt.Figur 2c: Udvikling i mængden af anvendte røde kemikalier i Danmark120
100
80HessDONG
60
Mærsk
40
20
2005 = 100
0200520062007200820092010
Det skal være lettere at væregrøn offshore operatørNu hvor mængden og antallet af rødekemikalier der udledes i den danske del afNordsøen er blevet stærkt begrænset, erMiljøstyrelsen i gang med at udarbejde enpositiv-liste. Den skal omfatte de grønneog gule offshore-kemikalier som ergodkendt til brug for operatører i dendanske del af Nordsøen, og som kananvendes uden ansøgning, blot ved atmeddele Miljøstyrelsen at de benyttes.Herved kan spares tid til at laveansøgninger og skulle vente på tilladelse.Positiv-listen forventes at kunnefremlægges i efteråret 2011.For eventuelle røde kemikalier der ønskesanvendt (men ikke udledt) skal der stadigsøges om tilladelse.
11
Hvordan er detgået medudfasningen afde rødekemikalier?
Nordsøen 2005 - 2008I 2005 blev der i den danske del af Nordsøenudledt 425 tons rødt stof (se nærmere på side6) i de anvendte kemikalier. I hele Nordsøenblev der udledt 4462 tons.I 2008 (det seneste år hvor vi har data fra allelande) blev der i hele Nordsøen udledt 1747tons rødt stof, hvoraf den danske andeludgjorde 112 tons..
Danmark i 2010Hess og DONG har i 2010 ikke udledt røde kemikalier.Mærsk har i 2010 udledt 7 tons røde kemikalier. Det er enstigning i forhold til 2009, hvor der kun blev udledt 1,4 ton,Udledningen af røde stoffer i 2010 svarer til 1-2 % af detder blev udledt i 2005, hvor den første offshore-handlingsplan blev lavet.Røde kemikalier bruges også som beredskab i forbindelsemed enkeltstående operationer, hvis de grønne eller gulekemikalier ikke kan klare opgaven. Denne udledning vilvære begrænset og kun ske iht. aftale med Miljøstyrelsen.
Røde kemikalier i den danske del af NordsøenUdledt stofmængde i tons450400350300250Tons
20015010050020052006200720082009
Hvorfor er detsidste rødekemikalie ikkeblevet udfaset?
Nogle af de røde kemikalier, som stadigplanmæssigt udledes af Mærsk, bruges til atforhindre begroning i køle- og brandvands-systemer.I stedet for at bruge et rødt kemikalie kunneman i stedet bruge et gult, men for at opnåsamme virkning kan det være nødvendigt atbruge en væsentlig større mængde (ca. 100gange mere).
Røde stoffer udgør den største risiko for miljøet, menudfordringen er, hvor stor en mængde af de mindrerisikable gule kemikalier, der vil udgøre en lige stormiljømæssig risiko, som en mindre mængde rødtkemikalie.Den problemstilling forventer man, at den nye RBA-vurderingsmetode5vil kunne give svaret på for denenkelte platform. Vurderingsmetoden er ved at bliveudviklet i OSPAR og forventes taget i brug i 2012.Indtil da vil Miljøstyrelsen (ligesom OSPAR) fastholde, atman så vidt muligt skal erstatte røde kemikalier med guleeller helst grønne.
5
RBA: Risk Based Approach. Se nærmere forklaring i afsnittet Ændret vurderingsmetode
12
Ændret vurderingsmetode
Operatørerne gennemfører i samarbejde med Miljøstyrelsen en evaluering af risikobaseredemiljøvurderinger som kan danne grundlag for Miljøstyrelsens indstilling til OSPAR’s arbejdemed fra 2010 at implementere risikobaserede miljøvurderinger.Formålet med overgangen til risikobaserede miljøvurderinger er, at man for hvert enkeltanlæg tager fat i de miljøproblemer der er de alvorligste for netop dette anlæg for at sikre, atman får mest miljø for pengene.
Målet er opfyldt.Operatørerne og Miljøstyrelsen gennemførte i fællesskab en evaluering af risikobaserede miljøvurderingerog fremlagde et notat for den fælles styregruppe samt fremsendte det som oplæg til den internationaleoperatørsammenslutning, OGP’s, konference om emnet i Edinburgh i januar 2009. Miljøstyrelsen og enrepræsentant for operatørerne har siden deltaget i udviklingsarbejdet i OSPAR omkring den ny RBA-metode (Risk Based Approach) for udledning af produktionsvand.Overgangen til den ny metode forventes at ske i løbet af 2012.Dermed får man en vurderingsmetode, der kan anvendes til vurdering af forurening (olie, tilsattekemikalier og evt. urenheder fra undergrunden) i produktionsvand der udledes til havet.Vurderingsmetoden omfatter dog ikke udledninger ved efterforskningsboringer og ikke luftforurening.Princippet er, at man for den enkelte platform (udledningssted) vurderer hvilket problem det miljømæssigtbedst kan betale sig at gøre noget ved. Det kan i nogle tilfælde være olieudledningen, i andre tilfælde etbestemt kemikalie. Når dette problem så er løst vil vurderingen vise, hvilket problem der så er det værsteog så fremdeles.Princippet i metoden har gennem en længere årrække været anvendt som styringsmiddel i Norge, og medgode miljømæssige resultater.
OlieudledningerOperatørerne overholder fra 1. januar 2006 en grænseværdi for olie i udledt produktionsvandpå 30 mg/l målt som volumenvægtet månedsgennemsnit beregnet efter aftale mellemoperatørerne og Miljøstyrelsen.Målet delvist opfyldt.Der er stadig overskridelser i den danske del af Nordsøen, men som det fremgår af de hidtidigesammenligninger opgjort som indikator 7 i bilag 1 har Danmark gennem flere år været bedre endgennemsnittet i Nordsø-landene og i flere tilfælde bedst. (data for 2009 foreligger endnu ikke).Det hænger sammen med, at man i den ovenstående danske målsætning (og i tabellen nedenunder) harfastholdt OSPAR’s egentlige målsætning om at opgøre overskridelserne som et månedsgennemsnit,mens man i OSPAR’s statistik, som danner grundlag for sammenligningerne mellem landene i bilag 1,regner med det noget lempeligere årsgennemsnit. Målt på den måde har Danmark ikke haft overskridelseri perioden 2004-2008, men har haft to (Tyra EA og Tyra EF) i 2009 og en (Tyra EA) i 2010.Miljøstyrelsen har vurderet, at den samlede ekstra oliemængde, som Mærsk har udledt i 2010 fordi manhar overskredet grænsen på 30 mg/l svarer til 12 liter olie om dagen. Dette skal ses i relation til at Mærskhar tilladelse til dagligt at udlede 650 liter olie sammen med produktionsvandet, og at Mærsk dagligtproducerer ca. 37.000.000 liter olie.
13
Tabel 2a:Antal overskridelser af den fra 2006 fastsatte grænseværdi 30 mg/l (månedsbasis) for olie i produktionsvand
Hess20042005Grænseværdienindføres i Danmark07
DONG12
Mærsk1811
6
Danmark1920
20062007
0
2Siri (2)3Siri (3)
1Syd Arne (1)
2008
0
6Siri (6)
2009
0
0
2010
0
1Siri (1)
3Skjold (1)Tyra EF (2)9Gorm C (1)Skjold (7)Tyra EF (1)19Dagmar (2)Gorm C (1)Skjold (6)Tyra EA (3)Tyra EF (7)15Skjold (2)Tyra EA (7)Tyra EF (6)13Gorm F (1)Harald (1)Skjold (3)Tyra EA (8)
5
13
25
15
14
Som det ses af tabel 2a er der en tendens til at det er ved de samme produktionsplatforme der skeroverskridelser år efter år.I tabel 2b er angivet hvor mange overskridelser den enkelte produktionsplatform med udledning afproduktionsvand har haft i perioden 2006 – 2010.
Tabel 2b:Antal overskridelser i perioden 2006-2010 af grænseværdien 30 mg/l (månedsbasis) for olie i produktionsvand
ProduktionsplatformSkjoldTyra EATyra EFSiriDagmarGorm CGorm FHaraldSyd Arne
Antal overskridelser1918161222111
6
Mærsk har 10 vandproducerende anlæg, mens Hess og DONG har hver 1 anlæg.
14
De øvrige platforme med produktionsvand: Dan FC, Dan FF, Dan FG, Harald C og Tyra W har ikke haftnogen overskridelser i perioden 2006 – 2010.
Som konsekvens af debatten i pressen og i FMPU i vinteren 2010-2011 bl.a. om overholdelsen afgrænseværdien på 30 mg/l olie i produktionsvand, er der i de udledningstilladelser der er udstedt i januar2011 sket følgende ændring på dette område:Hurtigere besked til myndighederne ved risiko for høj oliekoncentrationoDer er indført et krav om, at operatøren melder til Miljøstyrelsen, hvis den gennemsnitligedaglige oliekoncentration overstiger 30 mg/l i 5 dage i træk sammen med en vurdering af omgrænseværdien for månedsgennemsnittet kan risikere at blive overtrådt, samt en beskrivelseaf årsagen til de høje værdier og hvad operatøren har tænkt sig at gøre for at løse problemet.
(2005): Operatørerne arbejder løbende på at nedbringe koncentrationen af olie i udledtproduktionsvand mest muligt. Miljøstyrelsen udarbejder i samarbejde med Energistyrelsen oghver af operatørerne en redegørelse om mulighederne for yderligere injektion i undergrundenaf produktionsvand og andre muligheder for reduktion af udledningerne af olie medproduktionsvand.
Målet er opfyldt.Operatørerne har efter oplæg fra Miljøstyrelsen og Energistyrelsen i efteråret 2007 udarbejdetredegørelser om mulighederne for yderligere injektion i undergrunden af produktionsvand og andremuligheder for reduktion af udledningerne af olie med produktionsvand.(2009): Målsætningen er at reducere mængden af udledt (dispergeret) olie medproduktionsvand til 15 procent under niveauet i 2000 og dermed nå OSPAR’s 2006-mål.Operatørerne forpligter sig til at arbejde for at nå målet i løbet af 2010, omend operationelleforhold kan påvirke resultaterne. Generelt tilstræbes en fortsat udvikling parallel medudviklingen i de øvrige Nordsø-lande.Forudsætningerne for målet er dels, at det nås gennem anvendelse af ny teknologi og øgetanvendelse af kendt teknologi på de felter, hvor det kan lade sig gøre – inden for rammerne afBAT, dels at der opretholdes en effektiv produktion.Dette søges bl.a. opnået gennem følgende delmål:Den enkelte operatør forpligter sig til at arbejde for, at rensningen af det udledteproducerede vand forbedres i forhold til niveauet for 2007 med henblik på at forbedreniveauet for Danmark som helhed fra 15 mg/l (årsgennemsnit) i 2007 til 10 mg/l i 2010beregnet efter aftale mellem operatørerne og Miljøstyrelsen.Den enkelte operatør forpligter sig til at arbejde for, at mængden af produktionsvand dertilbageføres til undergrunden fastholdes eller helst forøges i forhold til niveauet i 2008.Som støtte for den sidste delmålsætning vurderes det i en supplerende rapport indenudgangen af 2009 hvorvidt der er yderligere muligheder for re-injektion af produktionsvandsom trykstøtte i forbindelse med olieproduktionen.De dele af målet der vedrører reduktion af mængden af udledt olie, oliekoncentrationen og tilbageføring afproduktionsvand til undergrunden er opfyldt, som det vil blive nærmere omtalt i det følgende.
15
Den del af målet, der handler om, at man i Danmark for reduktion af mængden af udledt olie generelt skaltilstræbe en fortsat udvikling parallel med udviklingen i de øvrige Nordsø-lande, kan endnu ikke gøres op.På grund af skift i målemetode for olie i produktionsvand på forskellige tidspunkter i de enkelte lande oghos de enkelte operatører i landene kan man først foretage en reel sammenligning af forholdene, når manhar data for et helt år hvor alle er gået over til den nye målemetode. Det vil være tilfældet med data for2010 for alle Nordsø-lande, som man vil have til rådighed i sommeren 2012.
Udledningen af olie med produktionsvand kan i det væsentlige reduceres gennem tre tiltag:Reduktion af mængden af produktionsvandØget tilbageføring af vandet til undergrunden (re-injektion)Øget rensning af det vand der ikke føres tilbage til undergrunden, men ledes ud til havet
Mængden af produktionsvand, der kommer op fra undergrunden sammen med den producerede olie og3gas, er som det fremgår af figur 3 i perioden 2001-2008 steget med ca. 85 % fra ca. 21 mill. m til lidt over339 mill. m . Ifølge de danske operatører skyldes dette især felternes stigende alder. Denne udvikling er nu3stabiliseret, idet mængden er faldet fra 2008 til 2009 til ca. 38 mill. m for derefter at øges til knap39 mill.3m i 2010.Som det også ses af figuren er udviklingen i mængden af produktionsvand meget forskellig for de enkelteNordsø-lande. Det har ikke været muligt nærmere at afklare, i hvilket omfang forskellene skyldes særligeproduktionsforhold eller det faktum, at man i nogle lande i højere grad har nedlagt de ældste anlæg, derså ikke længere bidrager til mængden af produktionsvand.Der er i perioden 2000-2006 samlet for Nordsø-landene nedlagt 127 anlæg. Heraf tegner UK sig for 52 %,Norge for 36 % og Nederlandene sig for 9 %. I Danmark er ingen anlæg nedlagt i denne periode. Dog harfeltet Dagmar midlertidigt været taget ud af drift i perioden 2005-2008. I 2004 stod Dagmar dog kun for 0,3% af den samlede danske mængde produktionsvand.
Figur 3: Udvikling i årlig mængde af produktionsvand(2001 = 100)200
180
160DanmarkNederlandene
140
NorgeUKNordsøen
120
100
802001 2002 2003 2004 2005 2006 2007 2008 2009 2010
16
Selv om det er en almindelig antagelse, at mængden af produktionsvand stiger med felternes alder, så erstigningstakten i Danmark, som det fremgår af figur 4, dog reduceret væsentligt efter 2005, hvorhandlingsplanen trådte i kraft (fra ca. 17 % om året før 2006 til 3-4 % efter 2006). Som det ses af figur 3har der i Danmark fra 2008 til 2009 ligefrem været et fald i mængden af produktionsvand.
Figur 4: Årlig stigning i procent for mængden af produceret vand40,0
30,0DanmarkNederlandene
20,0
NorgeUKNordsøen
10,0
%
0,02001200220032004200520062007200820092010
-10,0
-20,0
-30,0
-40,0
17
Figur 5: Andel af produceret vand der tilbageføres til undergrunden i procent504540353025201510502001200220032004200520062007200820092010DanmarkNederlandeneNorgeUKNordsøen
Sammenlignet med de øvrige Nordsø-lande har de danske operatører gennem mange år haft envæsentligt større tilbageføring af det producerede vand til undergrunden (se figur 5). Dog må mankonstatere, at tilbageføringsandelen i Danmark fra 2002 til 2008 blev stadigt mindre, mens den i de øvrigehovedsageligt olieproducerende Nordsø-lande steg (i det mindste frem til 2006).Det er dog nu fra 2008 lykkedes at vende udviklingen i Danmark, så tilbageføringsandelen er blevetstørre.Forbedringer af systemerne til tilbageføring af vand til undergrunden er teknisk vanskelig på grund af detætte kridtreservoirer, som specielt forekommer på nogle af Mærsk felterne. Enkelte felter, som ikkelængere bidrager til produktionen, kan muligvis anvendes som tilbageførings-reservoir for igangværendefelter, men kapaciteten er usikker. Den i målsætningen omtalte supplerende rapport er blevet udarbejdet. Irapporten er der opstillet prognoser for tilbageføring af produktionsvand som trykstøtte i årene frem til2014. Ifølge disse forventer DONG i 2014 at kunne tilbageføre 90 % af produktionsvandet, mens Hessforventer mere end 80 % tilbageføring. Mærsk opstiller 3 scenarier for hhv. 30, 60 og 70 % tilbageføring,idet realiseringen af scenarierne afhænger af en række forsøg, hvis resultater vil blive evalueret isommeren 2011. I udledningstilladelserne for 2011 er det forudsat, at stigningen i tilbageføringen afproduktionsvand fastholdes, så der i 2011 samlet for Danmark forventes at ske tilbageføring af mindst 37% af produktionsvandet.
Som konsekvens af debatten i pressen og i FMPU i vinteren 2010-2011 bl.a. om olie i produktionsvand, erder i de udledningstilladelser der er udstedt i januar 2011 sket følgende ændring:Prioritering af at sende det olieholdige produktionsvand ned i undergrunden igen i stedet for atlede det ud i havetoFor de produktionsenheder, hvor det er relevant, har man i udledningstilladelserne prioriteretat sende det olieholdige produktionsvand ned i undergrunden igen frem for snævert set at
18
overholde en koncentrationsgrænse for udledningen, fordi dette samlet set giver den størstereduktion af den udledte oliemængde. Denne prioritering er i overensstemmelse med detanker man i OSPAR-samarbejdet har også i de øvrige Nordsø-lande.
I OSPAR er der i 2006-2008 (på forskellige tidspunkter i de enkelte lande) sket et skift i målemetoden foroliekoncentrationen der bevirker, at det ikke umiddelbart er muligt at sammenligne data før og efter detteskift. Dette skift får også indvirkning på opgørelsen af den udledte mængde olie. Derfor er der i detfølgende i figur 6 og 7 kun medtaget sammenligningsdata for de øvrige Nordsø-lande frem til og med2006. Sammenligningerne med de øvrige lande kan ske igen, når der formentlig for 2010 igen ersammenlignelige data for alle Nordsø-lande (i sommeren 2012).Der er desuden opstillet mål for øget olie-rensning af det vand der ikke føres tilbage til undergrunden, menledes ud til havet, idet den enkelte operatør forpligter sig til at arbejde for, at rensningen af det udledteproducerede vand forbedres for Danmark som helhed så oliekoncentrationen reduceres fra 15 mg/l i 2007til 10 mg/l i 2010. Udviklingen for Danmark frem til og med 2010 er vist i figur 6. Som det ses er måletopfyldt, idet man for 2010 har opnået en oliekoncentration på 8,5 mg/l. For de enkelte danskeopereratører har den gennemsnitlige oliekoncentration i 2010 været 12,5 mg/l for DONG, 10,5 mg/l forHess og 8,5 mg/l for Mærsk.
Figur 6:Oliekoncentration (årsgennemsnit) for udledt (dispergeret) olie i produceret vand i Nordsøen30,0Danmark, gl. metode
25,0
Danmark, ny metodeNederlandeneNorgeUKNordsøen
20,0
mg/l
15,0
10,0
5,0
0,02001200220032004200520062007200820092010DKMål2010
19
Med hensyn til mulighederne for reduktion af udledningerne af olie med produktionsvand som var enindirekte målsætning i den danske Offshorehandlingsplan fra 2005, er der efter at handlingsplanen trådte ikraft sket et fald i mængden af olie udledt med produktionsvand. Før handlingsplanen trådte i kraft havdeudledningen af olie med produktionsvand været stigende siden 1997.Dette skift er bemærkelsesværdigt og nødvendigt, fordi der i OSPAR i 2001 blev fastsat en målsætningom, at de enkelte Nordsø-lande i 2006 skulle have reduceret deres olieudledning i forhold til 2000 med 15%.De fleste andre Nordsø-lande kunne leve op til denne målsætning i 2006, så man samlet set for Nordsø-landene i 2006 opnåede en reduktion på 18 %. Norge nåede dog kun en reduktion på 11 %.Som det ses af figur 7 kunne Danmark ikke leve op til denne målsætning i 2006, men har tværtimod haften stigning i den udledte mængde olie på 46 % fra 2000 til 2006, selvom udledningen er faldet siden2005. Faldet fra 2005 til 2006 skyldes ikke kun at produktionen i den danske del af Nordsøen toppede i2004 og er faldet siden, da olieudledningen også faldt målt relativt i forhold til produktionen. Det skyldesaltså en særlig indsats fra operatørernes side.Dette har yderligere ført til, at der i den nye offshorehandlingsplan 2008-2010 i særlig grad er fokuseret påat nedbringe mængden af den udledte olie med en målsætning om, at operatørerne forpligtede sig til atarbejde for, at OSPAR målet for 2006 skulle være opfyldt for Danmark inden udgangen af 2010.Dette mål - der svarer til at den samlede olieudledning for Danmark i 2010 skulle være nedbragt til 222tons olie - er opfyldt, idet der i 2010 kun er udledt 214 tons olie.
Som konsekvens af debatten i pressen og i FMPU i vinteren 2010-2011 bl.a. om olie der udledes medproduktionsvand, er der i de udledningstilladelser der er udstedt i januar 2011 sket følgende ændring:Løbende kontrol med den samlede olieudledningoFor at sikre, at de udledte oliemængder ikke igen stiger, er hver operatør iudledningstilladelserne blevet tildelt en bestemt mængde der ikke må overstiges. Dettekontrolleres gennem månedlige indberetninger fra operatørerne til Miljøstyrelsen.
20
Figur 7: Udledt (dispergeret) olie i produceret vandfor de enkelte Nordsø-lande(2000 = 100)Danmark, gl. metode
180160140
Danmark, ny metodeNorgeUKNordsøen
2000 = 100
120100806040
2000
2001
2002
2003
2004
2005
2006
2007
2008
2009
2010
Der gennemføres nye, individuelle udledningstilladelser for hvert produktionssted i løbet afforåret 2009.
Målet er opfyldt.Problemet var tidligere, at mens Hess og DONG hver kun har et produktionssted med udledning afproduktionsvand, har Mærsk flere produktionssteder med udledning af produktionsvand. For disse blevder tidligere kun givet en samlet udledningstilladelse til Mærsk. Dette gjorde det vanskeligt at følge ogstille krav til de enkelte produktionssteder. Dette er nu løst gennem de individuelle udledningstilladelserder er udstedt i siden 2009.
Anvendelse af ny teknologiOperatørerne, Miljøstyrelsen og Energistyrelsen vil i fællesskab senest 1. november 2008færdiggøre en gennemgang af igangværende interne studier, samt studier af ny teknologi, somkan implementeres og som søger at sikre, at de særlige danske produktionsvilkår herunderblandt andet mængden af produceret vand og det overordnede formål medoffshorehandlingsplanen tilgodeses samtidig med henblik på at Miljøstyrelsen kan melde dettevidere til OSPAR i december 2008.
21
D
K
M
ål2
010
/OSPA
R
M
ål
20
06
Gennemgangen skal resultere i en plan for implementering af ny miljøvenlig teknologi påplatformene, som supplement til allerede planlagte investeringer.Målet er opfyldt.Som et resultat af den opstillede plan for implementering af ny miljøvenlig teknologi for perioden 2009 –2012 er der i 2009 - 2010 igangsat tiltag for mere end 500 mill. kr. hos de danske operatører.Gennemgangen resulterede i, at der hos de enkelte danske operatører blev opstillet en plan for indførelseaf ny renseteknologi og bedre arbejdsmetoder der sikrer bedre rensning eller mindre olieudledning forperioden frem til 2012. I planen indgår besluttede projekter for ca. 629 mill. kr. og projekter der overvejesnærmere for ca. 574 mill. kr. Som det fremgår af bilag 5 er 15 af planens 19 projekter hos DONG ogMærsk igangsat og flere med gode miljømæssige effekter. Hess har ikke ønsket at oplyse om deresprojekter på nuværende tidspunkt.Den manglende reduktion af den udledte olie i sammenligning med de øvrige Nordsø-lande frem til 2005(jf. figur 7) skyldes ikke, at de danske operatører ikke har investeret i nyt udstyr til reduktion afolieudledningen. Operatørerne har til Miljøstyrelsen oplyst, at de i perioden 2000-2006 samlet har anvendtca. 1,8 milliarder kr. til indsatsen for at reducere olieudledningen. Også de øvrige Nordsø-lande haropgjort omkostningerne ved deres indsats i denne periode, og de ses at de danske operatører har haftklart flest omkostninger målt i forhold til mængde produceret olie og gas. Virkningen af disse investeringerses ifølge operatørerne ikke nødvendigvis med det samme, men først efter nogle år.I tabel 3 er lavet en sammenligning af den økonomiske indsats hos operatørerne i de enkelte primærtolieproducerende Nordsø-lande til reduktion af olieudledningen i perioden 2000-2006.
Tabel 3: Omkostningerne i 2000-2006 i udvalgte Nordsø-lande til reduktion af udledt olieLandSamlet produktion Samlede investeringeri 2001-2006i 2001-2006Millioner tons olie(ækvivalent)16614821114Millioner kr.175855633375Relative investeringer Investeringernesi forhold tilandel af oliensproduktionenhandelsværdiKr. per tons olie%(ækvivalent)10,60,93,80,33,00,3
DanmarkNorgeUK
Som det ses har de danske operatører i forhold til den producerede mængde gas og olie haft ca. tregange så høje omkostninger som operatørerne i de øvrige Nordsø-lande.De anvendte omkostninger i Danmark til reduktion af olieudledningen udgør ca. 0,9 % af handelsværdienaf den producerede olie i samme periode.Som nævnt ovenfor er der hos de danske operatører planlagt yderligere investeringer i perioden 2009-2012 for at opnå yderligere reduktion af den udledte olie med produktionsvand.
Som konsekvens af debatten i pressen og i FMPU i vinteren 2010-2011 bl.a. om olie der udledes medproduktionsvand, er der i de udledningstilladelser der er udstedt i januar 2011 sket følgende ændring:Synlighed omkring indførelse af ny teknologioI et særligt bilag i udledningstilladelserne er anført selskabets planer for indførelse af nyteknologi for den pågældende produktionsenhed i de kommende to år.
22
OliespildOperatørerne fortsætter indsatsen med at reducere mængden af utilsigtede spild af olie meddet overordnede formål helt at undgå dette.
Denne indsats er på sørgelig vis blevet særlig aktuel som følge af det voldsomme olieuheld i DenMexicanske Golf i sommeren 2010.I Nordsøen har man hidtil ikke haft olieuheld af sådanne dimensioner. Dog blev man i den norske sektor i2007 ramt af et ganske stort uheld, og også i den danske sektor havde man i december 2008 et ikkeubetydeligt uheld ved Syd Arne platformen.Hvis man sammenligner den oliemængde der slipper ud ved disse uheld med den oliemængde man givertilladelse til at operatørerne udleder med produktionsvandet, gælder det for Danmark, at spildene siden2001 har udgjort 5 – 10 % af den mængde der tillades udledt, og samlet for alle Nordsø-lande 10 – 15 %af den tilladte udledte mængde.Men i de år, hvor de store uheld sker, er andelen større. I 2007 var mængden ved olieuheldet i Norge 2½gange så stor som den årligt tilladte mængde for hele den norske sektor. Ved uheldet i Danmark i 2008udgjorde oliemængden 25 – 30 % af den årligt tilladte mængde for hele den danske sektor.I OSPAR har man som opfølgning på olieuheldet i Den Mexicanske Golf foretaget en analyse afolieboringer under ekstreme forhold og deres mulige miljøpåvirkninger blandt alle Nordsø- landene (incl.Færøerne og Grønland) dels for at skabe et samlet overblik, dels for at give en samlet indmelding til entilsvarende analyse i EU. Resultatet af denne analyse skal drøftes på OSPAR Kommissionens møde islutningen af juni 2011.
Figur 8a: Oliespild pr. år målt i forhold til produktionen90,0Tons spildt olie pr. million tons produceret (toeq)
80,070,060,050,040,030,020,010,00,02001200220032004200520062007200820092010
HessDONGMærsk
23
Figur 8b: Oliespild pr. år målt i forhold til produktionen18,0Tons spildt olie pr. million tons produceret (toeq)
16,014,012,010,08,06,04,02,00,02001200220032004200520062007200820092010DanmarkNederlandeneNorgeUKNordsøen
(Nederlandene har hovedsagelig gasproduktion og dermed lille sandsynlighed for oliespild)
Luftemissioner• Operatørerne er fra 1. januar 2005 omfattet af den danske kvoteordning for CO2-udledning ogvil også være omfattet af den ny nationale allokeringsplan for perioden 2008-12 og bidragerdermed forholdsmæssigt til den danske klimastrategi.
Målet er opfyldt.I allokeringsplanen for 2008-12 svarer tildelingen af gratiskvoter til offshore sektoren samlet set til ca. 95% af kvotegrundlaget.
(2005): På grundlag af den gennemførte kortlægning af NOx emissioner i Danmark vil der blivegennemført en analyse af de tekniske og økonomiske muligheder for at offshore-sektoren ilighed med andre sektorer kan bidrage til Danmarks gennemførelse af NEC-direktivet.
Målet er opfyldt.NEC-direktivet omhandler et nationalt loft over emissionen af bl.a. NOx. Den omtalte analyse er afsluttetog rapporteret i rapporten ”Analyse af Danmarks muligheder for at reducere emissionerne af NOx i 2010”,der blev offentliggjort i juli 2006.Dette analysearbejde har efterfølgende bl.a. dannet baggrund for Lov nr. 472 af 17.6.2008, der fra1.1.2010 omfatter en NOx-afgift på 5 kr./ kg udledt NOx, regnet som NO2, der også dækker udledning fraoffshore området.
24
Til sammenligning har man i Norge i 2008 indført en NOx-afgift, som for udledninger fra offshoreaktiviteter er 11 norske kroner/kg udledt NOx, regnet som NO2.
(2008): Indsats over for SO2 og nmVOCOperatørerne og Miljøstyrelsen vil i fællesskab inden 1. december 2008 undersøge behovet forat reducere udledningen af SO2 og nmVOC, for blandt andet at bedømme i hvor høj gradoffshoreindustrien kan bidrage til Danmarks gennemførelse af NEC direktivet og den af IMOplanlagte reduktion af disse stoffer fra skibsfarten. Såfremt der herigennem konstateres etsådant behov udarbejder arbejdsgruppen inden 1. maj 2009 forslag til konkrete målsætningerfor at kunne opfylde behovet.
Målet er opfyldt.Operatørerne og Miljøstyrelsen undersøgte i fællesskab behovet og fremlagde et notat for den fællesstyregruppe. Dette førte til fastsættelsen af målsætningen nedenfor.
(2009): Operatørerne er fra 1. januar 2010 omfattet af den danske NOx afgift, jf. L 169, og bidragerdermed i lighed med andre sektorer til Danmarks gennemførelse af NEC-direktivet.Da det er afgørende for Danmarks overholdelse af NEC-direktivet, at mængden af nmVOCreduceres inden udgangen af 2010, er det vigtigt, at også de danske operatører bidrager til enreduktion af nmVOC.Operatørerne arbejder for at reducere udledningerne af nmVOC fra ca. 3.200 tons til 2.300 tonsi 2010 med afsæt i de kendte produktionsfremskrivninger.
Målet er ikke opfyldt. Baggrunden for dette er, at nogle operatører har opfattet det på den måde, at detiltag, der skulle føre til reduktionen, først skulle gennemføres i løbet af 2010. Der har derfor i starten af2010 været en for stor udledning. Opfyldelsen af målet kan derfor først vurderes, når man i 2012 har datafor 2011, hvor tiltagene er fuldt gennemført fra starten af året.Inden udgangen af 2010 forpligter de operatører der laster olien på skibe sig til udelukkende atbenytte skibe der har installeret udstyr der reducerer udledningen af nmVOC til transport afolien.
Målet er opfyldt.Både DONG og Hess, som er de danske operatører der laster olie på skibe, har begge meddelt, at de iløbet af 2010 er gået over til udelukkende benytte skibe der har installeret udstyr der reducererudledningen af nmVOC til transport af olien.Dette kan få betydning for Danmarks samlede overholdelse af det nationale loft i NEC-direktivet daoffshore er en af kilderne til NOx og nmVOC emissioner.
Miljøledelse og miljørapporteringOperatørerne indfører senest i 2006 miljøledelse med et certificerbart system eller andenlignende ordning. Såfremt der vælges en anden lignende ordning skal en uafhængig tredjepartverificere overholdelse af lovgivningens krav til miljørapportering og målemetoder.Målet er opfyldt.To af de danske operatører: Hess og DONG, havde allerede inden offshorehandlingsplanen indført etcertificeret miljøledelsessystem efter den internationale standard ISO 14001.
25
Mærsk har indtil nu arbejdet efter en lignende ordning, men har arbejdet på at få certificeret sitmiljøledelsessystem efter ISO 14001, hvilket er lykkedes i foråret 2011.Hidtil har Mærsk som krævet i den danske offshorehandlingsplan fået foretaget en årlig verifikation ved enuafhængig tredjepart i forhold til overholdelse af lovgivning, monitering og rapportering. Miljøstyrelsen harfra Mærsk fået tilsendt dokumentation for verifikationerne.
Operatørerne udarbejder hver især og med start senest for året 2006 en årlig miljørapport,som gøres offentlig tilgængelig. Rapporten redegør for miljøpåvirkninger som følge af olie- oggasproduktionen, herunder udledning af stoffer til hav og atmosfære.
Målet er delvist opfyldt.Målet var opfyldt i 2007 og 2008, idet alle de danske operatører i 2008 udarbejdede årlige offentligttilgængelige miljørapporter for olie- og gasproduktionen, der opfylder den ovenstående målsætning. For2009 og 2010 var dette også tilfældet for Mærsk og Hess.
For Mærsk kan rapporten for 2010 findes på følgende link:http://www.maerskoil.com/Media/NewsAndPressReleases/Lists/NewsAttachments/Milj%c3%b8statusrapport2010fordanskeolie-oggasaktiviteter/Milj%c3%b8statusrapport%202010%20(Danish).pdf
For Hess kan rapporten fås ved henvendelse til tlf. 33 30 12 33 eller til[email protected].Hos Hess er den årlige miljørapport udarbejdet på grundlag af deres miljøledelsessystem efter ISO14001, der verificeres af certificeringsorganet Dansk Standard.For DONG er den tidligere selvstændige miljørapport for olie- og gasaktiviteterne nu gjort til en del af etsamlet koncernregnskab (ansvarlighedsrapport).Desværre må man sige at denne rapport fra DONG ikke lever op til den ovennævnte målsætning, da derikke længere på tilfredsstillende vis er redegjort for ”miljøpåvirkninger som følge af olie- oggasproduktionen, herunder udledning af stoffer til hav og atmosfære” eller for boreaktiviteterne i dendanske del af Nordsøen, ligesom der ikke er anført specifikke interne miljømål for dette område for detkommende år. Rapporten er derfor ikke som tidligere udarbejdet på grundlag af deresmiljøledelsessystem efter ISO 14001.
Tilsyn og beredskabOperatørerne gennemfører med start senest i 2006 en årlig certificering af offshorelaboratorier efter nærmere aftale med Miljøstyrelsen.Målet er opfyldt.Det er aftalt med operatørerne, at de fremsender de årlige auditrapporter fra certificeringsorganerne tilMiljøstyrelsen. Rapporterne dækker målinger af olie i produktionsvand, som gennemføres på offshorelaboratorier som dokumentation for, at dette punkt i handlingsplanen er opfyldt. Certificeringen af offshorelaboratorierne er hidtil sket hvert år.
26
Som konsekvens af debatten i pressen og i FMPU i vinteren 2010-2011 bl.a. om øget ekstern kontrol medvandprøver der udtages, er det i udledningstilladelserne indføjet, at operatørernes laboratorieprocedurerog – praksis på offshore laboratorier og behandling af analyseresultaterne i land mindst 2 gange årligt skalverificeres i henhold til principperne for god laboratoriepraksis (GLP) og retningslinjerne angivet iudledningstilladelsen af en uafhængig 3. part godkendt af Miljøstyrelsen. Såfremt denne verifikationgennemføres uden væsentlige afvigelser, skal verifikationen dog efterfølgende kun ske 1 gang årligt.
Miljøstyrelsen vil fortsat føre aktivt tilsyn med operatørernes påvirkning af havmiljøet. Dettetilsyn vil blive synliggjort gennem en årlig tilsynsrapport, der fremsendes til Folketinget ogoffentliggøres på Miljøstyrelsens hjemmeside fra tilsynsåret 2006.
Målet betragtes som opfyldt, idet der dog udestår, at tilsynsrapporter offentliggøres på Miljøstyrelsenshjemmeside.Miljøstyrelsen fører løbende tilsyn med operatørernes virke primært gennem de årlige sammenfattenderapporteringer til OSPAR, men for olieområdet også gennem månedlige rapporter over udlednings-mængder og koncentrationer.Miljøstyrelsen har desuden gennemført de i tabel 4 anførte tilsynsbesøg på platformene i Nordsøen.Det har hidtil været planen, at besøge de enkelte bemandede platforme hvert tredje år, dog ved særligesituationer oftere, svarende til den besøgsfrekvens der ved internationale akkrediteringer gælder forcertificeringsorganernes arbejde, samt årligt at besøge en af de flytbare borerigge.Miljøstyrelsen samarbejder med Energistyrelsen om en koordinering af tilsynene. Energistyrelsenvaretager tilsynet med arbejdsmiljø og sikkerhed på platformene.Som konsekvens af debatten i pressen og i FMPU i vinteren 2010-2011 bl.a. om øget ekstern kontrol medvandprøver der udtages, er det besluttet at øge Miljøstyrelsens tilsyn med operatørerne i Danmark. Dettevil blive effektueret i løbet af 2011.
Tabel 4: Oversigt over tilsynsbesøg på olieplatforme og borerigge i NordsøenHessDONGMærskBoreriggeAntal bemandedeplatformePlatformnavne
DanmarkBesøg i alt
1Syd Arne
1Siri
7DanGormHalfdanHaraldSkjoldTyra VestTyra Øst
Variabelt
Senestetilsynsbesøg
2002
2006
Besøg i 2005Besøg i 2006Besøg i 2007
000
010
2008(Halfdan)2009(Dan og Tyra Vest)2010(Gorm og Tyra Øst)101
2009(Noble ByronWelliver)
000
111
27
Besøg i 2008Besøg i 2009Besøg i 2010Besøg i 2011 (plan)
0001
0001
2423
1102
3527
Som følge af debatten i pressen og i FMPU i vinteren 2010-2011 bl.a. om øget ekstern kontrol med devandprøver operatørerne er pålagt at udtage, er det besluttet at ændre udledningstilladelserne påfølgende punkter:Prøvetagning på faste tidspunkter så man ikke selv kan vælge et bedre tidspunkt og flere dagligevandprøver de næste 6 måneder ved dårlige resultater.Plan for on-line måleudstyr til procesoptimering af renseanlæg for produktionsvand på alleudledningspunkter, så dette er indført overalt i begyndelsen af 2012.Hurtig undersøgelse af mulighed for yderligere kontrol (på baggrund af nærmere redegørelser fraoperatørerne inden 15. maj 2011). Operatørerne blev i januar 2011 pålagt, at udarbejdenedenstående redegørelser til Miljøstyrelsen:En redegørelse for mulighederne for at bruge on-line udstyr til løbende registrering afolieindholdet i produktionsvandet og som grundlag for rapportering til Miljøstyrelsen i forholdtil overholdelse af 30 mg/l grænseværdienEn redegørelse der indeholder en beskrivelse af det udstyr, der anvendes til måling afmængden af produktionsvand og den hertil knyttede måleusikkerhed.oDisse to redegørelser viser, at det vil være forbundet med for store usikkerheder atanvende on-line udstyr som grundlag for den pålagte registrering til Miljøstyrelsen omoverholdelse af 30 mg/l grænseværdienoDerimod har man tiltro til at on-line udstyr vil kunne anvendes til processtyring ogprocesoptimering som et værktøj til at opdage uregelmæssigheder hurtigere enduden dette udstyroMiljøstyrelsen har for at fremme dette pålagt operatørerne at gennemføre deresallerede planlagte indførelse af on-line udstyr, så det er indført overalt i begyndelsenaf 2012.oMiljøstyrelsen har desuden under et besøg hos de norske miljømyndigheder i maj2011 fået bekræftet denne opfattelse.En redegørelse for mulighederne for at installere plomberet prøvetagningsudstyr.oMiljøstyrelsen har efterfølgende fået disse redegørelser vurderet hos en uvildigrådgiver. I vurderingen hedder det, at der i dag ikke findes noget udstyr, som er egnettil denne form for automatisk prøveudtagning. Derfor må kontrollen for oliegennemføres som stikprøvetagning, hvor det skal ske i forbindelse med en fritfaldende vandstråle, da der ved stillestående prøver sker en lag-deling mellem olie ogvand som påvirker resultatet af prøven. Prøven udtaget som stikprøve kan kun give etøjebliksbillede på udtagningstidspunktet.oUnder det ovennævnte besøg hos de norske miljømyndigheder har Miljøstyrelsen fåetbekræftet, at man her er enig i, at der ikke i dag findes udstyr, der er egnet tilautomatisk prøveudtagning.
Miljøtilstanden i den danske del af NordsøenMiljøtilstanden, vurderet som artsrigdommen af bunddyrene og olieindholdet i sedimentet iden danske del af Nordsøen, er en vigtig parameter ved bedømmelse af påvirkninger afhavmiljøet. Miljøtilstanden skal som hidtil dokumenteres gennem biologiske og kemiskemålinger hvert 3. år efter internationalt anerkendte standarder, næste gang i 2009.Operatørerne, Miljøstyrelsen og By- og Landskabsstyrelsen vil i samarbejde inden 1. december2008 med udgangspunkt i rapporten ”Analysis and Assessment of Biological and Chemical
28
Monitoring Data from Offshore Platforms in the Danish Sector of the North Sea in 1989 - 2006 -Report May 2008”, udarbejde kriterier for hvad der skal forstås ved en acceptabel tilstand.På grundlag af nye måledata fra foråret 2009 vurderes det inden 1. december 2009, om manmed dette som grundlag vil kunne anvende resultater fra monitering af havbunden til atbeskrive, hvad der for den enkelte platform skal forstås ved en acceptabel miljøtilstand.
Målet er opfyldt.I 2006 blev der gennemført en monitering af miljøforholdene omkring platformene Tyra Øst, Gorm, Dan F,Siri og Syd Arne. Påvirkningerne af det marine miljø fra platformenes udledninger var i alle tilfældebegrænset til et nærområde omkring platformene. De løbende moniteringer sker ca. hvert tredje år.Resultaterne af disse moniteringer, der har fundet sted siden 1989, blev på foranledning af operatørerneaf DHI sammenfattet i en rapport med titlen: ”Analyses and assessment of biological and chemicalmonitoring data from offshore platforms in the Danish Sector of the North Sea in 1989-2006”, DHI May2008. En ny monitering er planlagt i 2009.I 2009 blev der moniteret ved 6 platforme i Nordsøen. De 6 platforme var udvalgt på baggrund afforskellige udledningsscenarier og placeringer med henblik på at pege på egnede miljøindikatorer for deforskellige platforme. Selve moniteringsprogrammet var udformet til nærmere at belyse hovedårsagerne tilde observerede miljøpåvirkninger fra de udvalgte platforme. Moniteringen viser at påvirkningen af miljøetaftager med afstanden til platformene og at påvirkningen er større nedstrøms platformene. Det erimidlertid vanskeligt at skelne mellem den naturlige tidslige variation i bundfaunaens artsrigdom ogindividantal og forureningspåvirkningen fra platformsaktiviteter. Det har derfor ikke været muligt, atbeskrive hvad der skal forstås ved en acceptabel miljøtilstand for den enkelte platform. Der arbejdesvidere med denne problemstilling frem mod 2012, hvor god miljøtilstand for de danske havområder skalbeskrives i forbindelse med implementeringen af havstrategidirektivet. Beskrivelsen af god miljøtilstand,samt fastlæggelse af miljømål sker på baggrund af basisanalyser, hvori offshore moniteringsdata vil indgåsom en del af grundlagetNye feltudbygningerForhold, som allokering af udledninger og emissioner til nye feltudbygninger oggrænseoverskridende feltudbygninger afklares i løbet af 2009 i konsultation mellem DanishOperators og Miljøstyrelsen med afsæt i gældende national lovgivning og internationale aftaler
Målet er opfyldt.Konsultationer primært med Mærsk under drøftelser af deres VVM-redegørelse for perioden 2011 – 2015har ført til, at Miljøstyrelsen i forbindelse med nye udledningstilladelser i januar 2011 har fastsat enbestemt fremtidig øvre grænse for udledningen af olie med produktionsvand for de enkelte producerendeselskaber, der også gælder for selskabernes nye feltudbygninger, dog således at dette må revurderes ilyset af de udledningskrav der i 2012-2015 forventes at blive udmeldt som konsekvens af krav til ”godmiljøtilstand” som Danmark efter EU’s Havstrategidirektiv skal fastlægge i 2012. Før Havstrategidirektivetblev vedtaget, var det OSPAR’s ønske at disse krav blev fastlagt og efterlevet tidligere, mendirektivvedtagelsen har ændret på den oprindeligt ønskede tidsplan.
EvalueringOffshore handlingsplanen (fra december 2005) skal evalueres i foråret 2007.Den reviderede offshorehandlingsplan (fra august 2008) vil blive evalueret i sommeren2010Den reviderede offshorehandlingsplan (fra marts 2009) vil blive evalueret igen i sommeren2010 i lyset af OSPAR's forventede ændrede fokus i retning af indførelse af enrisikobaseret vurderingsmetode med henblik på at danne basis for yderligere ambitiøse,
29
teknisk og økonomisk forsvarlige målsætninger i den efterfølgende nyeoffshorehandlingsplan
Målene er opfyldt.Evaluering af handlingsplanen fra december 2005 er sket med statusrapporter til Folketingets Miljø- ogPlanlægningsudvalg i juni 2007, i august 2008 og i april og oktober 2010.Disse tidligere evalueringer suppleres hermed med denne rapport, der evaluerer de dele afhandlingsplanerne der skulle være gennemført inden udgangen af 2010.Stort set alle de opsatte mål er blevet opfyldt. Der resterer dog som anført i rapporten opfølgning påfølgende punkter:Afklaring i efteråret 2011 af, hvorfor mængden af udledte røde kemikalier hos Mærsk er steget fra2009 til 2010.Afklaring i efteråret 2011 af, hvilke målemetoder der bør benyttes ved vurdering af luftemissioner fraoffshore, og på det grundlag hvilken udvikling der kan forventes på dette område.Vurdering ved årsskiftet 2011-2012 af, om de supplerende kontrolmekanismer der er indført iudledningstilladelserne i januar 2011 har virket efter hensigten (hvilket foreløbigt erMiljøstyrelsens vurdering).Afklaring i sommeren 2012 af, om man i Danmark mht. reduktion af mængden af udledt olie medproduktionsvand har haft en udvikling der er parallel med udviklingen i de øvrige Nordsø-lande.Afklaring i sommeren 2012 af, om målet målet om reduktion af nmVOC fra 3200 tons i 2007 til 2300tons i 2010 et nået.Arbejdet med indførelse af en risikobaseret vurderingsmetode har været intenst forhandlet i OSPAR ogder er udarbejdet et udkast til en anbefaling (Recommendation) og en vejledning i brugen af metoden somdog endnu ikke er formelt vedtaget i OSPAR. Når dette er sket, forventes den nye metode indarbejdet hosde danske operatører i perioden 2011-2012, i første omgang parallelt med den eksisterende metode såder etableres et reelt sammenligningsgrundlag.
30
Bilag 1:Indikatorer for den miljømæssige udvikling på offshoreområdet
Forklaring:
DK bedst
Resultatet for Danmark som helhed er bedre end eller lig med detbedste resultat for de øvrige Nordsø-landeResultatet for Danmark som helhed er bedre end eller lig medgennemsnittet for alle Nordsø-landeResultatet for Danmark som helhed er dårligere end gennemsnittetfor alle Nordsø-landeResultatet for Danmark som helhed er dårligere end det i øvrigtdårligste resultat for de øvrige Nordsø-lande
DK bedre
DK dårligere
DK dårligst
Som omtalt i introduktionsafsnittet lande findes der foreløbigt kun data til og med 2008 for de øvrigeNordsø-lande (der også blev rapporteret i den forrige statusrapport), da de planlagte data for 2009 erblevet forsinket fra OSPAR, der samler disse data.
Bilag 2
MILJ Østyr elsenVa n d
19. decem ber 20052034-0114t va /h pk
Ha n d lin g s p la n fo r be s k y tte ls e a f m iljø e t i fo rbi n d e ls e m e d o lie - o gg a s o p e ra tø re rn e s a k tiv ite te r i d e n d a n s k e d e l a f N o rd s ø e n ( Offsh o reh a n d lin g s p la n e n ).
Den da n ske pr odu kt ion a f olie og ga s udgør en væ sen t lig fakt or ikke m in dst isa m fu n dsøkonom ien og m ed h en syn t il for syn ingssikker h eden for olie og n a t u r ga s.F or m å let m ed h a n dlin gspla n en er , at m iljøpå vir kn in ger n e fr a pr odukt ion og denfor u dgå ende eft er for sknin g eft er olie og n a t ur ga s for t sa t h oldes in den for de gr æ nser , der era fst ukket gen n em den in t er n a t ion ale og den n at ion a le r egu ler in g.H a n dlin gspla n en ska l i øvr igt m edvir ke t il a t de i OSP AR og a n dr e int er n a t ion a le or ga n ervedt a gn e m å lsæ t n in ger og beslu t n in ger før es ud i livet h u r t igst m u ligt in den for devedt a gn e t idsfr ist er . En n æ r m er e om t ale af det t e fin des i den uda r bejdede ”St a t u sr a ppor tom h a vfor u r en in g fr a eft er for skn in g og u dvin din g a f fossile br æ ndst offer ” af 23. a u gust2005.7
Ha n d lin g s p la n e nom fa t t er følgende elem en t er og kr a v:
7
OSPAR: Oslo-Paris havmiljøkonventionen for Nordøstatlanten incl. Nordsøen
31
Kem ika lierOper a t ør er n e ska l sen est m ed u dga n gen a f 2005 h a ve st oppet u dledn ing a f a lle sor t ekem ika lier .Oper a t ør er n e for t sæ t t er den løbende su bst it ut ion a f kem ika lier m ed hen blik på a tu dledn in g af såka ldt e ”r øde” kem ika lier ophør er sen est m ed udga n gen af 2008, h vor deter r ealist isk m u ligt (”Best Ava ila ble Tech niqu e”), og h vor a n ven delsen a f a lt er n a t ivekem ika lier vil væ r e en m iljøm æ ssig for del sa m let set .Olieu dledn in gerOper a t ør er n e over h older fr a 1. ja n u a r 2006 en gr æ n sevæ r di for olie i udledtpr odukt ionsva n d på 30 m g/l m å lt som volu m envæ gt et m å nedsgen n em sn it ber egn et eft era ft a le m ellem oper a t ør er n e og Miljøst yr elsen.Oper a t ør er n e a r bejder løben de på , a t n edbr in ge koncen t r at ion en a f olie i udledtpr odukt ionsva n d m est m u ligt . Miljøst yr elsen uda r bejder i sam a r bejde m edE n er gist yr elsen og h ver a f oper a t ør er n e en r ed egør else om m uligh eder ne for yder liger ein jekt ion i u n der gr u nden a f pr odu kt ionsva n d og a n dr e m u ligh eder for r edu kt ion a fu dledn in ger ne af olie m ed pr odukt ion sva n d.
Lu ft em ission erOper a t ør er n e er fr a 1. ja n u a r 2005 om fa t t et af den da nske kvot eor dn ing for CO2-u dledn in g og vil også væ r e om fat t et a f den n y n a t ion a le alloker in gspla n for per ioden2008-12 og bidr a ger der m ed for holdsm æ ssigt t il den da nske klim ast r at egi.P å gr u n dla g af den genn em før t e kor t læ gn in g af NOx em issioner i Da nm a r k vil der blivegen n em før t en a n a lyse a f de t ekn iske og økon om is ke m u ligh eder for a t offsh or e-sekt or eni ligh ed m ed a ndr e sekt or er ka n bidr a ge t il Dan m a r ks gen n em før else a f NE C -dir ekt ivet .Miljøledelse og m iljør appor t er in gOper a t ør er n e in dfør er sen est i 2006 m iljøledelse m ed et cer t ificer ba r t syst em eller a ndenlign en de or dn in g. Såfr em t der væ lges en a nden lign en de or dn in g ska l en u a fh æ n gigt r edjepa r t ver ificer e over h oldelse a f lovgivn in gen s kr a v t il m iljør a ppor t er in g ogm å lem et oder .Oper a t ør er n e uda r bejder h ver isæ r og m ed st a r t sen est for å r et 2006 en å r ligm iljør a ppor t , som gør es offen t lig t ilgæ n gelig. Ra ppor t en r edegør for m iljøpå vir knin gersom følge a f olie- og ga spr odukt ionen , h er u n der u dledn in g a f st offer t il h a v oga t m osfæ r e.Tilsyn og ber edska bOper a t ør er n e gen nem før er m ed st a r t sen est i 2006 en år lig cer t ifi cer ing a f offsh or ela bor a t or ier eft er n æ r m er e aft a le m ed Miljøst yr elsen.Miljøst yr elsen vil for t satfør e a kt ivt t ilsyn m ed oper a t ør er n es på vir kn ing a f h a vm iljøet . Det t e t ilsyn vil blivesyn liggjor t gen n em en år lig t ilsyn sr a ppor t , der fr em sen des t il F olket i n get ogoffent liggør es på Miljøst yr elsens h jem m eside fr a t ilsyn så r et 2006.E va lu er in gOffsh or e h a ndlin gspla nen vil blive eva lu er et i for å r et 2007.
32
Bilag 3MILJØstyrelsenERHVERVTVA/12. august 2008
Offshorehandlingsplanen – Nye målsætninger for perioden 2008-2010.BaggrundDen danske produktion af olie og gas udgør en væsentlig faktor ikke mindst med hensyn tilforsyningssikkerheden for olie og naturgas. Samtidig er det afgørende for beskyttelsen af det marinemiljø at produktionen sker med de mindst mulige miljøpåvirkninger.For at sikre, at miljøpåvirkningerne fra produktion og den forudgående efterforskning efter olie ognaturgas i den danske del af Nordsøen fortsat holdes inden for de grænser, der er afstukket gennemden internationale og den nationale regulering, målsætninger og sigtelinier m.m., blev der i december2005 opstillet en offshorehandlingsplan med målsætninger for en række områder (se bilag 2). Statusfor handlingsplanen er, at langt de fleste af målsætningerne er opfyldt, og de sidste er på vej. Visse afde tidligere målsætninger skal fortsat opfyldes. De er anført i bilag 1.På baggrund af den seneste ”Status for den danske offshorehandlingsplan” af 9. juni 2008, kan detmed hensyn til opfyldelsen af planen konstateres, at der er gjort store fremskridt med at udfase deskadelige kemikalier. Det sker efter al sandsynlighed i Danmark 8 år før den frist man har fastsat ihavmiljøkonventionen OSPAR, der også gælder for olie/gas produktionen i Nordsøen.Handlingsplanen har endvidere ført til, at alle operatører nu årligt offentliggør en miljørapport.Hos de enkelte operatører er der ud over målsætningerne i Offshorehandlingsplanen opstillet internemålsætninger f.eks. om reduktion af gasafbrænding og at nye turbiner vil være med lav NOx-teknologi.For olieudledningen er målsætningen i den hidtidige handlingsplan om at koncentrationen af udledt oliei produceret vand skal reduceres, opfyldt i et omfang, der placerer Danmark bedst blandt de primærtolieproducerende Nordsø-lande (Danmark, Norge og Storbritannien).Desuden er mængden af den udledte olie reduceret fra 2005 til 2006 som en effekt af den danskeoffshorehandlingsplan, hvor dette alene er en indirekte målsætning. Denne udledning er tidligeresteget siden 1997. I 2007 er udledningen holdt på samme niveau som i 2006. (Danmark har dog pådet punkt ikke levet op til de reduktionsmål, der er anbefalet i OSPAR).Uanset de fremskridt, der er gjort, er der et stort behov for fortsat at få nedbragt mængden af olie,der udledes til havmiljøet. På grund af undergrundens beskaffenhed, og på grund af, at Danmark haren større mængde produceret vand end de øvrige Nordsø-lande, har Danmark også for tiden en størreudfordring med at få reduceret den totale mængde olie, der udledes.I denne nye offshorehandlingsplan sættes der derfor fokus på disse aspekter af miljøpåvirkningen fraolie- og gasproduktionen. Hensigten med de neden for anførte nye målsætninger er, at fastholde oghelst forbedre det danske niveau for påvirkninger af havmiljøet som beskrevet ovenfor gennem nyeambitiøse mål og sigtelinier, hvor det er teknisk og økonomisk forsvarligt. At der er tale om enambitiøs plan understreges af, at for to af de nye miljømålsætninger (at øge rensningen for olie i detproducerede vand og at øge mængden af produceret vand der tilbageføres til undergrunden) erDanmark i forvejen bedst blandt de primært olieproducerende Nordsø-lande.Nye målsætninger med øjeblikkelig virkningOlieudledningerSom den væsentligste målsætning for olieudledningerne gælder, at mængden af udledt(dispergeret) olie med produceret vand skal reduceres hvor det er realistisk muligt gennem ”BestAvailable Technique”, men som minimum søges fastholdt på 2007 niveauet. Dette skal ske, hvor
33
anvendelsen af ny teknologi vil være en miljømæssig fordel samlet set og under hensyntagen tilopretholdelseafeffektivproduktionioverensstemmelsemedoperatørernesindividuelleproduktionstilladelser.Dette søges opnået gennem følgende delmål:Den enkelte operatør forpligter sig til at arbejde for, at rensningen af det udledte produceredevand forbedres i forhold til niveauet for 2007 med henblik på at forbedre niveauet for Danmarksom helhed fra 15 mg/l (årsgennemsnit) i 2007 til 13 mg/l i 2010 beregnet efter aftale mellemoperatørerne og Miljøstyrelsen.Den enkelte operatør forpligter sig til at arbejde for, at mængden af produceret vand dertilbageføres til undergrunden fastholdes eller helst forøges i forhold til niveauet i 2007.Operatørerne fortsætter indsatsen med at reducere mængden af utilsigtede spild af olie med detoverordnede formål helt at undgå dette.LuftemissionerOperatørerne er fra 1. januar 2010 omfattet af den danske NOx afgift, jf. L 169, og bidrager dermed ilighed med andre sektorer til Danmarks gennemførelse af NEC-direktivet.Nærmere undersøgelser i efteråret 2008, der kan føre til nye målsætningerMiljøtilstanden i den danske del af NordsøenMiljøtilstanden, vurderet som artsrigdommen af bunddyrene og olieindholdet i sedimentet i den danskedel af Nordsøen, er en vigtig parameter ved bedømmelse af påvirkninger af havmiljøet. Miljøtilstandenskal som hidtil dokumenteres gennem biologiske og kemiske målinger hvert 3. år efter internationaltanerkendte standarder, næste gang i 2009.Operatørerne, Miljøstyrelsen og By- ogLandskabsstyrelsen vil i samarbejde inden 1. december 2008 med udgangspunkt i rapporten ”Analysisand Assessment of Biological and Chemical Monitoring Data from Offshore Platforms in the DanishSector of the North Sea in 1989 - 2006 - Report May 2008” udarbejde kriterier for hvad der skalforstås ved en acceptabel tilstand.Anvendelse af ny teknologiOperatørerne, Miljøstyrelsen og Energistyrelsen vil i fællesskab senest 1. november 2008 færdiggøreen gennemgang af igangværende interne studier, samt studier af ny teknologi, som kanimplementeres og som søger at sikre, at de særlige danske produktionsvilkår herunder blandt andetmængden af produceret vand og det overordnede formål med offshorehandlingsplanen tilgodesessamtidig med henblik på at Miljøstyrelsen kan melde dette videre til OSPAR i december 2008.Gennemgangen skal resultere i en plan for implementering af ny miljøvenlig teknologi på platformene,som supplement til allerede planlagte investeringer.Indsats over for SO2 og nmVOCOperatørerne og Miljøstyrelsen vil i fællesskab inden 1. december 2008 undersøge behovet for atreducere udledningen af SO2 og nmVOC, for blandt andet at bedømme i hvor høj gradoffshoreindustrien kan bidrage til Danmarks gennemførelse af NEC direktivet og den af IMO planlagtereduktion af disse stoffer fra skibsfarten. Såfremt der herigennem konstateres et sådant behovudarbejder arbejdsgruppen inden 1. maj 2009 forslag til konkrete målsætninger for at kunne opfyldebehovet.Ændret vurderingsmetodeOperatørerne gennemfører i samarbejde med Miljøstyrelsen en evaluering af risikobaseredemiljøvurderinger som kan danne grundlag for Miljøstyrelsens indstilling til OSPAR’s arbejde med fra2010 at implementere risikobaserede miljøvurderinger. Formålet med overgangen til risikobaseredemiljøvurderinger er, at man for hvert enkelt anlæg tager fat i de miljøproblemer der er de alvorligstefor netop dette anlæg for at sikre, at man får mest miljø for pengene.EvalueringDen reviderede offshorehandlingsplan vil blive evalueret i sommeren 2010.
34
Bilag 4
MILJ Østyr elsenMILJ ØTE KNOLOGITVA/13. m a r t s 2009
Offsh o re h a n d lin g s p la n e nN y e m å lsæ tn in g e r for o lie u d le d n in g m m . i p e rio d e n 2008 -2010
B a g g ru n dDen da n ske pr odu kt ion a f olie og ga s udgør en væ sen t lig fakt or ikke m in dst m ed h ensyn t ilfor syn in gssikker h eden for olie og n a t u r gas. Sam t idig er det afgør en de for beskyt t elsen a fdet m a r ine m iljø at pr odu kt ion en sker m ed de m in dst m u lige m iljøpå vir kn in ger .F or a t sikr e, a t m iljøpåvir kn in ger n e fr a pr odukt ion og den for udgå ende e ft er for skn in g eft erolie og n a t u r gas i den da n ske del af Nor dsøen for t sat h oldes inden for de gr æ nser , der era fst ukket gen n em den in t er n a t ion ale og den n at ion a le r egu ler in g, m å lsæ t n in ger ogsigt elin ier m .m ., blev der i decem ber 2005 opst illet en offshor eh a n dlin gspla n m edm å lsæ t n in ger for en r æ kke om r å der (se bila g 2). St a t us for h a n dlin gspla n en er , at la n gt deflest e af m å lsæ t n in ger ne er opfyldt , og de sidst e er på vej. Visse a f de t idliger em å lsæ t n in ger ska l for t sa t opfyldes. De er a nfør t i bila g 1.P å ba ggr u n d af den senest e ”St a t us for den da nske offsh or eh a ndlin gspla n ” a f 9. ju n i 2008,ka n det m ed h ensyn t il opfyldelsen a f pla nen kon st a t er es, a t der er gjor t st or e fr em skr idtm ed a t udfase de ska delige kem ika lier . Det sker eft er a l sa n dsyn ligh ed i Da nm a r k 8 å r førden fr ist m a n h ar fa st sa t i h a vm iljøkon ven t ionen OSP AR, der også gæ lder for olie/ga spr odukt ionen i Nor dsøen .H a n dlin gspla n en h a r en dvider e før t t il, at a lle oper a t ør er n u år ligt offen t liggør enm iljør a ppor t .H os de enkelt e oper a t ør er er der u d over m å lsæ t n in ger n e i Offsh or eh a ndlin gspla nenopst illet in t er n e m å lsæ t n in ger f.eks. om r edukt ion a f ga safbr æ n din g og a t n ye t u r bin er vilvæ r e m ed la v NOx-t eknologi.F or olieudlednin gen blev m å lsæ t n in gen i den hidt idige h a n dlin gspla n om atkon cent r a t ion en af udledt olie i pr odukt ionsva nd ska l r edu cer es, opfyldt i et om fa n g, der i2006 pla cer ede Da n m ar k bedst bla ndt de pr im æ r t oliepr odu cer en de Nor dsø-la nde(Da nm a r k, Nor ge og St or br it a n n ien ).Desuden blev m æ n gden a f den u dledt e olie r edu cer et fr a 2005 t il 2006 m ed 15 % som eneffekt a f den før st e da nske offsh or eh a ndlin gspla n , h vor en så da n r edukt ion a len e va r enin dir ekt e m å lsæ t n in g. Den n e udledn in g va r t idliger e st eget siden 1997. I 2007 blevu dledn in gen h oldt på sam m e n ivea u som i 2006, m en s u dledn in gen i 2008 yder liger efor ven t es r educer et m ed i st ør r elsesor den en 25-30 %, bl.a. som et r esu lt a t af ar bejdet m edden n e offsh or eh a ndlin gspla n.
35
Tr ods den n e bet ydelige in dsa t s som yder liger e h a r r edu cer et olieu dledn in gen m å det dogkon st a t er es, at Da n m ar k for t sa t ikke på det pun kt lever op t il de r edukt ionsm å l, der va ra n befa let i OSP AR for 2006 og som OSP AR st adig for ven t er , a t Da nm ar k lever op t il.Ua n set de fr em skr idt , der er gjor t , er der et st or t beh ov for for t sa t a t få n edbr a gt m æ n gdena f olie, der u dledes t il ha vm iljøet . P å gr u n d af u n der gr u n dens beska ffen h ed, og på gr u nd af,a t Da n m a r k h a r en r elat ivt st ør r e m æ n gde pr odu kt ion sva n d en d de øvr ige Nor dsø-la nde,h a r Da n m a r k for t sat en st ør r e u dfor dr in g m ed a t få r edu cer et den t ot ale m æ n gde olie, deru dledes. P å sigt for vent es den h idt il kr a ft igt st igen de m æ n gde pr odu kt ion sva n d dog atst a biliser e sig.P r odu kt ion sfr em skr ivn in ger er beh æ ft et m ed en vis usikker h ed, h vor for den fa kt iskepr odukt ion i 2010 sa n dsyn ligvis vil vise sig at væ r e en t en st ør r e eller m in dr e end den i 2008blev fr em skr evet t il.I den n e n ye offsh or eh a ndlin gspla n sæ t t es der yder liger e in d for at r educer em iljøpå vir kn in ger ne fr a olie- og ga spr odukt ionen i Nor dsøen. Må let er a t r edu cer e deda n ske på vir kn in ger af h a vm iljøet gen n em n ye a m bit iøse m å l og sigt elin ier , h vor det ert ekn isk og økonom isk for sva r ligt . Det t e sker m ed a fsæ t i BAT, a lt så Bedst e Tilgæ n geligeTekn ik, der a fspejler de gen n em før ba r e m iljøfor bedr in ger .Der er i 2008 gen n em før t en r æ kke t ilt a g, der slå r igen n em i 2009 -2010, ligesom der i 2009er pla n la gt for ur en in gsbegr æ n sen de t ilt a g, h vor den fu lde effekt af disse t ilt a g i visset ilfæ lde før st vil vise sig i 2010 eller sen er e.
N y e m å lsæ tn in g e rOlieu dledn in gerMå lsæ t n in gen er a t r edu cer e m æ n gden a f u dledt (disper ger et ) olie m ed pr odukt ionsva n dt il 15 pr ocen t u n der n ivea u et i 2000 og der m ed n å OSP AR’s 2006-m ål. Oper a t ør er n efor pligt er sig t il a t a r bejde for a t n å m ålet i løbet a f 2010, om en d oper a t ion elle for h oldka n på vir ke r esu lt a t er ne. Gen er elt t ilst r æ bes en for t sat udviklin g pa r allel m edu dviklin gen i de øvr ige Nor dsø-la nde.F or u dsæ t n in ger n e for m å let er dels, a t det n ås gen n em a n ven delse af n y t eknologi og øgeta n ven delse a f ken dt t ekn ologi på de felt er , h vor det ka n lade sig gør e – in den for r a m m er nea f BAT, dels at der opr et h oldes en effekt iv pr odu kt ion.Det t e søges bl.a . opn å et gen n em følgende delm å l:Den en kelt e oper at ør for pligt er sig t il a t a r bejde for , a t r ensn in gen af det u dledt epr oducer ede va n d for bedr es i for hold t il n ivea uet for 2007 m ed h en blik på at for bedr en ivea u et for Da nm a r k som h elhed fr a 15 m g/l (å r sgen n em sn it ) i 2007 t il 10 m g/l i 2010ber egn et eft er aft a le m ellem oper at ør er n e og Miljøst yr elsen.Den en kelt e oper at ør for pligt er sig t il a t a r bejde for , a t m æ n gden a f pr odu kt ion sva nddert ilba gefør es t il u n der gr u n den fa st holdes eller helst for øges i for hold t il n ivea u et i 2008.
36
Som st øt t e for den sidst e delm å lsæ t n in g vu r der es det i en suppler en de r a ppor t in denu dga n gen a f 2009 h vor vidt der er yder liger e m uligh eder for r e -in jekt ion a f pr odu kt ionsva n dsom t r ykst øt t e i for bin delse m ed oliepr odukt ionen .Oper a t ør er n e for t sæ t t er in dsa t sen m ed a t r educer e m æ n gden a f u t ilsigt ede spild a f oliem ed det over or dn ede for m å l helt a t u ndgå det t e.Der gen n em før es n ye, in dividu elle u dledn in gst illa delser for h ver t pr odu kt ionss t ed iløbet af for år et 2009.
Lu ft em ission erOper a t ør er n e er fr a 1. ja n u a r 2010 om fa t t et af den da nske NOx a fgift , jf. L 169, og bidr a gerder m ed i ligh ed m ed a ndr e sekt or er t il Da nm a r ks gen n em før else a f NEC -dir ekt ivet .Da det er a fgør en de for Da n m ar ks over h oldelse a f NE C-dir ekt ivet , at m æ n gden af nm VOCr edu cer es in den u dga n gen a f 2010, er det vigt igt , at også de da n ske oper a t ør er bidr a ger t ilen r edu kt ion af nm VOC.Oper a t ør er n e a r bejder for a t r edu cer e u dledn inger n e a f n m VOC fr a ca . 3.200 t ons t il2.300 t on s i 2010 m ed afsæ t i de kendt e pr odukt ion sfr em skr ivn in ger .In den u dga n gen af 2010 for pligt er de oper at ør er der last er olien på skibe sig t ilu delu kken de a t ben yt t e skibe der h a r in st a ller et u dst yr der r edu cer er udledn in gen a fn m VOC t il t r a nspor t af olien .
Miljøt ilst a nden i den dan ske del af Nor dsøenP å gr u n dla g af n ye m å leda t a fr a for å r et 2009 vu r der es det in den 1. decem ber 2009, omm a n m ed det t e som gr un dla g vil ku n n e a n ven de r esu lt at er fr a m onit er in g a f h a vbu ndent il a t beskr ive, h va d der for den enk elt e pla t for m ska l for st å s ved en accept a belm iljøt ilst a nd.
Nye felt u dbygn in gerF or h old, som a lloker in g a f u dledn in ger og em ission er t il n ye felt udbygn in ger oggr æ n seover skr idende felt u dbygn in ger afkla r es i løbet a f 2009 i konsu lt a t ion m ellemDa n ish Oper at or s og Miljøst yr elsen m ed afsæ t i gæ lden de n a t ion a l lovgivn in g ogin t er n a t ion a le aft a ler
E va lu er in gDen r evider ede offshor eh a n dlin gspla n vil blive eva lu er et igen i som m er en 2010 i lyset afOSP AR's for ven t ede æ ndr ede fokus i r et n in g af in dfør else a f en r isikobaser etvu r der in gsm et ode m ed h en blik på a t da n n e ba sis for yder liger e am bit iøse, t ekn isk ogøkon om isk for sva r lige m å lsæ t n in ger i den eft er følgen de n ye offsh or eha n dlin gspla n.
37
B ila g 1 (til bila g 3 o g 4)Må ls æ tn in g e r fra d e n tid lig e re Offs h ore h a n d lin g s p la n fra d e c e m be r 2005 s o m e ro p fy ld t, m e n s om fo rts a t e r g æ ld e n d e .Oper a t ør er n e m å ikke udlede sor t e kem ika lier .Oper a t ør er n e for t sæ t t er den løbende su bst it ut ion a f kem ika lier m ed hen blik på a tu dledn in g af såka ldt e ”r øde” kem ika lier ophør er sen est m ed udga n gen af 2008, h vor deter r ealist isk m u ligt (”Best Ava ila ble Tech niqu e”), og h vor a n ven delsen a f a lt er n a t ivekem ika lier vil væ r e en m iljøm æ ssig for del sa m let set .Oper a t ør er n e ska l over h olde en gr æ nsevæ r di for olie i u dledt pr odu kt ion sva n d på 30m g/l m å lt som volu m envæ gt et m å nedsgen n em sn it ber egn et eft er aft a le m ellemoper a t ør er n e og Miljøst yr elsen.Oper a t ør er n e er om fa t t et af den da nske kvot eor dn in g for CO2-u dledn in g og er ogsåom fat t et a f den n a t ion ale a lloker in gspla n for per ioden 2008-12 og bidr a ger der m edfor h oldsm æ ssigt t il den da n ske klim a st r a t egi.Oper a t ør er n e a r bejder m ed m iljøledelse m ed et cer t ificer ba r t syst em eller a n denlign en de or dn in g. Såfr em t der væ lges en a nden lign en de or dn in g ska l en u a fh æ n gigt r edjepa r t ver ificer e over h oldelse a f lovgivn in gen s kr a v t il m iljør a ppor t er in g ogm å lem et oder .Oper a t ør er n e uda r bejder h ver isæ r en å r lig m iljør a ppor t , som gør es offen t ligt ilgæ n gelig.Ra ppor t en r edegør for m iljøpå vir kn in ger som følge a f olie- og ga spr odukt ion en, her u n deru dledn in g af st offer t il h a v og a t m osfæ r e.Oper a t ør er n e gen nem før er en å r lig cer t ificer in g a f offsh or e labor a t or ier eft er n æ r m er ea ft a le m ed Miljøst yr elsen .Miljøst yr elsen vil for t sat før e a kt ivt t ilsyn m ed oper a t ør er n es på vir kn in g a f h a vm iljøet .Det t e t ilsyn vil blive syn liggjor t gen n em en å r lig st at u sr a ppor t , der fr em sendes t ilF olket in get og offen t liggør es på Miljøst yr elsens h jem m eside.
38