Finansudvalget 2011-12
FIU Alm.del
Offentligt
1157771_0001.png
1157771_0002.png
1157771_0003.png
Folketingets FinansudvalgChristiansborg
Finansministeren19. september 2012
Svar på Finansudvalgets spørgsmål nr. 245 (Alm. del – §) af 23.maj 2012 stillet efter ønske fra Joachim B. Olsen (LA)Spørgsmål
Ministeren bedes oplyse arbejdsudbudseffekten ved at hæve pensionsalderentil 68 år over en treårig periode fra 2016-2019.Svar
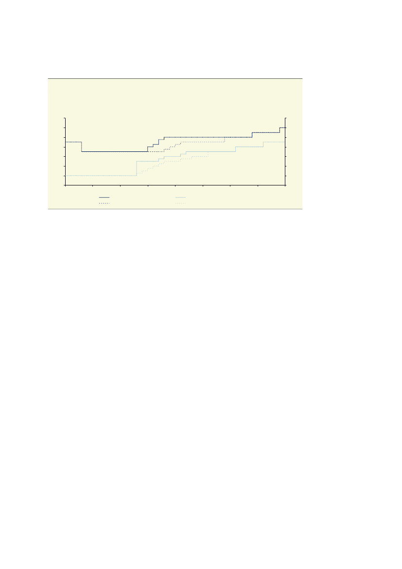
Hvis folkepensionsalderen hæves gradvist til 68 år fra 2016 til 2019 vil arbejdsud-buddet skønsmæssigt stige med ca. 48.000 personer i 2020. Det vil forbedre denstrukturelle primære offentlige saldo med ca. 12 mia. kr. i 2020 (2012-niveau).Det lægges til grund for beregningen, at folkepensionsalderen fra 2019 til 2030forbliver på 68 år, og at den herefter følger den nuværende indekseringsmekanis-me. Dvs. efter 2030 er folkepensionsalderen som ved gældende regler.En stigning i pensionsalderen fra 2016 vil (med en efterlønsperiode på 5 år somnu) betyde, at efterlønsalderen skulle være hævet 5 år tidligere fra 2011. Det er op-lagt ikke muligt. I beregningerne er det antaget, at den første ændring i efterløns-alderen kan ske i 2014, hvor aldersgrænsen øges med 3 år til 63 år. Det betyder, atpersoner, der blev eller bliver 60 år i 2011-13 og som er gået eller går på efterløn ide år, vil få mere end 5 år på efterløn, før de når pensionsalderen.Endvidere antages det i beregningerne, at efterlønsalderen derudover hæves, såle-des at det mulige antal år med efterløn er 5 år frem til og med 2017. Herefter hæ-ves efterlønsalderen med ½ år i hhv. 2018 og 2019 og igen i 2022 og 2023, så an-tallet af år på efterløn mindskes til tre (som ved gældende regler),jf. figur 1.
Side 2 af 3
Figur 1

Aldersgrænser for efterløn og pension

Alder72706866646260582000Alder72706866646260582040
2005
2010
2015
2020
2025
2030
2035
Pensionsalder (nye grænser)Pensionsalder (gældende grænser)
Efterlønsalder (nye grænser)Efterlønsalder (gældende grænser)
Efterlønsalderen svarer fra 2027 til den gældende efterlønsalder under den nuvæ-rende indekseringsmekanisme.Under disse forudsætninger vil der på langt sigt ingen virkning være på arbejdsud-buddet i forhold til, når folkepensions- og efterlønsalderen stiger med den nuvæ-rende indekseringsmekanisme. Virkningen på den finanspolitiske holdbarhed erskønnet til knap 1 mia. kr. svarende til ca. 0,05 pct. af BNP (2012-niveau).En stigning i folkepensionsalderen til 68 år i 2019 vil medføre en meget skæv mu-lighed for at være på efterløn og pension blandt forskellige generationer,jf. tabel 1.Fx vil de personer, der fylder 60 år i 2012, først nå folkepensionsalderen i 2020 ogdermed få mulighed for en efterlønsperiode på 8 år.
Side 3 af 3
Tabel 1

Efterløns- og folkepensionsalder med nuværende aftale og med hævning af folkepensionsalderen til 68 år

i 2019

Nuværende

folkepensi-

onsalder

656565656565656565,56666,56767676767676767676767

Nuværende

Ny efterløns-

antal år på ef-

alder

terløn

5555555555554,5444443,53336060606060606060636363,5646464646464,56565656565

Generation

1950 1. halvår1950 2. halvår1951 1. halvår1951 2. halvår1952 1. halvår1952 2. halvår1953 1. halvår1953 2. halvår1954 1. halvår1954 2. halvår1955 1. halvår1955 2. halvår1956 1. halvår1956 2. halvår1957 1. halvår1957 2. halvår1958 1. halvår1958 2. halvår1959 1. halvår1959 2. halvår1960 1. halvår1960 2. halvår

Nuværende

efterlønsalder

606060606060606060,56161,56262,5636363636363,5646464

Ny folkepen-

sionsalder

656566,568686868686868686868686868686868686868

Nyt antal år

på efterløn

556,588888554,5444443,533333
Anm.: Afkortningen af antallet af år på efterløn fra fem til tre år med ½ år ad gangen i hhv. 2018, 2019, 2022 og2023 påvirker genererationerne anderledes med de forudsatte aldersgrænser end med de gældende regler.Det skyldes, at afkortningen sker ved en højere efterlønsalder og derved for en ældre generation, hvor detblandt andet antages at flere er gået på førtidspension mv. inden de når den højere efterlønsalder.Kilde: Danmark i arbejde, Udsigterne for dansk økonomi frem mod 2020 og egne beregninger.
Med venlig hilsenBjarne Corydon