Transportudvalget 2011-12
TRU Alm.del Bilag 193
Offentligt
1073015_0001.png
1073015_0002.png
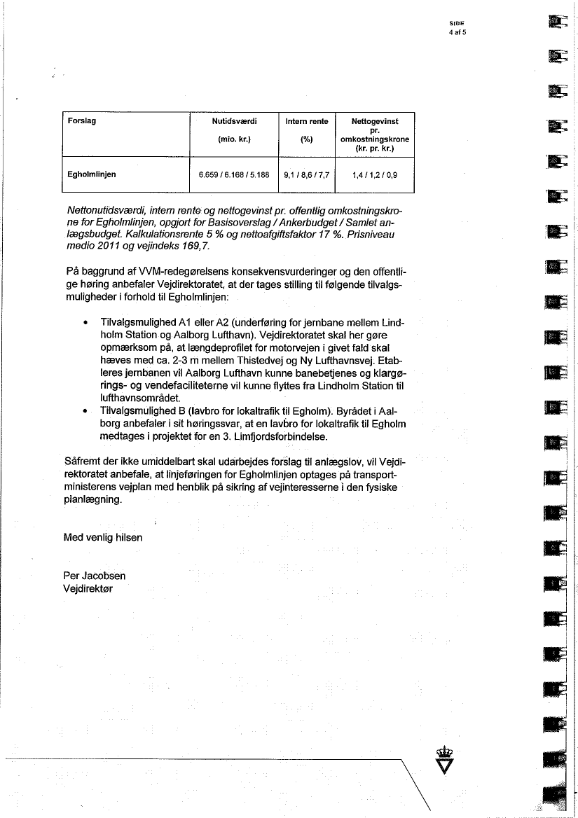
1073015_0003.png
1073015_0004.png