Klima-, Energi- og Bygningsudvalget 2011-12
KEB Alm.del Bilag 225
Offentligt
1096116_0001.png
1096116_0002.png
1096116_0003.png
1096116_0004.png
1096116_0005.png
1096116_0006.png
1096116_0007.png
1096116_0008.png
1096116_0009.png
1096116_0010.png
1096116_0011.png
1096116_0012.png
1096116_0013.png
1096116_0014.png
1096116_0015.png
1096116_0016.png
1096116_0017.png
1096116_0018.png
1096116_0019.png
1096116_0020.png
BEATEBenchmarkingafaffaldssektoren2011ForbrændingRapportenerudarbejdetafaffalddanmark,RenoSam,DIogDanskEnergi.RedskabettilindsamlingafdataerstillettilrådighedafMiljøstyrelsen.
Indhold1234567ResuméForbrændingsanlægØkonomiRammevilkårEnergiogklimaEmissionerOmBEATE23711141520
1/20
1
Resumé
DennebenchmarkingomfatterøkonomiogmiljøpåanlægiDanmark,derharforbrændtaffaldiperioden2007‐2010.Benchmarkingenblevgennemførtpåfrivilligbasisforårene2007‐2009,meneriårobligatoriskforallelandets32anlæg.Derertretyperanlæg,derforbrænderaffald:1. Dedikeredeaffaldsforbrændingsanlæg,derprimærtbrænderhusholdnings‐ogerhvervsaffald(24anlæg).2. Multifyredeaffaldsforbrændingsanlæg,derbådebrænderhusholdningsaffaldogerhvervsaffaldsamtbiomasseog/ellernaturgas(3anlæg).3. Øvrigespecielleanlæg,dermedbrænderaffald,ellerbrænderslamellerfarligtaffald(5anlæg).Ifigurerogtekstoptræderentenalleanlægeller–hvordetgivermestmening–kunanlægaftype1eller1og2.Anlægaftype2og3indgåribenchmarkingenmedbegræn‐sededata.SamletgiverdennerapportetoverordnetbilledeafstatuspåforbrændingsområdetiDanmark.I2010varder32anlæg,derforbrændte3,5mio.tonsaffaldfrahusholdningeroger‐hvervsvarendetilca.630kgaffaldpr.dansker.Densamledebetalingfrahusholdningerogvirksomhederekskl.affaldsvarmeafgiftervarpåca.1,88mia.kr.svarendetiligen‐nemsnit535kr.pr.ton.Siden2007eraffaldsmængdernetilforbrændingfaldetmed5%.Mængdernestegfremtil2008ogerderefterfaldetstøt.Siden2007eromkostningernepådededikeredeforbrændingsanlægfaldetmed3%.Fra2009til2010erdefaldet6%.Dengennemsnitligeomkostningpr.tonaffalderentenfaldetellerstegetfra2009afhængigaf,omberegningsgrundlagetaleneeraffalds‐mængderellerbådeaffaldogbiomasse.Dengennemsnitligeaffaldstakstpr.tonaffaldfaldtfra2007til2009,menstegigeniår2010.Mellemanlæggeneerderstorforskelpåbådetaksterogomkostninger.Takstforskellenskyldesbl.a.,atindtægterfrasalgafvarmeharstorbetydningforanlæggenesøkonomi,ogatvarmeprisernelokaltermegetforskellige.Forskellenepåomkostningerkanskyldesforskelligeffektivitet,menogså,atdererforskelpådriftsvilkårsamthvilkedriftsaktivite‐ter,dervaretagespådeenkelteanlæg.DererfastsatmiljømæssigeminimumskravtilforbrændingiEU.Mangeanlægharman‐gekortvarigeoverskridelserafdevilkår,dererfastsatimiljøgodkendelserne.2/20
2
Anlæg der forbrænder affald
Dererialt32anlægiDanmark,derforbrænderaffald.Anlæggeneerlokaliseretidefle‐steegneaflandet.Destørsteanlægliggerveddestørstebyerogderesudbyggedefjernvarmesystemer.Påkorteteranlæggeneskapacitetangivetvedstørrelse.Dededi‐keredeanlægerangivetsomrøde,mensmultifyredeanlægergråogøvrigespecialan‐lægsorte.TomindreanlægiHerningogVejenerlukketi2010ogerderforikkemedibenchmar‐kingenfor2010.Figur1AnlægderforbrænderaffaldiDanmark
DedikeredeMultifyredeØvrige
3/20
Figur2viserdenmiljøgodkendtekapacitetpåalleanlæg,derforbrænderaffald.Figur2Forbrændingskapacitet(alleanlæg)
VestforbrændingAmagerforbrændingOdenseKraftvarmeværkA/SAalborgPortlandKARA/NOVERENÅrhusNordMåbjergVærketL90(Esbjerg)Reno‐NordKommunekemia/sNordforbrændingTrekantområdetsaffaldsselskabREFAAffaldPlus(Næstved)AffaldPlus(Slagelse)AVVHorsensKraftvarmeværkReno‐SydSønderborgKraftvarmeHaderslevKraftvarmeværkAarsVarmeværkI/SKraftvarmeværkThistedSvendborgKraftvarmeA/SSpildevandscenterAvedøreFrederikshavnAffaldskraftvarmev.HammelFjernvarmeAmbaFællesForbrændingRenseanlægLynettenGrenaaForbrændinga/sBofaSkagenForbrændingSpecialWasteSystemA/S
0
100
200
300Årligkapaciteti1.000tons
400
500
600
Hovedpartenafdedanskeforbrændingsanlægerkommunaleellerfælleskommunaleanlæg.Enrækkeanlægerejetafenergiselskaber,mensdestorespecialanlæg,Kommu‐nekemiogAalborgPortland,erejetafprivatevirksomheder.
4/20
Figur3Ejerskabafanlæg,opgjortefterforbrændtmængdeaffald,2010(alleforbrændingsanlæg)
Andet
Elværksejet(A/S)
Fælleskommunaltejet(I/S)
Kommunaltejet
Note:Kategorien”Andet”dækkerprivatejedeA/S,AMBAogkombinationerafdeøvrigekategorier.
Figur4Affaldsmængderogkapacitet2007‐2010(alleforbrændingsanlæg)
Mio.tons
4,54,03,53,02,52,01,51,00,50,020072008Brændtaffald2009Kapacitet2010
Note:Kapacitetenifigureneranlæggenesmiljøgodkendtekapacitet.Affaldsforbrændingsanlæggenesreellekapacitetafhængerafflerefaktorer,bl.a.affaldetsbrændværdi.Kapacitetenerangivetsomenfedstregifiguren.Foranlæg,derikkevarmedi2007‐2009,erværdiernefor2010indsatfordisseår.Grafernefor2007‐2009kansåledesikkesammenlignesdirektemedgraferneidentidligereBEATE‐rapport.Demængderafbiomasse,derforbrændespåanlæggene,fremgårikkeafdennefigur.
5/20
Figur4viserudviklingenafaffaldsmængdernefra2007‐2010sammenholdtmedaffalds‐forbrændingsanlæggenesnuværendekapacitet.Figurenviseretfaldiaffaldsmængdernetilforbrændingi2009og2010fraca.3,7mio.tonsi2009tilca.3,5mio.tonsi2010(inkl.ca.0,2mio.tonsaffaldframellemdepone‐ring).Derudoverharenrækkeafdededikeredeforbrændingsanlægvalgtatudnytteno‐getafdenledigekapacitettilatproducereenergipåialt152.000tonsbiomasse1.Densamledekapaciteterligeledesfaldet,bl.a.forditomindreanlægerlukketi2010.Deflestedanskeforbrændingsanlægerbyggetsomkraftvarmeanlægfor15‐20årsiden,menerdogienrækketilfældesidenmoderniseretmednyeovnlinjer.Andelenafforbrændingsegnetaffaldfrahusholdningerudgjordei200958,2%ogfraerhverv41,8%2.
1
Detervanskeligtatskelnekorrektmellembiomasseogbiomasseaffald.Anlæggeneerblevetspurgtomenopdeling,mendenkanværeusikker.Affaldsstatistik2009fraMiljøstyrelsen.
2
6/20
3
Økonomi
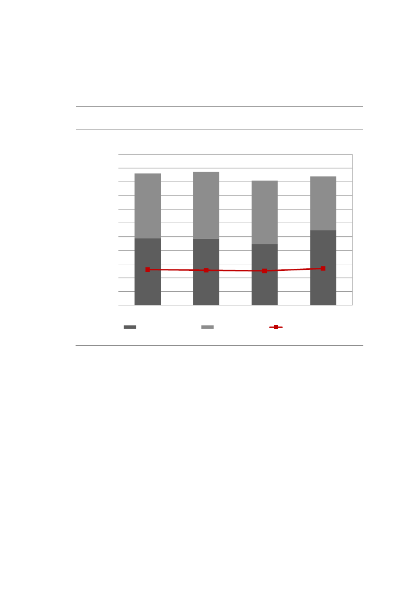
Figur5nedenforviserdetakster,affaldsproducenternebetalerforbehandlingaffor‐brændingsegnetaffald.Figur5Affaldstaksterinkl.afgiftertotaltogkr.pr.ton(alleforbrændingsanlæg)
2.2002.0001.800Mio.kr.ialtogkr.perton
1.6001.4001.2001.00080060040020002007Taksterialt,mio.kr.20082009Afgifterimio.kr.2010Takstperton
Note:Foranlæg,derikkevarmedellerikkeoplystetaksteri2007‐2009,erværdiernefor2010indsatfordisseår.Afgiftsdelenaftaksten(lysegrå)erfor2007til2009sattil250kr./tonaffaldsvarendetildengennemsnitligeafgiftpr.tonaffald(inkl.refusionforslagge).For2010bestårdentilsvarendeafgiftaftillægsafgiftenogCO2‐afgiften,dersomudgangspunktskalpålæggesaffaldstaksten–svarendeigennemsnittil224kr./tonaffald.Densåkaldteaffaldsvarmeafgiftindgårikkeifigur5.Fra2010erettilskudtilelproduktionbortfaldet.
Affaldsvarmeafgiftenbetalessomudgangspunktafaffaldsvarmekunderne,menstil‐lægsafgiftenogCO2‐afgiftensomudgangspunktbetalesafaffaldsleverandørerne.Dererdogvisseanlægsforskelleomkringfordelingenafomkostningerneogafgifterne,ligesomforbrugafbiomassekanpåvirkedesamledetakster.Denvægtede,gennemsnitligetaksterfaldetsvagtiperioden2007–2009ogstegigeni2010.Detkandelvistskyldesetlillefaldidengennemsnitligeel‐indtægtpåanlæggene.Dereriøvrigtsketengennemgribendeændringafforbrændingsafgifteni2010.Denvægtbaseredeafgiftblevafskaffetogerstattetafnyeogmerekompliceredeenergi‐og
7/20
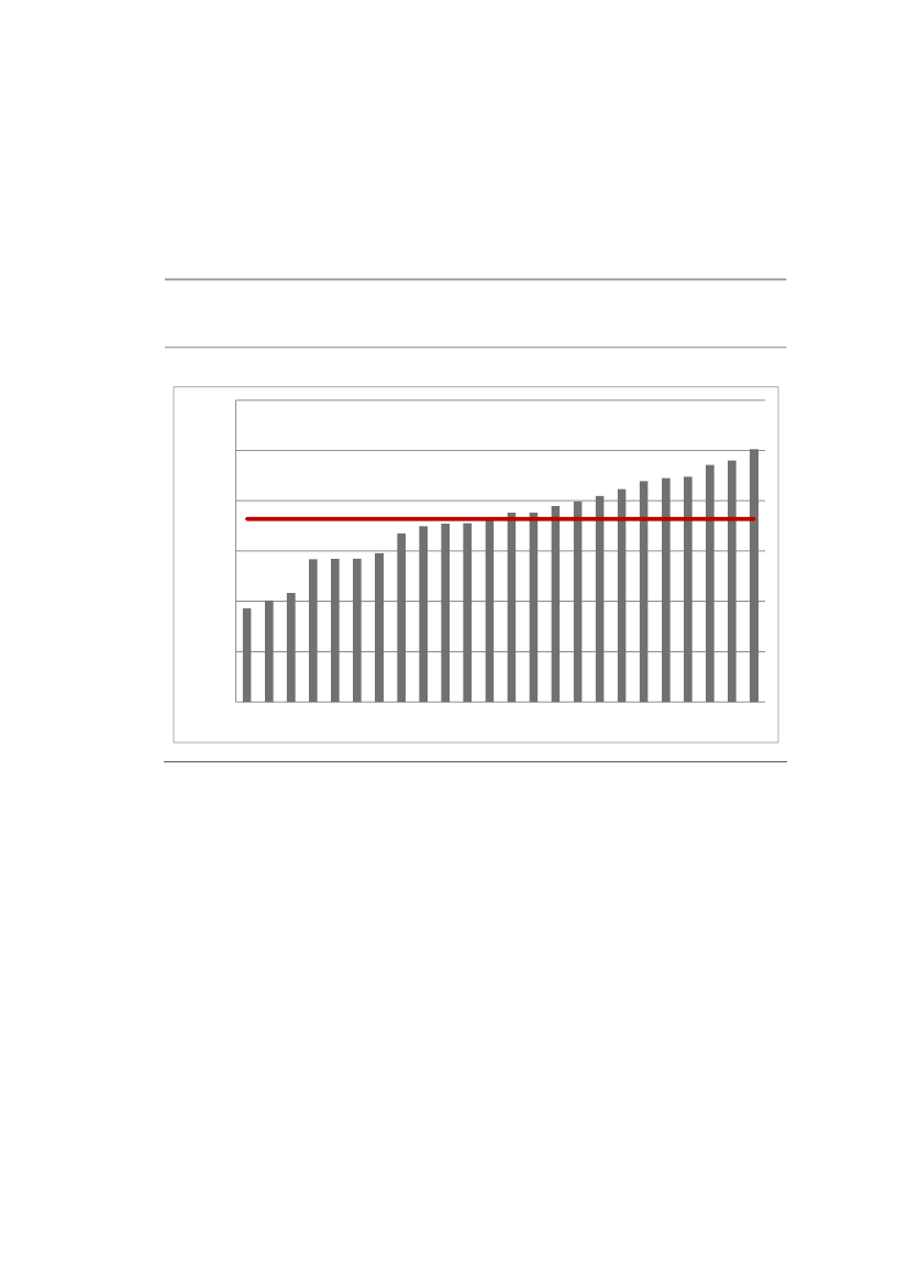
miljøbaseredeafgiftersamtidigmed,atel‐produktionstilskuddetpå7øre/kwh3blevaf‐skaffet.Denyeafgifterharværetkompliceretatberegne,ogdetvarforventet,atafgif‐terne–sammenmedtabetafel‐produktionstilskuddet–villemedføreøgedetakster.Efterfølgendekandetkonstateres,atdensamledeafgiftsbelastningpr.tonaffaldi2010inkl.tabetvedbortfaldafelproduktionstilskuddetliggernogenlundepåsammeniveausomi2009.Deterherforudsat,ataffaldsvarmeafgiftenikkebetalesafaffaldsleverandø‐rerne.Figur6viseranlæggenesgennemsnitligeaffaldstakstinkl.afgifterforhvertenkeltanlæg.Dererstorspredningidengennemsnitligeaffaldstakstpådededikeredeogmulitifyredeforbrændingsanlæg–fra275kr.pr.tontil860kr.pr.tonmedetvægtetgennemsniti2010på474kr.pr.ton.Figur6Affaldstaksterikr.pr.tonaffaldi2010inkl.afgifterforaffaldsproducenten(dedikeredeogmultifyredeforbrændingsanlæg).Denrødestregangiverdetvægtedegennemsnit.
1.0009008007006005004003002001000AnlægBådevarme‐ogelproducerendeKunvarmeproducerende
Hvisde5specialanlægforfarligtaffaldogslammedregnes,stigerdengennemsnitligetaksttil535kr./ton,daforbrændingsprisenherigennemsniterhøjere.Fordedikeredeforbrændingsanlægertaksten481kr./tonigennemsnit.3
Tillægsafgiftudgør26,5kr.pr.produceretGJvarmeogCO2afgiftenudgørca.5kr.pr.tonCO2afdensam‐ledeenergiproduktion.CO2‐afgiftenerberegnetefterfossiltindholdiaffaldet.Beggeafgifter,ogtabetvedafskaffelseafel‐produktionstilskuddet,skalsomudgangspunktpålignesaffaldstaksten.Affaldsvarmeafgiftenudgør19,6kr.pr.solgtGJvarmei2010,mod13,6kr.i2009.
Kr.pr.toninkl.afgifter
8/20
Delokalevarmepriserharstorbetydningforforbrændingsanlæggene,ogdevarierermegetfraområdetilområde.Dererikkealenevariationeriselvevarmeprisen,menog‐såiforholdtilleveringsbetingelsermellemanlægogvarmeforbrugersamtinogletilfæl‐deiforholdtilbetalingafenergi‐ogmiljøafgifter.Benchmarkingafdesamledeomkostningerermereretvisendeendbenchmarkingafaffaldstaksterne,dersåledespåvirkesafdevarierendevarmepriser.Desudenerom‐kostningerkunrelaterettilregnskabsåret,mensaffaldstaksternekanafspejleforhøjellerforlavopkrævningtildækningafomkostningeriforegåenderegnskabsår.Figur7Omkostningertotaltogkr.pr.tonaffald(dedikeredeforbrændingsanlæg)
3.0002.5002.0001.5001.0005000200720082009Omkostninger,kr.perton2010Omkostningerialt,mio.kr.
Mio.kr.ialtogkr.perton
Note:Omkostninger=driftsomkostninger+afskrivninger+finansielleudgifter+henlæggelser.Itotaleomkostningerindgårogsåudgiftertilforbrændingafenandelbiomasse,mensbiomassenikkemedregnetiaffaldsmængden.Bemærk,atdererskiftetberegningsmetodei2010,ogderforertallenefra2007‐2009justeretforatværesammenligneligemedtallenefra2010.
Figur7viserdesamledeomkostningerogomkostningerneikr.pr.tonaffald(ekskl.be‐talingafafgifter).Degennemsnitligeomkostningervarpå838kr.pr.toni2010.Fra2007til2010erdesamledeomkostningerfaldetmed3%.Dettedækkerdogoverstigningerfra2007til2009ogetfaldfra2009til2010på6%.Faldetsvarertil152mio.kr.Herafskyldesde90mio.kr.lukningaftomindreanlægiVejenogHerning.Nogleforbrændingsanlægudnyttedeiår2010ledigforbrændingskapacitettilforbræn‐dingafenandelbiomasseogbiomasseaffald.Andreanlægmodtogekstraordinæremængderafforbrændingsegnetaffald,derkomframellemdeponi(ca.0,2mio.tons).Indkøbafbiomassekanhavemedvirkettil,atomkostningernepr.tonaffalderstegetfra9/20
2009til2010med2%(14kr.pr.tonaffald).Dethardogsamtidigskabtindtægtervedøgetenergisalg.Tabellennedenforviseromkostningerneinkl.ogekskl.biomasse.Tabel1År2010AffaldAffald+biomasseNote:Talleneerafrundede.
Omkostningerpr.tonaffaldhhv.affald+biomasse(dedikeredeforbrændingsanlæg)Omkostninger,miokr2.4592.459Mængde,mio.tons2,933,09Omkostninger,kr.pr.ton838797
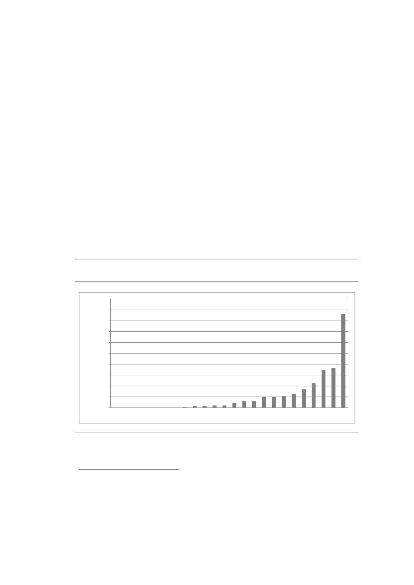
Omkostningernepr.tonersåledesstegethenholdsvisfaldetiforholdtil2009,hvordenvarpå824kr.pr.ton4.Figur8Omkostningerikr.pr.tonaffald(dedikeredeforbrændingsanlæg).Denrødestregangiverdetvægtedegennemsnit.
1.6001.4001.2001.000Krperton8006004002000AnlægBådevarme‐ogelproducerendeKunvarmeproducerende
Note:Andelafforbrændtmængdebiomasseindgårikkeiaffaldsmængden.
4
IBEATE‐rapportenfor2009vardenpå859kr.pr.ton,menderersomnævntskiftetberegningsmetode.Meddennyeberegningsmetodeertakstenfor2009på824kr.pr.ton.
10/20
Figur8viseranlæggenesomkostningerikr.pr.tonaffald.Dererstorvariationiomkost‐ningernefra507kr.pr.tontil1.513krperton.Forskelleneiomkostningerskyldesbl.a.,atderfornogleanlægogsåindgåromkostningertilbl.a.forbrændingafbiomasse,ned‐delingogmellemdeponering,omlastningsamttransportudligning.Afskrivningerogrenterudgørigennemsnit34%afetforbrændingsanlægssamledeom‐kostningeri2010.
4
Rammevilkår
Indtægtervedforbrændingbestårafindtægterfrasalgafbådevarmeogelektricitet.Deomkostninger,derikkedækkesafenergiindtægter,opkrævessomaffaldstakstblandtaffaldsproducenterne.Figur9viser,atgennemsnitligt40%afanlæggenesindtægterstammerfraaffald,mensindtægternefravarmeudgør46%.Deresterende14%erind‐tægterfrael.47%afindtægtenforaffaldbestårafafgiftertilstaten(tillægsafgiftenogCO2‐afgiften).Tilsvarendeudgør33%afindtægtenfravarmeafgiftertilstaten(affalds‐varmeafgiften).5Figur9Fordelingaftotaleindtægterinkl.afgifter(dedikeredeforbrændingsanlæg)
Indtægterel14%Indtægteraffald40%Indtægtervarme46%
Note:Kunfordedikeredeforbrændingsanlæg(dvs.multifyredeanlægogspecielleanlægindgårikke).
Dererdogstoreforskelleanlæggeneimellem.Indtægtenfraaffaldstaksterinkl.affalds‐afgiftersvingersåledesfra32%til56%afdetotaleindtægterinkl.afgifter.
5
Hererdetsomudgangspunktforudsat,ataffaldsvarmekundernebetaleraffaldsvarmeafgiften,mensaf‐faldsproducenternebetalertillægs‐ogCO2‐afgiften.Deterimidlertidikketilfældetforalleanlæg.
11/20
Indtægtenfrasalgafelerbaseretpåmarkedsprisen.Dengennemsnitligeel‐indtægtpåetdedikeretaffaldsforbrændingsanlægmedel‐produktionudgørca.188kr.pr.tonaf‐fald.Indtægternefrasalgafvarmevarierermellem37og100kr.pr.GJmedetvægtetgen‐nemsnitpå73kr.pr.solgtGJvarme.Detsvarertilgennemsnitligt553kr.pr.tonaffald.Figur10Variationivarmeprisinkl.afgifteri2010(dedikeredeforbrændingsanlæg).Denrødestregangiverdetvægtedegennemsnit.
120
100
80Kr.perGJ
60
40
20
0
Anlæg
Figurenviser,atdererstorvariationivarmepriseninkl.afgifter.Dergældersærligereg‐lerforatfastsætteaffaldsvarmeprisen.Princippeter,prisenpåaffaldsvarmenkunmådækkedenødvendigeomkostninger,dogsådanatprisenhellerikkemåoverstigedetmuligealternativivarmeforsyningsområdetelleretudmeldtloftformaksimalprisenforaffaldsvarmen.
12/20
Figur11Variationielafregningsprisi2010(el‐producerende,dedikeredeforbrændingsanlæg).Denrødestregangiverdetvægtedegennemsnit.
700
600
500
kr.pr.MWh
400
300
200
100
0AnlægVestAnlægØst
Dengennemsnitligeindtægtfrael‐salgmellemanlæggenevariererikkesåmegetsomvarmeindtægtenmellemdeenkelteanlæg.Dererdogvariationer,derbl.a.skyldesfor‐skelligeelpriseriØst‐ogVestdanmarksamtanlæggenesforskelligemulighederforatindgåsombalancekraft,regulerkraftog/ellerreservekraftielmarkedet.
13/20
5
Energi og klima
Langtdeflesteforbrændingsanlægproducererbådeelogvarme.Enkeltemindrefor‐brændingsanlægproducererkunvarme.Figur12El‐ogvarmeproduktionpr.tonaffaldogbiomasse(dedikeredeforbrændingsanlæg)Denrødefirkantangivergennemsnittet.
0,7
0,6
MWhelpr.tonaffaldogbiomasse
0,5
0,4
0,3
0,2
0,1
0,0024681012GJvarmepr.tonaffaldogbiomasse
Note:Anlæg,deraleneproducerervarme,ermarkeretudfor0,0.Inogleanlægsenergiproduktionindgårogsåenergifraforbrændingafenandelbiomasse.
Figur12visernettoel‐ogvarmeproduktionpr.tonaffaldogbiomasse.6afde24dedi‐keredeforbrændingsanlægproducereralenevarme,mensdeøvrigeanlægproducererbådeelogvarme.Forskellenpåenergieffektivitetenkanimangetilfældefindesikon‐struktionenafanlægget.Enkelteaffaldskraftvarmeværkervariår2010påvirketaflæn‐gerevarendeturbineudfald,dergavanledningtillavereelproduktion.
14/20
6
Emissioner
DererfastsatmiljømæssigeminimumskravtilforbrændingiEU.Nårforbrændingsegnetaffaldbrændes,opstårderenaske‐ogslaggedel,somerdede‐le,somikkekanbrændeogdermedikkeomsættesiforbrændingsprocessen.Slaggenudgørtypisk18%afdensamledeindfyredeaffaldsmængdeogbestårisærafuorganiskestofferogmineralersamtmetaller.Enstadigstørreandelafmetallerneiforbrændingsslaggengenanvendes.Denstørsteandelafslaggenanvendesiforbindelsemedvejbyggeri,havneudvidelserogandrebyg‐ningskonstruktioner.Forbrændingafaffaldmedførerdesudenenmængderestprodukterfrarøggasrensnin‐gen.Mængdensvarertilcirka2,9%afaffaldetogafsættesidagtilNorgeogTyskland.Endeliggiverforbrændingsanlæggeneanledningtilenrækkeluftemissioner,herunderCO,SO2,NOXogtotalstøv(partikler).Disseparametremålesallekontinuerligt.Emissio‐nerafdioxinogtungmetallermålesvedstikprøver.Dereriårgennemførtsærligeanalyserafforbrændingsanlæggenesmiljøforhold.Miljø‐dataerkvalitetssikretvedsammenligningmeddeoffentligttilgængeligegrønneregn‐skaberogdialogmedanlæggene.Deterførstegang,atderpræsenteresensamletover‐sigtoveranlæggenesemissionersammenholdtmedgrænseværdierne.Determuligt,atoversigtenvilgiveanledningtil,atnogleanlægfremovervilreviderepraksis,ogatbenchmarking‐indberetningenvilbliveændret,såledesattallenepåtværsafanlæggenefremoverbliveropgjortpåetendnumereensartetgrundlag.
15/20
Figurennedenforviserudledningerafforskelligestofferpr.tonforbrændtaffald.Figur13Gennemsnitligeudledningerafforskelligeemissionerdermåleskontinuerligt(gpr.tonaffald)(dedikeredeforbrændingsanlæg)
10000
1000
gpertonbrændtaffald(bemærklogaritmiskskala)
destipledelinjerergrænse‐værdier
100
10
1
0,1
Partikler
CO
SO2
NOX(lavgrænse)
NOX(højgrænse)
Anlæg
Note:Visseanlægharikkeoplysttalforalleværdierne.Foratfåetoverskueligtbilledeerdataforhveremissionsorteretistørrelsesorden.Mankansåledesikkefindesamtligeemissionerpågrafenforétforbrændingsanlæg,mensnarereseniveauogvariationiudledningerne.Note:Foretenkeltanlægerderi2011konstateretmålefejl,ogemissionsværdierneerderforfejlbehæftedefordetteanlæg.
Figur13viserdesamledeemissionerpr.tonaffaldforhverafdeparametre,derskalmåleskontinuerligtforvedforbrænding–vistframindstetilstørsteemissionforhvertstof.EndviderevisesEU‐grænseværdierneomregnettilg/tonaffald,somprikkeroverhvertanlægogforhvertstof6.Forbrændingsanlæggeneerudstyretmedrensningsudstyr,derundernormaldrifterberegnettilatoverholdedissegrænseværdier.Iår2010varderingenanlæg,derudled‐temereendgrænseværdierneberegnetsomårsmiddelværdier,daanlæggenesudled‐6
GrænseværdierneerafEUfastsatefterrøggasmængde(g/Nm3),ogdarøggasmængdenpr.tonaffaldvari‐
ererfraanlægtilanlæg,vilgrænseværdierneogsåvarierefraanlægtilanlæg,nårdesomheromregnestilg/tonaffald.ForNOXerdertoforskelligegrænseværdier,idetdererenhøjeregrænseværdiforovnlinjer,dervaridriftden28.december2002ogsomharenkapacitetpåhøjst6ton/time.Ifigurenerangivetdenhøjegrænseværdiforetanlæg,hvismindsteenafovnlinjernepåanlæggethardennegrænseværdi.
16/20
ningerihovedpartenafdriftstidenliggervæsentligundergrænseværdierne.Dersesdogvariationeranlæggeneimellem.Figur14viseremissionernefordeenkelteanlæg(somsøjler).Hvisemissionerneermålttilunderdetektionsgrænsen,erdeudeladt.Figur14Gennemsnitligeudledningertilluftenafforskelligestofferfradeenkelteanlæg(gpr.tonaffald)–”ensøjle”pr.anlæg(dedikeredeforbrændingsanlæg)
10000000100000010000010000gpertonbrændtaffald(bemærklogaritmiskskala)
10001001010,10,010,0010,00010,000010,0000010,00000011E‐081E‐09
Dioxin
Partikler
CO
SO2
NOX
Tungmetaller
Anlæg
Note:Foretenkeltanlægerderi2011konstateretmålefejl,ogemissionsværdierneerfejlbehæftedefordetteanlæg.
Derergennemførtenstatistiskanalyseafsammenhængenmellemniveauetforemissi‐onerogenrækkekarakteristikaforforbrændingsanlæggene7.Selvomderervariationer,såviseranalysenensammenhængmellemniveauetforhhv.NOXogSO2(nårdeneneerhøj,erdenandenogså).Detsammeertilfældetforniveau‐erneforhhv.dioxin,partiklerogCO.Dererikkealtidforbrændingstekniskeårsagertildissesammenhænge.Istedettyderdetpåentendenstil,atanlæggenereltliggerhøjthenholdsvislavtiforholdtiludledningafflerestoffer.
7
Analyserneer gennemført som sædvanlige regressionsanalyser med fx emissionen påvenstresiden og de øvrige karakteristika én for én på højresiden.
17/20
Analysenviserogså,atanlæggetsalderharbetydningforemissionerafNOXogSO2,dvs.nyereanlægharsignifikantlavereemissionerendældreanlæg8.Itaktmedatdeældreovneudfases,vildesamledeemissionerpr.tonfraforbrændingderforfalde.Herudoverviseranalyserne,atNOXudledesimindreomfangpr.tonpåstoreanlæg.Affaldetsbrændværdi,andelstikprøverogvisuelkontrolmedaffaldetladerikketilatpåvirkeemissionerne.Herudovervisertalleneensammenhængmellemantalletafvilkårsover‐skridelserpr.ton(senedenfor)ogdensamledeudledningSO2ogNOX.Joflerevilkårs‐overskridelser,johøjeresamletemission.Endeligpegeranalysernepå,atanlægmedsemi‐tørrøggasrensninggenereltharenhø‐jereudledningafSO2,mensanlægmedvådrøggasrensninggenereltharhøjerepartikel‐ogdioxinemissioner.Miljøreguleringenafforbrændingsanlægomfatterbl.a.vilkåromoverholdelseafemissi‐onsgrænseriløbetafetdøgn(døgnmiddelværdier)forhverenkeltovnlinje.Emissions‐overskridelserpåalleovnlinjerpåetanlægtællermed.Denstatistiskeanalysedoku‐mentererdaogsåensammenhængmellemantaloverskridelserogantalletafovne9.Figur15viserantaloverskridelser(døgnmiddelværdier)afluftemissionerne.Figur15Antalenkeltoverskridelserafluftemissioner(dedikeredeforbrændingsanlæg)
200180160
Antaloverskridelser
140120100806040200Anlæg
Note:Foretenkeltanlægerderi2011konstateretmålefejl.Detteanlægindgårderforikkeifiguren.
89
Pået10%signifikansniveau.På10%niveau.
18/20
Flereafde24dedikeredeforbrændingsanlægharhaftoverskridelserafvilkårfordøgn‐middelværdierimiljøgodkendelsen–varierendefra0til172overskridelseriløbetaf2010.Forlangtdeflesteanlægerdersketenreduktioniantalletafoverskridelseri2010.Talleneerdoglidtvanskeligeatsammenligne,damangeanlægikkeafgavoplys‐ningomoverskridelseri2007‐2009.Étanlægharhaftenkraftigstigningi2010.Typiskerdersærligedriftsmæssigeforholdforbundetmedmangeoverskridelser.Dettagesderhåndomisamarbejdemedmyndigheder.Anlæggetmedflestoverskridelseriår2010hariår2011opnåetbetydeligeforbedringer.Antalletafoverskridelservisernogetomdriftsstabilitetenpåetanlæg,ogreduktionenafoverskridelserertypisknåetvedøgetfokuspådenkompleksedriftsstyring,somernødvendigpåforbrændingsanlæg,fordiaffaldermindrehomogentendalmindeligebrændsler.Dekortvarigeoverskridelsergiverikkedirektefareforsundhedenellermil‐jøetomkringanlægget.Fastsættelseafoghåndhævelseafvilkårenetilluftemissionerianlæggenesmiljøgod‐kendelsekanvariereanlæggeneimellem.Miljøstyrelsenarbejderpåensretningihånd‐hævelsenafanlæggeneskravtilluftudledningiforbindelsemedgennemførelsenafre‐videredeEU‐miljøkravtilaffaldsforbrændingsanlæg.Figur16viser,hvilkevilkårsoverskridelseranlæggeneiøvrigtharhafti2010.Figur16Vilkårsoverskridelser,2010(dedikeredeforbrændingsanlæg)
Generelterdekortvarigevilkårsoverskridelserisærkonstateretomkringluftemissionerogstøvgenerfraoplagmv.samtiforholdtilspildevandudledttilrecipientellerkloak.19/20
7
Om BEATE
KriterietforatindgåiBEATE(BEnchmarkingAffaldsmodelTilEffektivisering)er,atan‐læggetkanmodtageaffaldefterkraveneiforbrændingsdirektivet/dendanskeforbræn‐dingsbekendtgørelse.FølgendetyperafanlægerblevetbedtomatindrapporteretilBEATE:Dedikeredeaffaldsforbrændingsanlæg,hvormindst80%afdenproduceredeenergistammerfraaffald.Øvrigeanlæg,derforbrændermereend20.000tonsaffaldomåret.
RedskabettilindsamlingafdataerstillettilrådighedafMiljøstyrelsen.IncentivePart‐nersharudarbejdetredskabetisamarbejdemedforeningerne,samtindhentet,indsam‐let,kvalitetssikretogbehandletdata.Foreningerneharhaftadgangtildatafradeanlæg,derermedlemafderespektiveforeninger,ogharbiståetmedkvalitetssikringenafdata.Deterandengang,anlæggeneharindberettetdataidenneform,ogdetererfaringen,atbenchmarkingblivermerepræcisefterflereforsøg,fordifejlogforskelligedefinitio‐nerofteførstopdages,efterhåndensombenchmarkingtallenebruges.Redaktionenerafsluttetpr.31.oktober2011.EfterredaktionensafslutningforeliggerdernyemiljødatafraHaderslevKraftvarmeværk.
20/20