Boligudvalget 2010-11 (1. samling)
L 89 Bilag 22
Offentligt
960472_0001.png
960472_0002.png
960472_0003.png
960472_0004.png
960472_0005.png
960472_0006.png
960472_0007.png
960472_0008.png
960472_0009.png
960472_0010.png
Huseftersynsordningen - L89Foretræde, BOU den 22.feb.2011,vedr. bestillingsreglerne fortilstandsrapporter
EBAS Energi- og Bygningsrådgivning - adm.direktør, Hans Jørgen LorenzenOBH Ingeniørservice - adm.direktør, Steen Hansen
PræsentationOBH og EBAS dækker hele landetBegge virksomheder råder hver over mere end 60 bygningssagkyndige ogenergikonsulenterBegge virksomheder er ISO-virksomhedscertificerede inden fortilstandsrapporterBegge virksomheder råder over egen kvalitetsafdeling med omfattendeselvkontrolKlage- og skadesudbetalingsfrekvenen er derfor meget lav – og måles ipromiller
Side 2
Er der behov for ændringer i bestillingsreglerne?Sådan fungerer bestillingsreglerne i dag:•Sælger kan selv finde en bygningssagkyndig•Sælger kan bede forsikringsselskab finde en bygningssagkyndig•Sælger kan bede ejendomsmægler rette henvendelse tilforsikringsselskab, der så retter henvendelse til denbygningssagkyndigeEjendomsmægler er IKKE involveret i valget af bygningssagkyndigeDen såkaldte Realdania-rapport om Huseftersynsordningen viste, atforbrugerne var tilfredse med den måde bestillingssystemet fungererpå – det er nemt og enkelt
Side 3
Er der behov for ændringer i bestillingsreglerne?Bestillingsreglerne er klare, men myterne er vedvarende – om der erbehov for ændringer, må afhænge af svarene på de tre spørgsmål?3.Fungerer uvildigheden og er rapportkvaliteten i orden, nårtilstandsrapporten bestilles via forsikringsselskaberne?5.Er det nuværende system gennemskueligt mht. gebyrer?7.Fungerer priskonkurrencen – og er der et marked for både store ogsmå bygningssagkyndige?
Side 4
Spm. 1 – Fungerer uvildigheden?Flow over sagsforløb ved rekvirering af tilstandsrapport via forsikringsselskabSælger vælgerselv – ellerbeder mæglerrekvirere TR ogforsikringstilbudMægler rekvirerervia forsikrings-selskab*Forsikringsselskabsender opgaven tilleverandør –tilfældigfordeling**Leverandørfordeler sagen tilsagkyndig ***Leverandør senderTR og forsikr. til:SælgerMæglerForsikringsselskab
***
Hvis sælger ikke selv har valgt leverandør, rekvirerer mægler via forsikringsselskab TR/EM og tilbud på ejerskifteforsikringForsikringsselskabet samarbejder typisk med flere leverandører, der udarbejder TR/EMog fordeler sine opgaver elektronisk efter evt. fordelingsnøgle, men uden skelen til geografieller firma – altså en helt vilkårlig udvælgelseLeverandøren fordeler indkomne opgaver efter følgende principper og for opfyldelse af uvildighed:****Sælgers ønske til besigtigelsesdagIntern fordeling af sager hos leverandørLogistik (Fx: Hvilken rådgiver bor tættest på opgaven?)Succeskriterier/servicemål overfor forsikringsselskab (tid)
***
Ejendomsmægleren har ingen indflydelse på, hvilken bygningssagkyndig der løser en given opgave. Evt. ønsker om bestemtbygningssagkyndig bliver afvist /ikke taget hensyn til
Side 5
Spm. 1 (del to) – Er rapportkvaliteten god?
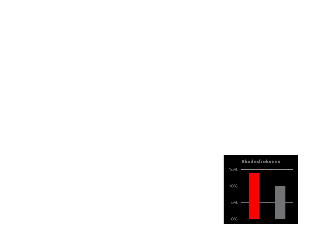
Der er dokumentation for, at kvaliteten er højere og fejlene færre, når det erforsikringsselskabet, der er bestiller af tilstandsrapportenI perioden 2008-10 havde de bygningssagkyndige, der modtog bestilling viaforsikringsselskaberne, væsentlig færre tabte sager ved Ankenævnet forHuseftersyn (Kilde: BfBE, 2010, fremlagt under høringen i BOU)Forsikringsselskaberne har væsentlig færre skader på ejerskifteforsikringer,hvor der er indgået aftale om at udføre tilstandsrapporter mellem etforsikringsselskab og en bygningssagkyndig (kilde: F&P, notat fremlagt underHøringen i BOU)
Side 6
Ikke-aftaler
Aftaler
Spm. 2 - Er det nuværende system gennemskueligtmht. gebyrer?Gebyrer ved rekvirering via forsikringsselskabLeverandør overfor sælger ****
Sælger bedermægler rekvirereTR*
Mægler rekv. viaforsikrings-selskab**
Gebyr kr. 0,0
Gebyr kr. 0,0
Forsikringsselskabsender opgaven tilleverandør eftertilfældigfordeling***
Gebyr kr. 0,0
Gebyr
******
Der er intet gebyr/betaling mellem sælger og mæglerDer er intet gebyr/betaling mellem mægler og forsikringsselskabLeverandøren opkræver hos sælger et gebyr til forsikringsselskabet for administration og levering af forsikringstilbud. Hele gebyretvideresendes til forsikringsselskabet. Gebyret varierer fra p.t. 125 kr. til 600 kr. pr. sag.Der er intet gebyr mellem leverandør og sælgerI øvrigt opkræver leverandøren gebyr til staten på 296 kr. pr. TM og 70 kr. pr. EM. Begge gebyrer er momsfri
****
Side 7
Spm. 3 - Fungerer priskonkurrencen – og er der plads tilbåde store og små bygningssagkyndige?Priserne på tilstandsrapporter er faldet med ca. 30% i perioden2008-10. Prisfaldet hænger sammen med en intensivkonkurrence mellem de bygningssagkyndige kombineret med enlavere boligomsætningPrisen på en tilstandsrapport på et typisk parcelhus er faldet fraca. 12.300 kr. i 2008 til 8.900 kr. i 2010Analyser (BfBE, 2010) viser, at markedet for tilstandsrapporterfordeler sig med ca. 45% , der formidles viaforsikringsselskaberne, og ca. 55% formidles direkte fra sælger(eller denne advokat o.a. ) til den bygningssagkyndigeIngen virksomhed har en dominerende position ellerkonkurrenceproblemer som følge af forsikringsaftalerKonklusionen er, at der er livlig konkurrence, og markedet giverplads til både store og små virksomheder af bygningssagkyndige

Pris på tilstandsrapporter

Markedsfordeling

Sammenfatning - svarene på spørgsmåleneDet nuværende system sikrer uvildigheden, således som politikerneønsker det. Det fungerer de facto som et Random system (tilfældigudvælgelse).Det nuværende system sikrer et velfungerende marked for både storeog små bygningssagkyndige – ca. halvdelen af de udførtetilstandsrapporter bestilles via forsikringsselskaberne (45%). Denanden halvdel bestilles af forbruger selv, dennes advokat eller andre,der retter direkte henvendelse til den bygningssagkyndige (55%).Der er dokumentation for, at antal fejl og klager er mindre, nårtilstandsrapporterne bestilles via forsikringsselskaberne.Det er derfor ikke reglerne, den er gal med – det er aleneoverholdelse af reglerne, der er problemet. Det handler således ikkeom at lave bestillingssystemet om, men blot at indskærpe gældenderegler overfor fx ejendomsmæglere.
Side 9
Forslag til justeringer, der kan løse de aktuelle problemerSælger skal anføre i tilstandsrapporten, hvordan den bygningssagkyndigeer bestiltDer skal være forbud mod, at den bygningssagkyndige må tage imodbestilling direkte fra sælgers ejendomsmæglerEndelig kunne man overveje, om det er hensigtsmæssigt, atejendomsmægler skal fremlægge lister over lokale bygningssagkyndige– når der netop er behov for at afkoble ejendomsmægler ogbygningssagkyndig
Side 10