Sundhedsudvalget 2010-11 (1. samling)
SUU Alm.del
Offentligt
966921_0001.png
966921_0002.png
Indenrigs- og SundhedsministerietSlotsholmsgade 10-121216 København K.
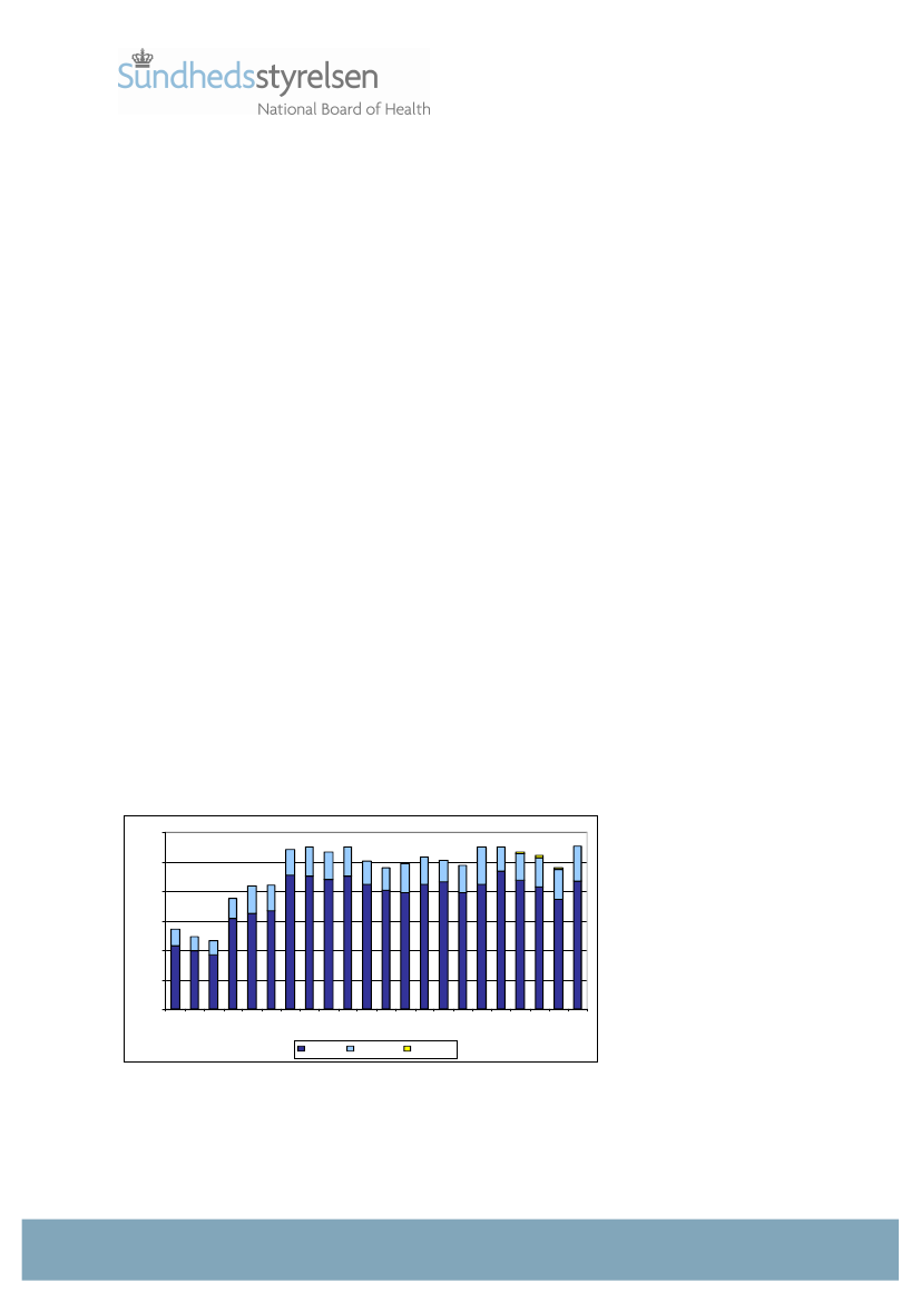
Sundhedsstyrelsens udtalelse til SUU 419Sundhedsstyrelsen er blevet anmodet om at bidrage tilredegørelse for udvik-lingen i antallet af narkotikarelaterede dødsfald i årene 2001 til 2010.BidragRigspolitiet har registreret narkotikarelaterede dødsfald siden 1970. Registe-ret omfatter dødsfald, hvor der er sket indberetning til politiet med henblikpå medikolegalt ligsyn, og hvor der samtidig foreligger oplysninger om etstofmisbrug. Det drejer sig fx om dødfundne, pludselig uventede døde, ulyk-ker - herunder forgiftninger, drab og selvmord. Dødsfald forårsaget af for-giftning eller anden ulykke, hvor den pågældende havde indtaget narkotika,vil således blandt andet blive registreret i Rigspolitiets register.Fra midten af 90´erne har antallet af narkotikarelaterede dødsfald registrereti Rigspolitiets register ligget nogenlunde konstant, dog med årlige udsving,og faldende tendens de senere år fra 2005 til 2008. I 2009 blev der registreret276 narkotikarelaterede dødsfald, hvilket er det højeste antal de senere år.Udviklingen i antal narkotikarelaterede dødsfald fra 1988 til 2009 er vist ifiguren nedenfor. De narkotikarelaterede dødsfald fra 2010 er endnu ikkeopgjort.
21. februar 2011j.nr. 7-310-151/1/BINCenter for ForebyggelseSundhedsstyrelsenIslands Brygge 672300 København STlf.72 22 74 00Fax72 22 74 11E-post [email protected]Dir. tlf. 7222 7757E-post [email protected]
30025020015010050019881990199219941996Mænd199820002002200420062008
Kvinder
Ukendt
Antal narkotikarelaterede dødsfald alene i årene 2001 til 2009 er vist i tabel-len nedenfor.
Antal narkotikarelaterede dødsfald registreret i Rigspolitiets registerfra 2001 til 2009

2001

Rigspolitietsregister. I altHeraf mænd21121619748211632344121846207501865121759258

2002

252

2003

245

2004

275

2005

275

2006

266*

2007

260**

2008

239*

2009

276
Side 221. februar 2011Sundhedsstyrelsen
Heraf kvinder4736

*

Køn uoplyst for 2 personer

**Køn

uoplyst for 3 personer
Gennemsnitsalderen ved død er i mange år steget. Tilbage i 1993 var gen-nemsnitsalderen 33 år, mens den i 2009 var steget til 39,6 år. Gennemsnits-alderen ved død for mænd er i 2009 39,2 år, mens den for kvinder er 40,8 år.Ca. 20 % af samtlige narkotikarelaterede dødsfald årligt sker blandt de ungeunder 30 år.Langt de fleste (ca.80 %) narkotikarelaterede dødsfald sker som følge af enforgiftning, mens resten (ca.20 %) sker som følge af vold, sygdom, selvmordeller anden ulykke end forgiftning. I langt de fleste forgiftningsdødsfald erder tale om, at flere stoffer samtidig medvirker til forgiftningen – mere endét stof bliver fundet i en dødelig dosis. Ligeledes påvises andre stoffer hosden afdøde, såsom benzodiazepiner, alkohol m.m. I nedenstående figur sesdet gennemsnitlige antal påviste stoffer (inkluderet alkohol) i blodet hos denarkotikadøde i 2009 i forskellige aldersgrupper.
54321015-1920-2425-2930>
Som figuren viser, påvises mellem 3 og 4 forskellige stoffer i gennemsnit iforgiftningsdødsfaldene, hvilket dokumenterer et udbredt blandingsbrugblandt dem, der dør. Dette gælder, som det ses af figuren, også blandt de heltunge.
Kari GrasaasenSpecialkonsulent