Uddannelsesudvalget 2010-11 (1. samling)
UDU Alm.del Bilag 296
Offentligt
1009363_0001.png
1009363_0002.png
7. juni 2011
Att.: Uddannelsesudvalget ogFinansudvalget, Christiansborg
Kære Uddannelsesudvalg og FinansudvalgVil I være med til at spare 300 mio. kr. og samtidig skabe en bedre folkeskole?Der er i dag bred enighed på tværs af politiske partier og organisationer om, at ud-gifterne til specialundervisning i dag er for store, og at flere børn i fremtiden skalinkluderes i den almindelige undervisning.Det er dog ikke muligt blot at flytte specialbørnene uden samtidig at styrke de al-mindelige klasser, de skal over i. Inklusion kræver investeringer, før der kan skabesbesparelser, ellers får vi en dårligere folkeskole for alle børn.Herning har – ligesom landets øvrige kommuner – oplevet en eksplosiv vækst i be-villingerne til specialundervisningen, og derfor har kommunen igangsat en rækkeinitiativer, som skal begrænse børns ekskludering fra den almindelige undervis-ning, så som øget holddeling, nye pædagogiske værktøjer og efteruddannelse af læ-rerne – initiativer til 7,3 mio. kr. om året. En investering der forventes at give enårlig besparelse på 12,5 mio. kr. – altså en årlig nettobesparelse på 5,2 mio. kr., nårtiltagene er fuldt implementerede efter cirka fem år.I Herning Kommune er der 10.000 skolebørn, og i Danmark er der i alt 590.000skolebørn. Realiseres Herning-projektet i hele Danmark, vil det koste en investe-ring på godt 400 mio. kr. En investering på 400 mio. kr. vil betyde en besparelse pågodt 700 mio. kr. – og dermed en nettobesparelse på cirka 300 mio. kr. om året.Ligesom investeringen vil betyde øgede livschancer for en meget stor børnegruppe.Hvad er så problemet? Problemet er, at ikke alle kommuner har råd til at igangsæt-te de nødvendige initiativer. En mulig løsning er at etablere en lånepulje, så kom-munerne kan foretage investeringen og efter nogle år realisere besparelserne.Derfor foreslår vi, at der i den kommende finanslov – med inspiration fra de så-kaldte ESCO-lån til energispareprojekter – oprettes en lånepulje på 100 mio. kr. år-ligt i en fireårig periode, hvor kommunerne kan låne til de nødvendige tiltag. Heref-
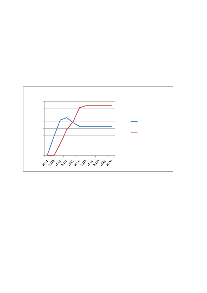
ter skal besparelsen på specialundervisningen betale lånet. At der er tale om lån be-tyder, at kommunerne kun vil igangsætte initiativer, hvor der er stor chance for, atder kan flyttes børn fra specialundervisning til almindelig undervisning. Ingenkommuner vil turde optage lån, hvor der er for stor usikkerhed omkring mulighe-derne for tilbagebetaling. Lånene vil således med stor sikkerhed ikke øge de samle-de udgifter til folkeskolen på længere sigt.Nedenfor kan I en profil for udgifter og indtægter ved en fuldt indfaset Herning-model i hele Danmark.
Mio. kr.8000007000006000005000004000003000002000001000000

Tidsprofil af indtægter og udgifter

Merudgifter tiliværksættelse af tiltagMindreudgifter
Vi håber, I vil tage vel imod forslaget.Venlig hilsenAnne Vang (S), børne- og ungdomsborgmester i Københavns Kommune, Joan Han-sen (V), formand for børne- og familieudvalget i Herning Kommune, CharlotteRønhof, forsknings- og uddannelsespolitisk chef i DI og Vera Rosenbeck, formandfor Danske Skoleelever
2