Europaudvalget 2010-11 (1. samling)
EUU Alm.del Bilag 397
Offentligt
993975_0001.png
danmarks nationale
reformprogram
2011
REGERINGEN
Maj 2011
PDF to HTML - Convert PDF files to HTML files PDF to HTML - Convert PDF files to HTML files
993975_0003.png
danmarks nationale
reformprogram
2011
REGERINGEN
Maj 2011
PDF to HTML - Convert PDF files to HTML files PDF to HTML - Convert PDF files to HTML files
993975_0005.png
Indhold
Indledning.......................................................................................................................
1.
Den økonomiske ramme.........................................................................................
1.1 De økonomiske udsigter.................................................................................
1.2 Makroøkonomiske ubalancer .........................................................................
De nationale mål i Europa2020-strategien .............................................................
2.1 Det nationale mål for beskæftigelse ...............................................................
2.2 Det nationale mål for forskning og udvikling...................................................
2.3 Det nationale mål for klima og energi.............................................................
2.4 Det nationale mål for uddannelse...................................................................
2.5 Det nationale mål for social inklusion .............................................................
Identificering af flaskehalse ....................................................................................
3.1 Vækstforums konklusioner .............................................................................
3.2 Demografiske udfordringer .............................................................................
3.3 Væksten i produktiviteten er lav .....................................................................
3.4 Konkurrence ...................................................................................................
3.5 Uddannelsesmæssige udfordringer ...............................................................
3.6 Et samfund uafhængigt af fossile brændsler i 2050.......................................
3.7 Gældsniveauet i husholdningerne i Danmark ................................................
Deltagelse, kommunikation og identificering af
good practice
...............................
VII
3
3
7
13
14
18
21
26
31
35
36
38
41
44
46
50
52
63
2.
3.
4.
Danmarks nationale reformprogram 2011
·
Maj 2011
PDF to HTML - Convert PDF files to HTML files
993975_0006.png
Kapitel 0
VI
PDF to HTML - Convert PDF files to HTML files
993975_0007.png
Indledning
Nyt kapitel
I lyset af behovet for at udvikle holdbare og vækstfremmende politikker og reformer i EU-
landene og for at sikre koordination på EU-plan, skal medlemsstaterne i forbindelse med det
første
europæiske semester
identificere vigtige strukturelle reformer med stor makroøkono-
misk effekt, der på én gang sikrer konsolidering af de offentlige finanser og understøtter høje-
re vækst og beskæftigelse. I den forbindelse skal medlemslandene aflevere et Stabilitets- el-
ler Konvergensprogram og et Nationalt Reformprogram og Danmarks Nationale Reformpro-
gram fremsendes hermed.
Nationalt har regeringen sat det mål, at Danmark i 2020 skal være blandt de 10 rigeste lande
i verden målt ved BNP pr. indbygger, have et samlet arbejdsudbud blandt de 10 højeste i
verden, være blandt de dygtigste i verden og være et grønt bæredygtigt samfund og blandt
verdens tre mest energieffektive lande. Derudover skal den økonomiske politik være holdbar
på længere sigt.
Formålet med det Nationale Reformprogram er at beskrive de tiltag, som Danmark allerede
har taget og vil tage for at bidrage til opfyldelsen af Europa2020 strategiens 5 overordnede
mål samt at identificere flaskehalse for vækst med henblik på at skabe nye vækstmuligheder
og en forbedret konkurrenceevne. I reformprogrammet præsenteres også den overordnede
økonomiske ramme for dansk økonomi, som er baseret på den nye mellemfristede frem-
skrivning, 2020-planen, og som er udfoldet i konvergensprogrammet.
Strukturen i det Nationale Reformprogram er bygget op om det foreløbige Nationale Reform-
program, der blev afleveret i slutningen af 2010.
Kapitel 1 omhandler den overordnede økonomiske ramme for dansk økonomi baseret
på 2020-planen.
Kapitel 2 fokuserer på de danske nationale målsætninger, der skal bidrage til opfyldel-
sen af Europa2020 strategien samt strategier hertil
Kapitel 3 omhandler identificering af flaskehalse for vækst i Danmark
Kapitel 4 beskriver inddragelsen af relevante ministerier og interesseorganisationer i for-
bindelse med europapolitiske spørgsmål af relevans for Europa2020-strategien, herun-
der inddragelse i udformningen af det Nationale Reformprogram.
Danmarks nationale reformprogram 2011
·
Maj 2011
VII
PDF to HTML - Convert PDF files to HTML files
993975_0008.png
Kapitel 1
2
Danmarks nationale reformprogram 2011
·
Maj 2011
PDF to HTML - Convert PDF files to HTML files
993975_0009.png
Kapitel 1
1.
Nyt kapitel
Den økonomiske ramme
Dansk økonomi har været i fremgang siden sommeren 2008 efter det kraftige
tilbageslag i forlængelse af finanskrisen. Markante penge- og finanspolitiske
lempelser i 2009 og 2010 er en væsentlig drivkraft bag fremgangen og vil fort-
sat virke ind i 2011. Frem mod 2015 ventes en fortsat og gradvist mere selv-
bærende genopretning af aktiviteten i økonomien.
De centrale udfordringer fremadrettet er at styrke vækstmulighederne og de of-
fentlige finanser, som begge svækkes strukturelt af den demografiske udvik-
ling. Udfordringerne skærpes af, at de offentlige finanser er svækket betydeligt
i forbindelse med finanskrisen, og at vækstmulighederne gennem en længere
årrække har været dæmpet af en svag produktivitetsudvikling. Regeringens
mellemfristede strategi for håndteringen af udfordringerne er formuleret i 2020-
planen og detaljeret beskrevet i Danmarks Konvergensprogram 2011.
Det centrale mellemfristede finanspolitiske mål er at sikre strukturel balance på
de offentlige finanser i 2020, jf. konvergensprogrammet. Henstillingen fra EU’s
Ministerråd (ECOFIN) om at forbedre den strukturelle offentlige saldo med 1�½
pct. af BNP i perioden 2011 til 2013 er opfyldt med aftalen om Genopretning af
Dansk Økonomi fra maj 2010.
1.1
De økonomiske udsigter
Dansk økonomi blev hårdt ramt af det globale tilbageslag i efteråret 2008, som kom oveni en
igangværende afdæmpning af efterspørgslen efter en periode med stort kapacitetspres,
svækket konkurrenceevne og kraftige stigninger i boligpriserne.
Siden sommeren 2009 er det imidlertid gået fremad igen, og gennem det seneste halvandet
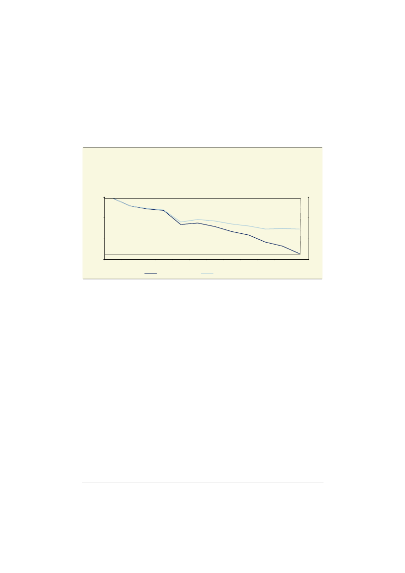
år har væksten været større end ventet, mens ledigheden er steget mindre end frygtet. Brut-
toledigheden er stabiliseret det seneste halve år og er i dag lavere end i 2001, hvor den ellers
nåede ned på det laveste niveau efter højkonjunkturen i 1990’erne,
jf. figur 1.1a.
Det er be-
mærkelsesværdigt i lyset af det historisk kraftige tilbageslag i dansk og international økonomi.
Frem mod 2015 ventes en fortsat gradvis genopretning af aktiviteten i økonomien, således at
ledigheden kan nærme sig det estimerede strukturelle niveau. I takt med at fremgangen i ef-
terspørgslen bliver mere selvbærende er det derfor naturligt gradvist at udfase de store pen-
ge- og finanspolitiske lempelser under krisen.
Danmarks nationale reformprogram 2011
·
Maj 2011
3
PDF to HTML - Convert PDF files to HTML files
993975_0010.png
Kapitel 1
Den økonomiske ramme
Genopretningen af aktiviteten forudsætter også, at der fortsat er tillid til finanspolitikken og
troværdighed om de offentlige finanser i Danmark. Krisen har således skærpet de finanspoli-
tiske udfordringer, som Danmark står overfor. Store offentlige overskud er vendt til et betyde-
ligt underskud, som ventes at være på ca. 70 mia. kr. (4 pct. af BNP) i 2011, blandt andet på
baggrund af en af de største finanspolitiske lempelser i EU på over 3 pct. af BNP. Danmark
er derfor kommet ind i EU’s procedure for uforholdsmæssigt store underskud og har fået en
henstilling om at stramme finanspolitikken frem mod 2013.
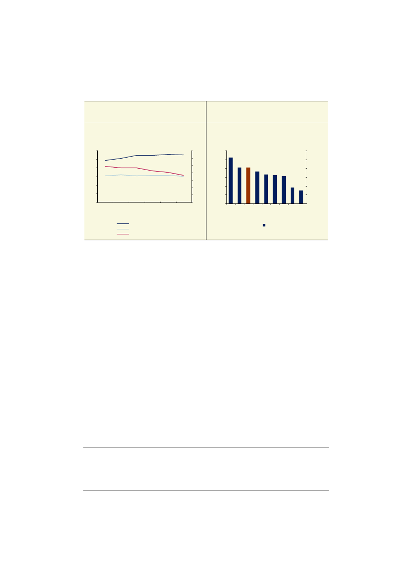
Figur 1.1a
Bruttoledighed og langtidsledighed
Figur 1.1b
Strukturel saldo uden tiltag og i 2020-forløbet
inklusive reformer mv.
Pct . af BNP
3
2
1
0
2020-f orløb
Uden ref orm
Pct . af BNP
3
2
1
0
-1
-2
-3
Uden ref om og høj
f orbrugsvækst
-4
-5
-6
2005
2010
2015 2020
-7
2025 2030
1.000 personer
350
300
250
200
150
100
50
0
96
98
00
02
04
06
1.000 personer
Laveste niveau 2001
350
300
250
200
150
100
50
0
08
10
-1
-2
-3
-4
-5
-6
-7
2000
Ledige, alle
Langtidsledige
Anm.: I figur 1.1b viser udviklingen i den strukturelle saldo frem til 2050 ved: 1) uden yderligere reformer
samt høj vækst i det offentlige forbrug (rød), 2) uden yderligere reformtiltag og lav vækst i det of-
fentlige forbrug (mørkeblå), og 3) 2020-forløb med virkning af reformforslag (lyseblå).
Kilde: Egne beregninger.
Samtidig har det internationale økonomiske klima skiftet karakter. Opsvinget i den vestlige
verden er moderat, og mange lande står med finanspolitiske udfordringer, der kan virke
uoverkommelige. På de finansielle markeder er der øget fokus på udviklingen i underskud og
gæld, og på hvordan landene håndterer opgaven med at sikre sunde finanser. Omkostnin-
gerne blandt andet i form af stigende renter ved at føre en uansvarlig eller utroværdig politik
er betydelige.
Danmark er et lille land med en meget rentefølsom økonomi, og hvor udviklingen på blandt
andet boligmarkedet har stor betydning både for den samlede efterspørgsel og den finansiel-
le stabilitet. Det øger sårbarheden overfor finansiel uro. Beskæftigelse og vækst er blevet
mere følsomme overfor ændringer især i de korte renter end tidligere, og de realøkonomiske
konsekvenser af pres på kronen, der indebærer rentestigninger, er derfor forøget. Samtidig
har finanskrisen vist, at den økonomiske stabilitet i høj grad er betinget af, at der internatio-
nalt er tillid til den finansielle sektor i Danmark.
4
Danmarks nationale reformprogram 2011
·
Maj 2011
PDF to HTML - Convert PDF files to HTML files
993975_0011.png
Kapitel 1
Den økonomiske ramme
For Danmark er det derfor blevet endnu vigtigere end tidligere at føre en ansvarlig og stabili-
tetsorienteret økonomisk politik, som sikrer troværdighed om fastkurspolitikken, og som kan
sikre, at danske statspapirer fortsat ses som ”en sikker havn” i perioder med finansiel uro.
Hvis tilliden ikke fastholdes, kan det sætte det moderate opsving, som er i gang, under pres
og medføre en større stigning i rentebetalingerne på gælden og dermed reducere råderum-
met til andre formål.
Med genopretningsaftalen er der fra 2011 taget fat på at genoprette den offentlige økonomi.
Aftalen betyder sammen med den planlagte finanspolitik i øvrigt, at op mod 90 pct. af de lem-
1
pelser, der blev gennemført i 2009 og 2010, trækkes tilbage igen . Aftalen indebærer blandt
andet, at de offentlige udgifter skal holdes i ro i årene frem til 2013, således at det reale of-
fentlige forbrug bringes tilbage på det spor, som tidligere var planlagt. Aftalen indeholder og-
så reformer på arbejdsmarkedet, som kan bidrage til at fastholde lav langtidsledighed og
styrke arbejdsudbuddet. Samlet er det vurderet, at aftalen styrker arbejdsudbuddet med godt
10.000 personer på længere sigt, svarende til 0,3 pct. af arbejdsstyrken.
Udfordringerne for de offentlige finanser skærpes imidlertid, når der ses længere frem. Dan-
mark står fra nu af og i de kommende årtier i en situation, hvor den offentlige økonomi sy-
stematisk kommer under stigende pres. Hvis ikke der gennemføres yderligere reformer, som
styrker det offentlige indtægtsgrundlag, og det offentlige forbrug vokser realt som i de sene-
ste 30 år, er der udsigt til, at underskuddet kan stige til over 2�½ pct. af BNP i 2020 (48 mia.
kr.) og 6�½ pct. af BNP (120 mia. kr.) frem mod 2030,
jf. figur 1.1b.
Sådan et forløb – hvor ud-
giftspolitikken videreføres uændret – er ikke troværdigt og vil medføre pres på rentespændet,
som yderligere øger gælden. Selv hvis den årlige stigning i det offentlige forbrug halveres i
forhold til de seneste 30 år, vil der være underskud på omkring 1¼ pct. af BNP (23 mia. kr.) i
2020 og 2�½ pct. af BNP (48 mia. kr.) i 2030.
Krisen har samtidig tydeliggjort, at Danmark står over for en udfordring med lavt vækstpoten-
tiale. Produktivitetsvæksten har været lav gennem en længere årrække, og selv om beskæf-
tigelsen er vokset, har fremgangen i velstanden været mindre end i mange sammenlignelige
lande. Den lave produktivitetsvækst har samtidig svækket de offentlige finanser, fordi væk-
sten i de offentlige udgifter ikke samtidig er sat tilsvarende ned. De kommende år vil den de-
mografiske udvikling reducere arbejdsudbuddet, mens befolkningen vokser, blandt andet for-
di antallet af ældre øges. Det medfører pres på finanserne og begrænser vækstmulighederne
i de private erhverv, navnlig hvis væksten i det offentlige forbrug fortsætter og dermed redu-
cerer rekrutteringsgrundlaget for den private sektor.
Dansk økonomi står dermed over for især 3 grundlæggende udfordringer:
Vækstpotentialet skal styrkes. Uden reformer der øger arbejdsudbuddet eller højere pro-
duktivitetsvækst er vækstmulighederne meget begrænsede – omkring 1 pct. om året –
og der er risiko for at Danmark bliver et lavvækstsamfund. Med store udfordringer for
både offentlige finanser og vækst, er det de private virksomheders vækstbetingelser, der
skal styrkes. Det kræver reformer, som kan styrke arbejdsudbud, produktivitet og kon-
kurrenceevne.
1
Målt ved de direkte provenuer, der indgår i finanseffektberegningen.
Danmarks nationale reformprogram 2011
·
Maj 2011
5
PDF to HTML - Convert PDF files to HTML files
993975_0012.png
Kapitel 1
Den økonomiske ramme
De offentlige finanser skal styrkes væsentligt for at sikre, at den offentlige økonomi hæn-
ger sammen på lidt længere sigt. Uden yderligere reformer vil der kun være plads til ca.
nulvækst i de offentlige serviceudgifter det næste tiår, for at der kan være balance på de
offentlige finanser i 2020 (strukturelt).
Det er et grundlæggende krav, at udgifterne ikke fortsætter med at stige mere end det,
som er planlagt og aftalt. Der er indført skærpede styringsmekanismer, men det vurde-
res ikke at være tilstrækkeligt. Der er behov for at indføre et nyt udgiftsstyringssystem
baseret på bindende udgiftslofter for stat, kommuner og regioner.
Regeringens strategi for håndteringen af udfordringerne er formuleret i 2020-planen. I planen
er det centrale omdrejningspunkt for finanspolitikken at sikre strukturel balance på de offentli-
ge finanser i 2020. Strukturel balance vil styrke troværdigheden om de offentlige finanser og
om fastkurspolitikken og sikre finanspolitiske handlemuligheder i forbindelse med tilbageslag.
Ved at sikre strukturel balance i 2020 med initiativer, der permanent styrker finanserne, vil fi-
nanspolitikken samtidig indfri kravet om (mindst) finanspolitisk holdbarhed. Desuden vil struk-
turel balance mindske risikoen for, at Danmark igen kommer i konflikt med 3 pct.’s grænsen
for offentlige underskud i EU’s Stabilitets- og Vækstpagt.
I planen til 2020 kan udfordringen for de offentlige finanser håndteres gennem de fremlagte
reformforslag, som øger den private beskæftigelse, og ved en bedre styring og prioritering af
de offentlige udgifter. Reformerne vil dermed også styrke vækstpotentialet. 2020-planen er
beskrevet i detaljer i Konvergensprogram 2011.
Regeringens reformpakke vil i løbet af foråret blive fulgt yderligere op med udspil om, hvor-
dan danske virksomheder får de bedste rammer for at skabe ny vækst og nye arbejdsplad-
ser.
6
Danmarks nationale reformprogram 2011
·
Maj 2011
PDF to HTML - Convert PDF files to HTML files
993975_0013.png
Kapitel 1
Den økonomiske ramme
Boks 1.1
Mål i 2020-planen
Strukturel balance på de offentlige finanser i 2020. Gældsopbygningen bremses.
Målet nås med reformer, som øger arbejdsudbuddet, og bedre styring af de offentlige udgifter.
Den private beskæftigelse skal øges med 125.000 personer (6,5 pct.) fra 2010 til 2020.
Vækstpotentialet forøges til omkring 2 pct. om året – mod ca. 1 pct. i fravær af nye tiltag.
De primære offentlige udgifter skal udgøre under 50 pct. af (konjunkturrenset) BNP i 2020. Herunder
sigtes mod, at det offentlige forbrug udgør under 27 pct. af (konjunkturrenset) BNP.
Der skabes plads til vækst i de offentlige serviceudgifter på ca. 4 mia. kr. (0,8 pct.) om året fra 2014-
2020.
Der indføres et nyt udgiftspolitisk regime, som er baseret på bindende udgiftslofter for hhv. stat, kom-
muner og regioner, og som er forankret i en særlig lov om udgiftslofter.
Fortsat skattestop
1.2
Makroøkonomiske ubalancer
Kommissionen har i den Årlige Vækstundersøgelse bl.a. sat fokus på at de makroøkonomi-
ske ubalancer skal korrigeres med henblik på at skabe makroøkonomiske forudsætninger for
vækst. Kommissionen fokuserer på, at mange lande bliver nødt til at takle svag konkurrence-
evne hurtigere, lande med et stort underskud på betalingsbalancens løbende poster bør
fremlægge konkrete korrigerende foranstaltninger og lande med et stort overskud på beta-
lingsbalancens løbende poster bør undersøge årsagerne til den varige lave indenlandske ef-
terspørgsel og fjerne dem.
I internationale sammenligninger fremstår de underliggende strukturer og rammebetingelser i
dansk økonomi grundlæggende gode. Ledigheden og langtidsledigheden er forholdsvis lav
og beskæftigelsen er høj,
jf. OECD Economic Survey of Denmark 2009.
Danmark står ikke
desto mindre overfor vigtige udfordringer i de kommende år.
Den danske konkurrenceevne er under pres, da lønomkostningerne i Danmark er steget me-
re end i udlandet gennem en årrække, hvilket er en udfordring idet produktivitetsvæksten ikke
er fulgt med. Den værdi, en dansker skaber på en arbejdstime (produktiviteten), er ikke vok-
set så hurtigt som i andre rige lande. Trods svækkelsen af konkurrenceevnen er der fortsat
store overskud på betalingsbalancen i Danmark.
Danmarks nationale reformprogram 2011
·
Maj 2011
7
PDF to HTML - Convert PDF files to HTML files
993975_0014.png
Kapitel 1
Den økonomiske ramme
Konkurrenceevne
Danmark har fra 1999 til 2009 haft den næstlaveste årlige vækst i produktiviteten blandt
OECD-landene,
jf. figur 1.2a.
I 2010 er produktiviteten styrket markant efter store fald i de fo-
regående år under den kraftige internationale økonomiske krise. Disse udsving igennem de
seneste år ændrer imidlertid ikke ved, at der siden midten af 1990’erne efter alt at dømme er
sket en trendmæssig nedgang i produktivitetsstigningerne i Danmark. Årsagerne til den lave
produktivitetsvækst uddybes i kap. 3.3.
Lav produktivitetsvækst kan bidrage til opbygning af makroøkonomiske ubalancer, hvis ikke
lønudviklingen er afpasset med produktiviteten, eller hvis ikke udviklingen i de offentlige for-
brugsudgifter afstemmes med den langsommere vækst i skattegrundlaget. Husholdninger og
virksomheders forventninger til fremtidig vækst er også medbestemmende for privatforbrug
og investeringer.
Danske virksomheders lønkonkurrenceevne overfor udlandet er samlet set blevet svækket
siden 2000 (hvor kursen på euroen og den danske krone imidlertid også var relativt lav over
for bl.a. den amerikanske dollar og en række andre valutaer). Lønomkostningerne i Danmark
er således steget mere end i udlandet i gennemsnit gennem en årrække – hvilket bl.a. skal
ses i lyset af, at lønstigningerne i navnlig Tyskland har været meget afdæmpede. I den dan-
ske fremstillingssektor er lønomkostningerne større end i alle andre OECD-lande, bortset fra
Norge.
Det er en udfordring som skærpes af, at produktivitetsvæksten som nævnt har været lav set
over en længere årrække, selv om der de senere år i forbindelse med den internationale krise
ser ud til at være sket en vis indhentning i forhold til udlandet, som har medført en mindre
forbedring af lønkonkurrenceevnen,
jf. figur 1.2b.
Samlet set svækker udviklingen i lønkon-
kurrenceevnen siden 2000 afsætningsmulighederne for eksportvirksomhederne og for virk-
somheder, der konkurrerer med udenlandske virksomheder på det danske marked. Samtidig
er det sandsynligt, at det internationale tilbageslag har medført større fokus på pris som kon-
kurrenceparameter.
Regeringen kan bidrage til en sund lønudvikling ved at føre en stabilitetsorienteret økonomisk
politik og ved at sikre gode strukturer på arbejdsmarkedet. Løndannelsen i Danmark aftales
mellem arbejdsmarkedets parter og på den enkelte arbejdsplads mellem medarbejdere og
ledelse. Løndannelsen afspejler dermed bl.a. markedsvilkårene og lønudviklingen i udlandet.
8
Danmarks nationale reformprogram 2011
·
Maj 2011
PDF to HTML - Convert PDF files to HTML files
993975_0015.png
Kapitel 1
Den økonomiske ramme
Figur 1.2a
Lav arbejdsproduktivitetsvækst i Danmark,
1999-2009
Pct.
5,0
4,5
4,0
3,5
3,0
2,5
2,0
1,5
1,0
0,5
0,0
IT A
DK
ESP
NZL
BEL
CHE
M EX
C AN
AU S
NOR
N LD
PR T
D EU
FRA
IS R
AU T
O EC D
J PN
SW E
UK
U SA
F IN
IS L
GRC
IR L
HUN
CZE
PO L
SVK
KO R
Pct.
5,0
4,5
4,0
3,5
3,0
2,5
2,0
1,5
1,0
0,5
0,0
Figur 1.2b
Udviklingen i lønkonkurrenceevnen siden 2000
(relative enhedslønomkostninger)
Pct.
5
0
-5
-10
-15
-20
-25
01
02
03
04
05
06
07
08
09
Effektiv nominel kronekurs
Produktivitet
Lønudvikling
Pct.
5
0
-5
-10
-15
-20
-25
Kilde: OECD og egne beregninger
I regeringens 2020-plan forudsættes, at produktivitetsvæksten i de private (by)erhverv øges
fra godt 1 pct. de seneste 15-20 år til 1�½ pct. fremadrettet. Det betyder samlet, at det under-
liggende vækstpotentiale – dvs. når man ser bort fra konjunkturforhold – kan forøges fra knap
1 pct. til knap 2 pct. om året frem mod 2020.
En forøgelse af produktivitetsvæksten med �½ pct.-point forudsætter en væsentlig indsats.
Øget produktivitet er først og fremmest et resultat af fornyelse, omstilling og investeringer,
som finder sted i den markedsbaserede private sektor. Men produktivitetsvæksten i de priva-
te virksomheder understøttes gennem sunde og stabile vækstvilkår, der bl.a. tilskynder virk-
somhederne til at udvikle og udnytte deres styrker og som sikrer, at ressourcerne – dvs. ar-
bejdskraft og investeringer – finder hen i de anvendelser, hvor de skaber mest værdi. Konkre-
te tiltag skal blandt andet styrke konkurrencen, sikre en fortsat veluddannet og fleksibel ar-
bejdsstyrke, god infrastruktur samt forskning, innovation og iværksætteri.
Der er iværksat en række initiativer, der styrker erhvervslivets vækstvilkår. Disse initiativer vil
få stigende effekt i de kommende år og vil medvirke til at øge produktivitetsvæksten. Der er
blandt andet gennemført et massivt løft i investeringerne i forskning, uddannelse, innovation
og iværksætteri. Erhvervslovgivningen er moderniseret, de administrative byrder for virksom-
hederne er lettet og selskabsskatten er sat ned. Der er desuden indgået en politisk aftale om
en konkurrencepakke, der skal fremme konkurrencen og produktiviteten i den private og of-
fentlige sektor, og der er lanceret en strategi for offentlig-privat samarbejde. Venturemarkedet
og eksportfinansieringen er styrket med Erhvervspakken, og i 2011 indgik regeringen en afta-
le med pensionssektoren, som vil styrke markedet for risikovillig kapital med op til 10 mia. kr.
Skattereformen i Forårspakke 2.0 bidrager både til at øge arbejdsudbuddet og styrke produk-
tivitetsudviklingen, især som følge af nedsættelsen af marginalskatten. Initiativerne vil virke
med tiltagende effekt i løbet af de kommende år
2
.
2
For en nærmere beskrivelse af de forskellige initiativer henvises til kapitel 2 og 3.
Danmarks nationale reformprogram 2011
·
Maj 2011
9
PDF to HTML - Convert PDF files to HTML files
993975_0016.png
Kapitel 1
Den økonomiske ramme
Betalingsbalancen
Trods svækkelsen af konkurrenceevnen er der fortsat store overskud på betalingsbalancen,
jf. figur 1.3a.
Det skyldes blandt andet, at et bedre bytteforhold delvist har modgået en mar-
kant svækkelse af nettovareeksporten i mængder. Samtidig har Danmark endnu betydelig
olie- og gasproduktion, der forbedrer betalingsbalancen via reduceret nettoenergiimport, men
som på mellemfristet sigt ventes at aftage. Tjenestebalancen er samtidig styrket markant
gennem de seneste godt ti år, trukket af øget eksport af søtransport. Endelig har der været
en generel stigning i nettoformueindkomsten fra udlandet siden årtusindeskiftet, blandt andet
fordi udlandsgælden er nedbragt,
jf. figur 1.3b.
Figur 1.3a
Betalingsbalancens løbende poster
Pct. af BNP
8
6
4
2
0
-2
-4
-6
-8
00 01 02 03 04 05 06 07 08 09 10 11 12
Varer og tjenester
Løbende overførsler
Løn- og formueindkomst
Betalingsbalance
Pct. af BNP
8
6
4
2
0
-2
-4
-6
-8
Figur 1.3b
Danmarks nettoaktiver over for udlandet
P ct. af B NP
20
1
5
1
0
5
0
-5
-1
0
-1
5
-20
-25
-30
96
98
00
02
04
06
08
1
0
1
2
P ct. af B NP
20
1
5
1
0
5
0
-5
-1
0
-1
5
-20
-25
-30
Kilde:
Danmarks Statistik og egne beregninger.
Det aktuelt store betalingsbalanceoverskud afspejler en meget stor privat, finansiel opspa-
ring, som mere end opvejer underskuddet i den offentlige sektor. Det store private opspa-
ringsoverskud skal blandt andet ses i sammenhæng med, at der løbende er gennemført re-
former, som har styrket incitamentet til opsparing. Dertil kommer, at en fortsat udbygning af
arbejdsmarkedspensionerne igennem det seneste årti har medvirket til at øge den private
opsparing. Det samme er tilfældet fremadrettet, idet skattereformen i Forårspakke 2.0 fra
2009 gradvist reducerer rentefradraget over en årrække.
I den Årlige Vækstundersøgelse har Kommissionen fremført at landene bl.a. kan fjerne årsa-
gerne til den varige lave indenlandske efterspørgsel ved at liberalisere servicesektoren yder-
ligere. Aftalen om Konkurrencepakken (2011), som beskrives nærmere i kap. 3.4., indeholder
en række initiativer, der skal skabe øget produktivitet og konkurrence i servicesektoren, her-
under via liberaliseringer.
10
Danmarks nationale reformprogram 2011
·
Maj 2011
PDF to HTML - Convert PDF files to HTML files PDF to HTML - Convert PDF files to HTML files
993975_0018.png
Kapitel 2
12
Danmarks nationale reformprogram 2011
·
Maj 2011
PDF to HTML - Convert PDF files to HTML files
993975_0019.png
Kapitel 2
2.
Nyt kapitel
De nationale mål i Euro-
pa2020-strategien
I Danmarks foreløbige Nationale Reformprogram indmeldte man fra dansk side
5 foreløbige danske nationale mål, der skal bidrage til opfyldelsen
af Europa2020 strategiens 5 overordnede mål.
Siden det foreløbige Nationale Reformprogram har regeringen fremlagt en ny
mellemfristet fremskrivning, der indebærer en justering af det nationale mål for
beskæftigelse,
jf. tabel 2.1.
Tabel 2.1
Danske nationale mål
Mål i 2020
Det nationale mål for beskæftigelse
Det nationale mål for forskning og udvikling
Det nationale mål for klima og energi
Strukturel beskæftigelsesfrekvens på 80 pct.
3 pct. af BNP
Vedvarende energi skal øges til mindst 30 pct. af det endeli-
ge energiforbrug. Vedvarende energi i transportsektoren skal
være på 10 pct. Udledningerne i de ikke-kvoteregulerede
sektorer skal gradvist reduceres op til 20 pct. frem mod 2020
i forhold til 2005. Absolut reduktion i bruttoenergiforbruget på
4 pct.
Reducere skolefrafaldet til mindre end 10 pct for de 18 - 24-
årige og øge den andel af de 30-34-årige, der har afsluttet en
videregående eller tilsvarende uddannelse til mindst 40 pct.
Mindske antallet af personer i husstande med lav beskæfti-
gelse med 22.000 frem mod 2020
Det nationale mål for uddannelse
Det nationale mål for social inklusion
Fra dansk side er der allerede igangsat en del tiltag og flere vil blive taget med
henblik på at nå de fastsatte nationale mål, der skal bidrage til de 5 overordne-
de EU-målsætninger.
Danmarks nationale reformprogram 2011
·
Maj 2011
13
PDF to HTML - Convert PDF files to HTML files
993975_0020.png
Kapitel 2
De nationale mål i Europa2020-strategien
2.1
Det nationale mål for beskæftigelse
En styrkelse af arbejdsudbuddet og beskæftigelsen er af central betydning for Danmarks vel-
stand og finansieringen af den offentlige sektor. Regeringen har derfor sat sig det mål, at ar-
bejdsudbuddet i 2020 skal være blandt de 10 højeste i verden. Det vil kræve flere reformer at
nå hertil.
Det danske mål for beskæftigelsen er en strukturel beskæftigelsesfrekvens på 80 pct. blandt
de 20-64-årige i 2020
1
.
Strategier til at nå målet
Med henblik på at øge arbejdsudbuddet og beskæftigelsen er der de seneste år blevet
gennemført en række arbejdsmarkeds- og beskæftigelsesreformer og flere nye initiativer er
under implementering. Boks 2.1 viser et udvalg af de seneste reformer og regeringens for-
slag til nye reformer.
Indfrielsen af det nationale beskæftigelsesmål for 2020 stiller krav om yderligere reformer.
Disse forventes både at skulle styrke tilskyndelsen til at arbejde og en fortsat styrkelse af ind-
satsen for at øge arbejdsmarkedstilknytningen for bl.a. unge, seniorer, etniske minoriteter og
personer med nedsat arbejdsevne.
Det har under den finansielle og økonomiske krise været centralt for regeringen at sikre, at så
mange som muligt fastholder tilknytningen til arbejdsmarkedet og vedligeholder kompeten-
cerne, uden samtidig at begrænse det effektive arbejdsudbud og øge den strukturelle ledig-
hed. Målrettede justeringer i flexicurity-modellens elementer, herunder i den aktive arbejds-
markedspolitik fx via midlertidig øget fleksibilitet i arbejdsfordelingsordninger, styrket indsats
ved varsling af større afskedigelser mv., har bidraget hertil.
Udviklingen i beskæftigelsesfrekvensen i de seneste ti år fremgår af tabel 2.1.
Det bemærkes, at i 2020-planen er den tekniske beskæftigelsesfrekvens på 80,3 pct. opgjort efter Kommissio-
nens metode.
1
14
Danmarks nationale reformprogram 2011
·
Maj 2011
PDF to HTML - Convert PDF files to HTML files
993975_0021.png
Kapitel 2
De nationale mål i Europa2020-strategien
Boks 2.1
Initiativer til fremme af arbejdsudbud og beskæftigelse
Aftale om Flere i arbejde (2002).
Med aftalen indføres den individuelle kontaktforløb med samtaler
hver 3 måned, gentagen aktivering af ledige hver 6. måned samt CV og CV-samtale senest efter 4.
uger. Ægtefællenedsættelsen indføres. Reglen indebærer nedsættelse af kontanthjælpssatsen efter 6
måneder for ægtepar på voksensats. Der indføres et loft over kontanthjælpen. Beskæftigelsesfradraget
pr. arbejdstime for gifte kontanthjælpsmodtagere på nedsatte ydelser forhøjes således, at det er muligt
at beholde en større del af lønnen, før der sker fradrag i ægtefællens indkomst.
Ny chance til alle (2005).
Kontanthjælpsmodtagere med problemer ud over ledighed omfattes af gen-
taget aktivering hver 6 måned. Med henblik på at øge kommunernes økonomiske tilskyndelse til en ak-
tiv indsats omlægges statens refusion af kommunernes forsørgelsesudgifter. Der indføres et beskæfti-
gelseskrav for ægtepar, hvor begge er på kontanthjælp. En ægtefælle, der ikke inden for de seneste to
år har haft sammenlagt minimum 300 timers ordinært arbejde mister retten til kontanthjælpen.
Aftale om velfærdsreformen (2006).
Med aftalen er der indført en mekanisme, der betyder, at pensi-
onsalderen udskydes i takt med længere levetid. Velfærdsaftalen indebærer desuden bl.a., at efter-
lønsalderen gradvist sættes op fra 60 til 62 år i perioden 2019-2022. Velfærdsaftalen indeholder desu-
den en række initiativer indenfor arbejdsmarkedet, integration og uddannelse.
Aftale om en jobplan (2008).
Med jobplanen vil der blive tilført mere arbejdskraft i Danmark både på
kort og lidt længere sigt. Aftalen indeholder bl.a. sikkerhed for retten til førtidspension, hvis en førtids-
pensionist forsøger at træde ind på arbejdsmarkedet, folkepensionister skal have bedre muligheder for
at arbejde, skattenedslag til 64-årige i arbejde, reglerne om supplerende dagpenge justeres samtidig
med, at der arbejdes for flere fuldtidsstillinger, øget indsats for international rekruttering, herunder æn-
dring af de udlændingeretlige regler med henblik på tiltrækning af kvalificeret arbejdskraft, samt ned-
bringelse af sygefravær og flere voksenlærlinge.
Aftale om nedbringelse af sygefraværet (2008).
Regeringen indgik forlig om en trepartsaftale indgået
af arbejdsmarkedets parter om nedbringelse af sygefraværet. Aftalen, som er udmøntet i 2009 betyder,
at der sættes ind med 39 initiativer til i alt 170 mio. kr. Centrale initiativer er en tidlig indsats ved syg-
dom fx i form af samtaler efter senest fire ugers sygdom, fokus på at den syge kan være aktiv under
sygemeldingen, kampagner m.m. Aftalen skønnes at øge arbejdsudbuddet med ca. 4.000 personer.
”Nye veje til et bedre arbejdsmiljø” målretter arbejdsmiljøindsatsen bl.a. mod at bidrage til at sikre et
større arbejdsudbud. Forebyggelsesfondens virksomhedsområde udvides fra 2011.
Skattereform (2009), med lavere marginalskatter pr. 1 januar 2010.
Reformen indebærer nedsættel-
se af indkomstskatten mv. med ca. 29 mia. kr. Bl.a. nedsættes den højeste marginalskat på arbejdsind-
komst fra 63,0 til 56,1 pct. inkl. arbejdsmarkedsbidrag. Indkomstskattenedsættelserne omfatter afskaf-
felse af mellemskatten på 6 pct. og en forhøjelse af topskattegrænsen med 54.400 kr. i 2009-niveau
samt en nedsættelse af bundskatten med 1,5 procentenheder. Det skrå skatteloft sænkes fra 59 pct. til
51,5 pct. Reformen betyder, at ca. 350.000 skatteydere fremover ikke længere skal betale den højeste
marginalskat. Reformen vurderes at bidrage til en forøgelse af arbejdsudbud det med godt 19.000 fuld-
tidspersoner. Aftalen om Genopretning af Dansk Økonomi (2010) indebærer bl.a., at den planlagte for-
højelse af topskattegrænsen i 2011 udskydes i 3 år.
Afbureaukratiseringspakken samt Ungepakkerne I og II (2009).
Med afbureaukratiseringspakken
fremrykkes 1. tilbud om aktivering fra senest efter 6 måneders ledighed til efter 3 måneders ledighed.
Ungepakkerne indeholder en række nye initiativer til at hjælpe flere unge i uddannelse og job. På be-
skæftigelsesområdet indeholder pakkerne bl.a. initiativer, der giver unge på 18-19 år på kontanthjælp et
strakstilbud, en udvidet mentorordning, fritidsjob til unge m.m.
Handlingsplan mod langtidsledighed (2010).
Planen indebærer, at der bliver brugt cirka 270 mio.
kroner på uddannelse og kompetenceløft. Bl.a. er der afsat midler til dels en regional pulje til jobrettet
opkvalificering, dels midler til finansiering af læse-, skrive- og regnekurser til ledige.
Danmarks nationale reformprogram 2011
·
Maj 2011
15
PDF to HTML - Convert PDF files to HTML files
993975_0022.png
Kapitel 2
De nationale mål i Europa2020-strategien
Genopretningsaftalen (2010), herunder dagpengereform. Aftalen indeholder en reform af dagpengesy-
stemet, hvor dagpengeperioden pr. 1. juli 2010 nedsættes fra 4 år inden for 6 år til 2 år inden for 3 år.
Beskæftigelseskravet for at få ret til dagpenge harmoniseres, så kravet i alle tilfælde er 52 ugers be-
skæftigelse. Harmoniseringen træder i kraft 2. juli 2012. Genopretningsaftalen bidrager samlet til at øge
den strukturelle beskæftigelse med ca. 10.000 personer, inklusiv virkningerne af skatteelementerne i af-
talen.
Aftaler om en aktiv beskæftigelsesindsats, der virker og nye rammer for sygefraværsindsatsen (2010).
Regeringen har indgået to politiske aftaler til at forstærke kommunernes økonomiske tilskyndelse til en
mere effektiv beskæftigelsesindsats med større fokus på den virksomhedsrettede indsats. Aftalerne
medfører bl.a., at kommunerne kan hjemtage høj refusion for forsørgelsesudgifter (50 pct.) i perioder
med virksomhedsrettet aktivering og ordinær uddannelse og lav refusion (30 pct.) i perioder med øvrig
vejledning og opkvalificering (fx kurser og aktiveringsprojekter) og passiv forsørgelse. Samtidig sænkes
og harmoniseres refusionssatserne på tværs af dagpenge, kontant- og starthjælp, sygedagpenge, reva-
lidering og ledighedsydelse. Der indføres også et fælles loft for driftsudgifter pr. årselev for uddannel-
ser, der tages som led i forsikrede lediges ret til seks ugers selvvalgt uddannelse.
Regeringen har fremlagt sit udspil til en reform af SU-systemet (2010): ”SU, der skaber vækst og be-
skæftigelse - bedre brug af SU-midlerne". Regeringen vil tilskynde unge til at færdiggøre deres uddan-
nelse tidligere og give de studerende frihed, valgmuligheder og fleksibilitet gennem fornyelse af SU-
systemet. Forslag retter sig blandt andet mod, at SU begrænses til den tid, uddannelsen er normeret
til, og mod tildeling af en kontant bonus til studerende, der starter tidligt og bliver hurtigt færdige med
studierne. Derudover indeholder udspillet bl.a. en forhøjelse af fribeløbet, lån på attraktive vilkår til beta-
ling af studieafgifter i udlandet og endelig en reduktion af andelen, der optages via kvote 2. Med udspil-
let skønnes udbuddet af arbejdskraft at blive øget med cirka 4.000 personer, og de offentlige finanser
bliver styrket med cirka 1 milliard kroner.
Regeringen har fremlagt sit udspil til en reform af førtidspension og fleksjob (2010). Hovedelementerne
er, at unge under 40 år som udgangspunkt ikke skal kunne få tilkendt førtidspension. Unge skal i stedet
have en sammenhængende, støttende og tålmodig indsats i et udviklingsforløb. Fleksjob skal være
midlertidige, og ordningen skal målrettes personer med færrest ressourcer. Nuværende førtidspensio-
nister skal have bedre muligheder for at komme i arbejde. Målet er, at langt flere skal kunne opnå og
fastholdes i ordinær beskæftigelse, og at langt færre skal have tilkendt førtidspension og fleksjob. Re-
geringen forhandler i øjeblikket med forligspartierne. Der er således ikke på nuværende tidspunkt truffet
beslutninger på området.
Regeringen har fremlagt forslag til en tilbagetrækningsreform (2011). Den sigter på en fremrykning af
dele af Velfærdsaftalen (2006) med fem år, så efterlønsalderen gradvist sættes op fra 2014, og folke-
pensionsalderen gradvist sættes op fra 2019. Regeringen foreslår, at efterlønnen afskaffes helt for alle,
som ved udgangen af 2010 er under 45 år. For aldersgruppen 45-56 år og 57 år og derover foreslås
overgangsordninger. Der indføres en seniorførtidspension for personer, der er mindre end fem år fra
folkepensionsalderen. Forslaget giver et markant løft i arbejdsudbuddet og beskæftigelsen øges med
ca. 70.000 personer i 2020.
I følge regeringens 2020-plan vil SU-reformen og Reform af førtidspension og fleksjob samlet
øge beskæftigelsen op i mod 10.000 personer frem mod 2020. Sammen med tilbagetræk-
ningsreformen skønnes beskæftigelsen samlet at stige med ca. 80.000 personer frem mod
2020. Der er desuden i regeringens 2020-plan fokus på rekruttering og fastholdelse af kvalifi-
ceret arbejdskraft fra tredjelande, som har givet anledning til en række konkrete initiativer,
som skal øge arbejdsudbuddet i Danmark.
16
Danmarks nationale reformprogram 2011
·
Maj 2011
PDF to HTML - Convert PDF files to HTML files
993975_0023.png
Kapitel 2
De nationale mål i Europa2020-strategien
Tabel 2.2
Beskæftigelsesfrekvenser for unge, ældre og hele arbejdsstyrken. Fordeling på køn i perioden
1998-2009 (ikke konjunkturkorrigeret) Pct.
1998
20-64 årige
Alle
15-64 årige
Mænd
Kvinder
Alle
15-29 årige
Mænd
Kvinder
55-64 årige
Mænd
Kvinder
55-59 årige
Mænd
Kvinder
60-64 årige
Mænd
Kvinder
39,7
21,1
42,8
24,1
43,9
24,2
49,3
28,6
49,5
31,1
45,7
29,9
44,6
26,2
45,8
27,3
75,6
59,6
80,4
64,6
81,3
69,7
81,4
72,4
83,5
75,0
83,9
74,9
84,3
74,5
82,6
74,4
58,5
41,5
64,1
46,6
64,5
50,4
67,3
53,3
67,1
54,3
64,9
52,4
64,3
49,8
64,1
50,9
74,1
68,8
74,9
67,8
73,2
66,0
69,8
65,8
72,2
68,2
73,2
68,9
74,7
70,9
68,6
68,5
80,2
70,3
75,3
80,8
71,6
76,3
80,0
71,7
75,9
79,7
71,6
75,7
81,2
73,4
77,4
81,0
73,2
77,1
81,9
74,3
78,1
78,3
73,1
75,7
76,9
78,0
77,7
77,6
79,4
79,2
79,9
77,8
2000
2002
2004
2006
2007
2008
2009
Anm.: Beskæftigelsesfrekvenserne er opgjort med udgangspunkt i EUROSTAT's opgørelse, der er stikprø-
vebaseret. Beskæftigelsesfrekvensen i 2020 i den overordnede økonomiske plan, der arbejdes efter i
øjeblikket, og i den kommende 2020-plan opgøres strukturelt og med udgangspunkt i principper-
ne bag Nationalregnskabet.
Kilde: EUROSTAT og egne beregninger
Den årlige vækstundersøgelse
Kommissionen har i den Årlige Vækstundersøgelse bl.a. sat fokus på mobilisering af ar-
bejdsmarkedet og skabelse af jobmuligheder. Der er i vækstundersøgelsen særligt lagt vægt
på at det skal gøre mere attraktivt at arbejde, der skal ske en reform af pensionsordningerne,
de arbejdsløse skal i arbejde igen og der skal skabes balance mellem sikkerhed og fleksibili-
tet.
Danmark har implementeret en række arbejdsmarkeds- og bekæftigelsesreformer de seneste
mange år,
jf. boks 2.1.
Elementerne i den danske flexicurity-model har således løbende un-
dergået justeringer, der har bidraget til en i en international sammenhæng høj beskæftigelse
og lav ledighed. Det vurderes derfor, at man fra dansk side bidrager til ovenstående, der skal
fremme udviklingen af kvalifikationer og skabe incitamenter til at arbejde.
Danmarks nationale reformprogram 2011
·
Maj 2011
17
PDF to HTML - Convert PDF files to HTML files
993975_0024.png
Kapitel 2
De nationale mål i Europa2020-strategien
2.2
Det nationale mål for forskning og udvikling
Den danske regering har fastlagt et nationalt mål for investering i forskning og udvikling på 3
pct. af BNP i 2020. Den offentligt finansierede forskning baseret på den danske beregnings-
metode, som er den andel af det samlede mål, der direkte kan styres, er fastsat til 1 pct. af
BNP
2
.
Det nationale mål for forskning og udvikling er sammensat af private og offentlige forsknings-
udgifter. Danmarks offentlige forskningsbudget har været stigende siden 2005. I 2010 er der
budgetteret med 1,05 pct. af BNP til forskning,
jf. figur 2.1b.
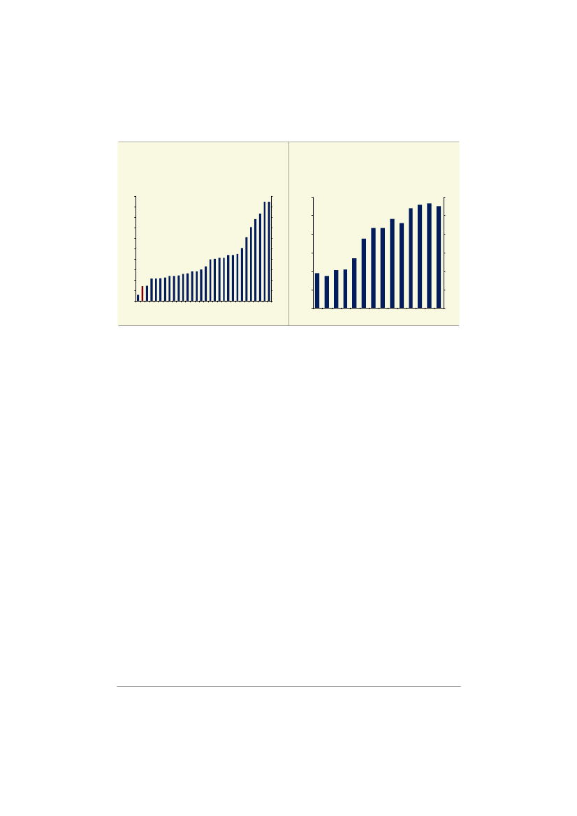
Figur 2.1a
Private investeringer i forskning og udvikling i
pct. af BNP, 1993-2009
Figur 2.1b
Offentlige bevillinger til forskning og udvikling
i pct. af BNP, 1995-2010
Pct. af BNP
2,5
2,0
1,5
1,0
0,5
0,0
Pct. af BNP
2,5
2
1,5
Pct. af BNP
1,2
1,0
0,8
0,6
Pct. af BNP
1,2
1,0
0,8
0,6
0,4
0,2
0,0
1,0
0,4
0,5
0,0
1993 1995 1997 1999 2001 2003 2005 2007 2009
0,2
0,0
1995 1997 1999 2001 2003 2005 2007 2009
Kilde: Danmarks Statistik.
Ifølge den seneste opgørelse fra Danmarks Statistik udgør den private forskningsandel af
BNP i 2009 2,1 pct.,
jf. figur 2.1a.og tabel 2.3.
Kommissionen opgør landenes forskningsprocenter på grundlag af regnskabstal fra de institutioner og virk-
somheder, der har udført forskningen. For den private sektor svarer det til den danske opgørelse. For den offent-
lige sektor er der imidlertid en forskel. Det skyldes, at de offentlige udgifter styres ex-ante over finansloven, der
er derfor tale om budgettal. På grund af denne forskel i opgørelsesmetode kan der opstå forskelle mellem Kom-
missionens tal og de tal, der anvendes i den nationale opgørelse af forskningsprocenterne.
2
18
Danmarks nationale reformprogram 2011
·
Maj 2011
PDF to HTML - Convert PDF files to HTML files
993975_0025.png
Kapitel 2
De nationale mål i Europa2020-strategien
Tabel 2.3
Udvikling i offentlige og private forskningsinvesteringer 2005-2010
2005
Offentlig/budgettal
Privat/regnskabstal
0,78
1,68
2006
0,82
1,66
2007
0,77
1,63
2008
0,87
1,96
2009
1,02
2,1
I alt
2,46
2,48
2,4
2,83
3,12
Kilde: Danmarks Statistik.
Strategier til at nå målet
Den danske strategi for fremme af offentlig og privat forskning, udvikling og innovation sætter
fokus på at øge produktivitetseffekterne i samfundet af forskningsindsatsen. Etablering af sy-
nergi mellem den offentlige forskningsindsats og udnyttelsen heraf inden for erhvervslivet er
central. Danmark vil derfor fortsat arbejde for at:
sikre en bedre udnyttelse af den offentlige forsknings- og udviklingsindsats – og resulta-
terne heraf
etablere bedre koblinger mellem offentlige forsknings- og udviklingsinstitutioner og er-
hvervslivet
reducere tidsrummet fra ny viden udvikles til den omsættes i nye produkter og processer
styrke internationalt samarbejde, international videnhjemtagning og deltagelse i interna-
tionale forsknings- og innovationsprogrammer
styrke anvendelsen af outputrelaterede indikatorer for forskning, udvikling og innovation.
For at styrke erhvervslivets innovationsevne, skal der sættes øget fokus på at få en hurtigere
kommercialisering af universiteternes forskning, hvilket skal ske gennem:
få flere igennem de forskningsbaserede universitetsuddannelser med stærkere kompe-
tencer inden for entreprenørskab, iværksætteri og innovation
styrkelse af videndeling og videnspredning fra universiteterne ved øget kontraktforskning
finansieret af virksomhederne
en mere effektiv videnspredning til de små og mellemstore virksomheder
Nye større regeringsinitiativer inden for forskning og innovation fremgår af nedenstående
Boks
2.2.
På innovationsområdet har den danske regering sat det mål, at Danmark i 2020 skal være
blandt de lande, hvor virksomhederne er mest innovative.
En række indikatorer peger imidlertid på, at fornyelsen i de danske virksomheder er mindre
end hos de udenlandske konkurrenter. Den seneste undersøgelse af andelen af innovative
virksomheder viser, at ca. 31 pct. af virksomhederne introducerede produkt- og/eller proces-
innovationer i perioden fra 2007-2009. Danmark er placeret i det internationale midterfelt.
Danmarks nationale reformprogram 2011
·
Maj 2011
19
PDF to HTML - Convert PDF files to HTML files
993975_0026.png
Kapitel 2
De nationale mål i Europa2020-strategien
Den virksomhedsrettede innovationsindsats skal ses i sammenhæng med en række områder
med betydning for virksomhedernes innovationsaktiviteter, som eksempelvis styrket konkur-
rence, styrket indsats på uddannelsesområdet, herunder de videregående uddannelser, styr-
ket adgang til risikovillig kapital, indsatsen for iværksættere og offentlig-privat samarbejde.
Boks 2.2
Nye initiativer
Virksomhedernes forskning, udvikling og innovation:
Etablering af Fornyelsesfonden på 760 mio. kr. i 2010-2012, der har til formål at støtte innovation og
markedsmodning inden for det grønne område og velfærdsområdet for at skabe vækst, beskæftigelse
og eksport i danske virksomheder.
Regeringen fremlagde i august 2010 et oplæg til en virksomhedsrettet innovationsstrategi
Styrket in-
novation i virksomhederne
med en analyse af de danske innovationsudfordringer, og 37 konkrete initi-
ativer til at fremme innovationen i danske virksomheder.
Regeringen har etableret en brugervenlig webportal for virksomhederne og et call-center i regi af de
regionale væksthuse, så virksomhederne kan få hjælp til at finde de tilbud, der matcher deres behov.
Regeringen har etableret et program for nationale klynge- og netværksorganisationer kaldet
Innovati-
onsnetværk Danmark,
og der er etableret 19 nationale netværk og 3 nationale partnerskaber.
Offentlig forskning og universiteter:
8 mia. kr. til forskning og innovation i perioden 2010-12 fra globaliseringspuljen. Der er afsat midler til
et talentudviklingsprogram for forskereliten, en omfattende modernisering af universiteternes laborato-
rier, en forhøjelse af uddannelsestaxametrene, et løft i universiteternes basisbevillinger, en Matchfond
som skal styrke universiteternes incitament til at tiltrække eksterne midler, en fokusering af strategisk
forskning inden for få områder, hvor Danmark har en international styrkeposition, en grøn forsknings-
pakke, styrkelse af en række initiativer inden for innovation og videnoverførsel mv.
Universitetssamarbejde med Kina med et dansk universitetscenter i Beijing. Det ventes at få 300 kan-
didatstuderende samt 75 ph.d.-studerende og 100 forskere ligelig fordelt fra de to lande.
Europæisk Forskningsanlæg, hvor Danmark får medværtskab med Sverige for et europæisk forsk-
ningsanlæg, European Spallation Source.
Iværksættere:
Adgang til finansiering og internationalisering via Erhverspakken for små og mellemstore virksomhe-
der. Blandt de vigtigste initiativer kan nævnes en styrkelse af Vækstkautionsordningen med 1,5 mia.
kr. Herudover er adgangen til eksportfinansiering blevet styrket og markedet for risikovillig kapital er
blevet tilført 0,5 mia. kr.
Regeringens aftale med pensionssektoren om risikovillig kapital betyder, at pensionsinstitutterne stiller
mindst 5 mia. kr. til rådighed som risikovillig kapital for iværksættere og små og mellemstore virksom-
heder. Dertil kommer, at staten etablerer nye låne- og kautionsordninger, så den samlede effekt på
udbuddet af risikovillig kapital vil være op til 10 mia. kr.
Uddannelsesstrategi i entreprenørskab, hvori der indgår etablering af Fonden for Entreprenørskab,
som skal skabe en sammenhængende national indsats på tværs af alle uddannelsesniveauer.
Regeringen har lanceret en handlingsplan for kvindelige iværksættere.
Regeringen har sammen med regioner og kommuner etableret Etnisk Erhvervsfremme, der skal hjæl-
pe etniske iværksætteres virksomheder med at overleve og få succes.
Kilde: Konkurrenceevneredegørelse, 2010.
20
Danmarks nationale reformprogram 2011
·
Maj 2011
PDF to HTML - Convert PDF files to HTML files
993975_0027.png
Kapitel 2
De nationale mål i Europa2020-strategien
2.3
Det nationale mål for klima og energi
De nationale mål for klima- og energi omfatter følgende:
Udledningerne i de ikke-kvoteomfattede sektorer skal gradvist reduceres i 2013-2020 op
til 20 pct. i 2020 forhold til niveauet i 2005.
Øge andelen af det endelige energiforbrug, der stammer fra vedvarende energikilder
(VE) fra 17 pct. i 2005 til 30 pct. i 2020.
Anvendelsen af vedvarende energi i transportsektoren skal være på 10 pct. i 2020.
En absolut reduktion i bruttoenergiforbruget i 2020 på 4 pct. i forhold til 2006, svarende
til et fald på 0,83 Mtoe.
Danmark har desuden en langsigtet målsætning om uafhængighed af fossile brændsler i
2050. Med henblik på opfyldelse af denne målsætning har Regeringen fremlagt
Energistrate-
gi 2050 - fra kul, olie og gas til grøn energi
i februar 2011, se mere nedenfor samt yderligere i
kapitel 3.6.
Derudover har Danmark fokus på den bredere ressourceeffektivitetsindsats gennem en ræk-
ke vedtagne og finansierede indsatsplaner. Regeringens affaldsstrategi 2009-2012 sætter
bl.a. fokus på reduktion af tabet af ressourcer med konkrete målsætninger for deponering og
genanvendelse af affald. Regeringens nationale Grøn Vækst Plan inklusiv vandplaner og na-
turplaner sigter blandt andet mod at sikre en bæredygtig udnyttelse af vitale ressourcer som
vand og arealer bl.a. gennem konkrete målsætninger for kvælstof- og fosforbelastningen af
miljøet og etablering af ny natur.
Endelig er en lang række af separate indsatser med til at sætte fokus på at øge ressourceef-
fektiviteten. Det gælder eksempelvis Teknologilisten, som er oprettet for at skabe overblik
over tilgængelige verificerede miljøteknologier på landbrugsområdet; det gælder indsatsen
med implementering af frivillige værktøjer i detailhandelen og industrien, herunder bl.a. arbej-
det med miljømærkerne Svanen (nordisk) og Blomsten (EU).
Klima
Som led i EU’s målsætninger i Klima- og Energipakken om en samlet drivhusgasreduktion på
20 pct. i 2020 i forhold til 1990, har Danmark påtaget sig at reducere de ikke-kvoteomfattede
udledninger med 20 pct. i forhold til niveauet i 2005.
Tabel 2.4 viser de forskellige sektorers bidrag til de samlede ikke-kvoteregulerede udlednin-
ger i 2009. Udledningen af drivhusgasser i de ikke-kvoteregulerede sektorer sker primært i
form af CO
2
, som udgør 65 pct. af de ikke-kvoteregulerede udledninger.
Forpligtelserne i perioden 2013-2020 er årlige. Det betyder, at Danmark fra 2013 hvert år skal
leve op til et reduktionsmål, der skærpes med en fast rate fra startniveauet i 2013 frem mod
det endelige mål i 2020. Dermed dannes en reduktionssti bestående af de årlige delmål. Der
er dog mulighed for at overføre overopfyldelse til efterfølgende år.
Danmarks nationale reformprogram 2011
·
Maj 2011
21
PDF to HTML - Convert PDF files to HTML files
993975_0028.png
Kapitel 2
De nationale mål i Europa2020-strategien
Tabel 2.4
Udledningerne i de ikke kvoteregulerede sektorer i 2009.
Mio. ton CO2-ækv.
Energisektoren
Forsyningssektoren
Transport
Landbrug
Fremstilling inkl. byggeri
Tjenester
Husholdninger
Affald og spildevand
I alt
0,1
2,1
13,4
11,8
2,6
1,0
3,2
1,3
35,5
Kilde: Energistyrelsen.
Energi
Danmark har i forbindelse med EU's Klima- og Energipakke fra 2008 påtaget sig at øge den
andel af det udvidede endelige energiforbrug, der stammer fra vedvarende energikilder (VE)
fra 17 pct. i 2005 til 30 pct. i 2020. Som en del af Klima- og Energipakken skal Danmark på
lige fod med de øvrige medlemsstater leve op til et krav om, at mindst 10 pct. af energifor-
bruget i transportsektoren skal dækkes af vedvarende energikilder i 2020. Der er redegjort for
målopfyldelsen i Danmarks nationale handlingsplan for vedvarende energi fra juni 2010.
Regeringen har i energiaftalen fra 2008 forpligtet sig til en absolut reduktion i bruttoenergifor-
bruget i 2020 på 4 pct. i forhold til 2006, svarende til et fald på 0,83 Mtoe. Energiforbruget i
2006 var på 20,35 Mtoe og skal dermed være 19,52 Mtoe i 2020. Da fokus i den danske afta-
le er på det absolutte energiforbrug, har det også en positiv effekt på udledningen af CO
2
og
forsyningssikkerhed.
Strategier til at nå målene
Regeringen har taget en række initiativer for at understøtte og udbygge den danske position
på klima- og energiområdet,
jf. Boks 2.3.
Der er etableret en infrastrukturfond på 97 mia. kr.,
hvoraf størstedelen vil blive anvendt til en styrkelse af jernbanenettet, der er relativt mindre
energiintensivt end fx vejtransport. Med skattereformen fra 2009 er skatten på arbejde sæn-
ket og skatten på energi hævet. Med aftalen om Grøn Vækst fra 2009 er der lagt spor for
fortsat forbedring af Danmarks vandmiljø og natur. Der er endvidere etableret en fond til grøn
omstilling og erhvervsmæssig fornyelse, som bl.a. skal understøtte udviklingen af nye klima-
venlige løsninger. Regeringen udmønter derudover løbende midler inden for globaliserings-
rammen via
Energiteknologisk Udviklings- og Demonstrations-Program
og Green Lab til in-
novation inden for miljø, natur og energi.
Ud over de politisk vedtagne tiltag vil initiativerne i regeringens strategi for uafhængighed af
fossile brændsler i 2050 også kunne bidrage væsentligt til opfyldelse af målene. Initiativerne
22
Danmarks nationale reformprogram 2011
·
Maj 2011
PDF to HTML - Convert PDF files to HTML files
993975_0029.png
Kapitel 2
De nationale mål i Europa2020-strategien
skal forhandles med Folketingets partier i forbindelse med en kommende energiaftale for
2012 og årene frem. Strategiens hovedfokus er på en reduktion i anvendelsen af fossile
brændsler. Det vurderes, at strategien – såfremt den gennemføres som fremlagt - frem til
2020 kan opnå en reduktion af anvendelsen af fossile brændsler i energisektoren på 33 pct. i
energisektoren i 2020 i forhold til 2009,
jf. figur 2.2.
Figur 2.2
Anvendelse af fossile brændsler i energisektoren 2009-2020 (ekskl. brændsler til transport, indvin-
ding og raffinering) hhv. med/uden implementeringen af initiativerne
Energistrategi 2050.
Pj
Pj
400
400
33 pct. reduktion
350
350
300
300
250
2009
2010
2011
2012
2013
2014
2015
2016
2017
2018
2019
2020
250
M ed nye initiativer
Uden nye initiativer
Kilde:
Energistrategi 2050.
Regeringen har desuden taget en række initiativer på bl.a. miljøområdet, der er ved at blive
udmøntet, og som vil have en afsmittende effekt i forhold til klima- og energimålene samt in-
tentionerne om øget ressourceeffektivitet,
jf. boks 2.3.
Danmarks nationale reformprogram 2011
·
Maj 2011
23
PDF to HTML - Convert PDF files to HTML files
993975_0030.png
Kapitel 2
De nationale mål i Europa2020-strategien
Boks 2.3
De første skridt mod en grøn omstilling – større vedtagne initiativer
Mere vedvarende energi, mindre energiforbrug. Aftalen er
blandt andet udmøntet ved udbud af en ny havvindmøllepark
på Anholt samt en strategi for reduktion af energiforbrug i byg-
ninger.
Prioritering af jernbanen og anden kollektiv trafik frem for veje.
Grønne kørselsafgifter.
Mindre skat på arbejde, mere skat på forbrug af energi og an-
dre ressourcer.
Mindre kvælstof og fosfor og færre pesticider, større rolle for
landbruget som energileverandør, samt bedre naturbeskyttelse
og en mere tilgængelig natur.
Tilføjelser til aftale om Grøn Vækst, bl.a. yderligere tiltag for
økologisk jorddrift og forslag om indførelse af frit brændsels-
valg for mindre kraftvarmeværker.
Indeholder 22 konkrete tiltag til at nedbringe energiforbruget i
såvel nybyggeri som i eksisterende bygninger.
Fokus på iværksætteri, kommercialisering, demonstration og
offentligt-privat samarbejde om grønne løsninger.
Konkrete målsætninger og initiativer i forhold til imødekommel-
se af udfordringerne hen imod en bæredygtig udvikling, herun-
der bl.a. fokus på grøn innovation i produktion og forbrug samt
på langsigtet og holdbar økonomisk politik.
Fokus på nye miljøteknologiske løsninger, der kan afhjælpe
globale miljøproblemer og samtidig sikre øget dansk eksport
og flere danske arbejdspladser.
Håndteringen af vores ressourceforbrug er bl.a. en integreret
del af den danske affaldspolitik, som den er udmøntet i rege-
ringens affaldsstrategi 2009-2012, som har til formål at fore-
bygge affaldsdannelsen og reducere tabet af ressourcer.
Energiaftalen (2008)
Aftale om en grøn transportpolitik
(2009)
Forårspakke 2.0 (2009)
Aftale om Grøn Vækst (2009)
Aftale om Grøn Vækst 2.0 (2010)
Bygningsstrategien (2009)
Erhvervsklimastrategien (2009)
Vækst med Omtanke – Regerin-
gens strategi for bæredygtig ud-
vikling (2009)
Miljøteknologisk handlingsplan
2010 – 2011 (2010)
Affaldsstrategi ’10 (2010)
Klima
Initiativer allerede taget er blandt andet med til at sikre, at Danmark vil indfri sin
Kyotoforpligtelse for 2008-12. En basisfremskrivning fra april 2011 viser, at Kyotomålet for-
ventes at blive nået med de allerede besluttede virkemidler.
I forhold til det danske CO2-reduktionsmål på 20 pct. i 2020 i forhold til 2005 har regeringen
med
Energistrategi 2050
fra februar 2011 foreslået initiativer, der vil bidrage til at reducere
udledningerne fra de ikke-kvotebelagte sektorer med 4-5 mio. ton CO2 i perioden,
jf. figur
2.3a.
Med de foreslåede tiltag vil Danmark være godt på vej mod opfyldelse af reduktionsmå-
let frem mod 2020, såfremt de foreslåede initiativer endeligt vedtages. Det giver mulighed for
24
Danmarks nationale reformprogram 2011
·
Maj 2011
PDF to HTML - Convert PDF files to HTML files
993975_0031.png
Kapitel 2
De nationale mål i Europa2020-strategien
en fleksibel dynamisk fastlæggelse af yderligere klimatiltag, herunder i sektorer som land-
brug, affald og transport samt køb af internationale kreditter.
Figur 2.3a
Udledning i mio. ton CO
2
M io. ton
M io. ton
100
Figur 2.3b
VE-andel 2010-2020 ifølge forslag fra regerin-
gen (Energistrategi 2050)
Pct.
Pct.
35
100
90
80
70
60
50
40
30
90
93 96 99 02 05 08
Samlede emissioner
35
90
80
70
60
50
40
30
11 14 17 20
ikke-kvoteomfattede
30
30
25
25
20
10 11 12 13 14
M ed nye initiativer
EU målsætning
15
16
20
17 18 19 20
Uden nye initiativer
Kilde:
Energistrategi 2050.
Energi
For VE-målsætningernes vedkommende viser Energistyrelsens basisfremskrivning fra april
2011 at Danmark uden at iværksætte yderligere initiativer, forventes at nå 27,9 pct. VE-andel
i 2020, hvor målkravet som nævnt er 30 pct. i 2020.
Den Nationale Handlingsplan for Vedvarende Energi,
som Danmark indsendte til Kommissio-
nen i juni 2010, viste hvordan Danmark kan lukke VE-mankoen. En del af mankoen kan luk-
kes ved at gennemføre tiltag, der indfrier VE-forpligtelsen i transportsektoren samt den natio-
nale målsætning om en reduktion i bruttoenergiforbruget på 4 pct. i 2020 ifht. 2006.
Figur 2.3b. viser den forventede vækst i VE-andelen frem mod 2020, hvis regeringens forslag
fra
Energistrategi 2050
implementeres. Figuren viser, at VE-andelen forventes at stige til 33
pct. i 2020, hvis alle de foreslåede initiativer kan forhandles på plads med et flertal i Folketin-
get under de pågående energiforhandlinger. Der vil i så fald være tale om en VE-
overopfyldelse i forhold til det bindende mål på 30 pct.
I
Energistrategi 2050
indgår et forslag om at 10 pct.-målsætningen om energiforbruget i
transportsektoren (landtransport) skal dækkes af vedvarende energikilder bl.a. sikres med et
iblandingskrav på 10 pct. biobrændstoffer i 2020. Samtidig vil regeringen forlænge afgiftsfri-
tagelsen for elbiler frem til og med 2015,
jf. Danmark 2020.
I
Energistrategi 2050
foreslås også nye initiativer, der sammen med de nuværende virkemid-
ler forventes at reducere bruttoenergiforbruget med 6 pct. i 2020 i forhold til 2006. Initiativer-
Danmarks nationale reformprogram 2011
·
Maj 2011
25
PDF to HTML - Convert PDF files to HTML files
993975_0032.png
Kapitel 2
De nationale mål i Europa2020-strategien
ne skal – som VE-initiativerne og en række andre – forhandles i forbindelse med en kom-
mende ny energiaftale.
2.4
Det nationale mål for uddannelse
Regeringen har tiltrådt de overordnede EU-målsætninger på uddannelsesområdet i Europa
2020-strategien om at reducere uddannelsesfrafaldet til 10 pct. for de 18-24-årige samt øge
den andel af de 30-34-årige, der har afsluttet en videregående eller tilsvarende uddannelse til
mindst 40 pct., som også vil repræsentere de danske indmeldinger under strategien. Dan-
mark bidrager hertil gennem de nationale målsætninger, som opgøres efter andre metoder
end EU-målsætningerne. De danske nationale mål er, at i 2015 skal mindst 95 pct. af alle
unge have gennemført en ungdomsuddannelse og mindst 50 pct. skal have gennemført en
videregående uddannelse.
I de økonomiske fremskrivninger, der er udgangspunkt for konvergensprogrammet og 2020-
planen, er globaliseringsmålsætningerne forudsat realiseret. Et højt generelt uddannelsesni-
veau øger beskæftigelse og velstand, dels ved at øge arbejdsstyrkens kvalifikationer og der-
med produktiviteten – dvs. den værdi, der skabes pr. arbejdstime – dels ved at øge befolk-
ningens erhvervsdeltagelse.
Indfrielse af uddannelsesmålsætningerne skønnes på sigt og meget usikkert at indebære en
forøgelse af BNP med i alt cirka ¾-1¼ pct., hvoraf �½-1 pct.-point stammer fra højere produk-
tivitet og ¼ fra et større arbejdsudbud.
Forøgelsen i den fremtidige beskæftigelse vil indtræffe på længere sigt, når tilstrækkelig
mange generationer er blevet uddannet og er kommet ud på arbejdsmarkedet. Efterhånden
som beskæftigelsesvirkningerne slår igennem, vil de offentlige finanser styrkes. Den langsig-
tede effekt på beskæftigelsen skønnes at være på samlet knap 10.000 fuldtidspersoner
3
.
Strategier til at nå målet
Der er i de senere år igangsat en række initiativer på uddannelsesområdet for at sikre et
dansk uddannelsessystem i verdensklasse.
Der er med
Aftale om udmøntning af globaliseringspuljen
afsat i alt ca. 15 mia. kr. til styrkelse
af ungdomsuddannelserne, de videregående uddannelser samt voksen- og efteruddannel-
serne i perioden 2007-2012,
jf. tabel 2.5.
Konkret er der i perioden 2007 til 2012 afsat ca. 8,8
mia. kr. til styrkelse af ungdomsuddannelserne, ca. 4,3 mia. kr. til initiativer på de videregå-
ende uddannelser og ca. 2,2 mia. kr. til at styrke voksen- og efteruddannelsesområdet.
3
For en nærmere beskrivelse af beregningerne og antagelserne bag henvises til 2020-planen.
26
Danmarks nationale reformprogram 2011
·
Maj 2011
PDF to HTML - Convert PDF files to HTML files
993975_0033.png
Kapitel 2
De nationale mål i Europa2020-strategien
Tabel 2.5
Overordnet udmøntning af globaliseringspuljen
Mio. kr. 2007-pl.
Alle unge skal have en ungdomsuddannelse
Alle unge skal have en ungdomsuddannelse
Flere skal have en videregående uddannelse
Styrket voksen- og efteruddannelse
I alt
2007
308
308
200
141
649
2008
781
781
285
534
1.600
2009
1.220
1.220
537
540
2.297
2010
1.702
1.702
650
547
2.899
2011
2.232
2.232
1.147
217
3.596
2012
2.620
2.620
1.461
217
4.298
Kilde:
Aftale om udmøntning af globaliseringspuljen, 2006
.
Investeringerne har til formål at øge andelen af unge med en ungdomsuddannelse og/eller
en videregående uddannelse samt øge kvaliteten i uddannelserne.
Boks 2.4
viser udvalgte
eksempler på initiativer finansieret af globaliseringspuljen.
Der har siden 2006 med globaliseringsmålsætningerne været fokus på, at flere unge gen-
nemfører en ungdomsuddannelse. På ungdomsuddannelsesområdet er der i 2009/2010
gennemført omfattende ændringer med
Aftale om flere unge i uddannelse og job.
4
, der skal
hjælpe flere unge i uddannelse og job. I november 2010 er der desuden indgået en politisk
aftale,
Aftale om flere praktikpladser i 2011,
med en samlet økonomisk ramme på 2,4 mia.
kr., som bl.a. skal sikre ekstra 8.900 praktikpladser i 2011 inden for de erhvervsrettede ung-
domsuddannelser.
Aftale om flere unge i uddannelse og job
blev indgået 5. november 2009 mellem regeringen
Dansk Folkeparti, Socialdemokraterne og de Radikale.
4
Danmarks nationale reformprogram 2011
·
Maj 2011
27
PDF to HTML - Convert PDF files to HTML files
993975_0034.png
Kapitel 2
De nationale mål i Europa2020-strategien
Boks 2.4
Eksempler på initiativer finansieret af globaliseringspuljen
Ungdomsuddannelserne
Fornyelse af erhvervsrettede ungdomsuddannelser, fx flere prak-
tikpladser og en styrket indsats for at alle optagne gennemfører
uddannelsen.
Øget indsats for flere praktikpladser.
Alle 15-17-årige skal være i uddannelse, beskæftigelse mv. og
kommunerne skal følge op herpå.
Målrettet vejledning i overgangen fra grundskole til ungdomsud-
dannelserne med henblik på fastholdelse.
Oprettelse af Akkrediteringsinstitutionen, som skal sikre og doku-
mentere kvalitet og relevans af de videregående uddannelser.
Ændring af undervisningsformer, styrket studievejledning og efter-
uddannelse af undervisere.
Efteruddannelse af undervisere og praktikvejledere på professi-
onsbacheloruddannelserne.
Kvalitetsløft og styrkelse af sammenhængen mellem teori og prak-
sis på erhvervsakademiuddannelserne og professionsbachelorud-
dannelserne.
Eliteuddannelser på de lange videregående uddannelser.
De videregående uddannelser
Voksen- og efteruddannelserne
Bedre vejledning og rådgivning til beskæftigede og virksomheder.
Øget anerkendelse af kompetencer opnået uden for det offentlige
uddannelsessystem.
Bedre tilbud til tosprogede.
Flere og bedre tilbud til voksne på videregående niveau.
Kilde: Aftaler om udmøntning af globaliseringspuljen 2006-2010.
Endvidere er der som led i
Aftale om fremtidens velstand og velfærd
og investeringer i fremti-
den iværksat en række initiativer på universitetsområdet for at sikre, at flere unge får en vide-
regående uddannelse og for at reducere færdiggørelsesalderen,
jf. boks 2.5.
28
Danmarks nationale reformprogram 2011
·
Maj 2011
PDF to HTML - Convert PDF files to HTML files
993975_0035.png
Kapitel 2
De nationale mål i Europa2020-strategien
Boks 2.5
Initiativer bl.a. til understøttelse af målet om, at flere unge får en videregående uddannelse
Med virkning fra optagelsen i 2008 er de specifikke adgangskrav (dvs. krav til fag og niveauer) for op-
tagelse på universiteternes bacheloruddannelser ensrettet og skærpet. Målet er at sikre et ensartet
og højere fagligt indgangsniveau og dermed et lavere frafald.
Fra optaget 2009 foretages justeringer af optagelsessystemet for at tilskynde unge til at påbegynde
en videregående uddannelse hurtigt efter den adgangsgivende eksamen. Ansøgere med en ad-
gangsgivende eksamen, der er maksimalt to år gammel, får ganget det adgangsgivende gennemsnit
med 1,08 for på den måde at øge sandsynligheden for optagelse på de uddannelser, hvor der er
grænsekvotient.
Med virkning fra 1. september 2007 er der gennemført en tidsbegrænsning på de studerendes speci-
aleskrivning, således at specialet skal gennemføres indenfor det halve år, det typisk er normeret til.
Der er desuden iværksat hurtigere mulighed for reeksamination og automatisk tilmelding til eksamen.
Som led i styrket vejledningsindsats for frafaldstruede studerende har studerende, der er forsinket
mere end 12 måneder på uddannelsen, ret til en personlig samtale.
Fra 2009 indføres den såkaldte N+1– ordning, der indebærer, at universiteterne får bachelorbonus for
de bachelorer, der fuldfører inden for normeret tid plus 1 år, samt kandidatbonus for de kandidater,
der fuldfører inden for normeret tid.
Kilde: Aftale om fremtidens velstand og velfærd og investeringer i fremtiden, 2006.
Derudover er der taget to væsentlige initiativer rettet mod at styrke uddannelsesfaciliteterne
på universiteterne:
Teknologisk løft af universiteternes laboratorier: Regeringen har med finansloven 2010
afsat 6 mia. kroner til et teknologisk løft af universiteternes laboratorielokaler. Bevillingen
vil dels blive brugt som tilskud til nybyggerier der erstatter forældede laboratorielokaler,
dels til renovering af eksisterende laboratorielokaler. Moderniseringen forventes samlet
at strække sig over de næste 6-7 år.
Bedre studie- og forskermiljøer: Campusloven, som trådte i kraft 1. juli 2010, giver uni-
versiteternes mulighed for at bruge midler på at bygge kollegieboliger, forskerparker
samt leje ud til serviceerhverv på universitetscampus. Formålet er at give universiteter-
ne redskaber til at skabe endnu bedre studie- og forskermiljøer på campus.
Der er ligeledes igangsat flere initiativer, der skal styrke fagligheden i folkeskolen,
jf. boks
2.6.
Det er målet, at danske skolebørn i 2020 skal være i top 5 internationalt i både læsning,
matematik, naturfag og engelsk.
Danmarks nationale reformprogram 2011
·
Maj 2011
29
PDF to HTML - Convert PDF files to HTML files
993975_0036.png
Kapitel 2
De nationale mål i Europa2020-strategien
Boks 2.6
Regeringens initiativer til at styrke fagligheden i folkeskolen
Obligatoriske nationale test (2010)
Flere timer i fagene dansk, matematik, fysik/kemi, engelsk, historie og idræt (gradvis indfasning i skole-
årene 2003/04-2009/10)
Undervisningspligten er udvidet fra ni til ti år (2009), ved at børnehaveklassen er gjort obligatorisk
Krav om kommunale mål- og indholdsbeskrivelser for skolefritidsordningerne (2009)
Obligatoriske afgangsprøver ved afslutningen af 9. klasse, samtidig med at flere fag er blevet prøvefag
(2006)
Bedre fysiske rammer i folkeskolen gennem Kvalitetsfonden, hvor der er afsat midler til fysiske forbed-
ringer til blandt andet folkeskolen
Styrket it-anvendelse i folkeskolen gennem programmet “it i folkeskolen”, hvor der var afsat 495 millio-
ner kroner i perioden 2004-2007
Præcisering af folkeskolens formålsparagraf med tydeliggørelse af, at det er en central opgave for folke-
skolen at give eleverne kundskaber og færdigheder, der forbereder dem til videre uddannelse (2006)
Elevplaner (2006)
Kvalitetsrapporter (2006)
Bindende nationale mål for undervisningen (2003)
Regeringen har indgået aftale med kommunerne om at styrke inklusionen i folkeskolen således, at flere
elever inkluderes i den almindelige folkeskole (2011)
Strategi for uddannelse i entreprenørskab med henblik på at styrke uddannelsessystemets rolle i at sti-
mulere innovation og entreprenørskab (2009)
Styrket fokus på talentudvikling (2010)
Kilde: ”Faglighed og frihed – regeringens udspil til en bedre folkeskole” (2010).
Flere initiativer i de kommende år
Der er sat fokus på uddannelsesområdet i regeringens arbejdsprogram
Danmark 2020
fra fe-
bruar 2010.
Som opfølgning på arbejdsprogrammet blev der gennemført et 360-graders eftersyn af folke-
skolen, der skulle afdække styrker og svagheder ved folkeskolen og komme med konkrete
forslag til forbedringer. Eftersynet blev udført af et uafhængigt rejsehold med kompetencer og
viden om uddannelsesområdet. Heri indgik både forskere og praktikere. Regeringen har ved
folketingets åbning i efteråret 2010 præsenteret syv ambitiøse mål for folkeskolen og har i
december 2010 præsenteret sit samlede folkeskoleudspil
5
.
Endvidere arbejdes der på at gennemføre en reform af de styringsmæssige rammer for de
statsfinansierede selvejende uddannelsesinstitutioner
6
. Reformen skal medvirke til at sikre
mere og bedre uddannelse for pengene. Det kan fx ske ved at opsamle de data, der ligger i
institutionernes it-systemer om stort set alle relevante aktiviteter i sektoren, så de både cen-
Målene er følgende: 1: Alle børn skal kunne læse ved udgangen af 2. klasse. 2: Det, eleverne kan i 9. klasse i dag,
skal de fremover kunne i 8. klasse. 3: Færre elever skal i specialklasser og på specialskoler. 4: Fremtidens lærere
skal rekrutteres blandt de bedste studerende. 5: Undervisningen skal baseres på viden, ikke på vane. 6: Elever,
forældre og skolebestyrelser skal i højere grad være med til at udvikle folkeskolen. 7: Klare mål og åbenhed om
resultater skal mindske behovet for at styre i detaljen.
6
Selvejende institutioner er defineret som institutioner, der er organisatorisk placeret uden for det ministerielle
hierarki, og hvor institutionens bestyrelse er ansvarlig for institutionen overordnede virksomhed og opgavevare-
tagelse.
5
30
Danmarks nationale reformprogram 2011
·
Maj 2011
PDF to HTML - Convert PDF files to HTML files
993975_0037.png
Kapitel 2
De nationale mål i Europa2020-strategien
tralt og decentralt kan øge gennemsigtigheden om uddannelsesinstitutionernes ressourcean-
vendelse og resultater.
Regeringen fremlagde i november 2010 sit udspil til reform af SU-systemet,
SU, der skaber
vækst og beskæftigelse - bedre brug af SU-midlerne.
Regeringen vil med udspillet tilskynde
unge til at komme tidligere i gang med et uddannelsesforløb og færdiggøre deres uddannelse
hurtigere. Ligeledes skal en fornyelse af SU-systemet give de studerende mere frihed, flere
valgmuligheder og øget fleksibilitet. I udspillet lægges mere konkret op til, at SU begrænses
til normeret tid, samt at der tildeles bonus til studerende, der starter tidligt og bliver hurtigt
færdige med studierne. Udspillet indeholder også en fremrykning af 1,08-reglen og en reduk-
tion af andelen, der optages via kvote 2, en forhøjelse af fribeløbet, studiestartslån og Start-
SU, der skal lette studiestarten, og lån på attraktive vilkår til betaling af studieafgifter i udlan-
det. Udspillet skønnes at øge udbuddet af arbejdskraft med ca. 4.000 fuldtidspersoner og
styrke de offentlige finanser varigt med ca. 1 mia. kr.
2.5
Det nationale mål for social inklusion
Forebyggelse og bekæmpelse af fattigdom og social eksklusion har gennem mange år været
vigtige prioriteter for den danske regering. Danmark er i dag et af de lande i Europa hvor ind-
komstforskellene er mindst og hvor færrest er i risiko for fattigdom. Samtidig har den danske
regering et mål om, at Danmark i 2020 fortsat skal være blandt de lande i Europa, hvor ind-
komstforskellene er mindst, og hvor man er bedst til at skabe lige muligheder for alle.
Men også i Danmark har den økonomiske krise øget presset på de enkelte husholdningers
situation. Et fald i beskæftigelsen kan hæmme familiernes nuværende og fremtidige velfærd
og øge risikoen for negativ social arv. Manglende beskæftigelse bidrager samtidig til at øge
de strukturelle udfordringer for velfærdsstaten. En fast tilknytning til arbejdsmarkedet er det
bedste middel mod fattigdom og social eksklusion, både for den enkelte og for samfundet
som helhed.
Den danske regering har derfor i EU2020-strategien sat sig det mål, at mindske antallet af
personer i husstande med lav beskæftigelse med 22.000 frem mod 2020. Det er vurderingen,
at en indsats i forhold til personer i husstande med lav beskæftigelse, i større omfang end for
de øvrige indikatorer, vil kunne indebære strukturforbedringer i økonomien. Målet ligger sam-
tidig i forlængelse af den danske regerings ambition om at skabe lige muligheder for alle.
I Danmark var der i 2008 ca. 347.000 personer i husstande med lav beskæftigelse,
jf. tabel
2.6.
Godt 60 procent af disse er studerende, førtidspensionister eller børn.
Danmarks nationale reformprogram 2011
·
Maj 2011
31
PDF to HTML - Convert PDF files to HTML files
993975_0038.png
Kapitel 2
De nationale mål i Europa2020-strategien
Tabel 2.6
Personer i husstande med lav beskæftigelse
fordelt på ydelsesmodtagergrupper, 2008
Antal
Førtidspension
SU
Kontanthjælp, sygedagpen-
ge, A-dagpenge og ledig-
hedsydelse
Revalidering, fleksjob, skå-
nejob og løntilskud
Barselsdagpenge og øvrige
ydelser
Ingen ydelse (selvforsørge-
de)
Børn
I alt
84.000
82.000
Pct.
24
24
Figur 2.4
Udvikling i antal personer i husstande med lav
beskæftigelse, 2003-2009
1.000 personer
1.000 personer
450
430
410
390
370
400
62.400
15.500
4.500
46.600
51.300
347.100
18
4
1
13
15
100
350
330
310
290
270
250
2003 2004 2005 2006 2007 2008 2009
Personer i husstande med lav beskæftigelse
350
300
250
Anm.: Ydelser på uge niveau omregnet til helårs-
personer.
Kilde: Finansministeriets beregninger på basis af
EU-SILC 2008 og Arbejdsmarkedsstyrel-
sens DREAM-database.
Kilde: Eurostat.
Strategier til at nå målet
I Danmark er det primære instrument til bekæmpelse af social eksklusion det skattefinansie-
rede velfærdssystem. Den danske tilgang omfatter derfor allerede en bred vifte af initiativer
og ordninger, som løbende tilpasses og justeres med henblik på at minimere borgernes risiko
for social udstødelse. Eksempelvis indeholder det danske beskæftigelsessystem en række
ordninger, som har til formål at inkludere flest mulig på arbejdsmarkedet. Ledige, der er be-
rettiget til indkomsterstattende ydelser, modtager tilbud om vejledning og opkvalificering, virk-
somhedspraktik og ansættelse med løntilskud. Der arbejdes ligeledes målrettet med skabel-
se af ekstra praktikpladser til unge, målrettet forebyggelse af langtidsledighed samt reform af
førtidspensionen og initiativer i relation til det rummelige arbejdsmarked.
Det danske mål forventes indfriet via strukturelle tiltag inden for uddannelses- og beskæfti-
gelsesområdet, som f.eks.
aftalen om flere praktikpladser til unge
og forslaget til
en ny før-
tidspensions- og fleksjobreform,
suppleret med tiltag på socialområdet, sundhedsområdet og
integrationsområdet, som fx ghettostrategien og den nationale handlingsplan for bedre fore-
byggelse af langvarig sygdom. Denne indsats vil samlet set bidrage til at styrke den sociale
inklusion og reducere antallet af personer i husstande med lav beskæftigelse,
jf. boks 2.7.
32
Danmarks nationale reformprogram 2011
·
Maj 2011
PDF to HTML - Convert PDF files to HTML files
993975_0039.png
Kapitel 2
De nationale mål i Europa2020-strategien
Boks 2.7
Initiativer for personer i husstande med lav beskæftigelse
Beskæftigelsesområdet
Regeringen har gennemført en række initiativer og arbejdsmar-
kedsreformer med henblik på at øge arbejdsudbuddet og beskæf-
tigelsen,
jf. kapitel 2.1.
Uddannelsesområdet
Regeringen har iværksat en række initiativer, der understøtter
målsætningen om, at 95 pct. af en ungdomsårgang skal gennem-
føre en ungdomsuddannelse,
jf. kapitel 2.4.
Socialområdet
På socialområdet skal regeringens ghettostrategi fra 2010 sikre, at
en langt større del af beboerne i de udsatte boligområder kommer i
beskæftigelse. Derudover har regeringen iværksat en række be-
skæftigelsesrettede initiativer i forhold til unge enlige mødre, ud-
satte børn og unge, sindslidende og mennesker med handicap.
Integration
Regeringen arbejder målrettet med de nydanske unges uddannel-
se i form af flere initiativer, herunder kampagnen
Brug for alle unge
og projektet
Fastholdelseskaravanen,
som skal få flere unge med
en anden etnisk baggrund end dansk til at gennemføre en er-
hvervsuddannelse
Sundhedsområdet
Regeringen har bl.a. iværksat en kronikerindsats, en styrket be-
handlingsindsats over for psykisk syge, og en national handlings-
plan for forebyggelse, som kan bidrage til at øge beskæftigelsen.
Danmarks nationale reformprogram 2011
·
Maj 2011
33
PDF to HTML - Convert PDF files to HTML files
993975_0040.png
Kapitel 3
34
Danmarks nationale reformprogram 2011
·
Maj 2011
PDF to HTML - Convert PDF files to HTML files
993975_0041.png
Kapitel 3
3.
Nyt kapitel
Identificering af flaske-
halse
De centrale fokusområder i den økonomiske politik er at sikre sunde offentlige
finanser efter krisen samt at styrke betingelserne for vækst i velstanden og høj
beskæftigelse de kommende år. Der er gennemført en række reformer de se-
nere år, som understøtter højere vækst, bl.a. som en del af krisehåndteringen
og
aftalen om genopretning af den offentlige økonomi.
Den danske regering
har desuden nedsat et vækstforum, der er sammensat af førende erhvervsle-
dere, forskere og andre, som har bred erfaring med forhold, der har betydning
for Danmarks vækstmuligheder og konkurrenceevne. Vækstforum identificere-
de i september 2010 ti udfordringer for væksten i Danmark, som overordnet
flugter med de flaskehalse for vækst, som Kommissionen har identificeret, jf.
nedenstående tabel.
Identificering af flaskehalse for vækst
Kommissionen
Højt privat gældsniveau
Faldende vækst i produktiviteten
Vækstforum
Produktiviteten står i stampe
Konkurrenceevnen er under pres
Fornyelse og innovation ikke i top
For få nye vækstvirksomheder
Behov for mere effektiv offentlig sektor
Demografisk modvind
For lidt konkurrence
Uddannelsesniveauet sakker efter
Ej fuld udnyttelse af økonomiens arbejdskraftpotentiale
Svag konkurrence i dele af økonomien
Mangelfuld omkostningseffektivitet af uddannelse og
færdiggørelse
Samlet arbejdsudbud kun gennemsnitligt i
OECD
Samfund uafhængigt af fossile brændsler
Danmarks nationale reformprogram 2011
·
Maj 2011
35
PDF to HTML - Convert PDF files to HTML files
993975_0042.png
Kapitel 3
Identificering af flaskehalse
På baggrund Kommissionens og Vækstforums identificering af flaskehalse for
vækst vil følgende flaskehalse blive gennemgået i nedenstående:
Demografiske udfordringer
Væksten i produktiviteten er relativt lav i nogle sektorer
Svag konkurrence
Uddannelsesmæssige udfordringer
Et samfund uafhængigt af fossile brændsler
Kommissionen har peget på, at det høje private brutto gældsniveau i Danmark
er et problem. Husholdningerne har imidlertid en positiv nettoformue, og derfor
vurderes bruttogældsniveauet ikke i sig selv at være et problem. Den høje brut-
togæld skyldes især et velfungerende og fleksibelt finansielt system, herunder
det danske realkreditsystem, der tillader unge mennesker at erhverve egen bo-
lig tidligt i deres livsforløb
.
3.1
Vækstforums konklusioner
Regeringen nedsatte Vækstforum i september 2009 med det hovedformål at:
bidrage til at
analysere og besvare morgendagens udfordringer og ruste dansk økonomi til fornyet vækst.
Vækstforum blev sammensat af erhvervsledere, forskere og andre, som har bred erfaring
med forhold, der har betydning for Danmarks vækstmuligheder og konkurrenceevne.
Drøftelserne på møderne har taget udgangspunkt i debatoplæg og i analyser, præsentationer
og anbefalinger fra danske og internationale eksperter, herunder Vækstforums medlemmer.
Temaerne for møderne har været: Grøn vækst, Vækst i en åben verden, Viden og kompe-
tencer – fra folkeskole til universitet, Ny vækst i Danmark – hvad er diagnosen, Vækst gen-
nem fornyelse, Ny Vækst i Danmark – hvad er kuren?
Vækstforum afleverede på den baggrund i marts 2011 ti hovedanbefalinger til regeringen om
fremtidens vækstpolitik. Vækstforum understreger med deres anbefalinger behovet for refor-
mer, der øger arbejdsudbuddet, sikrer holdbare offentlige finanser, og skaber bedre rammer
for erhvervslivet.
I Vækstforums ti hovedanbefalinger ligger der en række konkrete løsningsforslag. Nedenfor
er en oversigt over anbefalingerne i overskriftsform.
36
Danmarks nationale reformprogram 2011
·
Maj 2011
PDF to HTML - Convert PDF files to HTML files
993975_0043.png
Kapitel 3
Identificering af flaskehalse
Boks 3.1
Anbefaling
1. Tabt konkurrenceevne skal genvindes
Regeringens opfølgning
Regeringen bidrager ved at føre en stabilitetsorien-
teret økonomisk politik og ved at sikre gode struk-
turer på arbejdsmarkedet,
jf. kap 2.1.
Regeringen har gennemført skattelettelser og en
dagpengereform i 2010 og har præsenteret flere
reformforslag, der også indgår i 2020-planen:
Tilbagetrækningsreform (2011)
SU-reform (2010)
Reform af førtidspension og fleksjob (2010)
2. Flere skal arbejde længere og mere
3. Styr på de offentlige finanser
Regeringen har taget en række initiativer for at skabe
balance på de offentlige finanser, herunder:
Genopretningsaftalen (2010)
2020-planen, herunder udspil om bedre udgiftssty-
ring (2011)
Regeringen har i 2011 indgået aftale om en samlet
Konkurrencepakke med 40 initiativer, der skal styr-
ke konkurrencen og produktiviteten.
Regeringen har præsenteret et folkeskoleudspil
(2010).
Regeringen har besluttet at iværksætte et 360-
graders eftersyn af de erhvervsrettede grundud-
dannelser.
Regeringen har ikke truffet beslutning om opfølg-
ning på anbefalingerne.
Regeringen har nedsat både personskatten og sel-
skabsskatten, senest med Forårspakke 2.0.
4. Meget mere konkurrence i den private og
offentlige sektor
5. Børn og unge skal være meget dygtigere
6. Flere kloge hoveder ind i virksomhederne
7. Skattesystemet skal fremme lysten til at ar-
bejde og investere
8. Mere innovation i virksomhederne og det
offentlige
9. Bedre vilkår for vækstvirksomheder
Regeringens kommende digitaliseringsstrategi.
Regeringen har indgået en aftale med pensions-
sektoren om samlet at stille op til 10 mia. kr. til rå-
dighed som risikovillig kapital (2011).
Yderligere opfølgning kan ske efter forhandlinger-
ne om 2020-planen mv.
Regeringens Energistrategi 2050 (2011)
10. Lønsom grøn vækst
I løbet af foråret vil der blive fulgt yderligere op på anbefalingerne om, hvordan danske virk-
somheder får de bedste rammer for at skabe ny vækst og nye arbejdspladser.
Danmarks nationale reformprogram 2011
·
Maj 2011
37
PDF to HTML - Convert PDF files to HTML files
993975_0044.png
Kapitel 3
Identificering af flaskehalse
3.2
Demografiske udfordringer
I de kommende år vil de årgange, der går på pension, være større end de årgange, der
kommer ind på arbejdsmarkedet. Hvor antallet af 18-64-årige steg i hvert tiår 1980-90, 1990-
2000 og 2000-2010, vil befolkningen i de mest erhvervsaktive aldre falde med ca. 40.000
personer frem mod 2020,
jf. figur 3.1a.
Befolkningsprognosen indebærer således, at antallet
af unge og ældre vil stige kraftigt i forhold til antallet af personer i de mest erhvervsaktive al-
dre og dermed vil den såkaldte ”demografiske forsørgerkvote” øges,
jf. figur 3.1b.
Figur 3.1a
Ændring i antal 15-64-årige og antal over
65-årige pr. tiår
1.000 personer
300
15-64-årige
250
200
150
100
50
0
-50
-100
80-90 90-00 00-10 10-20 80-90 90-00 00-10 10-20
Figur 3.1b
Ældreandel samt unge- og ældreandel
Pct. af 15-64-årige
1.000 personer
300
over 65-årige
250
200
Pct. af 15-64-årige
100
70
60
90
50
150
100
50
0
-50
-100
15-64 årige
65 år og derover
80
40
70
30
60
20
70 80 90 00 10 20 30 40 50 60 70 80
Ældreandel
Unge- og ældreandel (h.akse)
50
Anm.: Unge- og ældreandelen er beregnet som 0-17-årige og over 64-årige i forhold til 18-64-årige. Ældre-
andelen er beregnet som over 64-årige i forhold til 18-64-årige.
Kilde: DREAM og egne beregninger.
Udviklingen afspejler, at de relativt store efterkrigsårgange trækker sig tilbage fra arbejds-
markedet. Dertil kommer, at faldet i fødselsårgangenes størrelse fra 1950erne til 1980erne
bidrager til, at der bliver færre i de mest erhvervsaktive aldersgrupper i forhold til antallet af
ældre. Samtidig har andelen af indvandrere og efterkommere og disses fordeling på oprin-
delsesland betydning for udviklingen i arbejdsstyrken, fordi den gennemsnitlige erhvervsdel-
tagelse for særligt indvandrere fra mindre udviklede lande er lavere end for de øvrige befolk-
ningsgrupper.
Det demografiske pres på beskæftigelsen og de offentlige finanser skærpes derfor frem mod
2020.
I fravær af reformer reduceres arbejdsudbuddet svarende til ca. 66.000 personer (2¼ pct.)
frem mod 2020,
jf. tabel 3.1.
Til sammenligning vokser den samlede befolkning med omkring
150.000 personer frem mod 2020 og fra 2010 til 2020 bliver ca. 225.000 flere folkepensioni-
ster. Faldet i arbejdsstyrken vil blive større, hvis den historiske tendens til faldende arbejdstid
fortsætter fremover.
38
Danmarks nationale reformprogram 2011
·
Maj 2011
PDF to HTML - Convert PDF files to HTML files
993975_0045.png
Kapitel 3
Identificering af flaskehalse
Når der tages højde for ændret alders- og herkomstsammensætning mv. blandt de erhvervs-
aktive og arbejdstidseffekter, svarer det demografiske fald i arbejdsudbuddet som nævnt til
godt 65.000 personer fra 2010 til 2020.
Det skønnes med betydelig usikkerhed, at allerede
gennemførte reformer
af blandt andet
skatte- og dagpengesystemet isoleret set kan øge arbejdsudbuddet med knap 45.000 perso-
ner fra 2010 og frem mod 2020,
jf. tabel 3.1.
Det positive bidrag fra allerede gennemførte re-
former er således ikke tilstrækkeligt til at opveje det negative bidrag fra den demografiske ud-
vikling.
Tabel 3.1
Ændringer i arbejdsudbud fra 2010 til 2020 målt ved den strukturelle beskæftigelse, personer
1.000 personer
Strukturel
beskæftigelse,
personer
-42
1)
Strukturel
beskæftigelse,
inkl. arbejdstid
-66
43
-6
-28
89
4
5
79
61
1. Demografi (alder, køn og herkomst)
2. Gennemførte reformer af skat og arbejdsmarked
3. Øvrige forhold
2)
4. Samlet 2020-grundforløb (1+2+3)
5. Reformforslag
- heraf SU-reform
- heraf førtidspensionsreform
3)
- heraf tilbagetrækningsreform
6. I alt, inklusive reformforslag (4+5)
23
2
-17
82
3
7
70
65
Anm.: Arbejdstidsvirkninger er omregnet til antal personer med gennemsnitlig arbejdstid.
1)
Inkl.
Aftale om genopretning af dansk økonomi
(2010), skatteaftaler siden 2001,
Aftale om en jobplan
(2008),
stigningen i efterlønsalderen i 2019 og 2020 i medfør af
Velfærdsaftalen
(2006).
2)
Inkl. virkninger af øget opholdstid for indvandrere, stigende uddannelsesniveau, uddannelsesmål i
Velfærds- og Globaliseringsaftalerne (inkl. dræn på beskæftigelsen fra flere studerende), grænsear-
bejdere samt fremskrivninger af førtidspension og efterløn i forhold til de demografiske forløb.
3)
Effekten er større på lang sigt, da reformen indfases gradvist.
Kilde: Egne beregninger.
Regeringen har fremlagt forslag til reform af tilbagetrækning, førtidspension og SU som kan
styrke beskæftigelsen frem mod 2020
1
. Tilsammen skønnes disse reformer at kunne øge ar-
bejdsudbuddet svarende til ca. 90.000 personer frem mod 2020. Når virkningen af de tre re-
formudspil indregnes stiger den strukturel beskæftigelse (inkl. virkning fra arbejdstid) svaren-
de til omkring 60.000 personer frem mod 2020. Samlet opnås en fremgang i den strukturelle
beskæftigelse (målt i personer) fra 2010 til 2020 i størrelsesordenen 65.000 personer,
jf. figur
3.2a og tabel 3.1.
Uden reformerne ventes et fald i den strukturelle beskæftigelse på ca.
17.000 personer.
1
For en nærmere beskrivelse af reformerne henvises til kapitel 2.1.
Danmarks nationale reformprogram 2011
·
Maj 2011
39
PDF to HTML - Convert PDF files to HTML files
993975_0046.png
Kapitel 3
Identificering af flaskehalse
Figur 3.2a
Strukturel beskæftigelse, personer
Figur 3.2b
Vækst i BNP (potentiel) 2014-2020 med og uden
reform
1.000 personer
2.900
2.800
1,5
1,5
Pct .
2,0
Pct.
2,0
1.000 personer
2.900
2.800
2.700
2.600
2.500
2.400
2.300
90
95
00
05
10
15
2.700
2.600
2.500
2.400
2.300
20
0,5
0,5
1,0
1,0
0,0
Uden reform Uden ref orm 2020-forløb
og fort sat lav
produk-
tivitetsvækst
0,0
Ekskl. Ref ormer
Inkl. Vedt agne reformer
Inkl. Foreslåede reformer
Anm.: Den strukturelle beskæftigelse er opgjort i fuldtidspersoner.
Kilde: ADAM’s databank og egne beregninger.
Væksten i produktionspotentialet vurderes at tiltage til ca. 1,3 pct. om året i 2010-2015 og til
ca. 1,8 pct. om året i 2016-20 (målt ved BNP), når de foreslåede reformer af tilbagetrækning,
førtidspension og SU mv. gennemføres,
jf. tabel 3.2.
Med reformer af især tilbagetræknings-
systemet, men også af førtidspension og SU styrkes vækstpotentialet samlet med ca. �½ pct.
pr. i år i gennemsnit frem mod 2020.
For perioden 2010-2020 under ét er det omtrent med linje med perioden 1991-2007, hvor
produktionspotentialet skønnes at være vokset med ca. 1,7 pct. om året. Finanskrisen vurde-
res at have reduceret produktionspotentialet således, at den gennemsnitlige potentielle
vækst i årene 2008-2009 skønnes til ca. 0.
I 2020-fremskrivningen er det forudsat, at timeproduktiviteten i byerhvervene stiger med 1,5
pct. om året. Det indebærer, sammen med forudsætningerne for de øvrige erhverv, at time-
produktiviteten i hele økonomien stiger med ca. 1,2 pct. om året
2
. Uden reformer – og uden
den forudsatte forøgelse af produktivitetsstigningen i forhold til udviklingen siden 1995 – vil
den potentielle BNP-vækst i perioden kun være knap 1 pct. per år,
jf. figur 3.2b.
I nationalregnskabet indgår ikke en produktivitetsvækst i den offentlige sektor, hvor produktivitetsvæksten
dermed beregningsteknisk svarer til ca. 0. Se afsnit
Produktiviteten i den offentlige sektor
for en opgørelse af produkti-
vitetsudviklingen i den offentlige sektor.
2
40
Danmarks nationale reformprogram 2011
·
Maj 2011
PDF to HTML - Convert PDF files to HTML files
993975_0047.png
Kapitel 3
Identificering af flaskehalse
Tabel 3.2
Bidrag til vækst i produktionspotentialet
1991-07
Gennemsnitlig årlig vækst, pct.
Produktionspotentiale (BNP)
Heraf bidrag fra:
- Timeproduktivitet (strukturel)
- Strukturel ledighed
- Strukturel arbejdsstyrke
- Heraf reformvirkning
- Arbejdstid (strukturel)
- Nettoafgifter
1,3
0,3
0,1
-
0,1
0,1
0,3
0,1
0,3
1
-
-0,1
-0,5
1,3
0,1
-0,1
-
-0,1
0,1
1,1
0,0
0,0
0,1
0,0
0,2
1,2
0,0
0,4
0,5
0,1
0,1
2,0
0,0
1,2
1,4
1,8
2008-09
2010-12
2013-15
2016-20
Produktionspotentiale (BNP)
uden yderligere reformer
2,0
0,0
1,2
1,3
1,3
Anm.: Der er usikkerhed om skønnet for den potentielle vækst i delperioder, herunder om bidragene fra de
enkelte komponenter.
Udviklingen i den strukturelle arbejdsstyrke inkluderer bidrag fra ændret befolkning (inkl. nettoind-
vandring) og ændret antal grænsegængere, som indgår i beskæftigelsen i nationalregnskabet. I 2008-
09 udgjorde hvert af disse to bidrag omkring 0,2 pct.-point.
Kilde: Egne beregninger og Danmarks Statistik.
1)
3.3
Væksten i produktiviteten er lav
Danmark har fra 1999 til 2009 haft den næstlaveste årlige vækst i produktiviteten blandt
OECD-landene,
jf. figur 3.3a.
Det har ført til en øget afstand til de mest produktive lande. De
fem lande, der har den højeste produktivitet, skaber i dag næsten 30 pct. mere værdi per ar-
bejdstime end Danmark. I 1995 var tallet omkring 10 pct.,
jf. figur 3.3b.
Den svage produktivitetsudvikling er først og fremmest strukturelt betinget, men produktivi-
tetsudviklingen er også påvirket af konjunktursituationen. Danmark oplevede således et me-
get kraftigt fald i produktivitetsvæksten i 2008 og ind i 2009, mens der i det seneste år har
været tegn på en genopretning af produktivitetsvæksten.
Danmarks nationale reformprogram 2011
·
Maj 2011
41
PDF to HTML - Convert PDF files to HTML files
993975_0048.png
Kapitel 3
Identificering af flaskehalse
Figur 3.2a
Produktivitetsvækst, 1999-2009, pr. år
Pct.
5,0
4,5
4,0
3,5
3,0
2,5
2,0
1,5
1,0
0,5
0,0
IT A
DK
ESP
NZL
BEL
CHE
M EX
C AN
AU S
NOR
N LD
PR T
D EU
FRA
IS R
AU T
O EC D
JPN
SW E
UK
U SA
F IN
IS L
GRC
IR L
HUN
CZE
PO L
SVK
KO R
Pct.
5,0
4,5
4,0
3,5
3,0
2,5
2,0
1,5
1,0
0,5
0,0
Figur 3.3b
Afstand til top 5, 1995-2008
Pct .
30
25
20
15
10
5
0
95 96 97 98 99 00 01 02 03 04 05 06 07 08
Pct .
30
25
20
15
10
5
0
Kilde: OECD Stat.
Fra 1993 til 2008 steg beskæftigelsen i Danmark og personer, som gennem længere tid hav-
de haft en svag tilknytning til arbejdsmarkedet, fik fodfæste på arbejdsmarkedet. Beskæfti-
gelsesfremgangen bidrog positivt til den økonomiske vækst, men tilgangen af personer med
svagere forudsætninger kan have dæmpet produktivitetsvæksten, idet de har en lavere pro-
duktivitet end gennemsnittet af lønmodtagere. I nogle år har flere på arbejdsmarkedet med
forudgående svag tilknytning reduceret produktivitetsvæksten i dansk økonomi med op til 0,2
pct.-point per. år. Det umiddelbare negative bidrag til produktivitetsudviklingen afløses imid-
lertid af et positivt bidrag på længere sigt, i takt med at lønmodtagere med en forudgående
svag tilknytning til arbejdsmarkedet får bedre fodfæste på arbejdsmarkedet og dermed bliver
mere produktive. Set over hele perioden fra 2001 til 2007 er det vurderingen, at tilgangen af
lønmodtagere med forudgående svag tilknytning til arbejdsmarkedet ikke er en væsentlig
strukturel forklaring på den aftagende produktivitetsvækst.
Hvis arbejdskraft og kapital løbende flytter over i de brancher, hvor produktivitetsniveauet er
højere end gennemsnittet, vil det isoleret set øge produktiviteten i økonomien som helhed.
Historisk set har der været sådanne forskydninger, primært i form af faldende beskæftigelse i
landbruget, der har haft et lavt produktivitetsniveau, og stigende beskæftigelse i byerhverv,
hvor produktivitetsniveauet er højere. Det generelle fald i produktivitetsvæksten kan imidlertid
ikke forklares med skift i branchesammensætningen. Ændringer i branchesammensætningen
har i de seneste 10-15 år isoleret set bidraget til højere produktivitetsvækst. For perioden
1995 til 2005 var bidraget på knap 0,1 pct.-point om året.
Den svage produktivitetsvækst hænger formentlig sammen med en række faktorer. For det
første kan produktivitetsvæksten hænge sammen med svag innovation i virksomhederne.
Over 60 pct. af de danske virksomheder angiver, at de ikke har introduceret nye produkter
og/eller processer de seneste tre år.
42
Danmarks nationale reformprogram 2011
·
Maj 2011
PDF to HTML - Convert PDF files to HTML files
993975_0049.png
Kapitel 3
Identificering af flaskehalse
For det andet kan svag konkurrence være en del af forklaringen. Den relativt svage danske
produktivitetsvækst hænger især sammen med en svag vækst i serviceerhvervene under ét
og i byggeriet. Inden for industrien har produktivitetsvæksten derimod været nogenlunde på
niveau med udviklingen i EU27. Store dele af serviceområdet er hovedsageligt rettet mod det
danske hjemmemarked, hvor konkurrencen fra udenlandske producenter er begrænset. Det
kan være en del af forklaringen på, at danske servicevirksomheder ikke i højere grad har ef-
fektiviseret og fornyet produktionen de seneste år. Svag konkurrence svækker desuden inci-
tamenterne til innovation. Det samme gør sig gældende inden for byggeriet.
En række andre områder har også betydning for produktiviteten, fx. uddannelse (jf.
kap. 2.4
og 3.5)
og forskning og udvikling (jf.
kap. 2.2).
Boks 3.2 præsenter en række initiativer der allerede er eller planlægges iværksat og som
bl.a. har til formål at øge væksten i produktiviteten.
Boks 3.2
Initiativer med henblik på at øge væksten i produktiviteten
Selskabsskat og personskat.
Regeringen har løbende sænket både selskabsskattesatsen og skatten på
arbejde, senest med Forårspakke 2.0. De gennemførte lettelser i personskatten indebærer, at skatten på
den sidst tjente krone er reduceret med 5-10 pct.-point for stort set alle lønmodtagergrupper. Den seneste
lempelse trådte i kraft 1. januar 2010.
Innovation.
Regeringen fremlagde i august 2010 et oplæg til en virksomhedsrettet innovationsstrategi Styr-
ket innovation i virksomhederne med en analyse af de danske innovationsudfordringer, og 37 konkrete initi-
ativer til at fremme innovationen i danske virksomheder.
Kapital.
Tilstrækkelig kapital er en forudsætning for, at nye ideer kan omsættes til vækst og beskæftigelse.
Med Erhvervspakken har regeringen styrket lånemulighederne for små og mellemstore virksomheder, og
markedet for risikovillig kapital er styrket til gavn for nye virksomheder. Erhvervspakken er i september 2010
blevet forlænget ind i 2011. Regeringens aftale med pensionssektoren om risikovillig kapital bety-
der, at pensionsinstitutterne stiller mindst 5 mia. kr. til rådighed som risikovillig kapital for iværksættere og
små og mellemstore virksomheder. Dertil kommer, at staten etablerer nye låne- og kautionsordninger, så
den samlede effekt på udbuddet af risikovillig kapital vil være op til 10 mia. kr.
Konkurrence.
Regeringen har de seneste år fjernet en række konkurrencebarrierer og har i 2011 lanceret
en strategi for offentlig-privat samarbejde og indgået aftale om en samlet Konkurrencepakke med 40 initiati-
ver, der skal styrke konkurrencen og produktiviteten. Regeringen vil fortsætte indsatsen for at styrke konkur-
rencen og konkurrencekulturen i Danmark med særlig fokus på servicesektoren.
Produktiviteten i den offentlige sektor
Der er tegn på, at den offentlige produktion er blevet mere effektiv siden 2001. Det indikerer
en ny opgørelse fra Danmarks Statistik
3
, der måler den offentlige produktion og produktivitet.
Produktiviteten i den offentlige sektor er i gennemsnit steget med ca. 1 pct. årligt i perioden
2001 til 2008. Ser man på de serviceydelser, der er rettet mod borgere, er det navnlig det of-
fentlige sundhedsvæsen, der har bidraget til den positive produktivitetsvækst. Der har også
3
General Government Output and Productivity,
Danmarks Statistik, Januar 2011.
Danmarks nationale reformprogram 2011
·
Maj 2011
43
PDF to HTML - Convert PDF files to HTML files
993975_0050.png
Kapitel 3
Identificering af flaskehalse
været en vis produktivitetsvækst inden for uddannelse, mens socialområdet har bidraget ne-
gativt til produktivitetsudviklingen
4
.
En øget brug af informations- og kommunikationsteknologi har formentlig givet et positivt bi-
drag til produktiviteten. Danmark et af de lande, der er længst fremme med at digitalisere den
offentlige forvaltning, hvilket giver større fleksibilitet for virksomheder og borgere og sparer of-
fentlige ressourcer. En forudsætning herfor er, at alle har adgang til hurtige og gode internet-
forbindelser, og Danmark er i dag et af de tre OECD-lande, der har det højeste antal bred-
båndsabonnementer i forhold til antal indbyggere.
Omvendt er der ikke alle steder i den offentlige sektor en tilstrækkelig konkurrence om opga-
veløsningen, der kan sikre fokus på effektivitet og fornyelse. Udfordringen forstærkes af, at
den offentlige sektor er relativt stor i Danmark. Det offentlige forbrug i Danmark udgjorde i
2009 således knap en tredjedel af det samlede, årlige bruttonationalprodukt, hvilket er højere
end i noget andet OECD-land.
3.4
Konkurrence
Effektiv konkurrence er en dynamo for vækst og velstand. En fri og effektiv konkurrence er
med til at sikre fornyelse i erhvervslivet, og at ressourcerne anvendes mest effektivt. Konkur-
rence er også en betingelse for lave priser og et varieret udbud af varer og tjenester. Konkur-
rencen i Danmark er i en række sektorer ikke så skarp som i en række andre vestlige lande,
hvilket fremgår af en række forskellige indikatorer.
For det første har Danmark høje priser sammenlignet med alle andre OECD-lande. Sam-
menligner man med seks udvalgte sammenlignelige OECD-lande er priserne således højest i
Danmark, når der korrigeres for moms, afgifter og velstandsniveau,
jf. figur 3.3.
4
Den nye opgørelse angiver forøgelsen af arbejdsproduktiviteten i den offentlige sektor målt som den gennem-
snitlige årlige vækst pr. arbejdstime for hhv. sundheds-, uddannelses- og fritid og kulturområdet i perioden 2001-
07 og for socialområdet i perioden 2001-06. De individuelle ydelser er opgjort efter en ny output-metode, hvor
mængden af offentlig produktion måles vha. indikatorer for antal offentlige ydelser. Socialområdet dækker børne-
, unge-, voksen- og ældreinstitutioner og fylder 34 pct. af den individuelle service. Sundhed fylder 31. pct., ud-
dannelse 29 pct. og fritid, kultur mv. 6 pct. Produktivitetsudviklingen på tværs af sektorer er ikke direkte sam-
menlignelig.
44
Danmarks nationale reformprogram 2011
·
Maj 2011
PDF to HTML - Convert PDF files to HTML files
993975_0051.png
Kapitel 3
Identificering af flaskehalse
Figur 3.3
Velstandskorrigerede nettopriser 2008. Afvigelser fra EU-gennemsnit i procent.
Pct.
15
10
5
0
-5
-10
-15
-20
DK
FI
Samlet
FR
IT
Varer
BE
Tjenest er
DE
NL
Pct.
15
10
5
0
-5
-10
-15
-20
Kilde: Eurostat, OECD og egne beregninger.
Især de danske priser på serviceydelser ligger højere end OECD-gennemsnittet, mens pris-
forskellen til de øvrige lande er mindre, når det gælder varer, hvilket kan være en medvirken-
de årsag til det høje prisniveau. Servicesektoren er i mindre grad udsat for konkurrence fra
udenlandske virksomheder end de vareproducerende erhverv.
For det andet kan en medvirkende faktor til den svage konkurrence i Danmark, være en sva-
gere konkurrencekultur i Danmark end i andre lande. Danske virksomheder angiver fx i min-
dre grad end tyske og engelske virksomheder, at de har fokus på ekspansion, rivalisering og
indtjening.
Endeligt kan en permanent højere overskudsgrad i virksomhederne end i andre lande indike-
re en svag konkurrence. Den gennemsnitlige overskudsgrad i danske virksomheder lå i 2002-
2007 i midterfeltet blandt OECD-landene.
Til at styrke konkurrencen i Danmark er der gennemført forskellige initiativer og rammevilkå-
rene for en effektiv konkurrence er forbedret i perioden 2009 og 2010.
Folketinget vedtog i april 2010 en ændring af konkurrenceloven, hvor konkurrencemyndighe-
derne bl.a. fik forbedret muligheden for at gribe ind over for fusioner. Det vurderes, at de nye
fusionsregler vil give en årlig økonomisk gevinst til forbrugerne på omkring 400 mio. kr., mens
de forventede meromkostninger for konkurrencemyndighederne og virksomhederne skønnes
at være 55 mio. kr.
Endvidere gør håndhævelsesloven fra 2010 det muligt for Klagenævnet for Udbud at give
påbud om, at indgåede kontrakter skal bringes til ophør, ligesom ordregivere kan pålægges
økonomiske sanktioner, i tilfælde af en grov overtrædelse af udbudsreglerne.
Danmarks nationale reformprogram 2011
·
Maj 2011
45
PDF to HTML - Convert PDF files to HTML files
993975_0052.png
Kapitel 3
Identificering af flaskehalse
Konkurrencebegrænsende regulering er blevet afskaffet på flere områder. Lukkeloven er ble-
vet liberaliseret i 2010, og i 2012 ophæves lukketidsreglerne undtagen på helligdage og an-
dre særlige dage. Derudover bliver bogmarkedet liberaliseret fuldt ud i 2011.
Regeringen har i januar 2011 lanceret en strategi for offentlig-privat samarbejde, som inde-
holder 21 konkrete initiativer, der bl.a. skal fremme konkurrencen om løsningen af offentlige
opgaver. OPS-strategien indeholder initiativer som dels skal justere de lovgivningsmæssige
rammevilkår, dels skal tilvejebringe vejledninger og redskaber til offentlige og private aktører,
der indgår i konkurrencen om løsning af offentlige opgaver. Dele af OPS-strategien gennem-
føres som en del af Konkurrencepakken,
se nedenfor.
Sidst i 2009 blev der nedsat et udvalg om konkurrencelovgivningen, der skal belyse følgende:
om der er behov for at styrke Konkurrence- og Forbrugerstyrelsens generelle informati-
ons- og vejledningsindsats med henblik på at forebygge konkurrencelovsovertrædelser
og sikre efterlevelse af loven
om processerne for sager efter konkurrencelovgivningen kan tilrettelægges mere effek-
tivt og samtidig på en måde, som er mindst muligt belastende for virksomhederne
om indførelse af mulighed for fængselsstraf vil kunne bidrage til en styrket håndhævelse
af konkurrencelovgivningen i kartelsager
Udvalget skal færdiggøre sit arbejde og afrapportere til økonomi- og erhvervsministeren i
2011.
For lidt konkurrence er en af de ti udfordringer for væksten, som regeringens vækstforum
identificerede i 2010. Regeringen har derfor den 11. april 2011 indgået aftale om Konkurren-
cepakken for at bringe konkurrencen op på niveau med de bedste lande. Formålet er at
fremme konkurrencen og produktiviteten i den private og offentlige sektor. Konkurrencepak-
ken retter sig primært mod byggeriet og servicesektoren, herunder detailhandlen, sundheds-
tjenester og serviceerhverv, der er afskærmet for et udenlandsk konkurrencepres. Det er
samtidig sektorer der er karakteriseret ved at have en særlig svag produktivitetsudvikling.
Endelig er der en lang række initiativer, der skal sikre øget konkurrence om offentlige opga-
ver.
Samlet er der tale om et omfattende katalog med 40 initiativer, der vil styrke konkurrencen
over en bred kam. I denne Folketingssamling vil der blive fremsat 7 lovforslag og ændret en
række bekendtgørelser mv. ikke mindst på byggeområdet.
3.5
Uddannelsesmæssige udfordringer
Danmark bruger flere penge på uddannelse end de fleste andre lande. I 2007 var de danske
offentlige udgifter til uddannelse på 7,8 pct. af BNP, mens EU19-landene
5
i gennemsnit brug-
te 5,3 pct. af BNP,
jf. figur 3.4a.
Heri indgår relativt store udgifter til uddannelsesstøtte til stu-
EU-19 omfatter alle EU's medlemsstater inden optagelsen af 10 nye medlemsstater 1. maj 2004 plus de fire øst-
europæiske OECD-medlemslande Tjekkiet, Ungarn, Polen og Slovakiet.
5
46
Danmarks nationale reformprogram 2011
·
Maj 2011
PDF to HTML - Convert PDF files to HTML files
993975_0053.png
Kapitel 3
Identificering af flaskehalse
derende og drift sammenlignet med andre OECD-lande. Danmark bruger også relativt mange
ressourcer på voksen- og efteruddannelse sammenlignet med de øvrige OECD-lande.
Danmarks høje udgifter til uddannelsessystemet giver sig ikke udslag i, at Danmark ligger til-
svarende højt i internationale sammenligninger på resultaterne i forhold til andre OECD-
lande. Eksempelvis viser OECD’s PISA-undersøgelser, at de danske 15-åriges faglige fær-
digheder i læsning, matematik og naturfag ikke matcher de bedste OECD-lande,
jf. figur 3.5b.
Figur 3.4a
Offentlige udgifter til uddannelse i pct. af BNP,
2000 og 2007
Figur 3.4b
PISA-score i læsning, matematik og naturvi-
denskab, 2009
PISA-score
550
540
530
520
510
500
490
480
470
460
Naturvidenskab
Læsning
M at ematik
PISA-score
550
540
530
520
510
500
490
480
470
460
Pct. af BNP
09
08
07
06
05
04
03
02
01
00
Pct. af BNP
9
8
7
6
5
4
3
2
1
0
EU15
SWE
NOR
GBR
DEU
NLD
FRA
ISK
FIN
DK
DK
OECD gnst.
Bedst
2000
2007
Anm.: Inkluderer udgifter til uddannelsesstøt-
te(SU).
Kilde: OECD, Education at a Glance 2010.
Kilde: OECD, PISA 2009, Factbook.dk.
Et andet eksempel er et stort frafald på de danske ungdomsuddannelser – særligt erhvervs-
uddannelserne,
jf. figur 3.5a.
Danmarks nationale reformprogram 2011
·
Maj 2011
47
PDF to HTML - Convert PDF files to HTML files
993975_0054.png
Kapitel 3
Identificering af flaskehalse
Figur 3.5a
Tilgang, fuldførte og fuldførelsespct. ved er-
hvervsuddannelser (EUD), 2003-2008
1.000 personer
Pct.
Figur 3.5b
Medianalder ved tilgangen til den første MVU
eller LVU, 2008
År
65
60
55
50
År
24
23
22
21
20
19
SWE
NOR
GBR
DEU
CHE
NLD
FIN
ISL
DK
60
50
40
30
20
10
0
2003
2004
2005
2006
2007
2008
24
23
22
21
20
19
18
45
40
35
30
18
Tilgang
Fuldf ørte
Fuldf ørelsespct. (h.akse)
2008
Anm.: Fuldførelsesprocenten er andelen af elever
med uddannelsesstart i et givet år, der for-
ventes at fuldføre. ’Tilgang’ er antallet af
elever, der påbegynder en uddannelse i et
givent år, mens ’fuldførte’ er antallet af ele-
ver, der afslutter en uddannelse i et givent
år.
Kilde: Undervisningsministeriets databank og fi-
nanslove.
Anm.: MVU = Mellemlang videregående uddan-
nelse inkl. universitetsbachelorer. LVU =
Lang videregående uddannelse.
Kilde: OECD, Education at a Glance 2010.
Det er også en udfordring, at de danske unge først starter den første videregående uddan-
nelse i en forholdsvis sen alder,
jf. figur 3.5b.
I 2008 var medianalderen ved tilgang til den før-
ste videregående uddannelse 22,1 år i gennemsnit i Danmark, mens den var 21,1 år i Norge
og 19,8 år i Holland. Den sene påbegyndelse medvirker til, at danske unge færdiggør deres
uddannelser i en forholdsvis sen alder. Det reducerer det samfundsmæssige afkast af inve-
steringerne i uddannelse, fordi det samlede udbud af højtuddannet arbejdskraft i Danmark
dermed bliver reduceret.
Endelig peger flere analyser på, at danske uddannelsesinstitutioner anvender forholdsvis
mange ressourcer på andre opgaver end den egentlige kerneopgave – som er ’undervisning’.
Fx viser opgørelser over lærernes arbejdstid i folkeskolen, at der gennemsnitligt undervises
42 pct. af den samlede nettoarbejdstid
6
,
jf. figur 3.6a.
Undervisningstiden på ungdomsuddan-
nelserne er endnu lavere. Fx underviser en gymnasielærer i gennemsnit 22 pct. af den sam-
lede arbejdstid,
jf. figur 3.6a
7
.
Nettoarbejdstiden er opgjort til 1661,5 timer, hvilket svarer til at ferie, søgnehelligdage og halvdelen af feriefri-
dagene ikke medregnes i lærernes arbejdstid.
7
Det gennemsnitlige tal for gymnasielærere i OECD-landene er 40 pct. undervisning ud af den samlede arbejds-
tid,
jf. Education at a Glance, 2010.
6
48
Danmarks nationale reformprogram 2011
·
Maj 2011
PDF to HTML - Convert PDF files to HTML files
993975_0055.png
Kapitel 3
Identificering af flaskehalse
Figur 3.6a
Lærernes arbejdstid, ungdomsuddannelser og
folkeskolen 2006/2008
Figur 3.6b
Universiteternes anvendelse af ressourcer på
opgaver, 2008
Pct.100
80
60
40
20
Erhvervsuddannsel
(EUD)
Studentereksamen
(STX)
Højere teknisk ek-
samen (HTX)
Højere
Handelseksamen
(HHX)
0
Socialsundhedsud-
dannelse (SOSU)
100Pct.
80
60
40
20
0
Pct.
50
40
30
20
10
Uddannelse
Pct.
50
40
30
20
10
Generel ad-
ministration
og drift
Rådgivning
0
Formidling
Forskning
0
Folkeskole
Administrative aktiviteter i tilknytning til kerneopgaver
Undervisning
Forberedelse
Øvrige opgaver
Kerneopgaver
Anm.: Nettoarbejdstid (dvs. ekskl. ferie og frida-
ge). ’Øvrige opgaver’ omfatter en række
forskellige administrative opgaver, mødetid,
rette- og eksamenstid samt pauser mv. For
folkeskolen omfatter ’øvrige opgaver’ også
forberedelse. Der tages udgangspunkt i et
’udvidet’ undervisningsbegreb for bereg-
ningerne vedr. folkeskolen. Beregningerne
vedr. folkeskolen er fra 2008, mens de re-
sterende beregninger er fra 2006.
Kilde: Rambøll Management A/S, Undervis-
ningsministeriets beregninger, UNI-C Stati-
stik & Analyse og egne beregninger.
Kilde: McKinsey & Co., Analyse af universiteter-
nes og sektorforskningsinstitutionernes fi-
nansiering og organisering.
På de videregående uddannelser bruges også meget tid på andet end kerneopgaverne. En
kortlægning af universiteternes ressourceanvendelse viser, at universiteterne anvender 69
pct. af deres ressourcer på kerneopgaver, dvs. forskning, uddannelse, formidling og rådgiv-
ning,
jf. figur 3.6b.
Administration i tilknytning til formål (forskningsadministration, studieadmi-
nistration m.v.) udgør 14 pct., mens de resterende 17 pct. anvendes på administration af me-
re generel karakter (IT, HR, Rektorat m.v.).
Regeringen har fokus på at effektivisere de offentlige institutioners administration og herun-
der også universiteternes. Med
Aftale om genopretning af dansk økonomi
fra maj 2010 er det
fastlagt, at universiteterne skal effektivisere deres administration og støttefunktioner.
Regeringen har allerede igangsat en række initiativer på uddannelsesområdet i de senere år
for at imødekomme de uddannelsesmæssige udfordringer. Disse er beskrevet i kapitel 2.4.
Danmarks nationale reformprogram 2011
·
Maj 2011
49
PDF to HTML - Convert PDF files to HTML files
993975_0056.png
Kapitel 3
Identificering af flaskehalse
3.6
Et samfund uafhængigt af fossile brændsler i
2050
Regeringen har i februar 2011 fremlagt en strategi for, hvordan Danmark bliver uafhængig af
fossile brændsler i 2050. Energistrategi 2050- fra kul, olie og gas til grøn energi indeholder en
bred vifte af initiativer, der bringer Danmark på sporet af et energi- og transportsystem uden
fossile brændsler i 2050. Strategien indeholder dels en række konkrete initiativer, der reduce-
rer afhængigheden af fossile brændsler frem mod 2020, dels et planlægnings- og forberedel-
sesspor, der skal skabe rammerne for indsatsen i det længere perspektiv samt en forsknings,
udviklings- og demonstrationsindsats. Målet om fossil uafhængighed skal ses i lyset af to sto-
re udfordringer:
For det første skal Danmark opretholde en høj forsyningssikkerhed og sikre en stabil energi-
forsyning, som er til at betale. Forsyningssikkerhed bliver en central udfordring i en fremtid,
hvor den globale efterspørgsel efter energi stiger i takt med øget befolkningsvækst og øko-
nomisk fremgang – og hvor de tilbagværende olie- og gasressourcer koncentreres på færre
og ofte politisk ustabile lande.
For det andet skal Danmark bidrage til at begrænse de globale klimaændringer som aftalt i
København 2009 og Cancún 2010. Danmark skal yde sit til at opfylde EU's mål om at redu-
cere drivhusgasudledningerne med 80-95 pct. i 2050 i forhold til 1990.
Omstillingen af den danske økonomi mod et samfund uafhængigt af fossile brændsler er ikke
gratis. Strategien er økonomisk ansvarlig og er udformet med fuld respekt for de eksisterende
finanspolitiske rammer. Finansieringen er udformet på en måde, som samlet set fastholder
danske virksomheders konkurrenceevne og beskæftigelse, samtidig med at den giver nye
grønne vækstmuligheder.
Energistrategi 2050 følger fire overordnede principper:
Vi skal vælge løsninger, hvor vi får mest for pengene
Vi må ikke sætte vores konkurrenceevne og beskæftigelse over styr
Der skal findes finansiering til alle nye initiativer. Krav om offentlige sunde finanser gæl-
der også prioriteringerne på energiområdet
Vi skal udnytte de internationale rammer, mulighederne i en globaliseret verden og et
stadig tættere EU-samarbejde
På den baggrund står det centralt at finansiere det fald i indtægterne, der forårsages af et
fald i forbruget af fossile brændsler, som er højt beskattede i Danmark. Derfor indeholder re-
geringens strategi både en ny forsyningssikkerhedsafgift på alle brændsler til varme samt et
initiativ til en analyse af et samlede tilskuds- og afgiftssystem på energiområdet mhp. at un-
derstøtte målet om uafhængighed af fossile brændsler, sunde offentlige finanser og en
usvækket konkurrenceevne.
50
Danmarks nationale reformprogram 2011
·
Maj 2011
PDF to HTML - Convert PDF files to HTML files
993975_0057.png
Kapitel 3
Identificering af flaskehalse
Nye grønne erhvervsmuligheder
En international omstilling til en grøn økonomi vil åbne muligheder for at styrke eksporten af
grønne løsninger til gavn for vækst og beskæftigelse. Det globale marked for grønne løsnin-
ger forventes med stor sikkerhed at vokse betydeligt.
En række danske virksomheder inden for bl.a. VE, energieffektiviseringer, vand, affald og
luftforurening er godt positioneret til at nyde godt af de nye markedsmuligheder. Der er imid-
lertid mange lande, der iværksætter programmer for at sikre, at deres egne virksomheder kan
drage nytte af den grønne vækst.
Det vil være op til de danske cleantech-virksomheder i samspil med det øvrige erhvervsliv at
finde de rigtige løsninger, så de kan udnytte de nye markedsmuligheder. Men staten og EU
kan bidrage til virksomhedernes konkurrenceevne ved gode rammevilkår, forskning og udvik-
ling og offentlig-privat samarbejde.
Med
Energistrategi 2050
foreslår regeringen en bred vifte af initiativer, der fremadrettet skal
understøtte Danmarks stærke position som laboratorium for forskning, udvikling og demon-
stration inden for grøn teknologi, herunder energiteknologi. Det gælder:
vindområdet, hvor muligheder for udvikling, test og demonstration af vindmøller styrkes
til fordel for virksomheder i Danmark, som dermed er godt rustede til fortsat at drage for-
del af den globale udbygning med vindkraft,
biomasse- og biobrændstofområdet, hvor en øget anvendelse i kraftvarmeproduktion og
transport vil øge danske virksomheders muligheder for udvikling og innovation,
biogasområdet, hvor forbedrede rammebetingelser vil understøtte danske kompetencer
og styrke landbrugets rolle som leverandør af grøn energi,
udbygningen af smart grids, eltransmission og indpasning af vedvarende energi i el-
systemet, hvor virksomheder i Danmark forvejen står stærkt, og
indsatsen for energibesparelser, som bringer virksomheder i Danmark på forkant med
udviklingen inden for energieffektive løsninger – løsninger, som vil blive efterspurgt af
andre lande. Dertil kommer de job, der skabes i bygge- og anlægssektoren.
Denne indsats understøtter regeringens mål om, at Danmark skal blive et attraktivt sted for
udvikling og afprøvning af grønne teknologier. Det skal blandt andet ske gennem et tæt sam-
arbejde mellem offentlige myndigheder, virksomheder og videninstitutioner om test og de-
monstration af grønne løsninger i stor skala og markedsmodning af nye teknologier, produk-
tionsmetoder og produkter. Indsatsen skal bidrage til, at Danmark kan fastholde og udvikle
kernekompetencer og markedsandele på markeder i vækst.
Ambitionen om Danmark som et grønt teknologilaboratorium understøttes på flere måder.
Danmark er ofte blevet fremhævet som et land med et godt offentligt-privat samarbejde, og et
af de seneste eksempler er etableringen af et vindmølletestcenter i Østerild i Thy. Endvidere
har regeringen igangsat et program til støtte af større test- og demonstrationsanlæg. Rege-
ringen arbejder endvidere med at formulere en ny indsats for miljøteknologi efter 2011.
Danmarks nationale reformprogram 2011
·
Maj 2011
51
PDF to HTML - Convert PDF files to HTML files
993975_0058.png
Kapitel 3
Identificering af flaskehalse
Den årlige vækstundersøgelse
Kommissionen har i den årlige vækstundersøgelse bl.a. sat fokus på, at der skal gives om-
kostningseffektiv adgang til energi, herunder udføre en opstramning af den nationale politik
for energieffektivitet. Med regeringens udspil til
Energistrategi 2050,
der er beskrevet ovenfor
og i kapitel 2.3, styrkes energieffektiviseringsindsatsen. Med de foreslåede initiativer vil stra-
tegien, såfremt den vedtages i Folketinget, medvirke til at reducere bruttoenergiforbruget i
2020 betydeligt udover det allerede forventede. Det vurderes, at bruttoenergiforbruget i 2020
vil være reduceret med 6 pct. i forhold til 2006. Hermed vil den danske målsætning om, at
bruttoenergiforbruget i 2020 skal være 4 pct. mindre end i 2006 blive mere end opfyldt. Det
betyder, at Danmark er godt på vej mod at opfylde regeringens mål om at være blandt ver-
dens tre mest energieffektive lande i 2020.
Energieffektiviseringsindsatsen vil blandt andet ske ved, at energiselskabernes energispare-
indsats styrkes og målrettes. Denne indsats skal omfatte såvel energieffektiviseringer som
konvertering væk fra olie og naturgas. Initiativerne skal forhandles med Folketingets partier i
forbindelse med en kommende ny energiaftale.
Indsatsen for energibesparelser vil bringe virksomheder i Danmark på forkant med udviklin-
gen inden for energieffektive løsninger. Dertil kommer de job, der skabes i bygge- og an-
lægssektoren.
3.7
Gældsniveauet i husholdningerne i Danmark
Kommissionen har peget på, at det høje bruttogældsniveau i husholdningerne i Danmark er
en udfordring. Den høje bruttogæld skal imidlertid ses i sammenhæng med, at danske hus-
holdninger har en relativt stor formue i form af nettoboligaktiver og navnlig private pensions-
formuer sammenlignet med andre lande. Danske husholdninger havde således i gennemsnit
pr. familie ved udgangen af 2009 en nettoformue ekskl. pensioner på omkring 800.000 kr.
Medregnes pensionsformuen (efter skat) er tallet 1,1 mio. kr.
8
Trods et markant fald i formuerne i forbindelse med finanskrisen, fremstår husholdningerne
forholdsvist velkonsoliderede set under ét,
jf. figur 3.7a. og 3.7b.
8
Økonomisk Redegørelse,
Finansministeriet, december 2010.
52
Danmarks nationale reformprogram 2011
·
Maj 2011
PDF to HTML - Convert PDF files to HTML files
993975_0059.png
Kapitel 3
Identificering af flaskehalse
Figur 3.7a
Husholdningernes nettoformue
pct. af disp. indkomst
700
600
500
400
300
200
100
0
73
78
83
88
93
98
03
08
pct. af disp indkomst
700
600
500
400
300
200
100
0
Figur 3.7b
Husholdningernes aktiver og passiver
pct. af disp. indkomst
1200
1000
800
600
400
200
0
73
78
83
88
Aktiver
93
98
03
08
pct. af disp. indkomst
1200
1000
800
600
400
200
0
Passiver
Kilde: Danmarks Nationalbank.
Den høje danske boliggæld hænger sammen med, at der i Danmark er både en anden
ejerstruktur og en anden boligfinansieringsstruktur end i en række andre lande. Således er
danske førstegangs boligkøbere relativt unge, og Danmark er blandt de EU lande, hvor den
største andel af unge under 30 år har egen bolig. I 2008 boede 46 pct. af alle 18-34 årige i
EU således hos forældrene, mens dette kun var tilfældet for ca. 14 pct. af de 18-34 årige i
Danmark.
9
Når det er muligt, skyldes det for en stor del den effektive og smidige danske bo-
ligfinansieringsmodel i form af realkreditbelåning,
jf. boks 3.3.
9
Jf. Eurostat: / Marta Choroszewicz, Pascal Wolff:
Population and social conditions,
Statistics in Focus 50/2010, ok-
tober 2010. I Sverige var andelen ca. 18 pct. og i Finland ca. 20 pct. i 2008. I alle andre EU-lande var andelen af
hjemmeboende 18-34-årige 30 pct. eller højere.
Danmarks nationale reformprogram 2011
·
Maj 2011
53
PDF to HTML - Convert PDF files to HTML files
993975_0060.png
Kapitel 3
Identificering af flaskehalse
Boks 3.3
Det danske realkreditsystem
Almindelige ejerboliger kan realkreditbelånes op til 80 pct., og her ud over kan der optages supplerende
banklån. Derfor kræves der mindre forudgående opsparing, end det er tilfældet i en række andre lande,
hvor eksempelvis længere tids opsparing i building societies eller lignende er en forudsætning for boligkøb.
Dansk realkredit er karakteriseret ved en høj grad af gennemsigtighed, sikkerhed og konkurrence. Realkre-
ditsystemet har vist sig modstandsdygtigt og stabilt – også i forbindelse med den senere års finansielle kri-
se. Blandt andet var erfaringen fra 2008 og 2009, at realkreditobligationer forblev likvide selv under unor-
male markedsforhold.
Det hænger sammen med det balanceprincip, der ligger bag realkredittens udlån. Det sikrer, at realkreditin-
stitutter kun i begrænset omfang kan have andet end kreditrisiko. I forbindelse med SDO-lån, som nu udgør
hovedparten af realkreditmarkedet, begrænses kreditrisikoen ved, at LTV (loan to value) løbende skal over-
holde 80 pct.’s belåningsgrænsen.
Det har ligeledes betydning, at realkreditinstituttet har forrang i tilfælde af konkurs og efterfølgende tvangs-
auktion.
Nettoformuen er således forholdsvis høj i et langsigtet historisk perspektiv. Analyser på mi-
kroniveau peger ligeledes på, at det kun er en mindre andel af familierne, der har relativt høj
gæld, og hvis økonomi er meget følsom overfor renteændringer
10
.
Den høje danske bruttogæld i husholdningerne er som nævnt ikke et resultat af den finansiel-
le krise, men skyldes institutionelle forhold i Danmark. OECD sammenlignede i 2007 brutto-
gældsniveauerne for 15 OECD-lande, og danske husholdninger havde i denne analyse den
højeste bruttogæld i forhold til disponibel indkomst i 2005 og også i 1995.11 Danske hus-
holdningers nettoformue, der således også indeholder boligformuen, var set i forhold til di-
sponibel indkomst kun lidt lavere end gennemsnittet, idet et par lande havde en lavere netto-
formue. OECD analysen peger på, at en stor bruttogæld kan øge følsomheden overfor fx ren-
teændringer.
Det er ikke vurderingen, at husholdningernes relativt høje bruttogældsniveau udgør en trussel
for dansk finansiel stabilitet. Erfaringen fra de senere års finansielle krise har været, at det
snarere var erhvervsudlån, der gav problemer i de kreditinstitutter, der i særlig grad blev
ramt.
Det understøttes af, at selv om der i kølvandet på den finansielle krise og de betydelige pris-
fald på ejerboliger har været en stigning i antallet af tvangsauktioner siden 2006, så er ni-
veauet fortsat meget lavt i forhold til starten af 90’erne. Antallet af tvangsauktioner toppede i
marts 2010 og har siden svinget omkring en vigende tendens. Denne udvikling skal blandt
andet ses i lyset af, at ledigheden i dag er væsentlig lavere end tidligere. Også restancerne
på realkreditlån befinder sig fortsat på et lavt niveau, jf.
figur 3.8b.
Boligmarkedet og boligejernes økonomi,
Økonomi- og Erhvervsministeriet, april 2010.
Familiernes økonomi,
Økonomi-
og Erhvervsministeriet, august 2010.
11
Has the rise in debt made households more vulnerable ?,
Working paper no. 535, OECD, januar 2007.
10
54
Danmarks nationale reformprogram 2011
·
Maj 2011
PDF to HTML - Convert PDF files to HTML files
993975_0061.png
Kapitel 3
Identificering af flaskehalse
Figur 3.8a
Tvangsauktioner og arbejdsløshed
Pct.
1000 t vangsauktioner
35
Figur 3.8b
Restanceprocent på realkreditlån
pct .
3,0
2,5
2,0
1,5
pct.
3,0
2,5
2,0
1,5
1,0
0,5
0,0
91
94
97
00
03
06
09
14
12
10
8
6
4
2
0
79 82 85 88 91 94
Tvansaukt ioner
30
25
20
15
1,0
10
0,5
5
0
97 00 03 06 09
Ledighed i pct .
0,0
Kilde: Danmarks statistik og
Økonomisk Redegørelse.
Kilde: For data før 1. januar 2009 er kilden
Realkreditrådet. Herefter er kilden Realkre-
ditrådet og Realkreditforeningen.
Udviklingen på boligmarkedet og i husholdningernes økonomi følges nøje. Nationalbanken
belyser penge- og realkreditinstitutternes tabsprocenter under forskellige risikoscenarier, som
også vedrører husholdningernes forhold.
12
Endvidere har Økonomi- og Erhvervsministeriet i
2010 udgivet to dybdegående analyser
13
om emnet.
Af analysen af boligejernes økonomi fremgår, at hovedparten af boligejerne havde en positiv
nettoformue i 2007, mens godt 11 pct. havde en gæld, der er større end værdien af deres fi-
nansielle aktiver og boliger tilsammen. Disse personer har således en negativ nettoformue,
hvilket også ofte betegnes som teknisk insolvens. Modregner man skønsmæssigt pensions-
formuen, så kan andelen af boligejere med negativ nettoforme forsigtigt anslås til omkring 4
pct. af alle boligejere.
En negativ nettoformue udgør ikke nødvendigvis et problem for den enkelte boligejer så læn-
ge de løbende ydelser, der er knyttet til boligen, kan betales. Disse ydelser er uafhængige af
formueforhold, herunder boligens markedsværdi. En negativ nettoformue kan imidlertid med-
føre tab, hvis man er nødsaget til at sælge sin bolig fx i tilfælde af ændringer i familiens ind-
komstforhold.
Unge boligejere, dvs. boligejere under 45 år, er overrepræsenterede i gruppen med negativ
nettoformue. Dette afspejler, at man som ung er relativ ny på boligmarkedet. De fleste vil
dermed kun i begrænset omfang have afdraget på den boliggæld, som det første boligkøb
normalt er forbundet med. Dette trækker alt andet lige nettoformuen nedad. Med tiden vil ho-
vedparten nedbringe gælden og på lang sigt opleve, at deres bolig stiger i værdi. Således er
Finansiel Stabilitet 2010,
Nationalbanken, maj 2010.
Boligmarkedet og boligejernes økonomi,
Økonomi- og Erhvervsministeriet, april 2010.
Familiernes økonomi,
Økonomi-
og Erhvervsministeriet, august 2010.
12
13
Danmarks nationale reformprogram 2011
·
Maj 2011
55
PDF to HTML - Convert PDF files to HTML files
993975_0062.png
Kapitel 3
Identificering af flaskehalse
personer over 45 år også underrepræsenterede blandt boligejere med negativ nettoformue.
Det forhold, at de yngre er overrepræsenterede blandt boligejere med negativ nettoformue,
mens de ældre er underrepræsenterede, er et mønster, som ikke har ændret sig nævnevær-
digt over tid. Siden 1993 har de 18 til 35-årige således stort set været overrepræsenteret i
samme grad.
Et andet kendetegn ved boligejere med negativ nettoformue er, at langt hovedparten er akti-
ve på arbejdsmarkedet. Godt og vel 85 pct. af boligejerne med negativ nettoformue er i ar-
bejde, mens den tilsvarende andel for samtlige boligejere er 68 pct. Til gengæld er folkepen-
sionister kraftigt underrepræsenterede i gruppen med negativ nettoformue, hvilket som anført
afspejler, at boligejerne med alderen akkumulerer aktiver og nedbringer deres gæld.
De fleste boligejere har kun negativ nettoformue i en kortere årrække. Betragter man således
alle boligejere med negativ nettoformue i 1993, havde kun 53 pct. heraf fortsat negativ netto-
formue fem år senere. Kun 15 pct. af boligejerne med negativ nettoformue i 1993 havde fort-
sat negativ nettoformue i 2007. Denne udvikling afspejler dels, at boligejerne med tiden af-
betaler på deres gæld, og dels at boligpriserne i den pågældende periode er steget.
Isoleret set vil en høj bruttogæld betyde, at husholdningernes økonomi umiddelbart er mere
følsom overfor renteændringer, idet pensionsopsparingen ikke er lige så likvid. Dertil kommer
at en stor del af realkreditlånene er rentetilpasningslån, hvilket øger renteudgifterne renteføl-
somhed. Ultimo 2009 var ca. 60 pct. af realkreditlånene således rentetilpasningslån og ande-
len har været stigende over tid. Følsomhedsberegninger vedrørende renteniveauet viser, at
en rentestigning på 1 pct.-point vil øge medianboligejernes renteudgifter som andel af ind-
komsten med 1,4 pct.-point
14
,
jf. tabel 3.3.
15
Dette skal ses på baggrund af, at husholdninger-
nes disponible realindkomster i årene 2010-2012 forventes at vokse med hhv. 5,8, 1,6 og 0,5
pct
16
. Afhængig af de specifikke omstændigheder kan rentefølsomheden udgøre et problem
for nogle husholdninger, men samtidig vil rentebevægelserne typisk være konjunkturmodlø-
bende og dermed bidrage til at afskærme de disponible indkomster under et tilbageslag. Det
er desuden kun 9 pct. af husholdningerne, der har høje renteudgifter defineret som en rente-
udgiftsandel i forhold til bruttoindkomsten på mere end 20 pct.
Boligmarkedet og boligejernes økonomi,
Økonomi- og Erhvervsministeriet, april 2010. Det anføres i artiklen, at der
anvendes bruttorenteudgifter og bruttoindkomst for at sikre større konsistens over tid samt sammenlignelighed
med andre analyser. Det er vurderingen, at det i forhold til rentefølsomhedsberegningen er uden betydning, om
der anvendes brutto- eller nettobegreber.
15
Analysen er gennemført på en stikprøve på 3,3 pct. af befolkningen i 2007. Størrelsen af husholdningernes bo-
liggæld og samlede renteudgifter kendes, men datagrundlaget indeholder ikke oplysninger om lånetyper, restløbe-
tider samt renter på de enkelte lån i husholdningerne. Den forventede effekt af renteændringer er derfor modelle-
ret ved hjælp af et såkaldt Monte Carlo eksperiment. I 50 på hinanden følgende simulationer udtrækkes tilfældigt
100.000 boligejere, som tilfældigt tildeles hhv. fastforrentede og variabelt forrentede boliglån. Husholdningernes
renteudgifter genberegnes derefter givet forskellige antagelser om rentestigningernes størrelse. Der er gennemført
følsomhedsberegninger vedr. antallet af simulationer, antallet af udtrukne boligejere samt antagelser om restgæl-
dens fordeling på hhv. fast og variabelt forrentede lån.
16
Økonomisk Redegørelse, december 2010.
14
56
Danmarks nationale reformprogram 2011
·
Maj 2011
PDF to HTML - Convert PDF files to HTML files
993975_0063.png
Kapitel 3
Identificering af flaskehalse
Tabel 3.3
Effekt af rentestigninger på renteudgifternes andel af indkomsten, fordelt efter lånetype
Fordeling af lånetyper (pct.)
Rentetilpasnings lån
20
40
50
60
80
Fast
forrentede lån
80
60
50
40
20
+ 0,5
Ændring i renten (pct.- point)
+ 1,0
+ 1,5
+ 2,0
Effekt på renteudgifter ift. bruttoindkomst (pct. point)
0,4
0,6
0,6
0,7
0,9
0,8
1,1
1,2
1,4
1,7
1,2
1,6
1,8
2,1
2,6
1,5
2,1
2,4
2,7
3,4
Anm.: Figuren angiver ændringen i renteudgifterne i procent af indkomsten (procentpoint) ved en rente-
stigning på hhv. �½, 1, 1�½ og 2 procentpoint givet forskellige fordelinger af fast forrentede lån og
rentetilpasningslån. Den grå markering indikerer den anvendte fordeling mellem fast og variabelt
forrentede lån svarende til gennemsnittet i Danmark. Beregningerne er foretaget på baggrund af
Monte Carlo-simulationer.
Kilde: Egne beregninger på Lovmodellen.
Andelen af husholdninger (dvs. både boligejere og -lejere) med nettogæld har været faldende
i perioden fra 1997 til 2008, som er det seneste år, der foreligger tal for
17
. Andelen med høj
nettogæld, dvs. mere end 200.000 kr. pr. person, har været stort set konstant i perioden.
Samtidig er der en betydelig mobilitet ud af gruppen, som har relativt høj nettogæld. Med ud-
gangspunkt i gruppen af husholdninger med relativt høj nettogæld i 1997 var det efter 3, 5, 8
og 11 år kun henholdsvis 38, 32, 29 og 23 pct., der fortsat havde høj gæld.
Den danske regering arbejder på en række indsatsområder der sigter mod at øge stabiliteten
på boligmarkedet. Økonomi- og erhvervsministeren har således annonceret tre initiativer med
sigte på yderligere at styrke boligfinansieringens stabiliserende egenskaber.
For det første nedsættes der en arbejdsgruppe om SDO-lån og supplerende sikkerhedsstil-
lelse. Formålet er at se nærmere på effekterne af kravet om løbende overholdelse af loan-to-
value grænsen på 80 pct. og herunder også sammenhængen til lånegrænser for realkreditlå-
neprodukter.
For det andet tilskyndes branchen til at intensivere arbejdet med en spredning af refinansie-
ringsauktionerne over obligationer til finansiering af variabelt forrentede lån, som traditionelt
har fundet sted i begyndelsen af december hvert år.
For det tredje indledes en dialog med realkreditbranchen om sikring af den gode kunderåd-
givning. Særligt i forhold til førstegangskøbere er udgangspunktet for god rådgivning, at kre-
ditvurderingen af kunden skal baseres på et traditionelt, fastforrentet realkreditlån.
17
Familiernes økonomi,
Økonomi- og Erhvervsministeriet, august 2010.
Danmarks nationale reformprogram 2011
·
Maj 2011
57
PDF to HTML - Convert PDF files to HTML files
993975_0064.png
Kapitel 3
Identificering af flaskehalse
I den forbindelse konstateres det, at Finanstilsynets undersøgelse af pengeinstitutternes råd-
givning viser, at alle de undersøgte pengeinstitutter stiller betingelse om, at kunden har råd til
at afdrage på et fastforrentet obligationslån, uanset hvilket lån, kunden ønsker at optage.
En del af grundlaget for den fremadrettede vurdering af kunderådgivningens kvalitet vil være
en analyse af demografisk og socioøkonomisk fordeling af bevilligede lånetyper. Det er vur-
deringen, at den risiko, der knytter sig til boligejernes bruttogæld, kan være ujævnt fordelt.
Der er behov for en nærmere kortlægning af denne risiko, og der lægges op til at en sådan
kortlægning udarbejdes i det kommende år.
58
Danmarks nationale reformprogram 2011
·
Maj 2011
PDF to HTML - Convert PDF files to HTML files
993975_0065.png
Kapitel 3
Identificering af flaskehalse
Boks 3.4
Den aktuelle situation i den finansielle sektor i Danmark
Det er regeringens vurdering, at de danske kreditinstitutter er godt på vej ud af den finansielle krise, der i
2008 ramte bankerne verden over.
Danmarks Nationalbank skriver i den seneste stresstest (november 2010) følgende: ”Den danske finansielle
sektor vurderes som helhed at have tilstrækkeligt med kapital og likviditet i det forventede økonomiske sce-
nario” Om kapitalforholdene hedder det ”Institutterne fremstår generelt tilstrækkeligt kapitaliserede til at
imødegå den forventede økonomiske udvikling. Der afspejler, at institutterne de seneste år har haft fokus
på at forbedre deres kapitalforhold.... De makroøkonomiske udsigter er endvidere forbedret.” Og om likvidi-
tetsforholdene: ”Samlet set er likviditeten i danske pengeinstitutter forbedret siden lavpunktet under den fi-
nansielle krise....Institutterne skal derfor ruste sig til at hente finansiering uden statsgaranti, samtidig med at
de aktuelle positive udviklingstræk i form af flere lange udstedelser og mindsket finansiering fra kreditinsti-
tutter fastholdes.”
Danmark var blandt de første lande i EU, som var klar med en permanent afviklingsordning for nødlidende
pengeinstitutter, der afløser den midlertidige kriseordning. Den danske afviklingsordning ligger tæt op ad de
overvejelser, som Kommissionen og G-20 landene gør sig om harmonisering af kriselovgivningen. Kommis-
sionen understreger, at bankernes aktionærer og kreditorer, herunder store indskydere, fremadrettet skal
være klar over, at det er dem, der står for, hvis en bank bliver nødlidende. Skatteyderne bør ikke stå i forre-
ste linje med hensyn til dækning af tab i banker.
Modellen for håndtering af nødlidende banker bygger på, at Finansiel Stabilitet A/Ss overtagelse af institut-
tet er en sidste udvej, som først kommer i betragtning, hvis det ikke lykkes at finde en privat løsning. I så
fald er en afvikling i regi af Finansiel Stabilitet A/S et bedre alternativ til en konkursafvikling, idet kunder og
kreditorer sikres en langt hurtigere og mere smidig behandling. (Finansiel Stabilitet A/S er det statslige sel-
skab til håndtering af nødlidende pengeinstitutter, som blev oprettet som led i Bankpakke I og videreført i
medfør af Bankpakke III).
Afviklingsordningen for håndtering af nødlidende pengeinstitutter kom i anvendelse med Finansiel Stabilitet
A/Ss overtagelse af Amagerbanken, hvor det ikke lykkedes at finde en privat løsning. Modellen viste sig vel-
fungerende.
Nationalbankdirektøren udtalte i den forbindelse, at ”Amagerbankens langstrakte sårbare situation og ende-
ligt som selvstændigt pengeinstitut ændrer ikke ved Nationalbankens generelle opfattelse af det finansielle
systems styrke. Den finansielle sektor som helhed vurderes fortsat at have tilstrækkeligt med kapital og li-
kviditet som udviklingen i dansk økonomi tegner sig.”
Det har været fremført, at Amagerbankens kollaps har medvirket til en nedjustering af en række danske
pengeinstitutters rating. I forbindelse med nedjusteringen udtalte Nationalbankdirektøren ”Moody’s har ned-
justeret en række danske pengeinstitutters rating. Det måtte komme som en logisk konsekvens af Bank-
pakke 3, der har været i kraft siden 1. oktober 2010.... De samlede virkninger af Bankpakke 3 vil medvirke til
at skabe et mere robust og selvbærende finansielt system, som tager færre risici.”
Den årlige vækstundersøgelse
Kommissionen har i den årlige vækstundersøgelse opfordret til, at offentlig støtte til den fi-
nansielle sektor som helhed trækkes gradvist tilbage, hvilket Danmark generelt er tilhænger
af og hvilket bl.a. er blevet imødekommet med udløbet af den generelle statsgarantiord-
Danmarks nationale reformprogram 2011
·
Maj 2011
59
PDF to HTML - Convert PDF files to HTML files
993975_0066.png
Kapitel 3
Identificering af flaskehalse
ning (Bankpakke I) d. 30. september 2010. Herudover har Danmark vedtaget og implemente-
ret en sektorfinansieret afviklingsordning for nødlidende pengeinstitutter (Bankpakke III), hvor
pengeinstitutter afvikles uden omkostninger for skatteyderne. Ordningen blev anvendt i for-
bindelse med sammenbruddet i Amagerbanken.
Kommissionen har i den årlige vækstundersøgelse understreget, at den europæiske bank-
sektor fremover vil blive underlagt strengere kapitaldækningskrav som led i implementeringen
af Basel III i EU. Dette er i tråd med Danmarks Nationalbanks betragtninger om behovet for
en fortsat styrkelse af kapital Kommissionen har i den årlige vækstundersøgelse opfordret til,
at offentlig støtte til den finansielle sektor som helhed trækkes gradvist tilbage, hvilket Dan-
mark generelt er tilhænger af og hvilket bl.a. er blevet imødekommet med udløbet af den ge-
nerelle statsgarantiordning (Bankpakke I) d. 30. september 2010. Herudover har Danmark
vedtaget og implementeret en sektorfinansieret afviklingsordning for nødlidende pengeinsti-
tutter (Bankpakke III), hvor pengeinstitutter afvikles uden omkostninger for skatteyderne.
Ordningen blev anvendt i forbindelse med sammenbruddet i Amagerbanken.
Kommissionen har i den årlige vækstundersøgelse understreget, at den europæiske bank-
sektor fremover vil blive underlagt strengere kapitaldækningskrav som led i implementeringen
af Basel III i EU. Dette er i tråd med Danmarks Nationalbanks betragtninger om behovet for
en fortsat styrkelse af kapitalbasen i de danske pengeinstitutter, og regeringen støtter intenti-
onerne i CRD IV.
Arbejdet med en yderligere ensretning af stress tests af sektorens modstandsdygtighed er
vigtigt, både i denne forbindelse og i arbejdet med implementeringen
af direktivet om livsfor-
sikring og adgang til og udøvelse af forsikrings- og genforsikringsvirksomhed
(solvens II).
Regeringen er ligeledes positiv overfor bestræbelserne på at skabe en fælles europæisk
ramme for finansiel krisehåndtering, i lighed med den allerede gennemførte danske model for
afvikling af nødlidende pengeinstitutter, jf.
boks 3.4.
60
Danmarks nationale reformprogram 2011
·
Maj 2011
PDF to HTML - Convert PDF files to HTML files PDF to HTML - Convert PDF files to HTML files
993975_0068.png
Kapitel 4
62
Danmarks nationale reformprogram 2011
·
Maj 2011
PDF to HTML - Convert PDF files to HTML files
993975_0069.png
Kapitel 4
4.
Nyt kapitel
Deltagelse, kommunika-
tion og identificering af
good practice
I Danmark er der nedsat et kontaktudvalg med repræsentanter fra relevante
ministerier og interesseorganisationer, der løbende holdes orienteret om euro-
papolitiske spørgsmål af relevans for Europa 2020-strategien, og som høres i
forbindelse med udformningen af de Nationale Reformprogrammer. Folketinget
er også blevet løbende inddraget og orienteret om drøftelserne af både Europa
2020-strategien og de Nationale Reformprogrammer.
I forlængelse af Lissabon-strategiens vedtagelse besluttede Regeringen i 2001 at nedsætte
et kontaktudvalg for Lissabon-strategien. Hensigten var at skabe en platform for en mere sy-
stematisk og koordineret udveksling af informationer og synspunkter mellem relevante mini-
sterier, regionale og lokale myndigheder samt interesseorganisationer vedrørende den sam-
lede Lissabon-proces. Sammensætningen af Kontaktudvalget fremgår af boks 4.1.
Danmarks nationale reformprogram 2011
·
Maj 2011
63
PDF to HTML - Convert PDF files to HTML files
993975_0070.png
Kapitel 4
Deltagelse, kommunikation og identificering af good practice
Boks 4.1
Medlemmer af Kontaktudvalget
3F
Akademikernes Centralorganisation
Arbejderbevægelsens Erhvervsråd
Børnerådet*
Dansk Arbejdsgiverforening
Dansk Energi
Dansk Erhverv
DI – Organisation for Erhvervslivet
Dansk Metal
Dansk Ungdoms Fællesråd
Danske Handicaporganisationer
Danske Regioner
Det Økologiske Råd
EAPN.DK – European Anti Poverty Network*
FTF
Fødevareforbundet
Greenpeace
HK
Håndværksrådet
Ingeniørforeningen IDA
IT-branchen
Kommunernes Landsforening
Kvinderådet*
Landbrug & Fødevarer
Lederne
LO
Rådet for Socialt Udsatte*
SALA
WWF – Verdensnaturfonden
Anm.: * nye medlemmer pr. februar 2011. Kontaktudvalget består af ikke-offentlige organisationer. Kon-
taktudvalget består endvidere af en række ministerier og styrelser samt regionale og lokale myndighe-
der, som alle har berøring med Europa 2020-strategien.
Med overgangen til Europa 2020-strategien er der tilført et øget fokus på den sociale dimen-
sion af vækstdagsordenen. På den baggrund er Kontaktudvalget blevet udvidet med en ræk-
ke organisationer, som repræsenterer det sociale område (se boks 4.1).
Kontaktudvalget er gennem årene blevet inddraget i Lissabon-strategiens udmøntning. Kon-
kret inddrages Kontaktudvalget ved, at udvalgets medlemmer løbende holdes orienteret om
aktuelle europapolitiske emner af relevans for Lissabon- og Europa 2020-strategien, udform-
ningen af de Nationale Reformprogrammer eller i forbindelse med revisioner af strategien og
inddrages i forbindelse med den årlige drøftelse af strategien på forårstopmødet i Det Euro-
pæiske Råd (se boks 4.2).
64
Danmarks nationale reformprogram 2011
·
Maj 2011
PDF to HTML - Convert PDF files to HTML files
993975_0071.png
Kapitel 4
Deltagelse, kommunikation og identificering af good practice
Boks 4.2
Møder i kontaktudvalget i forbindelse med Europa 2020-strategien
28. januar 2010 (forberedelse af dansk høringssvar)
16. marts 2010 (optakt til forårstopmødet)
27. maj 2010 (optakt til Det Europæiske Råd)
1. juli 2010 (afrapportering fra Det Europæiske Råd)
3. september 2010 (foreløbige Nationale Reformprogram)
11. oktober 2010 (møde med EU-Kommissionen om det foreløbige Nationale Reformprogram)
22. februar 2011 (forberedelse af det endelige Nationale Reformprogram)
15. april 2011 (overordnet præsentation af det endelige Nationale Reformprogram)
Kontaktudvalget har sikret en national forankring hos de væsentligste interessenter og aktø-
rer, herunder hos både interesseorganisationer og hos statslige, regionale og lokale myndig-
heder. Desuden har kontaktudvalget styrket beslutningsgrundlaget for arbejdet. Inddragelsen
er sket på både formelt og uformelt plan, hvilket har skabt en god mulighed for en løbende
dialog. Samtidig får medlemmerne af Kontaktudvalget en direkte kanal til beslutningsproces-
sen, hvilket skaber både gennemsigtighed, indflydelse og overblik.
Kontaktudvalget er fra starten blevet inddraget i forbindelse med udarbejdelsen af Danmarks
Nationale Reformprogram 2011, herunder både i forbindelse med det foreløbige og det ende-
lige program. Denne inddragelse fastholdes fremover, hvor Kontaktudvalget udover arbejdet
med reformprogrammet løbende vil sætte fokus på status for udmøntningen af de enkelte fo-
kusområder af strategien. Dette fungerer således som en overligger i relation til de ressort-
specifikke drøftelser, som finder sted i EU-specialudvalgene og indenfor rammerne af den
danske EU-beslutnings-procedure.
Foruden Kontaktudvalget er også Folketinget blevet løbende inddraget og orienteret om drøf-
telserne af både Lissabon- og Europa 2020-strategien. Som led i EU-beslutningsproceduren
inddrages Folketingets Europaudvalg altid, når Europa 2020-strategien er på dagsordenen i
de enkelte EU-rådsformationer samt i Det Europæiske Råd. Folketingets Europaudvalg af-
holdt ligeledes i maj måned 2010 en særskilt høring om Europa 2020-strategien. Folketinget
vil også fremadrettet blive holdt løbende orienteret, herunder om de Nationale Reformpro-
grammer.
Endelig er Danmarks Nationale Reformprogram hvert år blevet fremsendt til adskillige udvalg
i Folketinget forud for afleveringen til Kommissionen.
Danmarks nationale reformprogram 2011
·
Maj 2011
65
PDF to HTML - Convert PDF files to HTML files PDF to HTML - Convert PDF files to HTML files
993975_0073.png
Danmarks Nationale Reformprogram 2011
Maj 2011:13
Henvendelse om udgivelsen
kan ske til:
Finansministeriet
Christiansborg Slotsplads 1
1218 København K
Telefon 33 92 33 33
E-mail
[email protected]
www.fm.dk
ISBN elektronisk publikation
978-87-92727-26-8
Omslag BGRAPHIC
Publikationen kan hentes på
www.fm.dk
PDF to HTML - Convert PDF files to HTML files
993975_0074.png