Udvalget for Videnskab og Teknologi 2008-09
UVT Alm.del Bilag 170
Offentligt
696113_0001.png
696113_0002.png
696113_0003.png
696113_0004.png
696113_0005.png
696113_0006.png
696113_0007.png
696113_0008.png
696113_0009.png
Typosquattingafdk‐domæner2009
Forord
DetteerdenførsterapportfraSTOP‐tpsomtyposquattingafdk‐domæner.Rapportenerdelsbaseretpåoplysningerudledtafvoresanalyserafkonkretedomæner,delspåinformationer,viharindsamlettilbrugfornetopdennerapport.Dernævnesidetfølgendeenrækkeeksemplerpådomæner,dererudsatfortyposquatting.Dissetyposquattingtilfældeeralleverificeredepåtidspunktetforrapportensfrigivelse.Detervigtigtforosatpointere,atdet,atviviserdepågældendetilfældeaftyposquatting,alenehartilformålatillustrereproblemetsomfang.Depågældendedomænererudvalgt,fordideharstoroffentliginteresse.Rapportensindholdogkonklusionermåciteresmedtydeligkildeangivelse,ligesomlinkstilrapportenertilladt.Rapporteneralenevejledende.Idetomfangrepræsentanterforpressenønskeratverificeredeirapportenoplystetal,kandertilenhvertidretteshenvendelsetilSTOP‐tpsforaftaleherom.Gedved,den1.juni2009LarsGosvig,IndehaverTelefon:25378757Mail:lars.gosvig@stop‐tps.dk
OmSTOP‐tps
STOP‐tpservoresforkortelseforSTOPTyposquatting.Navnetervalgtfornetopatundgå–ja–typosquatting.Voresspecialeeratafdækkeometdomæneerudsatfortyposquatting.Hvisvikonstaterer,atetdomæneerangrebet,kanvibiståregistrantenmedatfåstoppetkrænkelsenogfåslettettyposquatterensdomæner.Læsmerepåwww.stop‐tps.dk.
Indhold
Hovedkonklusioner.........................................................side2Hvadertyposquatting....................................................side3Datagrundlag..................................................................side3Omfang...........................................................................side4Eksempler.......................................................................side5Klagesystemet.................................................................side6Konsekvenser..................................................................side7Afrunding........................................................................side8
�STOP‐tps–citatertilladtmedtydeligkildeangivelse
Side1
HovedkonklusionerDendanskedelafinternetteterramtafmindst20.000tilfældeaftyposquattingsvarendetilca.2%afalleregistrerededk‐domæner.Deterikkemuligtatsætteetpålideligttalpå,hvaddedanskedomæneregistrantertabervedtyposquattingen,menderersandsynligvistaleomettocifretmillionbeløb.Særligtramterdomænerindenformedier,internethandel,finansogforsikringsamtrejsebranchen,menderforekommertyposquattingafdomænerindenforallesektorer.Dersesentydeligsammenhængmellemetdomænesplaceringpåoffentliggjortebesøgsstatistikkerogantalletaftyposquattingtilfældeafdomænet.Antalletaftilfældeaftyposquattingafdeenkeltedomænervariererfraéttilover40.Ottepersoner/virksomhederharregistreretmereend84%afdetsamledeantaltyposquatdomæner,svarendetilover16.000domæner.Denmestaktivetyposquatterafdendanskedelafinternettetharregistreretover6.300dk‐domæner.LangtstørstepartenafdekendtetilfældeaftyposquattingharoprindelseiUSA,DanmarkogTyskland.KlagenævnetforDomænenavneogDK‐Hostmasterhartilsammenindenfordeseneste12månederbehandletca.800klagerovertyposquatting.IaltharDK‐Hostmasterbehandlet1.132klagerovertyposquatting.Herafer183domæner–efterathaveværetslettet–pånyblevetregistreretaftyposquattere.STOP‐tpsviserirapportenkonkreteeksemplerpåtyposquattingafbl.a.Kongehuset,TV2ogDK‐Hostmaster.
�STOP‐tps–citatertilladtmedtydeligkildeangivelse
Side2
Hvadertyposquatting
Typosquatting(typo=fejltastning,squatting=husbesættelse)handlerom,atnogensystematiskregistrererdomænenavne,derpånæretbogstavellertoligneretdomænenavn,deralleredeeksisterer.Nårenbesøgendeherefterskriverdetforkertedomænenavniadresselinjenføreshanellerhuntilenwebside,hvorregistrantenafdetforkertedomænenavntjenerpengepåbesøgetpåsiden.Derafkommerbetegnelsendomænesnylterforenpersonellervirksomhed,derbegiversigafmedtyposquatting.Idagligtaleomtalestyposquattingoftesom”slåfejl”,menennærmereanalyseviser,atdemetoder,typosquatterneanvender,ermereavancerede.STOP‐tpsinddelermetoderneifølgende.

Tastefejl

Veddennemetodesatsertyposquatterenpå,atdenbesøgendebegårsimpletastefejlvedentenatrammeenenkeltforkert”nabotast”,undladeetenkeltbogstavidomænetellerindsætteetenkelt”logisk”tegn,eksempelvisenbindestreg.Typosquatterensatserpå,atdenbesøgendeikkekenderdenkorrektestavemådefordomænet,eksempelvisat”eks”blivertil”x”.Mangedomænerindeholderordellerelementerafordfraandresprogenddansk.Veddissesatsertyposquatterenpå,atdenbesøgendeskriverordetpådanskistedetforeksempelvisengelsk–elleromvendt.Ideflestebrowsereerdetikkenødvendigtattilføje”www.”istartenafdetdomæne,derskalbesøges.Typosquatterenudnytter,atdenbesøgendeskriver”www”‐altsåglemmerpunktum‐ogatbrowserenhereftersenderdenbesøgendetileksempelviswwwdanmark.dk.Mangevirksomhederogorganisationererkendtunderflerenavneellerudtryk.Typosquatterenregistrererdisse,hvisvirksomhedenellerorganisationenikkeselvharsørgetherfor.Nogleafdeovennævntemetodererformeltsetikketyposquatting–mennærmerecybersquatting,dererenmerebredformfordomænesnylteriendtyposquatting.

Stavefejl

Sprogfejl

Start‐og

endelsesfejl

Binavnefejl

Datagrundlag

1.Analyser

Datagrundlagetfordennerapportbeståraffølgendeelementer:STOP‐tps’sanalyserbestårafenlangrækkealgoritmersomskaber”afledninger”afetkonkretdomæne.Enafledningerenalternativstavemådeafetdomæne,eksempelviser”stoptps”enafledningaf”stop‐tps”.ForennærmerebeskrivelseafSTOP‐tps’steknikhenvisestilvoreswebsite.Alleafledningertestesherefterved,atderforetagesetopslagpådenpågældendeadresse.Hvisdermodtagessvarfraenserver,registreresdomænetsomaktivt.

2.Klager

behandletaf

DK‐Hostmaster

DK‐Hostmasteroffentliggørpåadressenhttp://www.dk‐hostmaster.dk/index.php?id=272enlisteoverallededomæner,hvorderertruffetafgørelseihenholdtilspecialregleniDK‐Hostmastersgenerellebetingelser.STOP‐tpsharanalyseretomdissedomænererregistreredeogherefterhvem,derigivetfalderregistrant.Side3
�STOP‐tps–citatertilladtmedtydeligkildeangivelse

3.Domæner

registreretaf

typosquattere

GennemSTOP‐tps’sanalysererdannetenlisteoverpersonerogvirksomheder,somindiskutabeltforetagertyposquatting.DennelistehardannetgrundlagforenmanueludsøgningviaDK‐Hostmasterswhois,hvordetermuligtatforetageetopslag,derviserallededomæner,engivenregistrantharregistreret.
Omfang
Listenoverdomæner,registreretafkonstateredetyposquattere,indeholderpåtidspunktetforredaktionensafslutning20.044domæner,dissedomænererregistreretaf45virksomheder/personer.Enmindredelafdissedomæner–ogreeltkunderegistreretafdanskeregistranter–kanikkeansessomtyposquattingmenerblotregistreringaf”godedomæner”.Ottetyposquattereharregistreretmereend500domæner.Disseottesregistreringerudgørtilsammen16.748domæner,svarendetilmereend84%afdetsamledeantaldomæner.SaintKittsandNevis0,96%Anguilla0,24%Brasilien0,60%HongKong1,04%Anonym2,75%
Grafikkenviserandelenafderegistrerededomænerfordeltpåallekendteoprindelseslande.Detfremgår,atlangdenstørstedelaftyposquat‐tingenafdendanskedelafinternettetharoprind‐elseiUSA,DanmarkogStorbritannien
USA48,08%Danmark21,39%
Sverige0,15%Norge0,47%Polen0,13%Georgien0,01%Ukraine1,44%Tjekkiet5,66%Tyskland3,46%Storbritanien12,02%Holland0,02%Luxembourg1,18%Østrig0,38%
Detharikkeværetmuligtatfindevalideoplysningerom,hvadtyposquatteretjenerveddepågældendesaktiviteter.MålgruppeGenerelterallehøjprofildomænerudsatfortyposquattingietbetydeligtomfang.Højprofildomænerertypiskvirksomhederindenformedier,internethandel,finansogforsikringsamtrejsebranchenmedmereend30‐50.000ugentligebesøgende.Deternærliggendeatantage,attyposquatterneanvendermedlemslisternefraforskelligeorganisationersomFDIM,FDIHogFinansrådetforatfindemuligedomænerattyposquatte.Dersesenentydigsammenhængmellemetgiventdomænesplaceringpåoffentliggjortetrafikmålingerogantalletaftyposquattingtilfældeafdetpågældendedomæne.Dentypiskevirksomhedindenfordennesektorerikkeunormaltudsatfor25–30tilfældeaftyposquatting,idetderseseksemplermedheltoptil50tilfældeaftyposquattingafetdomæne.Idenneforbindelseeretdomænesalfabetiskelængdeenbetydendeparameter.Isagensnaturkanderdannesflerelogiskeafledningerafetlangtdomæneendafetdomæne,somkunbeståraf3–5karakterer.
�STOP‐tps–citatertilladtmedtydeligkildeangivelse
Side4
Detteerdogikkeensbetydendemed,atvirksomheder,organisationermv.meddomæner,derikkeomfattesafdefinitionenpåhøjprofildomæner,ikkeerudsatfortyposquatting.Antalletaftyposquattingtilfældeerdogikkenærsåstort.Såveldenprivatesomoffentligesektorerudsatfortyposquatting,ligesomforeningerogandreorganisationerkanfindesigselvblandttyposquatternesmål.
Eksempler
DefølgendeeksemplerpåtyposquattingeralleskabtvedbrugafSTOP‐tps’sanalysesystem.Dererkuntaleomeksempler–ikkegengivelseafdefuldstændigeresultaterafkørslerne.Udoverdenævntedomænerharkørslerneresulteretienrækkeyderligeredomæner,hvorregistreringenoganvendelsenafdomænerneikkeentydigtkanansessomtyposquatting.borger.dk:danmark.dk:folketinget.dk:socialdemokraterne.dk:venstre.dk:dk‐hostmaster.dk:forbrug.dk:forbrugerraadet.dk:domstol.dk:statstidende:trafikken.dkkongehuset.dk:tv2.dkogbinavnehertil:wwwborger.dkogborgere.dkdanmakr.dk,anmark.dk,danamrk.dkogwwwdanmark.dkfolketinge.dk,foletinget.dkogfolktinget.dksocialdemokrater.dkvenste.dk,venstra.dk,venster.dkdkhostmater.dkforburg.dkogforbug.dkforbrugerraedet.dkwwwdomstol.dk,domstil.dk,domtol.dk,domstolen.dk,domstole.dk,domto.dkogdumstol.dkstatstiden.dk,statstidne.dk,stattidende.dk,statstiende.dkogstatstidene.dktrafikk.dk,trafiken.dk,traffikken.dk,trakikken.dk,trfikken.dk,wwwtrafikken.dkogtraffiken.dkkongahuset.dk,kogehuset.dk,ogkonghuset.dkbastatv2.dk,boxtv2.dk,danstv2.dk,finanstv2.dk,godmorgendanmarktv2.dk,godmorgentv2.dk,gomorgendanmarktv2.dk,gomorgentv2.dk,jultv2.dk,kesslertv2.dk,milliontv2.dk,morgentv2.dk,nyhdernetv2.dk,opskriftertv2.dk,rtv2.dk,sporttv2.dk,sputniktv2.dk,station2tv2.dk,strejketv2.dk,ttv2.dk,tv20j.dk,tv2easr.dk,tv2est.dk,tv2gossip.dk,tv2new.dk,tv2nyheder.dk,tv2rejser.dk,tv2spil.dk,tv2‐spil.dk,tv2sprt.dk,tv2tour.dk,tv2vejeret.dk,tv2vejert.dk,tv2vejr.dk,vejerettv2.dk,vejerttv2.dk,vejrtv2.dk,verettv2.dk,viptv2.dk,wwtv2.dk,wwwtv2east.dk,wwwtv2fyn.dk,wwwtv2nord.dk,wwwtv2oj.dk,wwwtv2spil.dk,wwwtv2sport.dkogwwwtv2vejret.dkostdanmark.dk,poatdanmark.dk,podtdanmark.dk,postanmark.dk,postdabmark.dk,postdammark.dk,postdanark.dk,postdanmaek.dk,postdanmard.dk,postdanmarl.dk,postdanmmark.dk,postddanmark.dk,postsanmark.dk,potdanmark.dk,psotdanmark.dk,pstdanmark.dk,postdanmak.dk,postdanmakr.dk,postdanmerk.dk,postdanmrk.dk,postdanmsrk.dkogpostdannmark.dk
postdanmark.dk:
�STOP‐tps–citatertilladtmedtydeligkildeangivelse
Side5
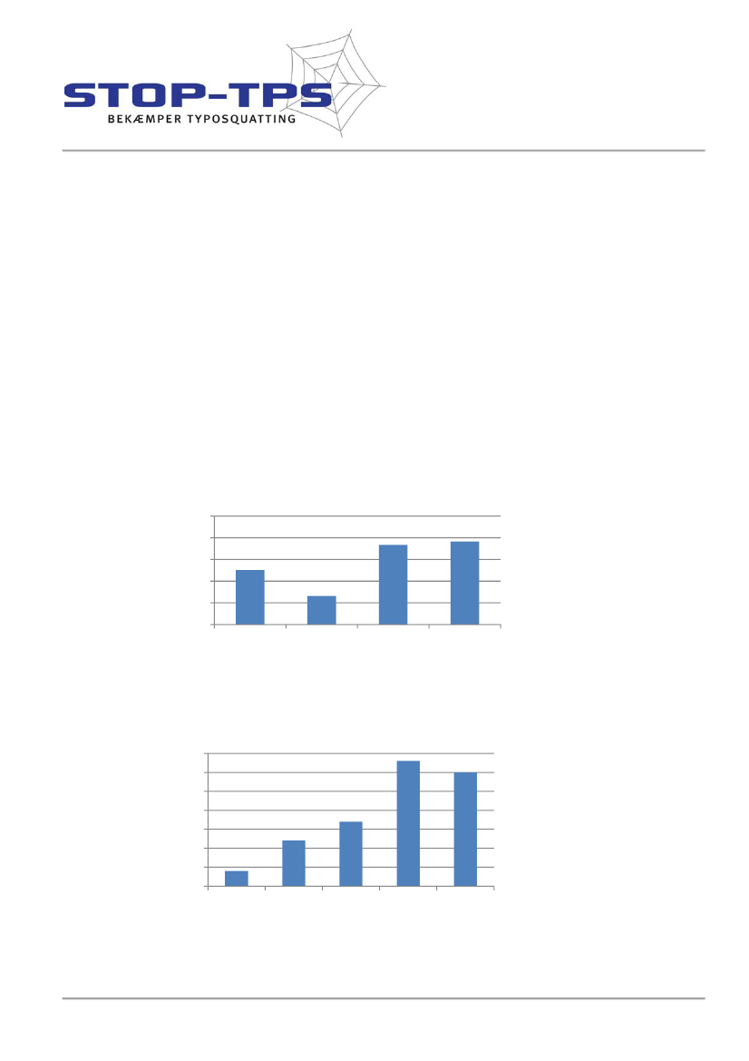
KlagesystemetIhenholdtilDK‐HostmastersgenerellebetingelserkanDIFO´sbestyrelsesformandogDKHostmastersadministrerendedirektørienighedsuspendereetdomænenavn,hvisdeteråbenbart,atdomænenavnetaktivtanvendestilnogetulovligt.Detteviliforholdtiltyposquattingsige,at:1. Enfejltastningskalføretil,ateninternetbruger,dersøgerdenkrænkedesdomænenavn,kommerindpåtyposquat‐domænetshjemmeside2. Typosquatterenhverkenharnavne‐,vare‐ellerandrekendetegnsrettighedertildetanmeldtedomænenavn3. Typosquatterenskalhaveforetagetflereregistreringerafdomænenavnepåsammemåde.VedklagensmodtagelseorientererDK‐Hostmasterregistrantenafdetomtvistededomæneogmeddeler,atdenneskalgodtgøresinerettighedertildomænetindenfortredage.HereftertræfferDK‐Hostmasterbeslutningomentenatafvisesagenellersuspenderedomænet.Domæneterhereftersuspenderetifireuger,hvorsagenkanindbringesforKlagenævnetforDomænenavnemedDK‐Hostmastersomindklagetpart.IndbringessagenikkeforKlagenævnet,slettesdomænetnårfristenerudløbet.Nårdomæneterslettet,givesdet”frit”ogkanregistrerespåny.Pr.1.juni2009havdeDK‐Hostmastertruffetafgørelsei1.132sager.50040030020010002.halvår20071.halvår20082.halvår20081.halvår2009251131367383Diagrammetviserantalletafadministrativtafgjortesagervedrørendetyposquatting
Antalletafadministrativeklagerliggertemmeligstabiltdesidstetohalvår.Detsamledeantalklagerskalnaturligvissesisammenhængmedklagerovertyposquatting,derindbringesforKlagenævnetforDomænenavne:3530252015105012420052006200720081.halvår2009173330DiagrammetviserantalletafklagerbehandletafKlagenævnet,hvorkendtetyposquattereharværetpartisagen
�STOP‐tps–citatertilladtmedtydeligkildeangivelse
Side6
Statusfordedomæner,hvorDK‐Hostmasteradministrativtharbehandletenklageer:
Registreretaftyposquatter183
Åbneforregistrering739
Registreretafandre210
Figurenviserstatuspådedomæner,hvorDK‐Hostmasterharbehandletenadministrativklageovertyposquatting.
Særligtrelevantidenneforbindelseerantalletafdomæner,somfortsaterregistreredeaftyposquattere.Detmålæggestilgrund,atenbetydeligdelafdevirksomhederogorganisationer,somharklagetoveretkrænkendedomæne,ikkeerklarover,atmedholdiklagenikkeerensbetydendemed,atdomænettagesudafcirkulation.Isåfaldvilleandelenafdomæner,dervarregistreretafandreendtyposquattere(typiskdenretmæssigeregistrant),sandsynligvisværestørre.
Konsekvenser
Typosquattingkrænkerførstogfremmestderetmæssigemærkeindehaveresrettighedertildomænetogdetteskendetegnogstriderdermedmodbådevaremærkelovenoginternetdomæneloven.Konsekvensenforderetmæssigemærkeindehaverekanværetabafgoodwill,kunderogforøgedeomkostninger.Derfindesfornuværendeingenpålideligeanalyserafomkostningerneforderetmæssigeregistranterudover,atdomstoleneinoglefåsagerharskulletforetageetskønoverdetab,deretmæssigeregistranterharlidtved,atetdomæneharværetudsatforefterligninger.SåledesharSø‐ogHandelsrettentilkendtJubiiA/Setvederlagpå30.000kr.forbrugenafetdomæne,somkrænkedeJubiiA/S’srettigheder(Sø‐ogHandelsrettensdomaf24.februar2009,sagsnummerV‐0002‐08).Idenkonkretesag,havdetyposquatterenetableretenviderestillingfradomænetwwwjubii.dktilendatingservice,somdirektekonkurreredemedJubiiA/S’s,hvilketmåformodesathaveværetenskærpendeomstændighedvedrettensfastsættelseafvederlaget.HerudoverharSø‐ogHandelsrettenden8.januar2008tilkendtRKIKreditInformationA/S(ExperianA/S)engodtgørelsepå10.000kr.forbrugenafRKI‐sletningsomfirmanavn,varemærke,forretningskendetegnoginternetdomænenavn.Deterikke,alenepåbaggrundafovenstående,muligtatfåenrettesnorfor,hvordandomstolenevilvurderestørrelsenafeteventuelttabved”ren”typosquatting,detvilsige,hvortyposquatterenalenehartjentpengepåatsælgereklamelinks.Sættesdesuagtetvederlagettilgennemsnitligtatudgøre5.000kr.prtyposquatdomæne,vildetsamledeskønnedevederlagfordedomæner,derpt.erregistreretaftyposquattere,beløbesigtilover100mio.kr.Detervigtigtatpointere,atdeterillusoriskattro,atdanskevirksomhedermv.selvpåbaggrundafendomvilkunnefåhonoreretdereseventuellekravietomfang,somstårmålmeddettetal.Dengeografiske,kulturelleogjuridiskeafstandmellemDanmarkogstørstedelenaftyposquatternegør,atetforsøgherpåmåansesfornyttesløst–ellerikkerentabelt.
�STOP‐tps–citatertilladtmedtydeligkildeangivelse
Side7
Omvendtsåerdetikkeurimeligtatbrugetalletsomenindikatorpåomkostningenforderetmæssigedomæneregistrantervedtyposquatternesaktiviteter.Selvomtalletmuligvisskalnedskrivesbetydeligt,mådetuafviseligtfastslås,atdanskevirksomheder,organisationermv.betalerenganskehøjprisfortyposquattingafderesdomæner.
Afrunding
SelvomdermedindførslenafdensærligeregeliDK‐Hostmastersgenerellebetingelsereråbnetenvæsentligtnemmereogbilligeremulighedforatfåstoppettyposquatting,serdetumiddelbartikkeudtil,atdetteharhaftnogenbetydeligeffektpåomfangetaftyposquattingenafdanskedomæner.Imangelafoplysningeromtyposquattingensomfangfortidligereårharvisøgt,omkendtetyposquattereharværetomtaltimedierne,herunderomderidenneforbindelsefindesoplysningeromantalletafdepågældendesregistreringer.Viharpådennemådekunkunnetfindeoplysningeroméntyposquatter.Dennehavdei2008registreretca.500domæner–antalletidagerca.1.100.Detharhellerikkeværetmuligtatfindevalideredeoplysningerom,hvilkekonsekvenserkrænkelserneharforregistranterneafdedomæner,somudsættesfortyposquatting.Enamerikanskundersøgelsehævder,atdissestabiformafmistettrafik,tabafgoodwillogforøgedesikkerhedsudgifterliggerpå1mia.USDollarsomåretpåverdensplan.Deterikkeurimeligtatformode,atdanskevirksomhederogorganisationerstabudgørmindst10mio.kr.omåret.Viharhellerikkekunnetfremskaffevalideoplysningeromtyposquatternesudkommeafdissesaktiviteter.Etskønforetageti2008,hvordengennemsnitligedagligeindtægtpr.typosquatdomæneblevansattil5kr.,blevefterfølgendekritiseretsomsatvæsentligtforhøjt.Hvisdetteskønerrigtigt,vilde20.000tilfældeaftyposquattingsomomtaltidennerapportkunnegenerereenårligindtægttildeinvolveredepåover36mio.kr.hvilketnokmåansesforusandsynligt.Omvendterderdogikketvivlom,atdenpotentiellegevinstvedatbegivesigafmedtyposquattingikkeerubetydelig.
�STOP‐tps–citatertilladtmedtydeligkildeangivelse
Side8