Sundhedsudvalget 2008-09
SUU Alm.del Bilag 388
Offentligt
670244_0001.png
670244_0002.png
670244_0003.png
670244_0004.png
670244_0005.png
670244_0006.png
670244_0007.png
670244_0008.png
670244_0009.png
670244_0010.png
NOTAT
1. april 2009j.nr. 7-310-126/1/AMS
CANNABIS – den aktuelle videnom rusvirkninger, skadevirknin-ger og udbredelse.Opsummering af cannabis’ negative virkningerAkutte effekter (negative ruseffekter)Angst og panik, især hos uerfarne brugereForringet opmærksomhed, hukommelse og psykomotorisk præstationunder rusØget ulykkesrisiko i trafikken under påvirkning. Risikoen forøges vedkombineret brug af cannabis og alkoholØget risiko for psykotiske symptomer hos sårbare personerIkkerisiko for dødeligt forløbende forgiftningerSkadevirkninger af længerevarende, hyppigt forbrug (goddokumentation)
Center for ForebyggelseSundhedsstyrelsenIslands Brygge 672300 København STlf.72 22 74 00Fax72 22 74 11Dir. tlf. 7222 7746E-post [email protected]
Øget risiko for kronisk bronkitis, KOL (”rygerlunger”) og sandsynligvislungekræftUdvikling af afhængighedForringelser af opmærksomhed og hukommelse og motorisk koordine-ring ved daglig brug. Har praktiske konsekvenser for funktionsevne mht.uddannelse, (komplekse) arbejdsopgaver, trafik.Efter et årelangt, intensivt forbrug varer den intellektuelle funktionsned-sættelse ved i nogen tid efter forbrugsstop, men ser ikke ud til at værepermanent.
Mulige skadevirkninger (yderligere forskning er påkrævet)
Øget risiko for kræftsygdom i mundhule, svælg og øvre luftveje; leu-kæmi hos børn, hvis mødre har røget hash under graviditeten.Forringede uddannelses- og arbejdspræstationer, hvor komplicerede in-tellektuelle færdigheder kræves.Øget risiko for psykotisk sindslidelse.
Grupper med særlig risiko for negative virkningerUnge er særligt sårbare overfor et vedvarende hashmisbrugs negativeindvirkning på den personlige og sociale udvikling. Unge har desuden enforøget risiko for at udvikle afhængighed og blandingsmisbrug (inkl. an-dre illegale stoffer). Dette gælder især socialt udsatte unge med ringeskoletrivsel, der starter et hashforbrug i de tidlige teenageår.Personer, der er sårbare for udvikling af psykisk sygdom, risikerer at fåpsykotiske symptomer ved brug af cannabis.Personer med lungesygdomme (astma, KOL), schizofreni eller andremisbrugsproblemer risikerer forværring af disse sygdomme ved brug afcannabis.Gravide
Side 21. april 2009Sundhedsstyrelsen
Udbredelse af brug og misbrug i Danmark
Cannabis bruges typisk eksperimentelt i ungdomsårene – maximum foraktuelt brug ses blandt de 16-24-årige, hvor 21% har brugt cannabis in-denfor det sidste år og 8% indenfor sidste måned. Livstidsprævalensentopper blandt de 25-34-årige, hvor 53% har prøvet cannabis nogensinde.Aktuelt forbrug (dvs. indenfor seneste år) har en meget lille udbredelse ialdersgrupper 35+.Der har været en klar øgning i udbredelsen af cannabis fra 1994-2000.Stigningen har været del af et generelt øget rusmiddelforbrug blandt un-ge. Siden 2000 er forbruget stabiliseret, såvel i Danmark som i de flesteandre europæiske lande.I europæisk sammenhæng ligger danske unge i en midterposition mht.hashforbrug, men i toppen mht. alkoholforbrug.Forbrug er mere udbredt blandt mænd end blandt kvinder.Flere og flere søger behandling for et hashmisbrug - 50% af denytil-komnei stofmisbrugsbehandlingen i 2007 havde hash som primært mis-brugsproblem.Skønsmæssigt er derminimum7.300 hashmisbrugere i Danmark. Dertilkommer, at en stor del af misbrugerne af andre stoffer også bruger hash.
1. Hvad er cannabis/ hashMarihuana (pot), skunk, hash og hasholie er produkter, der alle udvindes afhampeplanten Cannabis Sativa. Det vigtigste berusende stof i cannabis erTHC (delta-9-tetrahydrocanna-binol), men der er mindst 60 varianter af den-ne type kemisk forbindelse i cannabis.1Indholdet af THC varierer i de for-skellige produkter, og der er de senere år udviklet produkter med højere kon-centrationer, baseret på indendørs dyrkede planter. Marihuana er det milde-ste (gennemsnitligt indhold af THC mellem 0,5-5%), hasholie det stærkeste(gennemsnitligt indhold af THC mellem 15-50%). Mest almindeligt i Dan-mark er hash, der kan have en koncentration fra 2-20%, og der har ikke kun-
net konstateres nogen almen øgning af styrken. Gennem planteforædling ogspecialdyrkning er der opnået tilsvarende styrke i produktet skunk eller”Nether-weed”. Endelig har man i forskningsmæssigt øjemed fremstilletsyntetiske cannabinoider, som er flere gange mere potente.Cannabis kan indtages gennem munden eller ved rygning. Det er mest al-mindeligt at ryge stoffet, da rygning giver hurtigst og bedst styret rusvirk-ning.Forskningen har indenfor de seneste 10-15 år givet en stadigt bedre videnom cannabis’ (og andre rusmidlers) virkningsmekanismer i centralnervesy-stemet. Man ved nu, at cannabis først og fremmest virker på de områder ihjernen, der spiller en rolle for følelseslivet, for hukommelse og indlæring ogfor koordination af muskelbevægelser. Det er imidlertid væsentligt at skelnemellem virkningerne af den enkelte rus, et lejlighedsvist forbrug, og virknin-gerne af et jævnligt, vedvarende forbrug.22. Akutte virkninger (rus og skader)Cannabisrusen varer typisk i ca. 3 timer, men det afhænger selvfølgelig afdosis. Rusvirkningen af cannabis er opstemthed (eufori) og afslappethed,ændringer i oplevelsesmåde, sansning og af tidsfornemmelsen. I socialesammenhænge kan hashrusen give smittende latteranfald (”grineflip”) ogsnakkesalighed, men rusen kan også omvendt give en indadvendt væremåde.Rusen medførerhæmning af korttidshukommelse og opmærksomhed, moto-riske færdigheder og reaktionstid.Det følger heraf, at cannabisrus forringerindlæring. Det betyder også, at den hashpåvirkede er uegnet til at føre mo-torkøretøj og udføre andre komplicerede opgaver. I forsøg er der påvist ennedsat evne til at udføre meget komplicerede handlinger efter en enkelt hash-rus i op til 24 timer. Samtidig indtagelse af alkohol forstærker disse virknin-ger.Cannabisrusen kan utilsigtet giveangst- og panikreaktioner,som er ubeha-gelige, men forbigående. Dette sker oftest for uerfarne brugere eller ved sær-ligt store doser. I meget store doser kan cannabis fremkalde forbigåendepsykotiske reaktioner (se også afsnit 3).Under rusen forøges pulsen med 20-50%, og der sker ændringer i blodtryk-ket. Disse ændringer indebærer ikke større risiko for raske personer, men gørcannabisindtagelse risikabel for personer med forhøjet blodtryk og hjerte-/karsygdomme.Cannabis er relativt ugiftigt, dødsfald på grund af akut forgiftning forekom-merikke.Den væsentligste risiko ved cannabisrusen for i øvrigt raske mennesker ersåledes, atcannabispåvirkning indebærer en risiko i trafikken og ved alleandre aktiviteter, der kræver årvågenhed og hurtig reaktionsevne,såledessom det også kendes fra alkoholrusen.
Side 31. april 2009Sundhedsstyrelsen
3. Virkninger ved jævnligt, vedvarende brugDen jævnlige, vedvarende brug indebærer en række sundhedsrisici, som ikkealle er fuldt klarlagte. Det er bl.a. ikke klarlagt, hvornår et forbrug er så in-tensivt, at det giver sundhedsmæssige risici – udover den akutte risko, fx itrafikken, der er knyttet direkte til rusvirkningen.LuftvejeneRygning af cannabis er en belastning for luftvejene, der mindst er af sammeomfang som tobaksrygning. Det er beregnet, at 3-4 marihuanacigaretter dag-ligt har den samme skadelige indflydelse på lungerne som 20 stk. cigaretterdagligt3, men der knytter sig væsentlige usikkerheder til disse beregninger,som må betragtes som et skøn. Cannabisrygere har imidlertid en øget risikoforKOL (”rygerlunger”)og sandsynligvis lungekræft.Risikoen for skader på luftveje forøges hos personer, der både ryger tobak ogcannabis, hvad der i praksis er tilfældet for de fleste cannabisbrugere.Forplantning og graviditetPå baggrund af dyreforsøg er der rejst hypoteser om, at jævnlig brug af can-nabis nedsætter frugtbarheden hos både mænd og kvinder. Der savnes imid-lertid forskning for at afklare dette.Det er heller ikke afklaret, om moderens jævnlige brug af cannabis undergraviditet, har betydning for barnets fødselsvægt og udvikling efter fødslen.Men et intensivt hashforbrug hos gravide påvirker fostret/den nyfødte, ogabstinenssymptomer hos det nyfødte barn forekommer i form af uro, irritabi-litet med sitren, muskeltrækninger, urolig søvn og forstyrret søvnrytme.Cannabis går i modermælken, hvor det koncentreres, så koncentrationen imodermælk er ca. 8 gange større end i blod. Konsekvenserne for barnet erikke afklarede, men ammende kvinder bør ikke bruge cannabis.I en dansk undersøgelse4har man fulgt 84 hashrygende kvinder gennem gra-viditet og fødsel og sammenlignet med en lignende gruppe uden hashbrug.Undersøgelsen konkluderer, at hashrygning ikke isoleret gav målelige skaderog problemer mht. graviditet, fosterudvikling, fødsel og barnets udviklingefter fødslen. Men hashrygning hos gravide var tegn på dårlige sociale kårsamt et øget forbrug af tobak, alkohol og andre rusmidler, som tilsammenindebærer en række sundhedsmæssige risici for fosteret/barnets udvikling.Cellulære effekter og immunsystemetPå baggrund af dyrestudier er der mistanke om, at jævnlig brug af cannabisnedsætter immunsystemets funktion. Der er dog endnu ikke tilstrækkelig do-kumentation for at af- eller bekræfte denne hypotese.Effekter på tænkning, hukommelse, forståelseDen intellektuelle og praktiske funktionsevne vil være konstant nedsat veddaglig brug.Det er derfor indlysende, at et dagligt cannabisforbrug er ufore-
Side 41. april 2009Sundhedsstyrelsen
neligt med indlæring, uddannelse, de fleste typer af arbejdsopgaver, samtfærdsel i motorkøretøj.Det er også påvist, at et årelangt, intensivt brug af cannabis medfører en for-ringelse af hukommelse, opmærksomhed samt organisering og integrering afkompleks information. Forringelsen er større, jo længere forbruget har varet.De beskrevne funktioner forbedres gradvist ved ophør, og ifølge nyere studi-er ser det ud til, at der sker en normalisering af funktionsevnen ved fortsatafholdenhed fra cannabis. Men et langvarigt intensivt brug af cannabis viloftest have hæmmet personens udvikling mht. uddannelse og arbejde og påden måde have langtrækkende konsekvenser.5Cannabis og psykiske lidelserSammenhængen mellem cannabisbrug og psykiske lidelser, især psykoser, eromdiskuteret og kompliceret. Brug af cannabis er mere udbredt blandt psy-kiatriske patienter end i normalbefolkningen, og intensivt cannabisbrug kanresultere i symptomer på psykose. Om denne sammenhæng findes, fordicannabis udløser psykoser eller fordi flere psykisk sårbare bruger cannabis (iet forsøg på selvmedicinering) er et meget omdiskuteret spørgsmål.Intensivt brug af cannabis kan i sjældne tilfælde fremkaldeforbigående psy-kotiske symptomerhos personer uden kendt disposition for psykisk sygdom.En sådan forgiftningspsykose vil klinge i løbet af en uges tid.Det er desuden dokumenteret, at brug af cannabis kan fremprovokere,fast-holde og forværre symptomernehos personer med (disposition for) schi-zofreni el. lign. psykisk sygdom.6En nyere forskningsoversigt konkluderer, at risikoen for at udvikle enpsyko-tisk tilstandvar forøget med 40% blandt personer, der mindst en gang i deresliv havde brugs cannabis, sammenlignet med personer, der aldrig havdebrugt cannabis. Risikoen blev større, jo større cannabisforbruget var. Ud fradenne undersøgelse er det beregnet, at man årligt kunne forhindre ca. 70 til-fælde af schizofreni i Danmark, hvis cannabisbrug kunne elimineres.7Den stigende mængde forskning tyder på, at cannabisbrug (og de psykosoci-ale konsekvenser af brugen) i sig selv øger riskoen for psykisk sygdom8.Dette gælder for (start og symptomer ved) psykotiske sindslidelser og måskeogså for depression og angst.AfhængighedCannabis er afhængighedsskabende, men i mindre grad end nikotin, kokainog heroin. Regelmæssig indtagelse af cannabis giver hurtigt tilvænning, såder skal en større dosis til for at opnå virkning. Tolerans udvikles normaltefter 1-2 ugers daglig indtagelse, men kan også udvikles efter mere spora-disk indtagelse, fx. én gang om ugen i et par måneder.Abstinenssymptomer forudsætter udvikling af tolerans og vil i øvrigt afhæn-ge af forbrugets sværhedsgrad. Abstinenssymptomerne er oftest søvnløshed,rastløshed, irritabilitet og lette depressioner. De klinger af i løbet af et par
Side 51. april 2009Sundhedsstyrelsen
uger, men kan i let grad ses i måneder efter sidste indtagelse. Abstinens-symptomer er normalt moderate og ikke (farmakologisk) behandlingskræ-vende.94. Særligt sårbare grupperSom konsekvens af de negative virkninger, der knytter sig til brug af canna-bis, må følgende grupper vurderes som særligt udsatte i relation til brug afstoffet:Unge er særligt sårbare overfor et vedvarende hashmisbrugs negativeindvirkning på den personlige og sociale udvikling. Unge har desuden enforøget risiko for at udvikle afhængighed og blandingsmisbrug (inkl. an-dre illegale stoffer). Dette gælder især socialt udsatte unge med ringeskoletrivsel, der starter et hashforbrug i de tidlige teenageår.Personer, der er sårbare for udvikling af psykisk sygdom, risikerer at fåpsykotiske symptomer ved brug af cannabis.Personer med lungesygdomme (astma, bronkitis og emfysem), psykoti-ske lidelser eller misbrugsproblemer risikerer forværring af disse lidelserved brug af cannabis.Fostret og det nyfødte barn er sårbart, hvorfor gravide og nybagte mødreikke bør bruge cannabis.Det er paradoksalt nok netop blandt unge, cannabis har den største udbredel-se, jf. afsnit 6.5. Cannabis/THC som lægemiddelBrugen af cannabis/THC som lægemiddel må vurderes adskilt fra brugen afcannabis som rusmiddel. Der har de senere år været en fornyet interesse forcannabis/THC’s anvendelse til medicinske formål. Der er både tale om can-nabisplante-produkter og om syntetisk fremstillede THC-præparater (fx. Ma-rinol), der ikke har de bivirkninger, der følger af rygning.Sundhedsstyrelsen har tilkendegivet, at man udfra en sundhedsfaglig vurde-ring finder det forsvarligt, at læger kan ordinere cannabis/THC til patientermed visse alvorlige sygdomme, og at der ikke er farmakologiske eller lov-mæssige hindringer for at udvikle lægemidler af cannabis.10Der er ikke aktuelt nogen cannabis/THC-præparater, der har markedsførings-tilladelse i Danmark, men Lægemiddelstyrelsen kan give udleveringstilladel-se i enkelttilfælde efter ansøgning fra behandlende læge. Der gives pt. udle-veringstilladelse til brug af Marinol som kvalmestillende og appetitstimule-rende middel til patienter med aids eller cancer, og til behandling af neuro-gene smerter ved dissemineret sklerose, hvis mere konventionelle midler ik-ke har virket. I enkelte tilfælde har der også været givet tilladelse på andreindikationer. Lægemiddelstyrelsens vurdering af indikationer beror på denkliniske dokumentation af effekt.11
Side 61. april 2009Sundhedsstyrelsen
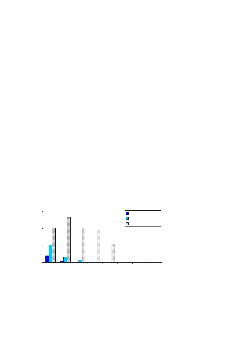
6. Udbredelse og forbrugsmønstreForbruget af cannabis i den danske befolkning har været stigende i sidstehalvdel af 1990’erne og efter 2000 stagnerende på et historisk højt niveau.Det ses af flere skoleundersøgelser, undersøgelser af de 16-20-åriges og un-dersøgelser af voksenbefolkningens erfaringer med hash. Aktuelt har 2% afaldersgruppen 16-64 år brugt hash indenfor densidste måned,5,5 % harbrugt hash indenfor detsidste år.Det er en væsentlig større del af de 16-64-åriger, nemlig 39 %, der har prøvet hash på et tidligere tidspunkt i livet, ty-pisk i de unge år.Stigningen i cannabis’ udbredelse i sidste halvdel af 1990´erne og stagnationsiden 2000 ses i flere undersøgelser i aldersgrupper fra 16 år og opefter,mens tallene for skoleelever er lidt mere skiftende12:Blandt de 16-44-årige er andelen, der har brugt hash indenfor detsidsteårsteget fra 7% til 10% fra 1994 til 2000, i 2008 var andelen 9%. Isamme aldersgruppe ses en fordobling fra 2% til 4% for brugsidste må-nedi hhv. 1994 og 2000, mens andelen er på 3,5% i 2008.Blandt de 15-16-årige er andelen, der har prøvet hashnogensinde,stegetfra 18% i 1995 til 26% i 2007, mens andelen, der har brugt hash inden-forsidste måned,er steget fra 6% i 1995 til 11% i 2007.Brug af cannabis er et ungdomsfænomenCannabis som rusmiddel bruges først og fremmest af de unge, og for flertal-let er brugen et forbigående fænomen. Sådan har det været, siden brugen afcannabis bredte sig i slutningen af 1960’erne. Tal fra Statens Institut for Fol-kesundheds nyeste undersøgelse af voksenbefolkningens brug af alkohol ogstoffer (Alkohol i Danmark 2008) viser (igen) dette mønster.13Figur 1. Procentdel, der har brugt hash i forskellige aldersgrupper. Fraundersøgelsen Alkohol i Danmark 2008.(N= 4.015)6053
Side 71. april 2009Sundhedsstyrelsen
Hash sidste månedHash sidste 12 mnd.Hash nogensinde38
504141
403021
22
2010016-24 år 25-34 år 35-44 år 45-54 år 55-64 år827131 11 1
Denaktuellebrug af cannabis er størst blandt de yngste, aldersgruppen 16-24 år, hvoraf 21% har røget hash indenfor det seneste år, og 8% den senestemåned. Da andelen af jævnligt eller dagligt brugende skal findes indenforgruppen, der har brugt cannabis sidste måned, er disse 8% et maksimumstalfor, hvor mange der er jævnlige brugere.
Skoleundersøgelser viser, at eksperimenter med hash starter blandt de megetunge. Seneste undersøgelse fra 2007 viser således, at 26% af de 15-16-årigehar prøvet hash nogensinde, og 11% har brugt det indenfor sidste måned.14Der er markantekønsforskellei brugen af hash. Ca. ½ gang flere mænd endkvinder har brugt hash, uanset alder. Kønsforskellen er mere markant, nårdet gælder den hyppige brug. Seneste undersøgelse (2006) blandt de 16-20-årige viser fx, at 10% af de drenge, der nogensinde har prøvet hash, har brugtdet hyppigt (6 gange eller mere den seneste måned), mens det gælder enmindre andel på 3% af de piger, der har prøvet hash.15Sammenhæng i brug af forskellige rusmidlerDet historisk høje forbrug af hash skal ses i lyset af, at danske unge samtidighar det højeste alkoholforbrug i Europa, mens de ligger i en midterpositionmht. hash. Også skoleelevers/yngre voksnes prøvning af andre illegale stof-fer er steget. Stigningen i hashforbruget er således del af et generelt øgetrusmiddelforbrug blandt danske unge.Der er i mange undersøgelser, både danske og udenlandske, påvist sammen-hæng i brug af forskellige rusmidler. Den bedst dokumenterede risikofaktorfor brug af hash og andre illegale stoffer er således brug af alkohol og tobak.En tidlig alkoholdebut øger risikoen for senere brug af både hash og andreillegale rusmidler.16Tilsvarende øger brug af hash risikoen for brug af andre illegale stoffer.17Det skal dog understreges, at hovedparten af dem, der prøver hash,ikkegårvidere til andre stoffer, og det er derfor ikke en effekt af selve stoffet THC,når nogle hashbrugere også bruger andre stoffer. Når hashbrug øger sandsyn-ligheden for brug af andre psykoaktive stoffer, er det sandsynligvis fordi,hashbrugerne sætter sig i en situation, hvor tilgængeligheden af andre stofferøges, og de personlige og sociale tilskyndelser til at prøve dem forstærkes.Et tvillingestudie fra Australien har fx påvist, at at den ”døråbner”-effekt,hash har overfor andre illegale stoffer, ikke kan forklares med genetiske fak-torer, eller med fælles baggrundsfaktorer for hashrygere.18Udover brug af tobak og alkohol er det også påvist, at forældres, søskendesog venners forhold til rusmidler indvirker på den unges forbrug. Rollemodel-ler og normer mht. rusmiddelbrug fra betydningsfulde, nære personer spilleren væsentlig rolle for den enkelte unges rusmiddeladfærd.19Brug og misbrugFlertallet af de unge, der prøver hash, bliver ikke vedvarende brugere, ellermisbrugere. Figur 1 viser klart, at brug af hash for de fleste brugere liggermere end en måned eller et år tilbage. Det gælder i alle aldersgrupper og kantages som udtryk for, athashbrug for flertallet har eksperimentel karakter.Men nogle udvikler et mere vanemæssigt forbrug, eller misbrug. I USA ogAustralien, hvor brug af cannabis blandt unge er mere udbredt end i Europa,anslås det, at omkring 10% af dem, der prøver cannabis bliver daglige bruge-re (i hvert fald i en periode), mens 20-30% bruger stoffet ugentligt (i en peri-
Side 81. april 2009Sundhedsstyrelsen
ode).20Omregnet til et dansk skøn, vil det svare til, at af en årgang9.klasses-elever vil ca. 1500 på et tidspunkt få et dagligt hashforbrug, og 3-4.500 et ugentligt.Spørgsmålet om, hvad der betinger udviklingen fra brug til misbrug er kom-pliceret og der findes mange teorier om dette. Faktorer, der på baggrund afden foreliggende viden må vurderes som centrale for udviklingen af et mis-brug, er:Belastende opvækstvilkår (lav socio-økonomisk status, ustabile familie-relationer, psykisk sygdom/misbrugsproblemer i familien).Svag personlig kompetence (ringe udvikling af handleevne og selv-værd).Afvigende (for tidligt, for meget, forkert) brug af ”almindelige” rusmid-ler.21Hashmisbrugere i behandlingSundhedsstyrelsens seneste skøn over antal stofmisbrugere i Danmark er på27.000 personer, hvoraf antallet af hashmisbrugere skønnes at være 7.300.Dette må betragtes som et absolut minimumsskøn.Siden 2001 har antallet af personer, der hvert år indskrives i behandling pga.et hashmisbrug, været i stadig stigning. For hvert år ses, at en større andel afde indskrevne i behandling har hash som primært misbrugsproblem – i 2007var hash hovedstof for 33% af dem, der blev indskrevet i behandling, sva-rende til godt 1500 personer.Udviklingen er særlig tydelig, når man ser på de nytilkomne i behandling,dvs. personer, der ikke tidligere har været i behandling – i 2001 var det såle-des 39% af dem, der blev indskrevet i behandling for første gang, der havdehash som primært misbrugsproblem, i 2007 gjaldt det for 52%.Det er især blandt de yngste misbrugere i behandling, hash er det domine-rende misbrugsproblem, og også i denne gruppe er andelen med hash somhovedstof stigende – i 2003 var det 46% af de 18-24-årige i behandling, derhavde hash som hovedstof, mens det i 2007 gjaldt for 57%.22. Hashproble-mer spiller således en stor og stigende rolle i stofmisbrugsbehandlingen. Al-ligevel må antallet af hashmisbrugere i behandling antages at være væsent-ligt mindre end det reelle behandlingsbehov.
Side 91. april 2009Sundhedsstyrelsen
12
WHO: Cannabis: a health perspective and research agenda. 1998Ege P. Enkelt er det ikke. Stof 7: 39-49. 20063Heather Ashton C: Pharmacology and effects of cannabis: a brief review. BritishJournal of Psychiatry; 178: 01-6. 2001
Balle J, Olofsson MJ, Hilden J: Cannabis og graviditet. Ugeskrift for Læger;161/36: 5024-8. 19995Pope HG, Gruber AJ, Hudson JI, Huestis MA, Yourgelun-Todd D.Neurospychological performance in long-term cannabis users. Arch Gen Psychiatry.2001 Oct;58(10):909-15.6Johs A:Psychiatric effects of cannabis. British Journal of Psychiatry; 178: 116-22.20017Hjorthøj C, Nordentoft M, Fink-Jensen A. Cannabis og cannabinoidreceptorer –misbrug og psykose. Ugeskrift for læger; 170/46: 3782-84. 20088Ray JM, Tennant CC. Cannabis and mental health. More evidence establiches clearlink between cannabis use and psychiatric illness. British Medicanl Journal; 325:1183-4. 20029Ege P. Enkelt er det ikke. Stof 7: 39-49. 200610Sundhedsstyrelsens notat af 13.6.1997 (j.nr. 4415-59-1997)11Indikation. Nyhedsbrev fra Lægemiddelstyrelsen. 10.4.200312Narkotikasituationen i Danmark 2008. Sundhedsstyrelsen 200813Tal om narkotika er offentliggjort i Narkotikasituationen i Danmark 2008.Sundhedsstyrelsen 200814Hibell B et al.: The 2007 ESPAD Report. Substance Use Among Students in 35European Countries. CAN, Europarådet og EMCDDA 200815Unges livsstil og dagligdag 2006. Kræftens Bekæmpelse og Sundhedsstyrelsen2007.16Sabroe S, Fonager K. Unges erfaringer med rusmidler i 2003 og udviklingen siden1995. FADL’s Forlag. København 2004.17Fergusson D, Horwooed LJ. Does cannabis use encourage other forms of illicitdrug use. Addiction 2000; 95:505-20..18Lynskey MT. Escalation of drug use in early-onset cannabis users vs co-twincontrols. JAMA; 289/4: 427-33. 200319Unges livsstil og dagligdag 2000 – forbrug af tobak, alkohol og stoffer. Kræftensbekæmpelse og Sundhedsstyrelsen. 200220Hall W, Solowij N Adverse effects of cannabis. Lancet; 352:1611-16.199821Peter Ege: årsager til misbrug hos unge – og lidt om forebyggelse. I Unge og stof-fer, Sundhedsstyrelsen 2000.22Narkotikasituationen i Danmark.2007. Sundhedsstyrelsen 2007, kap. 4. Tallene erbaseret på Sundhedsstyrelsens register over stofmisbrugere i behandling (SIB)
4
Side 101. april 2009Sundhedsstyrelsen