Miljø- og Planlægningsudvalget 2004-05 (2. samling)
MPU Alm.del Bilag 240
Offentligt
2608782_0001.png
TEKNOLOGI -RÅDET
THE
DANISH
BOARD
OF
TECHNOLOGY
Miljø- og
Planlægningsudvalget (2.
samling)
MPU alm. del - Bilag 240
Offentligt
J.nr. 03.312-039
Miljø- og Planlægningsudvalget 2004-05 (2. samling)
MPU Alm.del - Bilag 240
Offentligt
Antonigade 4
DK-iio6 København K
Høring om husdyrbrug
Høringen afholdes for Folketingets Miljø- og Planlægningsudvalg
Det overordnede formål med høringen er at vurdere eksisterende lovgivning og
virkemidler med henblik på at identificere behovet for ny lovgivning og nye
virkemidler, og i denne sammenhæng at belyse:
• mulighederne for en mere helhedsorienteret regulering på området, som
medtænker en række miljøproblemtikker på landbrugsområdet,
herunder biodiversitet, forsuring og sektorens udledninger af
drivhusgasser etc.
• omkostningseffektive miljøteknologier i dag og i fremtiden, samt
mulighederne med strukturudvikling
• EU-lovgivningen på området, herunder erstatningsansvar
Høringen afholdes den 25. maj 2005 kl. 9.30-16 i Landstingssalen på
Christiansborg.
Tel. +45 33 32 05 03
Fax +45 33 91 O5 O9
www.tekno.dk
[email protected]
Giro (1199) 8 51 07 68
Ordstyrer:
Formanden for Miljø- og Planlægningsudvalget, Christian
Wedell-Neergaard
Velkomst
Formanden for Miljø- og Planlægningsudvalget, Christian
Wedell-Neergaard
9.40-10.50
Situationen i dag - husdyrbrug og naturtilstanden
Vicedirektør Torben Moth Iversen, Danmarks
Miljøundersøgelser, Husdyrproduktionens påvirkning af miljøet i
forhold til naturens tålegrænser
Jens Christian Tjell, Danmarks Tekniske Universitet,
Husdyrbrugets udledning til vandmiljøet og konsekvenserne heraf
Per Løfstrøm, Danmarks Miljøundersøgelser,
Husdyrproduktionens udledning til atmosfæren, herunder
nærmiljøet i form af lugtgener for andre mennesker
Miljøchef Thorbjørn Sørensen, Fyns Amt Natur og Miljø, Om
praktiske erfaringer med regulering af husdyrbrug i Fyns Amt
Teknologirådet
har til opgave at:
fremme
teknologidebatten
vurdere teknologiens
muligheder og
konsekvenser
rådgive Folketinget
og regeringen
9.30-9.40
10.50-11.05 Kaffepause
11.05-12.15 Fremtidige muligheder - teknologiske og strukturelle
muligheder
Kristian Borch, RISØ, Fremtidens teknologier i en miljøvenlig
husdyrproduktion
MPU, Alm.del - 2004-05 (2. samling) - Bilag 240: Program og baggrundsmateriale til høring om husdyrbrug den 25. maj 2005
2608782_0002.png
Y
MPU, Alm.del - 2004-05 (2. samling) - Bilag 240: Program og baggrundsmateriale til høring om husdyrbrug den 25. maj 2005
2608782_0003.png
TEKNOLOGI
THE
DANISH
BOARD
—RÅDET
OF
TECHNOLOGY
Hans Nielsen, Det Økologiske Råd 4Teknologiske og strukturelle,
muligheder iforhold til reduktion af miljøkonsekvenser af
husdyrproduktionen
Jens Hansen, Fødevareøkonomisk Institut, Strukturudvikling
indenfor landbruget med henblik på en miljøvenlig
husdyrproduktion
Landinspektør Karsten L. Willeberg, Cowi, Fremtidige
planlægningsværktøjer, der kan fremme en miljøvenlig
husdyrproduktion tilpasset de lokale forhold - også i forhold til
kommunalreformen
12.15-13.15 Frokost
13.15-14.25 Lovgivning og erstatningsspørgsmål
Professor Peter Pagh, Københavns Universitet, EU lovgivning i
forhold til danskpraksis og konsekvenser af nuværende praksis
Advokat Mogens Moe, DLA Nordic, Miljøgodkendelser i dag og
ifremtiden i lyset af VVM-direktivet
Afdelingsleder Anette Marqvardsen, Århus Amt Natur og Miljø,
Praktiske forhold og problemer med at udøve lovgivningen
14.25-14.40 Kaffepause
14.40-15.50 Fremtidig miljøgodkendelse
Poul Weber, Amtsrådsforeningens Miljø- og Trafikudvalg, Det
regionale perspektiv
Carl Aage Dahl, Dansk Landbrug, Landbrugserhvervets ansvar
og rettigheder
Afdelingsleder Thomas Færgeman, Danmarks
Naturfredningsforening, Hvordan bør husdyrproduktionen i
Danmark se udfra et natursynspunkt?
15.50-16.00 Afslutning
Formanden for Miljø- og Planlægningsudvalget, Christian
Wedell-Neergaard
Antonigade 4
DK -1106 København K
Tel. +45 33 32 O5 O3
Fax +45 33 91 05 09
www.tekno.dk
[email protected]
Giro (1199) 8 51 07 68
Teknologirådet
har til opgave at:
fremme
teknologidebatten
vurdere teknologiens
muligheder og
konsekvenser
rådgive Folketinget
og regeringen
MPU, Alm.del - 2004-05 (2. samling) - Bilag 240: Program og baggrundsmateriale til høring om husdyrbrug den 25. maj 2005
2608782_0004.png
i•B
w
O
.4
5
O
Oct
a
e
Husdyrbrug og
miljøgodkendelser
maj 2005
Høringsmappe til høring i Folketinget 25.
0
z
..1
0
z
w
MPU, Alm.del - 2004-05 (2. samling) - Bilag 240: Program og baggrundsmateriale til høring om husdyrbrug den 25. maj 2005
2608782_0005.png
rr
•••
MPU, Alm.del - 2004-05 (2. samling) - Bilag 240: Program og baggrundsmateriale til høring om husdyrbrug den 25. maj 2005
2608782_0006.png
Husdyrbrug og miljøgodkendelser — høring
25.
maj
2005
Husdyrbrug og miljøgodkendelser
Høring om husdyrbrug og miljøgodkendelser
Arrangeret af Teknologirådet 2005
1
MPU, Alm.del - 2004-05 (2. samling) - Bilag 240: Program og baggrundsmateriale til høring om husdyrbrug den 25. maj 2005
2608782_0007.png
Husdyrbrug og miljøgodkendelser — høring
25. maj 2005
Program
3
Politisk spørgepanel
5
Ansvarlige i Teknologirådet
5
Præsentation af oplægsholdere
6
Torben moth Iversen
6
Jens Christian Tjell
6
Per Løfstrøm
6
Thorbjørn Sørensen
6
Kristian Borch
7
Hans Nielsen
7
Jens Hansen
7
Karsten L Willeberg
7
Peter Pagh-Rasmussen
7
Mogens Moe
7
Poul Weber
8
Carl Aage Dahl
8
Thomas Færgeman
8
Skriftlige oplæg fra høringens eksperter
9
Notat vedr. husdyrproduktionens påvirkning af
miljøet i forhold til naturens tålegrænser
10
Af Torben Moth Iversen, Danmarks Miljøundersø
gelser
10
Husdyrbrugets udledning til vandmiljøet og kons
ekvenserne heraf
17
Af Jens Chr. Tjell, Miljø & Ressourcer DTU, Danmark
s Tekniske Universitet
17
Husdyrproduktionens lugtudledning til atmosfæren,
herunder lugtgener i nærmiljøet
23
Af Per Løfstrøm, Danmarks Miljøundersøgelser
23
Om praktiske erfaringer med regulering af husd
yr i Fyns Amt
27
Af Miljøchef Thorbjørn Sørensen, Fyns Amt
27
Grønt Teknologisk Fremsyn om Miljøvenligt Land
brug: Husdyrproduktion
31
Af Seniorforsker Kristian Borch, Forskningscenter
Risø
31
Fremtidens muligheder — teknologiske og struktur
elle muligheder i forhold til reduktion af
miljøkonsekvenser af husdyrproduktionen
35
Af Hans Nielsen, Det økologiske Råd
35
Strukturudvikling indenfor landbruget med henblik
på en miljøvenlig husdyrproduktion
38
Af Jens Hansen, Fødevareøkonomis Institut
38
Fremtidige planlægningsværktøjer, der kan frem
me en miljøvenlig husdyrproduktion tilpasset de
lokale
forhold - også i forhold til kommunalreformen
41
Af Landinspektør Karsten L Willeberg, COWI A/S.
41
Regulering af husdyrbrug — EU's miljøregler, indg
reb og erstatning
46
Af Peter Pagh, Københavns Universitet
46
Miljøgodkendelser i dag og i fremtiden i forhold
til VVM-direktivet
50
Af Mogens Moe, DLA Nordic
50
Fremtidig miljøgodkendelse - Det regionale pers
pektiv
53
Af Poul Weber, Formand for trafik- og Miljøudvalge
t i Fyns Amt
53
Fremtidig miljøgodkendelse - Landbrugserhvervets
ansvar og rettigheder
56
Af Adm. Direktør, Carl Aage Dahl, Dansk Landbrug
56
Hvordan bør husdyrproduktionen i Danmark se
ud fra et natursynspunkt?
59
Af Thomas Færgeman, Danmarks Naturfredning
sforening
59
2
MPU, Alm.del - 2004-05 (2. samling) - Bilag 240: Program og baggrundsmateriale til høring om husdyrbrug den 25. maj 2005
2608782_0008.png
Husdyrbrug og miljøgodkendelser — høring
25. maj 2005
Program
Høring om husdyrbrug
udvalg.
Høringen afholdes for Folketingets Miljø- og Planlægnings
lovgivning og virkemidler med henblik
ordnede formål med høringen er at vurdere eksisterende
Det over
ler, og i denne sammenhæng at belyse:
på at identificere behovet for ny lovgivning og nye virkemid
g på området, som medtænker en række
• mulighederne for en mere helhedsorienteret regulerin
iversitet, forsuring og sektorens
miljøproblemtikker på landbrugsområdet, herunder biod
udledninger af drivhusgasser etc.
tiden, samt mulighederne med
• omkostningseffektive miljøteknologier i dag og i frem
strukturudvikling
svar
EU-lovgivningen på området, herunder erstatningsan
Høringen afholdes den 25. maj 2005 kl. 9.30-16 i Land
Ordstyrer:
9.30-9.40
9.40-10.50
stingssalen på Christiansborg.
stian Wedell-Neergaard
Formanden for Miljø- og Planlægningsudvalget, Chri
Velkomst
Wedell-Neergaard
Formanden for Miljø- og Planlægningsudvalget, Christian
Situationen i dag - husdyrbrug og naturtilstanden
ersøgelser, Husdyrproduktionens
Vicedirektør Torben Moth Iversen, Danmarks Miljøund
påvirkning af miljøet iforhold til naturens tålegrænser
dyrbrugets udledning til vandmiljøet
Jens Christian Tjell, Danmarks Tekniske Universitet, Hus
og konsekvenserne heraf
roduktionens udledning til atmosfæren,
Per Øfstrøm, Danmarks Miljøundersøgelser, Husdyrp
er
herunder nærmiljøet iform af lugtgenerfor andre mennesk
Om praktiske erfaringer med
Miljøchef Thorbjørn Sørensen, Fyns Amt Natur og Miljø,
regulering af husdyrbrug i Fyns Amt
Kaffepause
muligheder
Fremtidige muligheder - teknologiske og strukturelle
venlig husdyrproduktion
Kristian Borch, RISØ, Fremtidens teknologier i en miljø
turelle muligheder iforhold til
Hans Nielsen, Det Økologiske Råd, Teknologiske og struk
n
reduktion af miljøkonsekvenser af husdyrproduktione
kling indenfor landbruget med
Jens Hansen, Fødevareøkonomisk Institut, Strukturudvi
henblik på en miljøvenlig husdyrproduktion
planlægningsværktøjer, der kan fremme
Landinspektør Karsten L Willeberg, Cowi, Fremtidige
le forhold - også i forhold til
en miljøvenlig husdyrproduktion tilpasset de loka
kommunalreformen
Frokost
Lovgivning og erstatningsspørgsmål
ivning iforhold til dansk praksis og
Professor Peter Pagh, Københavns Universitet, EU lovg
konsekvenser af nuværende praksis
og ifremtiden i lyset af VVM-
Advokat Mogens Moe, DLA Nordic, Miljøgodkendelser i dag
direktivet
3
10.50-11.05
11.05-12.15
12.15-13.15
13.15-14.25
MPU, Alm.del - 2004-05 (2. samling) - Bilag 240: Program og baggrundsmateriale til høring om husdyrbrug den 25. maj 2005
2608782_0009.png
Husdyrbrug og miljøgodkendelser — høring
25. maj 2005
14.25-14.40
14.40-15.50
Kaffepause
Fremtidig miljøgodkendelse
Poul Weber, Amtsrådsforeningens Miljø- og Trafikudvalg
, Det regionale perspektiv
Carl Aage Dahl, Dansk Landbrug, Landbrugserhvervets ansv
ar og rettigheder
Afdelingsleder Thomas Færgeman, Danmarks Naturfred
ningsforening, Hvordan bør
husdyrproduktionen i Danmark se udfra et natursynspunkt?
Wedell-Neergaard
15.50-16.00 Afslutning
Formanden for Miljø- og Planlægningsudvalget, Christian
4
MPU, Alm.del - 2004-05 (2. samling) - Bilag 240: Program og baggrundsmateriale til høring om husdyrbrug den 25. maj 2005
2608782_0010.png
Husdyrbrug og miljøgodkendelser — høring
25. maj 2005
Politisk spørgepanel
Eyvind Vesselbo (V)
Pernille Blach Hansen (S)
Mette Gjerskov (S)
Jørn Dohrmann (DF)
NN (KF)
Johannes Poulsen (RV)
Steen Gade (SF)
Per Clausen (EL)
Ansvarlige i Teknologirådet
Anders Jacobi, Projektleder
5
MPU, Alm.del - 2004-05 (2. samling) - Bilag 240: Program og baggrundsmateriale til høring om husdyrbrug den 25. maj 2005
2608782_0011.png
Husdyrbrug og miljøgodkendelser — høring
25. maj 2005
Præsentation af oplægsholdere
Uddannelse
1971
Torben moth Iversen
Cand. scient. i ferskvandsbiologi fra Københavns Universit
et.
Ansættelser
1971-1988
Adjunkt/lektor ved Ferskvandsbiologisk Laboratorium, Køb
enhavns Universitet
1988-2000
Forskningschef ved Danmarks Miljøundersøgelser
1997-
Vicedirektør ved Danmarks Miljøundersøgelser
Nuværende arbejdsområde
National og international koordinering af den danske natu
r- og miljøovervågning, koordinering af DMU's
rådgivning bl.a. i forhold til EU-direktiver og handlingspla
ner.
Jens Christian Tjell, Docent, København. Som kemiingeniø
r og Licentiat fra Danmarks Tekniske Universitet
har han medvirket til opbygningen af den moderne milj
øbeskyttelse. Så tidligt som 1969-71 var han
udsendt af FN til Uganda, hvor emnet var udfasning af
farlige insekticider til TseTse flue bekæmpelse.
Hovedaktiviteten i karrieren er anvendelse af analytisk
kemi i påvisningen og fjernelsen af kemiske
stoffers miljøpåvirkning. Som ansat ved Miljø & Ressourc
er DTU har hovedindsatsen i Danmark været at
skabe grundlaget for fjernelse af bly i benzin, og anve
ndelse af massestrømme i miljøet til at retfærdiggøre
så forskellige ting som effekten af en samfundsindsats
for nedsættelse af cadmiumbelastningen af
mennesker, en øget anvendelse af spildevandsslam som
gødning på økologisk rigtig og forsvarlig måde, og
indgreb i dansk landbrugs store overforbrug af fosfor og
kvælstof. I mange år har han været engageret i at
hjælpe udviklingslandes universiteter til bedre unde
rvisning og forskning, og gennem projekter (med især
Thailand) har der været en stor udveksling af lærere og
studenter til og fra DTU. I 80'erne var han i 31 2 år
/
sektionschef for pesticidanvendelse ved IAEA i Wien,
og har hjulpet mange laboratorier i u-landene til
effektive og billige analysemetoder.
Jens Christian Tjell
Per Løfstrøm
Per Løfstrøm, meteorolog, cand.scient., har siden i mer
e end 20 år beskæftiget sig med luftforurening med
fokus på atmosfæriske spredningsmodeller på lokal skal
a. Han deltager i arbejdsgrupper i Skov- og
Naturstyrelsen samt i Miljøstyrelsen, hvor der foregår
arbejde med udformning af de tekniske grundlag i
nye lugtvejledninger for husdyrbrug respektive indu
stri. Per Løfstrøm har deltaget i udviklingen af den
atmosfæriske spredningsmodel som i dag anvendes i forb
indelse med miljøgodkendelser af
industrivirksomheder med udslip af luftforurenende
stoffer. Gennem de senere år har han beskæftiget sig
med udvikling af spredningsmodeller rettet mod anvendel
se på lugt og har her inddraget af viden og
erfaringer fra feltmålinger. Han har i sit arbejde haft
meget kontakt til og fået indsigt i de tilknyttede
fagområder for lugtmåling og lugtudslip fra husdyrbr
ug. Dertil kommer erfaring fra sagsbehandling og
kendskab til lovgivningen på lugtområdet.
1992-2005:
1980-1992:
1975-1980:
2003-
2002-
2002-
Thorbjørn Sørensen
Miljøchef i Fyns Amt.
Ansat i Fyns Amt som sagsbehandler i 5 år (spildevand
og recipienter), gruppeleder i 4 år
(industrimiljø) og kontorleder i 3 år (industrimiljø)
Uddannelse til civilingeniør med speciale i miljøteknik
ved AUC.
Bestyrelsesformand for den erhvervsdrivende fond, Sust
ainAgri.
Bestyrelsesmedlem i den erhvervsdrivende fond, Cog
ita
1. præmie i DANVA's priskonkurrence om den beds
te kronik i
Danmark om rent vand i år 2020.
6
MPU, Alm.del - 2004-05 (2. samling) - Bilag 240: Program og baggrundsmateriale til høring om husdyrbrug den 25. maj 2005
2608782_0012.png
Husdyrbrug og miljøgodkendelser — høring
25. maj 2005
Kristian Borch
Teknologiscenarier.
Seniorforsker i Afdelingen for Systemanalyses program
i/plantefysiologi) Odense. HDO med speciale i
Uddannelse: Cand. Scient. (toksikologi). Ph.d. (biokem
Innovation og organisationsforandring.
vation og samfundsmæssige problemstillinger i
Faglige kompetencer: Forskningsstrategi, teknologisk inno
teknologier (specielt bioteknologi inde for
forbindelse med forskning, udvikling og implementering af nye
landbrug, fødevare og sundhed).
t teknologisk fremsyn om miljøvenligt
Relevante opgaver inden for det sidste år: Projektleder på Grøn
ningens fremsyn om fødevareteknologi, IDA
landbrug, SNS 2004; Medlem af styregruppen for Ingeniørfore
2005.
Hans Nielsen
og Grundvand
Ansat ved Det økologiske Råd, arbejdsområde: Landbrug
Født den 17. august 1952 i Helsinge sogn.
Miljøbiolog fra Københavns Universitet i 1981.
6 og medlem af Hovedstadsrådet 1982-1986.
lem af Lyngby-Taarbæk Kommunalbestyrelse 1978-198
Med
sforening 1987-1996.
Miljø- og fredningsmedarbejder i Danmarks Naturfredning
1997-
Landbrugs- og vandmiljømedarbejder i Det økologiske Råd
-
Bestyrelsesmedlem i Pesticide Action Network, Europe 2001
eredelse af Vandmiljøplan
Det Økologiske Råds medlem af regeringens 3 udvalg til forb
Jens Hansen
Fra 1979 ansat på Fødevareøkonomisk Institut
Agronom 1965 og phd. 1979 fra KVL (Landbohøjskolen).
bl.a. kvalitative analyser af EU' reformens
(under KVL fra 01.01.04). Seneste års arbejdsområder
af notater til brug ved besvarelse af
konsekvenser for dansk landbrug samt udarbejdelse
Folketingsspørgsmål primært stillet til Fødevareministeren.
Karsten L. Willeberg
de ingeniørfirma (2002), hvor Karsten L
Uddannet landinspektør (1993), ansat i COWI A/S, rådgiven
ropriation, vejlovgivning, fysisk planlægning,
Willeberg beskæftiger sig med rådgivning vedrørende eksp
kling i det åbne land, landbrug og miljø -
llovgivning m.m., herunder med projekter vedrørende udvi
area
tidligere været ph.d.-studerende og
bl.a. regionale landbrugsstrategier. Karsten L. Willeberg har
kningscentret for Skov & Landskab), hvor han
forskningsassistent (1998-2001, Aalborg Universitet / Fors
ebaseret forvaltning af det åbne land, herunder
primært har beskæftiget sig med lokal planlægning og aftal
været embedsmand i Fødevareministeriet
miljøregulering af landbruget. Karsten L Willeberg har også
erv / Strukturdirektoratet) og i Boligministeriet
(1996-1998 og 2001-2002, Direktoratet for FødevareErhv
æftiget sig med hhv. landbrugsloven og
(1993-1996, Kort- og Matrikelstyrelsen), hvor han har besk
udstykningsloven.
Se evt. http://www.klw.dki.
Peter Pagh-Rasmussen
Uddannet cand.jur. ved Københavns Universitet 1990
Dr.jur. ved Københavns Universitet 1999
Universitet siden 1999
Professor i miljøret ved det juridiske fakultet, Københavns
Rådgivende ekspert i EU og miljøret
Mogens Moe
r., partner i DLA Nordic (tidl. Lindh Stabell Horten):
Mogens Moe, advokat med møderet for Højesteret, lic.ju
isteriet 1974-1994, senest (1985-1994) som chef for
Født 1944, cand.jur. 1968, lic.jur. 1974. Ansat i Miljømin
vns Universitet i statsret, forvaltningsret
relsens Tilsyns- og Lovkontor. Ekstern lektor ved Københa
Miljøsty
øsager. Forfatter til "Miljøret", 5.udg. (2004)
miljøret 1976-2000. Siden 1994 advokat med speciale i milj
og
.
sammen med Charlotte Bigum Lynæs og Louise Ploug Krat
7
MPU, Alm.del - 2004-05 (2. samling) - Bilag 240: Program og baggrundsmateriale til høring om husdyrbrug den 25. maj 2005
2608782_0013.png
Husdyrbrug og miljøgodkendelser — boring
25. maj 2005
Poul Weber
Medlem af Fyns Amt siden 2002.
Formand for Trafik- og Miljøudvalget
Gruppeformand for Venstres amtsrådsgruppe
Tidligere medlem af Egebjerg kommunalbestyrelse.
Borgmester i 12 år
Formand for teknisk udvalg i 4 år
Alm. medlem af kommunalbestyrelsen i 4år
Carl Aage Dahl
- Uddannet agronom og civiløkonom
- Ansat i Landboforeningerne/Dansk Landbrug fra
1983, adm. direktør fra 1996.
Thomas Færgeman
Personligt
Uddannelse
1991
Erhvervserfaring
1998 -
Født 16. februar 1965. Samboende. Har to sønner på 9
og 12 år.
Dimitteret som fagjournalist fra Danmarks Journalisthøjs
kole og som agronom fra
Den kgl. Veterinær- og Landbohøjskole (KVL).
Ansat i Danmarks Naturfredningsforening som afdelings
leder og stedfortræder for
direktøren. Ansvarlig for foreningens natur- og miljøpol
itiske arbejde. DN's
repræsentant i bl.a. VMPIII-arbejdet, Wilhjelmudvalget,
Skovrådet,
Naturforvaltningsudvalget, Udvalget til forenkling af
landbrugslovgivningen,
Rådet for renere produkter.
Seniorkonsulent i Deloitte & Touche Miljø.
Miljømedarbejder i Novo Nordisk.
1995 - 1998
1992-1995
8
MPU, Alm.del - 2004-05 (2. samling) - Bilag 240: Program og baggrundsmateriale til høring om husdyrbrug den 25. maj 2005
2608782_0014.png
Husdyrbrug og miljøgodkendelser — høring
25. maj 2005
Skriftlige oplæg fra høringens eksperter
9
MPU, Alm.del - 2004-05 (2. samling) - Bilag 240: Program og baggrundsmateriale til høring om husdyrbrug den 25. maj 2005
2608782_0015.png
Husdyrbrug og miljøgodkendelser — høring
25. maj 2005
Notat vedr. husdyrproduktionens påvirkning af miljøet
i
forhold til naturens tålegrænser
Af Torben Moth Iversen, Danmarks Miljøundersøgelser
1. Indledning og afgrænsning
Husdyrproduktion giver anledning til udledninger af
næringsstoffer til luften (ammoniak-N) og til
vandmiljøet (kvælstof og fosfor) både ved udvaskning fra
udbragt gødning på markerne, ved fordampning
af kvælstof fra marker og fra staldbygningen.
I det følgende redegøres for effekten af kvælstofudlednin
gerne tilluften og kvælstofdepositionens
påvirkningen af den tørre natur.
2. Udledning af ammoniak
2.1 Kilder til ammoniakudledning
Landbruget bidrager med ca. 97% af den samlede udle
dning af ammoniak fra Danmark. De resterende 3%
stammer fra transport- og industrisektoren.
Dansk landbrug er præget af intensiv husdyrproduktion
. Husdyrproduktionen bidrager således med ca.
80% af den samlede ammoniakudledning, hvoraf svin og
kvæg bidrager med henholdsvis 42% og 25% (figur
1). Den procentvise andel fra kvægproduktionen er fald
ende som følge af stigningen i mælkeydelsen per
ko. Trods den markante stigning i produktionen af slagtesv
in fra 16 mio. producerede svin i 1990 til knap
24 mio. producerede svin i 2003 er ammoniakudledni
ngen ikke steget tilsvarende, hvilket skal ses i
sammenhæng med en betydelig forbedring i fodereffe
ktiviteten. Det vil sige, at kvælstofudskillelsen per
slagtesvin og dermed ammoniakudledningen er væs
entlig mindre i dag end for 10 år siden.
90
80 i
70
.
behandlet halm Slam anvendt son
gødning
%
1%<
Afgrøder
1
14%
NH3
60 —
50
40
30
Handelsgødning
6%
Husdyrgødning
79%
20
10
Øvrige
0 Fjerkræ
0 Svin
E Kvæg
CV
C.,
el.
LO
00,
0)
0,O,MaCT,
0,00,00,00,000,0000
CO
N-
CO
0,
O,00000
N
IN
CV
CV
C.,
CV
Figur 1 Udledningen af ammoniakfordelt på kilder (DM
U, NH3Emissionsopgørelsefor 2003)
Ammoniakudledningen fra landbruget er i perioden 1990
til 2003 reduceret fra ca. 109.400 tons NH3-N til
ca. 77.800 tons NH3-N (ammoniakkvælstof), hvilket svarer
til et fald på 29%. Ammoniak-udledningen fra
kvæg er faldet med ca. 36% fra 1990 til 2003, mens ammonia
kudledningen fra svin er faldet med ca. 16% i
samme periode.
10
MPU, Alm.del - 2004-05 (2. samling) - Bilag 240: Program og baggrundsmateriale til høring om husdyrbrug den 25. maj 2005
2608782_0016.png
Husdyrbrug og miljøgodkendelser — boring
25. maj 2005
mer ved håndtering af gødningen i stalden, fra
Størstedelen af ammoniakudledningen i Danmark kom
ken og i forbindelse med udbringning af
g i gylletanke og markstakke, fra græsning af dyr på mar
opbevarin
r 2, hvoraf også fremgår, at det største
dning. Udviklingen i ammoniakemissionen fremgår af figu
husdyrgø
tab sker i dag fra stalden
120.000
100.000
80.000
eo
to
60.000
Græsning
El Udbringning
CI Lager
O Stald
O
40.000
20.000
0
CD
0)
5
6
'
CD
0)
.3
°C
0)
0)
0
O)
`S.), g
0) 0)
O)
.
(8,
0)
O)
a,
0
0
C4
0
0
CM
01
0
0
CV
CD
0
0
O4
4
C.0
0
01
dning på stald, lage
Figur 2. Fordelingen af ammoniakemissionen fra husdyrgø
1985 - 2004. Opgørelsen fra 2004 erforeløbig.
r, udbringning og græsning
og husdyrgødning. Nettooverskuddet
ningstilførsler til landbrugsarealer består både af kunstgødning
Gød
til 2002/03 (figur 3). Dette nettooverskud af
kvælstof i dansk landbrug er faldet med
ca. 35%
fra 1984/85
af
g, denitrifikation og evt. indlejring i jordens
kvælstof tabes til natur og miljø ved ammoniakfordampnin
pulje af kvælstof.
800
$
500
i
400
-
Figur 3. Nettooverskud af kvælstof i dansk landbrug, 1984/85-
2002/03
høj grad virkemidler, der er blevet iværksat i
Baggrunden for reduktionen i ammoniakudledningen er i
det en forbedring i udnyttelsen af kvælstoffet i
forbindelse med vandmiljøplanerne. Dette har bl.a. bety
t af kvælstof i handelsgødning. Endvidere er der
husdyrgødningen, som har ført til en halvering i forbruge
, krav til håndtering af husdyrgødning ved
sket en stramning i kravene for opbevaringskapacitet af gylle
af kvælstof til afgrøder.
udbringning på marken og krav til maksimal tildeling
ammoniakudledning på landsplan lokalt
brugets strukturudvikling betyder, at der trods den faldende
Land
oniakudledningen. Dette kan udgøre et
i husdyrintensive områder kan være sket en stigning i amm
problem i områder med kvælstoffølsomme naturtyper.
11
MPU, Alm.del - 2004-05 (2. samling) - Bilag 240: Program og baggrundsmateriale til høring om husdyrbrug den 25. maj 2005
2608782_0017.png
Husdyrbrug og miljøgodkendelser — høring
25. maj 2005
2.2 Udarbejdelse af opgørelse over landbrugets ammonia
kudledning
Med baggrund i landbrugsstatistikken fra Danmarks Stati
stik og et omfattende arbejde foretaget af
Danmarks JordbrugsForskning med udarbejdelsen af norm
tal for foderforbrug og kvælstofudledningen fra
husdyrholdet, findes der et godt grundlag for beregning af
ammoniakudledningen fra
landbrugsproduktionen.
Usikkerheden for den samlede ammoniakopgørelse er vurd
eret til ca. 10% og er størst for de kilder, hvor der
ikke foreligger årlige statistiske opgørelser og derfor er
vurderet på baggrund af bedst mulig skøn. Dette
gælder bl.a. data for staldtypefordeling, og hvordan husd
yrgødningen i praksis udbringes — dvs.
udbringningsmetode og tidspunkt. Emissionsopgørelsen
forbedres løbende i takt med at forskningen
frembringer ny viden og dokumentation inden for omr
ådet.
2.3 Depositionen af ammoniak på land, til vands og til
udlandet
I 2003 er landbrugets udledning af ammoniak beregnet
til at udgøre ca. 78.000 t NH3-N. Heraf viser DMUs
depositionsmodeller at ca. 35.000 t NH3-N vil falde ned
i Danmark, mens de resterende 43.000 t
"eksporteres" via luften til de omkringliggende lande.
Af de 35.000 t NI-I3-N der falder ned i DK vil ca. 24.000
t NH3-N (70%) falde ned i landområderne og de 11.000 t
NH3-N (30%) i havområderne.
3 Kvælstofdeposition
3.1 Kvælstofdeposition i Danmark, 2003
Beregningerne af kvælstofdepositionen er foretaget med
DMUs luftforureningsmodel i forbindelse med
luftovervågningen i det nationale overvågningsprogram
for vandmiljø og natur, NOVANA (Faglig rapport
fra DMU, nr. 519 og 520). Beregningerne er foretaget til
en gennemsnitlig dansk landoverflade med jævn
lav plantevækst.
Gennemsnitstallene kan dække over store udsving, idet
lokale kilder som landbrug, industri og trafik har
indflydelse på kvælstofkoncentrationerne i lokalområde
t. Desuden har meteorologiske forhold som vind og
nedbør indflydelse, ligesom jordoverfladen og dens
plantevækst påvirker depositionen. F.eks. vil
tilstedeværelsen af høje træer skabe turbulens i luftlagen
e over trækronerne, hvilket fører til øget
kvælstofdeposition i skovnaturtyperne.
Konkrete målinger og beregninger viser, at helt lokalt kan
depositionen i Danmark overstige 100 kg
Nfha/år.
12
MPU, Alm.del - 2004-05 (2. samling) - Bilag 240: Program og baggrundsmateriale til høring om husdyrbrug den 25. maj 2005
2608782_0018.png
Husdyrbrug og miljøgodkendelser — høring
25. maj 2005
N
k4 ti Per ha
'4 -
Figur 4 viser den gennemsnitlige kvælstof-deposition til dans
ke kommuner i, 2003.
3.2 Hvad består N-depositionen af?
deposition for år 2003 fordelt på amterne. Tabellen
I tabel
1
angives resultaterne for den samlede kvælstof
henholdsvis udenlandske kilder og fra de
idere opdelt i den kvælstofdeposition, som stammer fra
er endv
samlede danske kilder.
13
MPU, Alm.del - 2004-05 (2. samling) - Bilag 240: Program og baggrundsmateriale til høring om husdyrbrug den 25. maj 2005
2608782_0019.png
Husdyrbrug og miljøgodkendelser — høring
25. maj 2005
Samlet
kvælstof-
tilførsel
Tilførsel fra
udenlandske
kilder
kg N/ha
Samlet
kvælstof-
tilførsel fra
danske kilder
kg N/ha
Samlet
tilførsel fra
dansk
landbrug
kg N/ha
Tilførsel fra
lokalt
landbrug
kg N/ha
Ribe
Ringkøbing
Sønderjylland
Viborg
Vejle
Nordjylland
Århus
Fyn
Storstrøm
Vestsjælland
Roskilde
Frederiksborg
København
Frederiksberg Kommune
København Kommune
Bornholm
Gennemsnit for alle danske
landområder
kg N/ha
21
20
23
20
22
19
20
20
15
17
19
17
18
15
16
12
20
14
12
17
12
13
11
12
15
12
12
14
13
13
12
12
11
13
7
8
6
8
9
8
8
5
3
5
5
4
5
3
4
1
7
6
7
6
7
8
7
6
4
2
4
3
2
2
1
1
1
6
4
5
5
5
5
4
4
3
2
2
2
1
1
0,4
0,5
0,5
4
Tabel 1. Oversigt over gennemsnitlig kvælstofdeposition
fra luften til danske amterfor år 2003
Den samlede kvælstoftilførsel kommer omtrent ligeligt
fra emission af kvælstofilter fra
forbrændingsprocesser og fra emission af ammoniak fra
landbrugsproduktionen.
Tabellen angiver desuden den samlede tilførsel fra dans
k landbrug og fra de lokale landbrugskilder. Lokale
kilder er her defineret, som udledninger tilluften fra
landbrug op til en afstand af 50-100 km fra det givne
landområde.
4. Tålegrænser
4.1 Gunstig bevaringsstatus for naturtyperne
I EU's habitatdirektiv er der krav til at arter og naturtyp
er skal opnå gunstig bevaringsstatus. I begrebet
gunstig bevaringsstatus for naturtyperne indgår krav
til at arealet skal være konstant eller stigende, krav
til tilstedeværelse af de strukturer og funktioner, der
er nødvendige for at naturtypen kan opretholdes på
sigt og krav til gunstig bevaringsstatus for de arter, der
er karakteristiske for naturtypen. Habitatdirektivets
naturtyper identificeres ud fra plantesamfundet på
de enkelte lokaliteter.
Den danske implementering af habitatdirektivet base
res på nogle faglige kriterier til vurdering af, om de
nødvendige strukturer og funktioner er til stede for
den enkelte naturtype. Her spiller næringsstoftilførslen
en central rolle, og i vurderingen af bevaringsstatus for
et område indgår, om områdets tålegrænse er
overskredet.
4.2 Hvad er tålegrænser
Tålegrænseme for kvælstof er den kvælstofmængde, et natu
rareal kan tåle, uden at det medfører
kvalitetsændringer af området på sigt. Tålegrænser kan også
fastsættes udfra f.eks. forsurende stoffer.
Tålegrænseme er i Danmark baseret på nationale over
vågnings- og forskningsdata og publicerede,
internationale data.
Tålegrænsen fastlægges af hensyn til naturbeskyttelsen.
Tålegrænsen er afhængig af naturtypen og dens
betingelser i form af jordtype, sedimenttype, klima, hydr
ologiske forhold, plejeforanstaltninger mm. Det er
muligt at fastsætte et typisk niveau for en given naturtyp
es tålegrænse, mens en præcis fastsættelse af
tålegrænsen for en given lokalitet kræver specifikke data
fra den pågældende lokalitet.
14
MPU, Alm.del - 2004-05 (2. samling) - Bilag 240: Program og baggrundsmateriale til høring om husdyrbrug den 25. maj 2005
2608782_0020.png
Husdyrbrug og miljøgodkendelser — høring
25. maj 2005
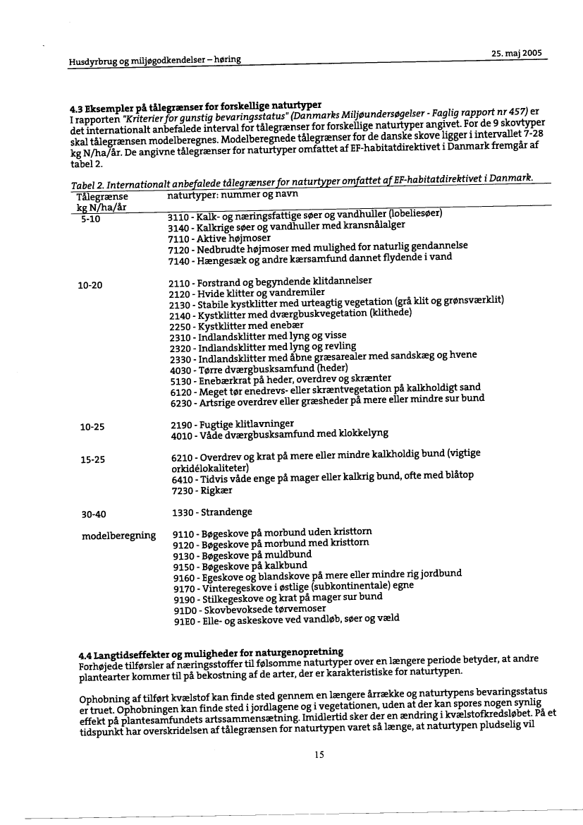
4.3 Eksempler på tålegrænser for forskellige naturtyper
marks Miljøundersøgelser - Faglig rapport nr 457) er
I rapporten "Kriterierfor gunstig bevaringsstatus" (Dan
forskellige naturtyper angivet. For de 9 skovtyper
det internationalt anbefalede interval for tålegrænser for
rænser for de danske skove ligger i intervallet 7-28
skal tålegrænsen modelberegnes. Modelberegnede tåleg
af EF-habitatdirektivet i Danmark fremgår af
kg N/ha/år. De angivne tålegrænser for naturtyper omfattet
tabel 2.
attet af EF-habitatdirektivet i Danmark.
l 2. Internationalt anbefalede tålegrænserfor naturtyper omf
Tabe
naturtyper: nummer og navn
Tålegrænse
kg N/ha/år
er)
3110 - Kalk- og næringsfattige søer og vandhuller (lobeliesø
5-10
3140 - Kalkrige søer og vandhuller med kransnålalger
7110 - Aktive højmoser
annelse
7120 - Nedbrudte højmoser med mulighed for naturlig gend
i vand
7140 - Hængesæk og andre kærsamfund dannet flydende
10-20
2110 - Forstrand og begyndende klitdannelser
2120 - Hvide klitter og vandremiler
og grønsværklit)
2130 - Stabile kystklitter med urteagtig vegetation (grå klit
2140 - Kystklitter med dværgbuskvegetation (klithede)
2250 - Kystklitter med enebær
2310 - Indlandsklitter med lyng og visse
2320 - Indlandsklitter med lyng og revling
g og hvene
2330 - Indlandsklitter med åbne græsarealer med sandskæ
4030 - Tørre dværgbusksamfund (heder)
5130 - Enebærkrat på heder, overdrev og skrænter
holdigt sand
6120 - Meget tør enedrevs- eller skræntvegetation på kalk
mindre sur bund
6230 - Artsrige overdrev eller græsheder på mere eller
2190 - Fugtige klitlavninger
4010 - Våde dværgbusksamfund med klokkelyng
bund (vigtige
6210 - Overdrev og krat på mere eller mindre kalkholdig
orlddOokaliteter)
med blåtop
6410 - Tidvis våde enge på mager eller kalkrig bund, ofte
7230 - Rigkær
1330 - Strandenge
9110 - Bøgeskove på morbund uden kristtorn
9120 - Bøgeskove på morbund med kristtorn
9130 - Bøgeskove på muldbund
9150 - Bøgeskove på kalkbund
rig jordbund
9160 - Egeskove og blandskove på mere eller mindre
9170 - Vinteregeskove i østlige (subkontinentale) egne
9190 - Stilkegeskove og krat på mager sur bund
91D0 - Skovbevoksede tørvemoser
91E0 - Elle- og askeskove ved vandløb, søer og væld
10-25
15-25
30-40
modelberegning
g
4.4 Langtidseffekter og muligheder for naturgenopretnin
en længere periode betyder, at andre
e tilførsler af næringsstoffer til følsomme naturtyper over
Forhøjed
karakteristiske for naturtypen.
plantearter kommer til på bekostning af de arter, der er
længere årrække og naturtypens bevaringsstatus
Ophobning af tilført kvælstof kan finde sted gennem en
tationen, uden at der kan spores nogen synlig
er truet. Ophobningen kan finde sted i jordlagene og i vege
d sker der en ændring i kvælstofkredsløbet. På et
effekt på plantesamfundets artssammensætning. Imidlerti
rtypen varet så længe, at naturtypen pludselig vil
tidspunkt har overskridelsen af tålegrænsen for natu
15
MPU, Alm.del - 2004-05 (2. samling) - Bilag 240: Program og baggrundsmateriale til høring om husdyrbrug den 25. maj 2005
2608782_0021.png
Husdyrbrug og miljøgodkendelser — høring
25. maj 2005
forandre sig. Blandt andet vil den oprindelige sammen
sætning af planter ændres i retning mod mere
konkurrencedygtige og kvælstofelskende arter.
Udviklingen på Idom Hede i Vestjylland er et eksempel
herpå. Efter 2. verdenskrig ophørte afgræsningen og
tørveskrælning mv. i området. Herved blev der fjernet min
dre kvælstof fra heden end førhen. Dertil kom at
brugen af gødning generelt steg, biltrafik og industri udvi
kledes, hvilket forøgede kvælstofdepositionen til
området gennem de næste 50 år. Effekten af disse forandri
nger var ikke slået igennem i 1990, men i løbet af
de sidste ca. 10 år ses derimod en kraftig indvandring af
Gederams og græsarterne, Bølget bunke og Blåtop,
der typisk udkonkurrerer f.eks. Hedelyng.
De fastsatte tålegrænser for kvælstof er i dag overskredet
for de mest sårbare naturtyper. Sammenholdes
den gennemsnitlige lcvælstofdeposition til de danske amt
er (tabel 1) med tålegrænserne for naturtyper
(tabel 2) ses, at selv hvis alle lokale kvælstofudledninger
fjernes, vil depositionen fra udenlandske kilder
overstige tålegrænseme for de mest kvælstoffølsomme
naturtyper. Det må således erkendes, at disse
naturtyper ikke kan opretholdes på længere sigt i Danmark
, med mindre der sker indgreb.
Figur 5. Idom Hede, 2001. Lyng og indvandring af Ged
erams, Blåtop og Bølget bunke.
For at sådanne naturområder skal kunne opretholdes
som den ønskede naturtype og ydermere opnå
gunstig bevaringsstatus, er det nødvendig at gennemfø
re plejetiltag, der nedbringer kvælstofpuljerne i
naturtypen.
Plejetiltagene kan spænde fra afgræsning af et hedeomr
åde til mere omfattende og hårdhændede tiltag
som afskrælning og bortskaffelse af de øverste jordlag,
hvor kvælstoffet er ophobet.
Det er imidlertid ikke overkommeligt at pleje alle true
de naturområder, hvorfor en prioritering af
områderne vil komme på tale. Da pleje kan betragtes som
symptombehandling vil en mere grundlæggende
indsats kunne opnås ved at reducere den luftbårne kvælstof
belastning lokalt og internationalt.
16
MPU, Alm.del - 2004-05 (2. samling) - Bilag 240: Program og baggrundsmateriale til høring om husdyrbrug den 25. maj 2005
2608782_0022.png
Husdyrbrug og miljøgodkendelser — høring
25. maj 2005
Husdyrbrugets udledning til vandmiljøet og
konsekvenserne heraf
niske Universitet
Af Jens Chr. Tjell, Miljø & Ressourcer DTU, Danmarks Tek
Indledning
ngsstofferne kvælstof (N) tilluft og til
Husdyrproduktion giver anledning til udledninger af næri
e indlæg vil kun omhandle effekter af
miljøet, og fosfor (P) udelukkende til vand. Dette meget kort
vand
dvand. For detaljerede oplysninger
udledninger til vandområder, ferske som marine, men ikke grun
henvises til mange kvalificerede publikationer om emnet.
Hvorfra kommer N og P til vandmiljøet?
dning og udvaskning fra byer, industri
Næringsstoffer i vandmiljøet stammer hovedsagelig fra udle
isk deposition en betydelig kilde især i
ktkilder) og landbrugsjord (diffuse kilder). For N er atmosfær
(pun
åbne havområder.
11%
iindusbi
15
8%
85- 0
Kvælstof
Fosfor
ring Fyn,
Figur 1 viser kilder for næringsstoffer til kystvandene omk
( http://www.fyns-amt.dk/wm108370 (10/5/05))
s bidrag fra natur, byer og industri er
brugsbidragene for N og P er de absolut dominerende, men
Land
tilnærmelsesvis repræsentere kystzoner i
re, men ikke ubetydende. Situationen omkring Fyn kan
mind
de) rensningsanlæg i mange år dominerende.
Danmark. Til ferske vande var udledninger af P fra (manglen
et nu den dominerende kilde. Dette illustreres
Med bedre rensning og afskærende ledninger er landbrug
dninger fra ikke-landbrugskilder. For N
klart for Fyn i figur 2 for den kraftige reduktion i P udle
en svag nedadgående tendens for landbrugets
udledningerne er billedet langt mindre klart, med kun
udledninger.
et udviklet sig over årene?
Hvordan har belastningen med næringsstoffer fra landbrug
ed er udviklet og fulgt af flere aktører over
Balancer og tidsserier for N og P i dansk landbrug som helh
mulige reguleringer fås ved at foretage en
årene. Det mest operative billede til at vurdere effekter af
massestrømsanalyse efter princippet:
ind = ud + opmagasinering
abel fra år til år. I figur 3 vises et eksempel på
eligheden er naturligvis meget kompliceret og meget vari
Virk
rig periode. Den viser med al tydelighed de
en beregning af P balancen for dansk landbrug for en tre-å
r fraførelse, og at dette konservative
mange mulige transportveje, og at P tilførsel langt overstige
is i dyrkningsjorden.
næringsstof derfor må akkumuleres i landbruget, fortrinsv
ind overfor ubalancerne for både P og N,
følge af denne type af analyse er der i mange omgange grebet
Som
af P i landbruget.
i f.eks. vandmiljøplaner og senest ved en afgift pålagt brug
17
MPU, Alm.del - 2004-05 (2. samling) - Bilag 240: Program og baggrundsmateriale til høring om husdyrbrug den 25. maj 2005
2608782_0023.png
Husdyrbrug og miljøgodkendelser — høring
25. maj 2005
I figur 4 vises i et længere tidsperspektiv importen af N og
P i handelsgødning. Med økonomisk støtte
fremmedes forbruget af N kraftigt i 1960'erne, og efter
administrative indgreb med VMP'erne efter
1980'erne er forbruget igen dalende. For P er det endvidere
en erkendelse af en stærk overgødskning
kombineret med at husdyrgødning mere end rigeligt kan
supplere jorderne med dette næringsstof.
Udviklingen i tilførsler (isoleret set) af N og P til danske mar
ker med gødninger er vist i figur 5. Der ses en
kraftig reduktion i den direkte handelsgødningstilførsel, men
s husdyrgødningstilførslen nærmest er
uændret, trods en stigende animalsk produktion, med
stigende effektivitet i foderudnyttelsen.
18
MPU, Alm.del - 2004-05 (2. samling) - Bilag 240: Program og baggrundsmateriale til høring om husdyrbrug den 25. maj 2005
2608782_0024.png
Husdyrbrug og miljøgodkendelser — høring
25. maj 2005
rnik.rn3
4C0
300
200
1
- 00
Ton
Ferskvandsafstromning
1600
1200
SOO
400
Ton
Ferskvandsafstro ning
Kvaels'tc'fafstrrs
EN punmider
Dttruse mid&
12000
Kvæistofaistromningt=
EN
Diffuse Kilda
Rirdtkiltlor
3000
2000
1000
8+000
4000
Ton
TOT1
Fcvsfrsra.fstr€snrning
i=1
ntrause kimer
Pureictimaer
-
Fosfor tetromning
SOO
600
150
100
fll
I
i
I
r-- -i
ntrtme Øder
-
Puni21411e>r
1 BIM
å å'g§'
400
200
0
L'
d
c^4
Tidslig udvikling i ferskvands-, N- og
P-afstrømning, opdelt på diffuse
kilder og punktkilder til Storebælt inkl.
Langelandssund, 1976-2003
Tidslig udvikling i den landbaserede
afstrømning af ferskvand, kvælstof og fosfor
fra Fyns Amt til de fynske kystvande
1976-2003. Kvælstof og fosfor er opdelt
1980-88 og
på punkt- og diffuse kilder. Middel for perioderne
1989-2002 hhv. før
og efter Vandmiljøplanen er angivet.
e vande på Fyn og til Storebælt.
Figur 2. Udviklingen i
N
og P afstrømningen til fersk
ogforureningstilstand
(Kystvande 2003. Næringsstoftilførsler Vandkvalitet
)
Årsager og udvikling 1976-2003, Fyns Amt, April 2004
Hvilke effekter ses fra N og P udledning?
det vanskeligt at skelne effekterne fra husdyrbruget
De mange kilder for næringsstoffer i vandmiljøet gør
er den dominerende faktor i kvaliteten af vand i
separat. Der er imidlertid ingen tvivl om at landbruget
hovedsagelig forårsaget af N belastning i marine
Danmark. Der skelnes mellem effekter i vandmiljøet
), idet stofferne er begrænsende for
åder, og hovedsagelig af P belastning af ferske vande (søer
omr
r vækst.
algevækst i det vandmiljø hvor en yderligere tilførsel give
eutrofiering (for kraftig algevækst), med
I begge tilfælde er hoved- og primæreffekten uæstetisk
ativt iltsvind som kan udrydde bundflora og -
efterfølgende bortskygning af bundvegetation, og ultim
ræs, hvor det ikke gror ret dybt, og hvor der ikke
fauna. I figur 6 vises Limfjordens dybdegrænse for åleg
sen af iltsvind i Hjarbæk fjord, hvor der kan ses
synes at ske varige forbedringer. I figur 7 vises udbredel
edring. I figur 8 ses det at stor belastning
ationer mellem årene, men ikke en klar tendens til forb
store vari
med N til Kattegat mindsker udbredelsen af havalger.
19
MPU, Alm.del - 2004-05 (2. samling) - Bilag 240: Program og baggrundsmateriale til høring om husdyrbrug den 25. maj 2005
2608782_0025.png
Husdyrbrug og miljøgodkendelser — høring
25. maj 2005
Fosforbalance for dansk landbrug 1993-96
Dansk
Fir
.mel
importeret
foder
Min-P
Mend-
Handels- nedbar &
til
• • 'l?g
fixerin9
,
Slam
import af
obefrø
øl,
olie,
-.okker
Industri
Nettosalg
af mælk
• ri
niæe
Udst--t
salg af
,t,tabilske
Nettosalg of
køØ.
33,g rnv.
s€t,gteri
Ked-
andb rug sjord
1‘1a:tur-
ged
Foder
Husdyr
Overskud
Figur 3. Eksempel på massestrømsanalyse for P i dansk landbrug. (Pedersen & Tjell 1997)
lactiastarea ~sr;
at ~Ora -
gat af kewistof og ,ffisfof t
bamtelsgediting steg va!asanst"
fra begyndelsett af 19601trare
frem
begyertteisee
1000 ton
400
350
300
2S0
200
1.50
100
SO
....Fosfor
m..Kvælstof
4
1080'erne, fra forste hairdel
of x 980`ertre
frew tit 2003
er Isv:etstaffargrx4get tr&wente
am fusfarfareraget ridaceart
aped ca. 70 prep
t.
A"Udez Planamareatarbner
0
47,
IN,
NJ
.4Z,
lCf
ke,
4,1
ub
+27,
4:3
-
CNN
-
dt's
E.>
E..C.
'4.
r+,
C. ,
Figur 4. (Natur og Miljø 2003. Vores vand. Miljøministeriet 2004)
120-
2
a
70°
600-
100-
• 4Ø-
..
300-
ø
200
• 1€)0
0
4
0
1:,:7 1
1991 1993 1995 1997 1999 2001 2003
1987 1989 1991 1993 1995 1997 1999 2001 2003
Kvæg
Svin
Andet
Handelsgradning
Figur 5. Udviklingen i tilførsel af gødning til danske marker. (DMU, december 2004)
20
MPU, Alm.del - 2004-05 (2. samling) - Bilag 240: Program og baggrundsmateriale til høring om husdyrbrug den 25. maj 2005
2608782_0026.png
Husdyrbrug og miljøgodkendelser - høring
25. maj 2005
Figur 11: Dybd.egrrensefor
ålegrces målt som
ge?MeniStlitfor hele
Liinfjorden, 1989-200.1.
1988 1990 1992 1994 1996 1998 2000 2002 2004
35
30
25
20
15
10
5
0
1088
1990
1992
1994
1996
1998
2000'
2002
Figur 9:
Areal med iltsvind svarende til
forekomst
of iltkoncentration
under 2 mg11for perioden
1988-2004.
2004
Figur 6 og 7. Udviklingen i dybdegrænsen for ålegræs i Limfjorden, og i arealet med iltsvind i Hjarbæk
fjord. ( http://www.limfjord.dk/ (10/5/05))
Stone hangar, knarer Ws, ag
deers udbredelso p4r o'ybt
rand stiger, ja klarere vandet
Snitorne visor dapkeings.
proteaten of fiovolger pd
18,5 meters dybde ved steep-
meet Iffins TØ f Kattegat.
Dga
Ye
Kvælstof (1000
.Algedække på. sten «ffitn, Udvask.nlnd til Kattegat
fra danske ferskvands-kilder
ton)
60
100
80
50
store dækningsprocent
1998 og 1997 skyldes tort
re", der hat,erede advosknfaa
gnu af kværstof fro land, none
vist
Mad dear knee
30
20
20
lid"; Øraaaearits
Afiefeueder-
si~
.944
95
96
'9 7
98
9
'
'01
102
'03
10
Figur 8. Havalger (fastsiddende makroalger) på dybt vand i relation til N tabet til Kattegat.
(Natur og Miljø 2003. Vores vand. Miljøministeriet 2004)
Sammenfattende bemærkninger
til
Massebalancer for N og P viser klart, at der er store og dominerende bidrag af N og P fra landbruget
ødning.
vandmiljøet. Overskuddet er mindskende, især for N, grundet det aftagende forbrug af handelsg
21
MPU, Alm.del - 2004-05 (2. samling) - Bilag 240: Program og baggrundsmateriale til høring om husdyrbrug den 25. maj 2005
2608782_0027.png
Husdyrbrug og miljøgodkendelser - høring
25. maj 2005
For P er det især bidrage fra andre kilder, der er kraftigt reduceret, mens bidraget (udlækning) fra
landbruget sandsynligvis er stigende indtil en balancesituation for P i jorden opnås.
Landbrugets bidrag med N og P er dermed langt de dominerende og medfører lav vandkvalitet i søer og i
kystnære områder. De mindskede overskud (tab) af N i nyere tid er ikke klart dokumenteret i målinger af
koncentrationer i det marine miljø, idet store årlige klimavariationer slører billedet.
For P har vandkvaliteten især i søer tidligere været domineret af P tilførsel fra byer, hvilket nu er stærkt
reduceret. Dermed er landbrugets (formodede) stigende tab af P fra stærkt gødskede jorder blevet
dominerende i udviklingen af den biologiske vandkvalitet. Biledet er stærkt varierende fra sted til sted da
bundsedimenter i lang tid kan afgive store mængder P til søvandet og dermed overskygge forbedringer
pga. eventuelle nedsatte bidrag.
Der er ikke med sikkerhed konstateret generel bedring af den biologiske tilstand i det marine vandmiljø. I
tørre år er vandkvaliteten i kystnære områder klart bedre end i våde år med store tab af N fra
landbrugsarealer. Variationerne i belastning og dermed biologisk aktivitet overskygger en eventuel
indtruffen forbedring.
Disse udsagn indikerer at næringsstoftabene fra dansk landbrug stadig er for store til at kunne sikre en
vedvarende og synlig forbedring af vandkvaliteten i miljøet.
22
MPU, Alm.del - 2004-05 (2. samling) - Bilag 240: Program og baggrundsmateriale til høring om husdyrbrug den 25. maj 2005
2608782_0028.png
Husdyrbrug og miljøgodkendelser — høring
25. maj 2005
Husdyrproduktionens lugtudledning til atmosfæren,
herunder lugtgener i nærmiljøet
Af Per Løfstrøm, Danmarks Miljøundersøgelser
af en eller flere elementer i proceskæden
Vurdering af lugtgener fra husdyrproduktion kan involvere
onering af naboer. Hvorvidt en given
lugtudsendelse, atmosfærisk spredning og fortynding samt eksp
udledning giver anledning til en gene er ikke entydig.
Antal husstande omkring husdyrbrug
e i nærheden af landbrugsejendomme med
En opgørelse fra DMU giver en oversigt på antallet af husstand
e indenfor en given afstand fra landbrugs-
husdyrhold. Opgørelsen i tabellen beskriver antallet af husstand
n af husdyrbruget angives i DE (dyreenheder),
ejendomme med husdyrhold over en vis størrelse. Størrelse
om året. F.eks. svarer 1 DE til 0,85 malkeko
hvor 1 DE svarer til at husdyrene producerer 100 kg kvælstof
), eller 2900 producerede slagtekyllinger.
(stor race) på stald, 36 årligt producerede slagtesvin (9 på stald
lt burde reguleringer sørge for at
Opgørelsen er baseret på landbrugsdata per 31.12.02. Principie
r oplysning om det potentielle antal
husstandene ikke er udsatte for lugtgener; men tabellen give
lser, som medfører større lugtudslip.
husstande som kunne blive påvirket ved produktionsudvide
husdyr i Det centrale Husdyrregister (CHR-
Opgørelsen er udført ved at sammenholde ejendomme med
tandene er behandlet som punkter. Pelsdyr
registret) med ejendomsregistret. Både husdyrbrugene og huss
ner, men kun for ejeren. Større
indgår ikke, da registret ikke indeholder adresser for produktio
r (radius 50 meter), hvorfor der bør trækkes
landbrugsejendom vil typisk dække en diameter på 100 mete
6700 husstande ligger inden for 300 m
50 meter fra de angivne radier i tabellen. Det ses således, at ca.
ca.
fra husdyrhold på over 249 DE.
ebrug og den anden halvdel kvægbrug, dog
Det vurderes at ca. halvdelen af husdyrproduktionerne er svin
uktioner (>249 DE). Fjerkræbrug udgør kun en
nok med en lidt større andel af svine brug for de større prod
mindre del af husdyrbrugene.
Tabel. Antal husstande nær husdyrbrug
(DMU/SYS/SGY).
Husdyrbrug
Størrelse
og
antal
Radius (meter)
100
150
250
350
500
1000
>125 DE
6238
>249 DE
963
Antal husstande indenfor
radius
1258
8708
1953
13939
3983
28190
6699
46548
12561
84312
53630
298966
Hvad er lugt
i stand til at skelne omkring
Der findes tusinder af forskellige lugtstoffer. Mennesket er
oftest af en blanding af
10.000 forskellige lugte. Lugt fra husdyrproduktion består som
nden og andre kan
mange forskellige stoffer. Nogle lugtstoffer kan forstærke hina
hver for sig er vanskelige at
opveje hinanden. For eksempel kan en række stoffer, som
lugt. Fra gylle er fundet over
lugte (ligger tæt på lugttærsklen), tilsammen give kraftig
lugten være hæftet på støv
200 forskellige lugtstoffer. Selv om lugt er gasformig, så kan
23
MPU, Alm.del - 2004-05 (2. samling) - Bilag 240: Program og baggrundsmateriale til høring om husdyrbrug den 25. maj 2005
2608782_0029.png
Husdyrbrug og miljøgodkendelser — høring
25. maj 2005
fra fx. et ventilationsafkast og lugten kan senere afdampe
fra støvet. Væsentlige
lugtstoffer fra husdyrbrug er svovlbrinte, fedtsyrer, sulfider,
aminer, indoler, fenoler,
aldehyder og mercaptaner.
Det skal her slås fast, at det ikke er ammoniakken som giver
lugtgener i Danmark. Lugttærsklen for
ammoniak er 250 ug/m3, hvilket ligger langt over de nive
auer som er målt omkring stalde i Danmark og i
andre lande med lignende forhold.
Måling af lugtstoffer og koncentrationer
Måling af lugtkoncentrationer er ikke nogen simpel sag. Mål
ingen foretages ved at nogle udvalgte
'normal' personer (et lugtpanel) i et laboratorium lugter til
forskellige fortyndinger af en lugtprøve.
Herved bestemmes en lugttærskel og dermed prøvens opri
ndelige koncentration. Dette er den såkaldte
olfaktometriske metode og er beskrevet i en europæisk stan
dard. Metoden kræver høje koncentrationer af
lugt i prøverne (ca. halvtreds gange over lugttærsklen) og kan
derfor kun anvendes til bestemmelse af
koncentrationer direkte i kildens udslip(skorsten). Da lugt
koncentrationer i omgivelserne (hos naboer) er
relativt lave i forhold til analysemetodens krav, så er det
p.t ikke muligt med olfaktometri at måle lugt i
omgivelserne. Metoden er behæftet med nogen usikkerhed, som
dog reduceres ved analyse af flere prøver.
Det er dog muligt at måle enkeltstoffer selv i lave koncentr
ationer i omgivelserne. Men da den
menneskelige opfattelse af lugt er baseret på et komplice
ret samspil mellem de mange forskellige (og på
forhånd ukendte) lugtstoffer er denne fremgangsmåde p.t.
ikke anvendelig.
Nye forskning foregår dog i målemetoder baseret på kom
binationer af enkeltstoffer (opsamling af lugt på
adsorbent til kemisk analyse i laboratoriet samt elektronisk
'næse').
Menneskelig opfattelse af lugt
Menneskets opfattelse af lugt er ikke lineær — dvs. en halv
ering
opfattes som en halvering af lugtstyrken (intensiteten), men af høje lugtkoncentrationer ikke altid
vil være noget mindre (se figur), lugt
opfattelsen er tilnærmelsesvis logaritmisk ligesom mennesk
elig opfattelse af lydstyrke. Forskellige
lugtstoffer med samme koncentration kan også opfattes som
om de har forskellig styrke (figur).
Lugtgeners omfang er et kompliceret samspil af lugtens
intensitet, hyppighed og varighed. Der findes ikke
en sammenhæng af disse parametre, som entydigt kan
definere en gene, hvilket også fremgår af at
grænseværdier for lugt i forskellige lande er temmelig forsk
ellig (se senere om grænseværdier).
24
MPU, Alm.del - 2004-05 (2. samling) - Bilag 240: Program og baggrundsmateriale til høring om husdyrbrug den 25. maj 2005
2608782_0030.png
Husdyrbrug og miljøgodkendelser - boring
25. maj 2005
Meget
stærk
5
_
Stærk 4 -
. , ''.
. .-
.
. '
--:-.-"--
ci)
-..
.-...
ci)
c
a)
-5
..7-.
a)
-J
Tydelig
3 -
= Svag
2 —
,i l
--
./
--
7,- -
--
,
--- ---/-
--
/
,.. /
"'.
/
,
I
..- /
'
I' .,- '-- -/
..
/
/
--
.-- --
— —,----- —
...-
--
.......-
Hønsehus
Grisestald
Brødfabrik
' / / /
Meget 1 _
svag
0
/. /
.
— — — -
Blikemballagefabrik
— — —
Lakereri
Lugttærskel
Lugtkoncentration (LE/m 3)
sitet (lugtstyrke) — en halvering
Eksempel på menneskets logaritmiske opfattelse af lugtinten
af lugtintensiteten. Ligeledes kan
af store lugtkoncentrationen medfører ikke en halvering
elligt i intensitet (styrke). (Efter
forskellige lugte i samme koncentration opfattes forsk
målingerfra Force Technology.)
til at opfatte lugt, ligesom deres relationer til
Endelig er der en stor variation i naboers følsomhed og evne
for opfattelsen af en given lugt.
kilden eller erhvervet ikke kan udelukkes at spille en rolle
Udslip af lugt
stalde, fra opbevaring (gylletanke)
bruget kan stamme fra udbringning af gylle på marker, fra
Lugt i land
der for det meste i april og maj, men også i
transport. Udbringning og transport foregår i kortere perio
og
mer hele året, dog er lugtudsendelsen størst på
små mængder i det tidlige efterår. Lugt fra stalde forekom
for at køle dyrene, hvilket også medfører et
varme sommerdage, idet der her kræves et stort luftskifte
gylletanke reducerer frigivelsen af lugt herfra
samlet større lugtudslip. Flydelag eller overdækning af
endelsen per dyreenhed er mange gange større
betydeligt. Den primære kilde til klager er stalde. Lugtuds
for svin og fjerkræ end for kvæg.
gden af lugt fra stalde. Det er et relativt
hygiejne, staldindretning og foder har indflydelse på mæn
Stald
dslipfra stalde via olfaktometri. I Danmark
ressourcekrævende arbejde at bestemme størrelsen af lugtu
å' linger. Lugtudslip vurderes derfor oftest med
findes tre akkrediterede laboratorier, som udfører lugtm
kategori.
udgangspunkt i lidt gennemsnitstal, som er opdelt efter dyre
Spredning af lugt i omgivelserne
- svarende til den tid det
Mennesket kan opfatte lugt selv ved kortvarige påvirkninger
oncentrationer variere
tager at tage en indånding. Inden for en time kan korttidsk
følge af luftens turbulens,
kraftigt (typisk en faktor 2-20) over middelværdien som
r i vurderingerne. Fx kan
hvilket gør det vigtigt at inddrage kortere midlingstide
lugttærsklen; men kortvarige
timemiddelværdien af lugtkoncentrationen ligge under
kraftig lugt.
koncentrationer kan ligge langt over og give tydelig eller
middelværdien. De vigtigste faktorer
koncentrationerne har ikke en fast værdi i forhold til time
Korttids
n, højden af afkastet og nærliggende
der bestemmer forholdet er meteorologi, afstanden fra kilde
forskellige typer af kilder vil forekomme under
bygninger. Det betyder også at den største lugt omkring
udsendt fra et lavt afkast på taget, og som bliver
forskellige meteorologiske forhold. Fx vil lugt fra stalde
største lugtkoncentrationer på sommerdage ved
'fanget' i staldbygningens læside, give anledning til de
ang.
svag til jævn vind i timerne omkring solens op- og nedg
0
2
4
6
8
10
12
14
16
18
20
25
MPU, Alm.del - 2004-05 (2. samling) - Bilag 240: Program og baggrundsmateriale til høring om husdyrbrug den 25. maj 2005
2608782_0031.png
Husdyrbrug og miljøgodkendelser — høring
25. maj 2005
Ved vurdering af lugtgener i nærområdet omkring en kilde
via beregninger med atmosfæriske
spredningsmodeller anvendes traditionelt timemiddelværdi
er af lugtkoncentrationer, som i nogle tilfælde
på simpel vis korrigeres for kortvarige høje koncentration
er.
Regulering af lugt og grænseværdier
I Danmark er husdyrbrug på mellem 15 DE og 250 DE (afh
ængig af dyrekategori) reguleret efter
'Husdyrgødningsbekendtgørelsen', som også er rettet mod
støj og støv. De større husdyrbrug (>250 DE)
reguleres efter kapitel 5 i miljøbeskyttelsesloven.
Internationalt anvendes mange forskellige grænseværdie
r for lugt i omgivelserne — og dermed forskellige
genekriterier, hvilket viser vanskeligheden ved at bestemm
e et entydigt genekriterie. Typisk må en
grænseværdi ikke overskrides i en vis (stor) procentdel
af tiden i løbet af en given periode. Dermed
accepteres altså lugt i en lille del af tiden.
Grænseværdierne er oftest vejledende, idet mange fakt
orer kan have indflydelse på geneoplevelsen.
Grænseværdierne kan have forskellige niveauer afhængig
af typen af produktion/lugt, om det vedrører ny
eller eksisterende produktion, eller af områdets anvendel
se (boligtæthed eller industrikvarter).
Der findes som nævnt p.t. ingen metoder/instrumenter til
direkte måling af lugtkoncentrationer i
omgivelserne. Derfor sker fastlæggelsen af genekriterier af
myndighederne i de forskellige lande via
atmosfæriske modelberegninger af eksponeringen sammen
holdt med undersøgelser af nabogener. Det
betyder at landenes genekriterier er knyttet til de forskellig
e landes spredningsmodeller, det lokale
vindklima, samt den lokale befolknings tolerance. Det
kan derfor være vanskeligt direkte at sammenligne
forskellige landes grænseværdier, udover det at den statistisk
e definition kan være forskellig.
I Danmark er kravet til husdyrbrug at der ikke må fore
komme væsentlige lugtgener. For husdyrbrug på 15
DE til ca. 250 DE reguleres dette via afstandskrav, som
er 300 m til beboelse i byzone. Inden for denne
grænse kræves en lokaliseringsgolkendelse af kommun
en, hvis en produktionsændring medfører et
større lugtudslip. For husdyrbrug på over 100 DE (og min
dre end 250 DE) gælder tilsvarende krav mht.
enkeltliggende beboelse inden for 100 m. Uden for 300 m
kan myndighederne give påbud, hvis der
alligevel forekommer lugtgener.
Der ikke krav om anvendelse af atmosfæriske sprednin
gsmodeller til vurdering af lugtbelastningen.
For husdyrbrug over ca. 250 DE ( reguleret efter miljøbes
kyttelsesloven) findes en vejledning fra
Miljøstyrelsen for husdyrbrug, hvori en stigende antal
dyreenheder modsvares af et kontinuert stigende
afstandskrav. Her anvendes oftere beregninger med spre
dningsmodeller til vurdering al lugtbelastningen.
Ved eksisterende husdyrbrug vil en del af et af grundlag
et for vurdering af mulige lugtgener i nogle
tilfælde være baseret på lugtobservationer i omgivelserne
udført af myndighedens miljømedarbejdere.
Som nævnt, har det ikke været almen praksis ved vurd
ering af mulige lugtgener fra husdyrbrug at
anvende de samme atmosfæriske spredningsmodeller
til beregning af lugteksponering som anvendes i
industrien.
26
MPU, Alm.del - 2004-05 (2. samling) - Bilag 240: Program og baggrundsmateriale til høring om husdyrbrug den 25. maj 2005
2608782_0032.png
Husdyrbrug og miljøgodkendelser — høring
25. maj 2005
Om praktiske erfaringer med regulering af husdyr i Fyns
Amt
Af Miljøchef Thorbjørn Sørensen, Fyns Amt
Resurn
store administrationsomkostninger for
VVM-regler er meget komplicerede og bureaukratiske med
landmænd og det offentlige til følge.
men behandlingen af ansøgningerne har
Amt modtager en ansøgning om udvidelse hver arbejdsdag,
Fyns
n i 2004 medførte en regulering af
samlet set en meget lille miljøeffekt. Fyns Amts administratio
astningen fra de eksisterende 200.000 DE
miljøbelastningen fra udvidelser på 5600 DE, mens miljøbel
omfattende 3700 DE er accepteret uden særlige
kunne fortsætte uændret. Hertil kommer, at ansøgninger
øbelastningen fra planteproduktion.
miljøtiltag. Det bemærkes, at reguleringen ikke omfatter milj
indelse med behandlingen af de mange
VVM-myndigheden har et mindre regionalt råderum i forb
"svinestop", men kan i en række sager
ger. Myndigheden kan ifølge lovgivningen ikke indføre et
ansøgnin
den reducerer miljøbelastningen fra den
at de ansøgte udvidelser er miljøneutrale ved at landman
sikre
ende foranstaltninger.
eksisterende produktion ved de mindst omkostningskræv
om nogle år i forbindelse med habitat- og
Ved ønsker om yderligere reduktion af miljøbelastningen
mere omkostningskrævende miljøløsninger,
vandrammedirektivet er der således risiko for, at der kun er
herunder opkøb af husdyrbrug, tilbage.
lte landbrugsejendomme (miljøgodkendelser),
Der er behov for en ny form for miljøregulering af de enke
hvor hele produktionen reguleres.
og vandrammedirektivet bør staten fastsætte
For tiden frem til vedtagelse af indsatsplaner efter habitat-
enkelte landbrug, som skal indbygges i de
ambitions mål for reduktionen af miljøbelastningen fra det
et
reduktion af miljøbelastningen af vores natur og
nye miljøgodkendelser. På denne måde sikres en løbende
vandområder frem til vedtagelsen af indsatsplanerne.
Status for målopfyldelse
est Vandmiljøplan III) og Fyns amts
De generelle miljøreguleringer på husdyrbrugsområdet (sen
tilfælde ikke tilstrækkelig beskyttelse af
administrationspraksis på VVM-området sikrer i de fleste
miljøfølsomme områder i Fyns Amt..
em de seneste år, opfylder ingen af de fynske
Uanset, at belastningen falder og har været faldende genn
for hovedparten af søerne i amtet. Årsagen er i
kystvande i øjeblikket målsætningerne; det samme gælder
høj grad for store næringsstofudledninger fra landbruget.
r for meget kvælstof fra luften (ammoniak
andel af de næringsstoffølsomme naturarealer modtage
En stor
ndene. Ved denne ændring udkonkurreres
kvælstofilter), hvilket medfører ændring af plantesamfu
og
følge.
sjældne, nøjsomme planter med tab af naturværdier til
internationale, nationale eller regionale
En yderligere forøgelse af belastningen strider mod de
opfyldes (herunder også Vandmiljøplanernes
miljøpolitiske målsætninger. Hvis målsætningerne skal
gt set således ikke mulighed for at øge
reduktionsmål for næringsstofudledningen), er der fagli
belastningeme.
belastningen. Der er tværtimod brug for at reducere
. I Fyns Amt er grundvandet dog forholdsvis godt
Grundvandsressourcen kan blive forurenet af kvælstof
annes.
beskyttet af lerforekomster, hvor nedsivende nitrat omd
old til lugtfølsom arealanvendelse som for
De generelle afstandsregler for husdyrproduktioner i forh
tilfælde mod væsentlige lugtgener fra
boliger i byzoner/sommerhusområder sikrer ikke i alle
eksempel
husdyrproduktioner.
Miljøbelastning fra 50 dyreenheder
ingen fra de ansøgte udvidelser er der i
For at få et indtryk af størrelsesordenen af miljøbelastn
delse med 50 DE. Ud fra figurens tal kan det
nedenstående figur angivet miljøbelastningen fra en udvi
27
MPU, Alm.del - 2004-05 (2. samling) - Bilag 240: Program og baggrundsmateriale til høring om husdyrbrug den 25. maj 2005
2608782_0033.png
Miljøbelastning fra produktion af 50 DE slagtesvin på gyllesystem
25. maj 2005
(1.750 slagtesvin, 35,7 ha dyrket areal, 1,4 DE/ha,
75 % udnyttelse af husdyrgødning)
Kvælstof:
Samlet tab
til luft og vand
3.300
kg Niår (92 kg N/ha)
Udvaskning* (overskud)
2.300 kg N/år
Heraf udledning til overfladevand 1.100 kg N/år
(45 % af udvaskning)
Samlet ammoniakfordampning
1.200 kg N/år
Fosfor:
Samlet fosforoverskud tilført markerne:
it Med fytase til foder
110 kgP/år (3 kg P/ha)
Uden fytase til foder
350 kgP/år (10 kg P/ha)
Andre "forurenere" til sammenligning:
Spildevandsudledning
Assens Renseanlæg (12.000PE)
5300
Assens Sukkerfabrik
6400
Bogø Havbrug
5100
Enkeitliggende ejendom (3 pers)
<13
": En del ef advaskmngen skybles, at en det af
det fordampede ammoniak efsa3ttes
på torden og udvaskes.
kg N/år
620
260
550
<3
kg P/år
eksempelvis beregnes, at kvælstofudledningen til overfladevand fra de 50 DE svarer til udledning fra et
renseanlæg, som modtager spildevand fra ca. 2.500 indbyggere.
Status for udviklingen af husdyrbestanden.
I
2004 var der registreret ca. 200.000 dyreenheder (DE) på husdyrbrug i Fyns Amt. Det kan konstateres at
udviklingen i det samlede antal dyreenheder i perioden 1992 til 2002 har været omkring 1,5 % om året.
Bag denne udvikling skjuler sig en tilbagegang i kvægbestanden, mens svineproduktionen i den samme
periode er steget med knap 50 %, altså omkring 4 % om året. Prognose fra Dansk Fødevareministeriet,
Fødevareøkonomisk institut viser, at der også i de kommende vil være stigende svineproduktion i Fyns
Amt.
Totalt
1121
Kvæg
155
151
2.115
t IN
to 135
• 131
• 125
i 115
.9 III
115
1111
Svin
;
Its
4-W
1•5
1•5
95
I.
I.
f
li
95
"
-•
I "
75
EEEEEEEEEEEiE
"••• fide bidet }
Rye, Met
Ar
EEtEEEEEEEEI
Hele bidet
Fyne And A'
EEEEEEE
Bete bedet
eyes Awl
Ar
EE
E
ii
28
MPU, Alm.del - 2004-05 (2. samling) - Bilag 240: Program og baggrundsmateriale til høring om husdyrbrug den 25. maj 2005
2608782_0034.png
Husdyrbrug og miljøgodkendelser — høring
25. maj 2005
Udviklingen i dyreenheder i Fyns Amt
I 2004 modtog amtet ca. 260 ansøgninger om udvidelser på samlet ca. 9.300 DE (svarende til ca. 326.000
slagtesvin), hvilket er af samme størrelsesorden som ansøgninger de foregående år. Altså en ansøgning
hver arbejdsdag året rundt. Hovedparten af udvidelserne sker på mindre husdyrbrug.
Projektansøgningerne omfattende ca. 40 % af de ansøgte dyreenheder accepteres uden særlige tiltag til
begrænsning af belastningen af natur og vandmiljø, mens ca. 60 % af de ansøgte dyreenheder tilpasses af
hensyn til grundvand/overfladevand, hvoraf ca. 1/3 også tilpasses af hensyn til naturområder. De således
tilpassede projekter accepteres af amtet (uden VVM-pligt).
Udvidelsernes miljø- og naturbelastning.
Reglerne medfører en uhensigtsmæssig miljøregulering, hvor der primært fokuseres på miljøbelastningen
fra de ansøgte udvidelser af husdyrbrug, mens miljøbelastningen fra de eksisterende husdyr- og
planteproduktioner ikke reguleres.
Jfr. ovenstående kunne Fyns Amt i 2004 i store træk alene regulere miljøbelastningen fra udvidelserne på
9.300 DE, mens miljøbelastningen fra planteproduktion og de eksisterende 200.000 DE kan fortsætte
uændret (når der ses bort fra den generelle miljøregulering). Hertil kommer så, at den hidtidige praksis på
området alene har medført regulering/reduktion på 30 % af udvidelserne omfattende 60 % af de ansøgte
dyreenheder. Der foretages således kun reguleringer af miljøbelastningen fra de ca. 5600 DE. De seneste
opstramninger fra Naturklagenævnet vil dog sikre, at der fremover foretages yderligere reguleringer i
forbindelse med udvidelser..
NN Fjord - indsatsplanlægning
I ovgivnin gsmæss ige mulighed et for regulering af milje belastning
fra landbrugsproduktion i op landet til "NH Fjord"
Nuværende situation 2004
M iljcbelastning
pr . ha
Regulerha
Ikke regulerbar
Max belastrking af "MI Fjord"
for VRD-målszetniugeopfyldelse
"Tålegrænse"
E
Ejendomme i oplandet til 'NN Fjord"
4
3
2
1
Mer
-belastning ved udvidel se af husdyrproclikticn
Eksisterende belastning v ed fuld gennemførelse af VM P 1+11+111
Samfundsøkonomisk ville
det være mere hensigtsmæssigt også at inddrage miljøbelastningen fra den eksisterende husdyr- og
planteproduktion i reguleringen. Hertil kommer, at reguleringen ikke sikrer en faldende miljøbelastning
fra de enkelte landbrug.
Afhjælpende foranstaltninger.
VVM-myndigheden har et mindre regionalt råderum i forbindelse med behandlingen af de mange
ansøgninger. Myndigheden kan ifølge lovgivningen ikke indføre et "svinestop", men
kan i en række sager sikre at de ansøgte udvidelser ikke giver anledning til yderligere miljøbelastning
ion
(miljøneutrale). I disse sager reducerer landmanden miljøbelastningen fra den eksisterende produkt
29
MPU, Alm.del - 2004-05 (2. samling) - Bilag 240: Program og baggrundsmateriale til høring om husdyrbrug den 25. maj 2005
2608782_0035.png
Husdyrbrug og miljøgodkendelser — høring
25.
maj
2005
ved de mindst omkostningskrævende foranstaltninger. Det drejer sig om virkemidler som efterafgrøder,
reduceret gødningsnorm eller vådområder, der koster 15-40 kr./kg fjernet kvælstof ifølge forarbejdet til
Vandmiljøplan III.
Ved ønsker om yderligere reduktion af miljøbelastningen om nogle år i forbindelse med habitat- og
vandrammedirektivet er der således risiko for, at der kun er mere omkostningskrævende miljøløsninger,
herunder opkøb af husdyrbrug, tilbage. Af forarbejdet til Vandmiljøplan III fremgår, at hvis man måtte
have behov for at reducere husdyrholdet, for at sikre opfyldelsen af de miljøpolitiske mål, så er dette tiltag
blandt de mest omkostningskrævende miljøtiltag (300 kr./kg fjernet kvælstof). Til sammenligning koster
det i gennemsnit 70-120 kr./kg fjernet kvælstof på kommunale og private renseanlæg.
Miljøgodkendelser, en ny form for regulering.
Der er behov for en ny form for miljøregulering af de enkelte landbrugsejendomme, hvor hele
produktionen reguleres. Den nye regulering bør bl.a. erstatte de nuværende VVM-regler. Ved samme
lejlighed bør kontrol og tilsynsside forenkles. I dag er kommune, amt, plantedirektorat og
jordbrugskommission involveret i kontrol og tilsynsarbejde.
Den lovpligtige miljøgodkendelse af industrien i Danmark har været en stor succes. En tilsvarende ordning
med lovpligtige miljøgodkendelse af hovedparten af landbrugsejendomme bør gennemføres og dermed
medvirke til en løbende forbedring af natur og miljø.
En satsning på miljøgodkendelser som et effektivt regulerings instrument sikre også at anvendelse bedst
tilgængelig teknologi vil blive vurderet og evt. anvendt i forbindelse med de konkrete miljøgodkendelse
r.
Hvor effektiv miljøgodkendelser vil være er selvfølgelig også afhængig af hvilke typer af landbrug, der
bliver omfattet af ordningen. På Fyn vil en ordning som omfatter husdyrbrug større end 50 DE betyde
at
reguleringen vil omfatte knap 45 % af det samlede landbrugsareal, mens en grænse på 75 DE vil omfatte
knap 40% af det samlede landbrugsareal. Dertil kommer at det ikke kun er husdyrbrugene som har eller
kan have en væsentlig miljøbelastning. Også planteavlsbrugene som modtager overskydende
husdyrgødning og producerer en stor del af foderet til husdyrproduktionen kan have en væsentlig
miljøbelastning.
I lighed med industrien bør der gives et passende åremål (f.eks.
5
år) til at få udarbejdet miljøgod
kendelser
i prioriteret rækkefølge. På den måde skabes der også tid til omstilling for erhvervet og mulighe
d for
udvikling af miljøteknologi.
For tiden frem til vedtagelse af indsatsplaner efter habitat- og vandrammedirektivet bør staten
fastsætte
et ambitionsmål for reduktionen af miljøbelastningen fra det enkelte landbrug, som skal indbygges
i de
kommende miljøgodkendelser. På denne måde sikres en løbende reduktion af miljøbelastningen af
vores
natur og vandområder frem til vedtagelsen af indsatsplanerne.
30
MPU, Alm.del - 2004-05 (2. samling) - Bilag 240: Program og baggrundsmateriale til høring om husdyrbrug den 25. maj 2005
2608782_0036.png
Husdyrbrug og miljøgodkendelser — høring
25. maj 2005
g:
ønt Teknologisk Fremsyn om Miljøvenligt Landbru
Gr
Husdyrproduktion
ø
Af Seniorforsker Kristian Borch, Forskningscenter Ris
skal bidrage til en mere sammenhængende
Det Grønne Teknologiske Fremsyn om Miljøvenligt Landbrug
øproblemernes kompleksitet betyder et øget
miljø- og innovationsindsats. En stigende erkendelse af milj
iske systemer. EU's Lissabon strategi,
s på at finde løsninger på tværs af ministerierne og de teknolog
foku
ste danske Grøn Markedsøkonomi rapport
EU's kommende miljøteknologiske handlingsplan og den sene
- og innovationspolitiske indsats.
er eksempler på en stærkere sammentænkning af den miljø
bidrage til at koble de fremadrettede
Teknologisk Fremsyn (TF) kan her være et virkemiddel, der kan
blemer. Herved muliggøres udviklingen af
tendenser i innovationsprocesserne med væsentlige miljøpro
fokusering af de sparsomme ressourcer,
mere langsigtede strategier, der kan bidrage til en effektiv
.
samtidig med at landbruget sikres en bæredygtighed udvikling
fundsmæssig betydning, da det er
n og teknologisk udvikling inden for landbrug er af stor sam
Innovatio
er i tilstødende erhverv og den øvrige
med til at sikre grundlaget for værdiskabelse og arbejdsplads
fødevaresektor.
ligt Landbrug er at granske de miljømæssige
Formålet med det Grønne Teknologiske Fremsyn om Miljøven
r, der kan imødekomme disse udfordringer.
udfordringer og foreslå teknologiske og strukturelle løsninge
Husdyrbrugets forventede strukturudvikling
landbrugets fremtidige strukturudvikling
iklingen af fremtidige miljøteknologier skal fortsat tilpasses
Udv
vil fortsat være bestemt af
som går i retning af færre men større landbrug. Drivkraften
ngspunkt i tal fra 2001 ses nedenfor en
størrelsesøkonomiske fordele og specialisering. Med udga
udvalgsarbejde om forenkling af
fremskrivning af strukturudviklingen i 2015 baseret på et
brug har ligeledes udarbejdet en
jordlovgivningen (Fødevareministeriet 2003)1. Dansk Land
ltat.
strukturfremskrivning til 2015 som viser et lignende resu
2015
2001
19.505
29.800
Deltidsbrug, antal
12.881
23.689
Heltidsbrug, antal
2.539
2.676
Dyrket areal, ha
161
87
Dyrket areal pr. bedrift, heltidsbrug, ha
3.721
9.797
Antal besætninger med malkekøer
3.260
12.936
Antal besætninger med svinehold
Forenklinger i jordlovgivningen, Betænkning
Kilde: Ministeriet for Fødevarer, Landbrug og Fiskeri (2003):
betænkning nr. 1429.
fra udvalget vedrørende forenklinger i jordlovgivningen,
Teknologisk udvikling set i to perspektiver
eller grupper af personers opfattelse af natur
Valg og anvendelse af nye teknologier afhænger af personen
er vi at dansk landbrug skal være
og bæredygtig udvikling. Med bæredygtig udvikling men
ner kan dyrke jorden og nydenaturen. Der kan
konkurrencedygtigt samtidig, med at fremtidige generatio
derfor to (ofte meget) forskellige holdninger til,
identificeres to grundlæggende forskellige opfattelser og
vi valgt at definere to yderpunkter som
hvilke teknologier, der skal anvendes. I dette fremsyn har
sig et eller andet sted imellem:
indgangsvinkel, velvidende at de fleste landbrug befinder
hvor teknologier først og fremmest
strielt orienteret landbrug: Intensiv kommerciel virksomhed,
Indu
tive miljøløsninger.
anvendes med henblik på afkast, effektiv produktion og effek
old til tre centrale principper; forsigtigheds-,
økologi orienteret landbrug: Teknologierne vurderes i forh
recirkulerings- og nærhedsprincippet.
Baggrund
lget
): Forenklinger i jordlovgivningen, Betænkning fra udva
1 Ministeriet for Fødevarer, Landbrug og Fiskeri (2003
nr. 1429.
vedrørende forenklinger i jordlovgivningen, betænkning
31
MPU, Alm.del - 2004-05 (2. samling) - Bilag 240: Program og baggrundsmateriale til høring om husdyrbrug den 25. maj 2005
2608782_0037.png
Husdyrbrug og miljøgodkendelser — høring
25. maj 2005
Miljomæssige udfordringer
Nedbringe landbrugets udledning af drivhusgasser
Landbrugssektoren er den næststørste udleder af drivhusgas
(ca. 15-20 %) efter energisektoren. Langt
størstedelen af emissionen er relateret til husdyrproduktion
en. Emission af drivhusgasser fra
landbrugssektoren omfatter, metan (CH4), lattergas (N2O)
og kuldioxid (CO2).
Udledningen af CH4 stammer hovedsageligt fra dyrenes
fordøjelsesproces og en mindre del fra håndtering
af husdyrgødning. Størstedelen af emissionen er relateret
til kvægproduktionen, mens produktionen af
svin og fjerkræ er al mindre betydning.
Emissionen af N2O forekommer alle steder, hvor der sker
en omsætning af kvælstof, og er derfor i større
eller mindre grad relateret til kvælstofbalancen.
I en ny rapport fra Danmarks Miljøundersøgelser2 forvente
s en stigning i husdyrproduktionen frem til
2012. Samtidig forventes en forbedring af kvælstofudny
ttelsen i foder og husdyrgødning i samme periode.
Det deraf følgende fald i anvendelsen af handelsgødning
vil betyde, at emissionen samlet set vil blive
reduceret svagt. VMP III vil sandsynligvis vil være med
til at reducere emissionen endnu mere.
Sikre landskabelige og naturmæssige værdier herunder
biologisk mangfoldighed
Beskyttelse af biologisk mangfoldighed er ikke alene et spør
gsmål om at beskytte plante- og dyrearter
samt naturtyper, men i høj grad de mange naturlige proc
esser, der sikrer produktion, men også
muligheder for friluftsliv og naturoplevelser, der igen beviselig
t har betydelig positiv værdi for
menneskers livskvalitet og trivsel.
Naturen kræver lang tid for at udvikle en værdifuld biolo
gisk mangfoldighed. Regenerering af f.eks.
højmoser tager årtusinder, af overdrev århundreder.
En række landbrugsaktiviteter har derigennem samlet set
en negativ indvirkning på den biologiske
mangfoldighed. F.eks. medfører udslippet af ammonia
k fra stald- og gødningsopbevaringsanlæg og fra
udbringning af husdyrgødning en uhensigtsmæssig kvæ
lstofbelastning af de omgivende arealer, hvilket
har særlig betydning for de sårbare naturområder såso
m heder, overdrev, næringsfattige søer osv.
Minimere tabet af næringsstoffer fra landbruget (N &
P)
Tab af næringsstoffer fra landbruget er medvirkende til iltsv
ind i de indre danske farvande og eutrofiering
af søer og vandløb. Samtidig er det også en væsentlig årsa
g til at heder, højmoser, overdrev og skove gror
til i brændenælder og græs'. Udvaskningen af næringss
alte fra jorden påvirkes hovedsageligt af
driftsform, gødningsmængder og af arealernes karakter
.
I dag er fosfor i husdyrgødning generelt den dominerende
form for fosforgødning i Danmark. På
husdyrbrug er tilførslen fortsat langt større, end hvad der
fjernes med afgrøderne. I Vandmiljøplan III4
gøres der for første gang en indsats over for landbrugets tab
af fosfor (Se afsnittet "Fejl! Henvisningskilde
ikke fundet."). Målsætningen er at halvere fosfor over
skuddet i landbruget inden år 2015, det vil sige, at
der stadig vil være en overskudstilførsel af fosfor.
Minimere lugtgener fra husdyrproduktion
Lugtgener i forbindelse med husdyrproduktion og håndterin
g af husdyrgødning er et stigende problem,
som naboer og samfundet i øvrigt ønsker løst i de kom
mende år. Det kræver en ekstraordinær indsats af
erhvervet, forskningsinstitutioner og virksomheder, da
viden og mulige teknologier p.t. er begrænsede,
uafprøvede og økonomisk urealistiske. Det skyldes dels
at lugt fra husdyrproduktion er en
sammensætning af mange lugtstoffer, og dels at generne
afhænger af samspillet mellem lugtkilder,
klima- og staldforhold, fodring og management, gyllesyste
m samt fysiske og kemiske faktorer.
Lugtgener fra husdyrproduktion kan opdeles i lugtgene
r fra stalde, gødningslagre og gener i forbindelse
med udbringning al husdyrgødning. Lugtgener fra gyllelagre
og udbringning af gylle er begrænset til
nogle få dage om året, hvorimod lugtgener fra stalde er af
permanent karakter, der dog varierer med vejr-
og vindforhold, årstider, staldindretning mm.
2
Gyldenkærne, S. & Mikkelsen, M.H.
(2004): Projection of Greenhouse Gas Emission from the Agri
cultural Sector. Until
2012 and 2017. National Environmental Research Institute,
Denmark. 52 pp. Research Notes from NERI no. 194.
http://research-notes.dmu.dk
3
Danmarks Naturfredningsforening
4
Vandmiljøplan III (2004): Miljøministerie
t og Ministeriet for Fødevarer, Landbrug og Fiskeri. http://ww
w.vmp3.dk
32
MPU, Alm.del - 2004-05 (2. samling) - Bilag 240: Program og baggrundsmateriale til høring om husdyrbrug den 25. maj 2005
2608782_0038.png
Husdyrbrug og miljøgodkendelser - høring
25. maj 2005
Potentielle miljøvenlige teknologier: Husdyrpro
duktion
Plantegenteknologi
dning, fordi kun 20 - 50 % af kvælstof og fosfor i
Mange
næringsstoffer tilføres miljøet via husdyrgø
. I dag benyttes enzymteknologi til at producere en
foderet udnyttes af husdyrene og resten udskilles
ktiviteten af animalsk produktion gennem bedre
række tilsætningsstoffer til foder, som kan forbedre effe
også tilføres foderafgrøder ved hjælp af
foderomsætning hos dyrene. Nogle af disse egenskaber kan
gi.
forædling og ved forskellige former for plantegenteknolo
Perspektiver for teknologien er:
ærdi, baseret på planter der udnytter
• at udvikle nye landbrugsprodukter med høj markedsv
jordens og klimaets ressourcer optimalt
ætte eller ændre på planteindholdsstoffer,
• at reducere tabet af næringsstoffer ved at fjerne, neds
der forhindrer en effektiv foderudnyttelse i husdyrene
gisk mangfoldighed i marken
• at skabe modstandsdygtige afgrøder, som kan medvirke til øget biolo
Anbefalinger
• Bedre dialog mellem bioteknologerne og befolkningen
befolkningens brede
• En godkendelsesprocedure for gensplejsede planter, der tilgodeser
risikoopfattelse
teknologien kan og skal
• Nødvendigt med teknologivurdering og politisk stillingtagen til hvad
bruges til
er inden for plantegenteknologi
• Igangsættelse/genoptagelse af forskningsprogramm
Informations- og kommunikationsteknologi (IKT)
en mere effektiv kommunikation af nyeste
Teknologien omfatter både beslutningsstøttesystemer og
r teknologien helt nye muligheder for
viden om miljøvenlig landbrugsproduktion. Samtidig give
overvågning, modellering og styring af biologiske miljøer
Perspektiver for teknologien er:
titative modeller af det biologiske system
• at produktionsdata kan anvendes til at etablere kvan
er, der kan anvendes af myndigheder
samt beslutningsstøtteværktøjer og managementprogramm
og landmænd til at træffe de bedste beslutninger
forbrugerne dokumentation for, at der er
• at informationen om dyr og planters opvækst kan give
ligt i hele forløbet 'fra jord til bord'
tale om sunde og sikre fødevarer, der er produceret miljøven
plekse biologiske processer vil kunne være et
• at en rationel og effektiv håndtering af data fra kom
fremtiden
bærende element i en videnbaseret fødevareproduktion i
Anbefalinger
rive muligheder og begrænsninger for
• Etablering af et IKT forum, der kan medvirke til at besk
anvendelse af pervasive computing i landbruget
ing af data
• Standarder eller forskrifter for overvågning og lagr
trering af tilstande i miljøet (f.eks.
kning, udvikling og forsøg med IKT til: automatisk regis
• Fors
ing af dyr og planter på naturarealer;
næringsstoffer, pesticider og lugt); automatisk overvågn
diagnosticering og management i husdyrproduktioner
Husdyrgødningsteknologi
ammoniak. Ved gødskning med husdyrgødning
Ved produktion af husdyr udledes i dag store mængder
produktion af lattergas, som er en kraftig
udvaskes nitrat, som både bevirker eutrofiering og øget
r i gylle i forhold til planternes behov.
as. Der er samtidig ofte også et for højt indhold af fosfo
drivhusg
Perspektiver for teknologien er:
udnyttelsen af ressourcerne i
at forbedre næringsstofhusholdningen og dermed forbedre
husdyrgødningen
t af heder, overdrev og skove m.v.
at mindske næringsstofbelastningen af vandmiljøet sam
ingning (afgasning)
at reducere lugtgener fra husdyrgødningslagre og ved udbr
33
MPU, Alm.del - 2004-05 (2. samling) - Bilag 240: Program og baggrundsmateriale til høring om husdyrbrug den 25. maj 2005
2608782_0039.png
Husdyrbrug og miljøgodkendelser — høring
25. maj 2005
Anbefalinger
• Krav om ny teknologi til reduktion af ammoniakem
issionen ved udvidelse af husdyrproduktionen
i nærheden af sårbare naturområder
• Forskning og udvikling i optimale kombinationer af
gylleseparation og energiproduktion evt.
integreret med fodertørring, foderproduktion o.l.
• Udvikling af staldsystemer og systemer for fritgåend
e dyr, som integrerer høj dyrevelfærd og
optimal gødningsudnyttelse
• Teknologierne skal udvikles i et helhedsorienteret pers
pektiv, hvor integration med
energiproduktion er oplagt
• Bedre rammebetingelser for produktion af biogas og ande
n energi fra husdyrgødning
Staldsystemer
Reduktion af lugt- og ammoniakemission fra stalde er
sammen med krav til dyrevelfærd, arbejdsmiljø og
effektivitet de største udfordringer for den animalske prod
uktion i Danmark. Et Grønt Teknologisk
Fremsyn på staldområdet omfatter derfor udvikling af
helhedsorienterede og langsigtede løsninger.
Perspektiver for teknologien er:
• at opnå bedre arbejdsmiljø og dyrevelfærd i staldene
• at minimere tabet af næringsstoffer og gasser fra stald
e og gødningslagre
• at reducere lugtgener fra husdyrproduktion
Anbefalinger
Der er behov for at udvikle og demonstrere helt nye type
r stalde, der udnytter en vifte af forskellige
teknologier og materialer.
Fremtidens landbrug har en tredobbelt bundlinie
Konklusionen på fremsynet er, at fremtidens landbrug
må være helhedsorienteret. Og det vil være baseret
på viden og samarbejde mellem landbrug, forskningsin
stitutioner og myndigheder, så der kan skabes en
dynamisk og langsigtet landbrugspolitik, der integrere
r hensynene til omgivelserne.
Når fremtidens miljøvenlige landbrugsteknologier skal
vurderes og udvælges, så vil det ske i forhold til
deres bidrag på tre områder - "Landbrugets tredobbelte bund
linie":
• Produktion: Erhvervet skal kunne opretholde en
lønsom og sund plante- og dyreproduktion. Dette
opnås ved at lægge vægt på teknologier, der sikrer jord
ens frugtbarhed, giver driftsøkonomiske
fordele, sikrer en forbedret kvalitet af føde og foder,
og omfatter energiafgrøder og andre non-food
afgrøder
• Miljø: Landbrugets aktiviteter skal kunne udføres
uden negative konsekvenser for de omgivende
fysiske rammer, herunder arealer, vand og luft, der kan
påvirkes af spild fra
landbrugsproduktionen
• Landskabelige og naturmæssige værdier: Landbrug
et skal være med til at forvalte og skabe
smukke landskaber, alsidig natur med flere levesteder
af høj værdi for det vilde plante- og dyreliv,
rent drikkevand og rekreative værdier
Miljøvenlige teknologier alene kan ikke sikre ikke et bære
dygtigt landbrug i fremtiden. Der er brug for
uddannelse og koncepter, der kan fremme miljøvenlige
teknologier i fødevareproduktionen.
34
MPU, Alm.del - 2004-05 (2. samling) - Bilag 240: Program og baggrundsmateriale til høring om husdyrbrug den 25. maj 2005
2608782_0040.png
25. maj 2005
r — høring
Husdyrbrug og miljøgodkendelse
heder teknologiske og strukturelle
Fremtidens mulig
ser
rhold til reduktion af miljøkonsekven
muligheder i fo
af husdyrproduktionen
Af Hans Nielsen, Det økologiske Råd
Indledning
ighed på verdensmarkedet
portorienteret, og dets konkurrencedygt
Dansk landbrug er i meget høj grad eks
er skrappere end i de fleste
v om de danske miljøkrav tillandbruget
skyldes bl.a. høje veterinære krav. Sel
på Danmarks natur og miljø.
trækkelige til at undgå alvorlige skader
andre lande, er de dog langt fra tils
ne af husdyrproduktionen i de
en kraftig reduktion af miljøkonsekvenser
Der er derfor fortsat behov for
rne i bl.a. EU's Habitatdirektiv og
er forpligtet til at leve op til målsætninge
kommende år, idet Danmark
gen i biodiversiteten i EU inden 2010.
t målsætningen om at stoppe tilbagegan
Vandrammedirektiv sam
naturområder, herunder af
ftig sænkning af kvælstofbelastningen af
Det kræver bl.a. en kra
ammoniakfordampningen.
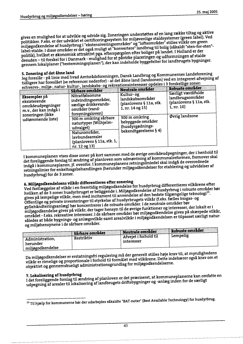
produktionen i Danmark,
r vil kræve en kraftig reduktion i husdyr
En opfyldelse af disse målsætninge
ftigt kan reducere landbrugets tab
nologier i husdyrproduktionen, der kra
medmindre der indføres nye tek
hjælp af nye teknologier gennemføres,
n og miljøet. Jo før denne reduktion ved
af næringsstoffer til nature
opfylde målsætningerne i bl.a. EU's
e for både landbruget og samfundet at
desto billigere vil det bliv
spring vil de danske virksomheder, der
direktiv, og desto større teknologisk for
Habitat- og Vandramme
i de øvrige EU-lande og på globalt plan.
ogier, få i forhold til deres konkurrenter
udvikler disse teknol
ing af miljøbelastningen fra
ng på økologisk produktion som på sænkn ret miljøbelastning, når
Der er behov for såvel en øget satsni
selv nogen garanti for reduce
tionelle drift. Økologisk drift er ikke i sig
den konven
and gør meget ud af at holde hus
kræver, at man også som økologisk landm
det gælder husdyrbrug. Det
vi kun nærme os en mere bæredygtig
e sigt og set i et globalt perspektiv kan
med kvælstoffet. På længer
mindre kød. Det vil i øvrigt også gavne
r vores kost i retning af mere grønt og
udvikling, hvis vi ændre
folkesundheden.
sikrer, at de nye teknologier
regulering af landbruget i Danmark, der
På kort sigt er der behov for en miljø
de nærmeste år.
bliver taget i anvendelse i landbruget i
e stabil, målt i antal dyreenheder,
n har i en lang årrække været nogenlund
Den danske husdyrproduktio
en og -eksporten har været stigende. I dag
været faldende, mens svineproduktion
ring på
idet antallet af kvæg har
er samtidig under kraftig industrialise
danske slagtesvin. Svineproduktionen
eksporteres 9 ud af 10
er med over 850.000 svin. I
ationale selskab Smithfield svinefabrikk
globalt plan. I USA ejer f.eks. det multin
, og disse er stadig landmandsejede.
generelt under 10.000 svin på en svinefarm
Danmark er der
en strategi og en teknologi, der
ark skal bevares, må det forudsætte både
Hvis svineproduktionen i Danm
bedrifter og med en direkte
ighed med relativt små landmandsejede
er tilpasset den danske virkel
nen og planteavlen.
sammenhæng mellem husdyrproduktio
duktionsenheder på 100-500 DE, hvor der
satse på udvikling af teknologier til pro
at den
Danmark skal derfor
duktion og dens planteavl. Det betyder,
menhæng mellem bedriftens husdyrpro
fortsat er en sam
udstrækning skal være
øges i de kommende år, men fortsat i vid
danske husdyrproduktion ikke bør
ing af miljøvenlig dansk teknologi
duktion og være grundlaget for udvikl
baseret på den danske plantepro
på området.
Teknologiske muligheder
de teknologier, der potentielt
eller mindre afprøvede og dokumentere
Der findes i dag en lang række mere
n største barriere for udviklingen af disse
endes inden for husdyrproduktionen. De
vil kunne anv
ndighederne ikke — som i
nglende afsætningsmuligheder, fordi my
teknologier har hidtil været ma
af rene teknologi i landbruget.
industrien - stiller krav om anvendelse
35
MPU, Alm.del - 2004-05 (2. samling) - Bilag 240: Program og baggrundsmateriale til høring om husdyrbrug den 25. maj 2005
2608782_0041.png
Husdyrbrug og miljøgodkendelser — høring
25. maj 2005
Disse teknologier omfatter bl.a.:
• Ammoniakfjernelse fra luftudsugning fra svin
e- og fjerkræstalde med intensiv produktion
• Etablering af luftudsugning fra gyllekana
lerne, så staldmiljøet forbedres
• Etablering af kølelegemer i gyllekanaler for at minimere
ammoniaktab
• Etablering af staldsystemer, der både minimerer ammonia
ktabet og giver høj husdyrvelfærd
• Opbevaring og udbringning af husdyrgødning uden væs
entlige ammoniaktab
• Lavteknologisk separering af gyllen i en vandig opløsnin
g og en fiberfraktion, hvor fiberfraktionen
kan tilføres biogasanlæg
• Højteknologisk behandling af husdyrgødningen til biog
asproduktion og koncentrat af
næringssalte
• Højteknologisk behandling af husdyrgødningen til biog
asproduktion og fiberfraktion til
forbrænding
Ved nyanlæg af stalde bør der stilles krav om anvendelse af
staldsystemer, der minimerer ammoniaktabet
samtidig med at husdyrvelfærden sikres. I svine- og fjerk
ræstalde med intensiv produktion bør
ammoniaktabet reduceres med mindst 80%.
På fosforområdet bør målet være fosforbalance på alle land
brug inden for en kort årrække. Der skal
anvendes teknologier, der kan sikre en nettofraførsel al fosfo
r fra marker med høje fosfortal for at
mindske udvaskningen og afstrømningen af fosfor til vand
miljøet.
Forbrænding af gyllens fiberfraktion er uacceptabel, da en
betydelig del af gyllens kvælstofindhold herved
ikke bliver ført tilbage til markerne. Herved øges behovet
for fremstilling af handelsgødning med stigende
energiforbrug til følge.
Det er af afgørende betydning, at teknologiudviklingen er holis
tisk og omfatter alle relevante forhold dvs.
både miljø, forbrugerhensyn, husdyrvelfærd og økonomi. Den
skal endvidere kunne anvendes på de
danske husdyrbedriftsstørrelser eller på lokale fællesanlæg
for husdyrbedrifter inden for en radius af højst
20 km.
Danmark har ved at være foregangsland med hensyn til milj
økrav store muligheder for at skabe et
eksporteventyr al miljøteknologi til husdyrproduktion
ligesom det er sket på vindmølleområdet.
Målet for den danske husdyrproduktion bør være, at forb
rugerne kan sætte deres tænder i landbrugets
produkter med god samvittighed i forhold til både natur,
miljø og husdyrvelfærd.
Strukturelle muligheder
En industrialisering af husdyrproduktionen i Danmark
, så den fysisk adskilles fra planteavlen og foregår i
store fabriksanlæg ejet af multinationale selskaber er en
uacceptabel løsning. Så er Danmark bedre tjent
med en nedsat husdyrproduktion.
Danmark skal fastholde en landmandsbaseret produktion,
hvor der er en sammenhæng mellem
planteavlen og husdyrproduktionen. Det skal ikke være mul
igt for husdyrproducenter at udvide
produktionen ud over 500 DE ved anvendelse af gyllesepa
rering o. lign., da det vil undergrave
mulighederne for at bevare en landmandsbaseret produkti
on.
Danmarks husdyrproduktion skal i stedet bevare sit gode
image på eksportmarkederne og forbedre det
indenlandske image og fremstå som en kontrast til de
multinationale selskabers svinefabrikker. Danmark
skal derfor ikke konkurrere på masseproduktion som Smi
thfield men på kvalitet, veterinære forhold,
husdyrvelfærd, forbrugerhensyn samt natur- og miljøhen
syn.
Set i europæisk perspektiv er de danske husdyrbrug i dag
ikke små. Begrænsningerne i mulighederne for
udnyttelse af stordriftsfordele i husdyrproduktionen i Dan
mark i forhold til f.eks. USA kan kompenseres
ved et højt uddannelsesniveau, produktudvikling, størr
e ressourceeffektivitet og ved en større
forbrugeraccept (et bedre image).
36
MPU, Alm.del - 2004-05 (2. samling) - Bilag 240: Program og baggrundsmateriale til høring om husdyrbrug den 25. maj 2005
2608782_0042.png
Husdyrbrug og miljøgodkendelser — høring
25. maj 2005
at påvirke den globale udvikling inden for
Danmark har både forudsætningerne og potentialet for
miljøvenlige produktionsteknologier,
tionen ved at etablere alternativer, der er baseret på
husdyrproduk
af produktionsforholdene.
relativt små bedriftsstørrelser og på at opnå forbrugeraccept
urrere på prisen, men især på kvalitet,
Danmark skal ikke som de store svinefarme alene konk
produktionsforhold, miljø og husdyrvelfærd.
ret på minimumsniveauet for miljømæssige,
Danmarks husdyrproduktions image i udlandet vil være base
skade den danske husdyrproduktions image,
veterinære, husdyrvelfærdsmæssige krav m.m. Det vil derfor
den skal kunne tage konkurrencen op med de
hvis der gives køb på kravene til dele af produktionen, for at
e til lavpris.
lande og landbrug i udlandet, der alene går efter at producer
Anbefalinger vedr. miljøregulering
øbelastning er på niveau med industri- eller
Alle landbrug skal have en miljøgodkendelse, hvis deres milj
således ikke miljømæssigt reguleres mere
renseanlæg, der i dag bliver miljøgodkendt. Landbruget skal
lempeligt end industri- og renseanlæg.
om, at der skal vælges de staldtyper, der
Ved renovering og nybyggeri på husdyrbrug bør der stilles krav
ellige produktionsmetoder.
giver den mindste ammoniakfordampning inden for de forsk
ggeri af stalde skal fremlægges
Der skal fastsættes krav om, at der inden renovering og nyby
dokumentation for, at ammoniaktabet er minimeret.
erne på grund af utidssvarende
Eksisterende stalde, der har et stort ammoniaktab til omgivels
ger for at minimere ammoniaktabet inden
staldsystemer, skal have påbud om at foretage foranstaltnin
2010.
ende til, at al husdyrgødningen kan
Alle bedriftstyper skal have en opbevaringskapacitet svar
ttelse af næringsstofferne. Det kræver en
udbringes på det tidspunkt, der giver den mest optimale udny
idet gylle udbragt i september og februar kun i
indskrænkning af en nuværende tilladte udbringningstid,
meget ringe omfang kan udnyttes af planterne.
s, da der er behov for en mere effektiv og
Også ammoniakfordampningen fra gylletanke skal reducere
permanent overdækning, end flydelag giver.
dningen, så de ikke må overstige de
Lugtgenerne fra staldanlæggene skal være omfattet af lugtvejle
åbne land.
lugtgener, der accepteres fra andre typer af virksomheder i det
skade afgrøderne væsentligt. Udlægning af
Al gylle skal nedfældes i jorden, hvor det er muligt uden at
da det både medfører en uacceptabel
gylle med slæbeslanger i afgrøder skal ophøre over en årrække,
gyllen enten nedfældes eller behandles, så
ammoniakfordampning og uacceptable lugtgener. I stedet bør
. i højteknologiske gyllesepareringsanlæg.
ammoniakfordampningen og lugtgenerne reduceres f.eks
37
MPU, Alm.del - 2004-05 (2. samling) - Bilag 240: Program og baggrundsmateriale til høring om husdyrbrug den 25. maj 2005
2608782_0043.png
Husdyrbrug og miljøgodkendelser — høring
25. maj 2005
Strukturudvikling indenfor landbruget med henblik på
en miljøvenlig husdyrproduktion
Af Jens Hansen, Fødevareøkonomis Institut
Siden begyndelsen af 1960'erne har landbrugets bedriftss
truktur udviklet sig i retning af færre, større og
mere specialiserede bedrifter. I 1960 var der 196.000 land
brugsbedrifter - næsten alle heltidsbedrifters. Af
alle landbrug havde 85 pct. malkekøer og 88 pct. svin. I 2003
var det samlede antal landbrugs- og
gartneribedrifter faldet til 48.600, hvoraf under halvdele
n var heltidsbedrifter. Af alle bedrifter havde ca.
8.000 malkekøer og godt 11.000 svin, svarende til henholds
vis 16 pct. og 23 pct. Samtidig med at antallet af
bedrifter er faldet, er mælke- og svineproduktionen såle
des blevet koncentreret på en stadig mindre del af
landbrugene. Det samme gælder andre husdyrgrene. Den
gennemsnitlige besætningsstørrelse er derfor
vokset langt mere end det gennemsnitlige areal pr. bedr
ift.
Fordampningen af ammoniak og andre lugtstoffer fra
husdyrgødningen medfører forurening fortrinsvis i
nærheden af staldbygninger til skade især for nærmiljøe
t og til gene for mennesker, der bor i nærheden af
husdyrbrugene. Fordampningen afhænger foruden af
fodersammensætning og staldindretning af
husdyrproduktionens størrelse. Som følge af koncentration
en af husdyrproduktionen på færre
landbrugsbedrifter er der derfor også sket en koncentration
af luftforureningen omkring
husdyrbedrifterne. Imidlertid har koncentrationen af husd
yrproduktionen på færre bedrifter også
miljømæssige fordele. Men først en kort beskrivelse af den
forventede udvikling i bedrifts- og
besætningsstrukturen frem til 2015 samt de kræfter,
der ligger bag udviklingen. Herefter vender jeg
tilbage til strukturudviklingens positive og negative pers
pektiver for miljøet.
Udviklingen i bedrifts- og besætningsstrukturen frem
til 2015
Betænkning nr. 1429 fra Udvalget vedrørende Forenklin
ger af jordlovgivningen, der lå til grund for
ændringen af Landbrugsloven i 2004, indeholder fremskriv
ninger af landbrugets bedrifts- og
besætningsstruktur til 2015.
Ifølge denne betænkning forventes det samlede anta
l landbrugs- og gartneribedrifter at falde fra 53.500 i
2001 til 32.400 i 2015 (tabel 1) - et fald på godt 3,5 pct.
om året. Antal heltidsbrug anslås at falde fra 23.700
til 12.900 og antal deltidsbrug fra 29.800 til 19.500 — et
fald på henholdsvis 4,2 og 3,0 pct. om året.
Nedgangen er således relativt større for heltidsbrug end
for deltidsbrug. Det er især antallet af
mellemstore bedrifter (de mindste heltidsbedrifter) der
forventes at falde — hvilket også var tilfældet op
gennem 1990'erne. Forklaringen er, at disse bedrifter
er for store som fritidslandbrug og for små som
erhvervslandbrug. Det sidste skyldes, at aflønningen
af arbejdskraften og kapitalen gennemgående ligger
på et lavt niveau i de mindre heltidsbedrifter, hvilket
især skyldes, at omkostningerne pr. produceret
enhed generelt er højere i mindre end i større bedrifter
.
Tabel 1. Antal landbrugs- og gartneribedrifter samt størr
Antal bedrifter
2001
29.800
23.689
53.489
elsen af brugene
Dyrket areal, ha pr. bedrift
2001
2015
21
24
87
161
50
78
Deltids
Heltids
Alle bedrifter
2015
19.505
12.881
32.386
Kilde: Ministeriet for Fødevarer, Landbrug og Fiskeri.
Betænkning nr. 1429 fra Udvalget vedrørende
forenklinger i jordlovgivningen.
Trods relativ større nedgang i antal heltidsbrug end i anta
l deltidsbrug forudses heltidsbrugenes andel af
det dyrkede areal at vokse frem til 2015. Forklaringen er, at
det gennemsnitlige areal pr. heltidsbedrift
ventes at vokse fra 87 ha i 2001 til 161 ha i 2015, mens area
let pr. deltidsbedrift kun skønnes at vokse fra
21 ha til 24 ha.
5
Ved heltidsbedrifter forstås bedrifter
med et samlet standard-arbejdsforbrug på en helårsarbejder (1.665
timer i de
senere år) eller derover, mens deltidsbedrifter udgøres af bedr
ifter med et arbejdsforbrug på under en helårsarbejder.
38
MPU, Alm.del - 2004-05 (2. samling) - Bilag 240: Program og baggrundsmateriale til høring om husdyrbrug den 25. maj 2005
2608782_0044.png
Husdyrbrug og miljøgodkendelser - høring
25. maj 2005
r
0 i 2015, jf. tabel 26. I samme
Malkekobestand og -besætninge
at falde fra 623.000 i 2001 til 519.00
ventes
Den samlede bestand af malkekøer
00 til 3.700 — en nedgang på
rifter med malkekøer at falde fra 9.8
årrække forudses det samlede antal bed
64 ti1140 køer. Det svarer til en
ætningsstørrelse anslås at vokse fra
62 pct. - mens den gennemsnitlige bes
ætninger med 100 malkekøer og
me som fra 1990 til 2001. Antal bes
vækst på 5,8 pct. om året — det sam
er 100 køer falder drastisk.
at vokse markant, mens antallet med und
derover ses
r opdelt efter besætningsstørrelse samt
malkekøer og bestanden af malkekøe
Tabel 2. Antal bedrifter med
e
den gennemsnitlige besætningsstørrels
Malkekobestand, 1.000 stk.
Antal besætninger
2015
2001
2015
2001
3
Besætningsstørrelse, antal køer
111
96
4.086
65
1-49
288
759
4.025
232
50-99
155
1.892
1.331
219
100-149
69
974
355
over
519
150 og der
623
3.721
9.797
140
I alt
64
r pr. besætning
Antal malkekøe
Kilde: Se tabel 1.
Svinebestand og -besætninger
1 ti113,2 mio. i 2015, jf. tabel 37.1 samme
and anslås at vokse fra 12,6 mio. i 200
Den samlede svinebest
3.300 - et fald på 75 pct. Den
d svin at falde fra knap 13.000 til knap
årrække anslås antallet af bedrifter me
- en vækst på 10,7 pct. om året,
ventes at vokse fra 975 til godt 4.000
gennemsnitlige besætningsstørrelse
r vokser betydeligt, falder
al svinebesætninger med 3.000 og derove
ligesom fra 1990 til 2001. Mens ant
antallet med under 3.000 drastisk.
er besætningsstørrelse samt den
d svin og bestanden af svin opdelt eft
Tabel 3. Antal bedrifter me
gennemsnitlige besætningsstørrelse
Svinestand, 1.000 stk.
Antal besætninger
2015
2001
2015
2001
146
Besætningsstørrelse, antal svin
2.535
317
8.567
2.499
1-999
6.033
1.185
3.502
4.341
1.000-2.999
2.339
1.080
624
6.250
3.000-4.999
1.701
678
243
over
13.236
5.000 og der
12.608
3.260
12.936
4.061
I alt
975
besætning
Antal svin pr.
Kilde: Se tabel 1.
primære landbrug — målt ved antal
s- og besætningsstørrelsen forbliver det
er &t
Trods væksten i bedrift
ksomheder. For alle heltidsbedrifter und
verv, der overvejende består af små vir
beskæftigede - et erh
se fra 2,30 til 2,80 helårsarbejdere.
nemsnitlige arbejdskraftforbrug at vok
forventes det gen
Baggrunden for strukturudviklingen
d nogenlunde samme hastighed -
iklingen i bedriftsstrukturen forløbet me
n
Gennem de senere årtier er udv
e reformer af EU's landbrugspolitik. De
ugets konjunkturer som af de forskellig
uafhængig såvel af landbr
vet af
ldes, at udviklingen hovedsagelig er dre
bile udvikling i bedriftsstrukturen sky
sta
samlede mælkeproduktion - der
beregnet på grundlag af ændringen i den ventet forøgelse af produktionen
6
Nedgangen i malkekobestander er
den nationale mælkekvote - og en for
nem hele perioden forudsættes bestemt af
gen
pct. i
pr. ko på ca. 1,4 pct. om året.
vækst i den samlede produktion på 1,2
n er beregnet på grundlag af en forventet
året.
Væksten i svinebestande
lede produktion pr. årssvin på 0,9 pct om
året — og en forventet forøgelse af den sam
gennemsnit om
39
MPU, Alm.del - 2004-05 (2. samling) - Bilag 240: Program og baggrundsmateriale til høring om husdyrbrug den 25. maj 2005
2608782_0045.png
Husdyrbrug og miljøgodkendelser — hør
ing
25. maj 2005
størrelsesøkonomiske fordele — fordele,
der især skyldes, at omkostningerne
pr. produceret enhed falder
med stigende bedrifts- og besætningsst
ørrelse. Dette er primært et resultat af
udviklingen i
landbrugsteknologien samt det høje dan
ske lønniveau.
En anden medvirkende årsag til den sta
bil
proces. De fleste landbrugsbedrifter har e strukturudvikling er, at der trods alt er tale om en relativ træg
et forholdsvis stort kapitalapparat i for
m af bygninger, anlæg og
maskiner med relativ lang levetid. Hertil
kommer, at brugerfamilien i mange
bedrifter tegner sig for en
betydelig del af den samlede arbejdsin
dsats. Større omlægninger af produktio
nen samt nedlægninger af
bedrifter finder derfor ofte først sted,
når produktionsapparatet er mere elle
r mindre nedslidt, eller når
landmanden af aldersmæssige grunde
nedtrapper produktionen, lægger om
til "ren" planteproduktion
eller forlader erhvervet.
Trods de senere årtiers vækst i bedrifts-
og navnlig i besætningsstørrelsen er der
fortsat betydelige
uudnyttede størrelsesøkonomiske fordel
e i dansk landbrug. Til illustration kan
nævnes, at lønningsevnen
i gennemsnit for årene 2001-2003 lå på
84 kr. pr. time i kvægbedrifter med 3 hel
årsarbejdere og derover
mod 211cr. pr. time for kvægbedrifter me
d 1-2 helårsarbejdere, jf. FØI's Regnskab
sstatistik for landbrug.
Tilsvarende udgjorde lønningsevnen 120
kr. pr. time for svinebedrifter med 3 hel
mod 32 kr. pr. time for bedrifter med 1-2
årsarbejdere og derover
helårsarbejdere.
Med mindre ændringerne i de teknologi
ske, økonomiske og lovgivningsmæs
sige rammevilkår for
landbrugsproduktionen afviger marka
nt fra de hidtidige tendenser, er det - som
forudsat i ovenstående
fremskrivninger — derfor overvejende
sandsynligt, at bedriftsstrukturen vil udv
ikle sig i samme retning og
med nogenlunde samme hastighed de
kommende år som i de foregående årtier
.
Den fortsatte tilpasning af bedriftsstruk
turen til de teknologiske og økonomisk
e vilkår må i øvrigt anses
som nødvendig, hvis man ønsker at opr
etholde en betydelig husdyrproduktion.
Strukturudviklingens miljørnæssige
betydning
Udviklingen i retning af færre og større
husdyrbesætninger indeholder såvel pos
itive som negative
aspekter set i relation til miljøet. På den
negative side bidrager koncentrationen
af husdyrproduktionen
umiddelbart til en kraftigere forurenin
g af luften med ammoniak og andre lug
tstoffer navnlig omkring
staldbygningerne, med mindre der tag
es initiativer til at formindske omfan
get af luftforureningen
forhold til størrelsen af produktionen.
På den positive side indebærer koncen
trationen af produktionen på færre bed
rift
belastes med ammoniakfordampning
fra husdyrgødningen, og at færre menne er at færre lokalområder
sker i landsbyer og på
landet generes af ammoniak og andre
lugtstoffer.
Desuden giver koncentrationen af hus
dyr
via miljølovgivningen skulle kunne sik produktionen på færre bedrifter bedre muligheder for, at man
re, at produktionen fremover placeres
i en rimelig afstand såvel fra
landsbyer og andre beboelser som fra
miljøfølsomme områder.
Sidst — men ikke mindst - giver etable
ringen af store husdyrbedrifter bedre
muligheder for, at man vil
kunne gøre brug af mere miljøvenlige
teknologier i husdyrproduktionen, ude
n at konkurrenceevnen
forringes i større grad. Dette gælder ikk
e blot nye teknologier til reduktion af
nye teknologier til formindskelse af van
luftforureningen, men også
dmiljøets forurening.
40
MPU, Alm.del - 2004-05 (2. samling) - Bilag 240: Program og baggrundsmateriale til høring om husdyrbrug den 25. maj 2005
2608782_0046.png
Husdyrbrug og miljøgodkendelser — høring
25. maj 2005
Fremtidige planlægningsværktøjer, der kan fremme en
venlig husdyrproduktion tilpasset de lokale forhold
miljø
- også i forhold til kommunalreformen.
Af Landinspektør Karsten L. Willeberg, COWI A/S.
Resume:
bejdes planer og målsætningerfor
Som grundlag for miljøgodkendelser af husdyrbrug kan der udar
ved at der i de kommende kommuneplaner
udviklingen i de enkelte landzoneområder. Det kan f eks. ske
nsiveres (naturområder), neutrale områder (med
udpeges sårbare områder, hvor landbrugsdriften skal ekste
yrproduktion (særligt værdifulde
blandendefunktioner), samt robuste områder til intensiv husd
i miljøgodkendelsernefastsættes under
landbrugsområder). For de enkelte husdyrbrug skal vilkårene
Dette vil også være i overensstemmelse med
hensyntagen til lokalområdets karakteristika ogfølsomhed.
visse bufferzoner omkring sårbare naturtyper
bl.a. 'Wilhjlem-udvalgets"forslag fra 2001 om, at der indenfor
om tiltag til reduktion af
gennem miljøgodkendelser skulle kunne stilles skærpede krav
ammoniakfordampning osv.fra staldanlæg.
1. Miljøgodkendelse af husdyrbrug
1.1 Baggrund
det bl.a., at regeringen i forbindelse med
Af regeringsgrundlaget "Nye mål" (februar 2005) fremgår
der (DE) vil stille krav om miljøgodkendelse.
udvidelser eller nyanlæg af husdyrbrug over 75 dyreenhe
gninger om udvidet husdyrbedrift skal kunne
Herved vil flere bedrifter end i dag blive omfattet. Ved ansø
i og f.eks. krav om yderligere reduktion af
stilles skærpede krav om anvendelse af miljørigtig teknolog
ringsgrundlaget en mere enkel
kvælstof og fosfor. Kommunalreformen muliggør ifølge rege
ielle godkendelsestyper kan integreres i en
godkendelsesprocedure, hvor mange af de nuværende spec
landskabshensyn.
godkendelse, som samlet varetager f.eks. miljø-, nabo- og
Connie Hedegaard fremgår det videre, at
pressemeddelelse af 27. december 2004 fra miljøminister
Af en
else af landbrug, hvor der f.eks. ved
isteren fokuserer på udvikling af ny form for miljøgodkend
min
s skærpede krav om relevant teknologi og
ansøgning om udvidelse af en husdyrbedrift skal kunne stille
r, samt om yderligere reduktion af udledning af
begrænsning af bLa. ammoniakfordampning og lugtgene
kvælstof og fosfor til gavn for vandmiljøet.
Formål
skal miljøgodkendes. Men det kan være et mål,
Det kan næppe være et mål i sig selv, at flere husdyrbrug
afstemt de nævnte lokale miljø-, nabo- og
der for husdyrbrug over 75 DE kan fastsættes vilkår, der er
at
e af anvendelsesområdet for miljøgodkendelser for
landskabshensyn. Efter min opfattelse skal en udvidels
tilgodeses:
husdyrbrug desuden tilrettelægges således, at følgende mål
- Der sigtes mod en teknologiudvikling
husdyrbrug
- Målretning og differentiering af miljøreguleringen af
rhed øges
- Landbrugserhvervets planlægnings- og investeringssikke
- Rationalisering af administration og forvaltning
1.2 Reglerne i dag
250 DE8 en kommunal miljøgodkendelse.
I dag kræver etablering eller udvidelse af husdyrbrug over
med staldanlæggenes indretning,
Miljøgodkendelser for husdyrbrug beskæftiger sig typisk
i mindre grad med gødningsudbringning(steknik)
gødningshåndtering og -opbevaring (anlægsforhold), og
øgodkendelsen at stille vilkår om bl.a. skærpede
og gødningstryk (arealforhold). Det er dog muligt i milj
-behandling (screening og tilladelser)
rav, men det er ikke normal praksis1°. Ved amternes VVM
harmonik
8
16. september 2004 om godkendelse af listevirksomhed
Jf. bilag 1, pkt. I 101., i bekendtgørelse nr. 943 af
ndtgørelse nr. 1226 af 10. december 2004).
,
(godkendelsesbekendtgørelsen) (senest ændret ved beke
nr. 604 af 15. juli 2002 om erhvervsmæssigt dyrehold
Harmonireglerne fremgår af § 28 i bekendtgørelse
juli
af 20.
tgørelsen) (senest ændret ved bekendtgørelse nr. 815
husdyrgødning, ensilage m.v. (husdyrgødningsbekend
ættes vilkår, der er
lsen, kan der i miljøgodkendelser fasts
2004). I medfør af § 1, stk. 4, i husdyrgødningsbekendtgøre
rav.
gsbekendtgørelsen, herunder også skærpede harmonik
mere vidtgående end bestemmelserne i husdyrgødnin
Naturstyrelsen oplyst, at
den 12. april 1999 har Skov- og
10 Ifølge et svar til Folketingets Miljø- og Planlægningsudvalg
er
tel 5 kun har kendskab til &I godkendelse, hvor der
klageinstans for kommunernes afgørelser efter kapi
den som
41
MPU, Alm.del - 2004-05 (2. samling) - Bilag 240: Program og baggrundsmateriale til høring om husdyrbrug den 25. maj 2005
2608782_0047.png
Husdyrbrug og miljøgodkendelser — høring
25. maj 2005
er der i højere grad udviklet en tradition for at stille vilkår
om - eller gennem "projekttilpasninger" at
aftale - at der f.eks. ikke må udbringes husdyrgødning
på sårbare arealer.
2. Ejendom eller bedrift?
Hvis miljøgodkendelser for husdyrbrug også skal medvirk
e til at løse og forebygge miljøproblemer, der
knytter sig til landbrugets arealanvendelse, og ikke alen
e reduktion af f.eks. lugt- og ammoniakemission
fra staldanlæg, kræver det en justering af miljøgodkend
elsesinstrumentet.
For det første skal man være opmærksom på, at miljøgod
kendelser som udgangspunkt er knyttet til
landbrugsejendommen og ikke landbrugsbedriften. Hvis
en land
landbrugsejendomme, og disse drives som selvstændige enhe mand f.eks. har husdyr på 4
der, er det først når antallet af DE på en af
disse ejendomme overskrider de foreslåede 75 DE, at der vil
blive udløst krav om miljøgodkendelse - og i
miljøgodkendelsen vil der alene kunne stilles vilkår i forh
old til den pågældende ejendom og ikke de 3
andre ejendomme, hvor landmanden har under 75 DE.
Hvis der derimod er etableret en fælles drift
omkring husdyrproduktioner på flere ejendomme, betragte
s de som et anlæg i godkendelsesmæssig
sammenhæng. For det andet kan miljøgodkendelser som
retstilstanden er i dag ikke omfatte evt.
"gylleaftale-arealer" som indgår i driften af ejendommen,
men alene de ejede og tilforpagtede arealer".
3. Planlægning for det åbne land og miljøgodkendelse af
husdyrbrug efter kommunalreformen
Efter de foreliggende lovforslag til kommunalreform blive
r kommunerne ansvarlige for planlægning i det
åbne land, idet de emner for det åbne land, som regionpl
anen i dag skal beskæftige sig med, efter
lovforslaget L 93 overføres uændret til kommuneplanen.
Det betyder, at forhold af betydning for
arealanvendelsen i det åbne land bliver samlet i de nye
kommuneplaner. Samtidig er kommunerne
myndighed for landzonetilladelser, miljøgodkendelser og
VVM for husdyrbrug - dog skal VVM for
husdyrbrug i en forsøgsperiode på 2 år godkendes af Milj
øministeriet". Det giver gode muligheder for at
integrere enkeltsagsbehandlingen og den fysiske planlægn
ing i kommunernes administration - f.eks. at
integrere den fysiske planlægning og andre områdeudpeg
ninger m.v. i miljøgodkendelse af husdyrbrug.
Faktisk har der siden 1998 været hjemmel i miljøbeskytte
lseslovens § 19, stk. 6, til at miljøministeren for
områder, der i regionplanen13 er udpeget som indsatso
mråder med hensyn til nitrat, kan fastsætte regler
om godkendelsesordninger for etablering eller udvidelser
af husdyrhold, som kan medføre en forøgelse af
risikoen for forurening af grundvand eller overfladevand
. Denne hjemmel har imidlertid aldrig været
udnyttet14.
4. Inspiration fra Holland
I Holland er der i de husdyrintensive dele af landet fore
taget en opdeling af det åbne land i
"ekstensiveringsområder", "loftsområder" og "perspektivom
råder for landbrug". "Ekstensiveringsområder"
består af natur- og landskabsområder, bufferzoner omk
ring disse følsomme områder samt bufferzoner
omkring byer og landsbyer. "Loftsområder" er områder
med begrænsede udviklingsmuligheder for
landbrugserhvervet. I disse områder kan den eksistere
nde blanding al funktioner fortsætte, men
mulighederne for at udvikle husdyrproduktionen begr
ænses af, at der for hvert område er fastsat et loft
for bl.a. ammoniakfordampning og husdyrgødningstry
k. "Perspektivområder for landbrug" er områder,
hvor de intensive husdyrproduktioner så som svine- og
slagtekyllingeproduktioner placeres og bedrifterne
blevet fastsat særlige vilkår for gødningsanvendelse
og sædskifteforhold med henblik på at begrænse
nitratforureningen fra et husdyrbrug (svar på spm.
19, L 161, bilag 20, Folketingsår 1998-99). At differenti
erede
harmonikrav ikke forekommer i miljøgodkendelser
trods hjemmel hertil kan bl.a. skyldes, at primærkommu
nerne
hidtil har haft vanskeligt ved at honorere krav
ene til
gødningsanvendelsen
på den enkelte bedrift og miljøforholdenedokumentation for årsagssammenhængen mellem
(f.eks. drikkevandskvaliteten) i lokalområdet.
' Skov- og Naturstyrelsens notat af 1. februar 1999
vedrørende principper for fastlæggelse af regionplanretn
ingslinier
og kap. 5-godkendelser for store husdyrbrug med henb
lik på beskyttelse af grundvand og Miljø- og Energimi
nisteriets
og Fødevareministeriets redegørelse af 12. april
1999 om begrebet anlæg/projekt i relation til VVM
-reglerne,
planlovens regler om landzonetilladelse og IPPC-direktive
t for så vidt angår husdyrproduktion.
2 Forslag
til lov om ændring af lov om planlægning. (L 93, udm
øntning af kommunalreformen), lovforslagets §
stk. 2. Baggrunden for dette er ifølge lovforslaget, at et
højt beskyttelsesniveau ved regulering af husdyrprodukt
ionen
skal fastholdes.
13 Med forslag til lov om ændring af lov om miljøbesk
yttelse (L 91, udmøntning af kommunalreformen for
så vidt
angår organiseringen af myndigheder m.v.) ændres
"regionplanen" til "vandplanen, jf. lov om miljømål
m.v. for
vandforekomster og internationale naturbeskyttelsesom
råder".
14
Ifølge et svar til Folketingets Miljø- og Planlægningsu
dvalg den 25. oktober 2002 er hjemlen i miljøbesk
yttelses-
lovens § 19, stk. 6 og 7, ikke udnyttet, da Miljøstyrelsen
og Skov- og Naturstyrelsen har vurderet, at VVM-vurd
ering af
etablering og udvidelser af husdyrbrug kan træde i stede
t for disse ordninger (svar på spm. 346, Alm. del, bilag 103,
Folketingsår 2002-03).
42
MPU, Alm.del - 2004-05 (2. samling) - Bilag 240: Program og baggrundsmateriale til høring om husdyrbrug den 25. maj 2005
2608782_0048.png
Husdyrbrug og miljøgodkendelser — høring
25. maj 2005
lang række tiltag og aktive
ide sig. Zoneringen understøttes af en
udv
gives en mulighed for at udvikle og
ldsystemer (green label). Ved
tificeringssystem for miljøvenlige sta
politikker. F.eks. er der udviklet et cer
åder" stilles vilkår om green
"ekstensiveringsområder" og "loftsomr
miljøgodkendelse af husdyrbrug i
ug til bolig (såkaldt "sten-for-sten"-
det også muligt at "konvertere" landbr
label-stalde. I disse områder er
iger på landet. I Holland er der
attraktivt pga. efterspørgslen efter bol
politik), hvilket er økonomisk
en og udformningen af stalde
ark - mulighed for at påvirke placering
.
desuden — til forskel for i Danm
byggefelter for landbrugets bygninger
estemmingsplanen"), der kan indeholde
gennem lokalplaner ("b
5. Zonering af det åbne land
mmunernes Landsforening
tsrådsforeningen, Dansk Landbrug og Ko
Jeg foreslår - på linie med hvad Am
n) ved en integreret afvejning af
r nedenfor) - at det åbne land (landzone
tidligere har foreslået (se reference
eles i 3 forskellige zoner:
-, landskabs- og rekreationsinteresser opd
erhvervs-, miljø-, natur- kultur
Robuste områder
Neutrale områder
Sårbare områder
Særligt værdifulde
Kultur- og
Nitratfølsomme
Eksempler
landbrugsområder
landskabsområder
dingsområder,
indvin
eksisterende
(planlovens § 11a, stk.
(planlovens § 11a, stk.
rlige drikkevands-
områdeudpegninger
1, nr. 10)
1, nr. 14 og 15)
områder (vand-
., der kan indgå i
m.v
forsyningsloven)
zoneringen (ikke
øvrig landzone
300 m omkring
300 m omkring sårbare
e)
udtømmende list
bebyggede områder
naturtyper (Wilhjelm-
(husdyrgødnings-
udvalget)
bekendtgørelsens § 4)
Naturområder,
lavbundsarealer
(planlovens § 11a, stk. 1,
nr. 12 og 13)
områdeudpegninger, der i henhold til
se zoner på kort sammen med de øvrige
l
I kommuneplanen vises dis
ing af kommunalreformen, fremover ska
til ændring af planloven som udmøntn
det foreliggende forslag
gsliniedel skal indgå de overordnede
en, jf. ovenfor. I kommuneplanens retnin delser for etablering og udvidelser af
indgå i kommuneplan
gen (herunder miljøgodken
retningslinier for enkeltsagsbehandlin
husdyrbrug) for de 3 zoner.
ieres efter zonering
6. Miljøgodkendelsens vilkår different
brug differentieres vilkårene efter
fremtidig miljøgodkendelse for husdyr
Ved fastlæggelse af vilkår i en
e af husdyrbrug i robuste områder bør
bruget er beliggende i. Miljøgodkendels
hvilken af de 3 zoner husdyr
af den bedste tilgængelige teknologi15.
år, men med incitament til anvendelse
gives på lempelige vilk
gets vilkår (f.eks. fælles biogas- og
e investeringer til styrkelse af husdyrbru
Offentlige og privat
er. I de neutrale områder bør
læg) bør koncentreres i de robuste områd funktioner og interesser, der lokalt er i
gyllehåndteringsan
er hensyn til de øvrige
miljøgodkendelse gives på vilkår, der tag
kendelse gives på skærpede vilkår,
sser. I de sårbare områder bør miljøgod
området - f.eks. rekreative intere
kendelsen er tilpasset særligt natur-
anlægsvilkår samt arealvilkår i miljøgod
således at både bygnings- og
og miljøhensynene i de sårbare områder.
Robuste.områder
Neutrale områder
bare områder
Sår
Lempelig
Afvejet i forhold til
Restriktiv
nistration,
Admi
interesser
herunder
miljøgodkendelse
e krav til, at myndighedens
i regulering må der generelt stilles høj
Da miljøgodkendelser er erstatningsfr
tte indebærer også krav om et
e i forhold til formålet med vilkårene. De ne.
vilkår er rimelige og proportional
dlag for miljøgodkendelser
og gennemskueligt administrationsgrun
objektivt
te en
7. Lokalisering af husdyrbrug
ciseret, at kommuneplanerne kan omfat
g til ændring af planloven er det præ
I det foreliggende forsla
inger og -anlæg inden for de særligt
r tillokalisering af landbrugets driftsbygn
udpegning af areale
Technology) for husdyrbrug.
rbejdes såkaldte "BAT-noter" (Best Available
15 Til hjælp for kommunerne bør der uda
43
MPU, Alm.del - 2004-05 (2. samling) - Bilag 240: Program og baggrundsmateriale til høring om husdyrbrug den 25. maj 2005
2608782_0049.png
Husdyrbrug og miljøgodkendelser — høring
25. maj 2005
værdifulde landbrugsområder16, jf. lovforslagets § 11b,
stk. 2. Det fremgår af lovforslaget, at det er en
mulighed, som kommunalbestyrelsen kan vælge at
anvende til at imødegå konflikter mellem
landbrugsbyggeri og naboer, landskab og natur. En udpe
gning af arealer til fremtidig landbrugsbyggeri og
-anlæg vil således kunne konkretisere kommunalbestyre
lsens administrationsgrundlag for
landzonereglerne i planlovens for landbrugsbyggeri, der
kræver landzonetilladelse, f.eks. fordi det antager
industriel karakter. Samtidig vil udpegningen kunne tjen
e som en vigtig borgerinformation om områder,
hvor der i fremtiden må forventes at komme nyt landbrug
sbyggeri og -produktion.
Efter min opfattelse er der i højere grad behov for at kunn
e foretage en lokaliseringsplanlægning for
landbrugsbyggeri i sårbare og neutrale områder end i de robu
ste områder, som de særligt værdifulde
landbrugsområder vil udgøre en væsentlig del af.
Ovenstående system vil med tiden kunne medvirke til at
tilpasse husdyrproduktionen til de lokale forhold
og interesser. Det bør dog overvejes at supplere med mer
e aktive instrumenter, der kan give incitamenter
til at "flytte" husdyrbrug fra de sårbare og neutrale zoner
til de robuste zoner - bl.a. ved anvendelse af
jordfordeling. Men det koster penge. Som eksempel kan
nævnes, at for et lokalområde i Holland på ca.
8.400
ha, hvoraf ca. 7.000 ha er landbrug med ca.
540 husdyrbrug, er der for en 10-årig periode afsat i alt
næsten 600 mio. kr. til fysisk (opkøb af landbrug, jordford
eling, naturgenopretning osv.) og social
omstrukturering af området. Heraf betaler staten og regi
onen ca. 230 mio. kr.
8. Forslag tillovændringer
Konkret kan ovenstående system etableres lovmæssigt såled
es:
- I planloven" tilføjes en bestemmelse (f.eks. som § 11a,
stk. 1, nr. 19) om, at kommuneplanen skal
indeholde retningslinier for enkeltsagsbehandlingen i
henhold til denne lov og miljøbeskyttelsesloven,
naturbeskyttelsesloven, miljømålsloven, vandforsyning
sloven og vandløbsloven i landzone i hhv. robuste
områder, neutrale områder og sårbare områder.
- I miljøbeskyttelsesloven18 tilføjes en bestemmelse (f.ek
s. som § 19, stk. 8) om, at miljøgodkendelser for
husdyrbrug skal fastsættes under hensyntagen til beliggenh
eden i sårbare, neutrale eller robuste områder,
jf. planlovens § 11a, stk. 1, nr. 19.
Medmindre man - som foreslået af miljøministeren - vælg
er at samle relevante bestemmelser for
miljøregulering af og planlægning for husdyrbrug i en
ny lov.
Alternativt kan der fastsættes differentierede grænser
for miljøgodkendelse i forhold til zoneringen,
således at der i sårbare områder kræves miljøgodkendelse
ved 75 DE, i neutrale områder ved f.eks. 150 DE,
og i robuste områder ved f.eks. 250 DE (som i dag).
Referencer:
- Amtsrådsforeningen, Kommunernes Landsforening
, De danske Landboforeninger og Dansk
Familielandbrug: "Oplæg til differentiering, målretning ogfo
renkling af miljøreguleringen af landbruget",
rsen: "Differentieret og generel miljøregulering af
landbruget — miljøøkonomisk analyse af omkostningseffek
tivitet", AICF, 2001.
- "Forslag tilfolketingsbeslutning om ændring af regu
leringen af landbrugets miljøpåvirkning samt
ophævelse af landbrugets særstilling i planloven, om mere
natur tilflere — en naturreform for Danmark" (B
146), fremsat den 11. april 2003 af Pernille Blach Hansen
(S) m.fl., 2003.
- "Forslag tilfolketingsbeslutning om ændring af regu
leringen af landbrugets miljøpåvirkning" (B 61),
fremsat den 26. november 2004 af Torben Hansen (5) m.fl.
, 2004.
- Fødevareministeriet og Skov- og Naturstyrelsen: "Rap
portfor arbejdsgruppen til gennemgang af
virkemidler i en regionalt baseret beskyttelse af vand
miljøet mod kvælstof ogfosfor - Del III", 2003.
- Karsten L. Willeberg: "Individuel miljøgodkendelse
af landbrug - en fremtidig miljøregulering?", i
tidsskriftet "LANDinspektøren" (2/00), s. 122-125, 2000.
- Karsten L Willeberg: "Individuel miljøgodkendelse af
landbrug: Vi kan lære af hollænderne", kronik i
"Danmarks Amtsråd" (9/00), s. 20-21, 2000.
- Karsten L Willeberg: "Individuelle miljøgodkendelser
på lokaleforudsætninger", i tidsskriftet "JORD OG
VIDEN" (11/00), s. 14-15, 2000.
- Karsten L Willeberg: "Lokal planlægning - af bæredygtig
udvikling på landet", i tidsskriftet "JORD OG VIDEN"
(1/02), s. 14-16, 2002.
16 Med forslag til lov om ændring af lov om
planlægning. (L 93, udmøntning af kommunalref
ormen) skal
kommuneplanen indeholde retningslinier for varetagel
sen af de jordbrugsmæssige interesser, herunder udpe
gningen
o sikringen af særligt værdifulde landbrugsområder, jf.
.g
lovforslagets § 11a, stk. 1, nr. 10.
11 Bekendtgørelse nr. 883 af 18. august 2004 af lov om
planlægning.
18
Bekendtgørelse nr. 753 af 25. augu
st 2001 af lov om miljøbeskyttelse (senest ændret ved lov
nr. 309 af 2. maj 2005).
2000.
-
Berit Hasler, Vibeke Hansen og Charlotte Juel Pete
44
MPU, Alm.del - 2004-05 (2. samling) - Bilag 240: Program og baggrundsmateriale til høring om husdyrbrug den 25. maj 2005
2608782_0050.png
Husdyrbrug og miljøgodkendelser — høring
25. maj 2005
i "AKF Nyt" (4/00), s.30-36, 2000.
- Karsten L Willeberg: "Miljøregulering af landbruget",
bruger,i tidsskriftet "Stads- og havneingeniøren"
- Karsten L. Willeberg: "Mishandling af udspil om land
(12/01), s. 38-41, 2001.
bruget - hvor er vi på vej hen?", i "Skov &
L. Willeberg: "Planlægning og arealregulering af land
- Karsten
Landskabskonferencen 2000", s. 160-166, 2000.
udbringning og harmonikrav - på vej mod
- Karsten L. Willeberg: "Regulering af landbrugets gødnings
Landbrugsret" (4/99), s. 205-211, 1999.
integreret miljøgodkendelse af landbrug?", i "Tidsskrift for
for husdyrbrug", upubliceret, 2001.
- Karsten L Willeberg; "Notat om lokaliseringsplanlægning
arbejdsgruppe vedrørende differentiering,
- Skov- og Naturstyrelsen: "Afrapporteringfra den tekniske
2001.
målretning ogforenkling af miljøreguleringen af landbruget",
45
MPU, Alm.del - 2004-05 (2. samling) - Bilag 240: Program og baggrundsmateriale til høring om husdyrbrug den 25. maj 2005
2608782_0051.png
Husdyrbrug og miljøgodkendelser —høring
25. maj 2005
Regulering af husdyrbrug
erstatning
EU's miljøregler, indgreb og
Af Peter Pagh, Københavns Universitet
Nedenstående udgør en kommentar til Miljøministerens
svar til udvalget af 9. maj på spørgsmål nr. 27 i
anledning af min tidligere henvendelse af 9. marts til udva
lget, men tjener samtidigt som uddybning af
den korte mundtlige redegørelse, som jeg er blevet bedt om
at fremlægge på udvalgets høring den 25. maj
om husdyrbrug. Supplerende kan oplyses, at jeg har bedt Tekn
ologirådet om at medtage min henvendelse
til udvalget af 9. marts, ministerens svar af 9. maj i det mate
riale som fremlægges på høringen sammen
med nærværende kommentar.
1. Grundlæggende rejser reguleringen af husdyrbrug to retli
ge problemer for Folketinget og danske
myndigheder. Det ene er, at EU-retten stiller vidtgående krav
til naturbeskyttelse og
forureningsbekæmpelse, som hverken Folketinget eller myn
digheder kan lempe, medmindre man opgiver
EU-medlemsskabet. Det andet er, at beskyttelsen af den priv
ate ejendomsret efter Grundlovens § 73, som
denne hidtil er fortolket af Folketinget og Justitsministeriet,
i ganske mange tilfælde giver landmanden
krav på erstatning, når der af hensyn til natur og vandmilj
ø gribes ind over husdyrbrug, hvilket bl.a. må
ses i lyset af landbrugspligten efter landbrugslovgivninge
n.
2. Det er i høj grad samspillet mellem disse faktorer og dere
s sammenstød med en forældet dansk
miljølovgivning, der er forklaringen på de mange sage
r om husdyrbrug, som er dukket op de seneste år,
hvor Grundloven og EU-retten så at sige angiver den ultim
ative ydre ramme for lovgivers beslutning og
myndighedernes forvaltning. Forholdet påvirkes yderliger
e af, at der i Miljøministeriet har været tradition
for en udstrakt anvendelse af såkaldt erstatningsfri regulerin
g af ejendomsrettens grænser og for en
meget kreativ udlægning af EU-rettens forpligtelser. På begg
e punkter har ministeriet måtte set sig
underkendt. Danske domstole synes nu mindre tilbøjelige
til at følge ministeriets udlægninger af
miljølovene. Fra EF-domstolen er kommet en række dom
me, som klart underkender ministeriets (tidligere
- og til dels fortsatte) udlægninger af EU-retten.
EU-retten
3. Jeg har i skrivelse af 9. marts givet en summarisk fremstilli
ng af de mange gældende EU-regler, som
regulerer husdyrbrug i relation til forurening af vandmilj
øet og naturbeskyttelse. Skov- og Naturstyrelsens
kommentar hertil giver indtryk af, at det i forhold til EU-
retten er tilstrækkeligt at gennemføre EU-reglerne
`i en proces", hvor dansk lovgivning sådan efterhånden
mere og mere tilpasses EU-reglerne, når man med
vandmiljøhandlingsplanerne lever "op til habitatdirektivets
langsigtede mål". Dette er forkert. Når fristen
for at gennemføre de forskellige direktiver er udløbet, skal
loven være bragt på plads og myndighederne
administrere i henhold til EU-reglerne.
4. Som det indirekte fremgår af Skov- og Naturstyrelse
ns kommentar, erkender styrelsen, at der fortsat er
uløste problemer, jf. de sidste bemærkninger om bkg. 477/
2003 om internationale
naturbeskyttelsesområder, hvor det oplyses, at man "vil
justere ordlyden af bekendtgørelsens § 4, stk. 1,
således at denne afspejler direktivets artikel 6(3) i sted
et for artikel 6(2)". For ikke lovkyndige ser
ændringen ud som en mindre juridisk finesse. Dette er ikke
tilfældet. Tværtimod er netop den manglende
korrekte gennemførelse af artikel 6(3) i bekendtgørelsen årsa
g til, at der ikke i forhold til husdyrbrug er
sket den vurdering og anvendt den omvendte bevisbyr
de, som kræves ifølge EF-domstolen. Dette er så
igen baggrunden for, der er givet en række tilladelser, som
ikke skulle være givet, og som nu kan udløse
erstatningskrav fra landmændene. Miljøministeriets misf
orståelser har derfor haft alvorlige
konsekvenser.
6. Men ud over at bagatelisere en fatal fejl, springer styrelsen
over de tre væsentlige konsekvenser, som
udsagnet i alle tilfælde rejser. Den ene er, at der mangler
en regel i bekendtgørelsen (eller i loven), som
modsvarer det generelle forbud i habitatdirektivets artikel 6(2)
mod aktiviteter som kan skade Natura
2000 områder. Den anden konsekvens er, at § 4, stk. 1 i beke
ndtgørelse 477/2003 (som nævner en liste af
aktiviteter) ikke dækker alle de aktiviteter, som ifølge EF-doms
tolen er omfattet af krav om miljøvurdering
i habitat direktivets artikel 6(3). Som eksempel kan nævens
byggetilladelser efter byggeloven og
46
MPU, Alm.del - 2004-05 (2. samling) - Bilag 240: Program og baggrundsmateriale til høring om husdyrbrug den 25. maj 2005
2608782_0052.png
Husdyrbrug og miljøgodkendelser — høring
25. maj 2005
det tredje vil en korrekt gennemførelse af
fiskerilicenser efter fiskerilovgivningen. Endelig for
inistrationen af VVM-reglerne. Efter
habitatdirektivets artikel 6(3) få konsekvenser for adm
ering af virkning på Natura 2000 områder af
myndighedernes hidtidige praksis foretages ikke vurd
efter samlebekendtgørelsens (428/1999)
husdyrbrug, hvis amtet på grundlag af en screening
tilladelser til
- som er i klar modstrid med EU-retten - må
bilag III ikke finder, at VVM er nødvendig. Denne praksis
følgeligt ændres.
rstyrelsen, at den danske implementering er i orden
6.
I relation til VVM-reglerne fastholder Skov- og Natu
screening af ændringer også omfatter "nye
i relation til husdyrbrug, idet styrelsen anfører, at kravet om
at dette er er krav efter VVM-direktivets
udspredningsarealer for gylle". Jeg er enig med styrelsen i,
tgørelsens § 3a, der blev indføjet ved bkg.
definition af begrebet 'projekt', men læser man samlebekend
blering, udvidelse eller ændring af et anlæg til
655/2003, fremgår, at skriftlig anmeldelse kun omfatter "eta
redning af husdyrgødning på nye arealer
intensiv husdyravl". De fleste landmænd vil nok mene, at udsp
at sikre VVM-reglerne overholdt. Men igen
ikke er et 'anlæg" - hvormed det vil blive noget vanskeligt
VVM-direktivets tydelige definition af
skyldes det formentlig styrelsens modvilje mod at gennemføre
som i 1999 over for Folketinget hævdede,
begrebet 'projekt' - hvilket igen kan skyldes, at styrelsen så sent
n.
at 'projekt' betød 'anlæg' i sagen om udvidelse af Esbjerg Hav
ktivets (96/61) regler om større husdyrbrug, men
7.
Jeg har i skrivelsen af 9. marts kort omtalt IPPC-dire
ene er, at den danske angivelse af størrelsen i
finder der er behov for tre supplerende bemærkninger. Den
l af de forskellige husdyr, hvilket jeg har
dyreenheder ikke modsvarer EU-reglerne, som angiver anta
n bemærkning angår IPPC-godkendelsen, idet
forstået, at Kommissionen med rette har påtalt. Den ande
svarer direktivet, som kræver en integreret
problemet er, at den danske miljøgodkendelse næppe mod
ig teknologi. Problemet er, at den danske
vurdering af alle miljøeffekter på grundlag af bedst tilgængel
blot skal sikre, at der er tilstrækkelige arealer,
miljøgodkendelse ikke tager stilling til udbringning, men
tredje vil jeg fremhæve, at EU-reglerne giver
hvilket næppe modsvarer IPPC-direktivet. Endelig for det
kendelse gennemføres i &I samlet procedure,
mulighed for, at ændre de danske regler, så VVM og miljøgod
dre bureaukratisk.
hvilket kunne gøre anvendelsen af disse regler noget min
en tydeliggørelse. I min skrivelse af 9. marts
Vedrørende direkte effekt al EU-reglerne er der behov for
8.
af EU-reglerne er de danske myndigheder
anførte jeg, at uanset den manglende danske gennemførelse
EF-domstolens praksis samt en afgørelse fra
forpligtet til at anvende EU-reglerne direkte og henvist til
n, som anfører, at "en dansk myndighed ikke
miljøklagenævnet. Dette bestrider Skov- og Naturstyrelse
forudgående godkendelse af en aktivitet, eller
med direkte hjemmel i et EU-direktiv [kan] stille krav om
ikke er hjemmel til dette i den danske
foretage indgreb mod en eksisterende virksomhed, hvis der
digheder er forpligtet til at udøve deres
g." Styrelsen erkender dog samtidigt, at de danske myn
lovgivnin
Hertil bemærkes, at jeg er enig i, at EU krav
smæssige beføjelser under overholdelse af EU-reglerne.
skøn
for husdyrbrug og andre virksomheder, hvis der
om anmeldelse af aktiviteter kun kan gøres gældende over
efter dansk ret krav om anmeldelse af en
er hjemmel i dansk lov til at kræve anmeldelse. Men er der
es miljøvurdering, og om der kan meddeles
aktivitet, skal myndighederne ved vurdering af, om der kræv
gennemført i dansk lov. Det sidste er
tilladelse, anvende EU-reglerne direkte, selv om de ikke er
af fornyet tilladelse til råstofindvinding og i C
udtrykkeligt fastslået af EF-domstolen i C 201/02 om VVM
e sager var EU-reglerne ikke gennemført
om muslingefiskeri i et EF-fuglebeskyttelsesområde. I begg
127/02
rdende for private virksomheder.
onal ret, og i begge sager var anvendelsen af EU-reglerne beby konsekvens heraf valgte
i nati
ndes. Som
Alligevel fastslog EF-domstolen, at EU-reglerne skulle anve
direktivets artikel 6(3) direkte og se bort fra de
Miljøklagenævnet i sag om dambrug at anvende habitat
ning fremgår efter min opfattelse ikke særligt
danske regler. Disse vidtgående følger af den direkte virk
tydeligt af Skov- og Naturstyrelsens lidt uldne svar.
varsdirektiv (2004/35), der medfører, at der fra
9.
Endelig er der grund til at nævne EU's nye miljøans
g ved skade på trækfugle og truede arter, som
st 2007 skal indføres krav om genopretning og erstatnin
augu
ivet (79/409) og habitatdirektivet. Reglerne
disse arter nærmere er afgrænset i fuglebeskyttelsesdirekt
2000 områder eller på disse arter, vil være
betyder, at større husdyrbrug som volder skade på Natura
manden skal betale for genopretning af området
omfattet af et objektivt erstatningsansvar, hvorefter land
uafhængigt at om skaden må anses for hændelig.
eller hvis umuligt for et andet område. Dette ansvar er
igt, men kun hvis skaden kan bebrejdes
For mindre husdyrbrug gælder tilsvarende erstatningspl
betydelige ændringer på dette område
den som uagtsom. Gennemførelsen af direktivet kræver
landman
rke ekspropriationsproblemet, jf.
andre områder) af dansk ret, men vil formentlig også påvi
(og på
nærmere ndf.
47
MPU, Alm.del - 2004-05 (2. samling) - Bilag 240: Program og baggrundsmateriale til høring om husdyrbrug den 25. maj 2005
2608782_0053.png
Husdyrbrug og miljøgodkendelser — høring
25.
maj
2005
Ekspropriationsproblemet
10. Indgreb over for bestående lovlig virksomhed eller ved indg
reb, som i praksis afskærer den fremtidige
økonomiske udnyttelse af privat ejendom, anses som udgangsp
unktet for ekspropriativt i dansk ret,
medmindre indgrebet er generelt og ikke rammer atypisk
hårdt. Disse principper er styrende for
udformning af planloven og naturbeskyttelsesloven. Fredning
er udløser ekspropriation, mens det
generelle krav om ikke at ændre tilstand af beskyttede naturtyp
er efter naturbeskyttelseslovens § 3 i hvert
som udgangspunkt ikke udløser erstatningspligt for myndigh
ederne.
11. Når det gælder krav om forureningsbegrænsning anses indg
reb dog almindeligvis ikke som
ekspropriation. Dette er begrundet med det hovedsynspunkt,
at man ikke kan vinde hævd på at forurene -
en retsstilling der første gang blev fastslået i en Højesteretsdo
m fra slutningen af 1800-tallet. Krav om
forureningsbegrænsning efter miljøbeskyttelsesloven er derf
or som udgangspunkt erstatningsfri for
myndighederne, om end der i lovmotiverne er taget forbehol
d for atypisk byrdefulde indgreb.
12. For forurening fra landbruget er retsstillingen mere kom
pliceret. Forbud mod brug af pesticider på
bestemte landbrugsarealer anses efter vandforsyningsloven
som ekspropriativ. Tilsvarende anses forbud
med spredning af husdyrgødning for at begrænse nitratforu
rening på bestemte arealer efter
miljøbeskyttelseslovens § 26 a som ekspropriation (se Miljøkla
genævnets to afgørelser af 6. maj 2005, hvor
nævnet underkendte amtets forsøg på at forbyde udbringn
ing af husdyrgødning på bestemte arealer på
Samsø uden erstatning). I naturbeskyttelseslovens § 19 g er
ligeledes forudsat, at begrænsning af
landbrugsaktiviteter begrundet i beskyttelse af Natura 2000
områder er ekspropriative, medmindre en
sådan begrænsning i forvejen er hjemlet erstatningsfri i andr
e dele af lovgivningen. Men omvendt anses
påbud til større husdyrbrug efter miljøbeskyttelseslovens § 41
i hvert fald som udgangspunkt for
erstatningsfri - og det samme må ligeledes antages at gæld
e påbud til mindre husdyrbrug efter
miljøbeskyttelseslovens § 42. Ganske vist synes det i Skov
- og Naturstyrelsen at være en udbredt
antagelse, at miljøbeskyttelseslovens regler ikke finder
anvendelse på forureningsbegrænsning af hensyn
til naturen, men kun i forhold til ulemper og sundhedsfare
i forhold til naboer. Denne udlægning er
imidlertid uden nogen støtte i motiverne, men kan formentli
g forklares med, at Skov- og Naturstyrelsen
relativt sent har overtaget landbrugets forurening og derf
or tidligere afgjorde disse sager efter
naturbeskyttelsesloven.
13. Når landbruget er omfattet af et stærkere værn mod foru
reningsbegrænsende indgreb end industrien,
beror det formentlig dels på lovtradition, dels på at landbrug
et efter landbrugslovgivningen er omfattet af
landbrugspligt (jorden skal udnyttes). Dette bevirker, at den
fejlagtige gennemførelse af EU's regler om
beskyttelse af Natura 2000 områder nu udløser en større regn
ing til amterne (og staten): - de landmænd,
som har fået tilladelse til husdyrbrug, fordi der ikke blev
foretaget den krævede miljøvurdering eller
anvendt den omvendte bevisbyrderegel i habitat direktiv
ets artikel 6(3), vil kunne kræve erstatning, når
myndighederne nu er nødt til at gribe ind for at overholde
EU-reglerne.
14. Efter min opfattelse er der mindst fire grunde til at over
veje, om den hidtidige udlægning af
Grundlovens § 73 i forhold til landbruget kan opretholdes.
For det første forekommer det i modstrid med
EU's miljøansvarsdirektiv at yde erstatning for at undlade
en aktivitet, som landmanden ville blive
erstatningsansvarlig for efter miljøansvarsdirektivet. For
det kan anføres, at når skader på Natura 2000
områder medfører tilbageholdelse af landbrugsstøtte efter
EU's forordning om krydsoverensstemmelse
(1782/2003), vil det være undergravende for EU's landbrug
sordninger, hvis undladelse af at påføre
sådanne skader giver landmanden et supplerende krav
fra staten. For det tredje tyder de to første forhold
på, at den i naturbeskyttelseslovens § 19g indførte ersta
tningsordning i forhold til EU-retten kan
sidestilles med statsstøtte, der følgelig er ulovlig, medmin
dre Kommissionen har godkendt den. Endelig
kan for det fjerde helt generelt anføres, at landbruget har
udviklet sig på en måde, der er så
sammenlignelig med industrien, at det er nærliggende at
sidestille landmænd og industrien også i denne
henseende. Følger man disse anbefalinger vil det kræve en
større ændring af de gældende miljølove. I alle
tilfælde rejser disse overvejelser sådanne forfatningsm
æssige spørgsmål, at en større udredning fra
Justitsministeriet må tilrådes.
Konsekvenserne af de tidligere fejltagelser i forhold til
EU-retten
15. Der er meddelt en række tilladelser til husdyrbrug, som ikke
tog højde for EU-reglerne - og som nu
betyder, at landmanden ofte vil have krav på erstatning, når
myndighederne griber ind for at overholde
48
MPU, Alm.del - 2004-05 (2. samling) - Bilag 240: Program og baggrundsmateriale til høring om husdyrbrug den 25. maj 2005
2608782_0054.png
Husdyrbrug og miljøgodkendelser — høring
25. maj 2005
om skadevirkninger på Natura 2000-områder,
EU-reglerne. Problemet er særligt tydeligt, når det drejer sig
le vanddirektiver fra 1970'erne, selv om det
gør sig grundlæggende også gældende i forhold til de gam
men
for. Hertil kommer et særligt aspekt: - ved
il nu er lykkedes ministeriet at holde det sidste aspekt uden
indt
må'1 for de enkelte vandområder, står
gennemførelse af vandrammedirektivet i form af vandkvalitets
er udlagt som sårbare/følsomme vandområder
Folketinget med det problem, at alle danske vandområder
et (91/676). Konsekvensen er, at det kun i meget få
efter byspildevandsdirektivet (91/271) og nitratdirektiv
kvalitet. Dette vil udløse yderligere krav om
tilfælde er muligt at undgå kravet om bedst økologiske vand
kvalitetmålene ikke blot er hensigter, men
forureningsbegrænsning i forhold til landbruget, idet vand
rvurderet fra Miljøministeriets side, hvorfor
bindende. Problemet er, at også dette forhold har været unde
ændre udpegningen af vandområder, hvis
man vil være nødt til at spørge Kommissionen, om man kan
Danmark ikke kan leve op til kravene.
dermed fået fatale følger, hvoraf vi indtil nu
16. Den mangelfulde gennemførelse af EU's miljøregler har
ltatet af et bevidst politisk fravalg af EU-
formentlig kun har set begyndelsen. Såfremt dette var resu
n var gjort fuldt bekendt med de danske mangler,
reglerne fra Folketingets side eller skyldtes Kommissione
r det sig ikke. Folketinget har på intet tidspunkt
var det alt sammen undskyldeligt. Men sådan forholde
v. Derimod har informationen af Folketinget fra
tilkendegivet, at Danmark ikke vil overholde EU's miljøkra
konsekvenser af vedtagelse af
ministeriets side været meget mangelfuld. Oplysninger om
iverne til implementeringslovgivningen og
tivforslagene var utilstrækkelige. Det samme gælder mot
direk
er, som blev nødvendige, når Kommissionen
ministeriets vedvarende forsøg på at bagatalisere ændring
Planlægningsudvalgets forsøg på at trænge ind i
ikke længere lod sig besnakke. Et eksempel var Miljø- og
ne for to år siden, hvor udvalget ønskede
problemerne med beskyttelsen af Natura 2000 områder
elsens svar var at indhente et responsum fra
oplysninger om korrespondance med Kommissionen. Styr
ligtet til at svare Folketinget (!). Og i
aten til belysning af, i hvilket omfang styrelsen var forp
Kammeradvok
t fald i et enkelt tilfælde har givet positivt
Kommissionen er jeg vidende om, at ministeriet i hver
forhold til
lering af husdyrbrug er et kompliceret
oplysninger. Jeg medgiver gerne Miljøministeriet, at regu
urigtige
ophøre med at skjule og bagatalisere
mråde. Men hvis man vil videre, må man i det mindste
retso
de gældende regler i overensstemmelse med
ministeriets ansvar for de nuværende problemer og bringe
EU-reglerne.
49
MPU, Alm.del - 2004-05 (2. samling) - Bilag 240: Program og baggrundsmateriale til høring om husdyrbrug den 25. maj 2005
2608782_0055.png
Husdyrbrug og miljøgodkendelser — høring
25. maj 2005
Miljøgodkendelser i dag og i fremtiden i forhold til VVM-
direktivet
Af Mogens Moe, DLA Nordic
1. Miljøreguleringen i dag.
Redskaberne til at stille miljøkrav til husdyrproduktion find
es i dag i form af
husdyrgødningsbekendtgørelsen, miljøgodkendelser og VVM
-behandling.
Indholdet af miljøkravene er navnlig bestemt af hensyn til
naboer (særlig lugt), sårbar natur,
overfladevand og grundvand.
Jeg vil beskæftige mig med redskaberne. Hensynene til sårb
ar natur, overfladevand og grundvand
behandles i habitatdirektiv og vandrammedirektiv. Det kan
betyde, at redskaberne vil blive brugt til at
stille nye og uventede krav til husdyrproduktionen.
2. Miljøbeskyttelsesloven
Husdyrgødningsbekendtgørelsen er udstedt med hjemmel
i miljøbeskyttelseslovens og fastsætter
generelle krav til husdyrproduktionen. Den behøver jeg ikke
kommentere nærmere.
Miljøgodkendelser er individuelle afgørelser. De skal kun
indhentes ved store produktioner som nærmere
defineret i godkendelsesbekendtgørelsen (hovedregel: 250
DE).
Indtil for få år siden regulerede disse godkendelser stort
set kun forholdet til naboer. Men nu ser man
miljøgodkendelser, hvor amtet gennem VVM-behandlinge
n har "bestilt" vilkår til beskyttelse af sårbar
natur, grundvand eller overfladevand.
Miljøgodkendelser udstedes af kommunen. Der kan ankes
til Skov- og Naturstyrelsen, der er 2. instans, og
videre til Miljøklagenævnet, der er 3. instans.
2.2. Planloven
De danske regler om VVM er udstedt med hjemmel i plan
loven. VVM (Vurdering af Virkninger på Miljøet)
er en proces, der skal sikre en alsidig belysning af effekter
ne af et konkret projekt.
Nogle projekter (bilag 1-projekter) er så store, at de altid
skal gennem VVM. Det gælder således
husdyrproduktioner over visse grænser (som hovedreg
el: 250 DE). I disse sager koordinerer amtet, der står
for VVM, med kommunen, der står for miljøgodkendelsen
. Som nævnt kan amtet "bestille" vilkår i
miljøgodkendelsen.
Derudover skal øvrige projekter til husdyrproduktion, inkl
. udvidelse af eksisterende produktion, screenes.
"Anlæg til intensiv husdyravl" (et bilag 2-projekt) skal
undersøges for, om det på grund af sin art,
dimension eller placering må antages at kunne få væsentli
g indvirkning på miljøet. Det betyder, at
amterne i princippet skal sagsbehandle enhver udvidels
e af husdyrproduktion. På landsplan er det
antagelig i størrelsesorden 2.000 sager pr. år. Behandlinge
n er dog summarisk ved produktioner under 100
DE.
Hvis screeningen falder ud til, at der ikke forventes "væsentlig
indvirkning på miljøet", kan landmanden
gå videre med sit projekt. Den negative screening kan dog påkl
ages til Naturklagenævnet af fx en nabo
eller en grøn organisation. — De fleste screeninger falder
ud til, at der ikke skal gennemføres VVM.
Men forventes "væsentlig indvirkning på miljøet" fortæ
ller amtet landmanden, at hans projekt er VVM-
pligtigt. I de seneste år sker det oftere og oftere. Naturkla
genævnet er den ankeinstans, som fastsætter,
hvad der er "væsentlig indvirkning på miljøet". Nævnet
har strammet meget for at tilgodese beskyttelsen
af sårbar natur, grundvand og overfladevand. Fx har Natu
rklagenævnet for nylig (NKNO 342 sag C)
50
MPU, Alm.del - 2004-05 (2. samling) - Bilag 240: Program og baggrundsmateriale til høring om husdyrbrug den 25. maj 2005
2608782_0056.png
Husdyrbrug og miljøgodkendelser — høring
25.
maj 2005
ville forøge kvælstofdepositionen i en
statueret VVM-pligt for en husdyrproduktion på 74 DE, som
i forvejen 21,7 kg N pr. ha, tå' legrænsen 5-10 kg N
højmose med 0,09 kr. pr. ha. Baggrundsbelastningen var
pr. ha.
at et screenet projekt er VVM-pligtigt er der to
Når amtet (eller Naturklagenævnet) fortæller landmanden,
projektet er uigennemførligt, og at projektet
videre muligheder: Den ene er, at man bliver enige om, at
derfor opgives. Jeg tror, at det er det mest almindelige.
e viser, at projektet på passende vilkår er
Den anden mulighed er, at der gennemføres en VVM, og at denn
skal amtet afslutte sagen med en VVM-
tåleligt for naturen/grundvandet/overfladevandet. I så fald
Regionplanretningslinier kan derimod ikke
tilladelse, som har samme indhold som en miljøgodkendelse.
håndhæves (NKNO 285).
VVM-tilladelser kan påankes til Naturklagenævnet.
rklagenævnet gennem de seneste par år via
Det væsentligste træk ved den beskrevne praksis er, at Natu
sen for, hvilke husdyrproduktioner der kan
screening-sagerne er blevet den instans, som sætter græn
vand. Som en refleks heraf stopper amterne
tillades af hensyn til sårbar natur, grundvand eller overflade
grund af "væsentlig indvirkning".
antagelig de projekter, som bedømmes VVM-pligtige på
3. Årene 2007-2008
Den beskrevne administration kører videre indtil udgangen
af 2006.
g — at færre instanser bliver involveret.
Kommunalreformen medfører — ifølge de fremsatte lovforsla
1. instans bliver kommunen, både mht. miljøgodkendelse
og mht. VVM.
relse efter miljøbeskyttelsesloven eller
et afgø
2. instans afhænger imidlertid af, om kommunen har truff
efter planloven.
Miljøgodkendelsen kan påankes til Miljøklagenævnet. Sags
Naturklagenævnet.
behandlingen efter VVM-reglerne påankes til
de screeningsager, der sætter grænsen for,
Det vil stadig være Naturldagenævrtet, som får de spænden
for.
hvad sårbar natur/grundvand/overfladevand må udsættes
yrbrug efter VVM-reglerne godkendes af
I årene 2007-2008 skal kommunernes afgørelser om husd
erne mangler den VVM-ekspertise, som
Miljøministeriet. Tanken er for så vidt sympatisk: Kommun
øministeriet. Samtidig involveres ministeriet i den
amterne har, men får dermed pædagogisk støtte af Milj
ration, som udvikler sig netop i disse år.
meget vigtige praksis vedr. tålegrænser og disses administ
sandsynlighed for, at der vil opstå store
t er, at antallet af sager er meget stort. Der er meget stor
Probleme
Arrangementet vil dermed komme tæt på at blive
bunker af sager i ministeriet og lange ekspeditionstider.
-2008.
et stop for udvidelser af husdyrproduktion i årene 2007
4. Fremtiden. Frihedsgrader for lovgiver
regler, men ikke af den opdeling på
Miljøregulering af husdyrproduktion er bundet af EU's
k i dag.
miljøbeskyttelseslov og planlov, som man har i Danmar
'erne, fordi denne var et forhåndenværende søm,
VVM-reglerne blev koblet sammen med planloven i 1980
Det har altid givet problemer, fordi
og fordi man kun regnede med at få ca. 5 VVM-sager om året.
ler om en alsidig vurdering af konkrete
planloven handler om arealplanlægning, mens VVM hand
projekter.
ration vil jeg anbefale, at både miljøgodkendelse og
Ud fra mit kendskab tillovgivningen og dens administ
eren ankemyndighed.
VVM for husdyrbrug behandles i en lov, og at man vælg
51
MPU, Alm.del - 2004-05 (2. samling) - Bilag 240: Program og baggrundsmateriale til høring om husdyrbrug den 25. maj 2005
2608782_0057.png
Husdyrbrug og miljøgodkendelser - høring
25. maj 2005
Samtidig bør man overveje, om ikke en sådan lov også bør
regulere afvikling af uønsket
husdyrproduktion. Afvikling bliver visse steder nødvendig pga.
habitatregleme og måske også pga.
vandrammereglerne. Der er ganske vist en afviklingsrege
l i naturbeskyttelseslovens (med
Naturklagenævnet som ankeinstans). Det er imidlertid nærl
iggende at lade både udvikling og afvikling
styre af de samme principper for, hvad natur/grundvand/o
verfladevand kan udsættes for.
Lovgiver er ikke bundet af de fortolkninger af "væsentlig
indvirkning på miljøet" som Naturklagenævnet
er ved at fastlægge. Der er et vist spillerum for, at lovgiver
tilkendegiver nogle hensyn o.l. i en lov om
miljøregulering af husdyrproduktion, men EU-lovgivningen
(habitat- og vandrammedirektiverne) med
tilhørende EF-domme sætter grænserne for, hvordan såda
nne tilkendegivelser kan formuleres.
52
MPU, Alm.del - 2004-05 (2. samling) - Bilag 240: Program og baggrundsmateriale til høring om husdyrbrug den 25. maj 2005
2608782_0058.png
Husdyrbrug og miljøgodkendelser - høring
25. maj 2005
Fremtidig miljøgodkendelse - Det regionale perspektiv
Af Poul Weber, Formand for trafik- og Miljøudvalget i Fyn
s Amt
rtet og enstrenget
Miljøreguleringen af landbruget, skal være enkel, ensa
et i Danmark. Nye love og regler er føjet til de
Der er behov for en reform af miljøreguleringen af landbrug
en årrække er blevet erkendt. Lovgivningen
gamle som knopskydninger i takt med at miljøproblemer over
af mange myndigheder. Reguleringen kan
i dag er rodet og uoverskuelig. Samtidig reguleres landbruget
landbruget, myndighederne og det øvrige
gøres langt mere enkel, ensartet og enstrenget til gavn for
samfund.
uleringen af landbruget ændres, så bedrifter får
Strukturudviklingen i landbruget aktualiserer at miljøreg
ed forbedres mulighederne for at landbrugets
samme rettigheder og pligter som andre virksomheder. Herv
smæssig vej.
miljøproblemer løses ad teknologisk, driftsmæssig og dyrkning
implementering af EU's vandramme-,
mark står overfor nye store og komplicerede udfordringer med
Dan
habitat- og fuglebeskyttelsesdirektiver.
del for samlet landbrugsregulering", som kan
Amtsrådsforeningen har allerede i år 2000 udviklet en "Mo
ses på Amtsrådsforeningens hjemmeside:
ividuelMiljoegodkendelseAfLandbrug.htm.
www.Amtsrådsforeningen.dk/miljoe/boegerogpjecer/Ind
amternes nuværende miljøopgaver efter en
Modellen vil bedst kunne gennemføres i sin helhed, hvis
ed.
kommunal strukturreform fortsat løses af en regional myndigh
En indgang
eller lempelser i de miljøkrav landbruget skal
Modellen indeholder hverken anbefalinger om skærpelser
kompetenceforhold. Udgangspunktet er de
opfylde. Den vedrører alene forenklinger i organisering og
brugets miljøpåvirkninger. Gevinsten ligger i en
bestemmelser, der danner grundlag for regulering af land
ltater for landmanden såvel som for miljøet.
sammenhængende administration, der vil give bedre resu
en lang række usammenhængende
Landbrugets natur- og miljøpåvirkning reguleres i dag ved
e statslige styrelser som myndighed. Ingen
reguleringer og med henholdsvis kommuner, amter og en rækk
ellen samler myndighedskompetencen hos
myndighed har overblik over landbrugets miljøforhold. Mod
henvende sig et sted i sager om bedriftens
den regionale myndighed. Herved skallandmanden kun
miljøforhold.
53
MPU, Alm.del - 2004-05 (2. samling) - Bilag 240: Program og baggrundsmateriale til høring om husdyrbrug den 25. maj 2005
2608782_0059.png
Husdyrbrug og miljøgodkendelser — høring
25. maj 2005
Figuren viser omfanget af natur- og miljøreguleringer og
Stat
Gødningsregler
Grønne marker
6 % efterafgrøder
Sprøjteplaner/udstyr
Harmoniregler
økologitilskud
MVJ-ordning-
horisontal
Braklægning
Naturgenopretning
Naturovervågning
Skovrejsning
Amt
myndighedsniveauer, der berører landbruget.
Kommune
KAP-5 godkendelser
Spildevand
Gyllebeholdere
Udbringning af
husdyrgødning
Miljøtilsyn
2-m bræmmer
Vandløb
Byggesager
Landzonesager
VVM-ordning for husdyrbrug
Markvanding
§3-områder
Okker/dræning
SFL-områder
MVJ-ordning-målrettet
Slam
Beskyttelseslinier
2-m bræmmer
Våde enge
Regionplanlægning
EU-vandrammedirektiv
EU-habitatdirektiv
Indsatsplanlægning:
- miljømålslov
- vandforsyningslov
Naturgenopretning
Naturovervågning
Vandløb
Sten/jorddiger
Dige- og pumpelag
Modellen bygger på, at alle reguleringer og ordninge
r, der direkte bør inddrages i en
miljøgodkendelse samles i en søjle. Det er opgaverne
over de stiplede linjer i søjlerne,
der samles i den midterste søjle! Resten af opgaverne
supplerer eller danner grundlag
for miljøreguleringen af landbruget.
Landbruget reguleres som andre erhverv
Virksomheder reguleres generelt ved individuelle miljøgod
kendelser eller brancheordninger.
Den enkelte virksomheds miljøpåvirkning af omgivels
erne vurderes i forbindelse med miljøgodkendelsen,
og reguleringen tager hensyn til den teknologiske udvi
kling, som foregår. Tilskyndelsen til miljømæssig
optimering af produktionsprocessen er et centralt elem
ent i reguleringen.
Dette gælder ikke landbrug. Mulighederne for miljømæ
ssig produktionsoptimering inden for landbruget
er store, men incitamentet er ikke til stede, fordi land
bruget reguleres ved en lang række generelle
reguleringer, der er indbyrdes uafhængige.
Udviklingen i landbruget går i retning af større og færr
e bedrifter. Fremtidens landbrug ligner mere og
mere en industriel produktion. Derfor bør der satses på
nye teknologiske og produktionsmæssige
løsninger, når landbrugets miljøforhold fremover skal
løses. Dyrkningsmetoder bør også stadig optimeres.
Amtsrådsforeningen foreslår, at landbruget behandles på
lige fod med enhver anden virksomhed i
Danmark. Det enkle reguleres gennem en branchebekendtgø
relse og hvor det er nødvendigt at arbejde i
nogle mere komplicerede sammenhænge reguleres via en
individuel miljøgodkendelse.
54
MPU, Alm.del - 2004-05 (2. samling) - Bilag 240: Program og baggrundsmateriale til høring om husdyrbrug den 25. maj 2005
2608782_0060.png
Husdyrbrug og miljøgodkendelser — høring
25. maj 2005
Hvem kan regulere landbrugets miljøforhold?
offentlige for borgerne. Overvågning,
Strukturreformen opfylder ikke målet - &I indgang til det
planlægning og handling vil foregå i adskilte systemer.
Efter aftalen forbliver miljøreguleringen af landbruget delt
mellem mange instanser:
om husdyrbrug efter VVM-reglerne.
Kommunerne skal meddele miljøgodkendelser og afgørelse
fra amterne til staten (Skov- og
Ansvaret for den overordnede planlægning overføres
Naturstyrelsen og Miljøstyrelsen).
n (sektorforskningsinstitutionerne).
Overvågning af natur- og miljøtilstanden overføres til state
g og overholdelse af EU-krav vil fortsat
Tilskudsgivning til EU-ordninger og kontrol af gødsknin
ektoratet under Fødevareministeriet.
være placeret i Direktoratet for FødevareErhverv og Plantedir
nger overføres til Fødevareministeriet
Amternes opgaver med miljøvenlige jordbrugsforanstaltni
(afdeling i København og Tønder) og ca. 100 kommuner.
er, og den enkelte kommune vil ikke kunne
Mange landbrug har virksomhed beliggende i flere kommun
erne vil være nødt til at søge opgaverne løst i
skabe sig overblik over bedriftens miljøforhold. Kommun
fælleskommunale selskaber.
met til miljø- og naturforbedringer mistes.
Sammenhæng mellem miljøreguleringen og tilskudssyste
Direktoratet for FødevareErhverv,
Landbruget vil reelt ikke kun have en indgang, men både
Plantedirektoratet, Skov og Naturstyrelsen og de ca.100.
gende problemer i den nuværende
Regeringens model løser med andre ord ikke de grundlæg
el, hvor miljøreguleringsopgaver for landbruget
miljøregulering af landbruget. De løses derimod i en mod
samles ved de regionale myndigheder.
Fordele ved at samle opgaverne i regionerne
ger sammen i et forenklet system.
• Overvågning, planlægning, godkendelse og tilsyn hæn
bruget, dvs. højteknologiske, drifts- og
• Fremtidens svar på miljøproblemerne i land
e, tilgodeses.
dyrkningsmæssige løsninger, som er individuelt tilpassed
g spiller sammen.
• Der kan satses på helhedsløsninger, hvor mange tilta
ndlings tider kan nedsættes.
• Landmandens papirarbejde kan reduceres og sagsbeha
• Opgaverne løses i det rette geografiske perspektiv.
55
MPU, Alm.del - 2004-05 (2. samling) - Bilag 240: Program og baggrundsmateriale til høring om husdyrbrug den 25. maj 2005
2608782_0061.png
Husdyrbrug og miljøgodkendelser — høring
25. maj 2005
Fremtidig miljøgodkendelse - Landbrugserhvervets
ansvar og rettigheder
Af Adm. Direktør, Carl Aage Dahl, Dansk Landbrug
Indledning
Som erhverv har landbruget et ansvar for, at produktionen foregår, så hensynet til natur og miljø kan
forenes med en fortsat landbrugsdrift. Samfundet har brug at bevare både en mangfoldig natur med
rekreative muligheder og et dynamisk landbrugserhverv med en høj beskæftigelses- og indkomstværdi.
Disse to ting er ikke nødvendigvis hinandens modsætninger, men kan under en række forudsætning -
bl.a. en fremsynet myndighedsudøvelse - godt forenes.
Landbrugets ansvar
Landbruget forvalter godt 60 pct. af det danske landskab. Derfor har erhvervet en indlysende interesse i og
ansvar for, at landbrugsarealet dyrkes i harmoni med de pågældende arealers "bæreevne".
Nogle steder er "bæreevnen" robust og kan tåle en intensiv produktion, andre steder er naturen og
landskabet følsomt og har stort set kun brug for at blive holdt ved lige gennem f. eks. afgræsning. Denne
afvejning foretages i dag dels på basis af landmandens faglige kunnen og teknologiske muligheder, dels
på basis af den gældende lovgivning.
At landbruget hidtil har levet op til dette ansvar fremgår al de markante forbedringer, der gennem de
seneste 20 år er sket på miljøområdet. Forbedringer, der vel at mærke, er opnået samtidig med, at
landbrugsproduktionen i Danmark er steget.
Det gælder:
• Kvælstofudvaskningen, der er reduceret med 48 %
• Kvælstofoverskuddet fra mark er reduceret med 45 %
• Fosforoverskuddet er reduceret med 61 %
• Udledningen af ammoniak er faldet med 33 %
Et enigt Folketing har da også erklæret Vandmiljøplan II for opfyldt.
Det er en udvikling, som vi i landbruget er stolte af at have præsteret. Det har krævet en stor indsats
fra
erhvervet, men også fra myndigheder og beslutningstagere.
Vi regner imidlertid ikke med at stoppe her. I følge VMPIII skal kvælstofudvaskningen reduceres med
yderligere 13 pct. frem til 2015, og overskuddet af fosfor med 50 pct. Samtidig medfinansierer landbruget
et forskningsprogram rettet mod bl.a. lugtgener samt muligheder for yderligere indsats i forhold til
kvælstof og fosfor.
En fremtidig miljøregulering
De nævnte reduktioner i landbrugets miljøbelastning er opnået gennem forskning og dermed udvikling
af
nye teknologi, fremavl, nye fodertyper og flytning af dyr fra ældre bygninger til moderne miljørigtige
staldanlæg m.v.
Også i de kommende år kan vi opnå miljøforbedringer gennem en dynamisk udvikling af
husdyrproduktionen. Men det kræver, som tidligere nævnt, at en række forudsætninger opfyldes.
Det skal være muligt for erhvervet at høste gevinsterne af bl.a. den forstærkede forskningsindsats,
som
regeringen og erhvervet i fællesskab har igangsat. Og det kræver ikke mindst en forenkling og
gennemskuelighed af de mange bestemmelser og reguleringer, der gør det besværligt at tilgodes
e både
naturen, miljøet og et økonomisk bæredygtig landbrug.
56
MPU, Alm.del - 2004-05 (2. samling) - Bilag 240: Program og baggrundsmateriale til høring om husdyrbrug den 25. maj 2005
2608782_0062.png
Husdyrbrug og miljøgodkendelser - høring
25. maj 2005
Udover forenkling og gennemskuelighed ser Dansk Landbrugs ønskeseddel til den fremtidige
miljøregulering sådan ud:
• regulering på baggrund af et klart og forudsigeligt grundlag,
• ensartethed,
• effektiv sagsbehandling,
• balance mellem erhvervets muligheder for udvikling og hensynet til natur, miljø og naboer og
• investeringssikkerhed.
Set med landbrugets øjne er kravene ikke urimelige og slet ikke set i lyset af de uhensigtsmæssigheder, vi
oplever med den nuværende miljøregulering, hvor
• flere myndigheder skal behandle den samme anmeldelse (amt og kommune),
• VVM-administration og miljøregulering foretages uden klare retningslinjer fra staten
• der foretages uens behandling af sager på tværs af amtsgrænser,
• sagsbehandling ofte er langvarig - og undertiden varer flere år
• klagestrukturen er kompliceret
• der er ingen afvejning mellem hensynet til erhvervet og hensynet til naturen og miljøet
Manglende konsekvens
En stor del af problemstillingen bunder i, at myndighederne ikke tager konsekvensen af den dynamiske
udvikling, der netop er årsagen til de miljømæssige forbedringer i landbruget.
Strukturudviklingen betyder, at landbrugsproduktionen samles på færre, men større bedrifter.
Miljøbelastningen fra de ejendomme, der fraflyttes, undlader myndighederne at trække fra i den samlede
miljøbelastning i området. Det svarer til, at man stadig tæller de skrottede biler med i den eksisterende
bilpark.
Strukturviklingen medfører, at dyrene "flytter adresse" — fra ældre staldbygninger til nye staldanlæg, hvor
de nyeste teknologier er tages i brug. Dermed reduceres bl.a. ammoniakfordampningen og belastningen af
de nærliggende naturområder. Samtidig indebærer strukturudviklingen en effektivisering af
næringsstofferne og pesticidforbruget, ligesom der ofte gives plads til, at ukurante hjørner på bedriften
ikke dyrkes.
Landbrugets rettigheder
Som borgere og samfundsgrupper er ansvar forbundet med rettigheder. Det samme gælder for landbruget,
der i lighed med andre også er omfattet af den private ejendomsret.
Til landbrugserhvervets rettigheder hører landmandens ret til at producere på den jord, han ejer — under
de gældende regler. Det er rettigheder, som ikke uden videre kan fratages den enkelte.
Forventninger til udviklingen
Den fremtidige størrelse af husdyrproduktionen vil have betydning for miljøet. Imidlertid er der intet, som
indikerer en voldsom stigning i husdyrholdet — de såkaldte dyreenheder, der er et udtryk for
miljøpåvirkningen. En dyreenhed (DE) svarer til 100 kg. kvælstof, uanset om dette kvælstof kommer fra
kvæg, svin eller andre former for husdyr.
57
MPU, Alm.del - 2004-05 (2. samling) - Bilag 240: Program og baggrundsmateriale til høring om husdyrbrug den 25. maj 2005
2608782_0063.png
Husdyrbrug og miljøgodkendelser — høring
25.
maj
2005
På basis af en række eksterne kilder har Dansk Landbrug vurderet udviklingen i husdyrholdet frem til
2015.
Antal dyreenheder — henholdsvis 2001 og 2015
Mio. DE
3,0
E] Kvæg
2,5
O Svin
Andre husdyr
2,0
1,5
1,0
0,5
0,0
2001
Figur 1. Forventet udvikling i husdyrholdet opgjort i dyreenheder
Som det fremgår af figuren, falder antallet af dyreenheder frem til 2015 — helt konkret fra 2,58 mio.
dyreenheder til 2,26 mio. Tallene dækker over et fald i antallet af malkekøer på 147.000, mens bestanden
af grise vil stige med 0,6 mio. styk fra 2001 til 2015. Der er i tallene ikke taget højde for de forbedringer,
som bl.a. en mere effektiv fodring kan give.
Dualisme
Landbruget er i stand til at tilpasse sig ændrede vilkår og rammer. Men skal hovedsigtet opnås — nemlig at
natur og landbrug lever side om side — kræver det en tilstrækkelig rummelighed og forståelse for, at
landbruget fortsat skal udvikle sig.
Låses landbruget fast af en uhensigtsmæssig lovgivning, forhindres den strukturudvikling, der skal kunne
finansiere nye og miljøvenlige teknologier. Og både naturen og velfærdsamfundet vil miste værdier.
Et dynamisk landbrug er forudsætningen for en mangfoldig natur og fortsatte miljøgevinster.
Fortsatte miljøgevinster og en mangfoldig natur kræver et dynamisk landbrug.
2015
58
MPU, Alm.del - 2004-05 (2. samling) - Bilag 240: Program og baggrundsmateriale til høring om husdyrbrug den 25. maj 2005
2608782_0064.png
Husdyrbrug og miljøgodkendelser — høring
25. maj 2005
Hvordan bør husdyrproduktionen i Danmark se ud fra et
natursynspunkt?
Af Thomas Færgeman, Danmarks Naturfredningsforening
Helt grundlæggende:
Naturens tålegrænser er overskredet med kvælstof og fosfor til vands, til lands og i luften. Derfor oplevede
vi det største iltsvind nogensinde i fjordene og de indre danske farvande i 2002. Derfor kan man sjældent
se sine tæer, når man bader i en dansk sø, og derfor gror højmoser, heder og overdrev til i græs og
brændenælder.
Stort set alle fjorde og 2/3 af søerne lever ikke op til samfundets mål for, hvor rene de skal være.
Grundvandet er mange steder så forurenet med nitrat, at det ikke kan drikkes. Naturen på landjorden har
det generelt skidt — de kvælstoffølsomme naturtyper som overdrev, heder, højmoser, næringsfattige søer
og en række skovtyper får for meget kvælstof fra luften i form af kvælstofoxider og ammoniak.
Dansk landbrug er hovedkilden til forurening med nitrat og fosfor og er en væsentlig kilde til forurening
med ammoniak fra luften. Lokalt vil landbruget ofte være hovedkilden til forurening med ammoniak.
Udledningerne skal ned, så de er i overensstemmelse med naturens tålegrænser. Naturens tålegrænser er
ikke ens over hele landet — de afhænger af naturtyper, jordbund, hvordan vandet ledes gennem jord og
vandløb til fjorde og søer, med mere.
Det grundlæggende princip:
Landbruget bør reguleres gennem en miljøgodkendelse, der tager udgangspunkt i det omkringliggende
miljøs tålegrænser.
Er regulering af nye bedrifter og udvidelser over 75 DE nok?
Nej.
For det første eksporteres husdyrgødning fra husdyrbrugene til planteavlerne — derfor er hovedparten af
fosfor.
dansk landbrugsjord modtager af husdyrgødning og dermed også kilde til forurening med nitrat og
For det andet viser en analyse fra oplandet til Arreskov Sø på Fyn, at selvom man valgte at regulere alle
husdyrbrug over 75 DE (og det er ikke det, regeringen foreslår — regeringen vil kun omfatte nye bedrifter
og udvidelser), så ville kun 39 % af arealet være omfattet. Det betyder, at over 60 % af landbrugsarealet
ikke vil være dækket af en miljøgodkendelse, selvom husdyrgødningen også bruges på disse arealer.
For det tredje er en af de væsentligste midler til at nedbringe fosforforurening, at man forhindrer erosion
af jorden langs vandløbsbrinker — og i den sammenhæng er det helt ligegyldigt om man er planteavler
og
eller husdyrbruger, storbonde eller husmand. Det afgørende er, om man har jord ned til vandløbene
søbredderne.
DN'sforslag til regulering af nitrat ogfosfor:
Udgangspunktet for regulering af kvælstof og fosfor bør være en sårbarhedskortlægning af hele landet.
DN foreslår, at Danmarks Miljøundersøgelser, Danmarks Jordbrugsforskning og andre gode kræfter
udarbejder et sårbarhedskort for nitrat og et sårbarhedskort for fosfor, baseret på naturens tålegrænser og
følge
på de målsætninger, vi allerede har for vores vandområder samt de målsætninger, der kommer som
i 2015.
af vandrammedirektivet og habitatdirektivet. Disse målsætninger skal være opfyldt om kun 10 år,
59
MPU, Alm.del - 2004-05 (2. samling) - Bilag 240: Program og baggrundsmateriale til høring om husdyrbrug den 25. maj 2005
2608782_0065.png
Husdyrbrug og miljøgodkendelser — høring
25. maj
2005
Disse sårbarhedskort skal for hvert enkelt område i Danmark vise, hvad området kan tåle af tilførsel af
nitrat og fosfor.
Sårbarhedskortet for nitrat vil f.eks. vise, at mange vandløbsnære områder kun kan tåle en ganske lille
udledning. Tilsvarende vil nogle højbundsjorde med store drikkevandsinteresser også være sårbare —
mens andre højbundsjorde vil kunne tåle tilførsel af mere nitrat.
Ideen er, at en landmand - uanset hvor han/hun er i landet - på baggrund af kortene og sædskifte,
herunder efterafgrøder, nøje kan regne ud:
hvor meget nitrat-kvælstof må jeg tilføre på de enkelte arealer og i alt på min bedrift?
hvor meget fosfor må jeg tilføre på de enkelte arealer og i alt på min bedrift?
Med andre ord: Landmanden får en specifik kvote for de to næringsstoffer.
Hvis landmanden udvider sit areal, ændrer kvoten sig naturligvis, hvorfor et ønske om at udvide en
produktion af dyr kan opnås ved at købe mere jord og/eller ved at investere i teknologi.
Et tænkt eksempel:
Landmand Olsen har en bedrift på 100 hektar. De 20 hektar er enge, der ligger ned til en å. Af de resterend
e
80 hektar ligger de 30 hektar i et område med særlige drikkevandsinteresser, mens de 50 hektar er
højbundsjorde uden særlige restriktioner.
Sårbarhedskortlægningen viser, at Olsen højst må tilføre 50 kg N/ha på engarealerne, højst 120 kg N/ha på
de 30 ha med drikkevandsinteresser og højst 180 kg N/ha på de resterende 50 hektar. I alt må Olsen altså
tilføre 20x50 + 30x120 + 50x180 = 13.600 kg N pr. år på hele sin bedrift. Det svarer til husdyrgødninge
n fra
136 dyreenheder.
Olsen har en svineproduktion, som han gerne vil udvide til 200 dyreenheder og altså producere 20.000
kg N
om året. Det er 6.400 kg N mere, end han har kvote til. Hvad gør han så?
1. Han fårfat i noget mere jord, enten ved at købe det ellerforpagte det. Hvis han kun kan få adgang
til engjorde langs åen, så skal han have 6400/50 =128 hektar engjord. Hvis han kan få fingrene i
noget af den rigtig gode højbundsjord hos naboen, der ikke er drikkevandsinteresseområde, så kan
han nøjes med 6400/180 = 36 hektar højbundsjord.
2. Han går sammen med et nogle andre husdyrproducenter på egnen ogfår etableret et biogasan
læg,
hvor gyllen forpasses, og resten fra forgasningen separeres og handles dels som brændsel, dels som
gødning på niveau med handelsgødning.
3. Han kontakter skolelærer Madsen, der har 23 hektar god højbundsjord og IT-konsulent Jensen, der
har 29 hektar højbundsjord over drikkevandsområdet og aftaler, at de aftager hans gylle. Madsen
må nemlig tage 23x180 = 4140 kg N om året og Jensen må tage 29x120 = 3480 kg N om året. De må i
alt aftage 7620 kg N, så de har plads til Olsens overskydende gylle.
Det skal understreges, at eksemplet er helt hypotetisk, herunder ikke mindst hvad de enkelte
jordbundstyper reelt og afhængig af afgrødevalg, herunder brug af efterafgrøder, kan tåle af N-tilførsel.
Selve kontrollen af tilførslen bør kunne ske med afsæt i de eksisterende gødningsregnskaber,
data fra det
centrale husdyrregister, mm.
Pointen i eksemplet er, at samtidig med at naturens tålegrænser respekteres, så stilles landman
den frit til
at udvide sin produktion, under forudsætning af, at han selv finder en løsning på afsætnin
gen af sin
husdyrgødning. En helt afgørende konsekvens af den ovenfor skitserede model er, at det
i princippet bliver
uinteressant, hvor mange dyr den enkelte producerer.
Eksemplet ovenfor vedrører kun nitrat. Fosforsårbarhed vil kunne kortlægges og beregnes på
samme
måde, bortset fra at det formentlig er mere enkelt, idet hovedkategorierne vil være:
60
MPU, Alm.del - 2004-05 (2. samling) - Bilag 240: Program og baggrundsmateriale til høring om husdyrbrug den 25. maj 2005
2608782_0066.png
Husdyrbrug og miljøgodkendelser — høring
25. maj 2005
1. Jorde, der er erosionstruede (og hvor der skal stilles særlige krav til dyrkningspraksis)
2. Jorde med meget stort fosforoverskud (hvor der skal stilles krav om ingen eller reduceret
fosforudbringning)
3. Jorde med lidt mindre fosforoverskud (hvor der kan tillades fosfor i gødningen svarende til
afgrødernes behov).
DN'sforslag til regulering af ammoniak:
Med hensyn til ammoniak er situationen den, at langt hovedparten af den kvælstoffølsomme natur er
overbelastet. Der er flere kilder til kvælstof fra luft: dels trafikken og kraftværkerne, der udleder
kvælstofoxider, dels landbruget, der udleder ammoniak.
Begge bidrag kan igen deles op i et nationalt og et internationalt bidrag, hvor Danmark for så vidt angår
ammoniak dels modtager udenlandsk ammoniak, dels selv eksporterer rundhåndet til bl.a. Sverige.
Således udgøres 75-80 % af ammoniaknedfaldet i Sverige af ammoniak fra udlandet.
Ammoniak vil ofte have en stor lokal virkning, og da næsten al ammoniakudledning fra dansk side
kommer fra landbruget og i særdeleshed fra staldene, er det helt afgørende, at der stilles skrappe krav til
staldindretning. Teknologien er nemlig til stede til at nedbringe udledningen fra staldene ganske
betragteligt.
Enkle midler som syretilsætning til husdyrgødningen har vist sig at kunne nedbringe
ammoniakfordampningen dramatisk, og der findes en lang række andre tekniske muligheder. Dette vil
samtidig kunne løse væsentlige dele af fugtproblemet. En sådan betydelig dansk indsats er desuden
forudsætningen for, at Danmark troværdigt kan arbejde aktivt for også at reducere de udenlandske bidrag
(og eksportere teknologiske løsninger hertil!).
DN foreslår derfor, at ammoniakproblemet løses ved at stille skrappe krav i miljøgodkendelserne til nye
staldanlæg med hensyn til ammoniakudledning - f.eks. startende med 75 % reduktion i forhold til
eksisterende staldanlæg. Kombineret med den 300 meter bufferzone, der er vedtaget i forbindelse med
VMPIII, vil det indebære, at hovedparten af ammoniakproblemet fra dansk landbrug vil være løst i løbet af
noget nær en "staldgeneration" (10 år, jf. vandrammedirektivet og miljømålslovens gennemførelse af
Natura 2000-målene).
Sammenfatning og konsekvenser:
DN foreslår en miljøregulering af landbruget, der omfatter alle landbrugsarelaer.
Udgangspunktet er en sårbarhedskortlægning, der muliggør, at alle landbrugsbedrifter kan
tildeles kvoter for nitrat-N og for fosfor.
Denne kortlægning vil under alle omstændigheder skulle ske i forbindelse med gennemførelse af
vandrammedirektivet og miljømålsloven.
En helt afgørende konsekvens af den ovenfor skitserede model er, at det i princippet bliver
miljømæssigt uinteressant, hvor mange dyr den enkelte producerer (til gengæld bliver det vigtigt
fortsat at regulere dyrevelfærd).
Ammoniak skal reguleres ved at stille skrappe krav til minimaludledning fra alle nye staldanlæg
kombineret med gennemførelse af en 300 meter bufferzone omkring sårbar natur, indenfor
hvilken der ikke må etableres staldanlæg og indenfor hvilken eksisterende staldanlæg over en
årrække skal udfases. (Det forudsættes, at markbidraget af ammoniak er minimalt via skrappe
regler om nedbringning af husdyrgødning efter udkørsel).
Der er masser af tekniske spørgsmål, der skal løses: f.eks. spørgsmål om beregning af udledninger og om
kontrol — men DN anser modellen for at være farbar og i overensstemmelse med de krav, Danmark
61
MPU, Alm.del - 2004-05 (2. samling) - Bilag 240: Program og baggrundsmateriale til høring om husdyrbrug den 25. maj 2005
2608782_0067.png
Husdyrbrug og miljøgodkendelser - høring
25. maj 2005
alligevel skal leve op til i løbet af de kommende år i forbindelse med gennemførelse af
vandrammedirektivet og miljømålsloven.
62
MPU, Alm.del - 2004-05 (2. samling) - Bilag 240: Program og baggrundsmateriale til høring om husdyrbrug den 25. maj 2005
2608782_0068.png
,
MPU, Alm.del - 2004-05 (2. samling) - Bilag 240: Program og baggrundsmateriale til høring om husdyrbrug den 25. maj 2005
2608782_0069.png
,